摘要
为研究U形钢-混凝土组合梁(U形钢组合梁)基于截面分类的外包钢板件宽厚比限值,对5根U形钢组合梁试件进行单调静力加载试验,分析不同外包钢腹板受压区高厚比及受压翼缘宽厚比情况下U形钢组合梁的破坏模式、荷载-位移曲线及塑性变形能力。试验结果表明,外包钢板件宽厚比对U形钢组合梁的屈曲变形和塑性变形能力有直接影响,所有试件在达到峰值承载力前均发生了局部屈曲,破坏模式为弯曲塑性破坏。有限元参数分析结果表明,外包钢腹板与受压翼缘之间的非线性行为相互影响,板件的屈曲时刻随着相邻板件宽厚比的增大而提前,增大外包钢板件宽厚比会降低U形钢组合梁的塑性发展程度。基于试验与有限元参数分析结果,提出U形钢组合梁的Ⅱ类截面(Class 2)外包钢板件宽厚比限值建议,并将提出的限值与规范限值进行对比分析,结果表明,该限值更符合U形钢组合梁的真实受力性能,可在一定程度上更加充分地发挥其结构优势。
关键词
U形钢-混凝土组合梁(U形钢组合梁)外包钢对内部填充混凝土有较强的变形约束作用,能提高后者的抗压强度,同时,内部填充混凝土能有效抑制外包钢的内屈变形,使外包钢局部屈曲半波由3个变为1个,提高了U形钢组合梁的整体稳定性、抗弯承载力和塑性发展程
目前,针对U形钢组合梁的工作性能研究已经取得了一定成果,但大部分仅限于其极限承载力和抗剪连接设计等方面的内容,仅少部分涉及其外包钢板件宽厚比的问
此外,板件间相关作用对板件宽厚比限值有重要影响,但目前该方面的研究工作主要集中于钢构
为此,笔者基于5根U形钢组合梁的单调静力加载试验,对比考察不同外包钢板件宽厚比下U形钢组梁的破坏模式、荷载-位移曲线与塑性变形能力。通过有限元分析,研究外包钢板件宽厚比对U形钢组合梁塑性发展程度的影响。根据试验与有限元分析结果,参考EC4组合梁截面分类准则,提出U形钢组合梁Ⅱ类截面外包钢板件宽厚比限值的计算公式,并将所提出的限值与规范限值进行对比分析。
在梁柱节点处,U形钢组合梁承受负弯矩与剪力的共同作用,最易发生局部屈曲,从而影响其塑性发展程度。因此,试验进行负弯矩方向(组合梁翼板受拉)单调静力加载,为简化模型,试件采用悬臂梁形式。为使讨论结果具有参考性,定义腹板受压区高厚比
| rw=α·hw/(tw·εk) | (1) |
下翼缘宽厚比
| rf=b/(tb·εk) | (2) |
式中:hw为外包钢腹板高度;α为计算全塑性受弯承载力时腹板塑性受压区高度与腹板高度之比;tw与tb分别为外包钢腹板和下翼缘厚度;b为下翼缘宽度;εk为应力修正系数,,fy为钢材实测屈服强度值。相关参数示意见

图1 宽厚比定义参数示意图
Fig. 1 Diagram of the width-thickness ratio definition parameters
对于有抗震设计要求的建筑,截面设计通常采用I类或Ⅱ类截面。本研究主要确定U形钢组合梁的Ⅱ类截面外包钢板件宽厚比限值(即Ⅱ、Ⅲ类截面板件宽厚比界限值)。按

图2 U形钢组合梁构造
Fig. 2 Construction of U-shaped steel composite beam

图3 翼缘宽厚比限值(GB 50936—2014)
Fig. 3 The width-thickness ratio limit of the lower flange in GB 50936—2014

图4 U形钢组合梁的尺寸及配筋图
Fig. 4 Dimensional and reinforcement diagram of U-shaped steel composite beam
| 试件 | h0/mm | b/mm | L/mm | MC, max/(kN·m) | PC, max/kN | QC, max/kN | ||
|---|---|---|---|---|---|---|---|---|
| BM-50-50 | 50.97 | 350 | 165 | 51.41 | 1 000 | 334 | 334 | 549 |
| BM-60-50 | 61.34 | 450 | 165 | 51.41 | 1 850 | 465 | 251 | 702 |
| BM-70-50 | 71.70 | 550 | 165 | 51.41 | 2 350 | 616 | 262 | 855 |
| BM-50-60 | 47.91 | 350 | 195 | 60.76 | 1 000 | 356 | 356 | 558 |
| BM-50-70 | 44.77 | 350 | 230 | 71.66 | 1 000 | 381 | 381 | 568 |
注: MC, max为试件负弯矩全塑性受弯承载力理论计算
目前,中国的组合结构相关规范未对组合梁进行截面分类,而EC4采用EC3中的截面分类准则对组合梁截面进行4类划分,定义I、Ⅱ类截面(Class 1与Class 2)均能达到全截面塑性,但Ⅱ类截面由于发生局部屈曲而塑性发展程度相对有限;Ⅲ类截(Class 3)要求能达到屈服弯矩值即可。因此,采用EC4截面分类方法,对U形钢组合梁进行截面划分。
各类钢材的屈服强度fy、极限强度fu、弹性模量Es和强屈比fu/fy见
| 类型 | 直径 (厚度)/mm | fy/MPa | fu/MPa | Es/MPa | fu/fy |
|---|---|---|---|---|---|
| U形钢 | 4 | 365 | 473 | 196 842 | 1.29 |
| C16钢筋 | 16 | 428 | 625 | 197 200 | 1.46 |
| C12钢筋 | 12 | 430 | 627 | 201 300 | 1.46 |
试验装置见

图5 试验装置图
Fig. 5 Test setup

(a) U形钢及混凝土翼板测点布置图

(b) 纵筋测点布置图
图6 应变片布置图
Fig. 6 Strain gauge arrangement diagram
腹板受压区高厚比试验组由试件BM-50-50、BM-60-50及BM-70-50组成,试验现象如

(a) 外包钢腹板首次屈曲

(b) 外包钢屈曲状态(峰值荷载时刻)
图7 腹板高厚比试验组试验现象
Fig. 7 Test phenomenon of the rw test group
各试件的荷载-位移曲线如

(a) 腹板受压区高厚比试验组

(b) 翼缘宽厚比试验组
图9 试件荷载-位移曲线
Fig. 9 Load-displacement curves of specimens
由
| 试件 | P0/kN | PT, e/kN | PT, max/kN | MT, max/(kN·m) | MC,max/(kN·m) | (PT, max-P0)/PT,max | MT,max/MC,max | ||
|---|---|---|---|---|---|---|---|---|---|
| BM-50-50 | 50.97 | 51.41 | 360 | 333 | 386 | 386 | 334 | 0.06 | 1.156 |
| BM-60-50 | 61.34 | 51.41 | 260 | 266 | 287 | 531 | 465 | 0.10 | 1.142 |
| BM-70-50 | 71.70 | 51.41 | 250 | 273 | 298 | 700 | 616 | 0.16 | 1.136 |
| BM-50-60 | 47.91 | 60.76 | 353 | 360 | 409 | 409 | 356 | 0.14 | 1.149 |
| BM-50-70 | 44.77 | 71.66 | 369 | 390 | 435 | 435 | 381 | 0.15 | 1.142 |
注: P0为试件发生局部屈曲时的荷载;PT, max为峰值荷载;MT, max为峰值弯矩,且MT, max=PT, max·L。
试验加载端的水平位移Δ主要分为两部分:弹性变形产生的水平位移Δe和塑性变形产生的水平位移Δ
| (3) |
式中:P为试验外加荷载实测值,且0≤P≤PT, e;L为加载力臂;EbIb为U形钢组合梁的抗弯刚度。塑性变形的计算假定不发生弹性变形,计算公式为
| (4) |
式中:θ为试验时外包钢板上倾角仪实测转角,(°)。

(a) 腹板受压区高厚比试验组

(b) 翼缘宽厚比试验组
图10 试件试验加载变形分析
Fig. 10 Test loading deformation analysis of specimens
典型的截面应变变化规律如

(a) 截面应变分布

(b) 纵筋应变分布
图11 U形钢组合梁应变分布(BM-50-60)
Fig. 11 Strain distribution of U-shaped steel composite beam (BM-50-60)
采用有限元分析软件ABAQUS建模,各构件模型尺寸、边界条件及加载方式均与试验保持一致,如

图12 网格划分与边界条件
Fig. 12 Mesh generation and boundary conditions

图13 极限抗弯承载力对比
Fig. 13 Comparison of ultimate flexural capacity
各试件有限元模型计算所得荷载-位移曲线(FE)与试验结果(Test)的对比见

(a) 腹板受压区高厚比试验组

(b) 翼缘宽厚比试验组
图14 试验与有限元荷载-位移曲线对比
Fig. 14 Comparison of the load-displacement curves between test and FE

(a) 峰值承载力时刻(PT, max)

(b) 极限承载力时刻(0.85PT, max)
图15 试验与有限元破坏模式对比
Fig.15 Comparison of the failure mode between test and FE
| 试件 | PT, max/kN | PFE, max/kN | PFE, max/PT, max |
|---|---|---|---|
| BM-50-50 | 386 | 391 | 1.01 |
| BM-60-50 | 287 | 284 | 0.99 |
| BM-70-50 | 298 | 288 | 0.97 |
| BM-50-60 | 409 | 401 | 0.98 |
| BM-50-70 | 435 | 440 | 1.01 |
| 平均值 | 0.99 | ||
| 标准差 | 0.02 |
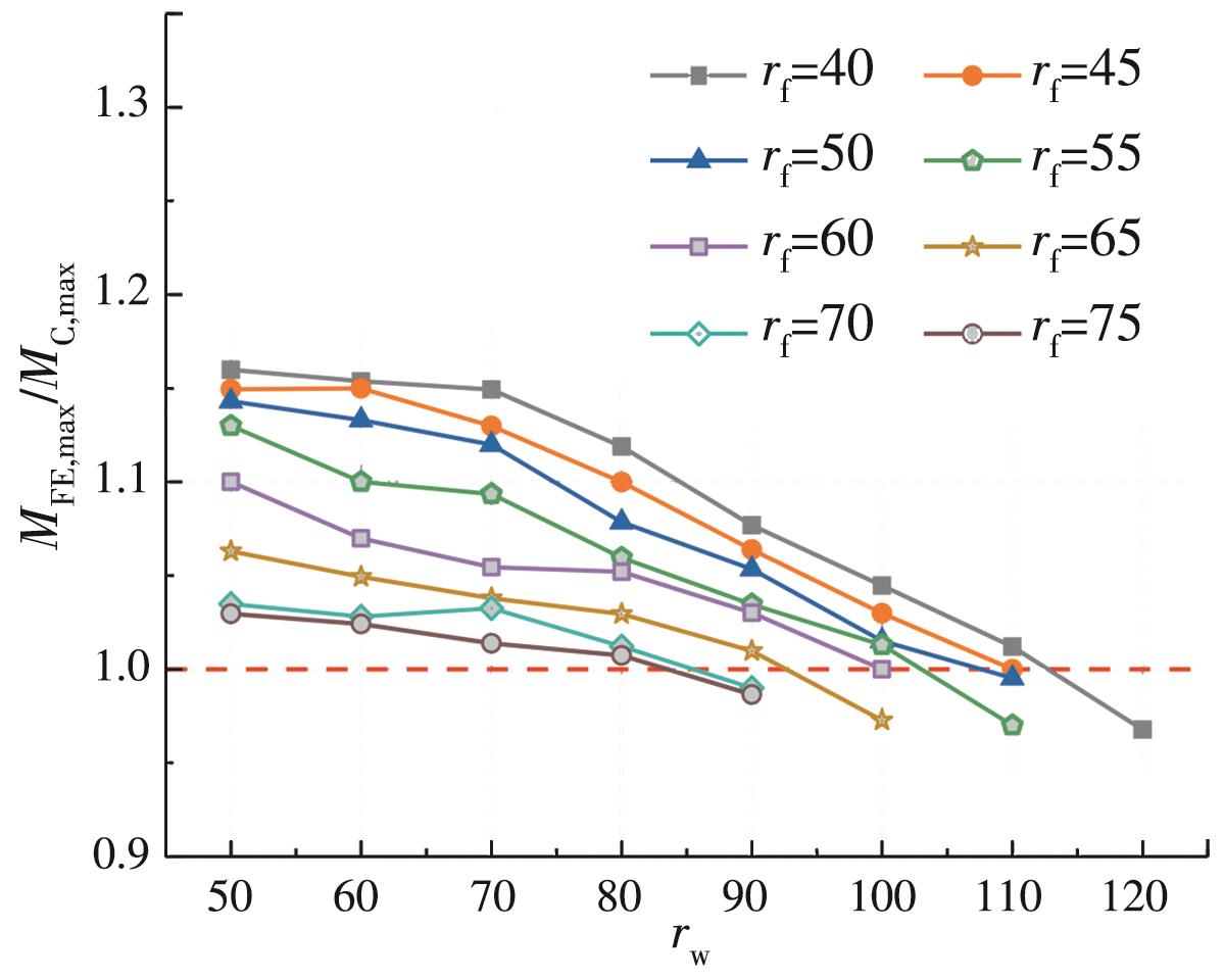
以试件BM-60-50的模型为基础,通过改变外包钢腹板与翼缘厚度,对U形钢组合梁外包钢板件宽厚比进行参数分析。参数设置见
| rw | rf |
|---|---|
| 50、60、70、80、90、100、110、120 | 40、45、50、55、60、65、70、75 |

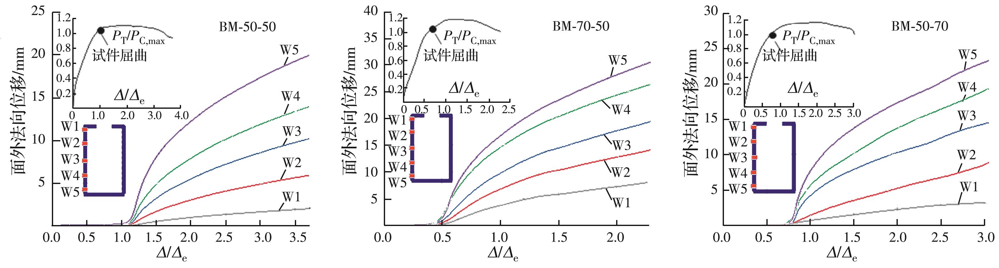
(a) 腹板面外法向位移

(b) 翼缘面外法向位移
图16 外包钢面外法向位移发展图
Fig.16 Development of out-of-plane normal displacement of steel-encased

图17 有限元抗弯承载力结果汇总
Fig. 17 Summarized results of finite element flexural load-bearing capacity
根据EC4的截面分类准则,将U形钢组合梁划分为4类(Ⅰ~Ⅳ类截面分别对应于Class 1~Class 4截面)。Ⅱ类与Ⅲ类截面均允许发生局部屈曲,本质区别在于构件是否能达到全截面塑性。根据
| Rw=-1.052rf+161.57 | (5) |
式中:Rw为U形钢组合梁的Ⅱ类截面外包钢腹板受压区高厚比限值。
分析结果见
| rw≤min{Rw, 113.49}, rf≤76.16且α≤0.46 | (6) |

图18 MFE, max/MC, max=1时板件宽厚比相关关系
Fig.18 Correlations of plate width-thickness ratio (MFE,max/MC,max=1)

图19 Ⅱ类截面板件宽厚比上限值比较
Fig.19 Comparison of the plate width-thickness ratio upper limits for Class Ⅱ section
由
通过对U形钢组合梁Ⅱ类截面外包钢板件宽厚比限值进行试验研究与有限元分析,得出以下主要结论:
1)与普通钢-混组合梁不同,由于内部填充混凝土的存在,即使外包钢发生局部屈曲,U形钢组合梁的承载力仍有明显提升,且仍有可能达到全截面塑性,发生弯曲塑性破坏。减小外包钢板件宽厚比,U形钢组合梁外包钢板由弹性局部屈曲转变为弹塑性局部屈曲,而屈曲后的承载力提升幅度随板件宽厚比的增大而增大。
2)外包钢腹板与翼缘之间存在相互作用,两者的非线性行为(局部屈曲及变形发展)相互影响,板件的屈曲时刻随着相邻板件宽厚比的增大而提前,而屈曲变形直接影响U形钢组合梁的塑性发展程度。因此,进行基于截面分类的外包钢板件宽厚比限值研究时,应考虑腹板受压区高厚比与翼缘宽厚比的共同作用。
3)参考EC4中组合梁的截面分类准则对U形钢组合梁进行截面划分,根据试验及有限元分析结果,在同时考虑外包钢腹板与翼缘之间的相关作用及U形钢组合梁塑性发展程度的条件下,提出了U形钢组合梁Ⅱ类截面(Class 2)外包钢板件宽厚比限值建议,该方法更符合U形钢组合梁的真实受力性能,在一定程度上能更充分地发挥其结构优势。
参考文献
赵庆龙, 王伟, 沈建华. 薄壁U型钢-混凝土组合梁抗剪性能的试验研究[J]. 土工基础, 2016, 30(2): 274-280. [百度学术]
ZHAO Q L, WANG W, SHEN J H. Experimental study on the shear behavior of the U-section thin-walled steel-concrete composite beams [J]. Soil Engineering and Foundation, 2016, 30(2): 274-280. (in Chinese) [百度学术]
计明明. U形外包钢再生块体混凝土梁的受弯及耐火性能研究[D]. 广州: 华南理工大学, 2019. [百度学术]
JI M M. Study on bending and fire resistance of U-shaped steel-clad recycled block concrete beams [D].Guangzhou: South China University of Technology, 2019. (in Chinese) [百度学术]
党相柱. 外包U型钢-再生混凝土组合梁抗弯性能研究[D]. 西安: 长安大学, 2018. [百度学术]
DANG X Z. Study on flexural behavior of composite beams wrapped with U-shaped steel and recycled concrete [D].Xi,an: Changan University, 2018. (in Chinese) [百度学术]
郭喜. 新型冷弯薄壁U型钢-混凝土组合梁抗弯性能研究[D]. 重庆: 重庆大学, 2018. [百度学术]
GUO X. Research on flexural behavior of a noval cold-formed U-shaped steel-concrete composite beam [D]. Chongqing: Chongqing University, 2018. (in Chinese) [百度学术]
ZHAO Y, ZHOU X H, YANG Y L, et al. Shear behavior of a novel cold-formed U-shaped steel and concrete composite beam [J]. Engineering Structures, 2019, 200: 109745. [百度学术]
周学军, 林彦. 外包U型钢混凝土组合梁理论研究与设计应用[M]. 北京: 科学出版社, 2016: 240. [百度学术]
ZHOU X J, LIN Y. Theoretical research and design application of composite beam wrapped with U-shaped steel reinforced concrete [M]. Beijing: Science Press, 2016: 240. (in Chinese) [百度学术]
钢结构设计标准: GB 50017—2017 [S]. 北京: 中国建筑工业出版社, 2017. [百度学术]
Code for design of steel structure: GB 50017—2017 [S]. Beijing: China Architecture & Building Press, 2017. (in Chinese) [百度学术]
组合结构设计规范: JGJ 138—2016 [S]. 北京: 中国建筑工业出版社, 2016. [百度学术]
Code for design of composite structures: JGJ 138—2016 [S]. Beijing: China Architecture & Building Press, 2016. (in Chinese) [百度学术]
钢管混凝土结构技术规范: GB 50936—2014 [S]. 北京: 中国建筑工业出版社, 2014. [百度学术]
Technical code for concrete filled steel tubular structures: GB 50936—2014 [S]. Beijing: China Architecture & Building Press, 2014. (in Chinese) [百度学术]
Eurocode 4: Design of composite steel and concrete structures Part 1-1: General rules and rules for buildings: EN 1994-1-1 [S]. London: British Standards Institution, 2004. [百度学术]
Eurocode 3: Design of steel structures Part 1-1: General rules and rules for buildings: EN 1993-1-1 [S]. Brussels: European Committee for Standardization, 2005. [百度学术]
席季柳, 卢春玲, 郑艳. 部分充填混凝土窄幅钢箱连续组合梁负弯矩区局部屈曲分析与试验研究[J]. 建筑结构, 2016, 46(2): 54-58, 81. [百度学术]
XI J L, LU C L, ZHENG Y. Analysis and experimental study on local buckling behavior of negative bending region of partial-concrete-filled narrow-width steel box continuous composite beams [J]. Building Structure, 2016, 46(2): 54-58, 81. (in Chinese) [百度学术]
MATSUI C. Local buckling of concrete filled steel square tubular columns [C]// IABSE-ECCS Symposium Luxembourg, 1985. [百度学术]
程欣, 侯雪松, 李卓峰. 考虑板件相关作用的H形截面分类准则[J]. 工程力学, 2020, 37(4): 178-185. [百度学术]
CHENG X, HOU X S, LI Z F. Cross-section classification criteria of steel H-sections considering the plate interaction effect [J]. Engineering Mechanics, 2020, 37(4): 178-185. (in Chinese) [百度学术]
杨悦. 冷成型钢矩形管梁截面分类的研究[D]. 哈尔滨: 哈尔滨工业大学, 2016. [百度学术]
YANG Y. Study on section classification of cold-formed steel rectangular tube beam [D].Harbin: Harbin Institute of Technology, 2016. (in Chinese) [百度学术]
李娟. 冷成形钢矩形管梁在循环荷载作用下的截面分类研究[D]. 哈尔滨: 哈尔滨工业大学, 2018. [百度学术]
LI J. Study on section classification of cold-formed steel rectangular tube beam under cyclic load [D]. Harbin: Harbin Institute of Technology, 2018. (in Chinese) [百度学术]
XU X, CHENG R, YANG P, et al. Experimental and numerical investigations on square CFST column to U-shaped steel-concrete composite beam joints with internal T-shaped diaphragms [J]. Journal of Building Engineering, 2022, 60: 105172. [百度学术]
XU X, CHENG R, YANG P, et al. Experimental study of U-shaped steel-concrete composite beam to square CFST column joint [J]. Journal of Constructional Steel Research, 2022, 192: 107220. [百度学术]
成宇, 杨远龙, 李彬洋. 多腔式钢管混凝土异形柱-H形钢梁框架U形板连接节点承载力研究[J]. 建筑结构学报, 2021, 42(增刊2): 100-108. [百度学术]
CHENG Y, YANG Y L, LI B Y. Research on strength of U-shaped diaphragm joint between multi-cell special-shaped CFST column and H-shaped steel beam [J]. Journal of Building Structures, 2021, 42(Sup 2): 100-108. (in Chinese) [百度学术]
混凝土结构设计规范: GB 50010—2010 [M]. 北京: 中国建筑工业出版社, 2016. [百度学术]
Code for design of concrete structures: GB 50010—2010 [M]. Beijing: China Architecture & Building Press, 2016. (in Chinese) [百度学术]
LIU X G, LIU J P, YANG Y L, et al. Resistance of special-shaped concrete-filled steel tube columns under compression and bending [J]. Journal of Constructional Steel Research, 2020, 169: 106038. [百度学术]
李文超. 钢材微观损伤准则在钢框架极端荷载条件下损伤分析中的应用[D]. 西安: 长安大学, 2014. [百度学术]
LI W C. The application of micromechanical damage criterion of structural steel in damage analysis of steel frame under extreme loads [D]. Xi, an: Chang, an University, 2014. (in Chinese) [百度学术]
SCHAFERB W, PEKÖZT. Computational modeling of cold-formed steel: Characterizing geometric imperfections and residual stresses [J]. Journal of Constructional Steel Research, 1998, 47(3): 193-210. [百度学术]
DUBINA D, UNGUREANU V. Effect of imperfections on numerical simulation of instability behaviour of cold-formed steel members [J]. Thin-Walled Structures, 2002, 40(3): 239-262. [百度学术]
Eurocode 3: Design of steel structures: Part 1-5: Plated structural elements: EN 1993-1-5 [S]. Brussels: European Committee for Standardization, 2006. [百度学术]
孙立鹏, 刘永健. 矩形钢管混凝土壁板的屈曲后强度[J]. 建筑结构学报, 2022, 43(10): 259-273. [百度学术]
SUN L P, LIU Y J. Post-buckling strength of rectangular concrete-filled steel tube panels [J]. Journal of Building Structures, 2022, 43(10): 259-273. (in Chinese) [百度学术]
Recommendation for limit state design of steel structures: AIJ98 [S]. Tokyo: Architecture Institute of Japan, 2002. [百度学术]


