数字经济对城乡融合发展的影响及路径研究
作者简介:
李成龙,常州大学吴敬琏经济学院,Email:
周宏,南京农业大学经济管理学院教授,博士研究生导师;
通信作者
张良(通信作者),江苏省社会科学院农村发展研究所,Email:
基金项目:
国家自然科学基金项目“共同富裕目标下数字乡村建设纾解农户相对贫困:机制、效果评价与实践探索”
江苏高校哲学社会科学研究一般项目“数字素养对农村居民收入不平等的影响及路径研究”
中图分类号:
F323
文献标识码:
A
欢迎按以下格式引用:
李成龙,周宏,张良. 数字经济对城乡融合发展的影响及路径研究[J]. 重庆大学学报(社会科学版),2025(1):17-34. Doi:10.11835/j.issn.1008-5831.jg.2024.09.009.
摘要
党的二十届三中全会指出城乡融合发展是中国式现代化的必然要求。促进城乡融合发展是推进乡村全面振兴的重要内容,同时也是建设全国统一大市场的重要路径。城乡融合发展需要破除一系列的制度壁垒,推进城乡要素的有序流动,而数字经济的快速崛起与繁荣为城乡融合发展提供了新机遇。文章分析了城乡融合发展过程中数字经济的作用效果,并聚焦于产业结构升级、市场化进程和基本公共服务均等化,通过数理分析厘清其内在的作用机制,丰富了现有的研究并提供了经验证据。首先,文章基于2011—2020年中国省际面板数据,构建了相关指标评价体系,使用熵值法测度了省域数字经济和城乡融合发展水平,并使用Kernel核密度估计方法探究了其时空演变特征。结果显示,总体上数字经济与城乡融合发展水平呈现出不断上升的趋势,但在发展程度和发展速度上表现出区域间不平衡的特征,数字经济水平在区域间成多极化趋势,而城乡融合发展的区域间梯度效应不断增强。其次,文章通过实证方法检验数字经济对城乡融合发展的影响,并对数字经济影响城乡融合发展的路径进行了探究。结果显示:第一,数字经济可以显著促进城乡融合发展,但影响程度存在区域异质性,数字经济对西部地区城乡融合发展的影响要高于其他地区,对东北地区无显著影响;第二,数字经济可以通过促进产业结构升级、推进市场化进程以及促进基本公共服务均等化而影响城乡融合发展水平。最后,文章分析了数字经济对城乡融合发展的空间效应,使用全局Moran's I指数基于经济距离矩阵下的空间相关性检验结果显示,数字经济与城乡融合发展具有显著空间相关性,而基于邻接矩阵、反距离矩阵以及经济距离矩阵的空间溢出效应检验结果显示,数字经济水平的提升对本地城乡融合具有正向影响,但对邻近地区会产生负向溢出效应。研究认为,为有效发挥数字经济对城乡融合发展的促进作用,应在制定区域差异化的数字经济与城乡发展政策、加快数字基础设施的建设、打破要素壁垒推进城乡要素的有序流动、优化数字经济资源配置等方面实施相关政策措施。
关键词
数字经济;城乡融合;乡村全面振兴;产业结构升级;空间溢出效应;
Research on the impact and path of digital economy on urban-rural integrated development
Citation Format:
LI Chenglong, ZHOU Hong, ZHANG Liang. Research on the impact and path of digital economy on urban-rural integrated development[J]. Journal of Chongqing University (Social Science Edition), 2025(1): 17-34. Doi: 10.11835/j.issn.1008-5831.jg.2024.09.009.
Abstract
The third plenary session of the 20th Central Committee of the Communist Party of China points out that the integrated development of urban and rural areas is an inevitable requirement of Chinese path to modernization. Promoting the integrated development of urban and rural areas is an important element of promoting all-around rural revitalization, and it is also an important path to building a unified national market. The integrated development of urban and rural areas requires breaking down a series of institutional barriers and promoting the orderly flow of urban and rural factors. The rapid rise and prosperity of the digital economy provide new opportunities for the integrated development of urban and rural areas. Exploring the impact of digital economy on the integrated development of urban and rural areas has important theoretical and practical significance. This article focuses on the upgrading of industrial structure, marketization process, and equalization of basic public services. Through mathematical analysis, it clarifies their inherent mechanisms, enriches existing research, and provides empirical evidence. Firstly, based on China's inter-provincial panel data from 2011 to 2020, the article constructs an evaluation system of relevant indicators, measures the development level of provincial digital economy and urban-rural integrated using the entropy method, and explores its spatiotemporal evolution characteristics using Kernel density estimation method. The results show that in general, the level of digital economy and urban-rural integrated development is showing a continuous upward trend, but there is a regional imbalance in the degree and speed of development. The level of digital economy is showing a multipolar trend among regions, while the gradient effect of urban-rural integrated development between regions continues to strengthen. Secondly, the article uses empirical methods to examine the impact of digital economy on the integrated development of urban and rural areas, and explores the path of the impact. Results show that, firstly, digital economy can significantly promote the integrated development of urban and rural areas, but the degree of impact varies regionally. The impact of digital economy on the integrated development of urban and rural areas in the western region is higher than that in other regions, and has no significant impact on the northeast region. Secondly, digital economy can affect the level of urban-rural integrated development by promoting industrial structure upgrading, advancing marketization processes, and promoting equalization of basic public services. Finally, the article analyzes the spatial effects of digital economy on urban-rural integrated development. Using the global Moran's I index, the spatial correlation test results based on the economic distance matrix show that there is a significant spatial correlation between digital economy and the integrated development of urban and rural areas. The spatial spillover effect test results based on adjacency matrix, inverse distance matrix, and economic distance matrix show that the improvement of digital economy level has a positive impact on local urban-rural integration, but has a negative spillover effect on neighboring areas. Research suggests that in order to effectively leverage the role of digital economy in promoting urban-rural integration, relevant policy measures should be implemented in areas such as formulating differentiated digital economy and urban-rural development policies, accelerating the construction of digital infrastructure, breaking down factor barriers to promote orderly flow of urban-rural factors, and optimizing the allocation of digital economic resources.
Keywords
digital economy
党的二十届三中全会强调要完善城乡融合发展体制机制。城乡融合是统筹城乡发展,实现城乡共荣的重要目标[
1
2
3
4
5
6
5
7
在新的历史阶段,走城乡融合发展道路应该借助于新的发展动力。近些年,数字经济快速发展,为城乡融合发展提供了重要机遇,国务院印发的《“十四五”数字经济发展规划》也明确指出要推进数字城乡融合发展。在以往的研究中,对于如何实现城乡融合发展,相关学者已作了众多有益的探索。城乡要素流动不畅及因信息约束等造成的资源错配等成为制约城乡融合发展的关键。推动城乡融合要打破城乡系统中的要素流通障碍[
8
9
10
11
12
13
14
15
16
17
18
李晓钟, 李俊雨. 数字经济发展对城乡收入差距的影响研究[J]. 农业技术经济, 2022(2): 77-93.
19-20
21
22
李梦娜, 周云波, 王梓印. 数字经济能否缓解农民工相对贫困:基于城市规模视角[J]. 中国农村经济, 2023(9): 48-73.
23-24
当前城乡空间相互交错,对于精准定义城市和农村也缺乏统一标准,推进户籍制度和社会保障制度改革是促进城乡融合发展的重要举措[
25
26
27
28
29
30
27
31
20
已有的研究主要从某一方面分析数字经济或城乡关系,而无论是数字经济还是城乡融合均是一个涉及多主体、多角度的概念,因此有必要从整体把握二者之间的关系,而且数字经济如何作用于城乡融合发展也缺乏相应的机制检验。中国数字经济和城乡融合发展的时空演变情况如何,数字经济是否可以有效促进城乡融合,其影响路径是怎样的?通过分析可以为数字时代更好地促进城乡融合发展提供政策建议。本文的边际贡献在于:第一,围绕产业结构优化升级、市场化进程的加速推进以及基本公共服务均等化的实现等维度,深入剖析数字经济如何促进城乡融合发展的机理,尝试补充该领域研究理论的不足,既丰富了有关城乡融合的研究,也有助于政府部门有针对性地制定数字经济发展的相关政策。第二,从城乡经济、生活、空间和社会四个维度构建了一套较为合理、完善的城乡融合指标体系,保障检验结果的科学性、准确性。第三,新增了对数字经济与城乡融合之间关系空间层面的分析,从空间和时间不同视角分析了数字经济对城乡融合发展影响的异质性,为中央政府调整财政资金并高效使用提供政策启示。
数字作为一种新的要素日益融入农村发展中,数字经济以数字化、信息化和智能化等特征成为城乡协同发展的重要驱动力。当前,数字经济以较强的渗透力影响着城乡融合发展,并发挥着一定的“乘数效应”。数字经济的发展将城市和乡村两个整体有机地联系起来,加强了相互之间的资源以及发展成果的共享,对城乡经济发展协调、城乡居民生活整体提升、城乡生活空间的一体化以及城乡社会的深度融合产生重要影响。首先,数字经济有利于促进城乡经济的融合,通过促进要素资源流动有助于促进城乡产业协同发展,而且通过数字化赋能,有助于缩小城乡经济发展差距。其次,数字经济促进城乡居民生活水平的协同发展。数字经济通过打破信息壁垒、提供便捷的生活服务、推动城乡公共服务均等化和促进文化交流和融合等方式,促进了城乡居民生活的融合和发展。再次,数字经济有助于城乡生活空间的融合。数字经济通过互联网、大数据等手段,打破了城乡之间的地理界限,促进了城乡生活空间的一体化,使得城市和农村之间的生活空间更加紧密地联系在一起。最后,数字经济可以促进城乡生活融合。数字技术的使用通过影响城乡居民的消费方式、就业方式、公共服务均等化和生活品质等对城乡生活融合产生重要影响。综合来看,数字经济通过影响城乡要素流动、资源交换、产业发展等作用于城乡经济、城乡居民生活、城乡生活空间以及城乡社会方面,进而影响城乡融合发展水平。基于上述分析,本文提出假说1。
假说1:数字经济发展水平的提升可以有效促进城乡融合发展。
数字经济不仅影响着城乡产业发展,而且对城乡市场、资源流动等产生重要影响,而这会间接作用于城乡融合发展。
数字经济作为新兴动力源泉,能够积极促进城乡产业结构的优化升级,并推动形成更加协同、高效、可持续的城乡产业生态体系,从而赋能城乡产业融合发展。数字经济相关产业具有高渗透性[
32
SUTHERLAND W, JARRAHI M H. The sharing economy and digital platforms: A review and research agenda[J]. International Journal of Information Management, 2018, 43: 328-341.
33-34
31
假说2:产业结构升级是数字经济赋能城乡融合发展的重要路径。
数字经济可以通过提升市场信息透明度、提升市场效率而推进城乡市场化进程,市场化进程的推进有利于促进城乡融合发展。一方面,数字经济通过大数据、云计算等技术手段,使得市场信息更加透明。城乡市场参与者可以更加便捷地获取各类市场信息和数据,这有助于减少信息不对称现象,降低市场交易的风险和不确定性。另一方面,数字经济通过数据分析和预测,能够更精准地指导资源的配置。这有助于减少资源的浪费和错配,提高资源的利用效率。在城乡市场中,数字经济的这种优化资源配置的作用可以帮助农民更好地了解市场需求,调整生产结构,从而避免产能过剩或短缺等问题,提高市场的整体效率。此外,数字经济可以促进城乡市场有效对接。随着农村互联网的普及和数字技术在消费领域的深入应用,电商、直播带货等新业态的发展不仅为农副产品打开了销路、推动了农产品营销模式的创新,同时也为优质产品下乡提供了渠道,有效促进供需市场的对接,而且对于激发农村居民消费需求、促进消费升级具有重要促进作用。城乡市场化进程增强了城乡之间的经济联系和互动。随着市场的逐步开放和规范化,城乡之间的经济往来更加频繁和紧密,形成了相互促进、共同发展的良好局面。这有助于推动城乡经济的一体化发展。基于此,本文提出假说3。
假说3:城乡市场化进程是数字经济作用于城乡融合发展的重要路径。
数字经济改善着社会治理方式,促进了基本公共服务的均等化。伴随着网络与大数据的应用,政府部门可以有效收集居民的服务需求信息,促进社会治理的公平性与效率性,提升公共服务质量[
35
36
37
假说4:城乡基本公共服务均等化是数字经济推进城乡融合发展的重要路径。
数字时代,各区域之间的联系日益紧密,区域之间的相互作用机制对经济发展和资源流动等产生重要影响。数字技术作为一种高效的技术手段,加深了不同产业间和区域间的联系,可以有效促进信息的传递和资源要素的流动等。而数字经济在影响本地城乡融合发展的同时,也会突破空间约束对周围区域产生影响。不同区域间的数字经济水平不一,数字经济发展的先行区对邻地城乡融合发展产生溢出效应。一方面,数字经济在促进本地城乡融合发展的同时会通过示范效应等影响周围地区的技术和经验学习等,从而有利于邻近地区在推进城乡融合的过程中更好地发挥数字效能;另一方面,由于不同地区数字经济发展水平存在差距,而发展水平较高的地区在一定程度上会对周围地区产生“虹吸效应”,加速邻近地区的劳动力、资本和技术等向本地区集聚,不利于周围地区城乡融合。基于此,本文提出假说5。
假说5:区域数字经济发展水平会对邻近地区的城乡融合发展产生溢出效应。
为分析数字经济对城乡融合发展的影响,本文构建了如下模型:

式中:UR
在数字经济影响城乡融合发展的过程中,会通过产业结构升级、市场化进程和基本公共服务均等化作用于城乡融合,基于此,本文构建如下模型,分析数字经济影响城乡融合发展的路径,具体的模型设定如下:


式中,UR
分析数字经济对城乡融合的影响时,不仅要考虑本地数字经济所带来的影响,同时也要考虑周围地区各因素所带来的外部性影响。本文使用空间自回归模型探究数字经济对城乡融合发展的空间作用,具体的模型构建如下:

式中,
2017年数字经济首次写入政府工作报告,而不同学者对数字经济的测算各异。总体来看,数字经济是一种以数字知识和信息为关键生产要素,以数字技术为核心驱动力,以现代信息网络为重要载体的经济形态,其中数字产业化和产业数字化是其重要核心,而数字基础设施是数字经济发展的重要载体。《中国数字经济发展白皮书》指出数字产业化主要包括电信业、信息制造和信息服务等行业,产业数字化是利用现代信息技术,对工业、制造业等传统产业进行数字化改造和升级。基于此,并借鉴赵涛等[
38
39
19
40
| 一级指标 | 二级指标 | 指标计算 |
|---|---|---|
| 数字基础设施 | 移动电话交换机占有率 | 移动电话交换机数量/年末人口(万户/万人) |
| 每千人域名数量 | 互联网域名数量/年末人口(个/千人) | |
| 宽带端口数量 | 人均宽带接入端口数(个) | |
| 宽带接入用户数 | 人均宽带接入用户数(个) | |
| 光缆密度 | 长途光缆长度/土地面积(公里/平方千米) | |
| 数字产业化 | 软件和信息技术服务业 | 软件业务收入(亿元) |
| 电子信息制造业 | 通信、计算机、电子等业务收入(亿元) | |
| 电信产业 | 邮电业务量(亿元) | |
| 产业数字化 | 数字物流 | 人均快递业务量(件) |
| 工业数字化建设 | 规模以上工业企业技术改造经费(亿元) | |
| 数字普惠金融 | 北京大学数字普惠金融指数 |
城乡融合是指打破区域壁垒,实现城乡要素的自由流动、城乡功能互补以及协同发展的一种新型城乡关系,城乡融合不仅表现出城乡差距的不断缩小而且也包含着资源的平等分配。城乡融合发展是一个涉及多角度、多层次的综合体系,已有学者对城乡融合发展进行了有益的探讨,有关城乡融合发展的指标主要集中于经济融合、社会融合、空间融合及生态融合等几个方面[
9
马志飞, 宋伟轩, 王捷凯, 等. 长三角地区城乡融合发展水平、演化及影响因素[J]. 自然资源学报, 2022(6): 1467-1480.
41-42
| 一级指标 | 二级指标 | 指标计算 |
|---|---|---|
| 经济融合 | 非农产值比重 | 二三产业总值/一产总值 |
| 产业同步化 | 第一产业增加值/二三产业增加值 | |
| 生活融合 | 人均收入比 | 城乡居民人均收入比值 |
| 工资性收入比 | 城乡居民人均工资性收入比值 | |
| 人均消费支出 | 城乡居民家庭人均消费性支出比值 | |
| 恩格尔系数 | 城乡恩格尔系数比值 | |
| 空间融合 | 人口城镇化 | 城镇人口/常住人口 |
| 土地城镇化 | 建成区面积/行政区划面积 | |
| 公路网密度 | (公路+铁路总里程)/土地面积(km/km2) | |
| 邮电业务量 | 邮电业务量/年末人口(万元/人) | |
| 社会融合 | 基础教育经费 | 农村与城市基础教育经费投入比值 |
| 医疗保健支出 | 农村与城镇居民人均医疗保健支出比值 | |
| 医疗保险参保人数 | 城乡医疗保险参保人数比值 | |
| 养老保险参保人数 | 城乡养老保险参保人数比值 |
对产业结构升级,相关研究中主要使用泰尔指数[
43
44
45
市场化进程是通过引入市场机制,使经济资源得到更有效的配置和利用,促进公共服务资源的优化配置,提高资源利用效率的重要表现。参考樊纲等[
46
基本公共服务均等化是指所有公民都能公平可及地获得大致均等的基本公共服务,关键在于确保机会均等,使每个人都能享有平等的发展机会和生活质量,是促进城乡融合发展的重要路径,本文使用人均地方财政一般公共服务支出表示。
本文在实际分析过程中控制了可能影响城乡融合发展的相关变量。财政分权与财政偏向型支出会影响地区城乡融合发展水平。苏春红和李真指出财政分权可以通过城市化与经济增长来带动农村发展,进而促进城乡融合发展[
47
48
49
50
42
51
本文所使用的数据来自2011—2020年《中国统计年鉴》《中国农村统计年鉴》《中国电子信息产业统计年鉴》《中国工业经济统计年鉴》《中国科技统计年鉴》,其中个别年份缺失的数据按照其变化趋势进行了平滑处理。此外,为增强数据的可比性本文进一步以2011年为基期,使用GDP平减指数进行了数据处理。相关变量的定义和描述性统计特征见表3。
| 变量类型 | 变量名称 | 变量定义 | 平均值 | 标准差 | 最小值 | 最大值 |
|---|---|---|---|---|---|---|
| 被解释变量 | 城乡融合发展水平 | 使用熵值法计算得到 | 0.19 | 0.11 | 0.06 | 0.78 |
| 核心解释变量 | 数字经济水平 | 使用熵值法计算得到 | 0.09 | 0.09 | 0.00 | 0.73 |
| 中介变量 | 产业结构升级 | 使用产业结构层次系数计算得到 | 1.30 | 0.72 | 0.44 | 5.24 |
| 市场化进程 | 市场化指数 | 7.13 | 1.77 | 3.36 | 11.93 | |
| 基本公共服务均等化 | 人均地方财政一般公共服务支出(万元/人) | 0.11 | 0.03 | 0.44 | 5.24 | |
| 控制变量 | 财政分权 | 人均地方财政支出/(人均地方财政支出+人均中央财政支出) | 0.47 | 0.09 | 0.29 | 0.77 |
| 财政支出偏向 | 城乡建设支出占财政总支出的比值 | 0.11 | 0.04 | 0.02 | 0.29 | |
| 农业现代化 | 农机总动力(千瓦/公顷) | 8.55 | 4.06 | 1.90 | 26.13 | |
| 经济水平 | 人均国内生产总值(亿元/万人) | 1.78 | 0.93 | 0.52 | 5.13 | |
| 人力资本水平 | 劳动力平均受教育年限(年) | 8.88 | 1.04 | 6.38 | 12.85 |
为探究中国数字经济的动态演化特征,本文使用Kernel核密度估计方法对数字经济的相关评价结果进行了探究。图1为30个省份及不同地区的数字经济发展水平的核密度图(西藏和香港、澳门、台湾由于数据可得性等原因未纳入分析)。从分布延展性看,中国数字经济的核密度曲线呈长右拖尾的情况,这在一定程度上表明各省份数字经济发展水平在不断上升。从时间变化看,我国数字经济发展水平的核密度曲线整体平稳,表明不同地区间的数字经济发展水平的绝对差异变化幅度相对较小,但从不同区域比较看,各区域之间表现出一定的差异,东部地区相对平稳。从分布形态上看,我国数字经济发展水平一直呈多峰的变化形态且多以宽峰为主,峰值变化呈增大的趋势,这说明我国数字经济发展水平呈现一定的多极分化趋势。从不同区域的比较看,东部地区的波峰变化相对平稳而且多以宽峰为主,而中部、西部以及东北地区的波峰变化比较明显且呈现由多极到单极的变化趋势,尤其是西部和东北地区的波动趋势明显,区域内部数字经济发展水平存在一定的差异。

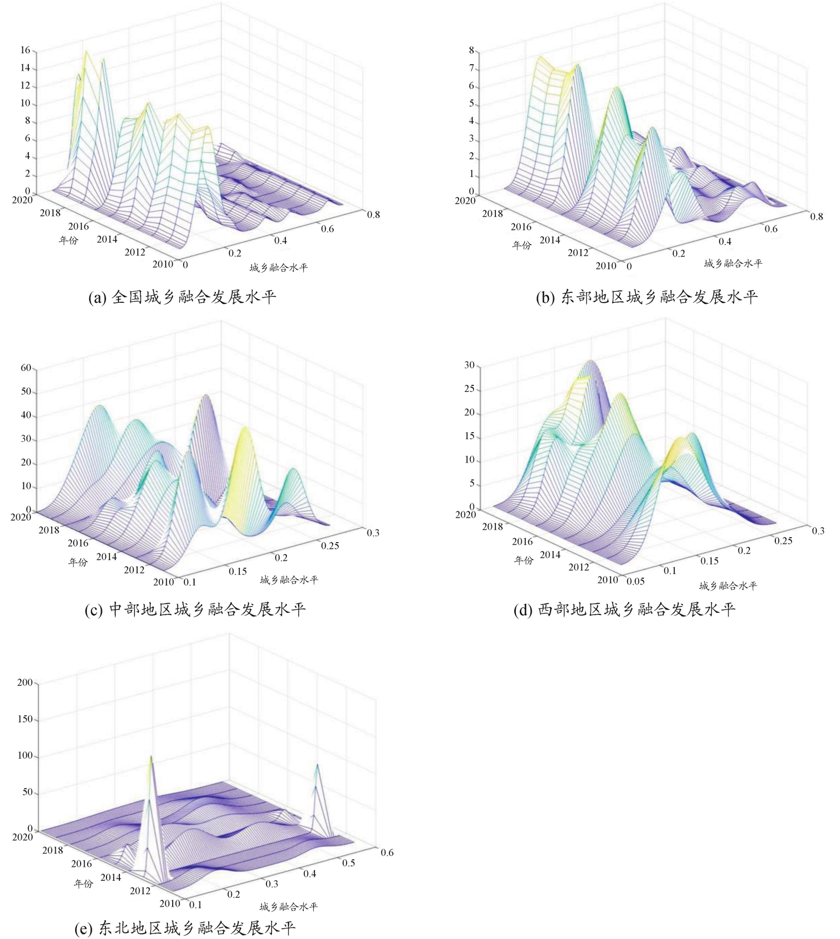
图2为城乡融合发展水平的核密度图。从分布位置看,城乡融合发展水平核密度曲线表现为随时间的推移逐渐右移,这说明整体上我国城乡融合发展水平呈上升的趋势。从分布形态看,总体上我国城乡融合发展水平的峰宽经历了由大到小的变动过程,主峰的峰值态势呈现增大—减小—增大的变化;另外,波峰个数呈现出逐渐增多的变化,这在各地区之间也表现出同样的趋势,尤其是2018年波峰个数增加的趋势明显。这说明,我国城乡融合发展水平整体上呈上升趋势,除东北地区外城乡融合发展的多极化趋势逐渐明显且呈现一定的极化现象,另外,区域间的梯度效应呈现不断强化的特征。

表4为使用固定效应模型分析的结果。模型1中仅分析了数字经济的单独回归结果。考虑到数字经济和城乡融合发展水平在区域间存在一定的差异,因此本文在模型3—模型5中进行了分地区的估计。模型1的结果显示,数字经济在1%的显著性水平上促进城乡融合发展,其影响系数为0.141 5,假说1得到验证。在分地区分析中,数字经济在不同地区间也均促进了城乡融合,但影响程度存在差异:对西部地区的影响最为明显,对东北地区无显著性影响,东中西部均通过了1%的显著性检验。对于西部地区,数字经济处于不断发展阶段,虽然总体水平较低,但在数字时代,西部地区可以更高效地借助数字经济进一步提升资源的配置效率,有力发挥其促进城乡融合发展的作用。而东北地区的产业结构以重工业为主,传统行业占比较大,因此需要进一步加快东北地区的产业数字化建设与改革。
| 变量 | 模型1 | 模型2 | 模型3 | 模型4 | 模型5 |
|---|---|---|---|---|---|
| 全国 | 东部 | 中部 | 西部 | 东北 | |
| 数字经济 | 0.141 5***(0.037 2) | 0.144 6***(0.054 5) | 1.028 2***(0.272 7) | 0.571 5***(0.177 7) | 0.186 9(0.277 6) |
| 财政分权 | 0.193 3*(0.101 2) | 0.073 6(0.238 2) | -0.092 5(0.157 2) | 0.348 7**(0.174 9) | 0.132 7(0.265 5) |
| 财政偏向 | 0.087 0(0.057 1) | 0.159 0(0.187 6) | -0.070 9(0.072 6) | 0.120 6(0.084 1) | 0.112 1(0.316 9) |
| 农业现代化 | 0.002 1***(0.000 5) | 0.002 8***(0.000 9) | -0.000 8(0.001 0) | 0.001 1(0.001 3) | 0.001 8(0.009 5) |
| 经济水平 | 0.014 6***(0.001 9) | 0.019 8***(0.003 3) | -0.005 6(0.005 6) | 0.005 0(0.006 5) | 0.001 9(0.007 2) |
| 人力资本水平 | 0.010 9(0.007 9) | 0.056 7***(0.017 6) | -0.004 6(0.011 5) | -0.008 7(0.011 6) | -0.006 6(0.031 7) |
| 省份 | Yes | Yes | Yes | Yes | Yes |
| 年份 | Yes | Yes | Yes | Yes | Yes |
| Constant | -0.165 5(0.101 3) | -0.581 3**(0.257 4) | 0.209 0(0.150 3) | -0.093 3(0.157 8) | 0.065 6(0.394 8) |
| Observations | 300 | 100 | 70 | 100 | 30 |
| R-squared | 0.906 3 | 0.915 1 | 0.969 1 | 0.933 6 | 0.973 2 |
| Number of code | 30 | 10 | 7 | 10 | 3 |
| P-value | 0.000 0*** | 0.000 1*** | 0.005 7** |
为检验结果的可靠性,本文进一步通过更换研究样本以及使用工具变量法进行稳健性分析。在更换样本检验中,本文删除了4个直辖市的数据,因为相对于其他地区,直辖市的数字经济和城乡融合水平相对较高,而这可能会高估数字经济对城乡融合的影响。另外,使用工具变量方法进行估计主要是因为数字经济与城乡融合发展之间可能存在反向因果关系导致内生性问题,这可能导致结果的偏误,而最常见的解决这一内生性问题的方法是使用工具变量进行估计。参考黄群慧等[
52
53
| 变量 | 模型1 | 模型2 |
|---|---|---|
| 更换样本 | 工具变量法 | |
| 数字经济 | 0.080 9**(0.032 1) | 0.577 6***(0.190 4) |
| 控制变量 | Yes | Yes |
| 省份 | Yes | Yes |
| 年份 | Yes | Yes |
| Constant | 0.061 1(0.087 0) | 0.147 3(0.160 9) |
| Observations | 260 | 300 |
| Number of code | 26 | 30 |
| R-squared | 0.929 2 | 0.965 1 |
表6分别显示了产业结构升级、市场化进程和基本公共服务均等化在数字经济影响城乡融合发展中所发挥的作用。
| 变量名称 | 模型1 | 模型2 | 模型3 | 模型4 | 模型5 | 模型6 | 模型7 |
|---|---|---|---|---|---|---|---|
| 城乡融合 | 产业结构升级 | 城乡融合 | 市场化进程 | 城乡融合 | 基本公共服务均等化 | 城乡融合 | |
| 数字经济 | 0.126 8***(0.039 8) | 0.489 4**(0.247 5) | 0.122 5***(0.036 2) | 2.434 9***(0.913 4) | 0.123 6***(0.037 1) | 0.072 5***(0.020 2) | 0.127 2***(0.037 9) |
| 产业结构升级 | 0.038 8***(0.009 1) | ||||||
| 市场化进程 | 0.007 3***(0.002 5) | ||||||
| 基本公共服务均等化 | 0.196 6*(0.114 8) | ||||||
| 控制变量 | Yes | Yes | Yes | Yes | Yes | Yes | Yes |
| 省份 | Yes | Yes | Yes | Yes | Yes | Yes | Yes |
| 年份 | Yes | Yes | Yes | Yes | Yes | Yes | Yes |
| Constant | 0.126 8***(0.039 8) | -0.619 8(0.675 1) | -0.141 4(0.098 3) | 6.652 2***(2.491 3) | -0.214 3**(0.101 3) | -0.021 6(0.055 1) | -0.161 2(0.101 0) |
| Observations | 0.1268*** | 300 | 300 | 300 | 300 | 300 | 300 |
| R-squared | (0.039 8) | 0.765 2 | 0.912 6 | 0.745 7 | 0.909 4 | 0.802 4 | 0.907 4 |
| Number of code | 0.126 8*** | 30 | 30 | 30 | 30 | 30 | 30 |
从产业结构升级的影响路径看,数字经济在5%的显著性水平上促进了产业结构升级。数字经济作为一种新的经济形态,可以有效释放数字红利,促进传统产业的升级改造。将产业结构升级与数字经济发展水平放入城乡融合的影响模型中,可以看出二者对城乡融合发展水平的提升均具正向促进作用。结合模型1的结果,可以认为,数字经济不仅对城乡融合发展产生直接促进作用,还可以通过促进产业结构升级进一步提升城乡融合发展水平。当前,数字技术不仅渗透在各行业中,而且伴随着数字技术的应用,各行业的生产效率也得到有效提升,同时也有效促进了资源的配置。而随着产业升级,新经济、新业态的涌现也促进了农村地区的产业融合发展,不仅有利于提升农村居民的收入水平,还促进了城乡之间的生活、空间及社会之间的融合发展。
从市场化进程的影响路径看,模型4中和模型5中,关键指标均在1%的水平上显著,可以认为市场化进程是数字经济影响城乡融合发展的重要路径。数字经济通过推动要素市场化进程、突破时空局限、降低信息不对称性以及助力高水平社会主义市场经济体制构建等多种方式,对市场化进程产生积极影响。而市场化进程推动了城乡之间的经济联系互动和城乡基础设施的改善。此外,市场化进程还推动了城乡产业结构的优化,随着市场经济的不断发展,城市和乡村的产业结构也在不断调整和优化。而且市场化进程推动了城乡经济的转型升级,是数字经济作用于城乡融合的重要路径。
从基本公共服务均等化方面看,模型6中数字经济在1%的显著性水平上促进了基本公共服务的均等化,模型7中数字经济与基本公共服务均等化对城乡融合发展均具有显著促进作用,分别通过1%和10%的显著性检验。数字经济可以通过数据分析和挖掘,更好地了解不同地区、不同群体的需求和偏好,从而优化资源配置,提高基本公共服务的覆盖面和均等化水平。而且数字经济可以促进基本公共服务信息的共享和整合,打破信息壁垒,提高信息的透明度和均等化水平。通过推进基本公共服务均等化,可以加强城乡之间的联系和互动,推动城乡一体化建设。
数字经济的发展畅通了城乡要素的流动空间,而不同区域之间的经济活动交流不仅会对周围区域的发展产生带动作用,而且也可能会加剧邻近地区资源的竞争,也即区域之间会存在相互依赖与相互影响的特征。对于城乡融合发展来说,区域城乡融合发展水平在一定程度上还受到周围数字环境的影响,基于此,本文使用空间计量模型探究数字经济是否会对城乡融合发展产生空间影响。首先,使用全局Moran's I指数检验了经济距离矩阵
| 年份 | 城乡融合 | 数字经济 | ||||
|---|---|---|---|---|---|---|
| Moran's I | Z值 | P值 | Moran's I | Z值 | P值 | |
| 2011 | 0.411 | 3.322 | 0.001 | 0.322 | 2.375 | 0.018 |
| 2012 | 0.360 | 2.968 | 0.003 | 0.356 | 2.614 | 0.009 |
| 2013 | 0.361 | 2.990 | 0.003 | 0.264 | 2.006 | 0.045 |
| 2014 | 0.341 | 2.786 | 0.005 | 0.270 | 2.027 | 0.043 |
| 2015 | 0.410 | 3.244 | 0.001 | 0.303 | 2.238 | 0.025 |
| 2016 | 0.387 | 3.101 | 0.002 | 0.327 | 2.394 | 0.017 |
| 2017 | 0.332 | 2.803 | 0.005 | 0.038 | 2.739 | 0.006 |
| 2018 | 0.310 | 2.721 | 0.007 | 0.365 | 2.687 | 0.007 |
| 2019 | 0.275 | 2.404 | 0.016 | 0.322 | 2.432 | 0.015 |
| 2020 | 0.271 | 2.367 | 0.018 | 0.308 | 2.369 | 0.018 |
表8为空间溢出效应的结果,分别考察了使用邻接矩阵、反距离矩阵以及经济距离矩阵下的影响结果。使用LM检验、LR检验、Hausman检验等方法对模型拟合结果进行了分析,发现数字经济对城乡融合的影响分析中使用固定效应的空间滞后(SAR)模型为最优。由表8的结果可以看出,空间自回归系数与数字经济的影响系数均在1%的水平上显著。为进一步厘清数字经济对城乡融合发展的影响,本文使用效应分解的方法得到数字经济对城乡融合发展的直接效应、间接效应以及总效应。在直接效应方面,数字经济在各类型权重矩阵下对城乡融合的影响均显著为正,也即数字经济可以有效促进本地区的城乡融合。在间接效应方面,数字经济的影响系数显著为负,说明数字经济对邻接地区的城乡融合表现出一定的抑制作用,可能的解释在于本地数字经济的发展会带来一定的“虹吸效应”,使得邻接地区的资源要素等流向本地,更多促进了本地城乡融合水平的提升。
| 变量 | 模型1 | 模型2 | 模型3 |
|---|---|---|---|
| 邻接矩阵 | 反距离矩阵 | 经济距离矩阵 | |
| 数字经济 | 0.149 5***(0.033 3) | 0.128 2***(0.035 8) | 0.134 8***(0.035 9) |
| 直接效应 | 0.161 9***(0.037 1) | 0.131 9***(0.037 4) | 0.138 2***(0.037 5) |
| 间接效应 | -0.100 2***(0.025 1) | -0.053 9***(0.020 6) | -0.025 7**(0.010 6) |
| 总效应 | 0.061 6***(0.015 0) | 0.078 0***(0.026 4) | 0.112 5***(0.031 0) |
| rho | -1.465 2***(0.226 4) | -0.702 3***(0.238 6) | -0.212 5***(0.064 9) |
| sigma2_e | 0.000 3***(0.000 0) | 0.000 3***(0.000 0) | 0.000 3***(0.000 0) |
| Observations | 300 | 300 | 300 |
| R-squared | 0.633 5 | 0.711 5 | 0.763 3 |
本文使用2011—2020年全国30个省份的面板数据,通过熵值法测算了各省份数字经济和城乡融合发展水平,并对其时空差异特征进行了分析,在此基础上进一步分析了数字经济对城乡融合发展的影响,并探究了产业结构升级、市场化进程以及基本公共服务均等化的作用效果。主要研究结论如下:第一,中国数字经济和城乡融合发展水平均呈现出快速发展的特征,但在区域间存在显著差异,表现为“东高西低”的不平衡特征。第二,数字经济可以有效促进城乡的融合发展,但在影响程度上存在区域差异,数字经济对西部地区城乡融合发展水平影响效应最为明显。第三,数字经济可以有效促进产业结构升级,并且对市场化进程和基本公共服务均等化也具有显著促进作用,而产业结构升级、市场化进程及基本公共服务均等化在数字经济影响城乡融合发展过程中发挥着显著的中介影响。第四,数字经济与城乡融合发展水平存在空间相关性,数字经济可以显著提升本地区的城乡融合发展水平,而对邻近地区具有负向溢出影响。
基于研究结果,为有效发挥数字经济在城乡融合发展中的作用,本文提出以下政策建议。
第一,制定区域差异化政策,推进区域协调发展。一方面,针对不同区域的发展水平和特点,制定差异化的数字经济发展政策。对于东部地区,重点支持其数字经济创新发展和高端产业集聚;对于中西部和东北地区,则加大基础设施建设和人才引进力度,促进其数字经济快速起步。另一方面,针对城乡融合发展的不同基础和条件,制定更具针对性的政策。东部地区应重点推进城乡一体化发展,探索更高层次的融合发展模式;中西部和东北地区则需加强基础设施建设,提升公共服务水平,为城乡融合发展奠定坚实基础。
第二,加快数字基础设施的建设,为城乡融合发展提供坚实的技术支持。一方面,推动区域间数字基础设施方面的资源共享与合作,通过技术转移、经验分享等方式,加速数字经济发展薄弱地区的数字基础设施的完善,有效激发数字经济的动能。另一方面,加快数字化公共文化服务向基层延伸,提升农村地区数字资源、数字化服务中心等文化服务建设水平。通过数字化技术,提高基本公共服务的提供效率和质量。例如,利用大数据、云计算等技术,实现基本公共服务的精准供给,满足不同地区、不同人群的需求。
第三,打破要素壁垒,推进城乡要素的有序流动。首先,提升要素流动效率,推进城乡产业结构转型升级。大力推进农业的数字化和智能化发展,并积极培育农业经营新方式和新业态,以农业数字化为基础,加快农村电商、乡村旅游的建设,推进农村一二三产业的融合发展。其次,推进要素的市场化进程。支持建设数字化交易平台,贯通城乡消费市场,进一步拓宽数字交易平台等的服务能力,促进土地、资金等的优化配置。最后,推进基本公共服务的均等化。以数字技术为依托搭建城乡“数字桥梁”,促进乡村治理的数字化建设;推动“互联网+政务服务”向农村延伸,提升农村地区的政务服务水平,打造促进城乡要素双向流动的环境。
第四,优化数字经济资源配置,加强区域合作。一方面,引导资源合理流动,通过政策引导和市场机制,促进数字经济资源在区域内的合理流动和高效配置,减少资源在邻近地区间的过度集中和浪费。另一方面,鼓励邻近地区建立数字经济合作平台,通过定期交流、信息共享和联合项目等方式,共同应对数字经济带来的挑战,减少负向溢出效应。此外,政府应牵头制定区域协同发展规划,明确各地区的数字经济发展方向和重点,避免产业同质化竞争,促进区域间的错位发展和优势互补。
经济距离矩阵设定为样本期内各省份人均GDP平均值差值倒数的绝对值。
参考文献:
| [1] | |
| [2] | |
| [3] | |
| [4] | |
| [5] | |
| [6] | |
| [7] | |
| [8] | |
| [9] | |
| [10] | |
| [11] | |
| [12] | |
| [13] | |
| [14] | |
| [15] | |
| [16] | |
| [17] | |
| [18] | |
| [19] | |
| [20] | |
| [21] | |
| [22] | |
| [23] | |
| [24] | |
| [25] | |
| [26] | |
| [27] | |
| [28] | |
| [29] | |
| [30] | |
| [31] | |
| [32] | |
| [33] | |
| [34] | |
| [35] | |
| [36] | |
| [37] | |
| [38] | |
| [39] | |
| [40] | |
| [41] | |
| [42] | |
| [43] | |
| [44] | |
| [45] | |
| [46] | |
| [47] | |
| [48] | |
| [49] | |
| [50] | |
| [51] | |
| [52] | |
| [53] |