国家级大数据综合试验区促进数字化绿色化协同发展研究
作者简介:
孙博文,中国社会科学院数量经济与技术经济研究所绿色创新经济研究室副主任,副研究员,中国社会科学院大学副教授,Email:
基金项目:
国家自然科学基金青年项目“中国清洁生产环境规制的减污降碳协同效应、机制与路径研究”
中国社会科学院经济大数据与政策评估实验室
国家自然科学基金面上项目“碳中和目标下清洁能源省域消纳机理及路径研究:基于多尺度空间视角”
中国社会科学院2023年度制度基础研究项目“面向碳达峰碳中和的绿色低碳先进技术分类识别、国际比较与支持政策研究”
中图分类号:
F069.9
文献标识码:
A
欢迎按以下格式引用:
孙博文,杨霄斐,苏鑫. 国家级大数据综合试验区促进数字化绿色化协同发展研究[J]. 重庆大学学报(社会科学版),2025(1):79-99. Doi:10.11835/j.issn.1008-5831.jg.2024.09.005.
摘要
加快数字化绿色化协同是高质量发展的内在要求,也是数字生态文明建设的重要途径。数字经济政策是否在促进数字化的同时实现了地区绿色化协同转型?这是一个热点问题。文章在分别构建中国省级层面数字化与绿色化发展评价指标体系的基础上,运用耦合协调度模型测算了中国2012—2020年30个省份数字化绿色化协同发展指数,并对其变动特征及区域差异进行分析。进一步,基于国家级大数据综合试验区(简称“大数据试验区”)的准自然实验,对数字经济政策是否实现了数字化绿色化协同发展进行实证检验,并对其内在机制及异质性进行深入剖析。研究发现:各省份数字化、绿色化发展水平均逐年提升,但总体水平不高,且地区差距明显;各省份数字化绿色化协同发展水平均不断提高,但整体水平有待提升,仅有北京、广东、上海、江苏等四省市耦合协调度高于0.7,达中度协调及以上水平,另有22个省份耦合协调度不足0.5,未达协调水平。基准回归显示,大数据试验区的设立显著地促进了数字化发展、绿色化发展以及数字化绿色化协同发展水平。机制检验表明:(1)大数据试验区通过数字产业化、产业数字化两条渠道促进了省级数字化发展,通过绿色创新促进了绿色化发展。(2)数字化与绿色化存在循环互促机制,体现了数字化绿色化协同发展的底层逻辑,具体地,“数字化赋能绿色化”是通过数字基础设施建设促进绿色创新和绿色生产,以及数字创新能力促进绿色创新的积极作用实现的;“绿色化牵引数字化”则是通过绿色创新对数字基础设施和数字技术的需求牵引效应实现。(3)大数据试验区强化了绿色发展的数字化效应;但未强化数字发展的绿色化效应,原因在于,大数据试验区提高了绿色创新能力,进而刺激对数字基础设施和数字技术的需求,增强绿色发展对数字化发展的牵引效果;但由于数字产业化和产业数字化未能推动生产绿色化转型,导致大数据试验区未能强化数字发展对绿色发展的赋能效应。(4)异质性分析表明,在知识吸收能力更强、产业结构高级化水平更高的地区,大数据试验区建设对数字化绿色化协同发展的促进作用更明显。
关键词
国家大数据综合试验区;数字化;绿色化;耦合协调度;数字化绿色化协同发展;
Research on national big data comprehensive pilot zones empowering digitalization and green collaborative development
Citation Format:
SUN Bowen, YANG Xiaofei, SU Xin. Research on national big data comprehensive pilot zones empowering digitalization and green collaborative development[J]. Journal of Chongqing University (Social Science Edition), 2025(1): 79-99. Doi: 10.11835/j.issn.1008-5831.jg.2024.09.005.
Abstract
Accelerating the synergy between digitalization and green transformation is an intrinsic requirement for high-quality development and an important pathway for constructing a digital ecological civilization. A pressing question is whether digital economy policies are facilitating digitalization while simultaneously achieving regional green transformation. This study constructs evaluation indices for digitalization and green transformation at the provincial level in China. Based on a coupling and coordination model, the study calculates the digitalization-greenization synergism development index (DGSDI) for 30 provinces in China from 2012 to 2020, analyzing its variation characteristics and regional differences. Additionally, employing a quasi-natural experiment of national big data comprehensive pilot zones, the study empirically tests whether digital economy policies have achieved synergistic development in digitalization and green transformation and delves into their internal mechanisms and heterogeneity. The findings reveal: 1) Both digitalization and green transformation levels in provinces have improved annually, yet the overall levels remain low with clear regional disparities. The synergistic development level of digitalization and green transformation has continuously increased, yet it remains low overall. Only Beijing, Guangdong, Shanghai, and Jiangsu have a coupling coordination degree above 0.7, reaching a moderate coordination level, while 22 other provinces have a degree below 0.5, not reaching the coordination level.2) The establishment of big data pilot zones significantly promotes the levels of digitalization, green transformation, and their synergistic development.3) Mechanism testing shows that: firstly, big data pilot zones have promoted provincial-level digital development through two channels: digital industrialization and industrial digitization, promoting green development through green innovation. Secondly, there exists a circular and mutually reinforcing mechanism between digitalization and greening, which is the underlying logic of the coordinated development of digitalization and greening. Specifically, digitalization empowers greening by promoting green innovation and production through digital infrastructure construction, as well as the positive role of digital innovation capabilities in promoting green innovation; Greening driven digitization is achieved through the demand driven effect of green innovation on digital infrastructure and digital technology. Thirdly, big data pilot zones have strengthened the digital effect of green development, but has not strengthened the green effect of digital development. The reason is that big data pilot zones have improved green innovation capabilities, thereby stimulating demand for digital infrastructure and technology, and enhancing the traction effect of green development on digital development; However, due to the failure of digital industrialization and industrial digitization to promote the green transformation of production, big data pilot zones have failed to strengthen the empowering effect of digital development on green development.4) Heterogeneity analysis shows that in regions with stronger knowledge absorption capacity and higher levels of industrial structure upgrading, the construction of big data pilot zones has a more significant promoting effect on the collaborative development of digital and green development.
Keywords
national big data comprehensive pilot zone
新一轮科技革命与产业变革加速演进,数字化和绿色化已成为全球经济社会发展的重要趋势。党的二十大报告要求,“加快发展数字经济,促进数字经济和实体经济深度融合”,“推动绿色发展,促进人与自然和谐共生”。数字化与绿色化是培育新质生产力、推动高质量发展的内在要求,加快实现数字化绿色化协同发展,将为中国式现代化建设提供强大动力支撑以及厚植人与自然和谐共生的绿色发展底色。但在已有的实践中,数字基础设施高耗能以及产业绿色低碳转型的数字技术融合不足问题,对绿色低碳转型形成掣肘,数字化绿色化协同发展水平有待提升。由于数字技术与绿色技术的多重外部性属性,通过数字技术政策或绿色低碳政策出台、推动落地见效,是直接促进数字经济发展与绿色转型的重要驱动力,也是实现以数字化赋能绿色化、以绿色化牵引数字化的重要途径。2023年中共中央、国务院印发的《数字中国建设整体布局规划》中提出,要建设绿色智慧的数字生态文明,加快数字化绿色化协同转型。2024年8月,中央网信办等十部门联合印发《数字化绿色化协同转型发展实施指南》,要求为深入贯彻落实党的二十届三中全会精神,推动互联网、大数据、人工智能、第五代移动通信(5G)等新兴技术与绿色低碳产业深度融合,利用数智技术、绿色技术改造提升传统产业,加快数字化绿色化协同转型发展。鉴于以上讨论,本研究以国家级大数据综合试验区为政策试点,基于数字化绿色化互动逻辑的探讨,深入讨论其在促进数字经济发展的过程中,是否实现了绿色转型协同目标,作用机制如何,以及存在什么样的外部约束条件。回答好这一问题,不仅能系统把握我国数字化绿色化协同的特征事实,而且有助于进一步疏通数字化绿色化协同发展的堵点,对于优化数字经济政策、实现数字化与绿色化协同发展有重要理论和政策价值。
诸多研究对数字化、绿色化的内涵特征、测度、影响因素以及数字化的绿色效应进行了深入探讨,但对两者协同发展的测度研究还较为少见。一是绿色化测度方面,英国环境学家皮尔斯首次提出“绿色经济”的概念,强调资源和环境的承载能力,认为绿色经济是一种追求可持续发展的经济模式,其目的是实现人类福祉与环境保护的平衡[
1
2
3
4
5
6
7
8
9
7
10
万攀兵, 杨冕, 陈林. 环境技术标准何以影响中国制造业绿色转型:基于技术改造的视角[J]. 中国工业经济, 2021(9): 118-136.
胡洁, 于宪荣, 韩一鸣. ESG评级能否促进企业绿色转型:基于多时点双重差分法的验证[J]. 数量经济技术经济研究, 2023(7): 90-111.
11-13
曹裕, 李想, 胡韩莉, 等. 数字化如何推动制造企业绿色转型:资源编排理论视角下的探索性案例研究[J]. 管理世界, 2023(3): 96-112,126,113.
14-15
王锋正, 刘向龙, 张蕾, 等. 数字化促进了资源型企业绿色技术创新吗?[J]. 科学学研究, 2022(2): 332-344.
肖静, 曾萍. 数字化能否实现企业绿色创新的“提质增量”:基于资源视角[J]. 科学学研究, 2023(5): 925-935,960.
16-18
19
作为中国首个数字经济试点政策,国家级大数据综合试验区的设立旨在打破数据资源壁垒,加快数据开放共享,推动产业创新发展,助力经济转型升级。在国家大数据综合试验区的相关政策评估研究中,大都以大数据试验区的设立为准自然实验,探究其对数字化转型的影响[
20
程云洁, 段鑫. 数字经济能促进城市减霾降碳吗:基于八大国家级大数据试验区的准自然实证分析[J]. 软科学, 2024(1): 8-15.
张修凡, 范德成. 数字经济发展赋能我国低碳经济转型研究:基于国家级大数据综合试验区的分析[J]. 科技进步与对策, 2023(19): 118-128.
21-23
本文可能的边际贡献在于:一是在分别优化构建数字化与绿色化评价体系的基础上,进一步基于耦合协调度模型测度了中国2012—2020年30个省(自治区、直辖市)数字化绿色化协同指数,呈现了我国数字化绿色化协同特征事实,为各省份判断数绿融合发展水平与趋势分析提供参考。二是基于国家级大数据试验区的设立作为准自然实验,采用倍差估计法(DID)科学评估大数据试验区对数字化、绿色化以及数字化绿色化协同发展的影响,能够有效缓解数字经济的内生问题。三是在机制分析方面,综合考虑大数据试验区对数字化、绿色化的影响,并对数字化赋能绿色化、绿色化牵引数字化的循环互促机制进行讨论。不少研究讨论了大数据试验区的绿色化效应,并将其视为数字化绿色化协同的证据。但相关研究并未基于数字化与绿色化互动机制的存在基础,导致这一结论并不可靠,本文试图弥补这一不足。
| 数字化发展 | 一级指标 | 权重 | 二级指标 | 二级指标权重 |
|---|---|---|---|---|
| 数字基础设施 | 0.181 | 互联网宽带接入端口数 | 0.213 | |
| 互联网宽带接入用户数 | 0.225 | |||
| 移动电话普及率 | 0.099 | |||
| 光缆密度 | 0.464 | |||
| 数字产业化 | 0.252 | 软件业务收入占GDP比重 | 0.372 | |
| 计算机服务及软件从业人员占比 | 0.274 | |||
| 电信业务总量 | 0.354 | |||
| 产业数字化 | 0.095 | 企业电子商务占GDP比重 | 0.510 | |
| 有电子商务交易活动的企业数比重 | 0.239 | |||
| 每百家企业拥有网站个数 | 0.182 | |||
| 数字普惠金融指数 | 0.069 | |||
| 数字创新能力 | 0.472 | 人均数字发明专利申请数量 | 0.246 | |
| 人均数字实用新型专利申请数量 | 0.148 | |||
| 人均登记软件著作权数量 | 0.377 | |||
| 登记软件著作权的企业数量 | 0.228 |
| 绿色化发展 | 一级指标 | 权重 | 二级指标 | 二级指标权重 |
|---|---|---|---|---|
| 绿色生产 | 0.148 | 单位工业增加值综合能耗 | 0.051 | |
| 单位工业增加值SO2排放量 | 0.034 | |||
| 城市污水日处理能力 | 0.356 | |||
| 工业利润额占营业收入比重 | 0.086 | |||
| 火力发电比率 | 0.416 | |||
| 能源结构 | 0.056 | |||
| 绿色生活 | 0.165 | 生活垃圾无害化处理率 | 0.047 | |
| 每万人拥有公共交通车辆数 | 0.213 | |||
| 人均日生活用水量 | 0.117 | |||
| 地方财政环境保护支出 | 0.438 | |||
| 人均公园绿地面积 | 0.185 | |||
| 绿色创新能力 | 0.687 | 人均绿色发明专利申请数量 | 0.249 | |
| 人均绿色实用新型专利申请数量 | 0.177 | |||
| 绿色发明专利合作研发申请数量 | 0.285 | |||
| 绿色发明专利转移数量 | 0.288 |
一是省级数字化发展评价指标体系。中国信息通信研究院将数字经济定义为以数字化的知识和信息为关键生产要素,以数字技术创新为核心驱动力,以现代信息网络为主要载体,通过数字技术与实体经济深度融合,不断提高传统产业数字化、智能化水平,加速重构经济发展与政府治理模式的新型经济形态
24
25
二是省级绿色化发展评价指标体系。绿色化的核心目标是实现可持续发展,提升资源利用效率以及减少环境污染和生态破坏。本文对绿色化指标构建侧重经济社会领域,从绿色生产、绿色生活、绿色创新能力三个方面进行测度。绿色生产与绿色生活的指标选取参考田时中和丁雨洁[
26
5
本文以2012—2020年中国30个省份的面板数据为样本,鉴于数据的可得性和可比性,不考虑西藏、香港、澳门和台湾。本文数据主要来源于《中国统计年鉴》《中国环境统计年鉴》《中国能源统计年鉴》《中国工业统计年鉴》,登记软件著作权相关数据来源于企研·社科大数据平台(CBDPS),专利数据来源于中国研究数据服务平台(CNRDS),绿色创新辐射能力的指标来源于自主构建的中国社会科学院经济大数据与政策评估实验室(2024SYZH004)绿色创新数据平台,在省份维度加总获得相关指标数据。部分缺失值使用插值法补全。
本文首先利用熵权法测度各一级指标下二级指标的权重,并据此计算出各一级指标的评价指数。在此基础上,利用熵权法测算各一级指标在综合评价中的权重,进一步计算数字化发展或绿色化发展的综合评价指数。
具体地,各二级指标权重确定与一级指标的评价指数确定方法如下。
第一,对二级指标进行规范化处理。
其中:
第二,将各指标同度量化,计算第

第三,确定第
。其中
第四,计算第
第五,对差异系数归一化处理,计算第
。
第六,计算各一级指标的熵权法评价指数,
。
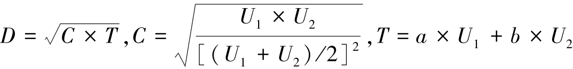
数字化与绿色化协同发展是指数字化与绿色化子系统之间互相关联、互相配合,最终达到整个系统的有序繁荣发展。本文研究内容与耦合协调度模型的理论意义较为契合,故选用耦合协调度模型对数字化与绿色化协同发展水平进行测度。耦合协调度

其中:
借鉴王淑佳等[
27
| 耦合协调度 | 协调等级 | 耦合协调度 | 协调等级 |
|---|---|---|---|
| [0,0.1) | 极度失调 | [0.5,0.6) | 勉强协调 |
| [0.1,0.2) | 严重失调 | [0.6,0.7) | 初级协调 |
| [0.2,0.3) | 中度失调 | [0.7,0.8) | 中级协调 |
| [0.3,0.4) | 轻度失调 | [0.8,0.9) | 良好协调 |
| [0.4,0.5) | 濒临失调 | [0.9,1] | 优质协调 |
表4汇报了根据熵权法计算出的部分年份的数字化发展指数与绿色化发展指数。发现数字化发展与绿色化发展呈现时间一致性特征:数字化与绿色化水平均逐年提高,全国层面的数字化发展均值水平从2012年的0.067提升至2020年的0.245;绿色化发展均值水平从2012年的0.103提升至2020年的0.256。除时间一致性特征外,数字化发展与绿色化发展还呈现地区一致性特征:在数字化水平较高的地区,如北京、广东、上海、江苏、浙江等地,其绿色发展水平也较高。这为本文后续探讨数字化赋能绿色化、绿色化牵引数字化的数字化绿色化协同发展机制提供了事实依据。分地区看,各省份数字化发展水平差距明显,数字化的大幅增长发生在初始数字化水平较高的东部地区,北京、广东、上海、江苏、浙江、山东、天津等始终位于数字化发展水平前列。尽管数字化指数与绿色化指数逐年增长,但总体水平不高,对比2020年北京数字化指数与绿色化指数分别为0.895与0.832,全国均值水平仅为0.245与0.256,数字化发展与绿色化发展仍有很大提升空间。
| 省份 | 2012 | 2014 | 2016 | 2018 | 2020 | |||||
|---|---|---|---|---|---|---|---|---|---|---|
| U1 | U2 | U1 | U2 | U1 | U2 | U1 | U2 | U1 | U2 | |
| 北京 | 0.398 | 0.271 | 0.500 | 0.497 | 0.594 | 0.611 | 0.723 | 0.701 | 0.895 | 0.832 |
| 广东 | 0.225 | 0.201 | 0.286 | 0.242 | 0.372 | 0.300 | 0.532 | 0.448 | 0.635 | 0.524 |
| 上海 | 0.206 | 0.108 | 0.319 | 0.142 | 0.396 | 0.196 | 0.477 | 0.264 | 0.594 | 0.374 |
| 江苏 | 0.168 | 0.196 | 0.210 | 0.285 | 0.284 | 0.324 | 0.394 | 0.421 | 0.503 | 0.531 |
| 浙江 | 0.154 | 0.144 | 0.202 | 0.202 | 0.273 | 0.266 | 0.379 | 0.323 | 0.469 | 0.390 |
| 山东 | 0.085 | 0.137 | 0.123 | 0.182 | 0.183 | 0.228 | 0.254 | 0.262 | 0.325 | 0.340 |
| 天津 | 0.077 | 0.118 | 0.123 | 0.167 | 0.178 | 0.245 | 0.211 | 0.251 | 0.305 | 0.309 |
| 四川 | 0.056 | 0.159 | 0.100 | 0.193 | 0.156 | 0.220 | 0.217 | 0.262 | 0.288 | 0.298 |
| 福建 | 0.081 | 0.102 | 0.108 | 0.146 | 0.149 | 0.210 | 0.204 | 0.221 | 0.237 | 0.242 |
| 辽宁 | 0.083 | 0.100 | 0.120 | 0.133 | 0.128 | 0.142 | 0.153 | 0.173 | 0.194 | 0.207 |
| 安徽 | 0.038 | 0.068 | 0.073 | 0.108 | 0.119 | 0.138 | 0.184 | 0.191 | 0.236 | 0.212 |
| 河南 | 0.039 | 0.065 | 0.070 | 0.097 | 0.115 | 0.125 | 0.177 | 0.196 | 0.234 | 0.213 |
| 湖北 | 0.045 | 0.128 | 0.074 | 0.160 | 0.117 | 0.187 | 0.161 | 0.221 | 0.213 | 0.280 |
| 陕西 | 0.049 | 0.086 | 0.075 | 0.114 | 0.112 | 0.125 | 0.157 | 0.153 | 0.209 | 0.201 |
| 河北 | 0.043 | 0.089 | 0.068 | 0.126 | 0.105 | 0.159 | 0.150 | 0.220 | 0.202 | 0.275 |
| 重庆 | 0.034 | 0.142 | 0.075 | 0.150 | 0.107 | 0.165 | 0.147 | 0.172 | 0.197 | 0.202 |
| 湖南 | 0.040 | 0.102 | 0.065 | 0.133 | 0.094 | 0.164 | 0.140 | 0.174 | 0.197 | 0.233 |
| 江西 | 0.019 | 0.067 | 0.045 | 0.081 | 0.071 | 0.102 | 0.116 | 0.131 | 0.154 | 0.162 |
| 广西 | 0.020 | 0.094 | 0.039 | 0.116 | 0.059 | 0.134 | 0.100 | 0.135 | 0.154 | 0.139 |
| 吉林 | 0.031 | 0.059 | 0.051 | 0.091 | 0.069 | 0.105 | 0.097 | 0.121 | 0.104 | 0.145 |
| 云南 | 0.012 | 0.129 | 0.044 | 0.163 | 0.060 | 0.189 | 0.093 | 0.206 | 0.141 | 0.215 |
| 贵州 | 0.014 | 0.057 | 0.035 | 0.092 | 0.060 | 0.118 | 0.092 | 0.133 | 0.130 | 0.159 |
| 山西 | 0.022 | 0.038 | 0.039 | 0.051 | 0.057 | 0.068 | 0.088 | 0.095 | 0.119 | 0.141 |
| 海南 | 0.010 | 0.032 | 0.043 | 0.043 | 0.067 | 0.063 | 0.094 | 0.089 | 0.106 | 0.116 |
| 黑龙江 | 0.022 | 0.066 | 0.042 | 0.102 | 0.060 | 0.110 | 0.080 | 0.120 | 0.107 | 0.153 |
| 内蒙古 | 0.018 | 0.062 | 0.032 | 0.096 | 0.050 | 0.117 | 0.071 | 0.130 | 0.096 | 0.155 |
| 甘肃 | 0.005 | 0.057 | 0.023 | 0.088 | 0.041 | 0.107 | 0.066 | 0.143 | 0.091 | 0.168 |
| 新疆 | 0.011 | 0.051 | 0.026 | 0.068 | 0.038 | 0.080 | 0.059 | 0.101 | 0.091 | 0.114 |
| 宁夏 | 0.008 | 0.039 | 0.026 | 0.068 | 0.044 | 0.092 | 0.062 | 0.138 | 0.068 | 0.154 |
| 青海 | 0.005 | 0.119 | 0.016 | 0.120 | 0.043 | 0.136 | 0.046 | 0.167 | 0.056 | 0.201 |
| 全国 | 0.067 | 0.103 | 0.102 | 0.142 | 0.140 | 0.174 | 0.191 | 0.212 | 0.245 | 0.256 |
表5报告了数字化与绿色化的耦合协调度水平。整体上,全国范围内数字化与绿色化耦合协调度逐年提升,但数字化与绿色化协同发展水平不高,2020年,仅有北京、广东、上海、江苏等地耦合协调度在0.7以上,达中度协调及以上水平,另有22个省份耦合协调度不足0.5,未达协调水平。在地区分布上,东部地区数字化绿色化协同水平一直居于领先地位,从侧面说明了中西部地区耦合协调水平偏低的部分原因是其数字化水平与绿色化水平不高。尽管数字化发展能够通过提高资源配置效率、产业结构升级以及技术创新等渠道促进绿色化发展,但由于数字化水平偏低,其与绿色化发展的互动较少,协同作用偏弱。结合前文对数字化指数与绿色化指数的分析,随着两个子系统发展水平的不断提高,我国数字化与绿色化间耦合协调状态逐渐实现从失调到协调的过渡,呈现出良好的发展态势。
| 2012 | 2013 | 2014 | 2015 | 2016 | 2017 | 2018 | 2019 | 2020 | |
|---|---|---|---|---|---|---|---|---|---|
| 北京 | 0.594 | 0.658 | 0.706 | 0.740 | 0.774 | 0.818 | 0.846 | 0.888 | 0.936 |
| 广东 | 0.466 | 0.503 | 0.521 | 0.553 | 0.590 | 0.647 | 0.711 | 0.752 | 0.774 |
| 上海 | 0.410 | 0.455 | 0.495 | 0.532 | 0.562 | 0.612 | 0.629 | 0.677 | 0.717 |
| 江苏 | 0.419 | 0.451 | 0.479 | 0.520 | 0.544 | 0.586 | 0.634 | 0.679 | 0.715 |
| 浙江 | 0.388 | 0.418 | 0.450 | 0.504 | 0.520 | 0.566 | 0.601 | 0.633 | 0.666 |
| 山东 | 0.313 | 0.347 | 0.371 | 0.413 | 0.442 | 0.471 | 0.506 | 0.540 | 0.574 |
| 天津 | 0.295 | 0.334 | 0.366 | 0.414 | 0.442 | 0.455 | 0.471 | 0.512 | 0.553 |
| 四川 | 0.276 | 0.320 | 0.348 | 0.392 | 0.416 | 0.449 | 0.479 | 0.509 | 0.540 |
| 福建 | 0.295 | 0.320 | 0.344 | 0.381 | 0.406 | 0.427 | 0.457 | 0.479 | 0.488 |
| 辽宁 | 0.296 | 0.332 | 0.351 | 0.370 | 0.363 | 0.387 | 0.398 | 0.422 | 0.445 |
| 湖北 | 0.248 | 0.282 | 0.304 | 0.341 | 0.367 | 0.392 | 0.420 | 0.461 | 0.481 |
| 安徽 | 0.212 | 0.256 | 0.286 | 0.326 | 0.353 | 0.388 | 0.431 | 0.461 | 0.478 |
| 河北 | 0.230 | 0.263 | 0.286 | 0.313 | 0.345 | 0.374 | 0.410 | 0.445 | 0.471 |
| 河南 | 0.213 | 0.246 | 0.278 | 0.317 | 0.344 | 0.380 | 0.427 | 0.452 | 0.477 |
| 陕西 | 0.241 | 0.271 | 0.292 | 0.318 | 0.340 | 0.370 | 0.395 | 0.434 | 0.455 |
| 重庆 | 0.228 | 0.267 | 0.304 | 0.339 | 0.349 | 0.372 | 0.393 | 0.416 | 0.445 |
| 湖南 | 0.230 | 0.250 | 0.283 | 0.305 | 0.333 | 0.358 | 0.386 | 0.422 | 0.455 |
| 云南 | 0.163 | 0.225 | 0.255 | 0.284 | 0.290 | 0.313 | 0.342 | 0.375 | 0.399 |
| 江西 | 0.165 | 0.198 | 0.232 | 0.269 | 0.281 | 0.324 | 0.346 | 0.369 | 0.395 |
| 广西 | 0.180 | 0.206 | 0.233 | 0.258 | 0.275 | 0.295 | 0.330 | 0.355 | 0.387 |
| 吉林 | 0.193 | 0.219 | 0.245 | 0.259 | 0.279 | 0.295 | 0.322 | 0.328 | 0.339 |
| 黑龙江 | 0.174 | 0.212 | 0.235 | 0.258 | 0.268 | 0.290 | 0.300 | 0.324 | 0.344 |
| 贵州 | 0.145 | 0.186 | 0.216 | 0.243 | 0.270 | 0.288 | 0.320 | 0.351 | 0.372 |
| 山西 | 0.160 | 0.189 | 0.206 | 0.228 | 0.244 | 0.264 | 0.299 | 0.329 | 0.354 |
| 内蒙古 | 0.162 | 0.196 | 0.210 | 0.237 | 0.253 | 0.270 | 0.291 | 0.311 | 0.332 |
| 海南 | 0.120 | 0.177 | 0.208 | 0.226 | 0.256 | 0.276 | 0.305 | 0.318 | 0.330 |
| 甘肃 | 0.103 | 0.164 | 0.186 | 0.213 | 0.234 | 0.263 | 0.287 | 0.317 | 0.330 |
| 宁夏 | 0.112 | 0.165 | 0.187 | 0.203 | 0.233 | 0.255 | 0.280 | 0.280 | 0.294 |
| 新疆 | 0.132 | 0.164 | 0.186 | 0.210 | 0.218 | 0.230 | 0.262 | 0.287 | 0.311 |
| 青海 | 0.121 | 0.156 | 0.173 | 0.248 | 0.246 | 0.238 | 0.261 | 0.270 | 0.286 |
| 全国 | 0.243 | 0.281 | 0.308 | 0.340 | 0.361 | 0.388 | 0.418 | 0.447 | 0.471 |
数字时代来临,数据资源成为国家重要的战略资源和核心创新要素。2015年国家出台《促进大数据发展行动纲要》,赋予大数据作为建设数据强国、提升政府治理能力推动经济转型升级的战略地位。围绕数据强国建设这一总体目标,纲要确定加快政府数据开放共享,推动资源整合,提升治理能力;推动产业创新发展,培育新业态,助力经济转型;健全大数据安全体系,强化安全支撑,提高管理水平,促进健康发展等三大重点任务,并且明确指出要“开展区域试点,推进贵州等大数据综合试验区建设,促进区域性大数据基础设施的整合和数据资源的汇聚应用”,拉开了大数据试验区建设的序幕。
2016年2月,国家发展和改革委员会、工信部和中央网信办复函贵州省,正式同意建设国家大数据(贵州)综合试验区。同年10月,批复京津冀、上海、重庆、内蒙古、珠三角、河南和沈阳等地开展第二批大数据试验区的建设。试验区类型不同,定位和任务也略有差异,但都围绕大数据制度创新、公共数据开放共享、大数据创新应用、大数据产业集聚、大数据要素流通、数据中心整合利用、大数据国际交流合作等方面展开。具体而言,先验试验区(贵州)侧重开展数据共享、数据中心整合、大数据应用等试验探索,发挥试验区的辐射带动和示范引领效应;跨区域类综合试验区(京津冀、珠三角)注重数据要素流通,促进区域一体化发展;区域示范类综合试验区(上海、河南、重庆、沈阳)注重数据资源统筹,加强产业集聚,发挥辐射带动作用,促进区域协同发展;基础设施统筹发展类综合试验区(内蒙古)结合区域能源、气候、地质的独特条件,强化绿色集约发展,加强跨区域优势合作,实现跨越发展。
结合大数据试验区建设的目标任务,本文认为大数据试验区提高数字化绿色化协同发展水平存在数字化绿色化循环互促、大数据赋能数字化、大数据赋能绿色化三条作用机制。构造大数据试验区作用机制框架如图1所示。

其一是数字化绿色化循环互促。数字化绿色化循环互促的内涵包括两个方面。一方面是数字化赋能绿色化。首先,数字基础设施通过提高能源效率、加快数字产业化、刺激绿色技术创新,间接促进绿色化发展[
28
29
29
30
31
另一方面是绿色化牵引数字化。在“双碳”背景下,推进绿色低碳技术研发和推广应用、加快形成绿色生产生活方式受到诸多关注。绿色经济转型离不开环境友好技术的支撑[
HUANG H Y, WANG F R, SONG M L, et al. Green innovations for sustainable development of China: Analysis based on the nested spatial panel models[J]. Technology in Society, 2021, 65: 101593.
32-33
其二是大数据试验区促进数字化发展。首先是基础设施建设,完善的数字基础设施建设是实现数据资源共享的基础。其次是产业结构升级,表现为数字产业化与产业数字化两个方面。培育大数据骨干企业和推动大数据产业集聚是大数据试验区建设的重要目标,数字产业集聚将带动数字产业化发展,促进产业结构升级。此外,大数据试验区的工程专项引导了大数据产品和技术的进入,从而加速数字技术对传统产业的智能化改造,实现产业数字化转型发展,提高传统产业的运行效率。最后是技术创新。大数据试验区的设立带动数据资源整合与大数据产业人才集聚,为数字技术创新积累创新要素,推动数字技术的革新,促进数字化发展。
其三是大数据试验区促进绿色化发展。首先是数据资源共享对绿色生产的促进作用。大数据试验区的设立促进数据资源的聚集,加速数据资源的开放共享。数据作为一种新的生产要素,与资本、劳动、技术等共同进入生产函数,因而与传统生产要素间存在替代关系,能够减少生产中物质资源的投入[
21
基于以上分析,除大数据试验区建设促进数字化、绿色化发展的直接机制外,还将通过数字化绿色化循环互促机制进一步放大政策效果,推动数字化绿色化协同发展。
本文使用双重差分法考察大数据试验区的设立对数字化绿色化协同发展的影响。具体模型设定如下:

其中,下标
20
表6呈现了主要变量的描述性统计结果。
| 变量 | 样本量 | 平均值 | 标准差 | 最小值 | 最大值 |
|---|---|---|---|---|---|
| D | 270 | 0.362 | 0.151 | 0.103 | 0.936 |
| 数字化 | 270 | 0.149 | 0.148 | 0.005 | 0.895 |
| 绿色化 | 270 | 0.178 | 0.119 | 0.032 | 0.832 |
| 数字基础设施 | 270 | 0.185 | 0.135 | 0.026 | 0.656 |
| 数字产业化 | 270 | 0.103 | 0.105 | 0.007 | 0.722 |
| 产业数字化 | 270 | 0.290 | 0.146 | 0.043 | 0.968 |
| 数字创新能力 | 270 | 0.081 | 0.135 | 0.000 | 0.875 |
| 绿色生产 | 270 | 0.315 | 0.127 | 0.078 | 0.645 |
| 绿色生活 | 270 | 0.343 | 0.098 | 0.170 | 0.716 |
| 绿色创新 | 270 | 0.111 | 0.096 | 0.046 | 0.745 |
| lnsize | 270 | 8.208 | 0.741 | 6.347 | 9.443 |
| lnfdi | 270 | 7.945 | 1.411 | 4.818 | 10.736 |
| lnpgdp | 270 | 10.832 | 0.424 | 9.849 | 12.009 |
| ins | 270 | 0.498 | 0.087 | 0.345 | 0.837 |
| inno | 270 | 10.196 | 1.402 | 6.219 | 13.473 |
图2—图4分别呈现了数字化绿色化协同指数、数字化指数、绿色化指数的变动趋势图。重点对图2进行分析,处理组与对照组的耦合协调度均呈现上升趋势,且处理组省份的耦合协调度指数始终高于对照组。对两组的均值差进行分析,发现2016年大数据试验区政策设立后,组间差距呈现扩大趋势,大数据试验区的设立可能对数字化绿色化协同发展具有促进作用。



为探究大数据试验区建设对数字化绿色化协同发展的政策效应,本文首先对式(1)进行回归,表7报告了基准回归结果。列(1)与列(2)显示大数据试验区建设对数字化绿色化协同发展的回归系数显著为正,且通过5%的显著水平检验,说明大数据试验区显著促进了数字化绿色化协同发展;列(3)与列(4)分别报告了大数据试验区建设对数字化和绿色化的回归结果,可以看出,大数据试验区建设显著促进了数字化与绿色化发展水平,这为后文对大数据促进数字化发展、大数据促进绿色化发展、数字化绿色化循环互促机制的探讨提供初步证据。
| 变量 | (1) | (2) | (3) | (4) |
|---|---|---|---|---|
| D | D | 数字化 | 绿色化 | |
| bigdata×post | 0.023*(0.012) | 0.021**(0.009) | 0.044**(0.020) | 0.039*(0.021) |
| L. lnsize | 0.329**(0.129) | 0.690**(0.257) | 0.534**(0.210) | |
| L. lnfdi | -0.012(0.011) | -0.030(0.027) | -0.018(0.026) | |
| L. lnpgdp | 0.076*(0.042) | 0.014(0.095) | -0.121(0.096) | |
| L. ins | 0.242(0.143) | 0.068(0.329) | -0.319(0.351) | |
| L. inno | -0.028**(0.011) | -0.083***(0.024) | -0.046*(0.024) | |
| 省份固定效应 | 是 | 是 | 是 | 是 |
| 年份固定效应 | 是 | 是 | 是 | 是 |
| Observations | 261 | 261 | 261 | 261 |
| 调整R2 | 0.986 | 0.990 | 0.957 | 0.930 |
满足平行趋势是双重差分模型有效的前提,本文利用事件研究法构建如下模型:

模型(2)中相关变量定义与模型(1)一致。此外,
的设定为,若
取值为1,否则为0。
平行趋势检验结果如图5所示(置信区间为90%),在大数据试验区政策实施之前,系数

本文通过构造虚拟的处理组进行安慰剂检验,具体思路如下:首先从29个省份中随机抽取9个省份作为“伪实验组”,其余省份作为对照组,然后将“伪实验组”与政策实施虚拟变量的交互项进行回归。将上述过程重复500次,并绘制交互项的估计系数分布图,以此来检验数字化绿色化协同发展是否显著受到随机因素的干扰。图6报告了估计系数的分布,水平虚线表示0.1的显著性水平,垂直虚线为模型(1)中核心解释变量的回归系数,可以看出随机试验的估计系数集中分布在零值附近,与模型(1)的估计结果存在显著差异,且大多数估计值的

数字化绿色化协同水平还会受到其他数字驱动政策或环境政策,如宽带中国、智慧城市、信息惠民、低碳城市、循环经济等试点政策的影响。政策的交叉实施可能对模型估计结果造成干扰。但由于本文使用省级层面数据,城市试点政策难以在模型中体现,因而可能存在遗漏变量偏误,有必要对系数的稳定性进行讨论。本文根据Oster[
34
由于耦合协调指数测算中对数字化与绿色化的权重赋值存在一定的主观性,协同指数的测算可能存在偏误,进而对估计结果的可信度造成影响。鉴于此,本文将数字化水平与绿色化水平的权重重新赋值并再次进行回归估计。表8第(1)列报告了数字化与绿色化权重均为0.5的估计结果;第(2)列报告了数字化权重为0.6,绿色化权重为0.4时的估计结果。可以看到,调整权重后核心解释变量的回归系数有微小变动,但仍在5%的显著水平上为正,再次说明核心结论具有稳健性。
| 变量 | (1) | (2) |
|---|---|---|
| D | D | |
| bigdata×post | 0.022**(0.010) | 0.022**(0.010) |
| L. lnsize | 0.326**(0.130) | 0.328**(0.129) |
| L. lnfdi | -0.011(0.012) | -0.012(0.012) |
| L. lnpgdp | 0.037(0.045) | 0.056(0.043) |
| L. ins | 0.138(0.149) | 0.190(0.145) |
| L. inno | -0.024*(0.012) | -0.026**(0.012) |
| 省份固定效应 | 是 | 是 |
| 年份固定效应 | 是 | 是 |
| Observations | 261 | 261 |
| 调整R2 | 0.987 | 0.989 |
表9报告了大数据试验区的设立促进数字化发展的机制检验结果。结果显示,大数据试验区的设立未能显著促进数字基础设施建设,其原因可能是批复设立大数据试验区的地区数字基础设施更加完善,提升空间相对较小。大数据试验区显著促进了数字产业化发展,说明大数据试验区的产业集聚作用初见成效。然而大数据试验区设立对数字创新能力的促进作用并不显著,尽管大数据试验区设立带来了产业集聚,但技术创新的研发周期较长,短期内大数据试验区对技术创新的促进作用未能显现。此外,大数据试验区设立对产业数字化转型产生了积极促进作用,说明大数据项目的落地也引导了数字智能化设备在生产环节的投入以及企业线上交易平台的搭建。
| 变量 | (1) | (2) | (3) | (4) |
|---|---|---|---|---|
| 数字基础设施 | 数字产业化 | 产业数字化 | 数字创新能力 | |
| bigdata×post | 0.019(0.019) | 0.031**(0.014) | 0.057**(0.025) | 0.040(0.025) |
| L. lnsize | 0.578**(0.255) | 0.601**(0.232) | (0.222)0.198 | 0.540**(0.198) |
| L. lnfdi | -0.046(0.029) | -0.018(0.022) | 0.022(0.032) | -0.024(0.030) |
| L. lnpgdp | 0.169*(0.084) | 0.020(0.069) | 0.067(0.098) | -0.089(0.102) |
| L. ins | 0.680**(0.254) | 0.150(0.249) | 0.198(0.414) | -0.372(0.388) |
| L. inno | -0.085***(0.027) | -0.059***(0.016) | -0.037(0.031) | -0.064**(0.025) |
| 省份固定效应 | 是 | 是 | 是 | 是 |
| 年份固定效应 | 是 | 是 | 是 | 是 |
| 观测值 | 261 | 261 | 261 | 261 |
| 调整R2 | 0.954 | 0.930 | 0.917 | 0.944 |
表10报告了大数据试验区的设立促进绿色化发展的机制检验结果。结果显示,大数据试验区的设立对绿色生产的回归系数为负但不显著,说明资源配置渠道未发挥显著作用,未能促进绿色化高效生产。大数据试验区对绿色创新能力的回归系数显著为正(
| 变量 | (1) | (2) | (3) |
|---|---|---|---|
| 绿色生产 | 绿色生活 | 绿色创新能力 | |
| bigdata×post | -0.011(0.008) | 0.031(0.021) | 0.033[P=0.108](0.020) |
| L. lnsize | 0.247**(0.101) | (0.207)0.083 | 0.451***(0.161) |
| L. lnfdi | -0.012(0.015) | 0.005(0.032) | -0.017(0.026) |
| L. lnpgdp | -0.035(0.043) | 0.040(0.075) | -0.126(0.097) |
| L. ins | -0.244**(0.109) | 0.520***(0.165) | -0.418(0.364) |
| L. inno | 0.010(0.008) | 0.012(0.019) | -0.054**(0.024) |
| 省份固定效应 | 是 | 是 | 是 |
| 年份固定效应 | 是 | 是 | 是 |
| 观测值 | 261 | 261 | 261 |
| 调整R2 | 0.978 | 0.875 | 0.906 |
进一步,构造以下联立方程组模型对数字化赋能绿色化、绿色化牵引数字化的循环互促机制进行检验。


其中:green与digit分别为前文测算的绿色化与数字化指数;
回归结果如表11所示。列(1)显示,绿色化发展显著促进了数字化发展;列(2)显示,数字化发展同样对绿色化发展具有显著的促进作用,以上结果验证了数字化赋能绿色化、绿色化牵引数字化的循环互促机制。进一步,引入数字化或绿色化与政策变量的三重交互项,验证试验区建设对数字化发展的绿色化效应和绿色化发展的数字化效应的强化作用,结果如列(3)和列(4)所示,大数据试验区强化了绿色化发展的数字化效应,但对数字化发展的绿色化效应的强化作用不明显。
| 变量 | (1) | (2) | (3) | (4) |
|---|---|---|---|---|
| 数字化 | 绿色化 | 数字化 | 绿色化 | |
| L. 绿色化 | 0.892***(0.036) | 0.816***(0.048) | ||
| L. 数字化 | 0.966***(0.030) | 0.919***(0.042) | ||
| bigdata×post×L. 绿色化 | 0.042**(0.019) | |||
| bigdata×post×L. 数字化 | 0.018(0.014) | |||
| L. lnsize | 0.244***(0.063) | -0.092*(0.052) | 0.257***(0.062) | -0.075(0.052) |
| L. lfdi | -0.013(0.008) | 0.011(0.007) | -0.013(0.008) | 0.010(0.007) |
| L. lnpgdp | 0.103***(0.029) | -0.109***(0.023) | 0.105***(0.028) | -0.105***(0.023) |
| L. ins | 0.285***(0.086) | -0.323***(0.068) | 0.304***(0.085) | -0.307***(0.069) |
| L. inno | -0.043***(0.007) | 0.023***(0.005) | -0.046***(0.006) | 0.021***(0.006) |
| 省份固定效应 | 是 | 是 | 是 | 是 |
| 年份固定效应 | 是 | 是 | 是 | 是 |
| 观测值 | 232 | 232 | 232 | 232 |
| R-squared | 0.989 | 0.989 | 0.990 | 0.989 |
进一步对数字化绿色化循环互促的细化作用渠道进行检验,使用联立方程组模型对数字基础设施建设与绿色创新能力、数字基础设施建设与绿色生产、数字创新能力与绿色创新能力的互促机制进行验证,并使用线性回归模型验证数字产业化与产业数字化对绿色生产的影响。结果如表12所示,数字基础设施建设与绿色创新能力,以及数字创新能力与绿色创新能力间存在循环互促关系,此外,数字基础设施建设显著推动了绿色生产方式转变,但对绿色生产的需求并未发挥对数字基础设施建设的牵引作用。最后,数字产业化和产业数字化未能有效促进绿色生产,甚至产业数字化的回归系数显著为负,其原因可能是数字技术的应用离不开供电支持,而当前新能源发电不足,更多依赖火力发电,难以避免能源消耗和环境污染。
| 变量 | (1) | (2) | (3) | (4) | (5) | (6) | (7) | (8) |
|---|---|---|---|---|---|---|---|---|
| 数字基础设施 | 绿色创新能力 | 数字基础设施 | 绿色生产 | 数字创新能力 | 绿色创新能力 | 绿色生产 | 绿色生产 | |
| L. 绿色创新能力 | 0.518***(0.060) | 1.088***(0.033) | ||||||
| L. 数字基础设施 | 0.609***(0.057) | 0.115***(0.042) | ||||||
| L. 绿色生产 | 0.069(0.094) | |||||||
| L. 数字创新能力 | 0.856***(0.020) | |||||||
| 数字产业化 | 0.121(0.083) | |||||||
| 产业数字化 | -0.053**(0.023) | |||||||
| L. lnsize | 0.395***(0.093) | (0.096)-0.009 | 0.561***(0.098) | 0.223***(0.069) | 0.098**(0.050) | (0.035)0.000 | 0.157(0.103) | 0.249**(0.101) |
| L. lfdi | -0.038***(0.012) | 0.007(0.012) | -0.049***(0.013) | 0.000(0.009) | -0.004(0.007) | -0.000(0.005) | -0.009(0.016) | -0.010(0.015) |
| L. lnpgdp | 0.228***(0.044) | -0.192***(0.043) | 0.188***(0.045) | -0.074**(0.031) | 0.031(0.023) | -0.042***(0.016) | -0.034(0.044) | -0.030(0.043) |
| L. ins | 0.884***(0.130) | -0.877***(0.129) | 0.667***(0.135) | -0.345***(0.093) | -0.019(0.070) | -0.095**(0.048) | -0.214*(0.123) | -0.208*(0.110) |
| L. inno | -0.053***(0.010) | -0.002(0.010) | -0.074***(0.010) | 0.020***(0.007) | -0.015***(0.005) | -0.007*(0.004) | 0.018*(0.010) | 0.009(0.008) |
| 省份固定效应 | 是 | 是 | 是 | 是 | 是 | 是 | 是 | 是 |
| 年份固定效应 | 是 | 是 | 是 | 是 | 是 | 是 | 是 | 是 |
| 观测值 | 232 | 232 | 232 | 232 | 232 | 232 | 232 | 232 |
| R-squared | 0.969 | 0.945 | 0.968 | 0.983 | 0.992 | 0.992 | 0.981 | 0.981 |
大数据试验区建设通过大数据人才培养和数据资源共享,实现创新资源的集聚。知识吸收能力是影响创新的重要因素,各省份知识吸收能力的差异或将成为影响大数据试验区政策效果的重要因素。本文从基础创新能力和创新活跃度两个层面衡量知识的吸收能力,具体地,基础创新能力较强的地区,创新知识的积累水平更高,更易于接受新知识,实现创新知识的融合使用,进而刺激创新;技术市场成交额反映对技术的需求,一方面外源技术丰富了当地的创新知识存量,另一方面,创新活跃度越高的地区更倾向获取外源知识以实现自身创新知识结构的优化。
具体地,通过比较政策实施前一年(即2015年)各省份的“规模以上工业企业R&D人员数”指标,将高于中位数的地区定义为基础创新能力强的地区,将低于中位数的地区定义为基础创新能力弱的地区。与之类似,使用技术市场交易额与地区生产总值的比值表示技术市场规模,通过比较政策实施前一年各省的“技术市场规模”指标,将高于中位数水平的地区定义为创新活跃度较高的地区,将低于中位数的地区定义为创新活跃度较低的地区。表13列(1)—列(4)汇报了估计结果,仅在基础创新能力较强和创新活跃度较高的地区核心解释变量的回归系数显著为正,说明知识吸收能力更强的地区更能把握大数据试验区建设带来的创新要素集聚优势,进而大数据试验区对数字化绿色化协同发展的促进作用也更大。
| 变量 | (1) | (2) | (3) | (4) | (5) | (6) |
|---|---|---|---|---|---|---|
| 基础创新能力强 | 基础创新能力弱 | 创新活跃度高 | 创新活跃度低 | 产业高级化水平高 | 产业高级化水平低 | |
| D | D | D | D | D | D | |
| bigdata×post | 0.023***(0.004) | (0.005)-0.006 | 0.028***(0.009) | (0.010)0.011 | 0.032**(0.012) | 0.010(0.010) |
| L. lnsize | 0.352**(0.150) | (0.066)0.015 | 0.567***(0.070) | 0.159(0.145) | 0.243(0.148) | 0.332(0.302) |
| L. lfdi | 0.026(0.016) | 0.008(0.005) | -0.001(0.018) | -0.007(0.012) | -0.019(0.025) | -0.014(0.009) |
| L. lnpgdp | -0.032(0.070) | 0.167***(0.022) | 0.090**(0.038) | 0.074*(0.039) | 0.073(0.083) | -0.025(0.055) |
| L. ins | -0.176(0.133) | 0.287***(0.095) | (0.238)0.189 | 0.346**(0.155) | 0.150(0.233) | 0.493(0.308) |
| L. inno | -0.045***(0.014) | -0.002(0.007) | -0.038**(0.015) | -0.013(0.015) | -0.027(0.020) | -0.025*(0.012) |
| 省份固定效应 | 是 | 是 | 是 | 是 | 是 | 是 |
| 年份固定效应 | 是 | 是 | 是 | 是 | 是 | 是 |
| 观测值 | 126 | 135 | 135 | 126 | 126 | 135 |
| 调整R方 | 0.995 | 0.982 | 0.994 | 0.984 | 0.991 | 0.990 |
大数据试验区的政策效应还可能与各省产业结构高级化水平有关。产业结构高级化反映产业结构从第二产业向第三产业的转变,而数字经济核心产业多隶属于第三产业,因此产业结构高级化水平较高的地区有着更好的数字产业基础,更易于形成数字产业的集聚,并通过数字产业集聚带动数字人才集聚,发挥对创新的积极作用;此外,数字企业带来的创新产品和技术在生产端的投入和使用也有助于生产方式绿色化转型。
参考干春晖等[
35
本文基于2012—2020年中国30个省份的面板数据,分别构建了数字化发展与绿色发展的评价指标体系,并通过熵权法测度了各省份数字化发展与绿色化发展的综合评价指数,在此基础上测度了数字化绿色化耦合协调度指数。进一步,借助双重差分模型考察了大数据试验区对“双化”协同的影响效应及内在机制。研究发现,近年来各省份数字化、绿色化及数字化绿色化协同发展水平逐年提升,但总体水平不高,且地区差距明显。数字化发展与绿色化发展呈现出地区一致性特征,在数字化水平较高的东部地区,其绿色化水平也较高。整体上,数字化与绿色化协同发展水平不高,北京、广东、上海、江苏四省市耦合协调度在0.7以上,达中度协调及以上水平,另有22个省份耦合协调度不足0.5,未达协调水平。实证结果发现:一是大数据试验区建设显著促进了数字化、绿色化以及数字化绿色化协同发展水平,这一结论在经过多重稳健性检验后稳健可靠。二是大数据试验区通过数字产业化、产业数字化两条渠道促进了省级数字化发展;通过绿色创新促进了绿色化发展;此外,数字化与绿色化存在循环互促机制。三是大数据试验区通过绿色创新能力对数字基础设施和数字技术的需求牵引实现对绿色发展的数字化效应的强化作用;尽管数字基础设施建设表现出对绿色创新能力和绿色生产的积极作用,数字创新也有助于绿色创新发展,但由于数字产业化和产业数字化未能推动生产绿色化转型,大数据试验区未能强化数字发展的绿色化效应。四是异质性结果表明,在知识吸收能力更强、产业结构高级化水平更高的地区,大数据试验区建设对数字化绿色化协同发展的促进作用更大。
基于以上研究结论,本文提出以下建议:第一,加强区域协同发展。设立跨区域合作平台,加强区域数字化绿色化协同发展经验分享,加速东部地区的数字化、绿色化发展经验向中西部地区推广。针对各地数字化、绿色化发展的差异性,对政策资源进行合理调控,加快中西部地区数字基础设施建设。提供产业优惠政策和人才补贴,吸引大数据企业和人才在中西部地区落户,带动中西部数字化、绿色化以及协同化水平提升,缩小地区间发展差距。第二,加强数字基础设施建设。政府应增加数字基础设施建设投资,并提供相应税收优惠和金融优惠政策吸引私人投资参与,鼓励新技术和新项目的实施与建设。支持数字技术对传统产业的改造,推动劳动生产率提升,鼓励企业商业模式的变革,助力生产方式绿色转型。第三,加强大数据试验区各项目标任务的实施力度,促进大数据产业发展与数字人才集聚。以数字产业化变革引领产业结构升级,淘汰高污染、高能耗产业,实现生产方式绿色化转型。以数字人才集聚引领创新要素集聚,以数字技术、绿色技术革新推动数字经济与绿色化发展。鼓励数字技术与环境创新的交叉融合,推动环境友好型数字技术革新。第四,完善技术交易市场建设,保障交易信息在技术供求双方的畅通流通,推动形成技术供给方和需求方的互动机制,让市场力量引导绿色创新。同时,还应建立健全市场机制保障绿色技术交易体系与数据要素交易体系的良好运转。
见中国信息通信研究院发布的《中国数字经济发展白皮书》。
参考文献:
| [1] | |
| [2] | |
| [3] | |
| [4] | |
| [5] | |
| [6] | |
| [7] | |
| [8] | |
| [9] | |
| [10] | |
| [11] | |
| [12] | |
| [13] | |
| [14] | |
| [15] | |
| [16] | |
| [17] | |
| [18] | |
| [19] | |
| [20] | |
| [21] | |
| [22] | |
| [23] | |
| [24] | |
| [25] | |
| [26] | |
| [27] | |
| [28] | |
| [29] | |
| [30] | |
| [31] | |
| [32] | |
| [33] | |
| [34] | |
| [35] |