数字基础设施对城市碳排放的时空动态效应
—— 基于“宽带中国”准自然实验的证
作者简介:
汪亚美,西华师范大学商学院,Email:
基金项目:
重庆市教委人文社会科学重点项目“人口结构变化下重庆农村基本公共服务可及性提升机制研究”
重庆市研究生科研创新项目“绿色发展理念下数字经济对长江经济带城市群碳排放的影响机理及实证研究”
重庆工商大学“学习贯彻党的十九届六中全会精神”专题重点课题“百年来党对中国式现代化道路探索的演进逻辑与经验启示研究”
中图分类号:
F49
文献标识码:
A
欢迎按以下格式引用:
汪亚美,余兴厚. 数字基础设施对城市碳排放的时空动态效应——基于“宽带中国”准自然实验的证据[J]. 重庆大学学报(社会科学版),2025(1):100-116. Doi:10.11835/j.issn.1008-5831.jg.2024.10.004.
摘要
随着数字经济成为实现经济高质量发展和绿色低碳转型的大势之趋,数字基础设施建设也上升至国家战略层面。在此背景下,深入探讨数字基础设施对碳排放的内在影响机制,从理论和实证两方面系统分析“宽带中国”试点政策效果是否具有动态持续性和空间溢出效应,这对于进一步落实网络强国、数字中国等国家战略,深入推进数字基础设施建设,探索低碳绿色发展的新型城市发展模式和治理模式具有重要的现实意义。文章将数字基础设施和碳排放纳入同一框架,从理论层面探讨数字基础设施对碳排放的内在影响机制和时空动态效应,创新性地将双重差分的思想纳入空间矩阵的构建中,以“宽带中国”战略为准自然实验,基于2006—2019年中国地级市面板数据,利用渐进双重差分法、空间计量模型、中介效应模型对数字基础设施影响碳排放的内在机制及时空动态效应进行检验。研究结果表明:“宽带中国”示范城市建设对碳排放具有显著的抑制作用,这一结论在通过了工具变量法、三重差分法、PSM-DID等稳健性检验后仍成立。影响机制分析表明:数字基础设施既能直接影响碳排放,又能通过产业结构升级、绿色技术创新的中介渠道促进碳减排。时空动态效应分析表明:“宽带中国”试点政策对碳排放的影响具有时滞性,碳减排效果在政策实施后第二年才会发挥,但随着时间推移呈现出边际效应递增的趋势;并且,“宽带中国”试点政策对地理相近和经济相似地区的碳排放存在着正向空间溢出效应。异质性分析发现:“宽带中国”政策的碳减排效应在西部地区不显著,在东部和中部地区更明显,并且中部地区的效果大于东部地区。因此,文章建议继续完善数字基础设施建设、加强“宽带中国”试点政策的推广;因地制宜,统筹考虑各城市不同发展特征,实施动态化、差异化策略;同时,加快产业结构转型升级、提升绿色技术创新水平,畅通数字基础设施促进碳减排的中间渠道。
关键词
数字基础设施;“宽带中国”战略;碳排放;时空动态效应;影响机制;双重差分模型;
The space-time dynamic effects of digital infrastructure on urban carbon emissions: Evidence based on the quasi-natural experiment of Broadband China
Citation Format:
WANG Yamei, YU Xinghou. The space-time dynamic effects of digital infrastructure on urban carbon emissions: Evidence based on the quasi-natural experiment of Broadband China[J]. Journal of Chongqing University (Social Science Edition), 2025(1): 100-116. Doi: 10.11835/j.issn.1008-5831.jg.2024.10.004.
Abstract
As digital economy becomes a trend to achieve high-quality economic development and green low-carbon transformation, digital infrastructure also rises to the level of national strategy. In this context, in-depth exploration of the intrinsic impact mechanism of digital infrastructure on carbon emissions, and systematic analysis of whether the Broadband China policy has dynamic sustainability and spatial spillover effects from theoretical and empirical perspectives are of great practical significance for the further implementation of the national strategies of Network Power and Digital China, and for the advancement of the construction of digital infrastructure and the exploration of new urban development models and governance models for low-carbon development. This paper puts digital infrastructure and carbon emission into the same framework, explores the intrinsic influence mechanism and spatial-temporal dynamic effect of digital infrastructure on carbon emission from the theoretical level, and innovatively incorporates double-difference into the construction of spatial matrices. Based on the Broadband China strategy as a quasi-natural experiment, using the panel data of prefecture-level cities in China from 2006 to 2019, this paper utilizes the asymptotic double difference method, spatial model and mediation effect model to test the intrinsic mechanism and spatial-temporal dynamic effect. The results show that the Broadband China policy has a significant inhibitory effect on carbon emissions, and this conclusion still holds after the robustness tests of instrumental variables method, triple difference method, and PSM-DID. Impact mechanism analysis shows that digital infrastructure can both directly affect carbon emissions and promote carbon emission reduction through industrial structure upgrading and green technology innovation. Spatial-temporal dynamic effects analysis shows that the impact of the Broadband China policy on carbon emissions has a time lag, and it will be played only in the second year, but the marginal effect shows an increasing trend over time. Moreover, the Broadband China policy has a positive spatial spillover effect on carbon emissions in geographically and economically similar regions. Heterogeneity analysis reveals that the carbon emission reduction effect of the Broadband China policy is not significant in the western region, but more obvious in the eastern and central regions, and the effect in the central region is larger than eastern region. Therefore, the article suggests continuing to improve the digital infrastructure, strengthening the promotion of the pilot policy of Broadband China; implementing dynamic and differentiated strategies according to local conditions; accelerating the transformation and upgrading of the industrial structure, improving the level of green technological innovation, and smoothing the intermediate channels of digital infrastructure for carbon emission reduction.
Keywords
digital infrastructure
现阶段,我国数字经济正处于规模扩张和价值创造的重要窗口期,以5G、人工智能、大数据中心、物联网、工业互联网等为核心的数字基础设施正不断完善,凭借其高渗透性、规模效应及网络效应影响着经济社会等诸多领域,对企业生产方式、居民生活方式和政府治理模式产生重大影响,推动经济发展迈向高级化。与此同时,“十四五”规划和2035年远景规划纲要提出“推动能源清洁低碳安全利用,深入推进工业、建筑、交通等领域低碳转型”,党的二十大报告也再次强调了绿色低碳的生产生活方式在实现经济高质量发展中的关键作用。党的二十届三中全会提出要健全绿色低碳发展机制。在“双碳”目标与大力发展数字经济的背景下,数字技术在能源、资源和环境领域深度嵌入与应用创新,与电力、工业、交通、建筑等重点碳排放传统产业实现深度融合,为经济绿色发展提供了新动能。随着数字经济成为实现经济社会绿色转型和低碳发展的大势之趋,数字基础设施建设也上升至国家战略层面。我国自2013年实施“宽带中国”战略以来,工信部和国家发改委于2014年、2015年和2016年分三个批次评选出了120个示范城市(城市群),国家信息化水平和数字经济发展基础取得突飞猛进的进展。那么,在具体实践过程中,“宽带中国”这种渐进式的示范城市建设是否促进了城市绿色低碳的发展?主要通过何种影响路径起作用?政策效果是否具有动态持续性和空间示范效应?探讨这些问题对于数字经济时代下实现绿色高质量发展具有重要现实意义。鉴于此,本文从理论层面构建数字基础设施影响碳排放的分析框架,从产业结构升级和绿色技术创新两方面,探讨数字基础设施建设对碳排放的直接及间接影响机制,以“宽带中国”战略试点为准自然试验,将双重差分法与空间计量模型相结合,评估数字基础设施的碳减排效应、时空动态效应及城市异质性。在现实意义上,为“宽带中国”试点政策的环境效应评估提供了实证依据,在一定程度上丰富和拓展了对互联网政策生态效益的评估研究;也为进一步落实网络强国、数字中国等国家战略,深入推进数字基础设施建设,探索低碳绿色发展的新型城市发展模式和治理模式提供有益借鉴。
关于数字基础设施的研究和效应评估,国内外学者大多关注数字基础设施的经济社会效应,如数字基础设施对经济增长[
1
RAMPERSAD G, TROSHANI I. High-speed broadband: assessing its social impact[J]. Industrial Management & Data Systems, 2013, 113(4): 541-557.
2-3
4
5
6
7
8
9
10
11
12
多数研究只是简单的静态研究,忽略了时空效应。与本研究较为相似的另一类研究,关注数字经济对碳排放的空间效应和时间动态效应。徐维祥等发现数字经济有利于降低本地碳排放,却增大了经济相似和地理相近地区的碳排放[
13
14
15
本文在既有研究的基础上进行了扩展。本文的边际贡献在于:在研究议题上,较早将数字基础设施和碳排放纳入同一分析框架,系统性考察其内在影响机制,在一定程度上丰富和拓展了对数字经济政策的生态效益评估研究。在识别策略上,以“宽带中国”战略为准自然实验,相较于传统的互联网用户数或邮电业务量等衡量数字基础设施的文献,本文避免了测量误差,方法上采用多期双重差分法,还关注到逆向因果问题,运用工具变量法对政策内生性问题进行缓解。在研究思路上,本文创新性地将双重差分的思想纳入空间矩阵的构建中,对数字基础设施影响碳排放的时空效应进行检验,分析“虹吸—扩散”效应导致的空间溢出差异,探讨数字基础设施对碳排放时间动态效应。
有别于传统基础设施,以宽带为信息载体的数字基础设施具有时空压缩效应、数据创造效应、网络边际成本递减、规模报酬递增等优势。一方面,数字基础设施本身的运营和发展会直接影响生产生活中的能源消耗强度,对碳排放产生直接影响;另一方面,数字基础设施作为现代网络的“中枢节点”,将各个区域由点到面连成庞大的网络体系,整张网络加速推动信息、技术、人才、资本等要素资源优化配置,对产业结构、技术创新等方面产生强烈冲击,并进一步影响碳排放。图1绘制了数字基础设施对城市碳排放的影响机制。

数字基础设施对碳排放的直接影响体现在两点。第一,数字基础设施本身的运营和发展对能源消耗强度存在正反两种影响:一方面是替代效应,网络信息技术替代了传统生产生活方式,如无纸化办公、远程会议、网络缴费、智能交通体系的建设等,通过减少木材消耗、减少交通运输而实现节能减排;另一方面是创造效应,数字基础设施建设及其催生的通信产业的快速发展刺激了新的能源消费需求,增加了社会能源消耗[
HAMDI H, SBIA R, SHAHBAZ M. The nexus between electricity consumption and economic growth in Bahrain[J]. Economic Modelling, 2014, 38: 227-237.
16-17
数字基础设施通过产业结构升级的中介渠道影响碳排放。一方面,数字基础设施发展形成的数字产业化,“挤出”高能耗、高排放工业,加快城市产业“退二进三”进程,意味着以化石能源为主的能源结构发生较大改善,减少城市碳排放[
13
18
6
数字基础设施通过绿色技术创新的中介渠道影响碳排放。首先,数字基础设施打破了信息流动壁垒,促进企业、高校、科研机构等研发主体合作,加速了人力资本积累向高级化迈进的过程,为绿色技术创新提供了充分的智力支持[
陶长琪, 丁煜. 数字经济政策如何影响制造业企业创新:基于适宜性供给的视角[J]. 当代财经, 2022(3): 16-27.
19-20
韩晶, 陈曦, 冯晓虎. 数字经济赋能绿色发展的现实挑战与路径选择[J]. 改革, 2022(9): 11-23.
21-22
22
23
文章提出假设1:数字基础设施能够降低碳排放,数字基础设施主要通过产业结构升级、绿色技术创新两种途径促进碳减排。
数字基础设施对城市碳排放的影响是动态演进的过程。由于数字基础设施影响碳排放的路径历程不同,其时间动态效应可能存在着差异。从短期看,数字基础设施的建设和运营对能源消耗强度产生直接影响,无论是数字基础设施通过替代效应(如无纸化办公、网络会议、在线购物)减少能耗,还是通过创造效应催生新的能源消费需求,都具有即时性;但是数字基础设施影响碳减排的最重要两个渠道,产业结构的调整和升级需要较长周期,绿色技术的研发投入与应用也不是短期能完成的。从长期看,随着时间推移,数字基础设施推动的产业结构升级和绿色技术创新路径逐渐显现,受“结构红利”和“技术红利”影响的碳减排是一个长期的过程[
14
本文提出假设2:数字基础设施对碳排放的影响可能存在时滞性,但随着时间推移,数字基础设施对城市碳排放的抑制作用逐渐增强。
数字基础设施具有跨空间、跨时点的网络传播效应和规模效应,会对其他地区的经济活动和生态环境产生显著的空间溢出效应。一方面,数字基础设施对区域间资本和创新要素流动产生“扩散效应”,促使“宽带中国”示范城市优质的资源、技术、经验等向相邻或相似地区溢出,有利于实现跨区域的资源整合和协同减排,为区域低碳发展带来良好的“示范作用”和正外部性[
24
刘婧玲, 陈艳莹. 数字技术发展、时空动态效应与区域碳排放[J]. 科学学研究, 2023(5): 841-853.
13-14
19
本文提出假设3:数字基础设施对于碳排放的影响存在空间溢出效应。
2013年8月,国务院发布《“宽带中国”战略及实施方案》,将“宽带中国”计划上升为国家战略。随后,工信部和国家发改委决定开展创建“宽带中国”示范城市(城市群)工作,分别于2014年、2015年和2016年分三个批次评选出了120个示范城市。我国扎实推进5G、千兆光网、数据中心、云计算等宽带基础设施建设部署,在政产学研的共同努力下,宽带网络在基础支撑能力、应用设施服务水平、网络投资规模、产业竞争实力、融合应用程度、普惠民生水平等各方面进一步增速提质,取得一系列标志性成果。可见,信息通信技术正处于系统创新和智能引领的重大变革期,传统以信息传输为核心的网络基础设施加速转变为综合性数字基础设施,为经济社会各行各业的数字化转型积极赋能,因此,“宽带中国”政策能够有效代表数字基础设施的发展。
双重差分法(DID)是常用的政策效果评估方法,参考王桂军和卢潇潇[
25

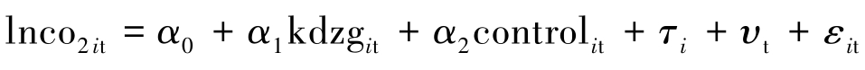
其中:lnco2
为进一步验证“宽带中国”试点政策对碳排放的时间动态效应,考虑到“宽带中国”试点政策分批实施,且在推动碳减排中可能具有缓冲期和动态持续性,故借鉴Beck等[
26

其中,
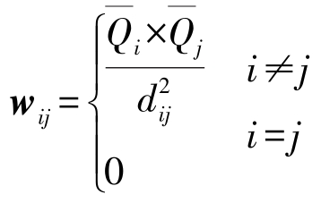
为验证研究假说3,参考Delgado和Florax[
27

其中,
和
分别表示两个城市实际人均GDP,
表示两城市距离的平方[
28

借鉴IPCC组织推荐的测算方法,得出城市历年碳排放量,并对其进行了取对数处理(lnco2),作为本文的被解释变量。城市碳排放的来源包括液化石油气、天然气、电能和热能消耗产生的碳排放,按照能源的碳排放系数折算出这些能源消耗所产生的碳排放量加总,具体公式为co2=∑
产业结构升级和绿色技术创新。产业结构(indu)的衡量,以第二产业产值占GDP比重表示。绿色技术创新(pergreeninno)的衡量,借鉴黎文靖和郑曼妮[
29
基于STIRPAT理论模型,城市碳排放的影响因素还包括人口、经济和技术等社会经济要素[
30
31
32
33
32
本文使用的样本为2006—2019年中国271个地级市的面板数据,不含港澳台、西藏地区,以及数据严重缺失的城市。由于固定资产投资总额等指标在2005年以前缺失,因此以2006年作为样本起始年份。相关数据主要来自2007—2020年《中国城市统计年鉴》。计算碳排放所需的各区域电网排放因子数据来自《中国区域电网二氧化碳基准线排放因子》,本文对部分缺失数据用插值法进行了填补。各变量的描述性统计见表1。
| 变量名称 | Observation | mean | sd | min | max |
|---|---|---|---|---|---|
| lnco2 | 3 794 | 6.141 | 1.202 | 2.019 | 9.533 |
| kdzg | 3 794 | 0.138 | 0.345 | 0.000 | 1.000 |
| indu | 3 794 | 47.893 | 10.681 | 11.700 | 90.970 |
| pergreeninno | 3 794 | 0.522 | 1.484 | 0.000 | 26.818 |
| pergdp | 3 794 | 4.315 | 3.270 | 0.010 | 46.775 |
| pergdp2 | 3 794 | 29.311 | 61.219 | 0.000 | 2 187.891 |
| density | 3 794 | 4.404 | 3.328 | 0.050 | 26.480 |
| urbantd | 3 794 | 0.017 | 0.034 | 0.000 | 0.481 |
| fdzb | 3 794 | 0.177 | 0.094 | 0.041 | 1.500 |
| fdi | 3 794 | 0.003 | 0.003 | 0.000 | 0.030 |
| fin | 3 794 | 0.892 | 0.582 | 0.075 | 9.595 |
| tzqd | 3 794 | 0.752 | 0.338 | 0.012 | 2.887 |
| greenland | 3 794 | 0.712 | 1.545 | 0.002 | 16.803 |
运用渐进双重差分法评估“宽带中国”试点政策对城市碳排放的影响。表2第(1)、(2)列分别为未加入控制变量的时间固定和双向固定效应回归结果,第(3)、(4)列分别为加入控制变量后的时间固定和双向固定效应回归结果。kdzg的系数均在1%水平上显著为负,表明“宽带中国”试点政策对城市碳排放具有显著抑制作用。从第(4)列双向固定回归结果看,“宽带中国”试点政策虚拟变量的系数为-0.159,表明“宽带中国”试点政策的实施使试点城市的碳排放相比非试点城市下降15.9个百分点,数字基础设施的碳减排效应成立。研究假说1的总效应得到验证。
| 变量名称 | (1) | (2) | (3) | (4) |
|---|---|---|---|---|
| kdzg | -0.188***(-7.525) | -0.205***(-8.269) | -0.206***(-7.672) | -0.159***(-6.216) |
| perGDP | 0.092***(8.377) | 0.037***(3.309) | ||
| perGDP2 | -0.002***(-7.386) | -0.001***(-2.863) | ||
| density | 0.095***(9.106) | 0.049***(3.096) | ||
| urban | -1.925*(-1.816) | -10.784***(-7.865) | ||
| fdzb | -0.676***(-3.975) | -0.279*(-1.684) | ||
| fdi | 13.123***(3.435) | -1.019(-0.274) | ||
| fin | 0.078***(3.417) | -0.023(-1.045) | ||
| tzqd | 0.149***(4.533) | 0.172***(5.514) | ||
| greenland | 0.022*(1.850) | -0.010(-0.853) | ||
| cons | 5.591***(89.822) | 5.591***(250.402) | 4.965***(71.540) | 5.426***(69.638) |
| 个体固定 | No | Yes | No | Yes |
| 时间固定 | Yes | Yes | Yes | Yes |
| R2 | 0.571 | 0.585 | ||
| Obs | 3 794 | 3 794 | 3 794 | 3 794 |
从控制变量的回归结果看,控制变量结果也基本符合理论预期。经济发展水平的一次项系数(perGDP)显著为正,二次项系数(perGDP2)显著为负,说明在经济发展的不同阶段,碳排放出现先增加后下降的变化趋势。人口密度(density)的系数为正且显著,说明人口密度的加大会加剧碳排放。城镇化水平(urban)和财政支出水平(fdzb)的系数均显著为负,表明当前城镇化发展阶段以及财政支出水平对碳排放具有明显的抑制作用。外商直接投资(fdi)和金融发展水平(fin)的系数为负但不显著,说明外商直接投资和金融发展对碳排放影响存在着不确定性。投资强度(tzqd)的系数显著为正,表明投资强度的加大会加剧碳排放。绿化覆盖率(greenland)的系数为负但不显著,说明城市环境基础设施对生态环境有着促进作用,但目前的效果还不明显。
为缓解内生性问题,借鉴张华和冯烽[
34
| 变量名称 | (1) | (2) |
|---|---|---|
| pjpd | -0.118***(-6.67) | -0.058***(-3.34) |
| 第二阶段 | -1.328***(-4.95) | -1.654***(-2.70) |
| 控制变量 | No | Yes |
| 时间固定 | Yes | Yes |
| 个体固定效应 | Yes | Yes |
| Cragg-Donald Wald F statistic | 44.518 | 11.170 |
本文对于其他若干未考虑到的政策是否对实证结果有影响仍有疑虑。例如,2014年在北京市、上海市等实行碳排放权交易政策,2010年开始实行的低碳城市试点政策,2012年印发的《重点区域大气污染防治“十二五”规划》均可能影响试点地区的碳排放。为进一步排除这些政策可能的干扰,利用三重差分法控制这些城市,能将其他一些未能纳入考虑的政策进一步排除,从而得到“宽带中国”试点政策对碳排放的净影响[
35

式(5)是在双重差分模型式(1)的基础上构建三重差分模型,ddd
表4中三重差分估计结果显示,kdzg×tjysd、kdzg×ditan、kdzg×dqwrkzq系数均显著为负,说明在排除碳排放权交易政策、低碳城市试点政策、大气污染控制区政策因素之后,“宽带中国”试点政策仍能够对碳排放产生抑制作用,表明前文的研究结论是高度稳健的。
| 变量名称 | (1) | (2) | (3) |
|---|---|---|---|
| kdzg×tjysd | -0.207***(-4.177) | ||
| kdzg×ditan | -0.167***(-4.759) | ||
| kdzg×dqwrkzq | -0.135***(-3.013) | ||
| cons | 5.380***(68.238) | 5.401***(69.027) | 5.383***(67.794) |
| 控制变量 | Yes | Yes | Yes |
| 个体固定 | Yes | Yes | Yes |
| 时间固定 | Yes | Yes | Yes |
| R2 | 0.582 | 0.583 | 0.581 |
| Obs | 3 794 | 3 794 | 3 794 |
本文参考刘瑞明等[
36

本文进一步利用PSM-DID方法进行稳健性检验。参考曹翔和高瑀[
37
| 变量名称 | (1)邻近匹配 | (2)半径匹配 | (3)核密度匹配 |
|---|---|---|---|
| kdzg | -0.083**(-2.526) | -0.149***(-5.742) | -0.138***(-5.333) |
| cons | 5.320***(37.467) | 5.171***(55.284) | 5.127***(52.206) |
| 控制变量 | Yes | Yes | Yes |
| 个体固定 | Yes | Yes | Yes |
| 时间固定 | Yes | Yes | Yes |
| R2 | 0.540 | 0.591 | 0.594 |
| Obs | 2 126 | 3 741 | 3 724 |
受经济、历史以及地形等因素的影响,不同区域数字基础设施建设及其对碳排放的影响均有所不同,本文将样本划为东部、中部、西部三个区域,对“宽带中国”试点政策影响碳排放的区域异质性进行分析,表6报告了异质性回归结果。
| 变量名称 | 东部 | 中部 | 西部 |
|---|---|---|---|
| kdzg | -0.106***(-2.829) | -0.221***(-5.833) | -0.051(-0.846) |
| cons | 6.199***(54.221) | 5.324***(39.253) | 4.359***(19.736) |
| 控制变量 | Yes | Yes | Yes |
| 个体固定 | Yes | Yes | Yes |
| 时间固定 | Yes | Yes | Yes |
| R2 | 0.619 | 0.618 | 0.603 |
| Obs | 1 358 | 1 386 | 1 050 |
第一,试点政策对东部和中部城市的碳排放影响系数分别为-0.106和-0.221,均在1%水平上通过显著性检验。在西部城市,试点政策对碳排放的影响系数虽为负,但不显著,说明“宽带中国”试点政策的碳减排效果在中部和东部城市更明显。究其原因,西部属于欠发达地区,本身的铁路、公路等传统基础设施滞后,人力资本和科技水平较为落后,不利于网络基础设施及其延伸的数字经济的发展,同时,西部地区还承接来自发达地区的污染型产业转移,转移的高能耗企业也加大了碳减排工作的推进难度,这一观点在薛飞等[
9
38
第二,比较东部与中部地区系数的大小,发现中部地区试点政策对碳排放的抑制作用明显优于东部地区。可能的原因在于:一方面,数字基础设施的重要服务对象是广大中等收入群体和中小企业,并且由于数字基础设施的网络化、线上化特征,受实体经济发展基础的制约因素相对较弱,使得经济发展相对落后于东部的中部地区在低碳转型方面能更多地从数字经济发展中受益;另一方面,虽然中部地区本身的数字基础设施建设起步晚于东部地区,但不同于西部地区受制于要素禀赋,在中部地区资源要素和配套设施相对完善的情况下,其拥有较强的后发优势,数字基础设施发展的潜力和增长空间更大,在低碳发展方面释放的红利更多,而东部地区碳减排受数字技术红利影响的空间有限[
YANG Z, GAO W J, HAN Q. Digitalization and carbon emissions: How does digital city construction affect China's carbon emission reduction?[J]. Sustainable Cities and Society, 2022, 87: 104201.
39-40
基于前文的理论机制分析,本文对“宽带中国”试点政策通过产业结构升级、绿色技术创新途径影响碳排放的中介机制进行检验,借鉴温忠麟和叶宝娟[
41


方程(6)中,
表7报告了中介机制检验结果。第(1)、(3)列和第(2)、(4)列分别对应中介方程(6)和(7)。第(1)、(2)列检验了产业结构升级(indu)的中介机制,第(3)、(4)列检验了绿色技术创新(pergreeninno)的中介机制。从产业结构升级的检验结果看,kdzg对indu的回归系数显著为负,indu对lnco2的影响系数显著为正,表明“宽带中国”试点政策的实施通过减少第二产业的占比而降低了碳排放。从绿色技术创新的检验结果看,第(3)列中kdzg的回归系数都显著为正,第(4)列中lngreeninno的系数显著为负,说明“宽带中国”试点政策的实施有利于提升人均绿色发明专利申请量,数字基础设施能通过实质性绿色技术创新促进碳减排。研究假设1的中介影响机制得到验证。
| 变量名称 | 产业结构升级 | 绿色技术创新 | ||
|---|---|---|---|---|
| (1)indu | (2)lnco2 | (3)pergreeninno | (4)lnco2 | |
| kdzg | -1.331***(-4.742) | -0.146***(-5.726) | 0.384***(7.948) | -0.131***(-5.120) |
| indu | 0.010***(6.307) | |||
| pergreeninno | -0.073***(-8.258) | |||
| cons | 47.372***(55.344) | 4.969***(46.827) | -3.294***(-22.347) | 5.185***(62.849) |
| 控制变量 | Yes | Yes | Yes | Yes |
| 个体固定 | Yes | Yes | Yes | Yes |
| 时间固定 | Yes | Yes | Yes | Yes |
| R2 | 0.453 | 0.589 | 0.476 | 0.593 |
| Obs | 3 794 | 3 794 | 3 794 | 3 794 |
利用模型(2)进行平行趋势检验,如果
| (1) | (2) | (3) | |||
|---|---|---|---|---|---|
| 实施前第9年 | -0.034(-0.434) | 实施前第4年 | -0.047(-0.605) | 实施后第1年 | -0.118(-1.490) |
| 实施前第8年 | -0.052(-0.691) | 实施前第3年 | -0.106(-1.350) | 实施后第2年 | -0.152*(-1.921) |
| 实施前第7年 | -0.082(-1.052) | 实施前第2年 | -0.097(-1.231) | 实施后第3年 | -0.317***(-3.983) |
| 实施前第6年 | -0.072(-0.918) | 实施前第1年 | -0.069(-0.869) | 实施后第4年 | -0.437***(-5.070) |
| 实施前第5年 | -0.041(-0.525) | 实施当年 | -0.098(-1.250) | 实施后第5年 | -0.559***(-5.623) |

从动态效应看。“宽带中国”试点政策在施行当年和实施后第一年并未对碳排放产生显著影响,但已经显示出一定的碳减排趋势,在第二年的系数显著为负,说明试点政策的碳减排效果具有时滞性,在第二年后才明显发挥;还可看出越到后面年份,系数值逐渐增大,且越来越显著,表明政策效果的发挥呈现出时间动态增强效应。这是因为,在“宽带中国”政策影响碳排放的路径中,仅有数字基础设施本身的建设和运营以及对相关生产生活方式的替代作用具有即时性,而产业结构升级和绿色技术创新的变化都需要一定过程,因此数字基础设施通过产业结构和绿色技术创新来影响碳排放的效应在当期最弱甚至为零,随着时间推移,数字基础设施推动产业结构逐渐向合理化和高级化转变、推动绿色技术应用于碳减排领域,进而对城市碳排放的抑制作用逐渐增强,研究假说2得到验证。
采用空间双重差分模型对数字基础设施影响碳排放的空间溢出效应进行检验。首先,采用Moran's I指数法计算地理经济联合矩阵下各年度的空间自相关系数,2006—2019年城市碳排放的全局Moran's I指数均大于0,且达到1%的显著性水平,说明具有显著的空间自相关性,对其进行空间溢出效应研究很有必要。其次,本文对模型选择进行了检验,如表9所示,Wald检验和LR检验结果表明,SDM模型不能退化为SAR和SEM模型,同时,LR检验结果显示,时间空间双固定效应模型最优,因此,本文应选择SDM双向固定效应模型。
| 变量名称 | (1) | (2) | (3) | (4) |
|---|---|---|---|---|
| kdzg | -0.090**(-2.169) | -0.160***(-6.462) | -0.212***(-9.002) | -0.170***(-7.014) |
| w×kdzg | 0.058(0.475) | 0.252***(5.295) | 0.356***(5.237) | 0.135*(1.882) |
| rho | 0.160***(4.721) | 0.623***(26.573) | 0.197***(5.815) | 0.152***(4.296) |
| sigma2 | 0.505***(41.490) | 0.126***(43.052) | 0.122***(43.774) | 0.116***(43.416) |
| 控制变量 | Yes | Yes | No | Yes |
| 个体固定 | No | Yes | Yes | Yes |
| 时间固定 | Yes | No | Yes | Yes |
| Obs | 3 794 | 3 794 | 3 794 | 3 794 |
| wald_sptial_lag | 105.16*** | |||
| wald_sptial_error | 106.63*** | |||
| LR_sptial_lag | 133.42*** | |||
| LR_sptial_error | 130.17*** | |||
表9报告了空间溢出效应检验结果,第(1)、(2)、(3)、(4)列分别为只固定年份、只固定城市、双向固定无控制变量、双向固定有控制变量的回归结果。主要对第(4)列结果进行分析,可看到空间滞后项系数在1%水平显著为正,说明城市间碳排放存在正向空间相关性。观察“宽带中国”政策对碳排放影响的空间滞后项系数,可以发现,
文章从理论层面分析了数字基础设施对碳排放的影响机制和时空动态效应,基于2006—2019年中国地级市面板数据,以“宽带中国”战略为准自然实验,利用渐进双重差分法实证检验了“宽带中国”试点政策对城市碳排放的影响机理与时空动态效果。主要结论如下:第一,“宽带中国”示范城市的设立具有显著的碳减排效果,并且该实证结论通过了工具变量法、三重差分法、PSM-DID等稳健性检验。第二,机制分析显示,数字基础设施既能直接影响碳排放,又能通过产业结构升级、绿色技术创新的中介渠道间接促进碳减排。第三,从时间动态效应看,“宽带中国”试点政策的碳减排效应具有时滞性,但随着时间推移,试点政策对城市碳排放的抑制作用存在边际效应递增的趋势。第四,从空间溢出效应看,“宽带中国”试点政策对地理经济相似地区的碳排放存在着正向空间溢出效应。第五,地区异质性方面,“宽带中国”战略的碳减排效应在西部地区不显著,在东部和中部地区更明显,并且中部地区的效果大于东部地区。
根据上述结论,得到如下政策启示。
第一,完善数字基础设施建设,加强“宽带中国”试点政策的推广。由于我国数字化进程尚处于发展初期,数字基础设施的边际效应递增的空间上限还很大,因此,应继续加快5G、人工智能、大数据中心、物联网、工业互联网等基础设施建设步伐,进一步优化数字基础设施供给模式和运营模式,并注重长期战略与短期计划相结合,分级分类推进实施,优先布局示范效应大、带动性强的建设项目,推进数字强国建设。第二,因地制宜,统筹考虑各城市发展的不同特征,实施动态化、差异化政策。加强地区间数字经济互助发展和协同减排,充分利用数字基础设施的时空压缩性、共享性特征,扩宽知识信息和技术溢出渠道,最大限度发挥数字基础设施促进碳减排的扩散作用和示范效应,减缓对其他地区的“虹吸效应”。东部地区应重点攻关核心技术,发挥带头作用;中部地区在承接绿色创新产业的过程中,降低数字技术使用门槛,继续发挥好东部和西部地区的“桥梁作用”;西部地区依靠自身资源优势,通过引进人才、利用数字技术打造特色产业,将数字技术应用于电网布局选址和清洁能源领域。第三,加快产业结构转型升级、提升绿色技术创新水平。继续支持电子商务、互联网产业等环境友好型产业发展,引导生产要素流向资源节约、环境优化的新兴产业,激发出更多的新业态和新模式,加快数字经济同三次产业的深度融合,推动资源型重工业向低碳化、绿色化转型。同时,加大对绿色技术研发项目的财政资金支持和人才队伍建设,加强绿色法律法规体系和知识产权制度供给体系建设,发挥财税工具、产业政策、金融体系等激发绿色创新,为绿色技术创新营造良好的政策环境。
参考文献:
| [1] | |
| [2] | |
| [3] | |
| [4] | |
| [5] | |
| [6] | |
| [7] | |
| [8] | |
| [9] | |
| [10] | |
| [11] | |
| [12] | |
| [13] | |
| [14] | |
| [15] | |
| [16] | |
| [17] | |
| [18] | |
| [19] | |
| [20] | |
| [21] | |
| [22] | |
| [23] | |
| [24] | |
| [25] | |
| [26] | |
| [27] | |
| [28] | |
| [29] | |
| [30] | |
| [31] | |
| [32] | |
| [33] | |
| [34] | |
| [35] | |
| [36] | |
| [37] | |
| [38] | |
| [39] | |
| [40] | |
| [41] |