• 2025年第48卷第7期文章目次
    全 选
    显示方式: |
    • >车辆动力学性能优化专栏
    • 电动重型商用车 AMT系统效率最优换挡策略

      2025, 48(7):1-12. DOI: 10.11835/j.issn.1000-582X.2024.236

      摘要 (285) HTML (137) PDF 5.47 M (462) 评论 (0) 收藏

      摘要:为提高电动商用车的能量利用率,充分发挥其节能潜力,文中以多挡电控机械式自动变速箱(automated mechanical transmission,AMT)电动重型商用车为研究对象,提出了一种基于系统效率最优的换挡策略。基于电驱系统构型深入分析各部件损耗机理和动态效率特性,通过电驱系统效率曲面制定基于系统效率最优的换挡策略;建立电驱系统键合图模型,利用重构城郊工况进行换挡策略仿真分析;结合实车实验验证了文中策略的有效性和优越性。研究结果表明:该策略能实现电驱系统输出效率最优,比传统经济性换挡策略的整车能耗降低了3.86%。

      • 0+1
      • 1+1
      • 2+1
      • 3+1
      • 4+1
      • 5+1
      • 6+1
      • 7+1
      • 8+1
      • 9+1
      • 10+1
      • 11+1
      • 12+1
      • 13+1
      • 14+1
      • 15+1
    • 考虑挡位组合策略的多挡变速箱仿真载荷谱获取方法

      2025, 48(7):13-26. DOI: 10.11835/j.issn.1000-582X.2024.221

      摘要 (186) HTML (98) PDF 5.83 M (389) 评论 (0) 收藏

      摘要:目前变速箱仿真载荷谱的相关研究对驾驶员意图考虑不足,难以全面反映变速箱挡位的受载状态。为了提高变速箱可靠性分析的准确性,以装备12挡变速箱的矿用车辆为研究对象,在动力性与经济性换挡规律的基础上,充分考虑不同车速的许用挡位,提出一种考虑挡位组合策略的多挡变速箱仿真载荷谱获取方法。基于矿用车辆行驶工况,采用所提方法获得了多挡变速箱仿真载荷谱,并与基于动力性或经济性换挡规律获得的仿真载荷谱进行对比。结果表明:与基于换挡规律获得载荷谱的传统方法相比,所提方法得到了不同的危险挡位。传统方法得到的危险挡位是6挡,工作时间占循环工况的53.25%,载荷区间为2 000~2 400 N?m时占比最大,为53.14%,所提方法得到的危险挡位是7挡,工作时间占循环工况的54.49%,载荷区间为2 400~2 800 N?m时占比最大,为52.78%;从载荷累积量的角度可发现,所提方法得到的7挡载荷累积量较传统方法得到的6挡载荷累积量增加了2.33%。研究结果证明了所提方法的有效性,为多挡变速箱可靠性设计奠定了基础。

      • 0+1
      • 1+1
      • 2+1
      • 3+1
      • 4+1
      • 5+1
      • 6+1
      • 7+1
      • 8+1
      • 9+1
      • 10+1
      • 11+1
      • 12+1
      • 13+1
      • 14+1
      • 15+1
    • 考虑环境与摩擦因素的工程车辆起步自适应控制策略

      2025, 48(7):27-37. DOI: 10.11835/j.issn.1000-582X.2025.212

      摘要 (233) HTML (96) PDF 2.76 M (344) 评论 (0) 收藏

      摘要:工程车辆在高扭矩、高负载和复杂运行环境下工作时,面临着诸多技术挑战,特别是在起步阶段,离合器片的滑摩现象显著影响了离合器转矩的控制精度。为实现搭载AMT的工程车辆在不同条件下的起步自适应控制,提出了一种融合二次型控制(linear quadratic regulator,LQR)和深度神经网络的AMT起步过程自适应控制方法。在控制策略的上层,根据不同起步意图制定了发动机恒转速策略,并利用线性二次调节器求得不同环境下的离合器参考转速对应的参考转矩;考虑到运行环境的复杂性,在车辆动力学模型中引入一定范围的扰动,生成一系列参考转速轨迹作为深度神经网络的训练数据集,离线得到鲁棒性较强的数据模型。在控制策略的下层,设计了离合器摩擦因数自适应控制器实时估计离合器的摩擦因数。通过仿真测试验证了搭载AMT的工程车辆起步自适应控制方法的有效性。结果表明:在未知摩擦因数变化规律条件下所提方法具有良好的起步性能,能够适应不同的起步意图与行驶环境,相较于工程上常用的PID控制器具有更强的自适应能力和鲁棒性。

      • 0+1
      • 1+1
      • 2+1
      • 3+1
      • 4+1
      • 5+1
      • 6+1
      • 7+1
      • 8+1
      • 9+1
      • 10+1
      • 11+1
    • 前副车架对整车操纵稳定性的影响分析及优化

      2025, 48(7):38-49. DOI: 10.11835/j.issn.1000-582X.2023.232

      摘要 (258) HTML (149) PDF 2.92 M (284) 评论 (0) 收藏

      摘要:车辆的操纵稳定性是整车性能的重要组成部分,在车辆悬架与副车架系统中常将副车架作为刚性连接进行研究,然而前副车架在实际的行驶过程中会发生弹性变形,文中对某车型的前副车架进行柔性化处理,建立刚柔耦合模型来研究整车的操纵稳定性具有重要意义。对整车进行横向动力学分析,推导了三自由度车辆运动学方程。通过车辆运动学仿真对比分析,研究了该前副车架柔性对悬架系统KC特性与整车瞬态操纵稳定性的影响。运用NSGA-II算法对前副车架连接处的衬套刚度进行优化设计,改善了整车的瞬态操纵稳定性。优化结果表明:在0.5 Hz时,横摆角速度相对于方向盘转角增益降低了8%,车身侧倾角相对于侧向加速度增益降低了1.1%,侧向加速度相对于方向盘转角延迟时间减少了10.5%。

      • 0+1
      • 1+1
      • 2+1
      • 3+1
      • 4+1
      • 5+1
      • 6+1
      • 7+1
      • 8+1
      • 9+1
      • 10+1
      • 11+1
      • 12+1
      • 13+1
      • 14+1
      • 15+1
      • 16+1
      • 17+1
      • 18+1
      • 19+1
      • 20+1
      • 21+1
    • 点熄火工况下动力总成悬置隔振性能的优化方法

      2025, 48(7):50-61. DOI: 10.11835/j.issn.1000-582X.2025.07.005

      摘要 (208) HTML (104) PDF 1.95 M (395) 评论 (0) 收藏

      摘要:混合动力汽车的发动机会频繁地出现点熄火工况,提高点熄火工况下的动力总成悬置系统的隔振性能是改善汽车NVH性能的重要措施之一。文中建立了某动力总成的十三自由度模型,在点熄火工况下,计算了悬置主动端的加速度,测试了各个悬置的主、被动端和座椅导轨上振动加速度,验证了模型的有效性。以动力总成纵向加速度的振动剂量值为优化目标,悬置参数为优化变量,提出了悬置系统的确定性与不确定性优化方法,并进行实验验证。结果表明:2种优化方法均可有效提高悬置系统的振动性能,其中不确定性优化方法可以使悬置系统具有更好的稳健性,可有效应对参数不确定性的影响。

      • 0+1
      • 1+1
      • 2+1
      • 3+1
      • 4+1
      • 5+1
      • 6+1
      • 7+1
      • 8+1
    • >能源与动力工程
    • 振荡流下旋转圆柱涡致振动与传热特性研究

      2025, 48(7):62-74. DOI: 10.11835/j.issn.1000-582X.2025.07.006

      摘要 (221) HTML (176) PDF 3.93 M (425) 评论 (0) 收藏

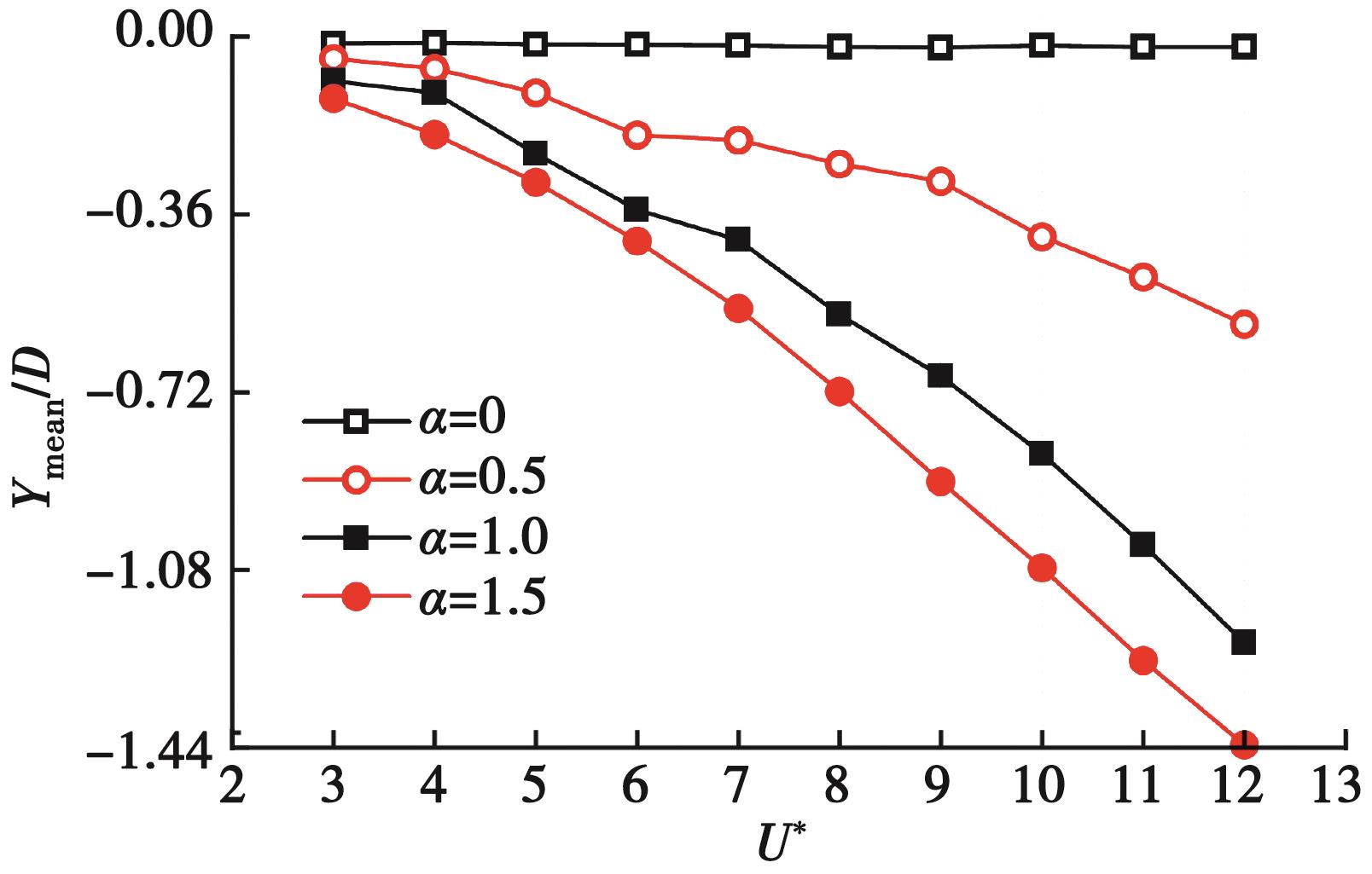
      摘要:基于海洋深层流的特点,数值模拟了振荡来流条件下不同折减速度U*和旋转速率α对圆柱振动响应与传热特性的影响。结果表明,圆柱的x(A*peaks,x)和y方向(A*peaks,y)的振幅比存在多个极值点,且随着α增加,A*peaks,x的最大值增大,其对应的U*减小。位移和升阻力系数随着αU*变化表现出显著差异,x方向的时间平均位移随U*的增加而增大,y方向平均位移和升阻力系数均随α的增大而增大。圆柱的运动轨迹在0≤α≤1.0时,无明显规律;在α=1.5 时,为圆环状。随着U*增加,圆柱平均努塞尔数增大,局部努塞尔数分布逐渐成圆形。随着α增大,涡旋脱落模式由2S转变为单排排列,尾迹逐渐拉伸并趋于U型模式。温度场结果表明,前驻点热交换较弱,后驻点热交换和局部传热效率显著提升。

      • 0+1
      • 1+1
      • 2+1
      • 3+1
      • 4+1
      • 5+1
      • 6+1
      • 7+1
      • 8+1
      • 9+1
      • 10+1
      • 11+1
      • 12+1
      • 13+1
      • 14+1
      • 15+1
      • 16+1
      • 17+1
      • 18+1
    • 加热棒束通道丝网传感器两相流探测方法及影响因素研究

      2025, 48(7):75-84. DOI: 10.11835/j.issn.1000-582X.2025.07.007

      摘要 (215) HTML (79) PDF 3.19 M (306) 评论 (0) 收藏

      摘要:加热棒束通道内的气液两相特性分析对反应堆安全运行至关重要。通常采用实验的方法对棒束通道内的两相流特性展开研究。常温下棒束通道的实验中丝网传感器是一种常用的测量手段,但其在带电棒束通道中的应用较少。基于有限元仿真软件中的静电场方法分析了带电棒束通道内电场的存在对丝网传感器的测量影响,并通过实验对仿真结果进行验证。结果表明,在带电棒束通道中,施加给发射电极的激励电压越大,测量区域对气液两相的敏感性越强,越有利于丝网传感器对气液两相的识别。通过20 V激励电压下的成像实验验证了该条件下丝网传感器测量的可行性。

      • 0+1
      • 1+1
      • 2+1
      • 3+1
      • 4+1
      • 5+1
      • 6+1
      • 7+1
      • 8+1
      • 9+1
      • 10+1
      • 11+1
      • 12+1
      • 13+1
    • 二甲醚掺混对氨/空气预混燃烧特性的影响

      2025, 48(7):85-93. DOI: 10.11835/j.issn.1000-582X.2025.07.008

      摘要 (261) HTML (102) PDF 2.40 M (398) 评论 (0) 收藏

      摘要:为了改善氨在内燃机中的着火燃烧性能,将其与反应活性高的二甲醚(DME)燃料掺混不失为一种有效措施。文中采用数值模拟方法研究了NH3/DME/空气预混层流火焰的燃烧过程,分析了DME掺混对氨层流燃烧速度、化学反应路径及一氧化氮(NO)生成特性的影响规律。仿真结果表明,随着DME掺混比的增大,NH3/DME/空气预混合气的层流燃烧速度和绝热火焰温度显著提升,DME掺混引起的自由基池浓度的增大是导致混合燃料层流燃烧速度增大的主要因素;随着DME掺混比的增大,火焰中NO归一化浓度显著增大,当掺混80% DME时,NO的归一化浓度达到了50%,路径分析表明,DME掺混不利于氨中氮元素向N2的转化,会引起NO排放增加;与DME掺混燃烧时,氮族基元反应的敏感性明显降低,燃烧过程以氢族和碳族基元反应为主导。

      • 0+1
      • 1+1
      • 2+1
      • 3+1
      • 4+1
      • 5+1
      • 6+1
      • 7+1
      • 8+1
    • 超超临界循环流化床锅炉主燃料跳闸及锅炉跳闸动态特性仿真

      2025, 48(7):94-103. DOI: 10.11835/j.issn.1000-582X.2025.07.009

      摘要 (241) HTML (118) PDF 1.95 M (430) 评论 (0) 收藏

      摘要:为研究超超临界循环流化床(circulating fluidized bed, CFB)锅炉在触发主燃料跳闸(main fuel trip, MFT)和锅炉跳闸(boiler trip, BT)时的动态特性,在Apros仿真平台上建立了660 MW超超临界循环流化床锅炉仿真模型,分别在100% BMCR(boiler maximum continuous rating)、75% THA (turbine heat acceptance) 和50% THA工况下燃煤时对 MFT和BT进行动态仿真。结果表明,在50% THA工况下,锅炉触发MFT与BT后汽水分离器很快由干态转为湿态运行,MFT、BT复位后逐渐由湿态转为干态运行。频繁干、湿态转换会增大汽水分离器热应力,影响设备寿命与安全,应避免在低负荷下触发锅炉MFT与BT。

      • 0+1
      • 1+1
      • 2+1
      • 3+1
      • 4+1
      • 5+1
      • 6+1
      • 7+1
      • 8+1
    • 可独立运行的复合型高效余热锅炉数值模拟研究

      2025, 48(7):104-114. DOI: 10.11835/j.issn.1000-582X.2025.07.010

      摘要 (245) HTML (143) PDF 1.98 M (330) 评论 (0) 收藏

      摘要:文中设计并模拟了一种可独立运行的复合型高效余热锅炉,该锅炉可以实现燃气?蒸汽联合循环,并能脱离燃气轮机独立运行。利用计算流体力学软件,建立了该锅炉的三维数值模型并模拟了该锅炉在3种稳态运行模式下的运行特性,分析了不同模式间动态切换过程整体特性变化。结果表明,3种模式在稳态运行时均可通过调整燃气补燃量来满足热负荷需求。在动态切换过程中,文中提出的控制方法可以保证整个过程中余热锅炉运行状态平稳,3种工作模式实现无缝切换。

      • 0+1
      • 1+1
      • 2+1
      • 3+1
      • 4+1
      • 5+1
      • 6+1
      • 7+1
      • 8+1
      • 9+1
      • 10+1
      • 11+1
      • 12+1

当期目录


年第卷第

文章目录

过刊浏览

年份

刊期

浏览排行

引用排行

下载排行