• 2025年第48卷第9期文章目次
    全 选
    显示方式: |
    • >电气工程
    • 计及非负和低秩特性的用电数据缺失值插补

      2025, 48(9):1-11. DOI: 10.11835/j.issn.1000-582X.2024.214

      摘要 (189) HTML (86) PDF 2.47 M (383) 评论 (0) 收藏

      摘要:随着智能电表的广泛应用,电网公司积累了大量原始用电数据,然而复杂工作环境下用电信息采集设备仍存在数据丢失的现象。在充分考虑高斯噪声影响的情况下,对存在缺失的原始用电数据进行填补。对独立用户数据序列重排得到原始用电数据矩阵,将其中的理想用电数据矩阵进行非负矩阵分解替代;分别选择F范数和核范数对高斯噪声和具有低秩特性的理想用电数据进行正则化约束以构建优化模型;最后,基于块坐标最小算法框架使用EM算法和直接法交替更新非负矩阵分解得到的矩阵因子,从而有效实现数据的准确插补。仿真分析和实验结果验证了算法的有效性和准确性。

      • 0+1
      • 1+1
      • 2+1
      • 3+1
      • 4+1
      • 5+1
      • 6+1
    • 计及N-1约束的联络线功率交互能力刻画与分析

      2025, 48(9):12-20. DOI: 10.11835/j.issn.1000-582X.2024.216

      摘要 (147) HTML (52) PDF 1.32 M (337) 评论 (0) 收藏

      摘要:电力系统联络线功率交互能力的精准表征,有助于实现中国跨区电力传输的可执行性和最优性。然而,现有方法仅考虑基态场景电力系统联络线功率交互能力,忽略N-1故障场景对电力系统联络线功率交互能力的影响,无法实现联络线功率交互能力的精准表征。文中针对计及N-1约束的电力系统联络线功率交互能力展开研究,依据基态场景与N-1故障场景的耦合关系,提出基于解耦表征策略的N-1故障场景下电力系统联络线功率交互能力快速刻画方法;依据火电机组不同调控模式,分析N-1故障场景调控能力对电力系统联络线功率交互能力影响,辅助跨区电力资源优化配置决策制定。某省661节点系统算例表明:所提方法中能够精准、高效地表征联络线功率能力。

      • 0+1
      • 1+1
      • 2+1
    • 光伏虚拟同步发电机经高压直流输电送出系统稳定性研究

      2025, 48(9):21-36. DOI: 10.11835/j.issn.1000-582X.2024.205

      摘要 (238) HTML (131) PDF 2.78 M (331) 评论 (0) 收藏

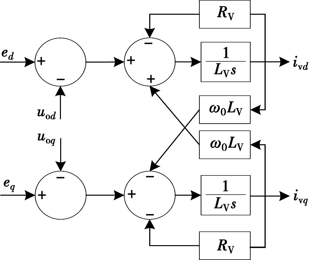
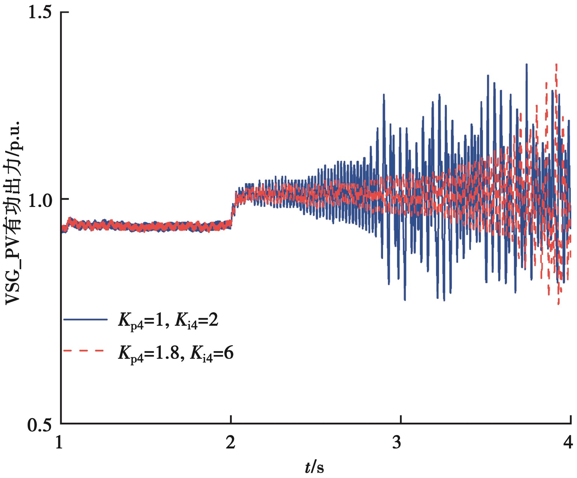
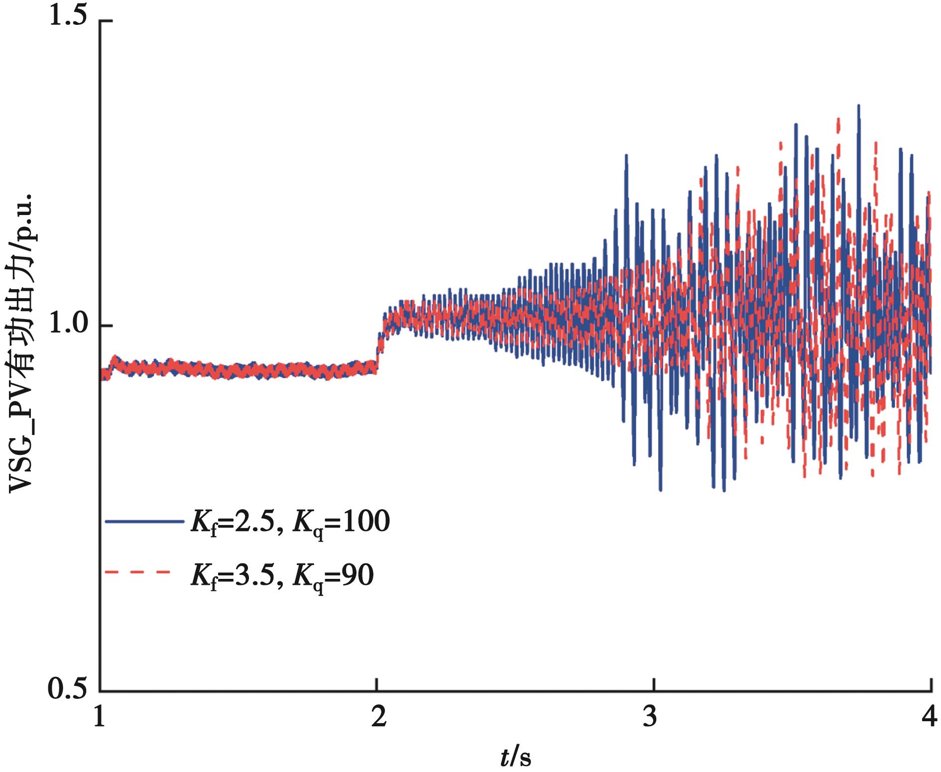
      摘要:针对光伏虚拟同步发电机(virtual synchronous generators,VSG)经高压直流输电(modular multilevel converter based high voltage direct current,MMC-HVDC)送出系统所存在的次同步振荡(subsynchronous oscillation,SSO)风险,建立系统线性化数学模型。提出一种改进型虚拟同步控制策略,利用特征值法分析当功率发生扰动时,光伏虚拟同步发电系统有功控制环节、无功控制环节、虚拟电感、MMC-HVDC桥臂电感、电流矢量控制环节对系统SSO的阻尼特性和频率特性均会产生影响,并在PSCAD/EMTDC仿真平台进行验证。结果表明:引入VSG控制后,在外送系统中发生功率扰动的过程中,存在光伏VSG和MMC-HVDC共同参与的次同步振荡模式;在光伏VSG侧,有功调频系数Kf过大或虚拟电感Lv过小均会导致系统失稳;MMC-HVDC侧,电压环积分系数Ki4增大会导致系统失稳,而增大桥臂电感Lg会增强系统稳定性。

      • 0+1
      • 1+1
      • 2+1
      • 3+1
      • 4+1
      • 5+1
      • 6+1
      • 7+1
      • 8+1
      • 9+1
      • 10+1
      • 11+1
      • 12+1
      • 13+1
      • 14+1
      • 15+1
    • 双馈风机宽频受迫扭振抑制的模型参考自适应控制方法

      2025, 48(9):37-49. DOI: 10.11835/j.issn.1000-582X.2024.220

      摘要 (168) HTML (71) PDF 2.52 M (342) 评论 (0) 收藏

      摘要:湍流风激励场景下双馈风力发电系统轴系传动链在低频段存在宽频受迫扭振问题,影响机组稳定运行。提出了扭振抑制的模型参考自适应控制(model reference adaptive control,MRAC)方法,建立了考虑最优转矩控制和带通滤波器参数的轴系宽频受迫扭振模型,利用系统输入量和输出量设计前馈控制器和自适应控制律,避免了传动链状态变量不易测量的难题,使向双馈风力发电系统传动链提供主动阻尼的带通滤波器主要参数进行自适应调节,最终传动链动态响应跟踪稳定的参考模型。以1.5 MW双馈风力发电系统为例,在持续性湍流风激励场景下,仿真验证MRAC的跟踪效果,对比电气阻尼重塑方法和MRAC方法对宽频受迫扭振的抑制性能。结果表明,所提出的MRAC方法能够使被控对象稳定跟踪参考模型,跟踪平均误差不超过4.94%;相比于电气阻尼重塑方法,采取MRAC对双馈风力发电系统传动链宽频受迫扭振抑制效果提升了21.77%,柔性传动轴扭矩和发电机输出有功功率波动均减小。

      • 0+1
      • 1+1
      • 2+1
      • 3+1
      • 4+1
      • 5+1
      • 6+1
      • 7+1
      • 8+1
      • 9+1
      • 10+1
      • 11+1
    • 抑制碳化硅MOSFET阈值电压漂移的驱动电路

      2025, 48(9):50-56. DOI: 10.11835/j.issn.1000-582X.2024.207

      摘要 (204) HTML (170) PDF 2.31 M (432) 评论 (0) 收藏

      摘要:碳化硅金属-氧化物-半导体场效应晶体管(metal-oxide-semiconductor field-effect transistor,MOSFET)的阈值电压漂移严重影响了其在应用中的可靠性。针对该问题,文中总结了碳化硅MOSFET阈值电压漂移的特点与现有的理论模型,提出抑制阈值电压漂移的驱动方法与驱动电路。该驱动电路通过引入中间电平的方式,将被控器件关断动态过程与关断稳态后的栅极电压区分开来,以此来达到降低碳化硅MOSFET的阈值电压漂移量的目的,同时还可以保留负栅极关断电压的优势。搭建了实验平台来验证该驱动电路对碳化硅MOSFET阈值电压漂移的抑制效果,结果表明,在文中的实验条件下该驱动电路相比于传统的驱动方式阈值电压漂移量降低了37%。

      • 0+1
      • 1+1
      • 2+1
      • 3+1
      • 4+1
      • 5+1
      • 6+1
    • >土木工程
    • 利用太阳能烟囱耦合地埋管自然通风改善室内热环境研究

      2025, 48(9):57-65. DOI: 10.11835/j.issn.1000-582X.2025.09.006

      摘要 (270) HTML (73) PDF 2.80 M (380) 评论 (0) 收藏

      摘要:土壤-空气换热器是一种浅层地热利用技术(earth-to-air heat exchanger, EAHE),可以显著降低建筑能耗。当与太阳能烟囱(solar chimney ,SC)耦合时,利用太阳能烟囱制造的热压将新鲜空气引入室内环境的同时,还可以消除房间的部分负荷。文中研究了夏热冬冷地区SC-EAHE系统改善建筑室内热环境的效果。结果表明,夏季工况下,配置SC-EAHE系统的测试房间相比对比房间夏季室内温度最高能降低3.2 ℃,与室外空气相比最大温降为5.9 ℃,换气次数在2.2~10.1次/h;冬季最大升温1.6 ℃,与室外空气相比最大温升为15.5 ℃,换气次数在3.4~13.5次/h。建筑得热量最大的外表面是屋顶和南墙,与没有EAHE的对比房间相比,在夏季工况下,南墙内表面平均温度降低约1.1 ℃,屋顶内表面温度几乎保持一致;冬季工况下,南墙内表面平均温度升高1.5 ℃,屋顶内表面平均温度升高1.7 ℃。

      • 0+1
      • 1+1
      • 2+1
      • 3+1
      • 4+1
      • 5+1
      • 6+1
      • 7+1
      • 8+1
    • 室内动态空调环境下老年人热需求评价指标研究

      2025, 48(9):66-75. DOI: 10.11835/j.issn.1000-582X.2025.09.007

      摘要 (190) HTML (119) PDF 1.95 M (302) 评论 (0) 收藏

      摘要:空调的送风形式会形成动态的室内热环境,影响老年人的实际热环境需求。传统PMV指标适用于稳态环境,较少考虑热环境空间和时间波动对热舒适的影响。文中主要分析室内动态空调环境下的老年人热需求,提出量化空间和时间波动影响的指标。招募了7位老年人参与气候室实验,分析了供冷条件下房间空调器4种典型空调送风形式下,老年人周围24个监测点(3个高度和8个方向)的热环境参数特点,利用均匀性和波动性指标量化了热环境参数的时空分布特征。其中,均匀性是指受试者胸部和背部的环境参数差异,波动性是指受试者周围8个方向的环境参数的平均波动值。结果表明,人体周围热环境呈现出明显的均匀性和波动性特征,结合热感知评价发现,随着环境波动性的减小和均匀性的提升,老年人的热感觉和吹风感趋于中性,热舒适得到改善。根据相关性分析同样发现,热感知与提出的指标存在明显相关性。因此,均匀性和波动性指标可以作为评价室内动态空调环境下老年人热需求的重要指标。

      • 0+1
      • 1+1
      • 2+1
      • 3+1
      • 4+1
      • 5+1
      • 6+1
    • 基于多目标优化的双层天窗采透光系统设计

      2025, 48(9):76-92. DOI: 10.11835/j.issn.1000-582X.2025.09.008

      摘要 (170) HTML (127) PDF 5.82 M (268) 评论 (0) 收藏

      摘要:天窗的开设能显著提升室内自然采光均匀度及照度值,空气间层能减弱室内外热量的传递且优化室内的光环境质量;以邯郸市既有综合市场建筑空间为例,使用Grasshopper仿真平台将天窗与空气间层相结合设计出具有27种组合形态的双层天窗采透光系统,借助Octopus实现以能耗和光舒适为目标的采透光系统寻优,并将自变量和评价指标数据集导入Hiplot平台进行相关性分析,判断变量参数与光环境评价指标之间的相关关系。结果表明,当空气间层厚度为0.8 m、半透光材料厚度为0.005 m、天窗面积占比为0.3时,优化效果最佳;室内有效日光照度占比提升了10.97%,白昼眩光概率降低了39.40%,南北向出入口及其背景面亮度比分别降低了61.45%和45.10%,单位面积能耗降低了18.42%。同时,在参数变化范围内,空气间层高度与采光系数、有效日光照度及白昼眩光概率之间负相关,但相关性较弱;天窗面积占比与有效日光照度负相关、半透光材料厚度与白昼眩光概率正相关,且相关性较强;最后,分析了该系统应用的经济性、普适性和可行性,为城市大空间公共建筑室内光环境设计和改造提供了新的思路和构件形态。

      • 0+1
      • 1+1
      • 2+1
      • 3+1
      • 4+1
      • 5+1
      • 6+1
      • 7+1
      • 8+1
      • 9+1
      • 10+1
      • 11+1
    • 蜂窝梁残余应力试验

      2025, 48(9):93-103. DOI: 10.11835/j.issn.1000-582X.2025.09.009

      摘要 (145) HTML (71) PDF 3.83 M (284) 评论 (0) 收藏

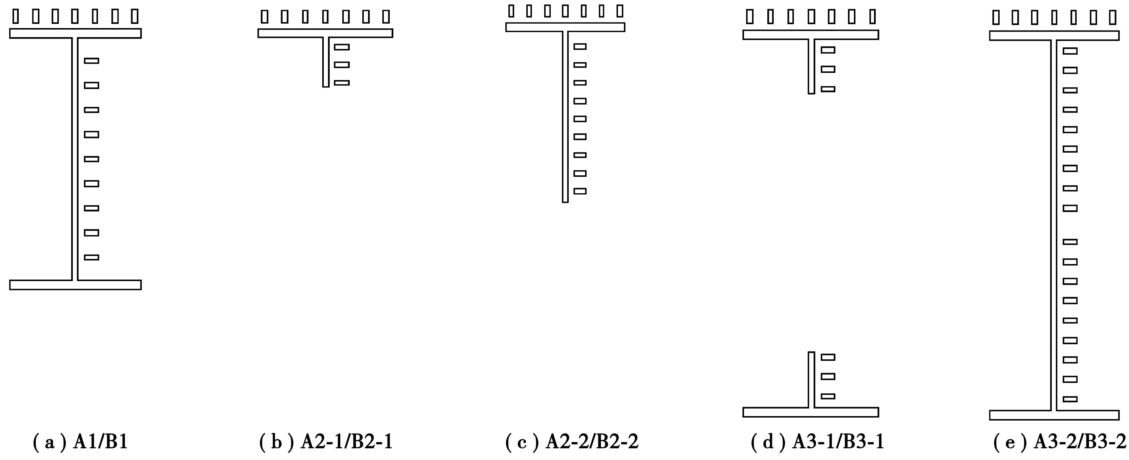
      摘要:蜂窝梁作为一种新型构件,通常由热轧工字形或H形截面构件的腹板按照特定折线进行切割,再将上下两部分错位焊接而成。相比于传统实腹梁,具有轻质高强、平面刚度大、造价更低等优点。由于截面增高并带有孔洞,蜂窝梁更容易出现失稳问题,截面残余应力分布对其整体稳定性能具有较大影响。文中采用切条法测得了2个实腹梁、4个矮高腹板、4个蜂窝梁试件截面的残余应力分布,研究了切割和焊接过程对蜂窝梁残余应力的影响。结果表明,蜂窝梁切割和焊接后,翼缘残余应力分布形状相比于实腹梁无明显变化,但翼缘和腹板连接处残余拉应力明显增大,焊接后可达到屈服强度;矮高腹板试件腹板切割处出现了较大残余拉应力;蜂窝梁梁桥截面处腹板残余应力分布相比于矮高腹板试件无明显变化,受焊接影响梁墩截面处拉应力变化较大,焊缝处可达到屈服强度。基于试验结果和已有模型,提出了简化的蜂窝梁纵向残余应力分布折线模型,可为蜂窝梁的稳定性研究和工程设计提供参考。

      • 0+1
      • 1+1
      • 2+1
      • 3+1
      • 4+1
      • 5+1
      • 6+1
      • 7+1
      • 8+1
      • 9+1
      • 10+1
      • 11+1
      • 12+1
      • 13+1
      • 14+1
      • 15+1
    • 基于分离拉伸试验的钢芯铝绞线力学性能研究

      2025, 48(9):104-112. DOI: 10.11835/j.issn.1000-582X.2025.09.010

      摘要 (185) HTML (117) PDF 3.26 M (248) 评论 (0) 收藏

      摘要:由于钢芯铝绞线不同材料之间在拉伸时滑移导致夹持困难,传统的钢芯铝绞线拉伸实验误差较大。文中采用钢绞线和铝绞线分开试验的方法,分析20 ℃下钢芯铝绞线ACSR-300/25的拉伸力学性能规律,并对试验结果加以辅助验证。结果表明,铝绞线没有明显强化阶段和屈服阶段,钢绞线具有明显的弹性阶段、屈服阶段、强化阶段和局部颈缩阶段。铝股线破坏部位都集中在试样1/2~1/3位置处,每根股线破坏部位有沿绞制方向的发展趋势。钢股线破坏位置基本处于试样中部区域同一横截面上。分开对钢、铝绞线进行试验结果和钢芯铝绞线整体的模拟结果基本一致,证明了试验方法的可行性。

      • 0+1
      • 1+1
      • 2+1
      • 3+1
      • 4+1
      • 5+1
      • 6+1
      • 7+1
      • 8+1
      • 9+1
      • 10+1
      • 11+1
      • 12+1
      • 13+1
      • 14+1
      • 15+1
      • 16+1
      • 17+1

当期目录


年第卷第

文章目录

过刊浏览

年份

刊期

浏览排行

引用排行

下载排行