• 2026年第49卷第3期文章目次
    全 选
    显示方式: |
    • >电网安全与运行专栏
    • 风力发电机覆冰在线监测动态预警模型

      2026, 49(3):1-12. DOI: 10.11835/j.issn.1000-582X.03.001

      摘要 (89) HTML (53) PDF 2.87 M (215) 评论 (0) 收藏

      摘要:寒潮期间风力发电机叶片表面容易出现覆冰现象,会导致发电能力降低、设备运行不稳定甚至故障,因此开展风力发电机覆冰预警方法的研究具有重要意义。文中分析SCADA运行数据库,基于风速、功率和温度数据的特征量,利用随机森林算法建立覆冰事件预警模型;通过旋转圆柱阵列装置实时监测覆冰厚度,建立覆冰实时预警模型,实现覆冰事件预警和实时预警的动态机制。以重庆万宝风电场3.2 MW风电机组的覆冰案例,开展覆冰预警试验验证。结果表明:覆冰事件预警模型的测试结果分类精确率在95%以上,并能在风力发电机叶片出现覆冰情况前1 h内多次发出预警;实时预警模型在风力发电机覆冰后持续发出预警,模型能够持续跟踪风力发电机覆冰环境的变化趋势;验证了动态预警模型可以为风力发电机的安全运行和有效管理提供决策依据。

      • 0+1
      • 1+1
      • 2+1
      • 3+1
      • 4+1
      • 5+1
      • 6+1
      • 7+1
      • 8+1
      • 9+1
      • 10+1
      • 11+1
      • 12+1
      • 13+1
      • 14+1
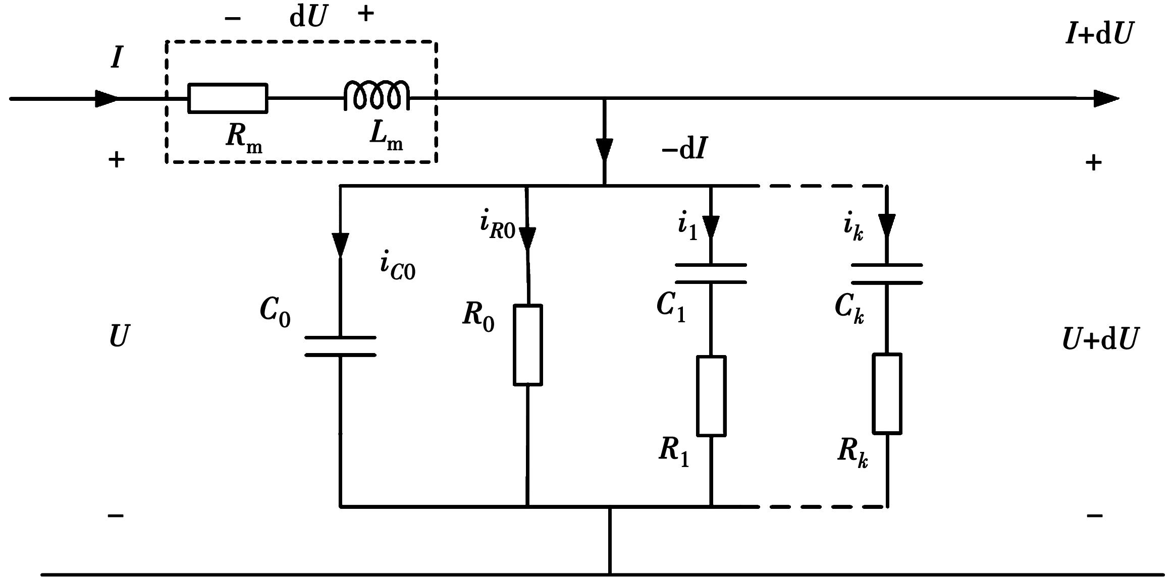
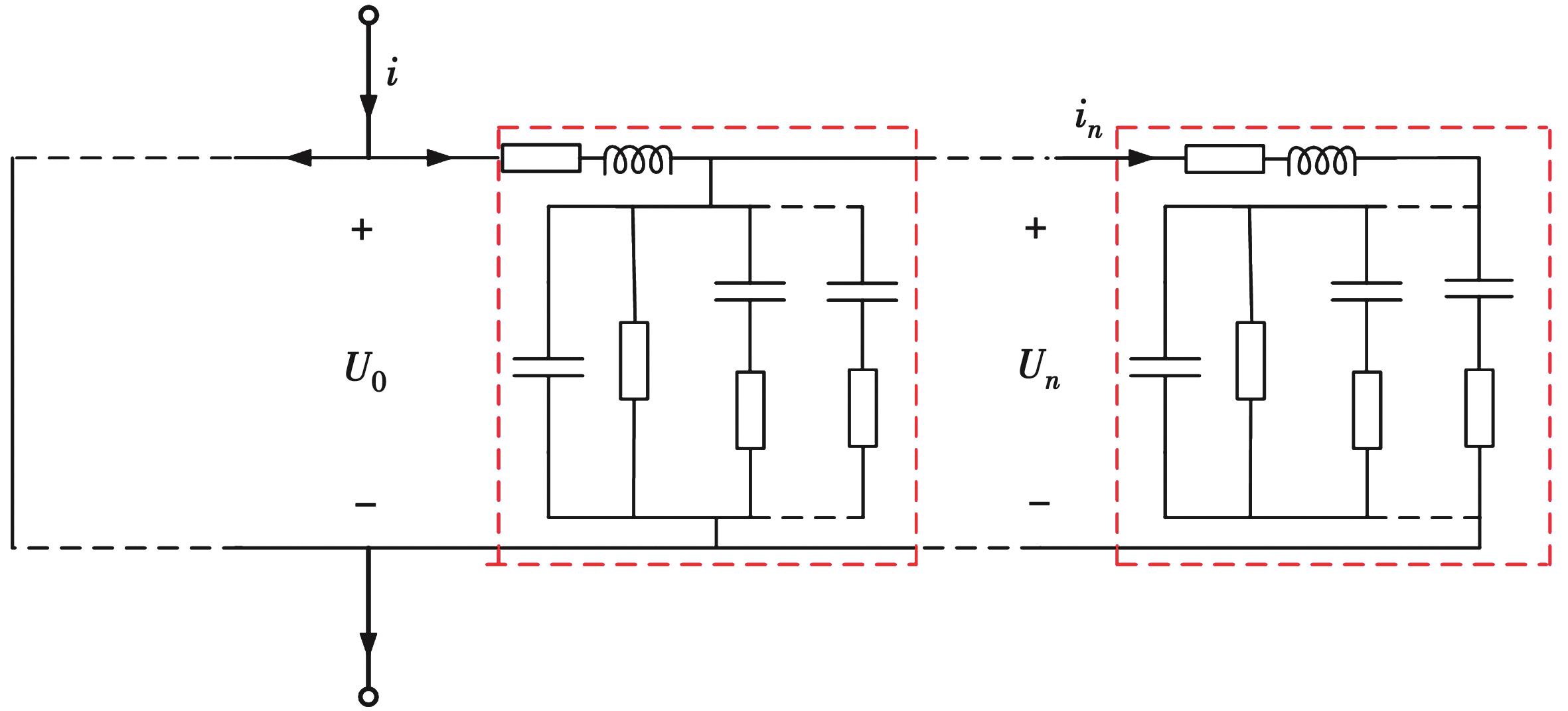
    • 电容器宽频等效模型与损耗分析

      2026, 49(3):13-24. DOI: 10.11835/j.issn.1000-582X.2026.03.002

      摘要 (72) HTML (52) PDF 2.89 M (151) 评论 (0) 收藏

      摘要:电力电容器承担着无功补偿、滤波、载波和高频保护的功能,实际施加在电力电容器上的电压含有大量谐波成分,导致电容器的损耗特性更为复杂。为了获取谐波电压下电容器的有功损耗规律,结合电容器实际结构,提出基于扩展Debye模型的电容器宽频分布式等效模型,推导电容器极板电压、电流解析表达式,分析极板电压、电流分布特性,考虑极板损耗与介质损耗,开展有功损耗分布研究,研究表明:谐波电压使流经电容器极板的电流幅值增大,在极板上呈现非线性分布;随着电压频率提升,电容器有功损耗显著提升,且在高频段,极板损耗在总有功损耗中占据绝对主导地位;提出通过增加电压输入点、均匀极板电流分布的方法,可有效降低电容器有功损耗。

      • 0+1
      • 1+1
      • 2+1
      • 3+1
      • 4+1
      • 5+1
      • 6+1
      • 7+1
      • 8+1
      • 9+1
      • 10+1
      • 11+1
      • 12+1
      • 13+1
      • 14+1
      • 15+1
      • 16+1
    • 铁路信号电缆故障频域检测法

      2026, 49(3):25-37. DOI: 10.11835/j.issn.1000-582X.2024.209

      摘要 (46) HTML (64) PDF 4.16 M (159) 评论 (0) 收藏

      摘要:铁路信号电缆的故障检测对铁路系统的安全运行具有重要意义。针对铁路信号电缆最为常见的高阻故障问题,通过测量多根1 m 电缆的电气参数,分析铁路信号电缆结构的不均匀特性,并构建电缆不均匀参数的正态模型,建立铁路信号电缆的不均匀高阻故障仿真模型,验证了频域反射法(frequency domain reflectometry,FDR)在定位铁路信号电缆高阻故障方面的可行性。基于FDR法设计硬件系统,向电缆发射0.1~5 MHz扫频信号,并通过中频检波采集到了FDR方法所需回波信号,在上位机进行数据处理,实现了1 000 m内0.1 MΩ和0.5 MΩ的高阻故障定位,验证了FDR方法在检测铁路信号电缆高阻故障中的实际效果。

      • 0+1
      • 1+1
      • 2+1
      • 3+1
      • 4+1
      • 5+1
      • 6+1
      • 7+1
      • 8+1
      • 9+1
      • 10+1
      • 11+1
      • 12+1
      • 13+1
      • 14+1
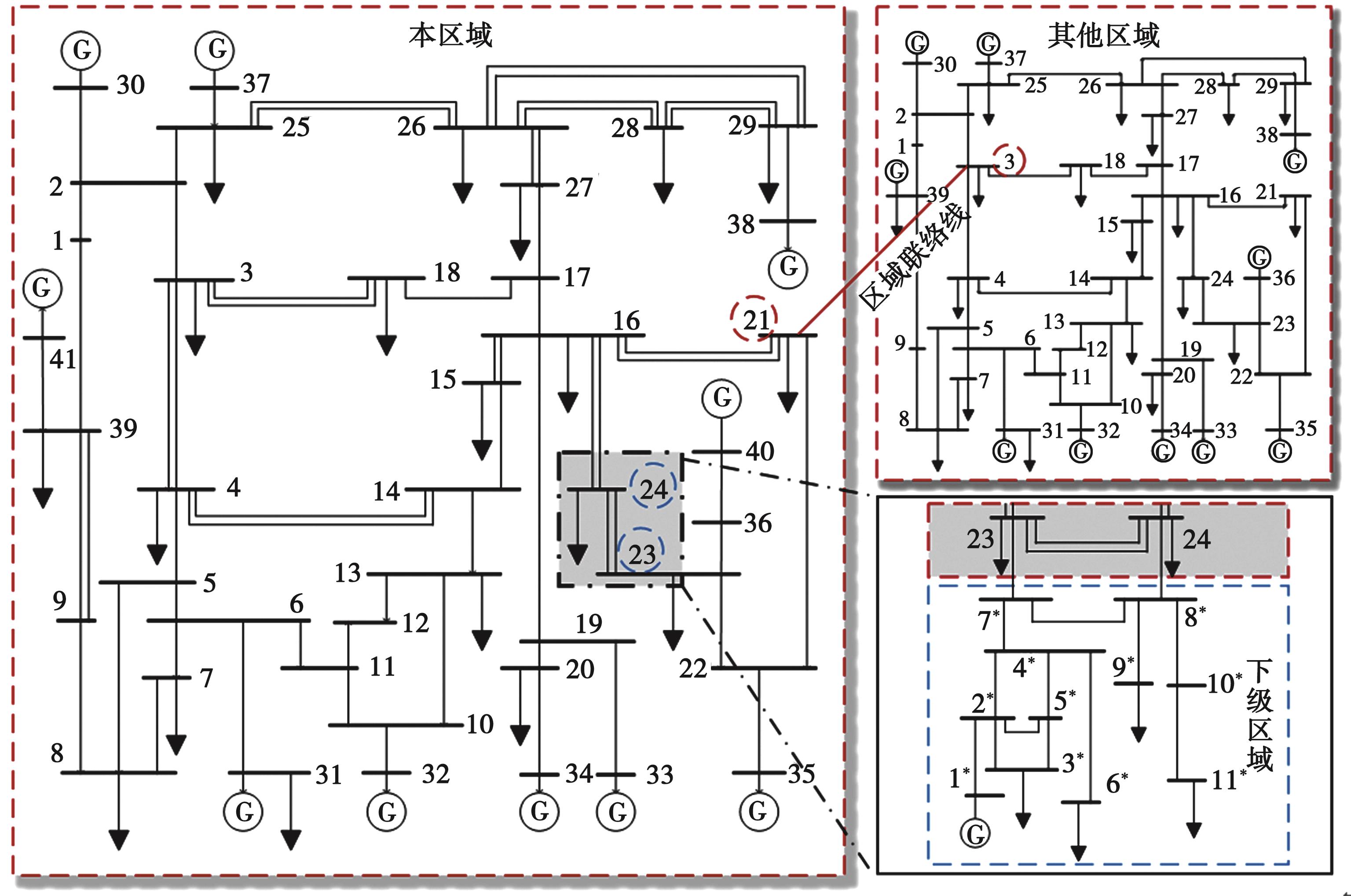
    • 电源“空心化”电网的协调二级电压控制优化方法

      2026, 49(3):38-48. DOI: 10.11835/j.issn.1000-582X.2024.222

      摘要 (68) HTML (45) PDF 1.80 M (146) 评论 (0) 收藏

      摘要:针对大型枢纽城市电网负荷中心缺少灵活、连续调节无功电源的多电压等级网络现状,文中提出了电源“空心化”电网的协调二级电压控制优化方法。该方法将区域内所有可控发电厂的高压母线节点泛化为区域主导节点,以高压母线节点电压与其理想电压的偏差平方和最小为目标,实现区域电压无功控制;同时区分了同级和上下级分区之间的协调关系,新增上下级区域之间关口无功和关口电压协调变量及其理想偏差控制目标,以提升下级电压层电压无功支撑能力不足区域的控制效果。最后,以标准算例组合系统和中国实际数据,仿真验证了论文所提方法在负荷中心电源“空心化”网络中区域电压无功控制的有效性。

      • 0+1
      • 1+1
      • 2+1
      • 3+1
      • 4+1
      • 5+1
    • >机械工程
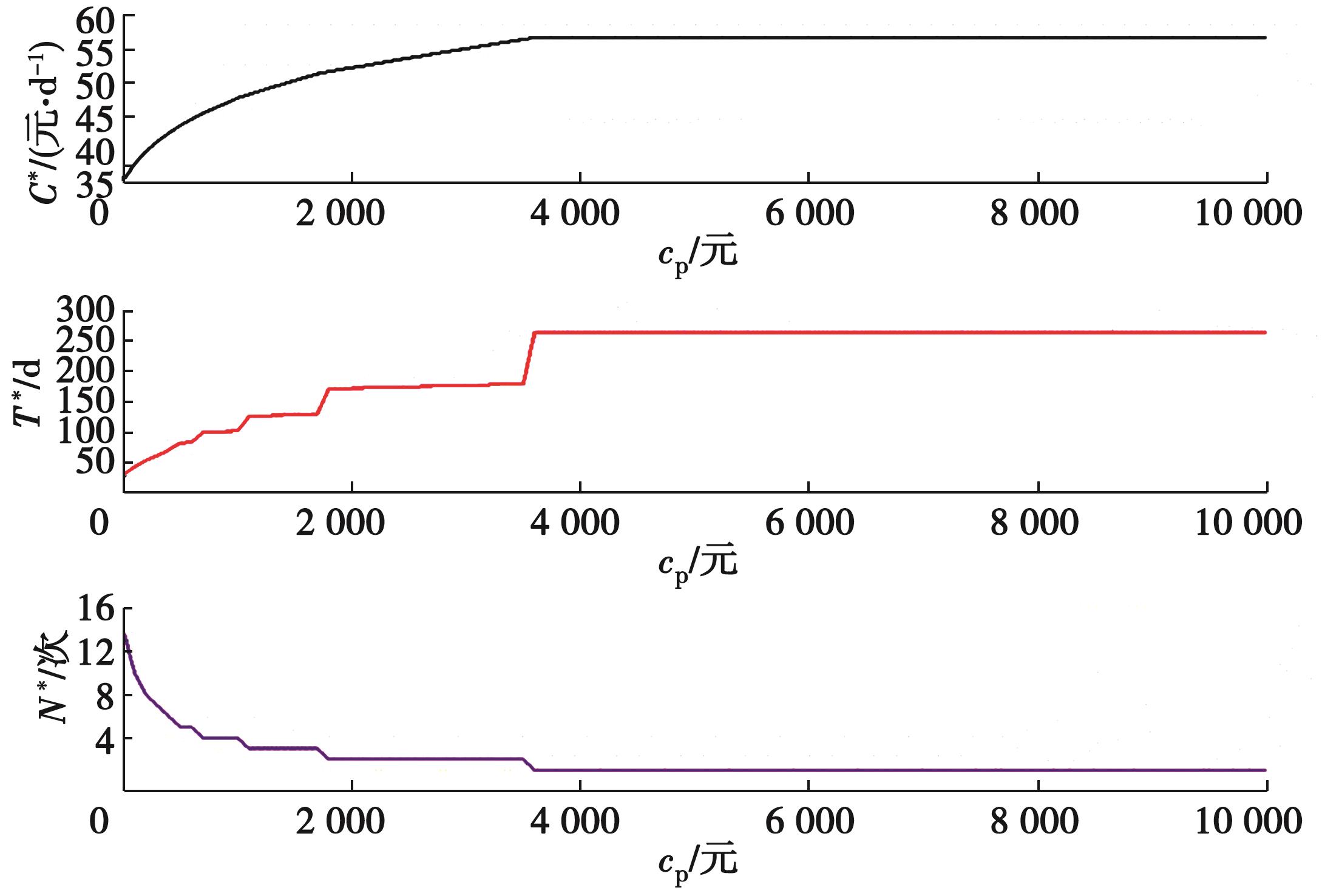
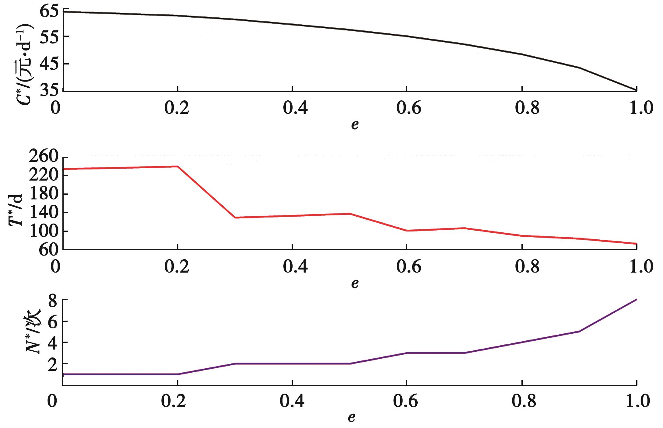
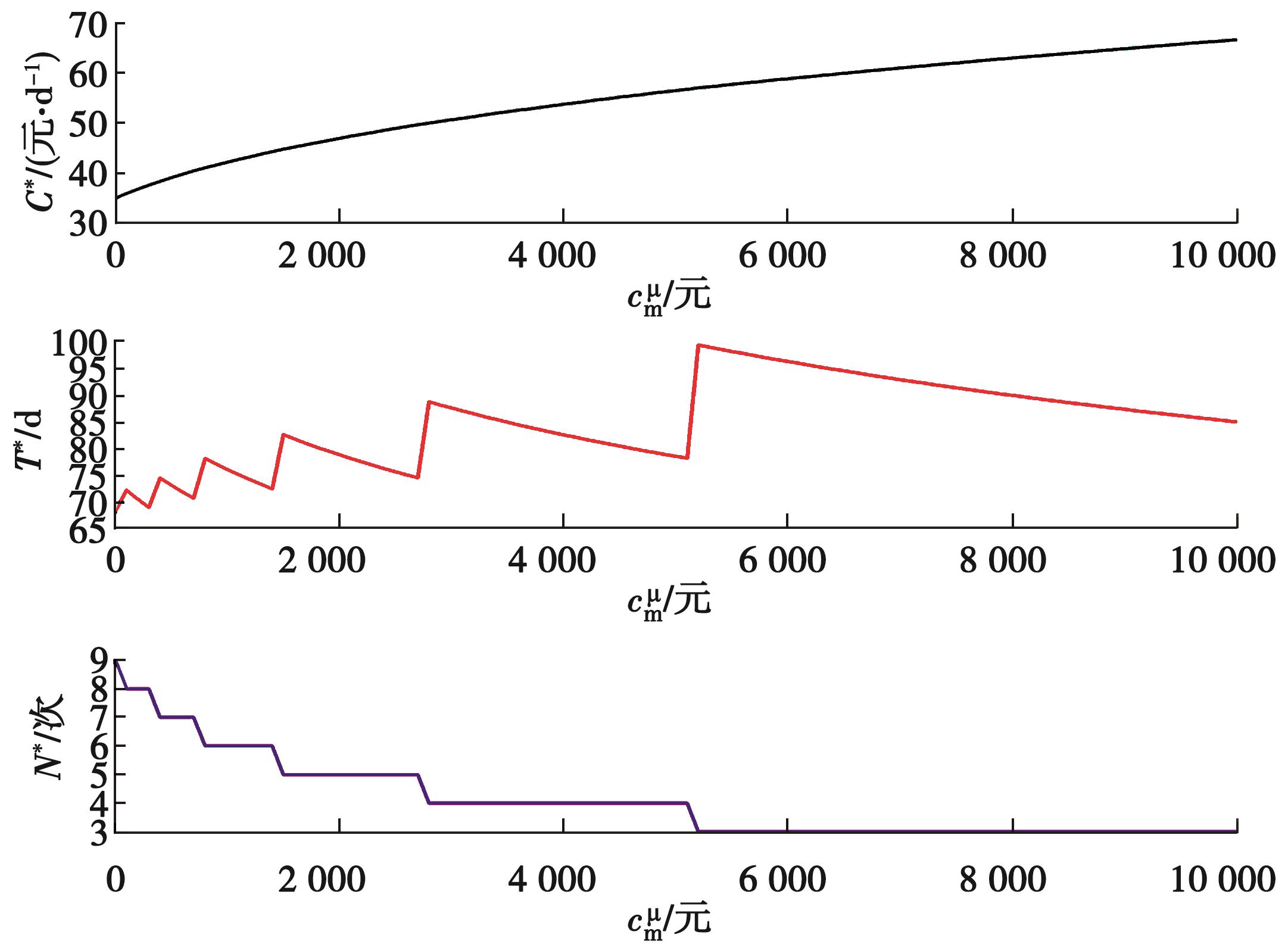
    • 考虑故障差异的等周期预防性维修策略优化

      2026, 49(3):49-58. DOI: 10.11835/j.issn.1000-582X.2023.229

      摘要 (60) HTML (24) PDF 1.69 M (144) 评论 (0) 收藏

      摘要:等周期预防性维修策略是一种常见且实施简单的维修策略。针对等周期预防性维修策略优化建模粒度过大,且鲜有考虑故障差异(预防性维修对不同故障维修效果存在差异性)等问题,文章以元动作单元为研究对象,将其故障分为损伤故障和本质疲劳故障,考虑预防性维修对这2类故障维修效果存在的差异性,以混合故障率模型描述不完全预防性维修效果,建立了元动作单元的等周期不完全预防性维修策略优化模型,并给出了模型的优化求解算法。最后,通过数值分析对模型的有效性进行了验证,分析不同维修成本对最优维修成本率以及最优维修策略的影响。研究结果表明:不考虑预防性维修效果差异性会低估元动作单元的维修成本率;不同类型维修成本和故障类型的占比对元动作单元最优维修策略的制定有显著的影响。

      • 0+1
      • 1+1
      • 2+1
      • 3+1
      • 4+1
      • 5+1
      • 6+1
      • 7+1
      • 8+1
      • 9+1
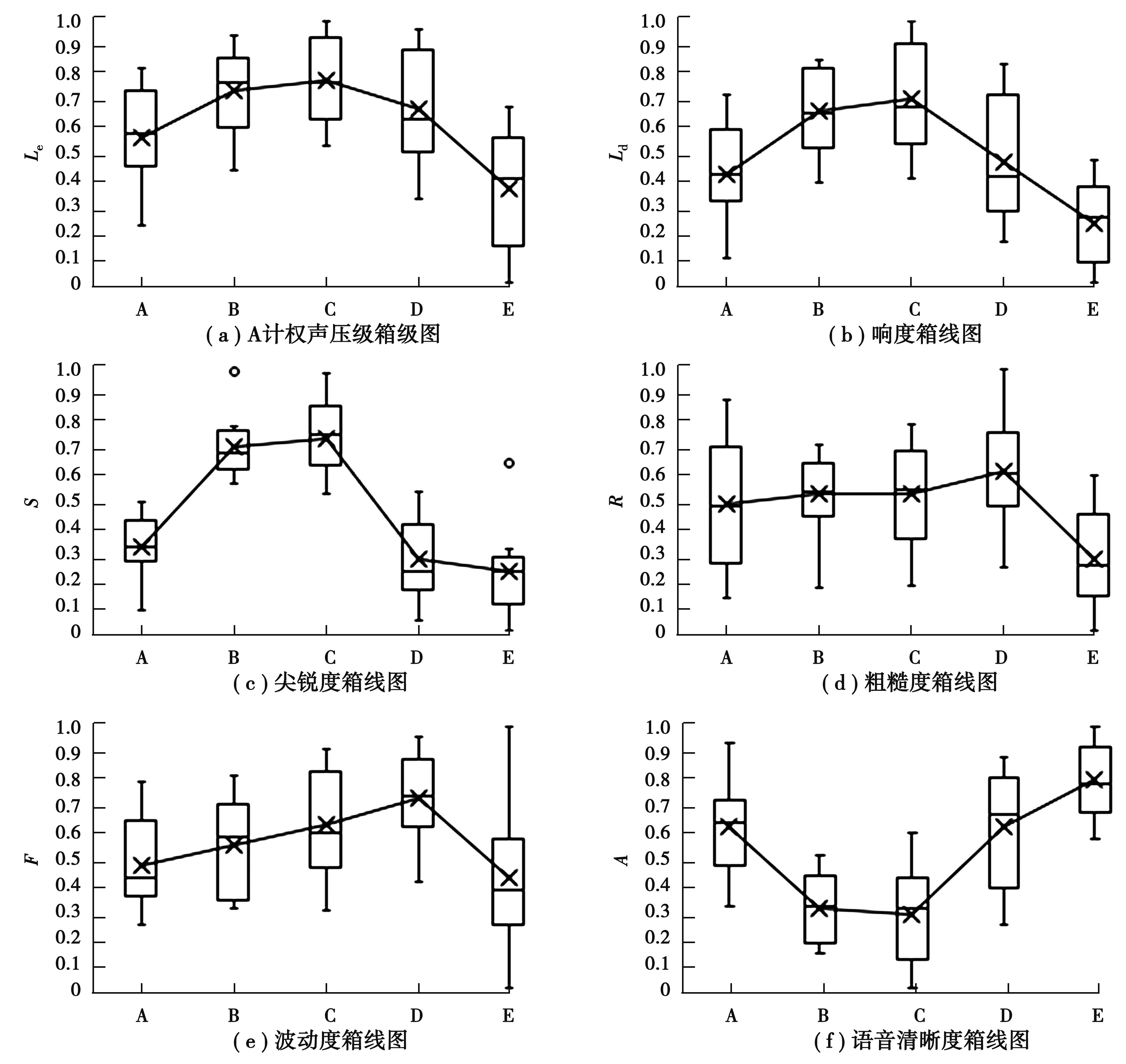
    • 重型商用车驾驶室内噪声声品质分析与岭回归预测

      2026, 49(3):59-70. DOI: 10.11835/j.issn.1000-582X.2026.03.006

      摘要 (77) HTML (42) PDF 2.09 M (145) 评论 (0) 收藏

      摘要:为研究重型商用车车内声品质表现,采集不同载重、不同车速下的重型商用车驾驶室内噪声样本,计算其心理声学客观参数,采用分组成对比较法对样本进行主观评分,探讨了车型、车速、载重等因素对商用车车内声品质影响的差异性,分析了不同工况下声品质参数间的相关性。采用岭回归的方法,以心理声学客观参数为自变量,主观评价分值为因变量,构建了多元线性回归模型。结果表明,岭回归可以在保证一定的预测精度的前提下,显著消除模型多重共线性的影响,对商用车声品质优化具有指导意义。

      • 0+1
      • 1+1
      • 2+1
      • 3+1
      • 4+1
      • 5+1
      • 6+1
      • 7+1
      • 8+1
      • 9+1
    • 航空发动机小直径管焊缝微焦点X射线DR检测工艺参数优化方法

      2026, 49(3):71-83. DOI: 10.11835/j.issn.1000-582X.2026.03.007

      摘要 (64) HTML (83) PDF 2.61 M (179) 评论 (0) 收藏

      摘要:微焦点X射线数字成像(digital radiography, DR)检测具有检测分辨率高的特点,适用于航空发动机小直径管焊缝无损检测。针对航空发动机小直径管焊缝微焦点DR检测工艺参数优化,研究一种工艺参数与DR图像质量的数值模型,用于指导检测工艺参数选择。首先,使用与航空发动机小直径管同等材料的阶梯试块为对象模拟工件不同射线穿透厚度,建立管电压、管电流、放大倍数、透照厚度等工艺参数与空间分辨率和对比度噪声比等DR图像质量指标的二次回归模型。再选取3个不同壁厚的航空发动机小直径管作为典型工件,利用非支配遗传算法进行寻优,得到最佳工艺参数序列。实验结果表明,DR图像质量指标的实测值与模型的预测值接近,证明建立的二次回归模型能较好地预测工艺参数与DR图像质量指标的关系。与逐个调整工艺参数方法相比,文中提出的工艺参数优化方法效率高、指导性强,可应用于同类DR检测。

      • 0+1
      • 1+1
      • 2+1
      • 3+1
      • 4+1
      • 5+1
      • 6+1
      • 7+1
      • 8+1
      • 9+1
      • 10+1
      • 11+1
    • 镁合金MIG焊研究现状

      2026, 49(3):84-93. DOI: 10.11835/j.issn.1000-582X.2026.03.008

      摘要 (56) HTML (60) PDF 1.85 M (168) 评论 (0) 收藏

      摘要:熔化极惰性气体保护焊(metal inert gas, MIG)具有熔敷率大、热效率高、易于实现自动化高效生产等优点。镁合金因比强度高、阻尼性能好等优点,在交通工具、航空航天等行业具有广泛的应用前景,而MIG焊是镁合金适用的焊接方法,已有大量的研究和技术开发。介绍了镁合金MIG焊接的研究现状,对其熔滴过渡方式、显微组织和MIG复合焊等相关研究进行了综述,并展望了镁合金MIG焊的未来研究方向。

      • 0+1
      • 1+1
      • 2+1
      • 3+1
      • 4+1
      • 5+1
      • 6+1
      • 7+1
    • >土木工程
    • 山地掉层框架-消能摇摆墙结构的易损性分析

      2026, 49(3):94-106. DOI: 10.11835/j.issn.1000-582X.2026.03.009

      摘要 (62) HTML (36) PDF 3.54 M (144) 评论 (0) 收藏

      摘要:摇摆墙可以控制结构整体变形模式和塑性耗能的分布,抑制薄弱层产生。掉层框架结构存在严重的侧向刚度不规则和楼层承载力突变以及上接地层变形集中的问题,为改善山地掉层框架结构的层屈服破坏模式,对其附加底部铰接的摇摆墙,以期控制结构的屈服机制,为进一步减小结构的地震响应和限制残余变形,提出了含屈曲约束支撑(buckling-restrained brace,BRB)的山地掉层框架-消能摇摆墙结构体系。建立了7度(0.15g)区典型的普通山地掉层框架结构、山地掉层框架-摇摆墙结构和山地掉层框架-消能摇摆墙结构的数值模型,通过模拟掉层框架结构低周反复加载试验,验证了模型和参数的合理性,采用增量动力时程分析(incremental dynamic analysis,IDA),针对IDA曲线簇、分位曲线、地震概率需求模型、易损性函数、破坏状态概率、易损性指数、抗倒塌储备系数和安全裕度比等方面,系统探讨了山地掉层框架-消能摇摆墙结构体系的易损性。结果表明,相同PGA的地震激励下,摇摆墙可以限制结构塑性发展深度,降低峰值响应离散性和各性能水准的超越概率,抗倒塌性能良好。附加BRB能够进一步提高摇摆墙-框架结构的抗震性能与抗倒塌性能。3种结构中掉层框架-消能摇摆墙结构的抗震性能和抗倒塌性能最优,纯掉层框架结构最差。

      • 0+1
      • 1+1
      • 2+1
      • 3+1
      • 4+1
      • 5+1
      • 6+1
      • 7+1
      • 8+1
      • 9+1
      • 10+1
    • 三维动静组合加载下混凝土动态力学特性及模拟研究

      2026, 49(3):107-122. DOI: 10.11835/j.issn.1000-582X.2025.038

      摘要 (78) HTML (83) PDF 7.59 M (171) 评论 (0) 收藏

      摘要:为研究三维动静组合加载下混凝土的动态力学特性,开展了轴压、围压和冲击载荷组合的分离式霍普金森压杆(SHPB)实验,并在LS-DYNA程序中引入应力初始化方法,利用“隐式静态分析”“显式动态分析”分步加载方式对动静组合加载实验进行了模拟,分析了不同静载组合对混凝土材料强度特性和破坏特征的影响。结果表明,相同冲击速度下,混凝土的动态强度与围压值呈正相关,围压对试件具有保护作用;轴压存在压密临界值,在临界值前后对混凝土材料分别表现出增强和劣化作用。模拟中引入应力初始化方法可以较好地实现动态分析前恒定预应力的加载,实验与模拟结果对比分析得出静载组合作为外部结构荷载改变试件内部应力分布是影响试件动态强度的主要因素。数值模拟可以较好地呈现混凝土在动静组合加载下冲击破坏过程,混凝土的破坏特征为压剪破坏。通过分析损伤变量时程曲线可较好地对混凝土的破坏程度进行预测。

      • 0+1
      • 1+1
      • 2+1
      • 3+1
      • 4+1
      • 5+1
      • 6+1
      • 7+1
      • 8+1
      • 9+1
      • 10+1
      • 11+1
      • 12+1
      • 13+1
      • 14+1
      • 15+1
      • 16+1
      • 17+1

当期目录


年第卷第

文章目录

过刊浏览

年份

刊期

浏览排行

引用排行

下载排行