• 2026年第49卷第4期文章目次
    全 选
    显示方式: |
    • >建筑节能与碳减排专栏
    • 热激活蓄能复合墙体定向注热优化与性能分析

      2026, 49(4):1-13. DOI: 10.11835/j.issn.1000-582X.2026.04.001

      摘要 (65) HTML (30) PDF 0.00 Byte (0) 评论 (0) 收藏

      摘要:针对热激活蓄能复合墙体嵌管注热效率与热扩散不匹配问题,提出一种内嵌单层树形金属翅片的定向强化注热设计(enhanced thermally activated wall,ETAW),以提升蓄能效率与节能潜力。通过动态传热模型对比分析ETAW、传统热激活墙体(conventional thermo-activated wall,CTAW)及普通节能墙体(conventional energy-saving wall,CW)的热特性差异,结合局部敏感性分析方法探究翅片参数、气候因子及保温层厚度对经济性的影响。结果表明:ETAW在动态热行为上显著优于CTAW和CW,但性能因注热模式而异;增加主翅片高度和副翅片宽度均能有效降低ETAW总运行能耗和费用,其中副翅片宽度影响更显著;选择较小副翅片角度(如60°)和左朝向安装,运行费用和能耗可分别降低约10.9%和10.7%;保温层厚度与节能效率及经济性密切相关,严寒地区建议消减率不超过40%,夏热地区可放宽至60%。

      • 0+1
      • 1+1
      • 2+1
      • 3+1
      • 4+1
      • 5+1
      • 6+1
      • 7+1
      • 8+1
      • 9+1
      • 10+1
      • 11+1
      • 12+1
      • 13+1
      • 14+1
      • 15+1
      • 16+1
      • 17+1
      • 18+1
      • 19+1
      • 20+1
      • 21+1
      • 22+1
      • 23+1
      • 24+1
      • 25+1
    • 内置翅片型Trombe墙对寒冷地区供暖房间内热环境的影响

      2026, 49(4):14-25. DOI: 10.11835/j.issn.1000-582X.2025.255

      摘要 (56) HTML (23) PDF 0.00 Byte (0) 评论 (0) 收藏

      摘要:为研究内置翅片型Trombe墙对降低室内供暖能耗的贡献率,以兰州地区普通民宅为研究对象,通过在Trombe墙吸热面上布置翅片来强化传热,从而达到改善室内热环境的目的。结果表明:高度为20 mm、横向间距为0.20 m、纵向间距为0.533 m、顺排布置的等腰直角三角形翅片对Trombe墙传热性能及房间热环境的改善效果最好。在整个模拟时段,翅片型Trombe墙吸热面Nuˉ比无翅片Trombe墙吸热面Nuˉ最高提升了21.28。与普通房间相比,无翅片Trombe墙房间和翅片型Trombe墙房间节能率分别为36.38%和44.63%,即翅片型Trombe墙房间相对于无翅片Trombe墙房间的节能率提升了8.25%。

      • 0+1
      • 1+1
      • 2+1
      • 3+1
      • 4+1
      • 5+1
      • 6+1
      • 7+1
      • 8+1
      • 9+1
      • 10+1
      • 11+1
      • 12+1
      • 13+1
      • 14+1
    • 用于建筑能耗预测的多尺度可解释时序预测网络模型

      2026, 49(4):26-36. DOI: 10.11835/j.issn.1000-582X.2026.04.003

      摘要 (69) HTML (42) PDF 0.00 Byte (0) 评论 (0) 收藏

      摘要:建筑能耗预测对于优化能源管理、降低运营成本、实现碳中和目标至关重要。为提高能耗预测精度和结果的可解释性,通过长短期时序网络(long short-term temporal networks,LSTM)和科尔莫戈罗夫-阿诺德网络(Kolmogorov-Arnold networks,KAN)协同优化,提出一种多尺度可解释时序预测网络模型(interpretable temporal prediction network,ITSFN)。该模型融合时序-环境特征解耦与动态注意力机制,通过显式分离时序数据的季节项、趋势项及残差项,构建结构化特征空间,采用门控循环单元(gated recurrent unit,GRU)与多头注意力的并行架构实现多尺度特征建模。在夏热冬冷地区某高校教学楼能耗数据集上进行测试,结果表明ITSFN总能耗预测RMSE较LSTM降低13.9%,分项能耗预测RMSE较Transformer降低31.1%;ITSFN通过特征解耦将噪声抑制系数提升至0.89,在突变区域实现0.92的注意力局角度,较传统方法减少29.6%的过平滑现象,且通过量化特征贡献度呈现各分量权重演化规律,验证了模型的有效性和实用性。

      • 0+1
      • 1+1
      • 2+1
      • 3+1
      • 4+1
      • 5+1
      • 6+1
      • 7+1
    • 基于事件触发的建筑热环境模型预测控制

      2026, 49(4):37-49. DOI: 10.11835/j.issn.1000-582X.2024.287

      摘要 (58) HTML (34) PDF 0.00 Byte (0) 评论 (0) 收藏

      摘要:针对建筑室内热环境模型预测控制中的计算冗余和通信负担问题,提出了一种积分型事件触发控制策略。首先,考虑相邻热区温度的影响,基于等效电路法建立了一种简化的建筑电阻电容(resistance-capacitance,RC)热网络模型,并验证了模型的准确性;然后,提出了一种基于状态误差的积分型事件触发机制(integral-type event-triggered mechanism,ITETM),在此基础上,提出了基于RC热网络的积分型事件触发模型预测控制(model predictive control,MPC)方法;最后,通过EnergyPlus和MATLAB的联合仿真实验对所提出的控制方法性能进行验证。结果表明,所提出的控制策略可以有效减少优化问题的求解计算量和信息传输次数,并在保证室内温度舒适的同时降低建筑运行能耗。

      • 0+1
      • 1+1
      • 2+1
      • 3+1
      • 4+1
      • 5+1
      • 6+1
      • 7+1
      • 8+1
      • 9+1
      • 10+1
      • 11+1
    • 铁路工程铺轨基地碳排放测算及影响因素研究

      2026, 49(4):50-62. DOI: 10.11835/j.issn.1000-582X.2024.285

      摘要 (55) HTML (18) PDF 0.00 Byte (0) 评论 (0) 收藏

      摘要:铺轨基地作为铁路工程重要的大型临时工程,其碳排放是铁路工程物化阶段不容忽视的碳排放来源。通过碳排放因子法建立铺轨基地全生命周期碳排放测算模型;然后提取铺轨基地碳排放特征作为影响因素,并通过特征重要度排序识别关键影响因素;最后通过可解释机器学习模型将关键影响因素对碳排放贡献可视化,剖析关键影响因素对碳排放的影响机理。结果表明:铺轨基地全生命周期碳排放总量为4 825.134~15 122.059 t;铺轨基地建材生产阶段碳排放占比最高(72%~86%);根据铺轨基地影响因素重要度排序结果,识别出5个关键影响因素分别为基地面积、地基处理方式、道路硬化方式、机械走行轨道长度和股道长度;通过SHAP(Shapley additive explanations)概括图和依赖性散点图分析关键影响因素对碳排放产生的影响。研究结论可以为铁路工程铺轨基地碳减排相关研究提供理论依据。

      • 0+1
      • 1+1
      • 2+1
      • 3+1
      • 4+1
      • 5+1
      • 6+1
      • 7+1
      • 8+1
      • 9+1
      • 10+1
    • 超临界CO2-水耦合传热机理及试验研究

      2026, 49(4):63-80. DOI: 10.11835/j.issn.1000-582X.2024.282

      摘要 (45) HTML (37) PDF 0.00 Byte (0) 评论 (0) 收藏

      摘要:在“双碳”目标背景下,探索重排行业减碳增效新路径,发展CO2高能利用新质生产力是CO2减排研究的热点问题。为确定CO2相变致裂机制,扩展CO2相变致裂工程应用,基于CO2多相态变化特性及在能源利用方面表现出的安全环保优势,构建一种气-水耦合数值解算模型,以25 ℃条件下CO2为研究对象,采用流体仿真设计了不同水温作为载热流体的模拟方案,揭示了水热流体与CO2耦合作用下的气-水传热机理,通过CO2-水强化套管换热器试验分析了两相流热质传递特性。研究表明,随着水温增加,CO2升温速率与水热流体温度呈正相关,水温每升高1 ℃,CO2温度升高0.9 ℃,水温随着CO2吸热量的增加逐渐降低,水热流体的耗散温度与CO2吸热温度成正比;水热流体传热系数由1 790 W/(m2?K)增加至2 090 W/(m2?K),水热流体的传热系数随初始水温增加逐渐增大,CO2传热系数与水热流体的传热系数成正比;CO2相变吸热温度随水温增加呈指数型增长趋势;管内CO2最大压力由131 MPa增加至199 MPa,压力变化经历了液态CO2吸热膨胀阶段、气态CO2吸热膨胀阶段、相变增能阶段以及压力平稳阶段;CO2吸热量与初始水温呈正相关,水流热源功率随着水温的升高逐渐增大,水流热源功率与水温成正比。通过建立关联式和试验分析验证了超临界CO2-水对流换热的可靠性。研究对于光热、锅炉及CO2压裂封存等非均匀热流条件下的能源转化工程应用具有重要意义。

      • 0+1
      • 1+1
      • 2+1
      • 3+1
      • 4+1
      • 5+1
      • 6+1
      • 7+1
      • 8+1
      • 9+1
      • 10+1
      • 11+1
      • 12+1
      • 13+1
      • 14+1
      • 15+1
      • 16+1
      • 17+1
    • >通信·计算机·自动化
    • 基于智能间隔棒的输电线风偏舞动监测技术

      2026, 49(4):81-88. DOI: 10.11835/j.issn.1000-582X.2026.04.007

      摘要 (61) HTML (21) PDF 0.00 Byte (0) 评论 (0) 收藏

      摘要:针对现有输电线路风偏/舞动监测终端安装复杂、供电与维护成本高等问题,研究提出一种基于间隔棒的无线智能监测技术:在间隔棒内嵌MEMS(micro-electro-mechanical-system)三轴惯性传感器,获取导线三向振动与扭转响应;结合压缩感知框架与正交匹配追踪(orthogonal matching pursuit)重构算法,利用数据稀疏性并采用高斯随机观测矩阵,实现对全线舞动曲线的重构。仿真与实验结果表明在给定档距条件下,稀疏度可随采样长度自适应设定。当观测占比为10%~20%时可获得较高重构精度,满足长跨线路在线监测需求。该无线智能间隔棒监测技术为输电线路风偏/舞动的实时监测与重构提供了可工程化的路径。

      • 0+1
      • 1+1
      • 2+1
      • 3+1
      • 4+1
      • 5+1
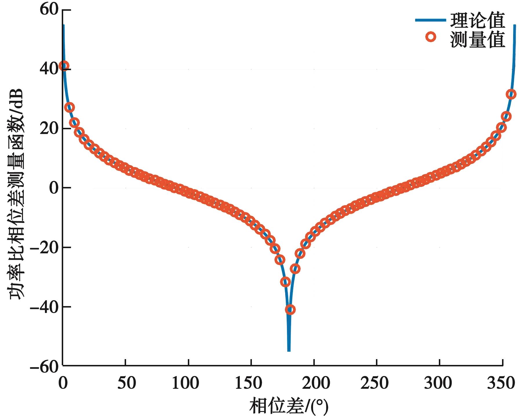
    • 微波光子辅助的均匀圆阵相关干涉仪测向技术

      2026, 49(4):89-97. DOI: 10.11835/j.issn.1000-582X.2026.04.008

      摘要 (45) HTML (17) PDF 0.00 Byte (0) 评论 (0) 收藏

      摘要:相关干涉仪测向具有算法简单、测量精度高、抗干扰能力强等优点,是主流测向体制之一。均匀圆阵能够实现二维测向,且具有结构紧凑、测向精度均匀等优点。结合两者优点,笔者研究了均匀圆阵相关干涉仪测向算法。为克服电域鉴相器工作频率低、带宽窄、易受电磁干扰影响的缺点,提出一种微波光子鉴相器。利用双平行马赫曾德尔调制器(dual-parallel Mach-Zehnder modulator,DPMZM)建立一个光干涉仪,将两路微波信号的相位差映射为输出信号的光功率。通过调整DPMZM直流偏置电压,使DPMZM中的相位偏置分别为0°和180°,并分别测量2种情形下的光功率;利用光功率的比值建立相位差映射函数,提高功率测量的分辨率和相位差测量的精度;最后,通过仿真验证了所提方案的有效性,设计的微波光子鉴相器能够实现0°~360°的相位鉴定,测量误差为±1°,对应测向算法的测向精度为1.008 2°。

      • 0+1
      • 1+1
      • 2+1
      • 3+1
      • 4+1
      • 5+1
      • 6+1
      • 7+1
      • 8+1
      • 9+1
      • 10+1
    • 一种改进YOLOv5s的金属表面缺陷检测算法研究

      2026, 49(4):98-106. DOI: 10.11835/j.issn.1000-582X.2026.02.009

      摘要 (60) HTML (16) PDF 0.00 Byte (0) 评论 (0) 收藏

      摘要:金属零部件大量应用于生产生活的等各个领域,但其表面缺陷分布不均匀且部分特征微弱,常常造成金属零件表面缺陷检测的漏检和误检。针对这一问题,研究提出一种YOLOv5s-MD(you only look once-modified detection)算法。针对金属表面缺陷特征成分复杂的问题,引入改进的空间金字塔池化模块以提高算法对不同尺度微小目标的深度特征提取能力。针对金属表面缺陷特征分散及计算量增大问题,加入轻量化注意力机制及GSConv模块,提高模型对不同尺度缺陷特征的有效获取。考虑到金属表面缺陷尺寸信息无规律导致边界回归不匹配问题,采用考虑向量角度的损失函数。结果表明,提出的YOLOv5s-MD算法在对金属表面缺陷检测时,检测平均精度mAP@0.5达到75.3%,能够有效提升检测精度,降低误检率。

      • 0+1
      • 1+1
      • 2+1
      • 3+1
      • 4+1
      • 5+1
      • 6+1
      • 7+1
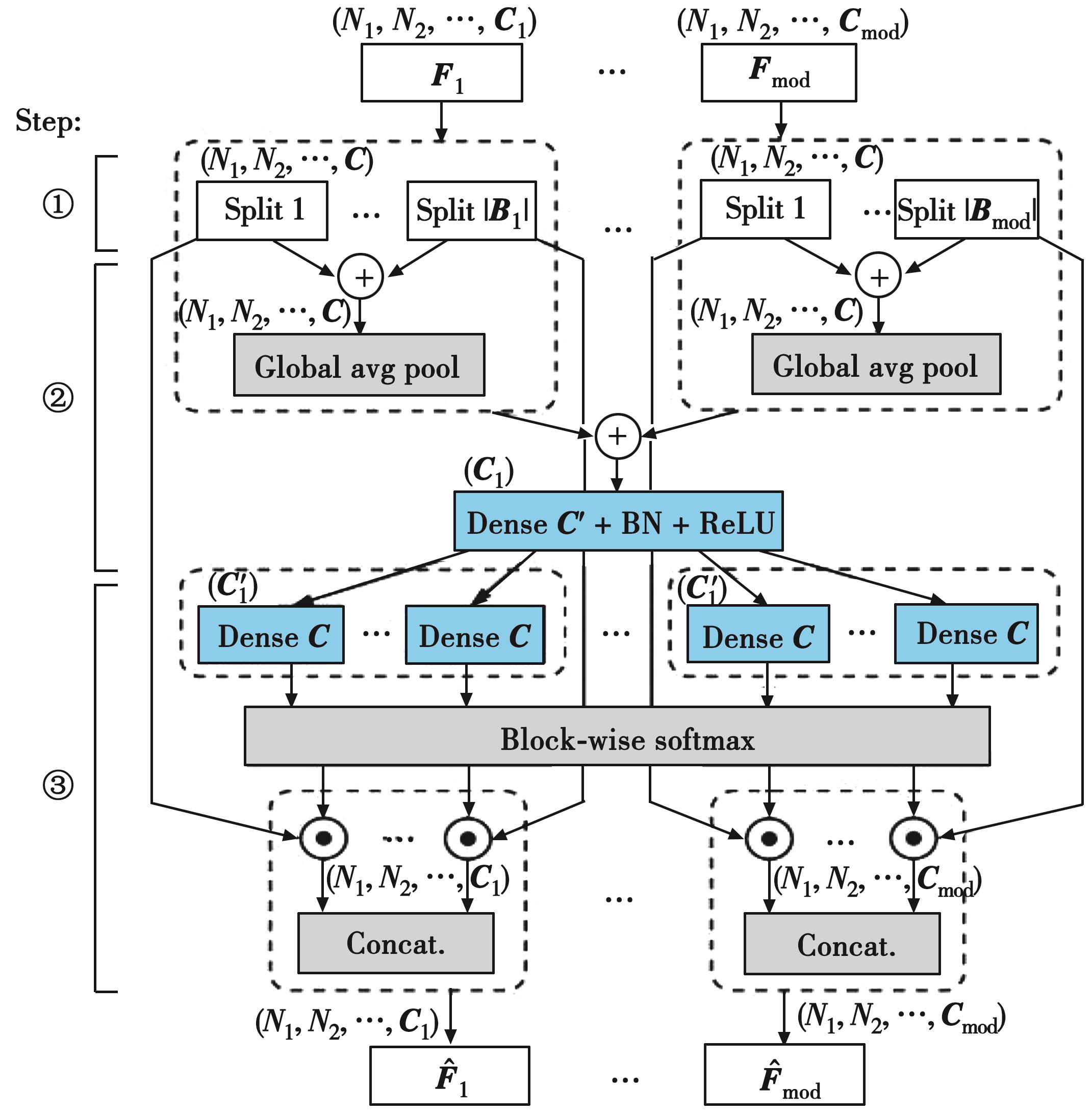
    • 基于MSAF与多模态任务的普通话唇语识别

      2026, 49(4):107-116. DOI: 10.11835/j.issn.1000-582X.2026.04.010

      摘要 (41) HTML (28) PDF 0.00 Byte (0) 评论 (0) 收藏

      摘要:多模态唇语识别的主要功能是通过结合唇部运动和语音信息,提供更准确和稳健的语音识别,帮助特定用户群体更好的理解和交流。但现有的唇语模型大都服务于英文数据集,对于中文唇语识别的研究还仅存在于起步阶段。针对现有中文唇语识别模型存在如何处理和组合来自不同模态的数据特征、如何使多模态特征进行充分融合等问题,提出多模态分裂注意力融合视听识别(multimodal split attention fusion audio visual recognition,MSAFAVR)模型。基于中文唇语识别数据集(chinese mandarin lip reading,CMLR)的实验表明该模型在中文唇语识别方面的准确率达到了92.95%,与现有SOTA普通话唇语识别模型进行对比,达到了最佳。

      • 0+1
      • 1+1
      • 2+1
      • 3+1
      • 4+1
      • 5+1
      • 6+1
      • 7+1
      • 8+1
    • 面向大图的近似环挖掘算法

      2026, 49(4):117-134. DOI: 10.11835/j.issn.1000-582X.2026.04.011

      摘要 (50) HTML (18) PDF 0.00 Byte (0) 评论 (0) 收藏

      摘要:环路挖掘可以帮助人们深入理解复杂网络的结构和功能,这对道路交通网络、生物蛋白网络、金融经济网络等领域都有重要的实际应用意义。然而,信息时代的海量数据,使得环路挖掘变得极具挑战。针对数据量大但因可用数据相对有限而无法挖掘出完整环路的问题,提出了近似环(approximate cycle,AC)和近似环检测算法(approximate cycle detection,ACD)及其优化算法(improved approximate cycle detection, IACD)。2个算法都分为3阶段:首先,通过节点度计算得到热点(Hotpoints);其次,依据热点对数据集进行前向、后向搜索得到热点和其邻居,并以此创建索引(H-Index);最后,根据索引计算不同节点间的紧密系数和平均紧密系数,紧密系数大于平均紧密系数的节点对之间的路径即为近似环。IACD算法在ACD算法的基础上进行了两方面优化:一方面在获取热点和其邻居部分增加对节点的去重,同时减少对数据的搜索次数;另一方面,在创建索引部分用函数矢量化处理代替循环修改操作。实验所用数据均为SNAP公开网站的真实数据集。实验结果表明,2种算法都能在较大的数据集上顺利运行,具有良好的扩展性和高效性。IACD算法效率比ACD算法提升25%左右。

      • 0+1
      • 1+1
      • 2+1
      • 3+1
      • 4+1
      • 5+1
      • 6+1
      • 7+1
      • 8+1
      • 9+1
      • 10+1

当期目录


年第卷第

文章目录

过刊浏览

年份

刊期

浏览排行

引用排行

下载排行