- 当期目录
- 优先出版
- 最新录用
- 下载排行 过刊浏览
-
2026,35(1):1-9, DOI: 10.11835/j.issn.1005-2909.2026.01.001
面对智能建造领域技术迭代加速的现实,传统工程教育体系暴露出诸多短板,难以满足行业对复合型人才的迫切需求。生成式人工智能(Generative Artificial Intelligence,简称GAI)凭借其强大的数据挖掘与分析能力、高度灵活的内容生成能力和卓越的智能交互特性,为高校教育模式变革提供了新的可能性。以武汉大学智能建造教育改革实践为例,结合大模型技术支撑的学科交叉生态,系统探讨了GAI重塑教育模式的创新途径,分析了GAI在应用过程中的潜在风险与挑战,并针对性地提出了应对策略,旨在推动智能建造教育领域的模式转换,促进建筑工程教育朝着智能化、高效化的方向深入发展。
-
2026,35(1):10-19, DOI: 10.11835/j.issn.1005-2909.2026.01.002
随着DeepSeek的开源,生成式AI(Generative AI)得以普及,其凭借强大的数据处理与内容生成能力,正在重新塑造教育生态。在生成式AI工具的辅助下,学生的学习需求和方式发生了变化。学生具备了一定的自主学习能力,教师的传统授课职能逐渐拓展并延伸。生成式AI技术的应用不仅为教育带来了技术性变革,还推动了教育理念的深刻变化。为此,针对当前教师角色转型面临的技术素养不足、传统教育理念束缚和个性化教学实施困难等问题,提出了教师角色重构路径:首先,教师要提升技术素养,熟练掌握并灵活应用生成式AI工具,提高工作效率,结合生成式AI技术生成多样化的教学内容。其次,教师应更新教育理念,强调学生思维能力和创新能力培养,回归立德树人的教育根本。最后,教师需保持持续学习和交流,不断创新教学内容和教学方法,实现因材施教。文章研究教师角色重构路径与实践策略,旨在帮助教师有效应对生成式AI带来的挑战,推动教育理念和教学方法的更新,以期为教育未来发展奠定坚实基础,促进学生的全面成长与创新能力提升。
-
2026,35(1):20-29, DOI: 10.11835/j.issn.1005-2909.2026.01.003
随着“人工智能+”时代的到来,工科教育必须与时俱进,通过紧扣技术发展脉搏,推动工科教育模式的智慧化转型,从而有效培养适应社会需求、掌握实用技能且富有创新精神的复合型人才。以土木工程学科为例,新技术的不断涌现为传统土木工程学科带来新的机遇和挑战,需要重新审视其与AI技术的融合应用。文章分别从传统土木工程学科内部的AI应用、土木工程与其他学科交叉领域的AI应用两个维度,阐述了AI在土木工程学科中的发展与应用情况。这不仅为土木工程与AI的跨界融合提供了宝贵的思路,也为新时代土木工程科教融合协同育人的实践提供了方向。此外,针对新时代土木工程科教融合协同育人的现状进行了深入探索,剖析了现存问题,提出了相应的对策与建议。研究成果不仅为土木工程学科教育政策制定者、高校管理者,以及一线教育工作者提供了决策参考,更为国家新质生产力的构建提供持续不断的创新动力。同时,这些经验和启示也为“人工智能+”时代其他工科科教融合协同育人的实践提供参考和借鉴。
-
2026,35(1):30-36, DOI: 10.11835/j.issn.1005-2909.2026.01.004
人工智能(AI)正广泛应用于土木工程类岩土工程学科领域,打破了传统教学方法的局限性,同时也为学科内涵的革新与人才培养模式的升级提供了新的思路和方法。基于岩土工程学科土动力学及应用核心课程,系统分析了教学中存在的课程体系滞后、跨学科合作不足、实践脱节等七大问题,并提出AI赋能土动力学及应用课程升级基本思路,旨在构建“AI+岩土”交叉学科课程体系、打造“产学研用”协同培养平台、推行“双导师制”与跨学科团队指导、强化伦理与工程风险教育、建立动态能力评估体系。基于地震液化分析案例,探讨了AI赋能对于提升学生解决复杂工程问题能力的有效性,以期为土木工程领域新工科人才培养提供系统性解决方案,推动学科与行业向智能化转型。
-
2026,35(1):37-46, DOI: 10.11835/j.issn.1005-2909.2026.01.005
土木工程教学不仅要为学生奠定专业基础,而且要通过实践教学培养其解决实际工程问题的能力。对比分析了同济大学和米兰理工大学在土木工程教育规模与理念、课程设置与教学改革、国际教学合作与交流项目三个方面的差异。结果显示,这两所学校都拥有完善的工程教育体系,都采用创新的教学方法提升学生的能力,在国际化方面取得了瞩目的成绩。然而,这两所学校在土木工程专业教学培养模式上的侧重点不同。同济大学的课程设置注重理论知识的系统性与全面性,鼓励跨学科学习,培养宽口径人才,米兰理工大学则更注重理论与实践的结合,并提供多样化的人才培养方向,以培养适应企业需求的工程师。结合两校在课程体系、教学方法上的不同,提出了工程教育改革的建议,以期为培养具有国际视野、创新能力和实践技能的复合型土木工程人才提供参考。
-
2026,35(1):47-57, DOI: 10.11835/j.issn.1005-2909.2026.01.006
教学研究是一种主动的、探索性的教学活动,旨在发现教学规律、方法和成效,并寻求解决教学过程中的重大问题。一定时期内的教学研究,能够反映当时的教学状态、水平和最受关注的问题。以中国知网建筑类研究生教学研究相关期刊文献为对象,采用文献计量方法,结合CiteSpace绘制的知识图谱,对研究热点、主题、作者与机构、学科发展进行综合分析,进而剖析建筑类研究生教学的演进规律。在此基础上,提出研究展望,以期为建筑类研究生教学方法的变革提供依据与启发。
-
2026,35(1):58-66, DOI: 10.11835/j.issn.1005-2909.2026.01.007
当前,在社会转轨、经济转型与交通变革的新形势下,交通强国建设急需大量德才兼备的国际化拔尖创新人才。然而,随着研究生招生规模的持续扩大与考生择校观念的不断转变,如何精准评价研究生生源质量、吸引更多优质生源是高校当前面临的挑战。面向新形势下交通强国建设对一流人才的要求,首先,文章探讨建立以专业能力为导向的多元化生源质量评价体系;其次,从教学科研硬核力、人文资源软实力与未来发展潜力等方面出发,利用随机森林算法深入挖掘影响学生择校的关键要素;再次,基于影响报考指标相对特征重要性,提出多措并举的桥梁与隧道工程学科研究生生源质量提升改革建议;最后,以哈尔滨工业大学桥梁与隧道工程学科为例,从研究生发展路径的视角探讨近五年研究生生源质量提升改革的实践成效,以期为传统交通类院校研究生招生工作提供参考与借鉴。
-
2026,35(1):67-80, DOI: 10.11835/j.issn.1005-2909.2026.01.008
近年来受经济下行、房地产和建筑行业不景气的影响,一些高校大学生特别是工程管理相关专业的学生对就业前景产生了怀疑。为了给工程管理专业在校学生提供就业指导,本文以重庆工商大学工程管理专业毕业生和川渝地区部分工程管理用人单位为对象,深入调查了重庆工商大学工程管理2007—2024届毕业生就业情况及企业人才需求现状,并运用统计软件对调查结果进行了分析。本次调查从人才供给端和需求端角度,以毕业生能力和企业需求为导向,研究了高校工程管理专业毕业生就业现状,分析了当前毕业生职位、工作变动的原因,以期为工程管理专业在校大学生提供就业指导建议,引导其在校期间锤炼就业必需的专业能力,提高核心竞争力。同时,助力房地产和建筑相关企业调整用人需求,加强校企深度合作和商工融合,实现高校与企业的互利共赢。
-
2026,35(1):81-87, DOI: 10.11835/j.issn.1005-2909.2026.01.009
第四次工业革命正推动土建行业朝着智能化、绿色化、信息化方向转型升级,土建类高校以单一学科为支点的传统研究生培养模式已无法满足行业对复合型人才的需求。西安建筑科技大学依托“建筑科技”学科链群,开展了学科交叉研究生培养的探索实践,具体包括:布局“智能+”“绿色+”“健康+”“国际+”的研究生培养转型方向;搭建“前沿、行业、地方”三类研究生培养平台;引导组建学科交叉导师组;创新学科交叉研究生全周期培养制度体系。基于此,提出了土建类高校学科交叉研究生培养的改革路径和实施举措。
-
2026,35(1):88-97, DOI: 10.11835/j.issn.1005-2909.2026.01.010
土木工程和计算机行业的深度融合,催生了适应建筑产业现代化需求的智能建造专业,该专业集技术融合、全周期管理、高度自动化与绿色低碳于一体。与传统土木工程专业不同,智能建造专业需要在有限的课时内,完成土木工程与智能化技术的交叉融合教学。这一高要求的教学模式,导致学生在结构设计学习中,普遍面临对核心结构概念理解不深和缺乏对工程实例的具象认知两大挑战。为了更好地指导学生高效完成毕业设计,结合智能建造专业的特点,提出创新性教学指导方案:引入装配式建筑结构设计与施工虚拟仿真实验平台,在传统的指导方式中融合虚拟仿真教学,并采用产学合作和协同育人的多维化指导方法,帮助学生搭建系统性框架,梳理清晰的设计流程。通过这一教学改革,帮助学生更好掌握装配式建筑的设计方法与施工流程,确保毕业设计成果达到预期标准。实践表明,结合虚拟仿真教学的多维指导方法对智能建造专业的毕业设计起到了积极的促进作用,成效显著,为今后相关毕业设计指导提供了借鉴。
-
2026,35(1):98-105, DOI: 10.11835/j.issn.1005-2909.2026.01.011
智能建造正逐步成为推动建筑业转型升级的关键力量。近年来,智能建造技术在全球范围内发展迅速,并得到了广泛应用。为了满足行业对智能建造人才培养的需求,我国开设智能建造专业的高校快速增多,同时诸如课程体系建设等方面的问题也更加凸显。文章介绍了智能建造专业人才培养目标定位和课程体系总体构建思路,在研究分析了专业课程体系建设七大方面的基础上,提出了课程体系建设的架构,并以3门理论课程、1门实践课程为例,探讨了智能建造课程的转型升级情况,为相关高校智能建造专业的建设提供参考。
-
2026,35(1):106-117, DOI: 10.11835/j.issn.1005-2909.2026.01.012
在当前高速发展的经济和科技环境下,土木与建筑工程行业面临着新的挑战和机遇。为适应新时代的需求,培养具备交叉学科知识素养和综合能力的人才,已成为土木与建筑工程领域教育改革的重要方向。在分析新时代土木与建筑工程领域人才需求的基础上,探讨了如何通过计算机辅助工程(CAE)培养强交叉人才,并总结了新时代土木与建筑工程CAE课程建设和改革的基本经验。
-
2026,35(1):118-125, DOI: 10.11835/j.issn.1005-2909.2026.01.013
新工科背景下,立足国家“双碳”目标与经济建设需求,围绕建筑碳中和技术概论课程建设,以强化专业课程创新、培育适任敬业的建筑碳中和领域新质人才为核心目标。课程建设以新质教育为根基,从 “融合、创新、共生” 三个维度精准发力推进教学创新:聚焦建筑碳中和核心知识,提升课程高阶性,重构整合教学内容以搭建系统知识框架;推进课程数字化教材建设,营造探索性学习环境;构建数智赋能的新型教学模式,引导学生优化学习方法。实践表明,“整体统筹 + 个性承载” 的教学内容重构,助力学生实现低阶学习向高阶学习的有效跃迁,夯实建筑碳中和专业事实认知并深化价值认同;课程新形态数字化教材建设,推动多元化、开放性教育资源高效应用,满足学生个性化学习需求;教学模式创新与数字技术赋能,可及时反馈课程教学目标达成情况,有效促进课程教学过程的持续优化。
-
2026,35(1):126-136, DOI: 10.11835/j.issn.1005-2909.2026.01.014
工作坊教学作为课堂教学的重要补充,对培养学生的实践和创新能力至关重要。为响应新工科建设要求,探索了“理论+设计+实验+建造”的工作坊教学模式。该模式以建筑设计为核心,通过理论研究指导、技术实验优化、建造实践检验形成闭环,促使学生走向理性设计。以中南大学“农舍重生计划”建筑设计工作坊为例,教学构成验证了此模式的有效性。融合了“交叉融合、创研共促”的理念,“多位一体、多方协同”的体系,及“科教融合、开放自主”的教学路径,对未来创新复合型建筑设计人才的培养具有指导意义。
-
2026,35(1):137-145, DOI: 10.11835/j.issn.1005-2909.2026.01.015
面对建筑学发展新形势,提出了设计即生活的教学理念,并将其融入华南理工大学二年级“社+”作业。以此为基础,总结了“社+”建筑设计的教学内容与要点,提出了日常生活和社区观察相互融合的教学方法,优化了相关课程的任务制定、教学操作和教学模式等内容。教学围绕日常生活跟踪、社区空间营造、地方气候回应和多重要素表达等方面展开,建立了具有特色的“社群+空间”设计知识体系。
-
2026,35(1):146-154, DOI: 10.11835/j.issn.1005-2909.2026.01.016
针对高等院校土木工程类本科生培养中存在的问题,提出一种侧重科研实践训练的新型培养模式,并从课题组培养方案构建和学校改进措施两个方面探索具体培养路径。通过五届共29人次的长期追踪记录,基于科研成果数量、成绩变化和考研录取率三个方面进行综合评价,结果显示:该模式下,生均科研成果达1项;课题组期间,87.5%的学生成绩显著提高;考研录取率较基准组最高提升81.5%。实践表明:侧重科研实践训练的培养模式可显著提高本科生学习成绩、考研录取率、科研水平和创新能力。
-
2026,35(1):155-161, DOI: 10.11835/j.issn.1005-2909.2026.01.017
混凝土结构基本原理是土木工程专业本科人才培养的重点必修课程,实验教学是提高课程教学质量的关键环节。结合混凝土结构基本原理实验课程的概况,剖析了目前的教学现状,以及在教育改革背景下课程存在的问题,如实验课程课时少、内容多等。针对混凝土结构实验教学综合性强和应用性高的特点,基于学生为主体、问题为导向的教育原则,从结构实验平台、课程内容设计、实验教学方法、实施方案,以及评价方式与指标等角度,对混凝土结构创新实验课程教学体系展开了研究和探讨。通过完善教学方案和评价指标、转变教育观念、革新教育方法,建立了以教学实验平台为核心的混凝土结构创新实验课程教学体系,旨在充分激发学生的创新潜能和意识,加深学生对混凝土结构基本理论与概念的理解和认识,培养学生的综合实践能力,进而提高学生的实际操作能力和应对工程实际问题的能力,全面推动混凝土结构实验技术的发展和教学质量的提高,提升土木工程专业人才综合素质培养的水平。
-
2026,35(1):162-171, DOI: 10.11835/j.issn.1005-2909.2026.01.018
以复杂工程问题的内涵为抓手,基于复杂工程问题跨学科性、综合性强等特点,探讨解决复杂工程问题须具备的能力要素,从技术能力和非技术能力两个维度进行解构。技术能力意味着解决复杂工程问题必须具备相应的工程知识应用能力和拓展能力,具备复杂性动态变化下与之相适应的问题分析能力、研究能力和使用现代工具的能力;非技术能力则要求解决复杂工程问题应具备良好的沟通表达能力、组织协调能力、团队协作能力和符合时代要求的工程伦理观。基于此,从课程教学团队建设、课程规划建设、评价机制建设三个方面入手构建课程体系。课程教学团队建设要求教师必须树立“以教为本、以学生为中心”的教育理念,既要教会学生运用工程知识的技术本领,又要基于学生角度培养其非技术能力;课程规划建设强调课程设置应以复杂工程问题解决能力为导向,细化其能力指标进而设置相应的理论课程及实践课程,融合多元化教学方法有所侧重地培养学生解决复杂工程问题所需的技术能力和非技术能力;评价机制作为实现持续改进的必要手段,应综合考评学生的技术能力和非技术能力,以适应复杂工程问题解决能力评价需求。最后运用案例分析法以天津理工大学工程造价专业实践为例进行阐释,分析其以复杂工程问题解决能力为导向的课程设置情况及实践成效,旨在为地方应用型大学培养学生复杂工程问题解决能力提供借鉴。
-
2026,35(1):172-180, DOI: 10.11835/j.issn.1005-2909.2026.01.019
建设项目投资与融资是高等学校城市管理、工程管理与工程造价专业中实践性强、应用性广的核心课程。当前,该课程建设面临诸多痛点:多学科交叉融合不足,投融资前沿理论深度不够,教学创新乏力;学生实践认知匮乏、理论与实践脱节;学生对高质量发展战略理解不深,课程思政育人理念亟待强化。针对上述问题,课程团队坚持以学生为中心,对课程目标、教学内容、模式及评价体系进行了系统性创新设计。从知识、能力和价值维度建构课程目标;通过课程内容重构与优化,搭建了案例库、文献库和项目库;综合运用研讨式、混合式、双语式和场景式教学方法,成功打造了“三库四式”教学模式;探索并建立多维度、多元化且侧重知识应用的评价体系。实践表明,该创新设计显著提升了学生的学习效果,“三库四式”教学模式的推广展现了一定的示范与影响力。
-
2026,35(1):181-189, DOI: 10.11835/j.issn.1005-2909.2026.01.020
探索了一种基于机器学习的混合式教学效果评价方法,利用随机森林算法,基于成绩、行为、情感等多种类型和来源的数据,构建了混合式教学评价模型,并通过特征重要性分析提出针对性的教学提升策略。以中国大学 MOOC 开设的国家级一流本科线上课程地学景观探秘·审美·文化为例,收集了 376 名学生的问卷数据,进行了模型训练和验证。结果表明,优化后的随机森林模型拟合优度提高40%、残差平方均值降低7%,模型预测成绩对比学生实际成绩R2达到0.92,可有效地预测和分析学生的学习效果;学习过程参与、线上线下学习途径、手机使用、形成性评价、学习时间投入、收获感等是影响学习效果的关键因素;据此提出了针对性的混合式教学效果提升策略。研究提出的方法可为优化混合式教学设计、提高混合式教学质量、促进个性化教育提供参考。
-
2026,35(1):190-195, DOI: 10.11835/j.issn.1005-2909.2026.01.021
思想政治教育精准化是新时代高校思想政治教育发展的新样态。人工智能赋能高校思想政治教育精准化发展,可以实现教育过程的精准把控、教育对象的精准把握和教育实效的精准提升。然而,人工智能的运用也可能带来目标与定位偏离、引导功能弱化和情感属性消解等问题。因此,要明晰价值导向作用、提升实践育人功能、发展人机协同教育、推动智能平台发展,以及匡正伦理失范问题,积极应对人工智能赋能精准思政的潜在风险。
-
2026,35(1):196-203, DOI: 10.11835/j.issn.1005-2909.2026.01.022
针对新形势下工程管理专业本科生实践能力培养的困境与挑战,在分析“三全育人”理念内涵及其对实践育人启示的基础上,结合工程教育专业认证相关要求,以中国矿业大学工程管理专业为例,构建形成了基于“三全育人”理念的工程管理专业实践教学体系,从五个方面对实施要点进行了深入分析与探讨,并阐述了现阶段的实施成效。实践结果表明,该实践教学体系的构建与实施,能够进一步强化实践育人工作力度,有利于持续提高工程管理专业的实践教学质量。
-
2026,35(1):204-211, DOI: 10.11835/j.issn.1005-2909.2026.01.023
新时代对研究生思想政治教育提出了更高要求,驱动高校思政教育理念的不断创新。文章立足于土木工程研究生的学科思政实践,强调了将思政元素全面融入专业教学、实践活动及评价体系的重要性。通过构建学科发展与思想政治教育的联动机制,有效促使研究生将思政理念内化于心、外化于行,并成为自主思考与自觉行动。针对当前土木工程研究生思政教育中存在的育人覆盖面不广、深度不足及维度单一等问题,提出了加强师资建设、优化育人过程、改进评价机制等途径,旨在深化学科思政建设,促进研究生德智体美劳全面发展。该研究不仅为土木工程的研究生教育提供了新视角,也为其他学科的思政教育提供了有益借鉴。
2026年第35卷第1期
高等教育改革与发展
工程教育研究与评价
新工科探索与实践
教学学术研究与实践
高校管理与思政教育
-
指向新质生产力的高校双创课程体系构建: 现实挑战、运行逻辑及模型构建
科技创新源于人才培养,人才培养离不开课程改革。面对新质生产力发展对科技创新提出的新要求,我国高校创新创业课程体系仍旧存在课程理念滞后、课程内容局限、课程实施薄弱和课程管理缺位的问题。为应对现实挑战,本研究搭建课程体系分析框架:构建取向从关注行为方式转向注重价值塑造;构建逻辑从采用线性逻辑转向遵循非线性逻辑;构建机制从依靠单一主体转向联动多元主体。在理论指导下构建高校创新创业课程体系模型:明确“三耦合”课程目标,找准课程体系定位;构建“三进阶”课程结构,丰富课程体系内涵;开拓“五融合”课程建设路径,落实课程体系建设。通过系统化改革,构建适应新质生产力发展要求的课程体系,为国家人才自主培养提供有力抓手。
-
"三环四维"课程思政融通教学模式——以建筑结构抗震课程为例
本文围绕工科课程“建筑结构抗震”提出并实践“三环四维”课程思政融通模式:以课堂教学、科研训练、学科竞赛构建闭环路径,在历史、科技、伦理与实践四个维度系统嵌入思政元素。教学层面通过课程模块化重构与案例化讲授,推动价值引领与专业知识的协同;科研层面将震害经验与HPFL等加固技术转化为教学资源,强化社会责任与创新意识;竞赛层面以真实约束的工程任务锻炼团队协作、工程伦理与综合决策。评价体系坚持证据导向与过程性评价,建立多元评价机制,并持续跟踪成长。实施期内的观测数据显示,学生科研参与度、竞赛获奖与就业质量保持稳定向好,专业认同与价值观水平均有提升。
-
基于“产研融合”创新机制实践的工程类研究生职业胜任力提升路径探索
“十四五”以来,我国工科研究生学术创新水平取得突破性进展,但工程实践能力较弱,到用人单位后短期内无法直接融入生产,职业胜任力较低,严重阻碍了我国工科研究生的高质量培养。本文系统总结了高校培养工程类研究生职业胜任力实践场景的封闭性、知识体系的静态性、评价标准的单一性三大核心短板,剖析了高校企业联合培养工程类研究生职业胜任力面临的培养目标存在错位、协同机制整合低效、发展路径缺失动力问题;围绕需求供给动态协同机制、产研一体资源融合平台、主体驱动能力成长机制,提出了“产研融合”提升工程类研究生职业胜任力的构建思路及实施路线;最后以实例总结分析了“产研融合”培养模式初步建设成效与经验,研究成果对提升工程类研究生职业胜任力培养质量具有指导与借鉴意义。
-
《土木工程概论》 “一核-三链-五法”课程体系构建与教学实践
摘要:面对建筑产业结构调整、智能建造与绿色低碳加速推进以及高校生源结构多样化的外部环境,《土木工程概论》作为土木工程专业导引与认知核心课程,亟需从知识罗列转向“经验-理解-行动”的学习闭环。本文系统梳理课程现状与痛点,提出以学生真实学习体验为核心的“一核-三链-五法”课程改革理念,并从内容链、实践链、产学研链三个维度重构课程。融合翻转课堂、项目化学习、BIM/VR情境化教学等多元教学方法,构建认知、仿真和真实项目的三级实践体系,基于过程和终结双元评价机制测评教学成效。结果表明,课程改革对接新工科建设与行业转型需求,学生的课堂参与度和学习满意度明显提高,学习挫败感下降,专业认同与学习动机得以重塑,为后续课程与职业发展奠定了扎实的起点质量。
-
产科教深度融合探索:结构防灾减灾工程专业本科毕业论文(设计)教学改革新路径
本科毕业论文(设计)是学生在校期间占用学时最多、最能衡量学生综合素质和实践能力的教学环节,对培养新时代卓越工程师具有重要意义。面向新时代高素质人才培养需求,各高校针对传统毕业论文(设计)环节的诸多短板问题开展教改探索,其核心趋势是产科教融合。同济大学土木工程学院结构防灾减灾工程系围绕产科教融合在本科毕业论文(设计)教学建设与实践,从实践基地共建、双导师指导模式、信息管理平台、质量评估体系等方面做出改革探索,并取得显著成效。该产科教深度融合探索成果具有良好的示范推广价值和借鉴意义,也为卓越工程师培养专项方案的推进实施打下了基础。
-
社会、时空、机制—社区更新设计的课程逻辑与教学解构
摘要:社区作为中国政治治理的基本单元,随着社会和经济的发展,面临着更新与重塑的需求。本文以社区更新教学为对象剖析学生在设计活化中面临的认知困境,建立课程逻辑与梳理教学解构。课程以成都市某社区为对象,结合建筑学专业的教学需求,进行了16周的专题设计课程。在教学过程中,发现学生存在大尺度设计挑战、社区概念模糊以及群体空间秩序梳理等困惑。基于问题导向,引导学生通过数据调查、口述访谈等方式,建立“空间-社会”的结构认知,提出具有可行性的“地方-时间”策略,构建“角色-关系”的协调机制,逐步建立对社区空间的深刻理解,进而提出本我与自洽的设计策略。
-
中国人工智能教育政策扩散的时空特征及影响因素——基于省级数据的事件史分析
近年来中国政府出台多项政策推动人工教育发展,研究中国人工智能教育政策扩散规律,能够为各级政府优化政策提供理论依据。基于省级政府样本数据并采用事件史分析方法,对中国人工智能教育政策扩散时空特征及影响因素进行实证研究。研究发现:中国人工智能教育政策扩散在时间上呈现出“先快速,后缓慢”的非渐进性特征,在空间上呈现出“整体推进,跟进扩散”特征,且邻近效应显著。在影响因素方面,外部影响因素中上级政府压力和相邻政府压力是各省级政府采纳政策的关键因素。内部影响因素中省委书记年龄得到部分支持。基于此,提出应该充分发挥央地政策协同效应、形成良性省际竞合关系、强化领导干部引领作用、加强研究明晰发展思路四方面优化对策,为省域优化人工智能教育政策提供参考。
-
何以解围?—“新基建”转型的深层机理与就业生态体系构建
“新基建”战略驱动下,土建行业正经历深刻的数字化变革,为高校土建类专业毕业生就业带来了机遇与挑战。本文基于对A高校2023-2025届土木工程专业毕业生的追踪调研,运用频次统计结合熵权法的定量分析方法,完成就业困境影响因素的重要性排序与权重设定,明确各因素的量化影响程度。研究结果表明,学生感知层面的就业竞争激烈、缺乏实践经验等因素为就业困境核心诱因,而人力资本投资错配、劳动力市场分割、个体职业价值观与行业现实冲突是其深层机理。因此文章提出以课程体系重构、产教融合深化、动态评估保障和就业服务升级为核心的系统化思维,构建高校、企业、政府与学生四方协同的“就业生态共同体”模型,继而实现对深层机理的精准破解,助力高校毕业生从“充分就业”向“高质量就业”跃升。
-
“AI赋能,数字转型”:土木行业变革期下本科人才培养策略与实践
本文针对第四次工业革命背景下土木工程行业智能化转型对人才培养提出的新要求,分析了当前高校在智能建造人才培养中存在的主要问题,包括思政教育针对性不足、课程体系与行业需求脱节、教师数智素养薄弱以及实践教学支撑不足等。为此,本研究构建了一套“AI赋能、数字驱动”的土木工程本科人才培养体系,具体包括:基于学生数字画像与三维评估模型的精准化思政教育系统;智能技术集成式课程体系与数字化教学资源;覆盖培训、赋能与评价全过程的教师数智素养发展机制;以及“立地—顶天—贯通”三阶段递进式智能实践生态。经过四年实践验证,该体系显著提升了学生的专业能力、创新素养与综合素质,在线教学实现规模化与个性化统一,学科竞赛与社会服务成果丰硕,形成了可复制、可推广的育人模式,为智能建造背景下土木工程教育改革提供了系统解决方案。
-
风景园林三元论的跨学科理论融贯、教学实证与成效评价
经过数十年的发展,风景园林三元论的本源论、认识论与方法论哲学思想在跨学科的理论融贯、教学实证与成效评价中体现出较强的引领性与适用性。通过梳理风景园林三元论的发展背景、实践应用与创新成果,并以对2025年间118位学生的问卷调查方式评价验证风景园林三元论在风景园林学、城乡规划学和建筑学等学科的教学成效。结果表明:在跨学科理论融贯方面,风景园林学、城乡规划学和建筑学等学科的哲学本源具有统一性,因此,理论方法论存在一定的协同作用。在具体教学中,风景园林三元论能有效提升不同学科背景及本科生、研究生各阶段学生的理论融贯及实践能力;在跨学科教学实证方面,基于风景园林专业教育三元论,从“基础层面、中阶层面、交叉层面”三方面展开教学实证,注重学生专业知识理解、实践能力转化以及跨学科整体性思维培养;在跨学科成效评价方面,风景园林三元论对各主体在专业理论认知、专业技能提升和专业情感认同都具正向影响。
-
项目制模式:新时期卓越工程师培养研究与实践
卓越工程师是国家战略人才。借鉴项目制治理思想和协同学理论,结合东南大学国家卓越工程师学院卓越工程师培养项目实践,提出面向卓越工程师培养的校企合作的项目制模式,从项目平台、校企协同全过程赋能和管控、知识-能力-素质融合发展三个维度阐释其作用机制,研究发现,通过项目平台的搭建,为校企合作产教融合协同育人提供了组织;通过校企对研究生培养过程的共同赋能和风险管控,实现了项目理性化的目标管理和过程控制;产教融合协同育人有助于实现前沿知识与思想引领融合培养、创新能力与使命担当融合培养。研究的项目制模式可为新时期卓越工程师的培养提供理论参考和实践借鉴。
-
产教融合背景下研究型大学人才培养的微观组织创新 ——以重庆大学科技社团模式为例
区别于应用型高校的技术应用导向,研究型大学产教融合的核心在于创新导向与战略指引。为突破现有宏观学院设计在组织成本与学生积极性上的问题,本文聚焦于微观组织层面,以重庆大学“科技社团”为例,探究科技社团这一组织形式创新在宏观设计与学生微观成长方面的衔接作用。结果发现:科技社团是研究型大学链接宏观顶层设计与学生微观基础的重要组织创新,其通过“三融入三跨界三协同”的路径,实现了建设育人阵地,拓宽学生眼界;扎实育人路径,加强能力建设;创新育人机制,推动场景融入,其主要通过组织介入、激发动力、场景渗透三大机制以实现“宏”“微”衔接。科技社团人才培养模式取得了丰富的实践成果,是研究型大学产教融合的生动实践与典型案例,为构建一个能够有效衔接宏观顶层设计与学生微观成长的产教融合新路径,提供了宝贵的实践参考与路径借鉴。
-
面向“双千”计划重点产业领域的微专业建设实践 ---以“遗产保护与数字文旅”微专业为例
本文在教育部“双千”计划实施背景下,研究了面向重点产业领域的微专业建设在聚焦岗位核心需求、办学资源整合与重构、培养创新与跨界交叉思维等方面的教育教学方法。以“遗产保护与数字文旅”微专业建设的完整方案为例,提出了跨学科培养、产教融合培养模式,线上线下结合、案例教学驱动教学方法在微专业建设中的实施路径。最后,通过对首次开课后全体教师与学生的教学效果评价分析,得到教师端、学生端参与微专业教学与学习的意愿与需求、问题与挑战反馈,为微专业建设持续改进与优化提供了重要参考。
-
具身感知作为研究与设计的媒介:城市实验教学初探
在新工科建设与城市精细化更新的双重背景下,建筑学教育面临传统教学模式难以培养研究型设计人才的困境。基于笔者所在教学组近年来指导的具身感知实验教学实践,以及大学生系列创新课题支持,尝试构建实验研究与城市设计课程相结合的教学模式,解决了本研培养割裂、设计决策依赖经验、理论与实践脱节等核心问题。教学方法上采用跨学科实验设计、问题导向分析、团队分层协作教学,教学内容形成低年级环境行为认知、中高年级量化技术应用、研究生多模态数据融合的三阶能力链,教学组织通过闭环流程将科研成果反哺设计课程。实践表明,该模式显著提升了学生的研究型设计能力,既支撑了学术论文与设计竞赛,也为城市更新提供了量化依据。实验教学在理论层面确立了具身感知作为连接实证研究与设计思维的媒介角色,实践层面为城市设计教学提供可复制范式,推动建筑学教育从形态主导向以人为本转型。
-
一、建筑史课程教学中的问题二、教学改革思路三、教学实例——以雅典卫城为例四、教学改革实验五、结语
传统建筑史教学在空间感知能力培养、知识获取途径及学习主动性激发方面显示出明显局限。本研究提出三项教学改革策略以应对这些挑战:引入虚拟现实(Virtual Reality,VR)技术提升建筑理解力、采用混合教学模式提高知识可得性、实施任务驱动教学法增强学习积极性。研究者以《外国古代建筑史》"雅典卫城"章节为案例,构建了"课前自主预习、课中互动探究、课后巩固"的教学框架。通过准实验研究,对比了结合VR技术的混合教学模式与传统教学方法,实验对象为两个班级共60名建筑学专业一年级本科生。Mann-Whitney U检验结果表明,实验组在建筑理解力(U=205.000,p<0.01)、知识可得性(U=89.000,p<0.01)和学习积极性(U=150.500,p<0.01)三个维度的表现均显著优于对照组。这些结果证实,该教学模式能有效提升学生对复杂建筑概念的理解,促进更高效的知识资源获取,并提高学习主动性。
-
新工科背景下中外合作授课模式中课程思政的融入路径探索——以《结构分析》课程为例
在“新工科”建设与教育对外开放背景下,中外合作办学的全英文授课模式为专业课程落实课程思政带来新的机遇与挑战。本文以西南交通大学利兹学院土木工程专业《结构分析》课程为例,围绕思政目标构建、内容组织、教学方法与评价体系四个维度,提出面向中外协同授课情境的课程思政融入路径。课程通过典型工程案例对照分析、问题驱动学习、团队协作与实践活动等方式,将工程伦理、社会责任与家国情怀等价值元素嵌入知识讲授与能力训练全过程,并借助“雨课堂”等平台实现过程性与终结性评价的协同。教学实施反馈显示,该路径在不削弱课程专业性与国际化标准的前提下,有助于提升学生的结构分析能力、工程责任意识与跨文化反思能力,可为同类中外合作课程的课程思政建设提供参考。
-
应用型本科城市地下空间工程专业课程思政实践探索
地下空间工程监测与检测课程实践性强、理论深且学科交叉广,但课程思政在理论成熟度、系统性及与应用型人才培养目标的衔接上仍有待提升。本文以成都工业学院土木工程系地下空间工程监测与检测课程为例,基于“知识传授-能力培养-素质塑造”三位一体育人理念构建并实施了“1234”课程思政体系。该体系将思政教育贯穿教学全程,涵盖知识、能力与素质三类结构要素,融入12个思政融合点。通过“课前问卷-课中实践-课后反馈”的闭环教学模式,学生对本课程思政的认可度高,在团队协作、安全环保、政治认同、职业道德、人格修养和工匠精神等方面思政内涵领悟度超90%。尽管如此,课程思政建设在融合深度、教学方法和学时安排等方面仍面临挑战。为此,本文提出加强教材编写、教学设计和课堂实施,构建“课程思政”知识图谱,优化学时安排等改进建议,以提升教学效果和学生综合素质,为培养高素质应用型人才提供有力支持。
-
轻量化AI教学模块嵌入路径及实证——以高校建筑设计课程为例
在高校建筑设计课程智能化转型背景下,教材更新滞后、教学方法适配不足与工具资源碎片化成为制约教学质量的三大瓶颈。研究以布鲁姆教育目标分类法为基础,构建“认知-应用-创新”三阶段能力递进模型,结合认知负荷理论,设计并实施了轻量化AI教学模块,并将其嵌入某高校建筑设计专业核心课《建筑设计3-5》连续三学期课程体系。具体实证以《建筑设计4》为实验场景开展“前后测+对照组”方式实验研究,结果显示,轻量化AI模块可在不影响原有课程结构的前提下,有效降低教师备课难度和授课时间,同时能显著提升学生设计能力与高阶创新思维。研究表明,通过植入轻量化 AI 模块,重构核心教学场景与任务,有效解决了"教材、教法、工具"三重困境,为建筑教育智能化转型提供了可复制的实践路径。
-
在地融入—面向山地城市更新的建筑实训课程改革
在城市发展进入存量提质增效与数字化变革的双重背景下,建筑学专业教育面临从“知识传授”向“能力建构”的转型挑战。基于重庆大学短学期建筑学课程《建筑专题实训》形成与演进过程,系统梳理其中以“小尺度渐进式微更新”与“活化实践”主线,以真实山地老旧街区为载体的教学路径。课程通过教学“对象拓展—内容深化—方法迭代—表达创新”的四维演进,构建了“多维调研—问题策划—协作深化—多元评图”的四阶教学模式,推动学生从“解决预设问题”向“主动发现问题、系统干预实践”的能力跃升。教学效果表明,课程有效提升了学生在复杂建成环境和多元需求中的综合分析、协同合作与技术整合能力,成果呈现从传统图纸向涵盖策划、建造与运营的多维叙事拓展,希冀为存量时代建筑学实训课程的系统创新提供理论参照与实践范式。
-
服务交通强国,交通土建学生“双碳”创新能力培育模式探索
随着“双碳”目标(碳达峰与碳中和)纳入国家绿色低碳发展战略体系,交通土建领域已成为碳排放的重点领域。相关研究报告显示,交通领域碳排放约占全国总碳排放的10%-15%,其中土建工程碳排放占交通领域总排放的30%-40%,对具备“双碳”创新能力的复合型人才需求呈爆发式增长。然而,当前人才培养体系存在三大核心矛盾,一是社会对 “双碳” 人才创新能力构成的认知碎片化,尚未形成统一的知识框架;二是传统实践创新平台与“双碳”技术需求脱节,难以支撑智能建造、绿色建材等新兴领域教学;三是实践教学活动“粗放化”,与“双碳”人才精准培养目标不匹配。因此,本文以西南交通大学土木工程学院为实践载体,构建以“六精”为主线的“双碳”创新能力培育体系;通过精准调研交通土建行业“双碳”技术痛点,形成“知识-能力-素养”三维能力矩阵;精细设计“理论+实践+创新”三阶课程体系,重构实践教学模块;精心打造“双碳融创中心”,整合跨学科教学资源;精要制定“双碳学分+低碳积分”双激励机制,激发师生参与积极性;精巧组织多维度科创活动,构建“竞赛-项目-转化”链条;精确建立多维度评价反馈机制,形成培育闭环。经过多年实践,该模式使学生参与“双碳”相关科研项目比例从21%提升至58%,获国家级“双碳”类科创奖项数量增长翻倍,为交通强国战略下“双碳”人才培养提供可复制、可推广的实践范式。
-
宽基础、多元化、多专业协同的一年级建筑设计基础教学模式探索
针对当前建筑学学科、行业及生源的问题,本文梳理国内外相关教学经验,以设计思维培养为课程目标,开展建筑学、城乡规划、历史建筑保护工程三大专业一年级“设计基础”类课程教学改革。研究采用“教案重构-体系优化-形式创新-评价升级”四位一体策略实现突破,构建理性务实的设计基础教案,建立完整的设计课程集群,形成高效多元教学模式,通过多样化成果形式达成知识生产。教学评估数据显示,课程教学质量评价平均分达98.8分;结合师生访谈与学业成绩分析证实,该模式在提升教学效率、激发学习兴趣方面成效显著,为同类院校设计基础教学改革提供了可参考的实践范式。
-
聚焦人才培养目标的土木工程本科生培养方案逆向设计
如何给毕业生在知识、能力、素质三方面有效赋能,使其满足国家建设需要、适应未来科技进步,是土木工程专业本科生培养须解决的问题。制订反映新时代拔尖创新人才培养需求的土木工程专业培养方案,需要调研和讨论了七所国内外高校的培养目标和课程体系,以准确分析出近五年哈尔滨工业大学土木工程专业本科生毕业去向。聚焦多元创新人才培养目标,完成土木工程本科生培养方案逆向设计,确定了培养目标,提出了制订原则,介绍了思路与课程体系构建方法,阐释了教学质量体系建设、实践教学强化改革和服务社会开放共享等保障培养方案落实的措施。
-
以智能建造技术赋能东北寒区城市更新建设背景下的案例化教学思考与实践
寒区城市更新建设对复合型人才培养提出了更高要求,为此,本文围绕智能建造技术在东北寒区城市更新中的应用,分析了案例化教学改革的必要性与内涵,提出了通过案例化教学培养复合型人才的方案,设计了课堂型、研究型和实践型三线并行的案例化教学模式:课堂型案例依托课程讲解高性能结构和智能建造技术,研究型案例结合实际工程项目探索寒区智能施工技术,实践型案例通过实地考察使学生更好理解新型技术的工程应用。同时,本文还提出了通过构建多样化案例库、完善评价机制和反馈系统,以确保案例化教学具有较好的实用性与前瞻性。通过此教学模式,显著提升了学生的工程实践能力和技术创新意识,为寒区城市更新复合型人才培养以及案例化教学改革提供了科学的路径和范例,有望推动案例化教学改革在复杂工程学科中的实施和应用。
-
“双碳”背景下给排水科学与工程学科强化AI教育的必要性研究
目前,“双碳”目标是社会发展需要迫切解决的热点问题。给排水科学与工程在面临“双碳”任务时,既存在挑战,又面临发展机遇。人工智能(AI,Artificial Intelligence)作为一种数据驱动的建模与优化技术,已成为实现节能减排和智慧水务的重要辅助手段。本文初步解析了“双碳”背景下给排水科学与工程学科面临的“双碳”挑战与AI教育的必要性,提出了教育中存在的若干问题以及解决问题的方法与措施。重点讨论了计算机知识欠缺、AI课程不足、实践机会少等问题,提出了优化课程设置、强化实践教学环节、引入多样化学习途径和机会等改革措施。通过优化教学内容、改革教学方法、增强实践与校企合作、建立激励机制以及建设云平台等措施,为培养兼具传统专业素养与AI应用能力的复合型人才提供参考。
-
CNKI视域下土木工程实验教学研究的现状分析与趋势预测
基于文献计量分析方法,利用中国知网(CNKI)数据库,借助CiteSpace软件构建知识图谱,进行土木工程实验教学研究的文献统计与关键词分析,确定该研究相关文献基本特征,揭示其研究进展、热点,并探讨其发展趋势。研究表明,土木工程实验教学研究热点主要围绕教学保障与课程、教学方法与技术、教学改革与发展、人才培养与目标展开。未来,土木工程实验教学研究工作可能从新工科与智能建造融合下的实验教学改革、以课程思政为引领的实验教学育人模式、实验课程与教学模式的持续创新与优化、科研成果反哺实验教学四个方面开展。
-
基于多学科交叉的建筑学专业创新人才培养方案探究
姚 胜, 李雅妮, 赵诗雅, 袁景玉, 罗浩, 王亚妤, 许楠楠
新时代建筑行业日益复合多元的新任务,要求当前高校人才培养方案要充分适应产业发展需求,培养建筑学专业创新拔尖人才。通过对河北工业大学建筑学专业本科毕业生就业动态和发展方向的深入分析,发现就业选择不再局限在传统的建筑领域,而是逐渐向多学科交叉融合方向发展。秉承交叉融合、传承创新的思路,融合建筑学、建筑环境与能源应用工程、土木工程、人工智能等学科优势,本着“就业导向”的理念,依据“交叉创新型人才”的培养目标,提出将建筑学与相关专业进行多学科交叉的教学活动尝试,对本科生实行针对性人才培养计划,确定了建筑学专业多学科交叉创新拔尖人才的培养目标,设计形成多专业纵横交叉的课程体系,为全面培养具有家国情怀、综合素质和适应社会需求的优秀建筑学人才奠定基础。
-
面向工业5.0的智能制造新工科人才培养体系研究与实践
随着“工业5.0”时代的到来,智能制造领域对高素质复合型人才的需求日益迫切。本文聚焦于面向“工业5.0”的智能制造新工科人才培养体系的研究与实践,旨在构建适应未来制造业发展需求的创新人才培养模式与体系。剖析传统机械工程人才培养现状及面临的问题,分析“工业5.0”背景下智能制造新工科人才培养的需求,包括创新能力培养需求、知识结构需求、培养模式创新需求。界定面向“工业5.0”的智能制造新工科内涵,提出“工业5.0”背景下智能制造新工科人才培养模式。制定智能制造跨学科的模块化式课程,构建“工业5.0”背景下智能制造新工科人才培养实践体系,探索新型师资队伍建设的产学研合作机制,以期为高校智能制造相关专业人才培养提供参考和借鉴。
-
强国复兴视阈下铸牢大学生中华民族共同体意识的价值及路径
建设社会主义现代化强国,实现中华民族伟大复兴,是近代以来中国人民最伟大的梦想,是中华民族的最高利益和根本利益。铸牢中华民族共同体意识是凝聚全国各族人民力量于强国复兴伟业的重要抓手。大学生是强国复兴伟业的接续者和生力军,铸牢大学生的中华民族共同体意识意义重大。强国复兴的时代背景下,铸牢大学生中华民族共同体意识,有助于其夯实对“五个认同”的科学认知,增进奋进精神动力,培养投身强国复兴建设的主动和能力。通过分析当前铸牢大学生中华民族共同体意识教育实践存在的问题,认为要以提升教育主体、教育环体和教育介体为主要抓手,提升铸牢大学生中华民族共同体意识的教育实效。
-
新时期国土空间总体规划培养目标与教学重点探索
新时期随着我国国土空间规划改革的不断深入,高校总体规划课程原有教学内容和教学方法面临挑战,如何适应行业发展要求值得深入探讨。从不同体制视角,揭示空间规划本质和内涵,提出规划行业要:(1)守住空间资源配置的“初心”;(2)围绕总体规划课程的知识和能力培养目标,聚焦国土空间体系和要素统筹规划的“核心”,区分掌握、熟悉、了解三类教学要求,形成核心-外围两个教学层次,并分别安排相应的教学内容;(3)在全过程推进总体规划改革中,注重实践,培养学生从事规划工作的“匠心”。
-
基于工程观导向的《土力学》课程思政教学探索与实践
在新工科建设背景下,如何将价值塑造、能力培养和知识传授深度融合,是当前专业基础课教学改革的核心议题。针对西部普通211高校《土力学》课程教学中存在的工程观引领不足、思政教育“硬融入”等问题,本文提出以“工程观”思维构建为主线的课程思政教学改革路径。改革实践秉承“立德树人”理念,构建了以“工程系统思维与创新能力”为核心(“1”),统领工程安全与伦理、可持续发展观、生态文明观、人文关怀与社会责任等多维扩展领域(“0”)的“1~0...”工程观价值体系。通过深入挖掘思政元素、创新“对比案例+工程问题链”教学方法、实施“技术-伦理-文化-战略”四维浸润教学模式,以及构建多元化过程性考核机制,实现了专业教育与思政教育的有机融合。教学实践表明,改革有效提升了学生的工程素养、思辨能力、家国情怀与职业责任感,为新工科背景下专业基础课程的思政建设提供了可借鉴的方案。
-
我国拔尖创新人才政策协同演进研究
拔尖创新人才已经成为国家发展和国际竞争的核心战略资源,系统评估并优化我国拔尖创新人才政策体系,对提升人才培养效能、增强国家战略竞争力具有重要意义。本文基于政策协同视角,构建“政策目标—政策工具”二维分析框架,对我国拔尖创新人才政策协同演进行了量化研究。研究发现:政策数量、政策效力整体呈“问题驱动”型的脉冲式增长。政策主体形成以教育部为核心、多部门有限参与的“核心—边缘”结构。政策目标协同度短期性明显,跨周期目标衔接方面表现较弱。政策工具从单一逐渐向多元转变,工具结构的均衡性与长效性需进一步优化。基于以上结论,提出推动“项目制”向“体系化”转型、构建贯通式目标机制、优化政策工具结构等政策优化建议。
-
数智时代融合BOPPPS模式的课程教学改革与实践——以土木工程流体力学课程为例
目前正处于数智赋能的教育现代化代转型期,土木工程的人才培养面临新的挑战,土木工程专业的人才需求趋向于知识结构多元化的综合素养塑造。土木工程专业的课程内容和教学形式也亟需调整和优化。本文以土木工程专业少学时的《流体力学》课程为例,探讨课程内容调整以及结合数智化转型的课程教学模式的改革:在课程内容上提出脱离“水力学”的知识框架体系,构建普通流体力学基本理论及其在土木工程中应用为主要内容的课程知识体系,适应土木工程专业的人才培养的新趋势;在教学形式上,采用数字智慧化教学平台融合BOPPPS模式设计了线上线下相结合的综合应用型知识单元的新型教学模式,以一个教学案例的具体设计详细说明了该教学模式的实施过程。探讨提升学生主动学习和培养专业综合能力的实现路径,为同类型的专业基础课程优化和教学设计提供参考。
-
新工科智能建造专业认识实习新模式与教学实践
智能建造是新工科背景下土木工程和信息技术交叉融合发展而来的产物,其正在引领建筑业进入一个新的发展阶段,即数字化、智能化以及绿色化发展。为了更好地适应对新工科智能建造专业人才进行复合型培养的要求,本文就“新工科智能建造专业认识实习新模式”进行了研究,并提出了一条涵盖多个学科,多个层次的具有学科交叉特点的实践教学之路,即利用主题讲座、基地考察、工程实例相结合的形式,系统地学习区块链技术、BIM技术、智能感知技术、绿色建造技术、数字孪生技术等,打破传统专业的界限,增强学生的跨学科认知和应用能力。总结6次实习活动经验之后,本文分析了智能建造认识实习在推进实践教学改革方面的功效,进而给出改善课程模块设定,推动校企协同育人,创建模块化教学体系等策略建议,研究显示,这种模式有益于加强学生对智能建造技术体系总体认识,促使学生综合实践能力和工程创新意识发展,给新工科背景下智能建造人才培育赋予可行途径和理论支撑。
-
新质生产力背景下科研反哺土木工程专业毕业论文教学的实践探索
为满足新质生产力发展对善创新会创造人才的需求,针对当前土木工程专业毕业设计选题脱离行业前沿、指导侧重流程把控、评价偏重完成度的问题,通过科研项目转化选题、师生双向互选、本-硕-博协同培养等路径,从科研思维全程渗透、实验室开放共享、创新导向评价重构三方面构建保障机制,开展了科研反哺毕业论文的教学实证研究。教学实践表明参与反哺的学生100%实现提前就业,用人单位对其创新能力满意度显著提升;考研同学实现了科研素养和学术能力的前置养成,获得导师重点培养。该探索为把“会读书的人”培养成为“会创造的人”提供了一条可行路径。
-
创新素养与风险感知对大学生创业意愿的影响机制研究[1]——创新创业教育的中介作用与遮掩效应
在“大众创业、万众创新”战略背景下,大学生创业率偏低的问题愈发突出,本研究旨在厘清创新素养、风险感知对大学生创业意愿的影响机制,同时分析创新创业教育的中介作用、遮掩效应与创业氛围的调节作用。以石河子大学学生为研究对象,采用李克特五级量表设计问卷,发放400份,通过信效度分析、结构方程模型及Bootstrap检验等方法分析数据。研究结果表明:创新素养对创业意愿和创新创业教育均具有显著正向影响;风险感知对创业意愿具有显著负向影响,对创新创业教育则具有显著正向影响;创新创业教育在创新素养与创业意愿之间发挥中介作用,在风险感知与创业意愿之间发挥遮掩作用;创业氛围对创新创业教育与创业意愿的关系具有正向调节作用。研究揭示了大学生创业意愿形成的内在逻辑,据此提出提升创新素养、双向应对风险感知、强化创新创业教育功能、构建协同创业氛围等建议,为高校创业教育的优化以及政府扶持政策的制定提供借鉴。
-
生成式人工智能时代教师发展的平衡之道
生成式人工智能作为技术革新正重塑教育生态,在提升教学效率的同时引发教学设计趋同化、认知同质化等异化风险,威胁教育主体性与人文价值。技术介入教育历经工具理性、系统整合与智能融合三阶段,虽优化资源供给,却加剧数据崇拜与算法依赖,导致师生关系疏离。教师的核心功能根植于教学临场智慧、价值判断引导、情感联结与人文创新四大恒定性内核,成为抵御技术异化的关键。为实现技术赋能与教育守正的平衡,需构建梯度管控制度、推进技术素养与教育智慧融合的双螺旋专业发展路径,并遵循人性优先、文化免疫的伦理治理准则,在动态调适中守护教育本质,促进人机协同的可持续发展。
-
国土空间规划体系下详细规划教学的困境与改革思考
详细规划教学是国土空间规划背景下面向规划实施和管理的核心教学环节,通过对国内27所规划院校详细规划教学运行情况的问询,对98位本科生开展问卷调研,结合控制性详细规划课程教学实践的体验,探究本科生详规教学面临的困境和改革方向。研究发现,在编管结合和存量转型的背景下,详规教学在规划逻辑、编制内容、技术体系三方面面临转型。传统的设计教学思维和组织模式与用途管制导向的国土空间治理需求日渐脱节,高校详规教学在资源筹集、教学场景、教学方式方面又面临新的挑战。近年来详规教学改革实践证实:产教学融合、理论与设计教学融合、研究性技能训练有助于改善学生的学习体验,但是仍需提升规划编制的场景真实性,以深化学生对详细规划本体和编制要点的理性认知。详规教学需要从服务增量开发的设计课程延展到服务存量治理的空间政策型课程。校企深度合作、多元化教学方式和复合性考评体系将是未来教学改革的主要方向。
-
土木工程专业必修课土建大类概论与研讨课程思政建设与实践
为落实立德树人根本任务,强化课堂育人效果,近年来重庆大学针对土木工程必修课的专业基础课土建大类概论与研讨深入推进课程思政建设,已取得初步成效,课程先后入选重庆市课程思政示范课程和教育部首批课程思政示范课程。本文在以学生成长为中心的课程理念指导下,按照教育部印发的《高等学校课程思政建设指导纲要》要求,对土建大类概论与研讨课程思政建设情况进行了介绍,重点描述了课程思政建设方法,特色与创新做法和取得的示范效果,可为同类课程的思政建设提供借鉴和参考。
-
数字赋能与教育协同——乡村古建筑保护的危机破解与范式创新
传统村落是我国农耕文明的重要载体,然而留存的古建筑保护工作正面临着严峻的人才和教育资源匮乏、公众意识薄弱及保护模式单一等结构性挑战。亟待构建一个系统性、可持续的保护和发展新范式。本文提出以数字技术为支撑、教育赋能为核心的金字塔式模型,构建“学术研究—教育转化—大众传播”全链条知识流动体系:塔尖层跨学科研究平台的地域适应性技术研发、塔身层则从多维职业教育体系创新、塔基层多元传播机制创新以及各层的反馈协调机制建立,实现学术、教育与公众需求的精准对接。结合地方办学实际,开展该模型的实践探索,形成可复制、可推广的教育范式。破解传统保护实践中知识生产与传播脱节、技能人才培养与公众参与不足等核心矛盾,为乡村古建筑保护提供系统性解决方案。
-
新工科背景下建筑类高校拔尖创新人才科教融合培养体系研究
在建筑业“绿色化”、“智能化”、“工业化”转型加速的背景下,围绕国家“教育、科技、人才”三位一体战略部署,建筑类高校亟需以科教融合为路径推进拔尖创新人才培养体系改革。本文基于新工科建设要求,结合建筑类专业实践性强、多学科交叉等特点,系统分析了当前拔尖创新人才培养中存在的工程实践与科研创新能力脱节等关键问题。研究提出以“基于工程根基的科教融合育人理念”为核心,明确拔尖创新人才的培养目标,构建涵盖“课程体系重构、师资能力提升、平台资源整合、创新能力激发”四位一体的融合培养模式,并重点阐述了“任务驱动式教学”、“本博贯通式培养”及“项目团队平台协同”等实施路径。本文的相关理念与路径探索,可为新工科背景下建筑类高校拔尖创新人才培养提供理论支撑与实践参考。
-
数智赋能高等教育的 生态重构:逻辑、阻滞与进路[ ]
数智技术如何系统性地重塑高等教育治理生态,是教育强国建设面临的核心议题。基于教育生态学理论,构建了一个由“宏观-外层-中间-微观”系统构成的生态分析框架,用以解析数智赋能高等教育的重构逻辑、内在阻滞与突破路径。研究发现,当前转型困境本质上是生态系统的结构性失调,中间系统(高校组织)与外层系统(数字治理基座)存在“适配性失衡”,数据资源在系统间流动受阻,宏观战略向微观实践传导路径断裂。其深层根源在于组织的排异反应、资源反馈机制的失效及主体数字素养的滞后。据此,提出一个系统性生态重构进路,即强化宏观战略以重塑中间治理结构,夯实外层数据治理体系,以畅通循环,聚焦微观场景以价值实现驱动演进,并培育数字素养以优化生态基因,从而推动高等教育治理从“工具叠加”迈向“生态革命”。
-
新质生产力视角下大学生科技创新能力培养的探讨
随着“新质生产力”概念的提出,科技创新成为推动社会经济高质量发展的核心动力。本文以习近平总书记关于科技创新与新质生产力的重要讲话为背景,开展了新质生产力视角下大学生科技创新能力培养的探讨。新质生产力与大学生创新能力培养的互动,是一个需求牵引、资源整合、生态重构的双向赋能过程。一方面,技术、制度等外部条件为学生创新提供“燃料”;另一方面,大学生的创新实践又反哺新质生产力的发展。文章进一步分析了新质生产力形势下大学生科技创新能力培养中存在的困境,包括课程内容与实际脱节、培养机制不完善、创新主动性不足等问题。基于此,建议高校应调整培养模式,提升学生的综合素质与创新能力,以适应新质生产力的发展需求,推动社会经济的可持续发展。
-
基于Cite Space的建筑学设计基础教学改革发展趋势与前景展望
现如今智能建造与绿色建筑等新兴技术迅猛发展、全球城市化进程加速,建筑行业对人才综合能力提出更高要求,传统建筑学教育模式面临着创新压力,建筑设计基础作为建筑学大一年级的核心课程是建筑学教学改革的重点。本文借助CiteSpace可视化分析工具,对CNKI数据库中2000—2024年国内建筑设计基础教学改革相关的232篇有效文献展开计量分析。通过关键词共现、聚类分析和时间线图谱,揭示该领域研究热点、演进逻辑与未来方向。研究发现,教学理念呈现多元化趋势,涵盖以“新工科”为背景的跨学科融合能力培养、强化空间体验与认知及创造性思维的培养等;教学工具方面,虚拟仿真、建构实验、生成式AI设计工具等介入建筑设计流程。未来,建筑设计基础教学将向开放融合的跨学科模式、数字化工具的灵活运用以及思政教育与专业教育融合的方向发展。该研究为高校优化课程体系、整合教学资源提供了实证依据,有助于明确建筑教育创新路径,培养适应时代需求的复合型建筑人才。
-
智能赋能与价值重构:新工科背景下土木工程教育范式转型研究
在人工智能、BIM、“双碳”战略与智慧城市建设等多重因素驱动下,土木工程教育面临知识体系滞后、价值引领不足与能力结构失衡的挑战。为实现范式转型,构建“智能融合—价值引领—能力重构”三维框架。智能融合层通过AI、BIM、虚拟仿真等技术与课程深度耦合,实现教学内容与方法的智能化重构;价值引领层构建“‘家国情怀—工匠精神—生态意识’三阶课程思政体系”,实现价值教育的分层递进;能力重构层基于OBE-CDIO理念,形成可测度的综合能力标准。通过课程体系立体化重构、教学方法融合式创新、师资队伍复合型建设与实践平台虚实协同发展,四维路径协同推进改革实践。结果表明,技术赋能与价值引领的协同机制有效促进了学生从知识掌握向能力生成与价值内化的跃迁。最终提出“技术理性—价值理性—实践理性”动态平衡的教育生态模型,形成“智能技术工具箱+工程伦理思维+可持续发展视野”的复合型人才培养体系。该范式为土木工程教育的数字化转型提供可复制的理论框架与实施路径,对推动工程教育范式变革具有重要理论价值与实践意义。
-
基于创新型优质生源选拔的本硕一贯式人才培养模式践行
大学本科教育与研究生教育之间缺乏有效的连接,是我国高素质、高层次创新型人才培养面临的主要问题。为了弥补本、硕之间的能力断口,本研究将系统性地建立创新型优质生源选拔的“本硕一体”的培养模式。通过模块化的课程群设计,整合理论教学内容,开发“本研”共享课程,实行“学分互认”的弹性机制,达到知识结构和能力的螺旋式上升和研究思维训练的前置。建立“校企合作-虚拟仿真-科技竞赛”三位一体的实训教学平台,建立省级虚拟仿真实验课程,搭建“产学研一体化”的科技竞赛平台,优化应用型人才培养及选拔资源。推动导师提早介入,最大限度地发挥师生双向选择的作用,引导学生在本科阶段深度参与科学研究项目,前置对于创新型人才的识别与培养。创新遴选和评估制度,将项目贡献、竞赛成果等实践应用能力作为考核内容。本研究不仅为高校创新人才培养提供理论参考,更通过实践成果验证了本硕一贯式培养模式在提升学生创新能力、缩短培养周期、对接行业需求方面的显著优势,为新时代高等教育改革提供了可复制的经验范式。
-
多维协同视域下城乡规划专业三驱动四融合育人模式构建与实践
为应对国土空间规划体系重构与城乡治理现代化需求,针对城乡规划专业教育中存在的课程体系割裂、产教协同不足、价值引领薄弱等核心问题,构建了课程思政引领、科教融合驱动、专业交叉渗透“三驱动”,与学科交叉融合、产教深度协同、知行链式进阶、价值技术统一“四融合”的多维协同育人模式。该模式通过构建“目标—价值—系统—策略”四位一体课程思政体系,实施“四培养四支持”科教融合路径,建设“城乡规划+”跨学科课程群,形成纵向贯通、横向联动的育人生态。实践层面,依托校政企共建实践共同体、真实项目驱动教学、学训创递进培养等机制,落实“四融合”路径。三年实践表明,该模式建设省部级一流课程6门,学生获国家级竞赛奖项30余项,服务乡村振兴项目20余项,显著提升了学生的全域治理能力、数智技术应用能力与公共政策素养,为新时代城乡规划人才培养提供了实践参考。
-
基于以学促研理念的结构动力学课程教学模式探索
结构动力学是土木工程专业重要的研究生课程,具有理论性强、概念多且抽象、公式推导复杂等教学难点。为响应新工科背景下行业变革的需求,激发学生对结构动力学课程的学习热情,使课程更加实用化地促进学生开展科研工作,基于以学促研的理念,对该门课程教学模式的改革进行了探索。首先,可结合计算机进行辅助教学,通过编程实现教材中介绍的算法,并通过有限元软件使典型结构的动力分析可视化;其次,可采用“工程-科研-教学”融合的教学形式,教学内容结合研究前沿,授课案例结合工程实际,并融入学科交叉的思维方式;最后,开展师生互动探究式的教学模式,把课堂还给学生,组织学生们进行科技文献阅读分享交流和完成研究性小组课程作业,并随之改进全过程的评价考核方式。对结构动力学课程教学模式改革的探索,旨在激发学生投身科研和工程实践的热情,帮助学生掌握基本的从事科学研究的方法和软件使用技能。
-
国土空间规划背景下“城乡规划专业+”融合教学发展研究——以湖北民族大学为例
国土空间规划时代的到来对城乡规划专业的教育提出了新的要求和挑战,更提供了城乡规划专业教育革新的新机遇。本文以湖北民族大学城乡规划专业教学为例,结合湖北民族大学既有的院系和专业设置,探讨了在国土空间规划背景下“城乡规划+”的专业融合发展思路。即构建具有地方办学特色,适合国土空间规划时代发展需要的“城乡规划+”专业融合教学思路与方法,与时俱进,构建湖北民族大学城乡规划专业“+地理科学”、“+环境科学”、“+管理科学”的专业融合发展体系。为国土空间规划背景下的城乡规划专业教学提供参考和借鉴。
-
面向智能建造核心能力的工程管理新工科培养体系构建
在土木工程行业转型升级的背景下,培养工程管理人才的智能建造核心能力是实现行业高质量发展的重要途径。针对传统工程管理课程体系进行合理性评价的调查问卷分析,以揭示智能建造视角下工程管理人才的核心能力;基于 OBE教育理念,以学生为中心,面向智能建造的核心能力培养目标,构建BIM分级能力与课程体系的贯通式整合的逻辑维,集成于贯通培养全过程的时间维,并通过组织维提供实施保障体系,实现三位一体的工程管理新工科培养体系。调研分析表明,传统课程体系在智能建造能力培养中的主要短板是核心专业知识和技能不突出;基于BIM核心能力的产学研用一体化培养体系,通过建筑工程可持续与碳排放优化、木拱廊桥的数字孪生与防火管理的实践,学生不仅达成了常规专项应用的BIM中端能力,并基于一模到底的BIM整合应用,达成了BIM高端能力,显著提升了毕业生的适岗能力和创新精神。
-
城市地下空间工程专业人才需求及办学要求的调查研究 ——基于毕业生视角
刘乃飞, 宋战平, 丁建文, 郑 方, 张玉伟, 许健, 张林锋
为满足城市地下空间工程专业高素质人才培养需求,西安建筑科技大学与东南大学联合调研了毕业生工作情况及其对城市地下空间工程专业的人才需求及办学要求。调研表明:省属本科高校是地下工程行业的主要人才供给源,国有企业是主要就业去向,且业务类型以施工为核心;现行培养方案需优化,实践教学的合理性尚存分歧;行业对建造师和技术员需求突出,同时注重毕业生的综合素质;用人单位高度关注专业对口和职业资格证书,学生干部经历也是重要参考。毕业生职业道德整体表现良好但能力水平分化明显,创新意识也需进一步加强。针对上述问题,高校可从完善培养方案、改进实践教学安排、培养创新意识、强化职业发展支持、优化职业培训体系等方面入手,提升毕业生的职业适应性,以更好地满足行业对人才的需求。
-
高校水文学原理课程思政教学设计及提升路径研究
以水文与水资源工程专业的水文学原理课程思政教学为例,围绕专业知识能力培养与思政教育,从培养唯物辩证法思维、弘扬民族优秀文化和激发爱国主义情怀、倡导胸怀天下和情系民生的责任意识、激发科技报国的责任感和使命感、塑造新时代创新求实精神等方面进行课程思政总体设计,从立德树人理念、课堂教学、思政案例库建设、教师、学生等方面进行思政教学效果提升的教学研究和实践,研究结果有助于水文学原理课程思政教学的组织和实施,有助于大学生专业知识教育与思政教育的有机融合,对提高水文学原理课程思政的育人效果具有重要作用,可为高校水文学原理及其他课程的思政教学活动开展提供有益参考。
-
课程思政建设背景下城乡规划专业课程教学模式改革路径研究——以《城乡基础设施规划》课程为例
课程思政建设是提高城乡规划专业人才培养质量的重要途径,需与专业教学体系深度融合,以满足新时代城乡高质量发展的需求。以城乡规划专业核心课程《城乡基础设施规划》为例,系统分析当前专业课程教学中存在的内容更新滞后、教学模式单一、考核方式局限等问题,并基于课程思政建设背景,提出以课程基础、课程深化、课程拓展、课程报告4个模块为核心的教学改革路径。通过构建系统化的专业知识传授与思想政治教育融合模式,实现两者的协同统一,从而有效提高学生的专业综合能力与社会责任意识,为培养具备专业素养、家国情怀和实践能力的复合型城乡规划人才提供理论参考与实践经验。
-
基于CiteSpace对土力学教学领域研究知识图谱可视化分析
本文基于CiteSpace文献计量方法,对2004-2025年国内土力学课程教学领域的378篇研究文献进行了系统性分析。研究结果表明:土力学教学领略的年度发文量随着教育信息化建设的推进呈现突破性增长态势,这一发展趋势与我国高等教育深化改革进程及现代教育技术应用普及程度具有显著相关性;通过关键词共现和聚类分析发现,土力学教学研究热点经历了从教学方法改革向课程思政与新工科建设的转型;然而,通过研究机构间和作者合作共现关系显示机构合作网络松散,尚未形成核心作者群。本研究通过知识图谱分析,系统梳理了土力学课程教学的研究脉络,为未来教学改革和学科发展提供了理论参考和实践指导。
-
城乡规划中多学科融合的问题、成因及对策
我国城乡规划正在历经由单纯物质空间设计向综合整体性设计的模式转变,日渐重视多学科融合的知识体系建构与实践项目操作。从规划现实与教育理论两个维度出发,阐述了当前城乡规划中的学科融合在学科认同、学科话语、高校教学、实际效用等方面存在的问题,进而判断其并没有达到真正学科融合的阶段,而其成因主要在于专业知识、体制机制、学科自身这三重壁垒的限制。在此分析基础上,提出了强化学科合作、清扫制度障碍、识别并稳固学科内核与价值等优化策略,以期为规划领域的学科融合走向正轨提供参考建议。
-
在建筑特色社会大课堂讲“大思政课”的系统省思?
“大地标”“大规划”“大振兴”是思想政治教育的重要实物、实存与实证资源,在以此为基础构筑的社会大课堂中讲“大思政课”,是把新时代伟大变革融入思想政治教育的应有之义、推动“大思政课”内涵式建设的现实需要和培养德智体美劳全面发展的建筑人才的时代需要。通过深入挖掘“大地标”“大规划”“大振兴”蕴含的思想政治教育元素,明确构筑建筑特色社会大课堂的实践理路,从知、信、行三个维度向学生供给有时代感、参与感和获得感的“大思政课”。坚持系统思维,深度推进社会场域与学校场域、现实空间与网络空间、虚拟空间、教师主导性与学生主体性之间的协同联动,促进思政小课堂与社会大课堂的有机衔接,优化思想政治教育的系统运行而最大限度地实现“大思政课”的育人功效。
-
新工科背景下土木工程专业课程改革与实践——以《桥梁抗震设计》课程为例
针对传统《桥梁抗震设计》课程中存在的学习自主性差、创新意识薄弱等问题,以“新工科+OBE+课程思政”为导向,从“学生-教师-企业”三维主体出发聚焦需求,构建“理论教学-工程伦理-产教融合-创新实践”四维体系。通过整合抗震技术前沿、采用多元教学及考核模式、深度探索“思政融合+科教融合+产教融合”的“三融合”人才培养模式,实现知识传授与价值引领的同频共振。实践表明,课程教学质量与学生创新能力实现有效提升,可为土木工程专业新工科人才培养提供了有效的实践路径与借鉴。
-
铸牢大学生中华民族共同体意识的影响因素分析及对策
百年变局加速演进态势下,铸牢大学生群体的中华民族共同体意识已成为维护总体国家安全的重要实践性议题。当今国内外环境复杂多变,安全风险更加隐蔽且棘手,从总体国家安全视角看,现代化、全球化演进带来的西方文化价值冲击、国家之间势力均衡和地缘政治利益博弈给青年一代带来的潜在威胁,以及现代科技迭代加速发展带来的无边界空间冲击着大学生中华民族共同体意识的稳固,威胁国家与民族核心价值的牢固。新时代大学生树立正确的国家观与民族观,已成为当前铸牢中华民族共同体意识工作的现实所需。铸牢大学生中华民族共同体意识需结合当代大学生的思维特点和认知规律性特征,将国家安全战略需求转化为教育实践的内在逻辑,创新教学内容,探索全场景浸润式教育范式,构建长效机制,培育既扎根文化传统又具备国际视野的中华民族共同体守护者。
-
校园招聘情境下建筑类企业雇主价值主张模型构建及优化策略
作为国民经济支柱,建筑行业在吸纳就业与服务区域经济的同时,正处于向智能化、绿色化、数字化转型的关键阶段,亦面临着人才外流至体制内及其他热门行业的现实挑战。在此背景下,校园招聘成为建筑企业破解人才困局的首要渠道。本文聚焦建筑企业人力资源管理者和应届毕业生,直面经济结构转型与多元就业选择(如考公考编热、互联网大厂吸引力)对土木类专业学生择业观的深刻影响,运用NVivo12软件进行质性分析,旨在深入剖析新时代背景下该群体就业价值取向的矛盾与张力。研究不仅梳理了其多元化取向,更紧密结合建筑行业的岗位特征与现实困境,构建了兼具行业特殊性与时代回应性的校园招聘雇主价值主张(EVP)模型。据此提出的应用策略,致力于帮助企业在激烈的人才竞争中实现差异化破局,提升招聘效能,最终实现组织转型目标与个体职业价值的内在统一。
-
三位一体融合教学模式对土力学课程效果的协同影响研究
在新工科建设背景下,针对土力学课程存在的知识碎片化、成绩两极分化及教学效率低下等问题,本研究构建“课程思政-线上平台-知识图谱”三位一体融合教学模式,并以天津某高校2020-2022级土木工程专业学生为样本开展实证分析。研究发现:(1)该模式显著优化课程成效,2022级均分达75.11分,较2020级提升18.5%,标准差由18.52降至13.47,变异系数降低11.3个百分点,实现从“低均分+高离散”向“中等均分+低离散”的转型;(2)协同机制驱动教育公平与学习效能双提升:课程思政强化价值引领,线上平台破解课时瓶颈,知识图谱构建系统认知框架,促使低分群体进步明显;(3)基于数据拟合预测2023级均分超80分、标准差趋近12,验证模式可持续性,为新工科同类课程提供可复用的结构化改革路径。
-
从助教要素出发探索研究生助教工作的实践路径
在借鉴教学要素论基本理念的基础上,研究构建了一个涵盖四个层次的研究生助教要素体系结构,并系统梳理出助教工作的六个关键环节,即职责设定、人员选聘、岗前培训、津贴保障、绩效考核与日常管理。围绕该四层次要素框架,深入阐释了各层级之间的逻辑关系与功能定位,明确了助教工作体系的理论基础与运行机制。以重庆大学研究生助教制度的实践为案例,探索构建具有校本特色的助教运行体系,在助教环境优化、运行机制完善与管理模式创新等方面进行了具体阐述,展示了该体系在提升教学质量、增强教学支持能力以及促进研究生综合发展方面的实际成效。研究表明,科学合理的助教要素体系有助于推动高校助教制度的规范化建设与高效运行,为高校教学辅助力量的有效组织与管理提供了可复制的经验路径。研究成果对于深化高校教学管理改革、提升研究生培养质量具有一定的理论价值与实践意义。
-
“专创融合”理念下的BIM课程教学改革
开展专业教育与创新创业教育融合,是建立创新型国家的需要,是高等教育深化改革的表现,是落实以创业带动就业的重要措施。BIM课程的专业知识与创新创业课程交叉融合,课程成果可以运用到其它教学环节中,课程专业实践性强,是实现“专创融合”的代表性课程。“专创融合”的教学模式是建筑行业向智能建造转型、信息社会推动教育变革、缓解BIM人才缺口及课程自身技术迭代的必然要求。在教学实施路径中,提出教学目标要突出培养学生的自学能力,以应对知识爆炸与技术更新;教学内容要全过程贯穿创新创业理念,以响应产业变革与价值创造;教学手段要提倡统一化和个性化,以平衡标准要求与多元发展;评价体系推行课前-课中-课后过程性综合评价,辅以证书、竞赛实现增值。
-
基于数字孪生技术的土木工程材料课程教学模式研究
在新工科快速发展的背景下,传统教学模式已无法满足大学生对于知识高速更新的需求,本科教学对研究型教学内容的需求愈发强烈。同时,随着信息技术的飞速发展,单一板书教学较难引起学生的学习兴趣,而线上线下相结合的教学模式可以更好地提升教学质量。目前,大数据人工智能快速发展给出了传统教学模式的新型改良思路。通过将数字孪生技术与土木工程材料课程教学紧密结合,构建了教学过程中涉及的经典材料数字孪生模型,并结合物联网和云端技术,打造了土木工程材料数字孪生模型-师生互动平台,提出了土木工程材料课程数字孪生个性化学习新模式。通过此模式可以激发学生学习土木工材料课程的兴趣,并提升其在软件操作、人机交互、师生互动等方面的综合能力,具有重大的研究及实践意义。
-
基于科学+工程+人文融合理念的岩土工程研究生教育模式重构研究
面向新工科战略发展要求,传统岩土工程研究生教育模式在学科融合、能力建构与价值引导方面存在显著滞后,难以满足新时代复合型人才培养需求。本文基于“科学+工程+人文”三维融合理念,系统构建以课程体系优化、科研能力协同培养、多导师联合育人为核心支撑的教育重构路径。研究依托福州大学改革实践,推动模块化课程结构、多元科研训练机制及跨学科导师机制协同运行,强化学生基础理论、工程实践与社会责任能力。通过教学内容联动、科研平台整合与协同育人机制重构,提升研究生跨学科协作能力与工程创新水平。数据表明,该教育模式在课程结构开放性、科研成果转化率与育人效果等方面实现显著提升,对工科研究生教育范式转型具有较强的借鉴意义与推广价值。
-
“新工科”背景下土木类研究生绿色人才培养模式创新研究
为了应对全球气候变化加剧,推进社会绿色低碳发展,新工科建设对土木类研究生绿色人才培养也提出更高的要求。针对当前土木类研究生培养体系中存在的绿色低碳内容碎片化、实践教学薄弱、评价体系单一等问题,以“新工科”理念为指导,系统探索了土木工程研究生绿色人才培养创新路径。通过分析现有课程体系在绿色建筑设计、可持续材料应用以及碳排放评估与管理等方面的不足,提出基于建筑信息模型(Building Information Modeling, BIM)技术和生命周期评价(Life Cycle Assessment,LCA)课程体系重构策略,强调跨学科融合与项目式实践教学模式。研究构建“理论-工具-项目”的递进式培养框架,结合校企合作机制与多元化评价体系,以提升学生的绿色低碳设计能力、工具应用水平及跨学科协作能力。此外,提出了持续改进机制以保障人才培养质量,为土木工程领域输送具备绿色意识与实践能力的复合型人才提供理论与实践参考。
-
教育强国视域下地方行业高校研究生分类培养现实困境与改革路径
高等教育作为实现教育强国战略的强有力支撑,是助力我国基础科学研究和重大工程技术突破的重要策源地。高校研究生分类培养是实现和满足学生知识获取多元化、能力塑造专业化的重要举措。但由于当前高校对于学术型和专业型研究生的课程体系、培养模式以及评价方式等要求同质化现象明显,加之导师队伍尤其是双导师队伍建设相对滞后,制约了研究生的个性化发展和分类培养效果。针对上述问题,基于教育强国视域分析了地方行业高校研究生分类培养的现状和困境,并针对如何提高分类培养质量给出了改革建议。
-
数字赋能川渝民族地区红色基因传承 ——思政课程创新与实践路径研究
新时代思政教育改革不断深化,数字技术的快速发展为川渝地区红色文化基因传承提供了创新路径。以川渝地区极具代表性的红色历史纪念建筑为核心载[1]体作为契入点,探讨如何利用数字化手段活化显性红色文化符号,赋能思政课程体系创新与实践转型。主要技术点为:通过“数字资源赋能—数字混合课程包—多方实践育人”三位一体思政课程改革路径,构建以数字红色历史建筑为节点的区域性数字资源库,推动教学素材立体化建设;开发“线上沉浸+线下实践”,打造混合式数字课程模块,增强学生对红色文化价值认同;依托数字化平台建立“校地协同”实践机制,延伸思政教育场景。实践证明,数字赋能不仅提升了红色基因传承的覆盖度与感染力,更通过技术逻辑与教育逻辑的深度融合,为民族地区思政教育的高质量发展提供了新路径。
-
大学生科研训练项目指导策略初探——以建筑大类为例
随着高校教育方式探索的深化改革,一系列有助于提升大学生创新实践能力的途径被提出。大学生科研训练项目旨在帮助学生养成严谨的科学态度、树立良好的创新意识以及培养团队合作精神,其已成为当下深化高等教育改革的重要举措。然而,建筑大类学科因其文理兼容、学科交叉、尺度多元、实践导向等特征,在大学生科研训练项目指导策略上具备其特殊性。文章对建筑大类的大学生科研训练项目开展问题分析,从选题设置、内容实施、能力培养、创新意识、兴趣探索等方面指出教学优化策略,并选取三个典型项目开展实证分析和比较研究,以期对建筑大类的大学生科研训练项目指导策略有所助益。
-
研究性思维与建筑学设计类课程融合的思辨及路径
研究性思维在建筑学设计类课程中的引入有助于系统提升学生的问题意识、批判性思维与创新能力。以往研究多从理论分析出发,缺乏对多主体反馈的实证研究及对未来融合路径的进一步探讨。回溯了建筑学设计类课程中对设计性思维及研究性思维的训练,探讨两种思维融合的可能。采用半结构化访谈,对某建筑学院的教师、毕业生及在校生进行了调查。在此基础上,提出在建筑学本科大二第一学期和大四第二学期设置研究性思维训练,推动“设计中的研究”培养模块,以实现从基础培养到毕业设计的研究性能力的递进发展。
-
人工智能技术背景下的低碳建筑设计人才培养模式研究
在人工智能(Artificial Intelligence,AI)技术与“双碳”战略深度交融的背景下,建筑行业迫切需求“低碳+智能”复合型人才,建筑教育也需随之更新,从课程体系、教学方法和师资力量等方面实现系统升级。本研究以建筑学本科教育为对象,围绕知识、能力与素质三个教学目标,构建由理论知识与政策、低碳技术与工具、智能设计与建造、综合设计与实践四大模块组成的课程体系。针对设计课、理论课与实践环节的特点,提出引入智能化教学工具、推进项目制教学模式和搭建虚实融合教学场景的改革思路,并通过跨领域师资队伍建设、软硬件一体化资源剑圣和分层递进的改革路径加以实施。教学案例的应用验证了该模式的实践成效,为建筑学专业培养契合可持续发展与智能化转型需求的人才提供了理论支撑与实践框架。
-
工程管理类专业学生数智素养提升的课程改革与实践探索
数字化、智能化、信息化是助推国家科技创新战略、推动教育现代化建设、培养拔尖创新人才的重要手段,数智能力成为了各个领域专业人才面向未来发展的必备技能。然而,受限于当前人才培养计划对数智素养培养目标不清晰、交叉课程体系建设不完善、数字化教学资源建设不充分、数字教育重硬件轻内容等问题,高等教育难以快速、精准地输送行业所需的新型数智人才。本文以工程管理类专业人才培养为背景,为缓解行业发展需求和人才培养现状之间的供需错配,将数智技术作为教育教学改革的着力点,提出学生数智素养内涵,并以此为核心抓手,构建了交叉融合的课程体系、项目制教学模式、优质科研成果向教学资源转化“三位一体”课程改革新范式。
-
中国共产党百年奋斗伟大成就融入“原理”课教学探究
中国共产党百年奋斗伟大成就是在马克思主义科学理论的指导下,中国共产党领导广大人民群众通过艰苦卓绝的奋斗而取得的实践成果。伟大成就为新时代思想政治理论课立德树人的时代任务提供了丰富的内容支撑。马克思主义基本原理的知识体系能够有效讲好中国共产党百年奋斗伟大成就,以发展观讲透伟大成就的历史逻辑、以认识论讲深伟大成就的理论逻辑、以群众观讲活伟大成就的实践逻辑。将伟大成就融入马克思主义基本原理课教学内容之中,既能检验马克思主义基本原理的科学性与发展性,也有利于阐明伟大成就的学理性基础,实现伟大成就与马克思主义基本原理的具体的、历史的辩证统一。
-
在产教融合与数智赋能中推动国家级一流本科课程持续建设
河海大学“钢结构”课程贯彻“以人为本、立德树人、突出特色”的统领思想,培养钢结构分析能力与工程设计能力。以学生为中心,加强思想引领;以赋能为目标,推动智慧课程建设;以课堂为中心,践行混合教学理念;以能力为中心,培养“研究性、创新性、综合性”的能力构架。创建了国家级线上线下混合式一流本科课程等优质资源,完成了以国家级规划教材为中心的教材体系。充分应用在线开放课程、智慧课程等资源,采用混合教学模式,融合课内课外教学内容,覆盖教学的3个阶段(课前、课中、课后)、2个维度(师、生)、2个层面(线上、线下)。在32学时线下教学的基础上,教学大纲明确了16学时的线上教学。本课强调在校企协同中推进产教融合与实践育人,充分应用AI技术助力智慧赋能。通过资源建设,形成了8通道的教学输出体系,涵盖了课前、课中、课后的15个教学环节。创建了“研讨-实践-分析”的能力一体化提升体系,将研讨收获(知)融入实践输出(行),通过课堂上的案例分析检验实践输出成果(知行合一),让知行回归课堂,让能力双重升华。
-
地方高校土建类专业研究生教育国际化培养模式的建设与探索
地方高校资源有限,土建类专业实践性强,如何基于现有条件开展土建类工科专业的研究生教育国际化培养一直是地方高校面临的难题。以武汉工程大学土建学院为调研对象,探索地方高校在工科专业研究生培养过程中开展教育国际化改革的实施途径。通过分析地方高校土建类专业研究生教育国际化的培养现状,归纳出当前存在的教育国际化理念落实不全面、教育国际化资源和平台匮乏、跨语言沟通能力不足、工程实践难与国际接轨、人才培养效果缺乏检验标准等问题。立足现有条件,针对性地提出加强研究生国际化培养制度建设、构建研究生教育国际化培养体系,充分挖掘教育资源、推动中外联合培养,创造跨语言环境、强化外语培训,以工程项目为纽带加强国内外合作,量化评价指标、建立长期追踪反馈机制等一系列解决方案。实践表明,上述途径可以解决地方高校开展土建类专业研究生教育国际化培养存在的一些实际问题,使研究生教育与国际接轨,扩充人才培养内涵,提升人才培养质量,促进通晓国内外专业知识、具备国际交流协作能力的高层次专业型人才的培养。所提出的研究生教育国际化培养模式,对其他实践性强的工科专业同样适用,可为地方高校类似专业开展研究生国际化人才培养提供参考。
-
人机协同视域下高校教师复合能力的构成逻辑与发展路径
教育数字化深入推进,人机协同成为高等教育转型的关键驱动力,深刻重塑高校教师的能力结构。本文从基础根源、内在逻辑与实践路径三个层面探讨高校教师复合能力的发展。基础层面回顾技术赋能教育的演变、高等教育现代化战略及教师专业成长机制,厘清能力变革的历史根基;逻辑层面构建“认知——实践——伦理”三维框架,揭示教师角色转型与“技术为人”的价值导向;路径层面提出分层分类培训体系、资源整合平台机制与激励评价制度的优化策略,以推动教师复合能力的提升。研究旨在为高校教师应对数字化教育挑战提供理论依据与实践路径,助力高等教育高质量发展。
-
2000年来城乡规划硕博学位论文选题热点与趋势探究 ——基于CiteSpace的图谱量化分析
为深入探究城乡规划领域硕博学位论文的选题热点及其演变趋势,采用CiteSpace可视化文献分析工具,以中国知网学位论文数据库中收录的城乡规划相关硕博学位论文为数据基础,系统开展了关键词共现分析、聚类分析、时间序列分析及突现词探测等多维度研究。通过这一系列科学计量方法,旨在揭示城乡规划硕博学位论文选题的时空分布特征与动态演进规律,为今后学科改革和发展方向提供理论支撑。研究发现,由于城乡规划学科的特殊性,学位论文选题始终以物质空间的为中心,保持着鲜明的学科特色。同时,随着时代的发展,受国家政策、社会需求、学科知识体系创新的影响,城乡规划学硕博论文选题呈现出多角度发散的特征,专题性研究所占比重逐渐增加,以“空间+”为核心的多学科交互作用的趋势愈发明显。
-
人工智能背景下岩土工程学科核心课的升级
人工智能(AI)正广泛应用于土木工程类岩土工程学科领域,打破了传统教学方法的局限性,同时也为学科内涵的革新与人才培养模式的升级提供了新的思路和方法。本文基于岩土工程学科《土动力学及应用》核心课程,系统分析了教学中存在的课程体系滞后、跨学科合作不足、实践脱节等七大问题,并提出AI赋能《土动力学及应用》课程升级基本思路,目标是:(1)构建“AI+岩土”交叉学科课程体系;(2)打造“产学研用”协同培养平台;(3)推行“双导师制”与跨学科团队指导;(4)强化伦理与工程风险教育;(5)建立动态能力评估体系。基于“地震液化分析”案例,探讨了AI赋能对于提升学生解决复杂工程问题能力的有效性。研究表明,该框架可为土木工程领域新工科人才培养提供系统性解决方案,推动学科与行业向智能化转型。
-
地方院校乡村规划设计类研究生人才培养模式改革与创新路径
推进新工科和新农科建设是高等教育响应国家战略需求的关键路径,高度契合乡村振兴、农业农村现代化等战略对乡村规划领域紧缺专业人才的迫切需求。规划教育应积极响应学科优化改革,加强面向乡村规划建设需求的复合型人才培养。地方理工类院校作为区域创新技术人才的重要培养地,在推进乡村规划设计类人才培养体系改革中展现出独特优势。研究通过梳理“工农融合”内涵和乡村规划设计类人才培养目标与要求,揭示在培养方案、理论体系、课程建设、教学模式等四方面的现存问题,指出乡村规划设计类研究生人才培养应立足乡村发展全过程的能力要求,构建“规-建-管-营”能力培养体系。基于OBE理念建立“政产学研”联合教学模式,围绕数字治理、系统思维、技术创新、文化传承以及协同管理五大培养维度,重点从课程建设重构和教学体系优化两方面创新改革,以期实现乡村规划设计高级研究应用型人才培养的供给侧改革,为未来乡村规划设计类本科专业开设与研究生人才培养模式提供参考和借鉴。
-
本科-高职协同构建产教融合共同体的路径研究
本研究旨在探索本科与高职教育协同构建产教融合共同体的路径,以促进教育改革和产业发展的有机结合。通过分析相关政策和实践,明确了本科教育和高职教育各自的特点与优势以及在教育体系中的互补性。长安大学与陕西铁路工程职业技术学院的合作案例提供了实证研究基础,展示了双方在资源共享、课程对接、教师培训和学生交流等方面的协同合作成果。研究结果表明,通过建立有效的合作模式,可以加强本科教育和高职教育之间的联系与互动,实现教育资源的有效整合和优化配置。本研究提出了构建产教融合共同体的框架,强调了政府支持、院校合作、课程创新和实践教学环节加强的重要性。本文的创新之处在于系统地结合本科与高职教育的优势,满足产业发展需求,为轨道交通工程领域的产教融合共同体建设提供了新的视角。这一研究为教育改革的深化提供了参考,并为其他行业或教育领域的类似倡议提供了借鉴。
-
国际工程教育期刊近二十年知识图谱 ——基于《Journal of Engineering Education》的文献计量分析
以SSCI期刊《Journal of Engineering Education》2004-2024年合计21年所载文献为研究对象,利用Citespace与VOSviewer两款软件进行文献计量学和知识图谱可视化分析,选取研究机构、作者、关键词、研究热点前沿作为关键变量,研究发现国外工程教育核心研究机构主要集中于工程学院及工程教育学院,发文量较多的作者大部分具有理工科复合背景,其中美国研究机构在本领域期刊的论文发文数量呈现显著优势,通过聚类分析发现有以下九大聚类:问题导向型学习、学术归属感、概念化学习、虚拟仿真实验平台、工程问题解决能力、性别影响因素、能力测评工具、工程职业素养、主动式学习,基于系统化的文献计量分析,绘制了工程教育研究的知识图谱,揭示了该领域的知识结构与研究热点分布。研究得出三条结论:美国工程教育体系的变革与其工业化进程存在关联,需深入考察国际工程教育典范案例的运行机制;现有研究在工程教育认识论与方法论层面日趋增多,说明工程教育研究已逐步达成系统化研究;在研究热点方面未来应着重拓展工程教育中的伦理与社会维度及社会心理因素相关研究。
-
面向新工科的岩石力学实验课程教学改革探索
在新工科建设的背景下,岩石力学实验教学作为培养本科生探索与实践能力的重要环节,面临教学内容与工程实际需求结合不紧密、岩石采集与试样制备环节缺失、教学手段单一等问题。为此,提出了一套岩石力学实验课程的教学改革方案,包括以下三方面:(1) 将课程内容与实际工程案例结合,通过案例教学方式增强课程的实用性,激发学生的探索欲与求知欲;(2) 线上与线下教学相结合,依托高校建立网络课堂,并邀请工程项目负责人授课,以丰富教学资源;(3) 引入人工智能数据处理方法,提升实验数据分析效率与准确性。该改革方案已在河海大学地质工程专业本科生岩石力学实验课程中实施,取得了显著的教学效果,有效激发了学生的学习兴趣,提升了其解决实际问题的能力,为培养具有创新精神的复合型人才提供了重要支持。
-
产教融合“中法合作办学项目”的特色优势和在地化改进路径
在研究生培养体系改革的背景下,"双一流"高校如何通过产教融合培养高水平专业学位研究生,成为其未来发展的重点任务之一。本文借鉴法国工程师培养体系,构建了包含认知实习、研究实习和工程师实习的6.5年中法产教融合培养框架,剖析其精英化培养理念与特色优势。研究表明,该模式通过深度整合教育资源与产业需求,旨在培育兼具国际视野与创新能力的复合型人才。实证数据显示,学生理论实践能力显著提升,职业适应性与创新能力增强,对中法高等教育的双向互动产生积极影响。此外,文章针对当前挑战提出优化建议,包括完善校企协同机制、强化研究性实践环节等,以提升培养质量与效率。研究结果为“双一流”高校产教融合模式的创新提供了理论与实践参考,为专业学位研究生教育改革提供了有益的借鉴与思路。
-
新工科视域下形势与政策课的通识教育功能开发
《教育强国建设规划纲要(2024-2035年)》要求“强化科技教育和人文教育协同”,新工科人才培养亟需价值理性指引、时代意识培育与复合知识结构塑造。形势与政策课作为高校思政教育的关键课程,深入开发其通识教育属性为破解这一难题提供了创新路径。通过师资团队、课程内容、课堂教学、育人生态的融合打造,可以为新工科人才培养提供跨学科知识整合、系统性思维训练与价值理性滋养。
-
新工科专业本科毕业设计的思考与实践——以智能建造专业为例
新工科专业是强调实用性、交叉性与综合性的新兴工科专业。毕业设计作为本科教育中培养学生综合能力的重要环节,目前尚缺乏能够全面契合新工科专业人才培养目标的教学模式。本文基于成果导向教育(OBE)理念,探讨了新工科专业本科毕业设计教学模式创新,主要包括设计多学科交叉的毕业设计选题、组织非线性学习的毕业设计过程、形成全方位展示的毕业设计成果等方面。以华中科技大学2024届智能建造专业为例,介绍了这些创新内容及其成效。超过90%的学生对该模式表达了高度认可和积极反馈。通过系统化的训练,智能建造专业学生不仅掌握了相关技术手段,还在创新思维与能力方面得到了显著提升,进一步推动了专业能力的全面发展。本文探索的模式创新为其他新工科专业的毕业设计教学与人才培养提供了有益的参考。
-
融合虚拟仿真教学的智能建造专业毕业设计教学指导创新与探索——以房屋建筑方向为例
随着土木工程和计算机行业的持续发展与交叉,适应建筑工业化需求的智能建造专业应运而生,该专业具有技术融合、贯穿全周期、高度自动化和节能减排等特点。与传统土木工程专业相比,智能建造专业在有限的课时内需要融合土木工程与智能化技术,学生在结构设计方面常存在结构概念不清和实例理解不足的情况。本文结合智能建造专业的特点,为了更好地指导学生高效完成毕业设计,提出创新的教学指导方案:引入装配式建筑结构设计与施工虚拟仿真实验平台,在传统的指导方式中融合虚拟仿真教学,并采用产学合作和协同育人的多维化指导方法,帮助学生搭建系统性框架,梳理清晰的设计流程。通过这一教学改革,帮助学生更好掌握装配式建筑的设计方法与施工流程,确保毕业设计成果达到预期标准。通过实践证明,结合虚拟仿真教学的多维化指导方法对智能建造专业的毕业设计起到了积极促进作用,取得了显著成果,也为今后相关毕设指导提供了宝贵的经验和借鉴。
-
生成式人工智能赋能高校思政课情境教学的机制与路径
生成式人工智能为高校思政课教学改革创新带来重大机遇。高校思政课情境教学植根于情境认知理论,强调学习的情境性、具身性与交互性,对提升教学亲和力、促进学生深度思考与情感共鸣具有重要价值。生成式人工智能通过优化教学情境创设、增强人机交互体验、推动教学模式变革及助力学习共同体建设四方面机制赋能高校思政课情境教学,有力重塑了思政课的教学场景、体验环境、交互情境。为了更好地利用生成式人工智能赋能高校思政课情境教学,需要优化教学情境,推动教学场域深度重构;重视人机交互,增强学生理解认同效果;构建智慧情境,提高教学模式育人实效;助力共进共创,建设协作型学习共同体。
-
生成式人工智能驱动的智能建造跨学科教育模式创新探索—以武汉大学为例
面对智能建造领域技术迭代加速的现实,传统工程教育体系暴露出诸多短板,难以满足行业对复合型人才的迫切需求。生成式人工智能(GAI)凭借其强大的数据挖掘与分析能力、高度灵活的内容生成能力以及卓越的智能交互特性,为高校教育模式变革提供了新的可能性。以武汉大学智能建造教育改革实践为例,结合大模型技术支撑的学科交叉生态,系统探讨了GAI重塑教育模式的创新途径,分析了GAI在应用过程中可能引发的潜在风险与挑战,并有针对性地提出了相应的应对策略。旨在推动智能建造教育领域的范式转换,促进建筑工程教育向智能化、高效化的方向深入发展。
-
钢筋混凝土结构实验虚拟仿真及线上线下混合式教学
针对钢筋混凝土结构实验教学中存在的实体实验时空受限、高危操作难开展、全过程学习割裂等痛点,研究开发具有“高保真沉浸环境、精细化流程仿真、智能化数据验证”三重特征的"钢筋混凝土结构受力破坏虚拟仿真实验平台",将虚拟技术优势与教育认知理论深度嵌合,实现递进式教学、启发式教学、探究式教学等先进教学模式。首创并系统实施了深度融合虚拟仿真技术的线上线下混合教学,成功突破了传统实体实验教学的固有范式。实证表明,该模式有效破解传统实验局限性,显著提升学生自主探究力与问题解析力,并通过虚实体感互驱机制深化原理认知深度,为土木工程实践教学提供可迁移的数字化转型路径。
-
产教融合背景下土木工程专业课程改革探索—以“沥青与沥青混合料”课程为例
土木工程是一门理论与实践相结合的学科,面向产业升级和技术进步的需要,与企业协同强化培养学生的工程实践能力,是产教融合背景下土木工程人才培养的必然选择。以“沥青与沥青混合料”课程为例,从课程大纲修订、教学内容优化、教学方法设计、评价方式革新等方面,探索了产教融合型课程的改革措施。在教学内容方面,通过课程内容与行业发展同步更新、实践内容与专业知识紧密融合、产学研项目与工程案例有效转化等方式,构建了产学研创多方协同的专业课程内容。在教学方法方面,建立了“学做创”一体化教学创新模式,从“知识学习、技能训练、双创能力”等三方面,提升了学生分析解决复杂问题的能力和素养。在课程考核方面,建立了“三级”实践能力的考核体系,强化了实践过程和能力的评价。相关成果可为其他课程的改革提供参考。
-
问题导向的模块化教学赋能理论课程建设与实践——以东西方园林史课程为例
当前高校的理论类教学存在着课程内容僵化、教学方法单一和考评形式有限等问题,推进问题导向的模块化教学赋能理论课程建设与实践是一种创新探索。以东西方园林史课程为例,分析了问题导向的模块化教学赋能课程建设的实现路径,包括基于教学设计,深化知识体系;基于教学过程,改进教学组织;基于教学质量,完善评价机制。继而,通过更新教学目标,优化教学内容,重构教学模式,调整考评体系,拓展课程关联,进行了问题导向的模块化教学赋能课程建设和实践,逐步培养了学生的思辨能力、设计能力和写作能力,为科学研究和实践创新奠定基础,形成了符合“新工科”背景下高校理论课程需求的教学策略,对进一步深化传统工科理论教育教学改革探索具有重要意义和参考价值。
-
OBE理念下地方应用型高校钢结构课程教学改革探索
土木工程专业基础课程—钢结构课堂教学改革是地方应用型高校行业立足的根本之一。本文基于成果导向教育(OBE)理念,结合地方应用型高校办学历史和现状等因素,分析总结了目前该类高校钢结构课程教学现状—“高精”教师少、“杂薄”学生泛;基础课程“差”、专业课程“难”;教学理念“旧”、学习兴趣“低”;课堂专业“重”、特色育人“轻”,提出了课程教学改革的基本原则—办学理念系统更新、教师学习常学常新、教学方法务实风趣、专业育人创新有效,并以所在学校钢结构课程为例,详述了本课程教学改革的基本思路。
-
高校教师数字素养研究综述
随着我国教育数字化转型工作的持续推进,近年来教师数字素养的培育与提升问题受到广大高校和研究人员的高度重视,高校教师数字素养也逐步成为新时期高校教师发展领域的研究热点之一。有关高校教师数字素养的研究文献呈现出快速增长的趋势,系统回顾总结高校教师数字素养研究的现状,有利于今后更好的开展相关研究与实践工作。以北大中文核心数据库和南大CSSCI数据库2006-2024年刊载的144篇有关高校教师数字素养的高质量文献为研究样本,对高校教师数字素养的研究现状进行了系统回顾和评述。运用可视化文献分析软件CiteSpace从文献数量、研究机构、研究作者等角度分析了高校教师数字素养研究的总体状况,通过关键词聚类分析以及文献梳理,归纳出研究热点主题,通过关键词时间线图谱分析梳理出相关研究的历史演进,最后对未来研究方向进行了展望。研究结果表明:近年来有关高校教师数字素养的文献逐渐增多,尤其是在党的二十大报告中强调要实施教育数字化转型战略后,相关研究显著增加;研究热点主题主要涉及高校教师数字素养的内涵与框架、培育路径、评价与度量以及提升策略四个方面;相关研究的历史演进是一个不断拓展和深化的过程,并呈现出强劲的研究势头。最后,对高校教师数字素养领域未来的研究趋势进行了展望。
-
新工科研究生“五育并举”培养全周期质量评价体系研究
为全面贯彻党的教育方针,促进新工科研究生德智体美劳全面发展,保障研究生“全周期”培养质量得到系统性提升,对新工科研究生培养全周期质量评价体系进行研究。首先,提出全周期质量评价体系的两个目标:落实“五育并举”的理念、实现培养全周期质量评价。接着,通过广泛调研,围绕评价体系的两个目标,设计全周期质量评价体系的5个一级评价指标、8个二级评价指标、34个三级评价指标。然后,基于专家对于34项三级指标重要度的评分结果,采用层次分析法(AHP),确定各三级指标权重。最后,构建新工科研究生“五育并举”培养全周期质量评价体系,为研究生德智体美劳全面培养教育的改革与发展提供依据。
-
地方院校传统工科专业新工科建设机制研究——以山东建筑大学建筑学为例
新工科是一次工程教育范式的变革,要求由“学科导向”转变为“教育产出和成果导向”,以多学科交叉适应新工业革命下的社会需求。本文以地方高校传统工科专业为研究对象和范围,通过综述新工科的顶层理念、内在逻辑和建设模式,借鉴社会学和管理学对于机制体系的概念界定,探索新工科建设的机制体系的构成特征与实施内容,构建由“发展导向—培养流程—育人主体—教育能力—质量保证—师资激励—文化环境”等7个部分构成机制体系框架,以山东建筑大学建筑学为例,简述了各类机制的具体建设内容。
-
基于CiteSpace的《建筑学报》文献研究与趋势分析
以2002-2022年中国知网(CNKI)数据库收录的《建筑学报》3393篇文献为研究对象,借助 CiteSpace工具,开展文献作者和科研机构、关键词、研究热点及前沿等知识图谱分析,以对国内建筑学科研究发展提供参考。研究表明:《建筑学报》刊文量总体随时间波动性增长,研究发展脉络清晰,文献作者相对集中且合作密切度不高,研究机构以建筑“老八校”及其区域关联高等院校合作关系网络为主:研究领域多集中于建筑设计、城市设计、建筑保护、建筑教育等,传统村落、城市更新等成为近年来研究趋势的热点。研究总体呈现出学科内容集中度高、学科交叉融合高以及具有政策导向性的研究特点。
-
有组织科研背景下研究生人才培养的问题与对策
面对全球化竞争和社会需求的日益变化,传统的研究生人才培养模式面临着巨大挑战。如何推动研究生教育与时代发展相适应,培养具有创新能力、社会责任感和国际视野的高层次人才,已成为当前高等教育亟待解决的重大课题。本文基于“党建为引、创新为矢、质量为核”的育人理念,结合重庆大学控制学科相关团队的教学实践,提出“一体+两面+多点”的团队化建设体系,实施有组织团队化的研究生人才培养模式改革,着力解决当前研究生教育中存在的思想政治工作薄弱、创新性不足、质量保障机制不完善等问题。通过构建有组织团队、加强党建引领、创新培养模式等举措,培养研究生的社会责任感和历史使命感,提升研究生的创新思维与实践能力,探索出一条符合中国实际、具有时代特征的研究生教育发展路径。
-
交通强国和“双碳”战略背景下交通工程专业课程教学体系改革探析
在交通强国和“双碳”战略背景下,对交通工程专业课程教学体系建设提出了新的需求。当前教学体系存在教学内容滞后、专业选修课程种类偏少、专业课程设置与就业和深造的衔接不足及缺乏连贯的实践环节等诸多问题。通过借鉴同济大学、东南大学、加州伯克利分校、东京大学四所国内外知名高校的实践探索经验,得到高校课程教学体系改革的启示。并根据交通强国和“双碳”战略背景下对交通工程专业课程教学体系和人才培养目标新的需求,对现有的教学体系进行了细致地优化和调整。构建了涵盖工科素质基础课程、专业主干基础课程、拓宽学科口径课程及促进学科交叉课程四个维度,体系较为完备的专业基础课程。并在此基础上,组成了由智能交通系统工程课程模块组、智能交通基础设施课程模块组、智慧运输与物流课程模块组、个性化模块课程组四大模块组为核心的具有一定广度和深度核心课程体系和灵活多样的选修课体系及连贯的实践环节。
-
土木工程智能建造专业人才培养模式研究
严健, 何川, 晏启祥, 汪波, 方勇, 徐国文, 陈子全, 徐腾飞
在土木工程行业整体升级转型的关键时期,针对“智能建造”专业建设和人才培养模式问题,西南交通大学以土木工程国家一流学科为基础,探索智能建造专业人才培养发展需求趋势和智能建造人才内涵,形成了工程智能建造专业人才培养目标,依托隧道工程智能建造方向人才培养实践,在培养体系、育人机制、课程体系、实践教学体系、教师创新胜任力提升等方面不断实践探索。总结出“土”字形知识结构、“建造为本”核心能力智能建造人才内涵;探索了以优势学科协同智能建造专业培养体系、科教和产教双融合的协同育人机制、基于工程教育认证背景的课程体系、智能元素全过程融入实践体系建设、智慧赋能教师创新胜任力提升和“创新工作室”人才实践能力培养为亮点的人才培养模式,为土木工程智能建造专业人才培养提供了可资借鉴的改革方向与实践经验。
-
地方需求导向下的建筑学专业型硕士研究生设计课程教学改革——以重庆大学研究生一年级城市更新课程为例
在中国城市发展从增量开发向存量优化转变的背景下,城市更新作为推动城市高质量发展的重要手段,已成为当前建筑学设计研究的关注焦点;另一方面,如何培养适应未来城市发展需求的创新型专业人才,也成为当前建筑学专业教育改革的要点。重庆大学建筑城规学院以建筑学专业型硕士研究生城市更新设计课程为对象,针对传统设计课程教学瓶颈,提出以“地方需求”为核心,校地结合、多学科融合的教学改革思路。通过构建以需求和问题为导向的研究性、参与性的设计教学过程,引导学生逐步形成应对复杂城市现象的综合系统思维、专业实践能力和创新意识,从而为其今后的多元化发展提供更多可能。教学改革紧密围绕专业型硕士研究生培养需求,实现了从理论到实践、从单一学科到多学科融合的转变,为建筑教育领域提供了可借鉴的案例。
-
机器学习赋能的混凝土结构基本原理教学探索与实践
《混凝土结构基本原理》的课程教学长期面临知识体系陈旧,教学方法固化,理论与实践等痛点问题,学生学习效率低下且容易丧失兴趣。本文将机器学习与混凝土教学的深度融合,构建了四阶融合的教学新路径:预测建模-构建输入参数与力学响应的非线性映射,突破传统公式的桎梏;解释分析-通过可解释机器学习模型量化变量贡献度,将经验系数转化为物理逻辑的直观表达;规律发现-利用符号回归挖掘兼具精度与可解释性的数学公式,还原科学规律的探索过程;智能设计-基于遗传算法生成多目标均衡方案,实现从人工试错法到智能寻优的跨越。新的教学路径以数据思维重塑知识学习模式,实现从静态规范公式到动态可更新模型;重构教学方法论,实现从单向讲授到师生交互探索;升级能力评价体系,实现从结果考核到过程追踪,最终推动学生从“公式应用者”蜕变为“规律发现者”,为新工科背景下复合型人才培养提供新的思路借鉴。
-
新质生产力下地方高校传统工科专业培养模式创新与实践——以自动化专业为例
新质生产力作为推动我国经济社会转型升级的重要力量,其核心在于科技创新,而创新人才则是这一进程中的关键驱动力。地方高校传统工科专业,作为培养未来工程技术人才的重要基地,如何在新质生产力的浪潮中,孕育出更多具备创新思维与实践能力的新型人才,是其实现内涵式发展的关键。本文深入剖析了当前工科专业本科生创新能力培养面临的挑战,提出了“多维拓展、多阶递进、多科融合、多元协同”的复合交叉型创新人才培养模式,旨在为国家与地方经济的产业升级和新质生产力发展提供坚实的人才支撑。
-
人工智能在土木工程教学改革中的应用与前景
本文旨在深入探索人工智能在土木工程教学改革中的应用与前景。通过对当前土木工程教学现状的分析,文章提出人工智能技术在提高教学效率、优化教学资源配置、实现个性化教学等方面具有巨大潜力。文中详细阐述了人工智能在虚拟仿真、智能评估、智能设计等领域的应用实践,并展望了其在土木工程教学中的未来发展趋势。人工智能技术的应用不仅能提升学生的学习体验,还有助于培养具备创新能力和实践精神的高素质土木工程人才。同时,文章也指出了人工智能技术在应用中可能面临的挑战和问题,并提出了相应的解决策略。整体而言,本文为土木工程教学改革提供了新的思路和方法,对推动土木工程教育的创新与发展具有重要意义。
-
工程管理专业毕业生就业调查及对比研究——基于过去10年的数据
近年来受经济下行、房地产和建筑行业不景气的影响,一些高校大学生特别是工程管理相关专业的学生对就业前景产生了怀疑。为了给工程管理专业在校学生提供就业指导,本文以重庆工商大学工程管理专业毕业生和川渝地区部分工程管理用人单位为调查对象,深入调查了解重庆工商大学2003级到2020级工程管理毕业生就业情况及企业人才需求现状,并运用SPSS软件工具对调查结果进行了分析。本次调查的结论可以为工程管理专业在校大学生提供一些就业指导建议,有助于引导学生加强与就业有关的专业能力,提高工程管理专业学生的核心竞争力,也有利于房地产和建筑相关企业调整用人需求,加强校企深度合作和商工融合,同时也为毕业生提供更多就业机会,实现高校与企业的互利共赢。
-
基于CiteSpace知识图谱的建筑类研究生教学演进特征研究
教学研究是一种主动探索性的教学活动,其目的是发现教学规律、方法、成效,以及研究如何解决教学过程中存在的重大问题。一定时期内的教学研究反映了当时的教学状态、水平和最引人关注的问题。研究以中国知网中建筑类研究生教学研究的期刊文献为对象,采用文献计量方法,结合CiteSpace绘制的知识图谱,对研究热点、研究主题、作者与机构、学科发展进行综合分析,剖析建筑类研究生教学的演进规律及发展趋势,通过综合判断提出对未来研究的展望,以期为建筑类研究生教学方法的变革提供必要依据与启发,对于探索适应当前社会经济环境条件下的教学模式、提高我国建筑类研究生教学质量、推动建筑类学科发展有重要意义。
-
工科研究生拔尖创新人才培养共同体的构建:理念变革与路径创新
党的二十大和二十届三中全会提出统筹推进教育科技人才体制机制一体改革战略,以及新时代的建设和发展对工科研究生拔尖创新人才培养质量提出了更高要求,给研究生教育带来了新的使命、机遇和挑战。为进一步加快实施创新驱动发展战略,党的二十大报告明确提出了“加强基础研究,突出原创,增强自主创新能力”的拔尖创新人才培养目标。以土木工程学科为例,针对我国工科现有人才培养模式存在“培养过程衔接性差、自主创新能力不强、人才培养质量不高”的诸多问题,形成以实现拔尖创新人才终极目标的培养理念;基于工科拔尖创新人才的特质、内涵,从“管理者、执行者、受益者”的视角出发,立足服务国家创新驱动发展战略,建构了“政府层面、学校层面、研究生层面”三位一体拔尖创新人才培养共同体的实施路径,以期为新时代工程技术拔尖创新人才培养共同体提供新思路、新范式和新路径。
-
学科交叉融合背景下土建类研究生培养模式探索
以智能化为核心的第四次工业革命正推动土建行业向智能化、绿色化、信息化方向转型升级,土建类高校以单一学科为支点的传统研究生培养模式已无法满足行业对复合多元型人才的需求。西安建筑科技大学探索形成依托“建筑科技”学科链群的学科交叉研究生培养模式,提出“智能+、绿色+、健康+、国际+”的研究生培养转型方向,搭建“前沿、行业、地方”三类研究生培养平台,引导组建学科交叉导师组,创新学科交叉研究生全周期培养制度体系,进而提出土建类高校开展学科交叉研究生培养的改革路径和实施举措。
-
DeepSeek对教育范式的变革与影响
生成式人工智能(GAI)技术正在重新定义教育领域的教学与学习方式。自OpenAI发布ChatGPT以来,GAI技术快速发展,应用场景逐渐从文本生成扩展到更复杂的推理与创作。中国深度求索公司推出的DeepSeek模型进一步推动了这一技术在教育中的应用。DeepSeek通过优化推理流程、提高计算效率、提供个性化学习路径,突破了传统教育模式的局限,促进了教育理念的转型。从知识传授向能力培养、从标准化教育向个性化教育转变,DeepSeek不仅推动了教学内容和方法的创新,还促进了教育公平和个性化教学的实现。然而,随着技术的快速发展,教育领域面临诸多风险,包括知识准确性、隐性偏见、数据隐私和学生自主学习能力等方面的问题。本文探讨了DeepSeek在教育变革中的潜力与挑战,分析其在推动教育理念和教学模式重塑过程中的优势与风险,并提出相应的应对策略。最后,强调教育机构、教师和技术供应商的合作,确保AI技术在推动教育数字化转型的同时,保持人文关怀与教育目标的完整性,以培养具备创新能力、批判性思维和社会责任感的未来公民。
-
Deepseek应用背景下教师角色重构路径研究
随着Deepseek的开源,生成式AI(Generative AI)得以普及,其凭借其强大的数据处理与内容生成能力,正在重新塑造教育生态。在生成式AI工具的辅助下,学生的学习需求和方式发生了变化。他们具备了一定的自主学习能力,教师的传统授课职能逐渐淡化。生成式AI技术的应用不仅为教育带来了技术性变革,还推动了教育理念的深刻变化,传统的“教书”观念逐渐不再适用。在这样的新型教育背景下,作为教学过程的关键环节,教师角色转型成为必然。然而,生成式AI在教育领域仍属于新兴技术,当前教师角色转型面临的主要挑战包括技术素养不足、传统教育理念的制约以及个性化教学实施的困难。 为应对这些挑战,本文针对教师角色重构的路径进行研究。首先,教师需要提升技术素养,熟练掌握生成式AI工具的应用,提高自身工作效率,能够结合生成式AI技术生成多样教学内容;其次,教师应转变教育理念,强调学生思维能力和创新能力的培养,回归立德树人的教育本质;同时,教师应该创新教学方法,提升教学效果,结合个性化教学手段,实现因材施教;最后,教师需保持持续学习和交流,不断创新教学内容和方法,以适应教育环境的不断变化。 本文研究教师角色重构路径与实践策略来帮助教师有效应对生成式AI带来的挑战,推动教育理念和教学方法的更新。这将为教育的未来发展奠定坚实基础,促进学生的全面成长与创新能力的提升。
-
“人工智能+”时代工科科教融合协同育人的探索与思考——以土木工程学科为例
在“人工智能+”(AI+)时代背景下,工科教育亟需与时俱进,紧密结合技术发展的步伐,推动工科教育实现智慧化转型,从而为社会培育出更多具备实用技能和创新精神的人才。以土木工程学科为例,新技术的不断涌现不仅为传统土木工程学科注入了新的生机与活力,需要重新审视并思考其与AI技术的融合应用。本文分别从传统土木工程学科内部的AI应用,以及土木工程与其他学科交叉领域的AI应用这两个维度,深入阐述了AI在土木工程学科中的发展与应用情况。这不仅为土木工程与AI的跨界合作提供了宝贵的思路,也为新时代土木工程科教融合协同育人的实践探索提供了参考方向。此外,本文还针对新时代土木工程科教融合协同育人的现状进行了深入探索与思考,对现存问题进行剖析,提出了相应的对策与建议。研究成果不仅为土木工程学科教育政策制定者、高校管理者以及一线教育工作者提供了决策参考,更有助于我国土木工程教育事业在新时代背景下,为国家新质生产力的构建提供持续不断的创新动力。同时,这些经验和启示也为“AI+”时代其他工科科教融合协同育人的实践提供了重要的参考和借鉴。
-
人工智能赋能高校思想政治教育精准化发展的价值、风险及应对
思想政治教育精准化是新时代高校思想政治教育发展的新样态。人工智能赋能高校思想政治教育精准化发展,可以实现教育过程的精准把控、教育对象的精准把握、教育实效的精准提升。但在客观上造成目标与定位偏离、引导功能弱化、情感属性消解等。要明晰价值导向作用、提升实践育人功能、发展人机协同教育、推动智能平台发展、匡正伦理失范问题,积极应对人工智能赋能精准思政的潜在风险。
-
高校环境美育类通识课程建设路径
环境教育是培养生态文明人才的重要手段,环境审美教育是健全深化环境教育的关键抓手,通识课程是有效途径。本文面向新时代教育发展需求,立足综合育人理念与环境美育哲学思想,厘清高校环境美育课程的目标与瓶颈,以《疗愈性环境》课程实践为启发与示例,探究高校环境美育类通识课程的范式、建构路径与价值意义。
-
设计型博士培养模式在欧盟高等建筑教育中的改革历史与经验
近年来,在高等教育系统中设立“设计型博士”(PbD)培养路径的欧盟院校数量不断增加,逐步形成了教研交流的国际化网络。为理解这一博士培养的新范式,本文以欧盟的建筑学博士教育改革为例,通过综述该地区多所高等院校在不同历史阶段的相关博士招生章程、培养手册、教改论文等文献,将新兴博士培养路径与传统的博士培养路径进行了比较,阐明了PbD路径在招生条件、教学过程和成果评价方面的创新特征,梳理了这一博士培养新范式的发展历程和现阶段有代表性的教学实践架构,指出设计类博士培养路径的改革是对科学认识论转向和人居环境问题复杂化的现实回应。对欧盟院校设计型博士培养改革的经验探讨,能够作为他山之石,为我国新时期的建筑学博士教育提供可借鉴的转型经验。
-
与时俱进的结构工程:结构概念设计与建筑艺术融合的海外教学实践
同济大学土木工程学院致力于培养具有全球胜任力的社会栋梁和专业菁英,积极开展国际交流与合作。2024年7月,学院在西班牙马德里和巴塞罗那开展了“西班牙土木工程探索夏令营”暑期学校项目,旨在通过“基于结构概念设计与建筑艺术”的主题,提升本科生在实践创新方面的能力。项目采用文献研读、讲座汇报、实地考察、跨文化交流等多种方式,让学生深入了解西班牙的人文风情,近距离感受建筑艺术之美。学生们在马德里理工大学和加泰罗尼亚理工大学学习前沿科技与建筑实践相结合的课程,参观圣家堂、巴特罗之家、米拉之家等标志性建筑,感受建筑美学和设计理念,并提升跨文化沟通能力。项目取得显著成果,学生们对土木工程的前沿技术有了更深入的了解,加深了对专业的理解,并提升了团队协作能力和国际视野。项目也总结了改进措施,例如加强前期准备工作、增加与教授的互动、丰富研学形式等,以期进一步提升项目的效果。
-
适应新形势的《桥梁工程》教材建设
《桥梁工程》课程是我国土木工程(交通土建或路桥方向)、道路工程和桥梁与渡河工程等专业的主干课程之一。课堂教学作为最主要的形式之一,以教材为载体的课堂教学对教学效果有着重要的影响。以中等学时的《桥梁工程》必修课为对象,针对现有课程教学存在的主要问题,对本文作者主编的教材编写和修订进行深入的探讨:以桥梁的结构类型为主线、材料分类为辅线,构建起合理的框架体系;教材遵循知识的学习规律,采用概论引导-主体内容分述-再总体归纳的方法,以有限的学时达到较好的教学效果,并与后续课程相衔接;通过各桥型受力特点的介绍与对比,夯实学生桥梁结构的力学基础;从学生就业的实际工作情况出发,加强教材的实用性;从工程最新技术与发展趋势,提高教材的时效性。同时,为适应我国基础设施建设和土木工程专业招生与就业现状,并服务于国家“一带一路”倡议,介绍了《桥梁工程》外语越南语版和英语版的编写情况。
-
“地下建筑结构”课程教学模式的探索与实践
随着地下空间建造技术的飞速发展,对现阶段城市地下空间工程专业(以下简称“城地专业”)课程教学及人才培养提出了更高的要求,教学内容不够与时俱进、实践教学方式老套、课堂教学方法单一、课程思政浮于表面等痛点逐渐显现。本文以城地专业核心课程“地下建筑结构”为例,探索并实施了与时俱进的教学模式,凝练了“紧跟科技前沿、动态更新案例、实时解读规范”的教学内容动态重塑新理念,建立了“课程企业导师”参与的“室内模型+3D仿真+现场实践”的实践教学模式,提出了包含“课前+课中+课后”的”全过程混合式教学方法,构建了“案例式”课程思政方法和课程思政案例库。经过不断创新,在教学效果、人才培养、思政育人方面都取得了显著成效,相关教学成果被校内其它课程及兄弟院校推广应用。
-
“双碳”背景下研究生创新人才培养模式探索
朱新荣, 杨柳, 罗智星, 刘衍, 翟永超, 宋冰, 袁龙飞
随着“双碳”目标的制定,各行各业对“双碳”人才的需求正在迅速扩大,碳中和领域面临高层次创新人才短缺的局面。本文以学科高度交叉融合和产学研融会贯通为导向,结合西安建筑科技大学建筑技术科学方向研究生人才培养实践,从培养方案、课程体系、科研训练模式、导师团队建设、产学研平台和质量保证体系等方面探索“双碳”背景下建筑碳中和人才培养的具体举措,制定兼具“整体性、差异性和延续性”的培养方案,构建“基础与前沿并重,模块和层次清晰”的建筑碳中和课程体系;采用“学科互补,高效协同”的建筑碳中和人才培养导师指导模式,形成“项目引领,需求出发,聚焦明确,注重实证”的科研训练模式;打造“产-学-研”融会贯通的建筑碳中和创新人才培养支撑平台以及智慧赋能、虚实结合的碳中和人才培养资源体系;构建“分层分类,互动反馈”的质量保障体系和评价机制,为建筑碳中和人才培养提供全方位的支撑和保障。
-
“AI+论著查询”模式在“土木工程施工”教学中的应用探索
本文聚焦生成式人工智能在土木工程专业“土木工程施工”教学中的实践应用探索,在课程教学中要求学生应用“AI+论著查询”模式完成作业,培养并指导学生合理使用人工智能进行专业学习和问题研究。通过5次渐进式的作业批改和课堂指导,以及收集期初和期末学生反馈,发现“AI+论著查询”模式在“土木工程施工”课程学习中可以帮助学生提升学习效率,强化概念理解,同时也改变学生学习方法和习惯。这种模式培养学生批判性思维方面呈现出两面性,而这个问题可能会进一步导致教育分化加剧。另外在“土木工程施工”专业领域的深入学习中,人工智能体现出缺乏数据支撑与理论逻辑推导的不足,需要辅以专业文献的检索和印证以及教师的悉心指导。
-
我国高校城市地下空间工程专业基本办学条件调研报告
刘乃飞, 宋战平, 丁建文, 张林锋, 许健, 郑 方, 张玉伟
城市地下空间工程专业基本办学条件事关城市地下空间工程专业高素质人才培养的成败。根据城地教指组统一部署,西安建筑科大学和东南大学组织开展了城市地下空间工程专业基本办学条件调研。调研结果显示,大多数高校城市地下空间工程专业师资力量雄厚、教材选用适合办学特色、实验室及实习基地建设完善,能够满足人才培养的需求。但同时也存在少数高校师资配备薄弱且学历和职称均较低、教材选用不符合专业规范、实验设备不足且未建立实习基地、教学经费紧张等四方面问题需引起关注。针对上述问题,提出“加强政府部门监管、吸引工程企业加入以及提高专业办学定位”的“政府-社会-高校”三位一体改善措施,以期推进城市地下空间工程专业建设。
-
苏州科技大学本科三年级联合教学的课程组织与调查评价
近年来,联合教学已成为建筑系本科设计课程的一种重要的教学形式,通过爬取整理近五年来全国各类建筑系本科联合教学信息,发现针对三年级的联合教学课程稀缺,而三年级在五年制教学体系中起到了承上启下的作用,联合教学对三年级设计课程有着多方面的积极意义。苏州科技大学建筑系主办与参与的三年级五校联合教学迄今已连续举办六届,在课程设计上积累了一套行之有效的实践方法,凝练了一些创新性的教学特色。教学研究中采用网络问卷方式长期跟踪调研了学生对三年级联合教学各方面的评价,从中总结了三年级联合教学经验与成效,并为今后联合教学提供了改进意见。
-
AIGC驱动下的高等教育变革:路径、风险与对策
随着科技的迅猛发展,高等院校传统的教育范式渐渐暴露出越来越多的局限。作为一项颠覆性的技术,生成式人工智能(AI-Generated Content, 简称AIGC)因其卓越的自我更新能力、创造性的生成能力、 超凡的数据处理能力,为高等教育的变革的提供了新的驱动力。文章以人工智能时代高等教育发展面临的困境为切入点,深入探讨了AIGC为高等教育变革提供的新的实践途径,分析了AIGC在高等教育中的应用可能引发的潜在风险,并尝试提出应对之策。相信AIGC终将在塑造高等教育未来中的起到关键作用,实现技术与教育的双向赋能。
-
工程教育专业认证背景下BIM技术应用型人才培养模式研究实践
智能建造与新型建筑工业化协同发展是建筑业发展的主要任务,BIM技术作为其关键技术,引领我国建设行业开展科技革命,为高校BIM技术人才培养提出了新的要求。针对目前BIM技术人才培养面临BIM技术学用差距较大、育人元素难以支撑育人目标、国产软件育人参与度不足等问题,对标工程教育专业认证标准打造了“两中心-四目标-三集群-四主线-一资源-四反馈-两融合”人才培养模式,促进产教、科教融合,适应新工科背景下的土建类行业改革需求。
-
土木工程材料课程教学改革的文献计量学分析
为了更好地研究近几年土木工程材料课程教学改革的研究热点和趋势走向,该文采用文献计量学的方法,系统地研究了CNKI数据库收录的有关土木工程材料课程教学改革的相关文献,对年度发文量、高频关键词和突现词进行了分析。结果表明土木工程材料课程教学改革文献量逐年增多,呈振荡上升趋势;从高频主题词与关键词中心性来看,“教学改革”、“土木工程”、“实验教学”等主题词出现的频率最高,是其他关键词的核心节点;“教学方法”、“创新能力”、“实践教学”、“课程思政”、“新工科”等关键词引用频次高的同时中心性也高,表明目前土木工程材料课程的教学十分关注这些方面;“人工智能”的引用频次较低等等,并据此提出了土木工程材料课程未来发展的建议,旨在为土木工程材料课程教学提供新的思路与参考。
-
美国高校开放获取实践探究:政策溯源、治理特色与主要成效
开放科学运动正悄然席卷全球,重塑科学生态,推动知识创新。高校成为落实开放科学理念的重要主体。基于案例研究法和内容分析法,阐释了美国高校开放获取实践的特色与成效,在此基础上归纳了美国高校开放获取实践的启示。伴随着开放科学思想的演进和实践的开展,美国高校通过塑造理念、健全组织、出台政策、完善设施、加强交流等初步形成开放获取的治理特色;在提供开放数据、促进数据使用、基础设施建设等方面取得一定进展的同时,也面临如何提升治理能力、兼顾各方利益、深化开放程度等挑战。美国高校的开放获取实践表明,高校要善于营造开放科学环境,发挥利益群体功能,汲取开放获取经验。
-
就业竞争力提升视域下校企共同体路径探索
就业是最基本的民生,高校要促进高质量充分就业,校企合作是一条有效途径。基于现有研究大多是关于职业院校,工程科技类专业为主高校和研究型高校的校企合作理论研究和具体做法较少。立足优化人才培养质量,以就业竞争力提升为导向,以共同体理念统领校企合作。分别从培养共同的价值追求、建设共同的人才基础、建立共同的科技平台、打造共同的培训体系四个方面构建校企共同体,探索新时期下校企合作新路径,为今后校企合作提供方向和方法。
-
新时代科学家精神研究的发展脉络、问题特征和未来实践方向研究
借助梳理分析学界关于科学家精神的相关文献,总结出科学家精神及其相关研究的发展脉络,进而对现有研究的关注重点、特征及存在的突出问题进行了深入解读,对科学家精神的科学内涵、弘扬和传播的方式、路径渠道以及成效评估等方面进行了分析。在此基础上,进一步探讨了在大力推进教育综合改革加快实施教育科技人才一体化推进策略的今天,弘扬科学家精神赋能科技强国建设的未来走向和具体路径等进行了探索。
-
科学家精神融入高校思想政治教育的实践困境与路径优化——基于10所“双一流”建设高校的探索性案例分析
科学家精神不仅是中国共产党人精神谱系的重要组成部分,也是新时代高校思想政治教育的重要内容。将科学家精神融入高校思想政治教育是落实立德树人根本任务、培育时代新人的重要举措。对清华大学、北京大学、复旦大学等10所“双一流”建设高校在弘扬科学家精神方面的80余份文本资料进行分析,发现这些高校主要采取依托教育基地、创编科学话剧、举办专题讲座、融入课程建设等举措弘扬科学家精神,并取得了初步成效。然而,这些高校在实践中仍面临多方面挑战,包括宣传工作流于表面、学科覆盖面有限、学生参与度不高以及科学家精神在课程中的融入不够等问题。为有效应对这些挑战,高校需要通过加大资源投入与强化宣传,促进跨学科交流与合作,激发学生参与热情,加强顶层设计与师资培训等优化路径,实现科学家精神与高校思想政治教育的深度融合。
-
教育家精神引领教育现代化的内在逻辑与推进路径*
教育家精神的提出有着深刻的理论内涵,是习近平文化思想在教育领域的创新性发展,指向于中国现代教育的科学性发展。教育家精神的核心在于“现实的人”,即教育者是具体的个体,教育活动必须基于对教育者的主体性和客体性的深入了解,以此为基础,教育家精神与教育现代化在目标指向、本质要求和价值指向上形成内在逻辑同构,共同推动人才培养和社会发展。在新时代,进一步深入探讨教育家精神与教育现代化的内在联系,提出具体的推进路径,为教育现代化的高质量发展提供了更为广阔的视阈和方法。
-
新工科背景下建环专业实践课程体系的改革与完善
实践教学体系是新工科人才培养目标得以落实的主要载体,在新工科建设中起着至关重要的作用。为解决建环专业实践教学体系存在的课内实验设置凸显学校或专业特色不足、实践课程培养目标未真正分清“能力”与“技能”、参与设计类学科竞赛不足的一系列问题,文章着力从调整体系、丰富内容、改良方法和拔尖提升四个层面,提出了增设体现建环特点的实验和实习体系群、创建工程案例库和实验线上微课程群、改革实践课程体系实施途径与方案、开设以毕业设计为基础的工程设计竞赛通路的具体实施方案,旨在提出适应新工科需求的、迎合学校地域和院校优势的、体现建环专业行业特点的实践教学体系,全面精准的提升实践教学能力和技能培养水平。
-
产学研协同赋能乡村振兴的实践育人新路径探索与构建
东南大学土木工程学院给排水科学与工程专业秉持学校“以科学名世、以人才报国”办学理念,践行“课比天大、生为首位”育人思想,努力培育具有深厚家国情怀、引领未来和造福人类责任担当的领军人才。近年来结合习近平总书记“民生为上、治水为要”的重要论述深入贯彻立德树人根本任务,在人才培养中融入学校定点帮扶工作、融合乡村振兴国家战略,创新构建了“治水专业”的产教融合、科教融汇育人平台,打造了“青年红色筑梦之旅”的实践育人前沿阵地,实现了 “德知行创”融通的人才培养路径,取得了较好的育人成效。
-
智能建造专业建设与课程体系构建研究
智能建造专业是面向国家战略需求和工程建设行业转型升级,以土木工程专业为基础,融合信息与计算科学、机械设计与自动化、控制科学与工程等专业而形成的“新工科”专业,具有显著的学科交叉特点。本文分析了智能建造专业的发展背景和当前智能建造本科专业建设与人才培养现状,以石家庄铁道大学智能建造本科专业建设情况为例,从培养目标、课程体系、实践创新三个方面重点论述了智能建造专业知识体系与实践创新模式的人才培养方案构建,可为同类型高校智能建造专业建设与后续相关研究提供参考。
-
面向交通强国的研究生生源质量提升路径研究——以哈尔滨工业大学桥梁与隧道工程学科为例
当前,在社会转轨、经济转型与交通变革的新形势下,交通强国建设亟需大量德才兼备的国际化拔尖创新人才。然而,随着研究生招生规模持续扩大与考生择校观念的不断转变,如何精准评价研究生生源质量、吸引更多优质生源报考是当前研究生招生单位所面临的挑战。在此背景下,本文首先面向新形势下交通强国建设对一流人才的要求,建立以专业能力为导向的多元化生源质量评价体系;其次,从教学科研硬核力、人文资源软实力与未来发展潜动力等方面出发,利用随机森林算法深入挖掘影响学生择校的关键要素;再次,基于影响报考指标相对特征重要性,提出多措并举的桥梁与隧道工程学科研究生生源质量提升改革建议;最终,以哈尔滨工业大学桥梁与隧道工程学科为例,从研究生发展路径的视角探讨近五年研究生生源质量提升改革的实践成效,以期为传统交通类院校研究生招生工作提供参考与借鉴。
-
新工科背景下土建类人才工程伦理意识与职业道德规范培养机制与实践
“新工科”背景下,土建行业的发展呈现全球化、信息化、交叉化、集成化等趋势特点,工程复杂性增强,多利益主体深度交织,伦理困境和道德问题突出且更为复杂。高等院校亟需加强工程伦理意识与职业道德规范教育,培养具备工程伦理观的新时代工程师。本文系统剖析了工程伦理意识与职业道德规范概念及内涵,并构建以外驱力激发内驱力的人才培养体系框架,包括培养方案顶层设计、师资队伍保障、教学资源建设等。东南大学土木工程学院积极进行实践探究,采取革新培养方案、优化教学体系、深耕教学资源、深化产学研联合培养模式等多种举措,着力提升学生工程伦理意识与职业道德规范,经调研已取得较好的效果,可为其他工科专业的工程伦理及职业道德教育教学提供借鉴参考。
-
同济大学与米兰理工大学在土木工程专业教学模式上的比较及启示
土木工程的专业教学不仅为学生提供了工程专业基础,还必须通过实践教学培养了学生解决实际工程问题的能力。这项研究仔细对比了同济大学和米兰理工大学在土木工程教育方面的不同之处,包括教育规模、理念、课程设置、教学改革、以及国际教学合作和交流。结果显示,这两所学校都拥有完善的工程教育体系,都在用创新的教学方法来增强学生的能力,但它们在重点上有所区别。同济大学的课程设置注重理论知识的系统性与全面性,鼓励跨学科学习,培养宽口径人才,而米兰理工大学则更加强调理论与实践的结合提供多样化的方向,培养适应企业需求的工程师。两所高校在国际化方面都取得了瞩目的成绩。结合两校在课程体系、教学方法上的不同,本研究提出了工程教育改革的建议,为培养具有国际视野、创新能力和实践技能的复合型土木工程人才提供参考。
-
土木工程材料体验式教学实践中心的构建与运用实践
土木工程材料课程是土木工程类专业的一门工程基础必修课,具有实践属性强、材料种类多、工程结合紧、创新更新快等特点,在人才培养中起到承上启下、桥梁纽带的功能。然而在课程教学中往往存在知识体系迭代较慢、实践体验单一、教学模式陈旧、自主探索缺乏等问题,抑制了学生的学习动力,导致课程教学效能下降。体验式教学作为一类以学生为中心的教学方法,可以有效加深学生对学习内容的理解,打通课堂教学和工程实践的阻隔,形成课堂教学模式的转变。本文围绕集教学材料观摩、工程案例体验、材料检测实践、材料创新研究为一体的工程材料体验式教学实践中心,详细介绍了其建设情况、运用思路、应用现状和未来发展,为体验式教学平台的应用提供了思路。
-
产教融合创新人才校企联合培养模式探索与实践
新一轮的科技革命和产业变革与中国经济发展方式的转变正处于历史性交汇期,全方位改变了卓越工程师的培养环境。在愈发激烈的国际竞争环境下,卓越工程师成为了影响国家高水平科技自立自强的关键变量。面对变革与挑战,加快建设中国特色、世界水平的工程师培养体系,以培养造就爱党报国、敬业奉献、具有突出技术创新能力、善于解决复杂工程问题的工程师队伍为目标,提出“思想建设”、“课程体系构建”、“工程实践与科技创新”三方面构成的创新人才校企联合培养模式,即“思学实创”的阶梯式、融合式的卓越工程师培养模式,并在教学与实践内容等方面进行了深入研究。通过深化产教融合,构建校企合作平台,实现资源结合和配置优化,在思想培育、课程共建、工程创新等方面共同培养复合型高素质人才。
-
多元协同下建环专业创新型人才培养体系构建与实践
服务于国家“双碳”战略和新质生产力的要求,聚焦于创新性人才培养的需要,中国矿业大学建筑环境与能源应用工程专业在本科教育过程中开展学科交叉融合,构建低碳驱动、数字赋能、产教融合的人才培养体系,形成了以思政为灵魂、具备主撑力、源动力、强助力、硬实力的“一魂四力”创新人才培养模式,将数字化教学融入人才培养的各个环节,瞄准绿色生产力,在人才过程中贯彻加快绿色科技创新,强化工程实践创新能力的培养,推动了建环专业人才培养质量的不断提升。
-
“双一流”高校理工类来华留学研究生导学互动关系研究
提升来华留学研究生培养质量是“双一流”高校的重要使命。通过对“双一流”高校的433位理工类留学生开展基于人际环形模型的调查问卷,探讨了导学互动关系特征与影响因素。研究发现:互动关系以领导型特征为主,性别、洲别、年级、跨文化适应力对互动关系存在显著性差异;来华留学研究生对导学关系满意度较好,领导型、帮助/友善型、理解型的关系特征显著正向影响满意度,不满意型、犹豫型的关系特征显著负向影响满意度;理想导学关系的核心特征是“支持”与“尊重”。建议强化导师的指导育人理念,发挥导师全过程育人作用;全面提升来华留学研究生素养与跨文化适应力;高校建立督导监督考核机制和导学互动交流共享平台,营造和谐互动氛围。
-
面向高质量发展的建设项目投资与融资课程教学模式创新与实践
建设项目投资与融资课程是高等学校城市管理、工程管理与工程造价专业一门实践性强、应用性广的专业课程。当前,建设项目投资与融资课程存在多学科交叉知识欠缺、投融资前沿知识较浅,创新不足、实践认知缺乏、理论与实践缺融合,高质量发展战略理解不深、思政理念待深化等痛点问题。针对痛点问题,课程团队对课程目标、课程内容、教学模式和评价体系进行创新设计:以学生为中心,从知识、能力和价值维度建构课程目标;通过课程内容重构与优化,建构课程“案例库、文献库和项目库”;通过“研讨式、混合式、双语式和场景式”教学模式,实现“三库四式”教学模式创新;探索多维度、多元化、知识应用导向型的课程考核评价体系。课程的创新设计促进了学生学习效果的提升,“三库四式”教学模式推广展现了一定的示范和辐射效应。
-
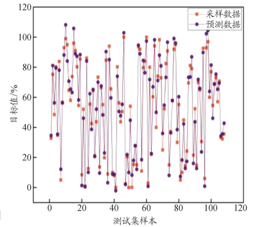
基于随机森林的翻转混合教学效果评价与提升策略
探索了一种基于机器学习的混合式教学效果评价方法,利用随机森林算法,基于成绩、行为、情感等多种类型和来源的数据,构建了混合式教学评价模型,并通过特征重要性分析提出针对性的教学提升策略。以中国大学 MOOC 开设的国家级一流本科线上课程《地学景观探秘.审美.文化》为例,收集了 376 名学生的问卷数据,进行了模型训练和验证。结果表明,优化后的随机森林模型拟合优度提高40%、残差平方均值降低7%,模型预测成绩对比学生实际成绩R2达到0.92,可有效地预测和分析学生的学习效果;学习过程参与、线上线下学习途径、手机使用、形成性评价、学习时间投入、收获感等是影响学习效果的关键因素;根据这些关键因素,提出了针对性的混合式教学效果提升策略。研究提出的方法可为优化混合式教学设计、提高混合式教学质量、促进个性化教育提供参考。
-
国土空间规划体系下控制性详细规划教学改革策略初探
控制性详细规划作为城镇开发边界内的详细规划,在国土空间详细规划体系中占有重要的地位,其发展变革不仅需要行业实践环节的持续推进,更需要在专业教育领域不断探索。文章针对国土空间规划体系下控制性详细规划实践中导向政策化、传导实效化、管控差异化、过程动态化等新的趋势与需求,梳理总结出体系性不强、适应性不够、多样性不足等控制性详细规划教学中面临的新问题与新挑战,并尝试从整体框架角度就控制性详细规划课程的教学理念、教学体系、教学内容、教学方法、教学评价等方面提出了强化价值导向转型、构建传导式教学体系、注重时空融合协同教学、植入交叉互动多样性手段、塑造动态包容综合评价等初步的教学改革思路和优化策略,以期能强化与行业实践的耦合协同,并促进专业教育的持续改进。
-
地方院校智能建造专业课程体系建设和案例探讨
智能建造正逐步成为推动建筑业转型升级的关键力量。近年来,智能建造技术在全球范围内得到了广泛应用和快速发展。为了满足行业对智能建造人才培养的需求,我国开设智能建造专业的高校数量也在快速增加,同时,也带来了诸如课程体系建设等方面的问题。介绍了智能建造专业人才培养目标定位和课程体系的总体构建思路,在研究分析专业课程体系建设的七大关系的基础上,提出了课程体系建设的架构,并以2门理论课程、1门实践课程为例,探讨了智能建造课程的转型升级情况,为相关高校智能建造专业的建设提供参考。
-
LLM影响下的土木工程专业课程教学与改革探讨 ——以混凝土结构基本理论为例
随着大语言模型(LLM)技术的迅速发展与推广应用,土木工程专业课程教学正在面临新的机遇与挑战。本文以“混凝土结构基本理论”课程为例,探讨了LLM对课程教学的影响,分析了学生在使用LLM辅助学习过程中面临的主要问题,包括过度依赖LLM完成作业、难以构建完整知识体系、缺乏辨别LLM生成式答案正确性的能力以及缺少合理应用LLM工具提升学习能力的方法等。针对这些问题,提出了相应的教学改革措施,如建立多维度评估体系、确立模块化知识点、设置课堂评判环节以及转换作业布置策略等。通过这些措施,旨在提升学生的学习效果和自主学习能力,促进学生批判性思维能力的增长,实现前沿技术与教育的深度交叉融合,从而为培养高水平的工程技术人才提供支持。
-
数字化转型背景下“大学生职业生涯规划”课程改革研究
推进教育数字化是支撑中国式教育现代化的战略要求,以数字化引领教育系统性变革与创新,已成为新时代教育发展的重要使命[1]。大学生职业生涯规划课程具有未来性、互动性、应用性、个性化等特点,其作用是帮助大学生正确认识未来人才市场需求,培养核心素养,实现终身发展。当前,大学生职业生涯规划课程的课程理念难以应对数字经济新就业模式的挑战;课程内容难以适应智能化时代对人的核心素养的要求;教师的素养难以跟上数字化教育的高速发展。数字化转型给大学生职业生涯规划的教与学带来了机遇。要从课程理念,课程目标、课程内容,教学资源,教学模式和教师数字素养等方面进行改革,推进课程的数字化转型。
-
产教融合课程建设推进高校科研成果落地——以《智能防灾与韧性设计》为例
高校科研工作带来大量的科技创新,但是众多的新技术面临难以落地推广的困境。高校学生在校期间有机会参与到科研和生产工作中,因此他们在推进科研成果落地方面具有优势。所以,高校应将教学的过程作为沟通科研和生产的桥梁,将产教融合融入课程建设当中,在课程实践培养人才的同时,推广前沿技术的应用。同济大学土木工程学院开设的《智能防灾与韧性设计》专业型研究生课程采取了一系列举措,通过实践教学实现科技创新与社会需求对接。这些举措包括产教融合创新实践平台的建立,理论与实践有机结合的课程设置以及基于实际项目的专业实践训练。最后,为了建立正向反馈机制以确保课程建设具有可持续发展动力,提出了针对这类产教融合课程的教学效果评价方法。
-
新时代城乡规划学本科课程体系的多元协同改革模式初探
新时代以来,建设教育强国的理念已成为我国的重要国策。城乡规划专业的本科教育如何适应新时代的创新要求,为新时代教育改革与发展提供新的思路与方法即为本次研究的出发点。本文基于南京林业大学城乡规划专业现有课程体系,从多元职业导向的协同、多元学科交叉的协同、多元“产学研政”的协同三方面探讨城乡规划专业教学体系的协同模式,以适应新时代的行业发展,同时强化院系专业特色,紧抓交叉学科建设的契机,完善教学体系的系统性和协同度,充分激发学生“学”的活力与教师“教”的动力,进而促进城乡规划专业教学的高质量发展以加快推进城乡规划教育的现代化。
-
论发展新质生产力作为教师教育的方法论依据及国优计划的回应
张务农? 李琳琳:生产力发展是教师教育变革的根本依据。新质生产力是生产力形态的系统性变革和生态优化,新质生产力不仅是生产物质要素的革新,也是发展理念的更新和思维方式的转变,这对教师教育的变革具有方法论意义。国优计划是教师教育变革和高质量发展的引领者,理应对发展新质生产力这一时代主题作出回应。研究认为,发展新质生产力对教师教育新型基础设施建设、课程变革、教师素质结构和教师培养模式方法都提出了新要求。作为回应,国优计划教师培养项目应发挥研究型大学优势,培养兼具创新精神和教育家精神的优秀教师;整合新质要素,融入数智化人才培养模式;改进教师教育管理体制机制,构建产研教学一体化教师培养模式;以及以新发展理念完善相应配套制度。
-
新时代背景下“学科思政”创新路径研究——以土木工程研究生培养为例
新时代对研究生的思想政治教育提出了新的要求,推动高校思政教育理念新探索、新发展。基于土木工程研究生的“学科思政”教育实践,强调了将思政元素全面融入专业教学、实践活动以及评价体系中的重要性。通过构建学科发展与思想政治教育的联动机制,有效地促进研究生内化思想政治教育理念,使之成为学生的自主思考和自觉行动。基于当前我国土木工程研究生思政教育中存在的育人广度、深度及维度等问题,提出了通过加强团队建设、优化育人过程和改进评价机制等途径来深化土木工程研究生的“学科思政”,促进研究生在德、智、体、美、劳各方面的全面发展。为土木工程的研究生教育提供了新的视角和方法,也为其他学科领域的思政教育提供了可借鉴的经验和启示。
-
地方应用型高校“土木+新质生产力”特色人才培养模式构建——以东莞理工学院土木工程专业为例
基于新时代建筑行业面临的形势严峻,分析了建筑业现代化转型和高质量发展背景下土木类专业人才培养面临的主要问题及对策。通过三“链”协同、三“融”聚力、三“范”并举,构建立体化专业课程思政育人体系,解决了土木类专业学生学习兴趣较低、专业自信不足及职业理想缺失的问题;通过创设应急管理奋楫创新班、开设模块化选修课程群、构建“课—校—省—国”学科竞赛体系、推行科产教融合,赋能传统土木类本科生智慧防灾应急、建筑工业化/数字化/绿色化/可持续运维等专业知识技能,培养“土木+新质生产力”特色人才,解决传统土木类专业人才培养同质化严重的问题;通过“内培外引、专兼结合”双轮驱动,打造高水平结构化“土木+新质生产力”人才培养教师团队,解决了传统师资教学水平与专业技能难以胜任建筑业“四化”新质生产力特色人才培养的问题。基于上述举措,创新构建地方应用型高校“土木+新质生产力”特色人才培养模式,育人成效显著。
-
基于工程教育认证的新工科人才培养模式探索
工程教育认证是实现工程教育国际范围内同质认可的重要手段,是实现高等教育国际化、标准化、现代化、体系化的重要途径。新工科作为立足于工程教育基础之上的教育质量革命,在理论研究和高校实践方面取得了丰富的经验,但还存在教育模式差异化不明显,优势不集中不突出;交叉融合不够深入,学科延伸拓展有待提升;转型升级常规化,缺乏跨越性与突破性举措等问题。立足于国内外科技发展趋势与工程教育实践,有必要从注重特色化,明确以成果为导向的培养目标机制;增强融合性,构建全面一体的体系标准与制度方案;关键性突破,从考核评价、工程实践两方面入手进行改进,以期新工科建设能够更自觉响应国家转型需要和经济社会发展需求。
-
“数字共同体”助推河南省高校“双一流”建设新探索
“创新驱动、科教兴省、人才强省”战略推动河南省高等教育现代化建设科学布局、质量并举、成效显著,但还有很大的发展空间。河南省高等教育要自主创新,形塑时代新人,首先要植根本土,彰显河南特色。其次要面向未来,以“数字+教育”为创新理念,以科技赋能教育高质量发展为价值内涵,充分利用现代数字技术与智慧教育融合产出,打造颇具地方特色的河南省高等教育“数字共同体”,助力河南省高校新一轮国家“双一流”建设、省“双一流”建设,拟定具有时代意义的科教创新与教育新质生产力可持续发展战略。
-
行业特色高校课程思政教育的现状、问题及对策研究——以重庆交通大学为例
课程思政在新时代高等教育中占据重要地位,全面推进课程思政建设不仅是落实立德树人根本任务的战略举措,更是全面提高人才培养质量的重要任务。本研究采用问卷调查法,深入剖析交通行业特色高校课程思政教育的现状,在此基础上进行问题透视及原因分析。研究发现,当前课程思政存在形式主义倾向,教学体系尚不完善,教学方式单一,学生参与热情不足等诸多问题。针对这些问题,提出深化课程思政内涵,完善教学内容设计,加强课程思政团队培训,提升受教育主体的价值认同等系列举措,旨在摆脱思政教育形式主义的束缚,构建系统协调的课程教学实施体系,发挥教师在思政教学中的主导作用,从而形成课程思政合力。
-
虚拟教研室课程知识图谱教育资源建设——以房地产开发与经营管理课程为例
随着教育信息化的深入发展,知识图谱作为一种新兴的教育技术,被广泛应用于课程资源建设。该研究以“房地产开发与经营管理”课程为案例,探讨了虚拟教研室课程知识图谱教育资源建设方法与路径。首先,提出一套系统化的课程知识图谱构建框架,包括数据层和模式层的构建、本体构建、信息抽取、知识加工与融合等关键步骤;其次,构建了本课程“知识—问题—能力”图谱三层架构。最后,教学效果表明,基于知识图谱的课程教学资源能够有效提升教学质量,促进学生主动学习,为课程改革提供了新的视角和实践路径。
-
项目式模式在研究生教学中的理论探索和实践-以《企业战略管理》课程教学为例
研究生课堂教学在研究生培养体系中具有重要的角色,但是众多优质网课和研究压力对课堂教学提出挑战:课堂教学的必要性和关键在哪里?本文试图从项目式教学模式角度回答此问题,探索项目式教学模式的理论体系,依托《企业战略管理》课程教学实践展开讨论,以期对现有文献进行有益补充,为教学实践工作者提供进一步讨论的空间和途径。
-
超越图论 ——融合城市社会学的空间形构教育实践探索
列斐伏尔认为空间的变化才是社会产生变化的决定性因素,并将空间视作为城市社会研究的主体。通过构建列斐伏尔空间三元辩证的解释性叙事,从社会现象的角度出发,将空间中的社会现象转译为具体空间形构,探讨作为一种城市研究与设计教学方法的可能性,在学科层面,把因受不同专业领域范式差异所割裂的空间与人群相统一,以重新审视并理解建筑、城市与社会之间的相互关系。
-
从岩土工程设计理念谈土力学教学中概念理解上的难点与问题
我国岩土工程设计规范的建议方法与世界其他国家和地区差异很大,这使得我国岩土工程企业难以开展境外岩土工程项目的咨询、设计与监理的竞标,也制约了我国岩土工程的发展,为了解决这一关键问题,除了要开展相关的标准与系统的整合研究外,其关键仍在做好岩土工程专业人才工程设计思维逻辑的培养。有鉴于此,本文从岩土工程设计理念—容许应力设计法着手,以土力学教学的视角讨论安全系数的取值问题,并举地基承载力与边坡稳定分析的计算原理为例,以此来探讨我国现行规范建议方法的不足之处,并提出相应的改进建议,以期能为我国岩土工程专业人才的培养,提供新的借鉴与思考。
-
第六届全国土力学教学研讨会会议论文——扩展学习深度和广度的“土力学”课程建设教学探索
作为岩土工程专业必修课,土力学的特点有基础性、时代性和实践性。对于目前研究生数量增加的现状,土力学的理论性和专业性又对学习提出了更高的要求,因此有必要在已有课程内容的基础上进行扩展的教学探索。参考在土力学课程教学的经验,联系土力学中的“土的抗剪强度”章节与高等土力学中“土的本构关系”章节,以介绍土的临界状态为重点,补充必要的三轴试验和土的性质相关知识点,以砂土的临界状态分析作为实例,并作以当前热点“微生物加固钙质砂”为主题的报告,介绍了如何扩展土力学知识点,以及如何引入学科前沿。帮助学生理解和巩固基础理论知识,激发和培养学生自主学习的兴趣和能力,为继续深造创造良好的基础条件。
-
基于“虚实结合、融合共享”的土木工程专业实验教学模式探索——以土木工程国家级实验教学示范中心(东南大学)为例
随着教育信息化理念的推进,虚拟仿真实验教学已经成为实验教学密不可分的一部分,虚实结合的实验教学模式成为提高土木工程实践能力的重要举措。然而,当前实验教学模式存在但如何将虚拟仿真实验纳入到以往以实体实验为主的实验教学体系、优质虚拟仿真实验项目跨校共享能力有限等问题,无法充分发挥虚拟仿真的优势。本文以土木工程国家级实验教学示范中心(东南大学)为例,介绍中心在“虚实结合、融合共享”实验教学模式方面的探索,为虚实结合实验教学模式提供参考。
-
多元目标导向下的城乡规划学科研究生设计课教学思考
城乡规划学科研究生设计课是培养综合性思维最重要的课程之一,它既有面向工程项目的实践导向、又有面向系统研究的理论思考,还有更多面向社会、经济、文化、生态等等的统筹考量,呈现出多元目标导向。因此,城乡规划学科研究生设计课需要建立面向多元目标的教学方式,构建融合学校教学目标、企业就业目标和学生发展目标等多元目标导向下的设计课教学模式。研究针对目前城乡规划专业研究生设计课教学的教学方式、评价体系等方面的现状问题,通过详细分析设计课在研究生培养中的作用,提出面向多元目标的城乡规划专业研究生设计课教学思考,以应对未来诸多挑战。
-
基于五步递进式教学模式的中外园林史教学实践
针对中外园林史课堂教学中存在的价值引领不强、个性化培养不足、理论迁移应用困难等教学困境,本文以“专题式+时间线+典型案例”的思路重构教学内容,参考实际项目设计流程提出“理论积累、空间分析、空间感知、园林复原、研讨汇报”五步递进式教学模式,开展全过程、多元评价,助力教学目标的全面达成。课程将价值引领、知识传授、综合能力与素养提升融为一体,教学改革效果良好,学生学习热情被激发,综合能力得到提升。本课程中“分析历史作品——提取设计手法——推导设计理念——领悟主流文化——指导未来设计”的教学思路,可为其他设计专业学科史课程的教学改革提供参考。
-
基于铸牢中华民族共同体意识的建筑历史模块教学改革路径研究
为契合“铸牢中华民族共同体意识”国家战略,将民族三交切实融入本科教育培养全过程,本文以建筑学专业建筑历史教学模块改革为例,以铸牢视阈对建筑历史与理论教育体系审视自我,并针对性提出改革新途径,旨在为我国新时代高质量城乡发展形势下的建筑学育人体系提供推力。结合铸牢共同体意识培养目标与课程模块的专业特点,本文提出了三大教学改革策略:融合建筑历史与民族的交流交往交融,强化文化认同与社会责任育成;聚焦地域性建筑设计、历史与技术,促进对本土文化和生态发展的了解;鼓励跨学科模块化教学,激发学生通融与协同创新能力。研究指出,建筑历史模块教学改革应着眼于文脉知识的实际应用和跨领域能力培养,力图为建筑领域注入能结合传统文化理解和社会责任感于一身的创新型、技能型人才。本文可为新时代“铸牢”教育形势下本科专业课程教学改革提供参考与借鉴。
-
深化西部地区“双一流”建设的价值向度和实践遵循
高质量内涵式发展是深化西部地区“双一流”建设高校的价值追求和战略方向。西部地区“双一流”建设高校要遵循大学组织发展的内在规律和实践要求,遵循“着眼全球发展”的世界逻辑、“扎根中国大地”的中国逻辑、“服务经济社会”的区域逻辑。从世界逻辑看,要遵循发展理念的卓越性、发展模式的创新性、领导变革的战略性、全球认同的稳定性的实践要求;从中国逻辑来看,要遵循坚持扎根中国大地、坚持中国发展模式、坚持服务国家战略、坚持构建中国标准的实践要求;从区域逻辑来看,要遵循立足西部空间场域、承继西部发展样态、服务西部开发建设、形塑西部大学气派的实践要求。
-
设计即生活——日常生活视角下“社+”建筑设计教案改革探索
面对建筑学发展新形势,提出了“设计即生活”的教学理念,把日常生活的社群行为引入到华南理工大学二年级的建筑设计“社+”作业中。系统总结了“社+”建筑设计教学内容与要点,提出以日常生活和社区观察相互融合的教学方法,优化相关课程的任务制定、教学操作、教学模式等内容。教案将社群行为融入空间设计,以日常生活跟踪、社区空间营造、地方气候回应、多重要素表达等方面展开教学活动,建立具有特色的“社群+空间”的设计知识体系。
-
构建“四原四学”理论武装体系提升高校党委理论学习中心组学习质量与成效 ——以重庆大学为例
全党上下将创新理论学习作为首要政治任务,并在习近平新时代中国特色社会主义思想指导下开展主题教育。高校作为重要的人才培养和理论创新基地,在党的思想理论建设与传播方面发挥着关键作用。中央提出了提高党委理论学习中心组学习质量的重要意见,强调了加强党的创新理论武装工作的紧迫性。本文通过调研总结出高校党委理论学习中心组存在的问题,并提出了“四原四学”理论武装体系的建议,同时概括了重庆大学在“四原四学”理论武装体系的指导下,贯彻落实党委(党组)理论学习中心组学习规则和上级相关要求的做法。本文强调学习内容的系统性、学习方式的丰富性、学习效果的实效性和学习引领的领导力,以加强高校党委理论学习中心组的建设,为培养合格的社会主义建设者提供根本保证。
-
学生交往对高校项目式学习的影响:基于社会网络分析视角
项目型学习作为一类项目驱动、“干中学”的群体性学习方式已经在诸多高校推广应用。为探索项目型学习形成机理,从学生交往的中观视角,建立大学生日常交流、传统课堂学习和项目型学习三类整体网络。通过社会网络分析发现,传统课堂学习网络和项目型学习网络主要以行政班级区划,日常交流网络突破了行政班级界线;三类网络具备一定的结构相似性,但日常交流网络集聚度和中心性更高,传统课堂学习网络和项目型学习网络中高中心性成员重叠更普遍,且大部分为学业优秀学生;日常交流网络小圈子现象较明显,传统课堂学习和项目型学习网络中大部分节点能形成互相交流网络;回归结果显示,日常交流网络和传统课堂学习网络对项目型学习均有正向显著影响。为促进项目型学习的形成,提出了鼓励学生在日常学习生活中加大沟通交流、在项目型学习团队中同时配置学业优秀学生和日常交流活跃分子、调动更多学业优秀学生成为团队核心、适当在团队成员中设置一定数量异性的建议。
-
浅议高校学术评价体系的完善
随着我国高校不断推进“双一流”建设,如何建立科学、完备的学术评价体系正日益成为影响高校学术事业长远发展的重要因素。只有厘清学术评价的概念和特点,明确学术评价的独立性、客观性、权威性,深刻理解完善学术评价体系对于不断增强国家综合实力的重要意义,正视当前学术评价工作中存在的学科差异关注度不够、破“五唯”落实不够、同行评议待完善等主要问题,才能从宏观视角着手,落实破“五唯”、强化学部职能、优化人才项目体系,同时以微观视角为抓手,在学术评价工作中做到尊重学科差异、定性与定量相结合、优化同行评议,从而不断完善高校学术评价体系,推动高校学术事业发展,助力国家科技文化实力提升,为树立文化自信奠定坚实基础。
-
课程思政视域下新时代高校育人路径的思考和实践 ——以《工程职业资质导论》课程教学为例
新时代对高校工科人才的培养提出了更高的要求,将思想政治教育融入专业课程教学是践行为党育人、为国育才使命,贯彻党的教育方针,落实立德树人根本任务的重要举措。本文通过访谈调研情况分析了工科研究生的思想特点,依托《工程职业资质导论》课程的教学,研究了专业教育与思政教育的有效融合方式,探索了课程思政视域下新时代高校育人新路径的实践方法。实践证明,专业教学与思政教育的结合有效提升了学生的专业认同度,极大地激发了学生的家国情怀,起到了答疑解惑、坚定信念、指明方向的作用,为探索工程类院校研究生课程思政建设提供了思路和方法。
-
着力培养形象思维能力的问题情境教学模式的研究与实践——以本校低年级建筑设计课程为例
为了提高教学效果,建构了着力培养形象思维的问题情境教学模式,教学按“课题认知与分析---方案构思与设计---设计优化与定稿---图面表达与评价 ”四个步骤实施。探索了培养学生形象思维能力的教学途径,通过建筑形体的联想对比、逻辑推理、功能造型等方式提高学生的空间想象能力。教师在构形设计教学中启发学生运用已有的设计知识和经验进行联想、推理、类比,运用灵感思维、发散思维、多向思维、求异思维构思各种建筑造型,从多个方面提升学生的形象思维能力。
-
“重思政,强实践,深融合”的土木工程专业学位研究生培养模式探究
在新一轮的科技革命和产业变革推动下,加快堪当民族复兴重任的新时代卓越工程师培养成为高等教育的重中之重。为实现土木专业学位硕博研究生高质量培养,本文分析了当前土木工程专业学位研究生培养模式存在的三大问题:思想政治教育与专业教育脱节、课程体系滞后和校企合作表面化。针对这些问题,本文提出以思政元素融入、课程体系重构和产学融合机制改革为方向,构建适用于土木专业工程硕博的具体化培养改革方案路径,并对实践探索进行了深入思考并提供了包括打造“无痕课程思政”模式、构建多学科交叉融合的新型课程体系、建立高校和企业深度一体化培养机制等方面的若干建议。
-
现代智能建造体系背景下高职建工类核心专业课程教学改革创新实践
在以“BIM和3D打印现代信息技术+建筑机器人+装配式装修”具备一定代表性的现代智能建造体系背景下,贯彻落实中共中央办公厅、国务院办公厅印发的《关于推动现代职业教育高质量发展的意见》文件精神,通过合理利用BIM和3D打印现代信息技术教学手段,课程中融入建筑机器人、装配式装修、1+X 证书考证教学内容,以及开展增值性评价、科教融汇的方式,对高职建工类核心专业课程进行教学改革创新实践,针对性解决高职传统建工类核心专业课程教学在教学手段、教学内容、教学评价和科教融汇等方面存在的“痛点”问题,结果表明,有效提高了教学效率,使学生掌握最新科技、践行“减碳”目标,同时助力提高了学生的职业技术技能水平、培养学生综合素质。
-
项目驱动式教学法对学生学习能力提升的影响 ——以工程经济学课程教学为例
选取重庆大学管理科学与房地产学院物流工程与管理及工业工程与管理专业2022级和2023级硕士研究生作为研究对象,以工程经济学课程为案例,深入探讨了项目驱动式教学法对学生学习能力提升的影响。通过文献查阅和专家咨询,确定教师投入、学生投入、专家分享、项目实施满意度和学习能力五个关键因素,细化为28个二级指标,以构建假设模型。采用Likert五级量表设计问卷,分析收集的数据并进行模型拟合,以验证其有效性。结果显示,教师的合理项目设计、学生的主动参与和认真以及专家的实际项目应用等因素,对学生的项目实施满意度有显著的正向影响,促进了学生学习能力的增强。
-
《风景园林遗产保护与管理》课程教学中符号学理论的应用探索
将符号学理论融入到《风景园林遗产保护与管理》课程教学,利用符号学方法对文化遗产案例进行解读,分析不同的景观结构、设计语言、主观体验等。具体选取11处国内外文化遗产典型案例,分别提取或抽象出案例所蕴含的符号元素并进行解读,阐述遗产符号在文化具象、主题强化、精神传达等方面的实践作用,发掘不同类型遗产的历史、文化与社会价值,并总结目前案例教学中存在的问题及解决对策,强调利用景观化的手法对遗产进行保护与延续,达到符号学理论与文化遗产景观保护理论相融合的目的,从而为风景园林遗产保护与管理相关教学实践提供一个新思路。
-
体验式教学模式牵引下的《土木工程材料》课程体系建设与创新研究
《土木工程材料》是我院设施工程专业本科学生的一门专业必修课,也是该专业学生获取专业基础知识技能的重要途径,在其岗位任职能力生成过程中起着关键性作用。本文对我院《土木工程材料》课程现存的不足和问题进行了探讨,分析了传统教育模式和理念下学生学习积极性不高,解决实际问题能力不强的原因,并重点解析了课程内容割裂,教学体系相互独立的问题。针对上述问题,概要阐述了推进课程由传统教育模式向体验式教学模式转化的基本思路,明确了“需求牵引”、“实践引发”和“思政服务”的基本建设思路。详细介绍了教学团队在推进课程体验式转型方面的具体做法,从教学理念、内容体系、思政设计和资源建设4个方面介绍了教学团队的创新经验。
-
基于文献计量分析的高校建筑类学科国际联合设计教学发展趋势与前景展望
高校建筑类学科国际联合设计教学对接国际建筑教育前沿理念和技术,有力推动了建筑类学科高质量发展,为我国建筑行业提升国际影响力和引领力奠定坚实的人才基础。本文以CiteSpace、VOSviewer为工具,对CNKI、万方数据库及中国高等学校建筑教育学术研讨会收录的高校建筑类学科国际联合设计教学相关文献进行分析研究,梳理出本领域内的知识图谱,进而发掘2000年以来,高校建筑类学科国际联合设计教学领域研究发展规律,提炼总结其教学模式与核心理念,从教学组织模式、交流开展方式及团队合作设计方面阐释国际联合设计教学模式,并从国际经验的本土化应用、学生能力培养及人文关怀与社会责任感角度提炼国际联合设计教学核心理念,并对其未来发展加以展望。
-
教学与科研的互馈:建筑学青年教师融入设计教学的路径思考
青年教师是高校科研与教学的核心力量之一,面对当前以科研为主导的评价机制,青年教师如何快速适应并融入专业教学过程中,已成为当前国内工科高校教师队伍建设的紧迫问题之一。面对当代人才培养模式、教学方式的转型,文章首先以建筑学专业设计教学为切入点,分析当下青年教师所面临的困境与挑战。继而,基于“教学与科研互馈”观点,以青年教师的视角构建以下“科研”与“设计教学”共融路径:(1)基于建筑本体的设计创新能力培养;(2)基于前沿性课题的知识体系构建;(3)基于“理论、实践、教学”共融的课程教案设计;(4)基于传帮带模式的教学团队建设。目的在于促进青年教师以建筑学本体为基础,强化科研与教学相融贯,使自身更好的融入设计教学。
-
高校推进智慧教育改革过程中的问题与举措
本文分析了我国教育信息化水平和智慧教育发展现状,阐述了我国高校在推进智慧教育改革过程中在软硬件融合、共享资源服务平台、教育信息化保障机制和教育教学理论等方面存在的问题与挑战。有针对性地给出智慧教育助推我国高校教育高质量发展的五方面举措:提升智慧教育软硬件有效融合水平,构建智慧教育新场景,提升智慧教育的效果;升级优化国家智慧教育公共服务平台,创新智慧教学与资源建设模式;深入开展智慧教育方法和理论研究,创新智慧教学模式与实践,推进信息技术与教育教学深度融合;健全智慧教育和教育信息化保障机制;加强智慧教育平台的监管和审核,防范智慧教育风险。
-
系统论视域下印度理工学院本硕贯通式工程教育人才培养模式的实践与启示
创新人才培养模式能够为教育强国建设提供有力支撑,探索本硕贯通式工程教育人才培养模式,有助于提升工程人才培养质量。工程教育人才培养模式属于系统性问题,研究以系统论作为理论基础,从工程教育人才培养模式的诸要素入手,解构和探索印度理工学院五年制本硕贯通式工程教育人才培养实践。研究发现其贯通式工程教育人才培养呈现特点如下:严进严出,保障培养质量;打破本硕管理壁垒,实现一体化管理;注重政产学合作,实现协同育人;以学生为中心,发挥学生的自主性等。基于此,研究认为未来工程人才培养应坚持跨学科的培养理念,强化质量意识;完善本硕贯通的培养机制,注重人才培养的连贯性;多方协同育人,形成育人共同体;以学生为中心,满足多元发展需要。
-
学科引领下的建筑类研究生全面育人培养模式探索
当前国内高校建筑类研究生培养模式已经在办学思想、课程模式、支撑体系等方面形成了自身特色,建立起了具有创新性和可持续性的人才培养模式。但是在高校德智融合教育实践中,部分德智教育仍未摆脱“功利之教”的思维影响,追求短期效益,功利化倾向较为明显,偏离了研究生教育立德树人的根本目的。因此,基于全面育人理念在研究生培养中的作用认识,围绕研究生教学培养方案,构建起了以学科发展为引领、德智双修为途径、三全育人为核心方法的建筑类研究生培养模式,从课程体系建设、教师教学路径、导师育人模式以及保障制度等多方面开展了讨论,来推动构建特色化的建筑类研究生综合培养模式,对培养培育德智双修的综合型人才具有重要现实意义。
-
《基础工程设计原理》学科知识图谱构建与创新模式探索
在“人工智能+”时代背景下,高校教育数字化发展已成为必然趋势。本文紧扣这一时代要求,以《基础工程设计原理》课程为例,借助人工智能技术,深入探索基于知识图谱的课程构建与创新教学模式。依托同济大学网络教学平台的课程知识图谱搭建系统,构建了《基础工程设计原理》课程的学科知识图谱,并据此探索了与之相适应的新型教学模式。这一研究不仅有助于教师更高效地组织教学内容,显著提升教学效果,更好地适应数字化教育的发展趋势;同时,知识图谱的可视化特性也使学生能够迅速把握知识的整体框架,深入挖掘知识的深层含义,从而充分满足新时代学生的学习需求。
-
建构主义视域下SECI知识创造模型在建筑设计基础课中的应用
针对应用型高校设计类专业建筑设计基础课程中出现的知识创造和知识衔接的痛点问题,以建构主义学习理论为基础,以SECI知识创造模型的显性知识和隐性知识的转化过程为框架,通过以往教学的实践及反馈,从社会化(Socialization)、外在化 (Externalization)、组合化 (Combination)和内化(Internalization)阶段,对教学创新优化模式进行探讨,提出基于SECI模型的建筑设计基础课程知识转化螺旋提升策略,探讨在SECI知识建构模型框架下进行多维度知识建构的方法,科学优化隐性知识和显性知识螺旋上升的建构过程,提升知识的转化效率,创建学生主动建构知识的模式,为“以学生为中心的”建构主义理论教学实践提供一个新的视角与线索,进一步丰富建构主义教学的实践方法。
-
面向双碳战略的《低碳建筑能源技术》课程教学改革及效果评价
彭晋卿, 李厚培, 罗伊默, 邹斌, 曹静宇, 何颖东, 李洪强, 李念平
双碳目标下,建筑环境与能源应用工程(建环)专业人才培养面临巨大的机遇与挑战。为了促进建环专业人才培养转型升级,湖南大学教学团队针对传统的建筑能源技术类课程存在的教学内容不成体系、教学方式方法单一以及教学、科研、产业割裂三大问题进行了一系列教学改革,并基于此打造了一门专业核心课——《低碳建筑能源技术》。一方面及时更新课堂教学内容,有针对性补给前沿知识,深入挖掘课程思政元素,持续优化课程教学内容;另一方面通过开发先进虚拟仿真实验平台,推广体验式实践教学方法,加深学生对低碳智慧建筑能源系统的认识;此外,通过搭建产学研用融合教学平台,新增校企联合指导课程设计,打破课程教学、科研和产业互相割裂的现状。课程建设以来,取得了丰硕的理论成果,包括四位一体课程体系、“虚实结合”实验教学方法和具有鲜明科教融合特征的教学资源,可为我国《低碳建筑能源技术》及类似课程教学的创新和优化提供理论依据和教学指导。实践证明,以上举措取得了良好的教学效果,可有效提高建环专业学生的专业素养和创新能力,从而实现双碳目标下建环专业高素质人才培养的目标。
-
沉浸式虚拟现实技术在高校建筑学科课程中的应用
沉浸式虚拟现实(Immersive Virtual Reality,IVR)技术为建筑教学场景以及新兴设计科学所涉及的实证研究提供了新的可能性。在学科转型与技术发展的背景下,本研究通过对国内外建筑学院开设的IVR相关课程分析,将利用VR的完整课程体系分为体验、基础、应用、进阶四种呈现技术难度由低向高的金字塔式结构,高阶成果在低阶课程中进行应用。其在建筑教学中的应用可以分为设计教学及非设计教学两类。对设计教学来说,VR可以使得学生从第一视角检查空间关系及体验、理解空间设计问题。在非设计教学中,利用IVR技术将教学方式转向交互式教学可以以更低的获取成本、更清晰的学习过程帮助学生建立直观认知,并使学习者在安全、易达的环境中进行实践操作。但是,IVR技术尚不能让学生在评估测试中取得更好的表现。本研究最终以清华大学城市人因实验室全景仿真实验室的设计与实现为例,应用研究成果并结合需求提出当前实验室发展面临的问题,即对于IVR引发建筑教学方式与教学内容的双重变革,教学内容的改变是目前国内院校尚需着力探索的方向。
-
土木类专业实践教学课程思政建设路径探索
面向土木类专业人才培养目标,通过挖掘并梳理我国重大土木、水利与交通工程建设中蕴藏的创新思维、工匠精神、职业伦理等思政元素,提出了“入门—巩固—提高—升华”的四阶段、“进阶式”土木类专业实践教学课程思政建设路径。采取“请进来”和“走出去”相结合的模式,将企业技术专家请进实践教学课堂,把学生送到重大工程建设一线,建立了校企融合课程思政教学模式。以“基建强国”“中国速度”等工程建设行业荣誉和技术创新成果为载体,提出了“开门见山”“榜样引领”“情景亲历”和“隐性渗透”等土木类专业实践教学课程思政教学方法。
-
木工机械类实验虚实结合风险管控模式探索——以重庆大学建筑模型实验室安全工作为例
高校木工机械类实验室由于木材本身性质复杂、加工设备种类多、危险性大,安全教育培训缺乏针对性,往往存在较高的实验安全风险,其中所包含的固定风险和过程风险特征比较清晰。随着数字化经济快速发展,实验室智能化、自动化、可视化相关研究不断进步,虚拟仿真及可视化模拟给木工机械类实验室安全风险管控模式优化带来了新的契机。本项目从“机械设备、实验环境、虚拟项目”三方面探讨木工机械类实验室虚实结合的风险管控措施优化以及安全教育模式创新,并进一步开展应用成效评估。实践表明,虚实结合的实验室安全风险管控模式可以有效提高学生实验风险意识,强化学生安全心理认知,并能有效促进实验安全教育培训方式拓展,对高校提升实验实践教学质量、落实实验安全技术管理等相关工作具有积极的参考价值。
-
空间规划转型与乡村振兴背景下总体规划和乡村规划课程一体化建设探索
国土空间规划转型以及乡村振兴等让总体规划与乡村规划在结构体系及实施实务层面更加紧密,也给高校开展相关课程建设提出了挑战和改革契机。本文在阐述总体规划与乡村规划一体化建设的必要性后,主要以哈尔滨工业大学深圳校区城乡规划专业的相关探索为案例,介绍了“教学方案调整、教学基地优选以及教学内容重组”等探索,总结了“提升学习成效、降低学习负担、提升学习积极性”等方面的成效,归纳了“竞赛嵌入下课程关系的平衡、多阶段任务下跨尺度的思维转换、突出空间资源配置下的规划传导”等难点,提出“精细日程安排、强化师资培训、引导学生适应与自主探索”等建议,以期为相关院校推进课程建设提供参考。
-
工程管理专业学位论文问题之所在?一个高校专家盲审意见书文本追踪分析
随着工程管理专业硕士招生数量增加,加强培养质量监控,学位论文成为培养质量衡量指标。本研究依据M高校学位论文评审的要求,确定论文选题、文献综述、论文水平、论文规范等四个方面作为一级节点,四位研究者借助Nvivo12.0 对学位论文的专家盲审意见书提出的问题与建议进行文本交叉编码分析,辨识形成14个二级节点,50个三级节点问题。其中,一级节点论文水平和论文规范性问题比例相对较高,二级节点选题研究、研究成果与前沿动态、研究对象、问题及方案、理论方法及技术选择、工作量及研究深度、结果应用性、结构与思路、文字表达、写作规范存在问题较多,并列举三级节点问题的具体表现。由此,提出监控学位论文质量管理建议。
-
基于学科评估的高校教师绩效改革初探
第五轮学科评估已落下帷幕,但借助学科评估以评促建、以评促升的工作仍在进行当中。高校教师绩效评价体系改革作为促进学科建设与发展的有力抓手,应高效利用学科评估信息,结合国家导向及学科特色,制定符合新时代一流学科发展要求的教师绩效评价体系。研究以深圳大学某二级学院教师绩效评价体系改革工作为例,通过第五轮学科评估指标体系分析学科短板、按照学科实际情况修订教师绩效评价体系,探讨如何有效借助学科评估信息实现教育评价改革,以助力地方高校的学科高速发展,为一流学科建设提供案例参考。
-
多重背景下应用型高校工程管理专业特色化创新转型发展
本文旨在探讨在多重背景下,如何推动应用型高校工程管理专业实现特色化发展和创新转型。首先,分析了多重背景下应用型高校工程管理专业发展的定位和人才培养要求;其次,重点探讨了当前应用型工程管理专业发展在“广”和“深”两个方向可能的拓展方向和深化的领域;然后,提出了通过微专业建设与开展产教融合等促进专业发展的方式;最后,从避免傲慢和固执的心态、提高师资能力、总体布局并逐步推进实施等方面提出应该专业特色化创新转型发展时的注意事项。
-
新工科背景下工程力学课程思政教改实践探索*
本文拟开展工程力学课程思政建设研究与实践。首先,优化课程内容,将思政教育融入到工程力学理论与实践中。其次,创新教学方法,采用案例教学、项目实践等形式,引导学生将工程力学知识与社会发展、工程伦理等问题相结合。此外,注重培养学生的创新意识和社会责任感,通过团队合作和实践项目,培养学生的团队协作精神和社会担当。最后,建立有效的评价体系,综合考量学生的综合素质和思政教育效果,形成协同育人效应。
-
基于数字化技术的城市更新规划课程教学改革探索
我国城乡建设由增量建设转入存量提质阶段,规划设计需要更为科学化、精细化、定量化的分析、评价与判断。本文从传统城市更新规划课程教学现状出发,以数字化技术对城市更新规划课程影响为线索,通过探索学生在前期调研、现状分析、方案生成和成果表达四个学习阶段中数字技术在城市更新课程中的运用,旨在培养学生数据挖掘与收集能力、数据分析能力、数据可视化与方案表达能力。基于课程实践来提高学生的创造性、专业能力和综合素质,促进人才培养思维由过去经验式感性设计向定量化理性分析转变。
-
赛练融合视角下学科竞赛在建筑类研究生培养中的作用思考
学科竞赛在建筑类研究生培养方案中具有重要的作用,探索如何发挥学科竞赛的积极作用,对于提升建筑类研究生的培养质量具有重要的价值。文章总结分析了学科竞赛对研究生培养的影响,从问题意识、创新思维、团队精神、学科融合、前沿知识等五个方面,探究学科竞赛在建筑类研究生培养中的作用,然后结合建筑类学科相关竞赛为案例,详细阐述了学科竞赛如何提升研究生各方面能力,并针对性地提出优化赛练融合的建筑类研究生培养方案思路,包括建立赛练结合的课程体系、完善竞赛辅导及支持机制、以及制定持续评估与改进方案等相关措施,期望以赛练融合提升建筑类研究生实践与创新结合的综合能力。
-
延伸拓展,交叉融通:建筑热工方向大专业跨度研究生培养中的过渡课题设置
建筑热工学对建筑环境被动式营造的强调契合我国的“双碳”政策,也符合我国高校加快推进“新工科”和“双一流”建设的时代背景,吸引了越来越多跨专业攻读该方向的研究生。为大专业跨度学生设置适当的过渡课题能够有效地帮助他们快速进入建筑热工专业领域,实现学科交叉融合。本文首先分析过渡课题设置的必要性和意义,然后针对选题标准、原则与方法以及过程中的评估与调整,论述大专业跨度研究生培养过程中过渡课题设置与实施的要点,最后结合两个典型案例,就过渡课题的设置思路及其培养成效进行详细的剖析。过渡课题既是对导师和学生的共同挑战,又是促进学科交叉融合的良好抓手,应根据学生的具体情况以及导师和课题组的研究方向进行个性化的方案定制。本文研究成果能够有效地促进建筑热工方向大专业跨度研究生的培养,同时供其他学科参考借鉴。
-
基于“产出导向法”的土木工程专业留学生混合教学模式初探
我国高等教育国际化起步较晚,留学生的培养目标和教学模式仍处于探索阶段,教学效果相对于本土学生仍有较大差距。首先归纳了当下留学生在专业教学活动中遇到的主要困难,从高校管理模式和教学方法层面探究产生上述问题的本质原因;其次结合土木工程的专业背景,拓展了“产出导向法”应用范围,提出了适用于土木工程专业的教学理念,教学假设和教学流程;再者以留学生工程地质课程为例,设计了符合“产出导向法”教育理念的混合教学模式,并对其教学效果进行论证。教学实践证明混合教学模式能够显著提高教学质量,同时受到留学生群体的广泛欢迎。相关成果可为进一步推进留学生工程教育改革和发展提供参考。
-
基于专创交叉融合的机械工程专业创新创业教育体系构建与实践研究
大学生创新创业教育的实施对于促进高校教育教学改革,推动大学生全面发展以及社会进步具有重要意义。面向大学生创新创业教育,创新高校人才自主培养体制机制能够更好的满足社会对多样化、拔尖创新人才的需求,激发学生创新潜能,培养更具实践能力和创新创业精神的人才,进而推动高等教育与社会发展的紧密结合。北京工业大学机械工程学科积极探索并构建了以“专创交叉融合”为基础的人才创新创业教育体系,力图从课程建设、教学方法、师资培养、评价机制等方面,着力提高学生创新创业能力,加强知识运用能力,以提高学校人才培养质量,对促进中国高校创新创业生态系统具有积极的借鉴价值。
-
应用型高校土木工程专业数字建造与管理人才产教循环培养机制探索与实践
由于协同诉求目标不一、协同保障制度不全、协同激励机制缺失、协同创新动能不足等因素,校企协同产教融合机制往往难以有效建立和运行,成为当前地方高校培养高素质应用型人才的瓶颈。面向建筑业转型发展需求和土木工程新工科建设需要,依托建筑业现代化产业学院,探索产教融合培育地方应用型数字建造与管理人才。针对校企双方关注点错位导致的校企协作产教融合难以深度落地的难题,基于校企双方特点,分析了校方主导的校企融合产教循环机制建立的意义、可行性和必要性,构建了校方主导的“一引、二拓、五融合”的产教循环师生成长共同体育人模式。通过组建数字建造与管理创新团队,培育“梦之启航”BIM工作室和产业特色班,积极对接行业、服务企业,促进产教融合外循环;同时,突出内外衔接,通过应用型课程建设、学科竞赛课赛融合、毕业设计创新等一、二课堂融合改革的举措,实现人才培养内循环。经过五届学生培养实践探索和研究,产教循环的机制逐步形成并持续改进。对比实践前后师生状态,根据各阶段对学生精神面貌和学习状态的观察、师生反馈及显性成绩、行业企业与学院建立合作关系的积极性等因素,得出结论:按照“一引、二拓、五融合”的实施路径,可以有效建立校方主导产教循环机制,较好地破解产教融合落地难点,促进学生专业素质、教师教学水平以及师生团队服务企业能力的提升。该模式可为地方应用型本科院校推进产教融合人才培养提供借鉴。
-
林业高校土木工程专业木结构实验教学项目设计与实践
低碳装配式木结构的推广应用符合国家“双碳”发展战略,而木结构方面的人才培养是助推木结构产业发展的源动力,应用创新型人才培养的核心是实践能力的提升和创新意识的培养。以林业高校木结构人才培养创新为目标,研究了土木工程专业木结构实验教学项目建设的必要性;基于工程教育专业认证的OBE理念,结合土木工程专业现有实验教学体系,设计了三种不同类型的木结构实验教学项目及其考核方式,并讨论了木结构实验教学项目的适用性。为构建完备的木结构建筑与材料专业实验教学体系提供了有效参考。
-
以“创新”为引导的交通运输工程学科研究生科研思维能力培养的研讨式教学模式研究
研究生教育作为高等教育体系中的重要组成部分,在培养创新人才、推动科学研究和社会发展方面发挥着举足轻重的作用。因此为实现研究生教育在培养创新人才和推动科学研究方面的目标,培养学生的科研思维能力显得尤为重要。本文就当前研究生教育过程中存在的问题,提出了一种以“创新”为引导的研讨式教学模式,并结合华东交通大学交通运输工程学科的实际情况,以研究生课程“交通运输工程学科前沿与新进展”为例,制定出详细的实施方案和安排。这种研讨式教学模式有助于锻炼研究生的各项能力,促进其科研思维能力的形成与发展。
-
融入大科学装置研发元素的工程抗震专业课程教改研究
课程思政对土木工程专业教学与人才培养提出了更高层次的要求,如何将专业教育和思政教育相融合,是建设高水平人才培养体系的要求。为提高土木工程抗震类课程的教学质量和教学效果,文章以土木工程抗震类课程当前教学中存在的问题为出发点,介绍引入思政元素开展课程改革的必要性和改革具体措施,旨在借助抗震典型案例为课程切入点激发学生坚守“四个自信”、借助抗震理论和技术发展深化学生科技革新使命感、借助振动台实验唤起学生工匠精神、借助“国之重器”激发学生“护航者”精神。在实际教学过程中,课程采用线上线下课程结合的授课方式,并且创新的加入观摩大型振动台实验的教学环节,进一步激发学生对抗震技术专业知识的兴趣和投身国家创新改革的热情。教学实践证明,新时代背景下理工科学生职业成长与国家建设的需求与强烈社会责任感紧密相连。通过课程改革,有助于提高课堂效率和效果,有助于激励学生培养敬业、精益、专注和创新的工匠精神和时刻心系家国的“护航者”精神,进而激发学生坚守科技是国之利器、国之依赖、国之根本,培养高质量的土木工程人才。
-
问题导向的《土木工程中的智能控制》教材建设探索
在教育教学改革全面发展的新阶段,对于教材建设与改革关注明显不足,教材在人才培育中却发挥着不可替代的作用。进入新时代,在习近平新时代中国特色社会主义思想的指引下,以问题导向的教材建设是核心要义。在《土木工程中的智能控制》教材建设中,坚持以问题为导向,通过调研发现现有教材的问题,为解决问题提出了新版教材建设的总框架与总体特点。同时借助信息化平台,探索“纸数融合”新形态教材建设。教材建设可为智能建造专业人才培养奠定坚实的基础,同时可作为其他新工科专业教材建设的有益参考。
-
“新工科”背景下城乡规划学科研究生培养研究进展与展望
新工科是国家工程教育发展的新思维和新方式。城乡规划学科研究生培养亟需推进改革,响应新工科发展的战略选择。既有研究对新工科背景下城乡规划学科研究生培养的理念、方法等相关内容进行了探讨,但对相关成果的系统梳理相对欠缺。采用质性文本分析方法,借助NVivo软件对既有研究成果进行梳理和凝练总结。结果表明,相关研究主要包括培养基本要求、现存问题以及优化策略三方面,其中基本要求与优化策略是研究焦点,对现存问题的讨论仍有待深入。面对新工科的需求,城乡规划学科研究生培养应通过优化培养模式、改革创新教学体系、加强师资队伍建设、完善支撑条件建设等来积极应对。未来研究需深化剖析现存问题,强化不同案例的对比分析及追踪研究,提升研究成果的科学性和普适性。
-
“十四五”时期中国省级政府高等教育的政策方向及优化
“十四五”时期,高等教育进入新发展阶段,各省级政府作为高等教育建设的关键主体,纷纷发布政策加快推进高等教育发展。本文构建了“政策主题—政策工具”二维分析框架,对中国省级政府出台的《“十四五”教育事业发展规划》进行量化分析。研究表明:省级政府高等教育政策主题覆盖全面,但是政策供给存在差异;政策工具均得到使用,但缺乏科学的互嵌关系;政策工具和政策主题的交叉组合耦合度较低。未来政策调整应弥补政策供给的短板以充分发挥大学基本职能,综合政策工具使用并优化政策工具间的互嵌关系,注重政策主题与政策工具的耦合以激发高校发展活力。
-
数智技术赋能高等教育质量监测数据库的构建与应用研究
在数字化时代的总体布局中,技术驱动教学升级、信息赋能教育改革的“科技+教育”模式已成为教育未来发展的必然趋势和建设高质量教育体系的重要策略。建设教育强国,龙头是高等教育。加快推进高等教育质量监测数智化发展,能够帮助高校及时全面地掌握动态信息,客观准确地评估教育发展现状和水平,对开拓高等教育可持续发展新局面,书写教育多方位服务社会主义现代化建设新篇章,具有非常重要的导向意义。文章基于国内外现有研究理论与实践经验,不同于传统的单一化数值型数据库,结合高校特色和时代特征,以多元化、多维度、多层次、综合性的大数据库为推动基础,建立健全“科技+教育”视域下具有信息采集、数据处理、质量分析、评价决策、评估预测和风险预警六大系统的高等教育质量监测数据库,并通过基于角色的访问控制进一步解决敏感数据、安全管理等问题,最后推动建立结果运用机制,为教育质量常态监测、完善教育质量评价体系、创新高校管理体系提供技术支撑,有效发挥监测平台诊断、改进、引导功能,精准服务高等教育从“有质量”迈向“高质量”。
-
红色研学视域下新时代高校爱国主义教育探析
红色研学是以红色文化为重要载体,通过学校教育和校外教育相衔接、理论教育和社会实践教育相结合的形式,有目的、有组织、有计划地引导研学者切身体验感悟党的光辉历史,具有鲜明的政治性、强烈的时代性、科学的统筹性。红色研学融入高校爱国主义教育有助于传承弘扬红色文化,坚定文化自信;讲好爱国主义教育“大思政课”,落实立德树人根本任务;坚定青年学生理想信念,厚植爱国情怀。立足新时代背景,运用红色研学推进新时代高校爱国主义教育,应该从把握教育规律、丰富教育内容、优化教育环境、完善保障机制四个维度入手,切实提升新时代高校爱国主义教育的实效性。
-
“国优计划”:高质量教师队伍建设的机遇、挑战与路径
《国家优秀中小学教师培养计划》的启动和实施是我国高质量教师队伍建设新的政策机遇,推动了我国高质量教育的发展、教师教育提“质”以及科学教育的优化,是进一步健全中国特色教师教育体系的有力举措。由于“国优计划”的突破性与创新性较强,政策实际施行过程中仍在研究生从教意愿、双学位多导师模式、“订单”培养教师地位及待遇方面面临着诸多现实挑战。因此,为保障“国优计划”实施效能、落实高素质中小学科学类教师培养,可通过增强学生教师职业认同、调动合作院校协同育人以及提升用人单位优师观念等路径进一步优化政策内容,推进政策的稳步实施,实现高质量教师培育的政策使命,促进我国教育的高质量发展。
-
土木工程专业课程思政的研究与探索
“专业课程是课程思政建设的基本载体”。以土木工程专业的土力学课程为例对两个年级606名本科生进行了2次教学试验,设计了专门的教案,进行了问卷调查和课后学生开放问卷分析。结果表明,第2次实验比第1次更成功;在专业课程中融合学习一定的思政内容确实很有必要,但要注意融合的方式和方法;要让学生在思政方面有更多的收获,一定要在教师身上做文章;良好的教学效果不是良好课程思政效果的充分条件,但是,教学效果非常好或非常不好的教师,其课程思政的效果往往也很好或也不好;案例的设计要更加契合思政元素的内涵。最后,从课程、教师、学生、环境四个维度提出了相关建议。
-
新时代国防科技工程卓越人才培养模式创新
在“新工科”和“国防科技创新”的时代背景下,社会对国防科技工程人才培养建设提出了新的要求,以往人才培养模式难以满足对具有跨学科能力、创新精神、实践经验、爱国情怀和全球化视野的综合型人才培养需求,欠缺之处表现为教学课程国防导向性弱、学生国防工程实践不足、国防教育工作重视度低,严重阻碍了国防科技工程的发展,难以满足现代化战争的技术和人才需求。 本文通过研究新时代人才培养模式存在的问题及其原因,分析国内专家学者针对这些问题的研究现状,提出从“融入国际思维、消除学科界限、革新教学方法”加快教学内容的国防导向性更新、从“激发创新潜能、联合军工企业” 培养学生的国防工程实践能力、从“厚植爱国之根、传授国防之学” 深化为国为民的国防思政教育,总共三个方面进行国防科技工程人才培养模式创新。 本文主要在以下两个方面做出拓展:其一,以国防科技工程为导向,推进面向军事工业技术的教学资源革新;其二,联合军工龙头企业,深化产教一体的育人路径。这些改革措施具有推动现代化军事技术创新、全方位培育卓越军事科技型人才、建设国防安全统一战线的意义。
-
面向国际化的土建类人才培养体系构建研究
本文从国家及全球形势着眼,结合沈阳工业大学建筑与土木工程学院办学特色,提出以“引进—输出—共建”为特征,基于全面提升学生国际化创新能力的“1-2-3-6”模式,即“1个目标、2个层面、3个能力、6项保障”。“1个目标”是以培养国际化创新型人才为目标;“2个层面”即支撑目标的两个层面即“国际化条件”和“国际化素养”;“3个技能”即“国际化意识、国际化能力、国际化视野”;6项保障即从培养机制、师资、平台到实战等所采取的六项保障措施。通过对土建类国家化人才培养体系的建构及研究,不断积累、总结出适合本科院校发展的国际化办学途径,为沈阳工业大学国际化化办学发展提供基石。
-
《地下工程施工》课程思政改革探索
基于当代教学背景,以《地下工程施工》这门学科教学为例,强调了教学方式方法对教学效果的影响,提出将思政元素融入专业课程中的重要性。通过具体案例阐述了将思政教育理念、目的、手段和技巧全面融入到教学中的过程,以及将理论知识教育与价值引领相结合的方法。同时指出了目前在工科类课程中存在的问题,如教学方式相对传统、教学内容单一等,并提出了相应的改进措施。通过研究思政教学模式、优化教学方式等实现多方资源协同育人的课程思政教育教学模式,达到提升教学效果和学生思想水平并促进专业思政课程发展的效果。
-
ChatGPT在高等教育领域应用的隐忧与化解
ChatGPT作为一种基于大型语言模型机器学习系统,一经面世便获得了现象级成功,并引发了其在高等教育领域的热议。作为总结人类语言使用统计规律的人工智能技术,ChatGPT在逻辑推理、信度、创造性、独创性、理解等方面存在着一定局限性。当前学界对ChatGPT在高等教育领域应用的隐忧主要有对高等教育的异化、对大学教师身份认知的威胁和对大学地位的动摇三个方面。将ChatGPT等同于通用人工智能的误区,以及对高等教育领域中的物化逻辑的焦虑是上述隐忧的根源所在。为此,需理性看待人工智能时代的人机关系,让高等教育实践归回本真,在适应ChatGPT的同时采取防御措施。
-
土力学与地基基础课程思政元素的挖掘与运用
《土力学与地基基础》课程作为一门典型的工科课程,对课程中蕴含的思政元素进行深入挖掘,是实现全员育人、全程育人、全方位育人的有力支持。本文结合《高等学校课程思政建设指导纲要》,将课程中蕴含的一级思政元素归纳为家国情怀、传统文化和科学创新;其中家国情怀包含科技报国、社会责任和使命担当;传统文化包含文化自信、工匠精神和人文精神;科学创新包含科学思维、探索未知和科学伦理;并以名人故事、典型案例等去论证了《土力学与地基基础课程》中相应的二级元素;以课程关键章节的重点内容和案例为研究切入点,对课程中典型知识点蕴含的思政元素进行深入挖掘;指出课程思政不是教学内容的“课程+思政”、不是思政元素的“课内+课外”、不是理论研究的“论文+总结”;并以土的抗剪强度理论、试验及工程应用为例,设计了富含思政元素的《土力学与地基基础》专业课程教学方法。对土力学与地基基础课程中思政元素的深入挖掘,有利于培养学生的爱国情怀、宣扬中华民族的传统文化,更会激发学生的科学创新精神,最终达到立德树人的目的。
-
科研实践训练牵引下本科生培养模式 效果研究
针对高等院校在土木工程类本科生培养过程中存在的问题,提出侧重科研实践训练的培养模式,并从课题组培养方案构建、学校层面改进措施两方面探索土木工程类本科生培养的具体措施,通过5届29人次长期追踪记录,根据科研成果数量、成绩变化情况以及考研录取率三方面进行评价,结果显示该模式下,生均科研成果数目达到1项;课题组期间,87.5%的学生成绩得到提高;考研录取率与基准组相比最高提高81.5%。综上所述,侧重科研实践训练模式可显著提高学生学习成绩、考研录取率、科研水平和创新能力。
-
学生视角下路桥专业课程思政认同感及满意度分析
从学生视角分析道路桥梁与渡河工程专业课程思政教学的认同感、影响因素、影响程度及满意度,为改进课程思政教学效果提供一定的理论依据。自制调查问卷、获取有效调查问卷215份,并利用描述性统计、独立样本t检验、相关性分析及线性回归对调查数据进行分析。描述性统计分析结果表明,43.27%的调查对象能理解课程思政具体含义;影响程度的均分为3.111,满意度评价均分为3.805。独立样本t检验结果表明,性别、是否担任过学生干部、课程分类对课程思政影响程度及教学效果评价无统计学意义。相关性分析及线性回归结果显示,思政元素的内容与运用和教师教学组织与设计是课程思政教学对学生产生正向积极影响的主要因素(P<0.05)。调查对象认为影响教学效果的主要因素是思政内容的选取及运用;时政、国家文化、职业相关内容是学生期望的主要思政元素;名言警句及短视频是学生期望的主要思政元素呈现形式。
-
生成式人工智能驱动高等工程教育新生态的构建
杨庆, 孔纲强, 孔宪京, 刘志军, 于龙, 王胤, 王宝民
ChatGPT作为人工智能的代表性产物已经在高等工程教育领域崭露头角,智能化的科技变革颠覆了传统高等工程教育的功能、挑战了现有工程人才结构培养体系、加速了知识生产模式的变革、打破了“师-生”二元结构教/学形式。高等工程教育唯有“主动出击”才能承担起历史重任,以“四个面向”为核心,以解决复杂工程问题为目标,借力人工智能技术构建高等工程教育新生态:突出层次化,优化人才培养结构;以问题为导向,破茧学科壁垒;激发内驱力,唤醒主动与批判意识;文理兼修,培养核心价值观。打造新时代德才兼备、能力出众、层面鲜明、社会认可的拔尖创新人才。
-
新工科背景下课程思政教学模式创新与实践—以《钢结构设计原理》课程为例
在以数字化、智能化升级为动力,实现建筑业转型升级和持续健康发展的行业背景下,以培养复合型、综合性人才为目标,更加注重教学模式创新的新工科建设背景下,研究如何将信息技术与数字技术融入到《钢结构设计原理》课程思政教学中,从而落实“立德树人”的根本任务[1]。课程教学中以钢结构钱塘江大桥(北京交通大学原校长茅以升先生主持监造,铆钉连接的早期钢结构桁架桥)为背景,以茅以升精神为灵魂,使当代大学生通过课上对钱塘江大桥的学习,课后参加各类结构设计竞赛(全国大学生“茅以升公益桥-小桥工程”设计大赛、全国大学生结构设计竞赛、全国高校学生钢结构创新竞赛、北京市大学生建筑结构设计竞赛等)加强练习,从而学习、践行与传承茅以升“先习后学,边习边学”的工程教育理念和“爱国、科学、奋斗、奉献”的精神,构建了学、产、研融通一体化教学模式,实现知识、能力与价值的渗透融合。在课程思政教学研究与实践中,构筑了一套闭环的内涵思政教学体系,凝练出一套浸润式课程思政教学实践模式,实现掌握知识、培养能力、训练思维与塑造价值的总目标。全方位科学考评及持续改进模式,信息技术融入课堂教学以及教学能力提升的举措等研究成果可为同类课程思政教学模式的改革提供借鉴。
-
新型举国体制下卓越工程师自主培育的发展成效、关键挑战与协同治理*
加强卓越工程师自主培育在响应国家重大战略需求、赋能原始工程科技创新、建设工程教育强国等领域中发挥着至关重要的作用。在简述卓越工程师自主培育的战略意义基础上,从政策设计、改革实践、工程教育研究和质量保障论述卓越工程师自主培育的历史成效。进一步,从产教融合、人才培养、教师评价和协同治理等角度指出卓越工程师培育面临的关键问题与挑战。最后,在协同育人治理共同体统筹下,从学生工程实践、工科教师激励、质量评价设计、注册工程师等指出新型举国体制下未来推进卓越工程师自主培育的革新路径
-
面向新时代强交叉人才培养的土木与建筑工程CAE课程建设
在当前高速发展的经济和科技环境下,土木与建筑工程领域面临着不断涌现的新兴技术、创新方法和前沿理念,这也为该行业教育改革带来了新的挑战和机遇。然而,要在充分利用这些机遇并应对挑战的过程中,必须正视当前阶段交叉学科高级专业人才匮乏的现实状况。这一现状在相当程度上限制了复合人才的培养和交叉学科的发展。基于清华大学在土木与建筑工程领域中开设的相关系列课程的发展历程和定位变化,以新时代社会需求为导向,以培养具备跨领域综合素质和能力的强交叉人才为目标,探讨如何通过计算机辅助工程(CAE)课程建设来培养强交叉人才,形成了三位一体、为人师表、业精于勤、因材施教的育人理念,采用了科学原理和应用实践双驱动的教学设计,重新构建了教学大纲并编写高质量教材,注重培养学生对前沿领域的敏感性、跨学科思维和适应变化的能力,强调教学与科研的有机结合,实现科研促进教学、教学带动科研的双向互动效应,并建立教学团队为培养强交叉人才提供跨学科和跨领域的教学资源和专业指导。综合土木与建筑工程CAE课程建设和改革的基本经验,可为培养更多具备交叉学科背景的高级专业人才提供有力保障,从而推动土木与建筑工程学科在当前蓬勃发展的时代不断迈向新的高度。
-
新时代青年奋斗精神熔铸的逻辑理路与实践进路[*]
奋斗精神是中华民族精神的重要组成部分,也是中华民族的宝贵财富,更是实现中华民族伟大复兴的强大精神动力。青年是中国的未来、民族的希望,广大青年要以奋斗姿态激扬青春。新时代青年的奋斗精神熔铸有着丰富的理论逻辑、文化逻辑及现实逻辑。在党的坚强领导下,新时代青年拥有最大的创造空间,也是最有作为的时期,正成为实现中华民族伟大复兴的先锋力量。当今世界处于百年未有之大变局,国内外形势日趋复杂,大量知识迅速升级换代,世界不确定性增强,青年奋斗也面临着前所未有的机遇与挑战。围绕青年成长规律和时代特征,须从坚定信仰信念、坚持多元协作和提升青年能力等三个维度熔铸奋斗精神,引导和助力广大青年从奋斗认知、情感认同到行动自觉,用青春的能动力和创造力,为中华民族伟大复兴而努力奋斗。
-
专业硕士导师团队合作制度的内涵特征和实践路径 ——以重庆科技大学智能技术与工程学院实践
伴随着研究生招生规模的持续扩大,地方院校承担着大部分研究生培养的责任。其中西部地方院校由于地域限制和资源的局限,面临着指导教师师资力量薄弱,学科同质竞争激励,学生创新能力不够等问题,如何保证研究生培养质量,是社会各界十分关注的问题。针对以上问题,本文以重庆科技学院智能技术与工程学院为例,专业硕士导师团队合作制度的内涵特征和实践路径,通过建立小团队大外围稳定的导师合作模式,弥补指导教师师资力量不足的问题;在此基础上,构建“3+2+1”学习的时间单元和多元协同措施,保障学生工程创新能力培养;然后搭建5维开放的学术研讨氛围,保持师生的创新活跃度,促进校内、校际和校企深度交叉融合,克服学科同质竞争的问题。专业硕士导师团队合作制的培养模式可为西部其他地方高校专业硕士研究生高质量培养提供参考解决方案。
-
建筑学科博士研究生延期完成学业现状、成因及本质分析
博士生延期毕业问题受到学界和社会广泛关注,对博士生自身发展与高校博士生培养效率产生诸多负面影响。通过对建筑学科博士研究生延期完成学业现状、成因及本质分析,发现建筑学科博士生能否如期毕业受个体、导师、团队、学科与制度等五个维度多种因素影响。个体层面:感性设计思维向理性逻辑思维转变困难、基础薄弱且投入不足;导师层面:设计师与研究者双重身份失衡、指导缺位及导学关系异化;团队层面:“师徒制”模式与现代科研需求失配、个体与团队需求错位;学科层面:学问方法与评价体系失配、实证研究匮缺;制度层面:培养机制与考核机制失当导致制度执行失效。提出调整建筑学科博士生基本修业年限、基于学科差异实行多元评价制度、扩大贯通制培养方式、构建学术科研梯队、优化导师考核制度、建立学业帮扶机制等措施,以期为改进建筑学科博士生培养模式、降低延期率提供有益参考。
-
通过认识实习增强建环专业认同感的设想与实践
建筑环境与能源应用工程专业是实现双碳战略的支撑专业之一。然而,近年来本专业出现了对学生吸引力下降和部分的优秀生源流失问题。对此,本文设想通过增强学生对专业的认同感,激发学习热情,从而增强学生对专业的信心,留住优秀学生。专业认识实习作为学生对专业的初次实际接触,可以有效起到上述作用。因此,拟将专业认识实习与提升专业认同感结合,以大一新生为认识实习受众,开展“时间提前,内容创新,接触前沿,思政引领”的实习课程改革;同时建设“热爱专业、追踪前沿、共情学生”的教师队伍,以教师作为主体带动学生通过实习热爱专业。目前作者已将改革设想应用至南京工业大学建环专业实践过程中,后续将持续运行改进和探索。
-
双碳时代建环专业面向运行工程师培养的毕业设计选题探讨
双碳背景下如何面向运行工程师培养开展毕业设计选题的创新实践,对提高建环专业人才培养质量具有重要意义。本文以海润教育奖评选的“双碳时代校园既有冷热供应系统智能运行方案设计”选题为例,诠释了题目的关键词内涵,结合工程教育认证通用标准的毕业要求和《建环专业指南》的毕业设计环节知识技能要求分析了运行工程师的能力构成,并结合毕业设计选题的教学内容、教学难点提出了教学改革的路径。本文面向运行工程师培养开展毕业设计选题创新实践,是专业教育主动适应社会发展对工程人才培养要求的积极探索,本选题论证可为建环毕业设计选题多元化教学改革提供参考。
-
基于学生视角的高校专业课程混合式教学思考与改进
混合式教学方法将MOOC和传统课堂教育的优势进行深度融合,是高校创新性工科人才培养的一种新模式,但在进行混合式教学实践中也出现了学生投入不够、选课人数锐减等问题。基于混合式教学实践以及学生问卷调查等方法,从学生视角深入剖析了专业课程混合式教学存在的问题及其出现的原因。学生有意愿改变传统的课堂教学方式,但混合式教学课后自学、研讨所需的时间过多和课程过多的矛盾影响了学生选择混合式教学的意愿;而大量学习时间的投入并没有体现到课程成绩的显性提升也对学生的选择产生影响。进一步立足学生立场,提出了优化课程教学安排、激发学生的内驱力、创新课程教学模式、关注后进学生以及提升教师自身素养等具体改进措施,取得了较好的教学效果。
-
构建建筑设计新工科课程—以重庆大学建筑学木构建筑设计课教改研究为例
在教学改革中,针对课题陈旧,学生学习主动性差,缺乏多学科融合等目前建筑设计教学常见问题,重庆大学建筑城规学院建筑系面向新工科建设要求,以原“重庆大学建造季”课程为基础,构建“新型”木构建筑设计课程。 文章首先介绍建筑设计新工科课程建设的背景,通过分析工程类教育改革的趋势及特点,回顾相关教育理念的渊源及发展,提出面向未来设置课程目标,在教学中贯彻“以学生为中心”和“做中学”的教育理念,积极开展跨学科教育是国内工科院校探索实践工程教育的新理念,构建人才培养新模式的重点;在文章正文中论述了此次木构建筑设计课程教改的主要特点。相较于其他院校的建筑设计课程教改,重庆大学建筑城规学院建筑系尝试以服务国家“双碳”战略为课程建设的总目标;建立以学生为中心的教学模式,以项目组织课程,用真实的建构操作提高学生在学习中的情境性;健全教学体系,逐步形成本硕贯通的多阶段课程,提升课程灵活性和研学深度;依据学生的需要组织教学,在教学中建设“师生研学共同体”;在教学中积极创建新机制,实现多专业、校企联合教学,分阶段构建跨学科教学平台。通过一段时间的探索实践,重庆大学建筑学木构建筑设计课教改已取得阶段性成果,并形成了较大的社会因影响力。
-
土木、水利与交通工程专业“五强一化”课程体系探索与实践
基于新工科背景下的高素质复合型和管理人才培养已经成为土建类专业的目标需求,而培养体系中课程的迭代更新是其中的关键。以浙江大学建筑工程学院土木、水利与交通工程新工科专业为例,结合新时代发展、新工科等实际需求,首次创新性地提出“土水交融通”的先进教育理念,构建了土木、水利与交通工程专业以强智能和强实践为核心的“五强一化”课程新体系,并基于强智能和强实践探讨了土木、水利与交通工程专业在创新与实践、前沿与智能化两个方面的一些改革和实践经验。“五强一化”课程新体系实现了大土木融通的培养模式,开辟了土建类本科人才培养改革的新方向,可为高校开展新工科专业建设和人才培养提供一定的参考建议。
-
装配式建筑施工产业工人培养路径探讨
品质优良、施工快速、减少人工、环境友好的装配式建筑成为我国建筑行业转型升级的重要抓手。工厂化预制、机械化安装及信息化管理则是装配式建筑的典型特征,这使其对施工人员的技术水平要求更高,因此,如何培养高素质的装配式建筑施工产业工人成为制约装配式建筑良性健康发展的关键问题之一。为掌握装配式建筑施工工人队伍实际情况,从年龄、性别、学历、从业年限和培训情况方面,对相关构件生产单位和施工单位工人进行调研。调研反馈数据表明,装配式建筑施工工人队伍老龄化、低学历、缺乏系统培训问题突出,专业工人队伍成长与行业技术发展严重脱节,无法支撑装配式建筑的快速发展。因此,高效培养装配式建筑施工产业工人成为当务之急。面向当前装配式建筑施工工人队伍存在的系统性问题,从职业教育、专业教育和职业培训三个方面深入探讨其培养路径问题。职业教育技术型人才和专业教育技能型人才的培养,可满足行业中远期高素质人才需求;职业培训可提升既有工人队伍技能以解决行业短期产业工人缺口,并形成工人个体终身能力成长体系。建立基于职业教育的技术型人才、专业教育的技能型人才的多层次产业工人培养体系和基于职业培训的多渠道工人能力成长体系,多方位促进装配式建筑施工产业工人的高质量培养,助力装配式建筑可持续、高质量发展。
-
探索国际化高水平人才培养的新思路——以重庆大学国际联合办学本科生全英文课程为例
培养具有国际视野和国际竞争力的高水平人才是高校“双一流”建设的基础目标,也是高校一流学科发展的重要支撑。传统全英文教学课程设置通常照搬国外专业课程体系,专业教材更新缓慢,教学“深度”不够;国内专业课通常聚焦专业领域知识,课程难度较大,教学“广度”不足,学生实践应用能力弱。因此,本文以重庆大学全英文课程《工程材料》为例,积极探索改革方案,寻求中外课程平衡,调动学生学习兴趣,摆脱语言转换思维,分析讨论培养具有国际视野和竞争力的高水平人才新思路。该课程面向“重庆大学?加拿大不列颠哥伦比亚大学”联合培养本科生,已开设6学期。目前,联合培养学生中共计23名学生进入加拿大不列颠哥伦比亚大学进行联合培养,其中21人已毕业,成绩优异,90%以上毕业生进入QS排名前50世界名校深造。
-
新工科视域下工程伦理教学困境解决对策及教学模式设计
工程伦理教育能帮助工程专业学生提高伦理和道德水平,增强社会责任感,提高工程质量。近几年,我国提出新工科建设,而工程伦理教育能为为新工科人才培养作出贡献。目前工程伦理教育存在诸多问题,导致课堂教学效果不高、学生学习层次较低,学生的工程伦理水平较低。研究分析了目前工程伦理教学存在的困境并提出了对应的解决对策。项目基于新工科培养要求对工程伦理教学从教学内容、教学方法和评估方式等方面进行了全面的教学创新设计。教学内容从创新思维培养、跨学科融合、实践教育、国际视野和社会责任感五个方面作出改革。教学方法则采用基于任务驱动的混合式教学模式。评估方式采用任务评估、问卷调查和数据评估等三种方式全面、综合评价学生的工程伦理水平。该教学模式能有效提高工程专业学生工程伦理水平,满足 “新工科”人才培养要求。
-
高校大学生参与学科竞赛的意愿及其影响因素研究——以工程管理专业学生为例
随着高等教育的不断发展,学科竞赛作为培养人才的重要形式之一,受到了越来越多的关注。作为学科竞赛重要的参与者,高校大学生在参与竞赛过程中面临对学科竞赛的认可度较低、缺乏参与竞赛的信心、获取竞赛信息渠道单一以及参与竞赛的氛围不佳等诸多问题,导致了大学生参与学科竞赛效果不佳,如何更好地促进高校大学生参与学科竞赛也成为新时代教育重要研究课题之一。本研究基于计划行为理论和社会实践理论,结合高校大学生参与学科竞赛特点,识别高校大学生参与学科竞赛意愿的影响因素,构建高校大学生参与学科竞赛意愿影响机理模型,并以工程管理专业大学生为例,运用SPSS和AMOS统计软件对回收的375份有效问卷进行信效度分析、因子分析和结构方程模型验证。研究发现,参与学科竞赛态度、主观规范、就业或者升学优势对高校大学生参与学科竞赛意愿有显著正向影响,而知觉行为控制、良好的学校竞赛氛围、高校大学生的个体特征对其参与学科竞赛意愿影响不大。在此基础上,提出促进高校大学生参与学科竞赛的三点建议,包括加大学生教育培养工作力度,改善学生参与学科竞赛态度;扩大学科竞赛信息宣传范围,提升学生参与学科竞赛主观规范;建立健全学科竞赛制度体系,凸显学生参与学科竞赛未来优势。
-
新时代建筑类专业研究生课程的思政融入模式分析
中国已成为研究生教育大国,研究生教育肩负着中国特色社会主义新时代高层次人才培养和创新创造的重要使命。作为研究生必修课——论文写作指导课程,既承担着学术论文技能培训的教学任务,又担负着学术规范、学术标准的教育和引导责任,通过课程思政教学改革有利于培养高层次人才。本文以苏州大学建筑类工学研究生专业必修课《科学研究方法与论文写作》为例,通过深入挖掘思想政治教育资源,将思政元素充分融入到《科学研究方法与论文写作》课程教学中,构建集“立德树人,研立‘诚信’”为基石,“家国情怀,研系‘报国’”为指引,“科学铸魂,研学‘精神’”为动力,“多元思融,研贵‘践行’”为目的等于一体的课程思政融入模式,以期对培养担当民族复兴大任的新时代创新人才发挥积极作用。
-
高等教育数字化治理:缘起、挑战与应对
高等教育是建设教育强国的龙头,高等教育数字化是实现教育大国向教育强国跃升的必然选择。在全球教育大变革的背景下,高等教育数字化治理是顺应数字时代的必然要求、提升教育质量的客观需要、国家战略发展的内在需求。虽然我国高等教育数字化治理工作已经取得了一定成就,但仍存在数字治理理念尚未转变、数字治理主体素养欠缺、数字治理技术不够成熟、数字治理制度有待完善等现实挑战。针对存在的问题,高等教育治理主体应转变理念、培养高等教育数字治理思维,提升素养、培育高素质技术型数字人才,变革技术、推动高等教育数字转型升级,完善数字化制度建设、优化高等教育数字治理布局。通过数字技术为高等教育深度赋能,促进高等教育高质量、可持续发展,让数字化治理为我国高等教育现代化建设提供有力支撑。
-
“地基处理技术”课程思政体系构建与实践探索
把“立德树人”作为教育的根本任务,将各类课程与思想政治课同向同行,形成协同效应,构建全员、全程、全过程育人格局的形式,是高校课程教育重点改革方向。《地基处理技术》是土木、水利及海洋工程等本科专业课。面向课程思政碎片化、牵强化和课程知识体系联系不紧密等问题,结合《地基处理技术》课程的内容与特点,提出国家需求-工程问题-学科交叉-思政教育(DPCI)“四位一体”总体建设方针;简述以服务于专业毕业要求的课程教学目标及以服务于专业课程思政的课程育人目标;结合地基处理课程授课章节知识点,分别从国家大政方针政策、大型工程建设案例剖析,形成思政素材与课程相关教学内容,并建立“课程思政评教”评价体系;构建了课程思政教学设计与实践体系,在课程传统专业知识体系中有机融入前沿新工科内涵,强化人文内涵与学科交叉,构建土水融合特色鲜明的课程思政案例库,实现课程育人与专业育人的有机映射,帮助学生更加全面、更深层次的学习、理解本门课程;为土木、水利及海洋类专业的课程思政教学及“三全育人”提供借鉴与参考。
-
OOBE理念下的课程思政系统设计及实施效果——以工程项目管理课程为例
培养德才兼备的高素质工程管理人才对于新时代中国工程建设的高质量发展具有重要意义。工程项目管理作为工程管理专业的核心课程以及面向工科专业开设的必选课程,要积极探索课程思政系统设计和有效实施的路径,发挥专业课程思政的育人功能,为工程领域培养“担当民族复兴大任”的高素质管理人才。论文将课程思政培养人才、以德育人的目标导向和以学生为本、提升能力的教学产出导向充分融合,提出课程思政目标和产出双重导向的OOBE理念,在此基础上构建了工程项目管理课程思政的建设与实施框架。首先,创建“价值-素养-道德”三维思政目标,挖掘工程项目管理的思政要素,指导“思政-能力-知识”一体化的教学内容设计;并设计“情景-体验-启发”式教学组织和“学业成果-情感认同”双重效果检验作为课程思政的实施保障。其次,围绕“紧密式分工合作”思政团队建设、“主题式课程思政”教学资源建设、“交互式兴趣激发”教学方法改善和“探索式能力提升”教学手段创新,组织实施工程项目管理课程思政。最后,通过多元化考核和问卷调查的结果表明,学生参与度提高,课堂活跃,专业综合能力提升以及对课程思政要素的认同度较高,验证了OOBE理念下课程思政建设与实施框架的有效性。
-
建筑3D打印线上线下混合教学模式创新与实践
为加快推进建筑业朝工业化、数字化、智能化方向转型升级,许多高校正在积极建设智能建造专业,并推出了一系列新的专业课程。其中,建筑3D打印是许多高校智能建造专业的一项特色课程,其教学内容涵盖机械、材料、信息等领域的知识。但传统课堂教学和大范围实验存在一些问题,比如学生学习兴趣不高和知识理解效率低,以及大范围实验受制于3D打印的高成本、长制作周期和低成品率的限制。因此,有必要探索线上线下混合式教学模式,以激发学生的学习兴趣,并充分培养学生的实践精神和创新能力,从而有效提升教学效果。本研究以华中科技大学智能建造专业的建筑3D打印课程教学为例,讨论了建筑3D打印线上线下混合式教学的内容设计与实践运行。该课程搭建了建筑3D打印虚拟仿真系统,提供三维模型格式转换、模型自动检测、模型修复等工具,使学生能够进行虚拟打印操作,以最低成本和最短时间对打印模型参数进行调整。此外,使用基于工业级六轴机械臂的建筑3D打印设备进行线下打印实践,建立了标准化的打印工艺流程,以确保打印构件的高精度成型。通过“月壶尊”壳体结构混凝土3D打印案例,介绍了该线上线下混合教学模式下的完整学习过程。这种教学模式符合智能建造专业掌握一种软件语言、驱动一台硬件设备、解决一个工程问题的“三个一”人才培养理念,为其他高校开展建筑3D打印教学提供了有益的参考。
-
土木工程专业结构抗火课程建设探索与实践
火灾是威胁建筑结构安全的主要灾害之一,结构抗火设计是钢结构和组合结构设计中非常关键的一个环节。随着GB51249-2017《建筑钢结构防火技术规范》的应用和推广,结构抗火设计方法也从传统的基于试验的结构抗火设计方法过渡到基于计算的结构抗火设计方法。为了扩大学生专业视野,提高专业技能,掌握结构抗火设计的基本理论和基本方法,培养结构抗火设计的能力,提升专业核心竞争力,重庆大学从2011年开始开设研究生选修课《高等工程防火理论》,从2020年开始开设本科生特色专业选修课《结构抗火设计基本原理》。本文概述了作者对本科生课程的建设探索及实践,介绍了课程培养层次、目的和目标,通过多个教学内容片段重点讨论了科研成果支撑教学的尝试,课程教学中有机融入思政的方法,为土木工程同类特色专业选修课的建设提供参考。
-
世界一流大学建设中政府作用的比较研究
中国政府在建设世界一流大学的道路中起到了突出作用,是建设世界一流大学的坚实后盾。通过梳理国外世界一流大学建设中政府作用的研究发现,政府在组织创新、人才需求、法律法规、资金支持四个方面发挥了重要的作用,成为国际经验的重要组成部分。中国开展世界一流大学建设,既不能脱离本国实际,盲目照抄照搬国际经验,也不能忽视大学发展的共性规律,固步自封,而应当立足本土、放眼全球,在借鉴吸收国外世界一流大学建设经验的基础上,从本国国情出发,创造性地探索中国建设世界一流大学的本土道路,探寻中国政府在建设世界一流大学中发挥的作用,为世界一流大学建设贡献中国智慧和中国经验。
-
工程教育学对解决新时代工科教育立德树人问题的思考
二十大报告中习总书记强调要落实立德树人根本任务,天津大学设置的工程教育学二级学科博士点为新时代高等院校工科专业立德树人工作提出了有效的解决思路。通过对古今中外工程教育学的研究,分析当代工程教育学视角下工科专业立德树人存在的问题:教师德育功能弱化、忽视学生素养培养、师生关系缺乏温度,高等院校工科专业教师在教育理论方面积累不足,是制约工科专业立德树人的瓶颈。“师生共同体”的构建是解决立德树人问题的有效途径,提出新时代高校工科专业“师生共同体”的建设路径:教育——工程双背景教师的培养、教师时间供给侧改革、关怀温暖型师生关系的构建。研究成果可为我国新时代高等工程教育立德树人工作提出新的启示。
-
高校创新能力对创新人才培养质量的影响浅析--基于30个区域创新指数
基于30个地区高校创新能力和人才创新指数,运用双变量相关性分析法,明确高校创新能力对人才创新指数的25个关键影响因素。通过对25个关键影响因素的因子分析,提取3个共性因子,分别为f1研发资源、f2创新平台建设、f3创新主体。采用多元回归(逐步回归)法,探究3个共性因子对人才创新指数的显著性影响,结果发现地区高校的研发资源是影响创新人才指数的重要因素,一定程度上影响创新人才培养质量,基于此,提出三条建议:重点优化地区高校研发资源;完善高校创新平台;不断提高创新主体的创新思维与创新能力。研究成果为提高高校各专业科技创新型人才的培养质量提供一定理论指导。
-
如何践行课程思政——以一堂“住区设计”课为例
为了培养德才兼备的中国式现代化建设人才,以“三全育人”为格局、“立德树人”为目标的课程思政已在我国各级学校广泛开展,但在实践中仍然有不少教师感到无所适从、力不从心,为此,本文采用实证研究的方法,以一堂“住区设计”课为例,介绍了作者在课前、课中、课后所做的具体实践与研究,其中课前的问题研究和课程设计是践行课程思政的关键:通过课前的文献阅读与分析,既能实现育人先育己还能预先发现问题,以便采取对策,制定预案;通过精心的课程设计,既要厘清关键知识点,深挖密切相关的思政元素,分配好各部分的时间,更要注重思政元素与知识点的有机结合、各思政元素之间的内在逻辑与先后关系、无痕化的教学理念与适宜的教学方法,避免学生产生负面情绪,力求达到知识传授、能力培养和价值引领的同向同行、协同增效。课堂是践行课程思政的“主战场”,需要教师将课程设计与临场发挥、课堂组织与察言观色等方面有机结合起来。课后的调查、回访有助于教师在总结中提高。本文的创新点:一是系统介绍了教师在课前、课中、课后应做的工作,对一般教师具有较高的参照价值;二是构建了无痕化课程思政的设计逻辑,即:明确内容和知识点→挖掘出底层思政元素→提升至中层思政元素→拔高到高层思政元素。
-
世界一流工程教育课程体系构建和师资队伍建设——以欧林工学院为例
作为全球工程教育引领机构,欧林工学院以培养工程创新者为己任。为此,欧林工学院将“欧林三角”作为课程哲学,致力将人文艺术教育和创业教育融入工程教育中。由此将工程愿景变为创业技能作为其课程目标,围绕这一目标安排了模块化课程、循序渐进的项目实践。在师资队伍建设方面,欧林工学院以其雄厚的师资背景和“以目的为中心,多元导向”的教师评价体系,作为实现其人才培养目标的智力支持,从而确保课程有效开展。以此为借鉴,我国高校可以从建立完整的课程体系支撑人才培养目标,围绕人才培养目标,选拔具有创造力的“跨界”教师,改进教师评价体系,形成凸显教师工作轨迹的综合评价等路径,提升高等工程教育课程质量。
-
给排水科学与工程专业卓越工程师培养体系创新与实践——以华中科技大学给排水科学与工程专业为例
给排水科学与工程专业卓越工程师培养计划意在从国家生态文明建设的角度出发,培养适应新时代国家战略和行业发展需求的卓越型人才。本文以华中科技大学给排水科学与工程专业为例,针对高校给排水卓越人才前期培养过程中存在的突出问题,如结合国家重大战略需求不够紧密、课程难度深度有待提高、学科交叉研究不够广泛、工程实践能力培养较欠缺、全方位人才培养体系不够健全等,进行了培养体系改革创新与实践,包括思政元素深度融入课程教学,紧密结合国家重大战略需求;紧扣卓越人才培养目标,提高专业难度、深度与广度;聚焦学科前沿,注重学科交叉,着重提高学生创新研究、汇报总结、自主学习等综合能力;加强实践教学,构建“三维融合”工程创新型环境人才培养机制;加快创设水处理综合创新实验平台、虚拟仿真实验教学平台等科研基础设施平台,综合提高人才全过程、全方位培养质量。经实践检验和业界评价,卓越工程师培养体系创新特色明显,成效显著,学生课业成绩平均提升10%以上,师生互动得到加强,学生取得了包括“深水杯”、“挑战杯”在内的一系列创新创业成果,用人单位对本专业毕业生综合满意率达100%,专业教学改革成果多次获得省部级奖项,具有一定的推广参考价值。
-
校企合作导向下新工科课程探索与实践
校企共建是当今新工科教育改革与发展的常态化路径,也是建立和完善新工科课程体系的重要内容与必然抉择。由于现阶段校企合作深度不够,校企合作没有形成全方位、系统性的人才培养体系,关系到当前大学生的就业问题。通过开展对工科学生关于就业问题的调研问卷发现,现阶段新工科专业校企合作链条中存在供需发展不匹配、学用结合不紧密、实操训练不深入等问题。 本研究基于新工科课程特点并从理论与实践紧密结合出发,提出了校企合作导向下新工科课程体系发展策略以及课程体系建设路径设计,建立起高校课堂教学与企业实践教学相结合的“双教模式”,通过对课程教学设计、实践应用形式、技能考核评价的改革,加强对校企合作中教育资源的整合与共享,着重提高学生理论学习与工程实践运用紧密结合的能力,以“工程认知—项目实践—协同评价”为进阶,建立校企一体化培养高质量工科人才的实践体系,培养与时俱进、适合当前行业需求的工程技能人才。
-
基于虚拟教研室建设的城乡规划专业教育转型路径思考
随着国土空间规划体系建构深入推进,城乡规划的工作范畴和职业素养要求也发生了变革。现有城乡规划专业教育存在“学科分界、专业壁垒、知识短缺,实践脱节”等问题,城乡规划课程体系势必面临渐进性重构以适应社会需求和市场考验。虚拟教研室平台作为以信息技术平台为载体的教学共同体,为专业教育转型带来的契机。首先从知识、技能、方法论、价值观四个维度,阐述现行专业教育转型适应城乡规划行业变革的要求。接着回顾了2021年以来重点领域国土空间规划虚拟教研室的建设情况,从四方面剖析了平台建设对城乡规划专业教育转型的积极作用。进一步提出了基于虚拟教研室建设的城乡规划专业教育转型的实施路径。研究认为:基于知识图谱构架的知识传播有助于打破专业壁垒;基于校内外联合的教学团队构建有助于推动产学研教融合和技术迭代;虚拟教研室教学资源共享有助于加强设计课程的实操性,与实体教研室的交互运作有助于实践模块化教学。
-
融入人工智能的土木水利硕士人才培养模式研究
为贯彻落实党中央、国务院关于加快发展新一代人工智能的重要部署,积极探讨在人工智能背景下,我国建筑行业发展的先发优势以及当前亟需思考和解决的问题。人工智能的迅猛发展迫切需要建筑类教育的及时跟进。本研究以实现人工智能与土木水利硕士专业建设交叉融合、协同创新为目标,选取土木水利硕士研究生作为研究对象,将人工智能的基础理论融入土木水利硕士专业建设当中,针对土木水利硕士人才培养模式和培养方案不健全、师资队伍匮乏等现状,设计出契合人工智能发展的土木水利硕士专业人才培养目标及方案,规划了人工智能和土木水利硕士专业建设交叉融合的课程体系及实践平台,提出了人工智能+背景下的专业师资队伍建设,探索和实践了人工智能与土木水利硕士专业建设交叉融合的教学新模式、新方法。通过学科建设的“融合发展”,课程体系建设的“精密耦合”,以期形成“人工智能+X”的复合型人才培养新模式,以组合创新着力提升人工智能领域研究生培养水平。结合人工智能前沿知识,进一步有针对性地提升学生将人工智能与专业课程交叉融合的能力,通过建立长期的持续的能力提升计划,为人工智能与土木水利硕士专业的交叉融合与持续发展奠定基础,为我国抢占世界科技前沿提供更加充分的人才支撑。
-
《建筑环境学》自主研究进阶与能力培养提升
《建筑环境学》以研究建筑热湿环境、空气环境、声光环境和室内空气品质为主要内容,研究的主要问题大多源于建筑实际微环境对人体舒适及健康的影响,旨在创造健康、舒适和安全的居住环境,是一门反映人-建筑-自然环境三者之间关系的科学,在建筑环境与能源应用工程专业培养方案中占据重要地位。本课程涉及的理论知识具有跨学科综合性、前沿性,且与实际生活息息相关,适合学生进行自主研究。在教学环节中增设自主实验研究环节,有利于培养和提升学生运用理论知识解决实际复杂综合问题的能力,锻炼其沟通表达、团队协作等综合素质。在本《建筑环境学》教学中,为了激发学生的学习热情和创新意识,培养和提升学生运用理论知识解决实际复杂问题的综合能力,作为课程体系建设的重要内容,在教学环节中突出增设了自主实验研究。配合自主研究,引导学生自主选题,合理制定研究计划和完成实验。 本文归纳了大连理工大学建环专业《建筑环境学》课程执行自主实验研究20年的过程中,学生自主选题情况、研究对象类型、相应研究方法、实验仪器应用与更新变化的进阶成效,并对学生在工程知识、问题分析及综合能力提升等方面进行了统计评估。研究发现,随着实验仪器测试参数及记录功能的完善,极大地拓宽了学生自主实验研究的选题范围;社会高速发展,需要学生同时具备扎实的理论知识和更强的实践能力。因此,近年来50%以上的学生倾向于选择复杂环境影响因素的建筑作为研究对象,100%采用非单一研究方法开展实验研究,从多方面锻炼自己的专业技能,以求顺应国家发展的人居环境建设要求。自主实验研究环节使学生深刻认识到室内外环境调控的机理、目的和手段,亦培养了学生制定、实施研究计划、撰写论文的能力,以及综合应用所学知识发现问题、分析问题、解决问题的能力。另外,对学生课后调查发现,学生在课程中对终身学习和价值观培养两方面的体会不深,在未来的教学中应加强对学生学习习惯和伦理道德方面的综合培养。 本文结合实际教学效果阐述了《建筑环境学》课内自主实验研究对工科基础课学习的作用,并分析了科技、社会等因素对教学过程和效果的影响。此外,结合历届学生对该课程学习过程的评价与收获,不断思考如何培养创新型研究人才,力求能够为学生提供更加全面的能力提升平台。本文详细分析了学生自主实验研究过程中出现的各种问题,并有针对性地提出了改善意见,对《建筑环境学》及其他工科课程的建设及发展提供了参考。
-
专业理论课教学中的隐性知识转移研究——以《城市规划原理》为例
随着我国经济社会的新常态发展和课程思政建设要求的落实,专业理论课程的教学改革势在必行。为提高专业理论课程的教学质量,研究以知识转移理论为指导,以《城市规划原理》课程为案例,以显性知识转移为载体,将隐性知识转移与课程思政建设结合起来,提升隐性知识转移的绩效,重点从教学内容优化与教学方法改进两个方面提出了建议。在教学内容上,需要梳理和其他课程的关系,并将国土空间规划的相关知识引入课程,同时注重历史唯物主义和辩证唯物主义世界观的教育,让学生理解显性知识背后所包含的思维方法等隐性知识,树立公平、公正和维护公共利益的价值观,,加强职业素养的教育,坚守理想和底线。在教学方法上,可以采用案例教学来加强显性知识的清晰表达,有效转移经验、技巧、理念、价值观等隐性知识;增加课堂内容的趣味性和知识点的重要性,通过日常考核及课堂讨论等方式来提高学生学习的主动性;加强师生之间的互动和沟通来提升知识转移绩效。另外,通过教学效果追踪,结合课程特点完善课堂教学形式,也能提升知识转移绩效。
-
跨学科和产教“双融合”育人的人才培养模式研究
针对传统建筑类专业教学知识结构割裂,人才培养与社会需求脱节,单一学科难以应对日益错综复杂工程等问题,彼时应按照新工科建设战略要求,育人导向应向复合性和综合性方向发展,人才培养应紧密结合社会多元化需求,动态优化调整专业人才培养方案。根据建筑类专业创意性和贯通性工科逻辑特性,建构适应时代发展的建筑类本科专业“大建筑”基础课程群+产教融合“双主体”实践教学体系,深度推进跨学科和产教“双融合”教学模式,保证人才培养宽基础、厚实践、重能力的高质量人才培养宗旨,培养出思维创意新颖、实践应用能力强的新时代需求人才。
-
“双一流”建设视角下河北省高等教育高质量发展探析
河北省正处于从教育大省向教育强省的过渡转型期,该研究立足国家“双一流”建设形势和河北省高等教育现状,从重点支持头雁大学建设、在特色发展中寻求突破、抢抓国家重大战略机遇三个方面为河北省高等教育高质量发展提出破题之策,从“两保障、两提升”方面给出解题之法。“两保障”中经费保障包括充足的经费总量和提升筹资水平,人才保障立足于选拔卓越的大学校长、引进高层次的科研领军人才和打造高水平的科研团队;“两提升”中内涵建设包括回归学术、回归教学、回归特色三个方面,大学声誉建设包括提高人才培养质量、提升科技创新能力、推进中外合作办学、服务地方经济发展四个方面。多措并举,精准发力,为河北省高等教育高质量发展提供有益借鉴,助力河北省教育强省建设。
-
新工科背景下土木工程专业复合型人才培养目标的定位与思考
教育的核心任务是培养卓越人才,因此明确人才培养目标成为教育领域的首要任务。在新工科背景下,土木工程领域亟需思考培养何种类型的人才,以及如何使学生更好地适应行业变革的需求,这已成为当前土木工程教育的核心议题。通过“复合型”人才的概念,明确界定了人才特质,包括知识、能力和素质三方面。这种全面素养不仅符合“新工科”背景下学科交叉融合的特点,也与土木工程产业的发展需求相契合。我国一些高校已在新工科背景下,依托学校的办学定位和优势,与国家战略、产业需求以及未来发展密切结合,制定土木工程学科复合型人才培养目标,同时构建适应复合型人才培养的评价体系。此外,本文从加强跨学科合作专业教育、基于培养目标重构课程体系和打造多学科交叉融合的师资队伍三个方面,提出了实现复合型人才培养目标的具体措施。
-
《结构抗震设计》课程产学合作协同育人教学模式构建
杨溥, 杨志勇, 董银峰, 郑妮娜, 刘立平, 贾传果, 韩军
教育部产学合作协同育人教学内容和课程体系改革项目,旨在将人才培养的最新要求引入教学过程,推动高校更新教学内容、完善课程体系,建设适应行业发展需要的、可共享的资源并推广应用。顺应国家战略要求,针对目前土木工程专业理论课程教学中普遍存在的问题和《结构抗震设计》的课程特点,基于混合式教学方法构建了产学合作协同育人教学模式,探讨了教学内容的调整优化、典型结构分析软件的引入、课程大作业的设计、试验项目的选取、考核方式以及教研试验平台的建立和利用等教学改革措施等,细致描述了该教学模式的主要思路和关键实施步骤,列举了在理论知识、工程应用、创新思想和专业素质方面的收获和启发,验证了产学合作协同育人教学模式的良好效果。
-
京津冀高校联盟的系统模型与保障机制研究
深化京津冀高校联盟建设,满足政产学研多主体协同创新的诉求,对推动京津冀高等教育高质量发展、增强高校服务区域经济社会发展能力具有重要意义。京津冀高校联盟呈现层次多样、方向多维、理念明确等趋势,但建设层次、建设效果与现实需求仍存在脱节,运行与管理存在诸多问题。本研究从多主体协同创新的视角,基于联盟服务对象的诉求,构建了以共同目标为导向的“政、产、学、研”一体化的京津冀高校联盟模型,重点分析了联盟的内部结构与运行机理,建议从顶层设计、管理机制、信息平台和文化融合等方面予以保障。
-
流体力学教学改革与思政建设探究与设计
课程思政是全面提升高等教育人才培养质量、落实立德树人根本任务的重要途径,而对专业课进行教学改革和思政建设则是实现课程育人的主渠道。《流体力学》作为高校航空航天、环境工程、土木工程等专业的核心专业课程,在学生的培养过程中发挥着重要作用。通过探讨《流体力学》课程思政建设方面的不足,提炼思政元素,探索以学生为中心、教职工为主导的创新教学模式,将思想政治工作贯穿教育教学全过程,帮助学生塑造正确的世界观、人生观和价值观,实现思政建设与专业教学的同向同行。
-
新工科背景下大学生专业实践能力培养的探索与实践
新工科背景下,对土木工程大学生的专业实践能力有了更高的要求,而学科竞赛是培养学生专业实践能力的重要途径之一。根据新工科对大学生专业实践能力的要求,针对目前专业实践教学存在的不足,依托学科竞赛,提出“以竞赋能,以赛促教”的教学方法。以全国大学生结构设计信息技术大赛为例,从模型建立、模型深化、模型分析三个阶段,以竞赋能,探索学科竞赛对大学生专业实践能力的培养过程。学生通过参加学科竞赛,在竞赛中对课堂上学到的内容进行应用和延伸,提升学生的基本实践能力和工程实践能力。从专业课程和实践课程两个方面,以赛促教,分析了学科竞赛对教师专业实践教学的促进作用和实现途径。学科竞赛与教学融合,结合专业课程教学,基于竞赛改进教学方法、更新教学内容、组建教学团队;结合实践课程教学,将竞赛与生产实习、教学试验、毕业设计进行融合,提升教师的专业实践教学水平。依托西南交通大学教学平台,将“以竞赋能,以赛促教”的教学方法在大学生专业实践能力培养的进行实践,取得了良好的效果,可为土木工程类的专业实践教学提供参考。
-
多专业协同育人模式研究与实践——以长江大学土建类专业为例
随着土建行业的转型升级,专业之间融合与渗透更加显著。以长江大学4个土建类本科专业为研究对象,将专业育人与思政育人有机融合,开展“多专业协同育人模式”的理论与实践探索。首先,从课程思政、专业思政和多专业协同思政三个层面分析了思政引领下的土建人才培养的内在逻辑,并结合专业课程、专业特点及学生认知规律,拟定“课程思政—专业思政—多专业协同思政”的人才培养模式和实施路径。其次,通过分析国家教育方针、人才培养共识及行业对人才的需求,构建土建类多专业协同育人的核心价值指标,并以建筑学专业为例,邀请其他专业教师制定专业教育与思政融合方式,形成以思政引领下的多专业思政价值链。最后,通过以课程思政为切入点,专业思政为着力点,多专业协同思政为目标点,构建了土建多专业协同思政融合的“一体两翼”的人才培养模式。该研究成果在长江大学土木类建筑类专业推广应用,产生良好的办学特点和育人效果,受到同行的认同与借鉴。
-
城乡数字景观规划与生态修复的“非结构化”教学变迁
城乡数字景观规划与生态修复是新时代风景园林教育的重要内容,也是贯彻新发展理念、推动高质量发展和生态文明建设的必然要求。但在城乡数字景观与生态修复领域仍存在严重的人才鸿沟,如何依托新时代发展理念,构建出满足新时代人才需求的育人模式对城乡可持续发展具有重大意义。以数字景观在城乡景观规划与生态修复中需求为基础,探索城乡数字景观规划与生态修复领域新教学模式,提出适应数字景观发展趋势的“非结构化”教学理念和方法。旨在为城乡数字景观规划与生态修复实现更精准的效益,为城乡数字景观规划与生态修复领域培养新型人才,以实现新时代生态文明建设和人才强国战略目标。
-
从德州骑警到库珀联盟:九宫格问题的空间思想与空间训练
鲍扎构图基于数学和几何学的逻辑来实现空间与形式的因果转换,立体主义视觉艺术的创作与表达影响到现代主义建筑始于平面的空间认知。德州骑警教改平衡于鲍扎教育和包豪斯教育之间,指向“现代建筑可教”的“空间教育”,进而转向建筑自主性的空间训练。从德州骑警到库珀联盟的建筑设计基础教学,九宫格问题成为现代建筑的一种构图范式、现代建筑空间教学的有力工具、一种形式语言和一种建筑思想,其空间思想与空间训练通过抽象形式以及部分与整体关系的空间推理,专注于建筑空间的自主生成,使得建筑成为一种需要学习的语言。
-
基于“产研融合”机制建设的工程类研究生学术与生产能力提升路径探索
“十三五”以来,我国工程类硕士研究生数量剧增,发表高水平学术论文数量大幅提高,学术创新能力取得突破性进展,但工程生产实践能力较弱,到用人单位后短期内无法融入企业生产,严重阻碍了工程类硕士研究生的高质量培养。本文系统总结了单一高校模式在培养工程类硕士研究生创新能力、生产实践、指导政策等方面的局限性,剖析了高校企业联合培养工程类硕士研究生面临的协调与合作、课程质量与一体化问题;围绕培养机制与融合模式、学术科研与生产创新、基地共建与运行机制,探讨了“产研融合”提升路径的构建思路及实施路线;最后总结分析了课题组“产研融合”培养模式初步建设成效与经验,研究成果对提升工程类硕士研究生学术与生产能力培养质量具有指导与借鉴意义。
-
基于“混凝土与砌体结构”课程内容特点的比照式教学法与课程思政探讨
“混凝土与砌体结构”是土木工程专业的核心课程,主要由混凝土结构设计与砌体结构设计两部分组成,两者既相对独立又具有内在统一性。本文分析了“混凝土与砌体结构”的课程内容特点,明确了其与先修课程“混凝土结构基本理论”的内在关系,凝练总结了适用于混凝土结构体系与砌体结构体系的统一知识结构主线;在此基础上,提出了砌体结构与混凝土结构主要内容的比较点、比较目标,以及融合课堂主讲、专题讨论、课后分析、翻转课堂等多方式为一体的比照式教学法;同时,构建了以理想信念教育、职业素养教育与科技创新教育为主的课程思政方法,并给出了针对具体课程内容的思政切入点与思政目标。
-
理论+设计+实验+建造:建筑设计工作坊教学模式探索与实践
工作坊教学作为课堂教学的补充,在培养学生实践能力和创新能力方面起到巨大作用。对工作坊教学的背景及特点进行总结;结合“新工科”建设要求探索“理论+设计+实验+建造”的工作坊教学模式,提出“交叉融合、创研共促”的教学理念,构建“多位一体、多方协同”的教学体系,拓展“科教融合、开放自主”的教学方法;以中南大学举办的“农舍重生计划”建筑设计工作坊为例,回顾工作坊理论教学、建筑设计、技术实验和建造实践的教学全过程,对教学效果进行总结。最后指出,“理论+设计+实验+建造”的工作坊教学模式以建筑设计为核心,通过理论研究指导建筑设计,通过技术实验优化建筑设计,通过建造实践检验建筑设计,将帮助学生走向理性设计、促进设计创新、提升实践能力,对未来创新复合型建筑设计人才的培养具有重要意义。
-
拔尖创新人才培养的现实困境与路径优化——以“强基计划”为例
拔尖创新人才培养是实现教育强国和高水平科技自立自强的必然要求和贯彻落实科教兴国战略的迫切需要,也是强化社会主义建设人才支撑的重要举措。立足“强基计划”的战略背景与目标要求,从拔尖创新人才的培养现状及态势入手,剖析总结出人才培养阶段衔接性不足、创新能力培养不足及交叉学科设置不合理等问题,结合拔尖创新人才培养的目标定位,积极探索科教深度融合的拔尖创新人才培养模式,提出“二三三四五”拔尖创新人才培养路径,即以双轮驱动配合“三类整合”课程体系、三大能力培养与四阶段科研训练,五方支撑培养体系,以优化拔尖创新人才培养路径,保证拔尖创新人才培养质量。
-
专业认证背景下土木工程专业培养方案若干问题探讨与实践
本科人才培养方案是专业建设的纲领性文件,具有十分重要的作用,它是专业与大学生之间的教育契约。专业编制培养目标和毕业,编制课程体系并开设课程,按照毕业学分审核学生的毕业条件。学生按照培养方案安排自己的学习计划,根据毕业要求明确自己应当达成的能力。专业认证非常看重培养方案,除了要求对培养方案的合理性进行定期评价之外,还提出了各种具体要求。编制培养方案需要满足认证标准在内的各种标准的要求,以学生为中心开展工作,平衡处理好各方面的问题,将厚基础宽口径教育、通专融合教育、学科交叉和创新实践等等各种教育思想都合理融入培养方案。培养方案的调研、分析、制定、管理和执行都是非常重要的教育环节,这些工作对编制团队的综合能力有较高的要求,编制团队的构成、培养方案审核流程、修改流程、公开方式和合理性评价都应当有严格的机制予以保证,以满足专业认证的要求。另一方面,培养方案也是人才培养新模式的载体,从实验班到成功经验的推广,需要培养方案的变化来体现。在大类招生改革的过程中,大类培养方案的编制可能涉及不同专业甚至不同学院之间的协调,各方面的需求和冲突将使这项工作将面临更多挑战。高等学校的师生应共同维护培养方案的严肃性和权威性,保证培养方案的全过程管理顺利进行,保证人才培养质量。
-
全球化教育视角下建筑学学术型硕士研究生课程构建探析——基于中韩高校的比较
基于全球化教育的不断发展,建筑学硕士研究生教育面临着新的机遇与挑战。建筑教育的全球化实践促进建筑学研究生教育新发展模式,以适应新时代高等建筑教育的新需求。文章通过建筑学学术型硕士研究生课程图谱、百分比图表和T检验对中韩高校建筑学硕士研究生的课程设置进行了比较分析,揭示了中韩高校建筑学硕士研究生课程设置与人才培养的差异性和创新性。提出建筑学硕士研究生人才培养的可持续发展理念,促进新时代高等建筑教育快速转型,为我国建筑学硕士研究生人才培养提供借鉴与科学依据。
-
以提升学生国际竞争力为导向的建筑学专业培养体系建设——同济大学建筑学专业建设的几项重要工作(教学成果与交流专栏)
为主动适应国家、学科和行业发展趋势和需求,同济大学建筑学专业依托和发挥国际化的办学传统和特色,以国际竞争力提升为切入点,参照国际一流建筑教育经验,对教学体系进行了结构性调整。在建构“通专结合、本硕贯通”的教学体系的基础上、围绕设计课程体系、硕士培养模式、设计教学队伍组织、教学内容革新、双学位体系建设等重点方向进行了系统改革。我们希望同济大学探索改革的一系列成果能够引发更大范围内对我国建筑学高端人才培养模式转型的思考和实践。
-
基于数字技术创建实验教学资源交互的实践与探索
在互联网+的时代背景下,伴随疫情的常态化,在未来可预见的后疫情时代,数字化展览馆正成为一种文化趋势。作为建筑大类教学的重点实践环节,建筑模型的制作、展示和存储具备了艺术价值和学习交流的双重意义。为了打破时空界限,整合教学资源,基于三维扫描、网络交互等数字技术,领先于国内建筑类高校,创建了学生数字化虚拟建筑模型展览馆,探讨并实践了实体建筑模型数据采集、数字化建模数据匹配、全数据处理流程、虚拟平台全息展示、在线网络交互等一系列现实资料虚拟化应用的技术手段,提出了一套系统完整的数字化建筑模型在线展示的系统流程。
-
土木工程专业实践教学的课程思政建设与探索——以武汉工程大学《工程地质实习》为例
实践教学是土木工程专业本科教学的重要组成部分,是将理论知识与工程实践相结合、增强学生感性认识、培养实践能力和创新意识的主要途径,也是大学生在校学习与毕业后参加工作的中间过渡环节,在培养学生的专业学习兴趣、提高实践动手能力、增强工程责任感等方面发挥着积极作用。课程思政是将对学生的思想政治教育有机融入到各门基础课程和专业课程教学过程中的一种教育模式,是培养具有正确政治方向和扎实专业知识技能的高素质人才的有效渠道。在实践教学中融入课程思政建设,是当前高等教育改革的要求,也是实现全过程育人的关键举措。本文以武汉工程大学土木工程专业的《工程地质实习》为例,探索如何将思政元素融入到新时期的土木工程专业实践教学过程中、以发挥实践教学思政育人的积极作用。在分析土木工程专业实践课程思政建设中存在的对实践课程的思政教育认识不足、缺乏思政教育的方法手段、没有形成思政教育体系、对思政教育的成效缺少反馈追踪等问题的基础上,提出一系列的解决方法:通过举办培训活动和加大对课程思政建设的支持力度等方式提高高校教师的思政意识,根据人才培养目标和教学内容精心设计实践路线、深入挖掘相关的课程思政元素,在实践过程中灵活运用多种教学方法实施思政教育,设置短期、中期和长期三种反馈途径来调查课程思政的实施效果并进行持续改进。实践表明,上述举措在《工程地质实习》中取得了良好的效果,实现了专业知识传授和思想政治教育的协同效应,使学生在学习专业知识的同时,受到了地质精神和爱国主义情怀的熏陶,树立了生态环保意识,锻炼了坚韧不拔、团结协作的作风,培养了严谨认真、吃苦耐劳的职业精神,这些对他们后期的学习和工作都产生了积极影响。 当前关于土木工程专业实践课程的课程思政研究相对较少,本文以《工程地质实习》为例,探索土木工程专业实践教学过程中课程思政的有效实施途径,由于土木工程专业的实践课具有一些共同特点,研究成果可以为土木工程及其相近专业实践教学环节中开展课程思政建设提供一定的参考借鉴。
-
高校课程思政研究回顾与展望
近年来课程思政受到广大高校的高度重视,成为了专业人才培养与思想政治教育领域的研究热点,有关高校课程思政的研究文献呈现出快速增长的趋势,因此,系统回顾总结高校课程思政研究的现状有利于今后更好的开展相关研究与实践工作。以中文核心期刊数据库和CSSCI数据库2017—2022年刊载的1860篇有关高校课程思政的高质量文献为研究样本,运用文献计量法和可视化文献分析软件CiteSpace对高校课程思政的研究现状进行了系统回顾,从研究文献、研究机构和研究作者等角度分析了高校课程思政研究的研究动态,通过对关键词共现网络进行聚类分析,并对代表性文献进行二次阅读和系统梳理,归纳出高校课程思政的热点主题,通过对关键词时间线图谱进行分析得出了高校课程思政研究的演进脉络。研究结果表明:当前有关高校课程思政的研究受到广大高校教师与教育工作者的高度关注和广泛参与;研究热点主题主要涉及课程思政的本质内涵、建设实践、元素融合、教学设计、教学能力与效果评价六个方面;相关研究的演进脉络可划分为萌芽起步(2017—2018年)、快速发展(2019—2020年)和稳步发展(2021—2022年)三个阶段。最后,根据现有课程思政研究进展和改革趋势,并结合教育主管部门的政策动向,对高校课程思政的研究趋势进行了展望。
-
混合式教学环境下土木工程专业课程思政育人模式
课程思政是实现立德树人、培养社会主义建设接班人和坚持社会主义中国化的重要途径。信息技术的发展使得混合式教学模式不断发展,不断创新,混合式教学模式被认为是未来教学的主要形式。实现课程思政的育人模式,混合式教学环境有其独特优势。
-
混凝土结构创新实验课程教学体系研究
《混凝土结构基本原理》是土木工程专业本科人才培养的重点必修课程,实验教学是整个教学过程的重要组成部分,也是提高钢筋混凝土结构课程教学质量的关键环节。本文对《混凝土结构基本原理》实验课的课程概况进行了阐述,分析了实验课程课时少、内容多的特点及提升实践创新能力的教学目标,剖析了目前的教学现状以及其在教育改革背景下所存在的问题。针对混凝土结构实验教学具有综合性强和应用性高的特点,对混凝土结构教学实验平台的创新与拓展进行了探索,基于学生为主体,问题为导向的教育原则,从结构实验平台、课程内容设计、实验教学方法、实施方案以及评价方式与指标等多个角度开展了对混凝土结构创新实验课程教学体系的研究和探讨。通过完善教学方案和评价指标,转变教育观念以及革新教育方法,建立以科学合理的教学实验平台为核心的混凝土结构创新实验课程教学体系,旨在充分发掘学生的创新潜能,加深学生对混凝土结构基本理论与概念的理解和认识,培养学生的综合实践能力和创新意识,进而提高学生的实际操作能力和应对工程实际问题的能力,全面推动混凝土结构实验技术的发展和教学水平的提高,提升土木工程专业人才综合素质培养的水平。
-
新工科背景下材料力学教学体系探索与实践——以土木交通大类专业为例
:新工科的提出,为我国积极推进教育强国建设注入了新的引领力量,而高校肩负着培养新型科技创新领军人才的重要使命,更应当走在时代前列,强化工程人才的创新创业能力,培养面向“未来需求”的“德才兼备”的领军人才。高校需要不断推进高等教育创新、深化教育教学改革、完善人才培养体系,而课程是人才培养的核心要素,是教育改革的重要落脚点。材料力学作为工科专业的重要的基础力学课程,在培养创新型工程技术人才方面具有重要意义,其课程教学改革势在必行。教学团队分析了材料力学教学现状,针对课程本身的强理论性、逻辑性和工程实践性,以及课程教学中存在的教学内容枯燥、推导过程抽象、评价体系生硬、教学内容固化等问题,以OBE(Outcome Based Education)理念为基础,充分利用信息化资源优势,在课程内容、教学方法、考核方式等方面进行创新探索,提出“Interest+Understand+Application(IUA)”的创新教学体系,提升学生学习兴趣、深化学生内容理解、强化学生知识应用,从而解决现阶段教学难题,全面提升工科学生实践应用能力,以适应社会对新工科人才的培养需求。在此基础上,以东南大学土木交通大类专业教学为例进行实践研究,将“IUA”教学体系应用在材料力学的教学内容中,通过引入工程案例、利用校内及网络资源丰富课堂形式以及改进课程评价方式等方面对教学体系改革进行实践,并通过学生课堂满意度调查、学生知识掌握能力、学生课外实践成果等方面对该教学体系改革成效进行检验,教学效果良好。
-
“四史”教育融入建筑物理课程的路径探索
新中国史、改革开放史、社会主义发展史、中国共产党党史是课程思政的重要组成部分,对于高校落实立德树人的根本任务,具有十分重要的意义。以建筑物理课程思政教学改革实践为例,探究“四史”教育融入建筑学专业课程的方法,建立价值观塑造、理论讲授、能力培养的育人路径。将“四史”教育纳入建筑学专业课程,首先要做好顶层设计,从学科知识体系与专业要求出发,明确“四史”教育主线,确立“四史”教育目标;其次,组建教学团队,打破专业壁垒做到各科之间交叉互补,深入挖掘课程的内涵与外延,凝练出课程的四大“四史”教育主题:艰苦奋斗夯筑兴国之基、“十四五”规划笃行向未来、红色文化为百年铸魂、改革开放聚发展之力,从不同的角度,遴选出一批典型的、本土化的“四史”教育案例,结合地方资源共建实训基地,打造“四史”教育的第二课堂;最后,运用翻转课堂、实践教学法、专题式教学等灵活多样的教学手段,以春风化雨的方式将“四史”教育融入各个教学环节,加强学生的参与性,提升育人深度。多措并举、多课共谋、多方联动,建立以专业为基础的课程思政体系,做到“四史补充思政、思政反哺课程”,弥补建筑学专业课程中缺少的意识形态教育,落实立德树人的根本任务。
-
教具在建筑结构抗震教学中的应用
建筑结构抗震设计已成为土木工程专业本科阶段的一门重要课程。该课程理论内容较多,概念抽象难懂,传统教学方法难以将复杂原理进行具象化演示。针对抗震教学中的问题和难点,将可操作的教具引入课程教学,丰富教学手段,帮助学生理解教学内容中抽象的概念和理论。以单自由度体系的地震反应分析、杜哈梅积分、地震反应谱三个知识点为例,给出了教具在抗震教学中的案例,通过抗震现象的展示,引导学生主动思考,让枯燥难理解的理论易懂。根据问卷调查的反馈信息,并与未采用教具的年级进行了比较,采用教具的年级取得了良好的教学效果,激发学生的学习兴趣,增强学生的自主学习能力,提升了学生的学习成绩,也使课堂教学的交互体验感更好。
-
西部地区人工智能与教育深度融合的政策因应研究
在全球数字化背景下,各国将教育数字化变革作为重要途径。在擘画数字中国的蓝图下,各领域积极推进数字化发展,教育是其中重要一环。人工智能作为推动教育数字化走向深入的主力军,全国各地在国家的总部署下以不同方式、不同程度和不同方面促进人工智能与教育深度融合教育。为提高人工智能与教育深度融合的整体水平,国家和各地相继出台政策制度,但相比而言当前西部地区与教育数字化国家战略发展需求还存在较大差距。本研究聚焦了“十三五”收官之际、“十四五”以来,四川、重庆、陕西等12个西部地区人工智能与教育的深度融合的情况,进行定量和定性分析后,发现西部地区人工智能与教育在深度融合态势中存在着单一政策供给与多元应用需求之间不平衡的矛盾,政策落实的指导性与实践应用的配套性之间也存在一定差距。据此,有必要生成全域结构系统性政策、价值尺度伴随性政策、实践操作衔接性政策并行的指导格局。
-
“大思政”背景下高校专业课程思政育人体系构建与教学实践探索——以乡村规划系列课程为例
高等教育的目标是为社会培养人才,在贯彻国家乡村振兴发展战略的同时,要将人才培养与国家发展、中华民族的伟大复兴紧密联系,使课程思政有机融入专业人才培养。昆明理工大学乡村规划设计教学组从:建立健全课程思政教学系统,深入挖掘课程思政元素,寻找有效教学方法,提升教师队伍思政素养,构建多元评价体系等五个方面建构乡村规划思政教学体系。结合乡村规划教学的特点,将乡村扶贫、乡村公益、乡村实践与理论教学相结合,寓价值观引导于知识传授之中,提高学生的思辨能力和责任意识,进一步深化思想政治教育工作,为思政教改研究提供参考和借鉴。
-
城乡规划本科人才培养智慧赋能课程体系设计与地方实践路径探索
国土空间规划是推进生态文明建设的重要空间治理工具。作为支撑国土空间规划事业发展的核心专业,城乡规划本科人才培养急需结合新时代国土空间治理需求进行知识体系和能力结构提升。针对传统建筑类城乡规划专业重空间规划设计训练轻数字智慧维度知识体系和业务能力培养的局限性,本文首先分析了国土空间规划行业技术变革趋势,以及国土空间治理能力现代化发展对数字智慧赋能的实践需求,然后以广东工业大学城乡规划专业创办“国土空间规划创新班”为例,提出了2个方面的改革内容:一是基于“广度-深度”课程体系重构法则,对知识矩阵的广度和深度进行变换,形成倒“T”字课程体系,即宽口径夯基础和窄方向促拔尖。二是围绕倒“T”字课程体系,公共基础课程增设“概率论与数理统计”及“人工智能概论:科学与工程”等课程;专业基础理论课程中强化现代人地关系时空统筹原理支持,增设“测量与地图学”、“遥感与地理信息科学”、“土地资源管理与空间政策”等课程;在规划实践课程中加重“国土空间高质量发展分析”、“空间数据分析及规划应用”等专题分析。研究建构的智慧赋能课程群可为地方院校如何革新国土空间规划人才培养模式和教学团队组建提供决策参考。
-
党的二十大精神融入大学生日常思想政治教育的四维路径
日常思想政治教育是贯彻落实党的二十大精神,推进党的二十大精神入脑、入心、入行的有效渠道。把党的二十大精神全面融入大学生日常思想政治教育,要围绕融入内容、融入主体、融入方式、融入渠道,切实解决“融什么”“谁来融”“如何融”等现实问题。要融入党的二十大精神的“道理”“学理”“哲理”,提升党的二十大精神的穿透力;要激发教育主体的积极性、主动性、创造性,提升“愿融”“会融”“善融”的动力能力功力,增强教育主体的融入力;要契合认知图式、尊重接受心理、对接日常生活,提升融入的具象化、互动化、生活化,增进教育客体的接受力;要依托日常教育管理、校园文化活动、网络虚拟空间全方位、全过程、全天候融入,提升党的二十大精神的辐射力。
-
农林院校智能建造专业培养体系构建
工业4.0的背景下,建筑业转型升级对复合型人才的需求,推动着智能建造的发展。为响应国家发展战略,针对现阶段智能建造专业人才培养体系的现状,总结教学模式、教学内容和教学方法中存在的问题及可能的解决路径,探讨如何通过跨学科合作,建立农林特色的智能建造专业。以土木专业为主体,联合城乡规划专业、计算机科学与技术专业等进行多学科多专业的有机融合,形成以乡村民居为主体的智能测绘、智能设计、智能装备与施工、智能监测与运维等的课程体系,分为4个课程群模块,包含14门课程和10个实训项目,在课程和实训项目中,均包含有乡村民居的特色模块。对组成智能建造专业的主课程群的教学模式、教学内容和教学方法进行详尽的阐述,最后从组建教学团队、丰富理论教学和拓宽实践教学三个方面探讨如何构建农林院校智能建造专业培养体系。文章依据院校的培养定位,突出农林特色,提出农林院校智能建造专业培养体系的构建,开展理论与实践的创新设计,经过教学实践达到较好的培养效果,形成一个可复制实践的模式。
-
基于“一中心、三协同”模式的我国西部高校智能建造专业人才培养体系探索 ——以内蒙古科技大学为例
在国家“双碳”战略与高质量发展目标引领下,智能建造与新型建筑工业化协同发展已成为中国建筑业转型升级的必然选择。与之对应的智能建造人才需求迫切,培养适应建筑业未来发展需求、满足产业转型升级需要的创新型智能建造人才已成为相关高校人才培养的重要任务与挑战。地方院校是培养智能建造人才的重要力量。然而,在智能建造人才培养过程中,地方院校普遍存在师资队伍缺少工程实践经验、多学科交叉课程体系设置难、多专业组织协调难度大、人才引进培养难等困难。如何立足自身办学特色,充分利用优势资源克服以上困难,以学生为中心,合理定位人才培养目标,凝练鲜明的办学特色,建立高质量的人才培养体系,是地方院校亟待解决的问题。以提升学生的综合能力和职业胜任力为中心,以“现代产业学院”“虚拟教研室”“工程研究中心”共同驱动的“一中心、三协同”智能建造专业人才培养体系正是针对地方院校智能建造人才培养痛点进行的有效探索。以内蒙古科技大学“一中心、三协同”智能建造专业人才培养体系的具体实践为例,阐述该体系的内涵、特点及具体实施路径,以期为其他地方院校的智能建造专业建设、土木工程专业升级转型、人才培养及校企协同育人提供可借鉴的经验。
-
融入课程思政的《桥梁风工程》课程建设与教学设计
教育强则国家强,人才兴则民族兴。课程思政在新时代融入研究生课程中具有重要意义。《桥梁风工程》课程围绕“课程思政元素与专业知识有机融合”,“线上+线下混合式、授课+研讨相结合的教学模式探索”与“理论与实践、科学性与特色性相结合的教学实践”三个方面开展研究与建设工作,为其他研究生课程思政建设提供参考。实践证明,融入课程思政后,培养了学生发现问题和解决问题的能力;并以史为鉴,激发对重大工程设计的责任感,践行“规格严格、功夫到家”的哈工大校训;启迪学生对突破现有桥梁抗风理论的历史责任感与发展现代桥梁技术的紧迫感,结合“交通强国”与“建造强国”国家战略,激发学生爱国主义与投身国民经济主战场的热情。
-
新时代大学生“知情意行”四维挫折教育模式的建构研究
做好大学生挫折教育是高校实现立德树人和思想政治教育工作的重要组成部分。本文采用文献研究法,在充分解读大学生“知情意行”四维挫折教育模式的理论意蕴基础上,深入剖析当前部分大学生在挫折教育方面的现实困境,以进一步构建大学生“知情意行”有机统一的四维挫折教育模式,将大学生挫折心理过程中的“知情意”准确应用到抗挫折行动层面,使挫折教育既符合大学生身心发展规律,又符合大学生教育规律,以此适应党和国家事业发展需要,从而培养造就大批德才兼备、全面发展的高层次人才。
-
高校智慧党建架构模型与实践应用探析
通过调研与分析研究我国高校党建信息化发展历程,探索高校智慧党建平台的建设路径和发展策略,为高校智慧党建平台的搭建提供理论基础。结合对高校智慧党建的定位与目标的分析研究,提出高校智慧党建架构模型,研发以智慧管理、智慧育人、智慧监督、智慧宣传、智慧服务等核心的党建平台,为提高党建工作效率,提升党建质量提供了有力保障。
-
“智慧赋能土木 创新助力建造”土木建造类研究生学科交叉融合培养体系研究与实践
基于大工程观的复合型、国际化人才已经成为土木工程研究生培养的目标需求。本文旨在通过智慧赋能土木、创新助力建造,探索基于学科交叉融合的土木建造类研究生培养途径。以重庆大学土木建造类研究生培养为例,通过目标需求分析,打造良好的多学科融合研究生培养条件,构建了智慧赋能、学科交叉土木建造类研究生的培养体系。通过十余年的改革与实践,创新了培养理念、培养模式和培养体系,并在人才培养质量、培养能力、教学改革成果等方面取得了突出成效。表明通过智慧赋能土木、创新助力建造,有效地促进了土木建造类研究生创新能力及国际化视野,实现研究生培养从传统土木到智慧建造的复合式发展,开辟了智慧土木建造类研究生人才培养教育改革新方向。
-
中美本科高校新工科学习模式比较研究
新工科教育质量的提升亟待新工科学习模式主动变革与创新发展。新工科学习模式是为新工科学习共同体创造有意义的学习经历、为智能信息时代培养工程科技创新创业人才而构建的工科学习活动结构。科学、技术、工程、产业“四元论”,高校知识生产模式和学习科学理论,共同构成新工科学习模式的理论基础。以欧林工学院和粤港机器人联合学院为研究对象,基于新工科学习生态系统视域,进行了新工科学习模式的系统性分析、比较和研究。通过对比中美新工科学习模式的异同,分析新工科学习模式的新挑战,发现新工科学习模式的逻辑起点在于:多学科交叉、产学研融合和知行创统一。借鉴中美新工科学习模式的创新基因,提出促进我国新工科学习模式可持续发展的新策略,以期为我国新工科建设提供理论指导和实践借鉴。
-
基于一流学科建设背景下高校土木工程毕业设计教学改革探索
土木工程专业毕业设计作为专业综合性教学的重要环节,对提升大学生专业综合能力、工程意识、工程设计能力、创新能力和团队协作精神具有积极影响,长久以来是高校教学改革的重要内容之一。针对国家于2015年提出的统筹推进世界一流大学和一流学科建设总体方案的主旨和方针,基于一流学科建设的大背景,结合近些年土木工程专业毕业设计题目偏于陈旧、内容单一、设计表达落后于时代发展、过程管理欠科学、学生重视程度不足、指导教师缺乏工程经验和软件教学欠发展等实际问题,西安建筑科技大学土木工程学院先后开展了多次关于毕业设计的教学研讨会和教学法活动,系统制定了针对毕业设计的教学改革方案,并结合2019年~2020年在同济大学、南京工业大学、东南大学、北京交通大学、北京工业大学等我国土木工程领域实力较强的多所学校开展的系统性调研,通过与多校的相关负责人开展深入座谈,全方位、多层次、多维度了解和学习各个学校在土木工程专业毕业设计的教学理念和先进经验,在土木工程毕业设计选题、过程管理、学生能力、教师水平、教学效果等多方面提出了涉及土木工程毕业设计全过程的多维度教学改革措施,总结出经过教学改革后的土木工程毕业设计整体流程。经过近三年的具体实施,达到了较好的教学改革效果,取得了令人满意的结果。
-
城市设计一流本科课程教学改革与实践——以华南理工大学为例
国家高等教育“双一流”建设背景下,一流本科课程建设成为培养优质人才和推动教育改革的重要途径。城市设计学科具有整合与协同的特点,在指导高品质人居环境建设方面发挥着重要作用。但城市设计专业教育在我国起步较晚,仍面临发展目标不清、体系混杂和标准不一等问题。华南理工大学建筑学院的城市设计专门化教学立足于传统建筑学科优势,坚持以全面培养学生的思政素养、国际视野、专业知识和创新能力为目标,历经二十余年建设和改革,已经创立特色鲜明的高水平教学体系。先后获得国家级教学成果奖二等奖、教育部首批一流本科课程、教育部首批虚拟教研室建设试点认定、入选全国首批建筑硕士专业学位研究生在线示范课程建设名单等。建筑设计(五-六)(城市设计专门化方向)作为其中的核心课程,以“拓宽专业基础”与“深化实践研究”为改革路径,创建“高阶国际合作+多学科协同+学研产一体”的设计教学模式,在城市设计创新人才培养方面取得不错成效。本文介绍了华南理工大学城市设计一流本科课程建设目标、课程建设及应用情况、课程特色与创新、课程建设计划及建设效果等,以期为城市设计类课程教学改革提供借鉴。
-
VR技术融入土木工程材料课程的探讨
随着国家对应用型人才缺口的增加,要求高校更加注重学生实践、创新能力的培养。传统的课堂讲授和简单的规范化实验操作方式,由于存在着认知过程沉浸感低、理论知识过于抽象、学习和实践过程过于枯燥等问题,不仅无法调动学生的学习兴趣,更达不到培养学生的实践能力和激发学生的创新意识的目的,因此也无法胜任“新工科”建设对人才培养的要求和新时期国家“教育现代化”的建设需求。虚拟现实(VR)技术作为一种新兴的现代信息化产物,不仅能够为使用者提供一个三维空间的虚拟世界,更能够在感官上让人产生身临其境的感觉,从而从视觉、听觉和身体感知等方面增强学习的沉浸感和趣味性,是未来最具潜力的现代教学手段之一。将VR技术融入《土木工程材料》课程的教学环节,可以通过对时空和情景参数的控制,将土木工程材料在使用过程中,因受到使用环境因素影响发生微观物理化学反应,并在其微观结构、力学性能、耐久性等方面出现相关性变化,在短时间内通过第一视角以3D动画的形式,生动形象的呈现在参与在虚拟训练学生的面前,给学生接近真实的体验感。这种教学模式不仅能增加课程趣味性、沉浸感,而且能够起到与真实试验场景接近的训练效果,使学生在VR训练过程中自主将理论知识与实践过程充分融合,起到加深学生对事物本质的认知、激发学生创新思维的目的,从而进一步提高学生的实践能力和创新能力。
-
工科学生科研能力培养过程中思政体系的构建与实践
为使学生具有扎实的工程理论基础、宽广的工程知识面、强烈的工程意识和实践创新能力,构建起课程建设目标与人才素质培养、科研创新能力目标之间的密切联系,将课程的整体目标划分为以挖掘专业知识的钻研精神培养、捕捉学科研究前沿的科学素养培养、独立解决工程问题的实践精神培养为主的知识目标,以强调试验、实践、设计、分析、创新意识培养为主的能力目标,以积极探索为主的科研素质、合作解决问题的团队意识、脚踏实地的实践精神培养为主的素质目标。将课程内容按课程目标的不同要求划分为不同模块章节,利用工科课程所具有的时代背景、战略内涵、广阔视角、伟大成就,结合课程思政案例以及学生汇报过程使学生自身在课程学习过程中逐步提升对专业的热爱和对国家的自豪感,并通过树立榜样意识,鼓励学生在多方面向榜样看齐;将思政教育与课程内容有效结合,全面提高研究生教育水平,培养信念执著、品德优良、知识丰富、本领过硬的高素质专门人才和拔尖创新人才。促使学生在经过了理论课和实践课之后,养成了科学严谨、认真细致的科学态度;培养学生以独立解决问题、沟通交流互动等能力为主的科学意识、创新能力。
-
国外建筑学高等教育研究热点前沿与启示
近10年国外建筑学教学与教学研究蓬勃发展,基于Web of Science核心数据库,利用文献计量软件探究建筑学教育主要概况、研究热点与发展阶段。近年来国外建筑学教育研究整体趋势从初步设计转向设计研究、工程实践、知识体系、利用技术与科学手段教学。领域热点主要集中在工作室设计课、理论课、数字技术课程的创新与发展,重视思维能力、跨学科、可持续性、实践等教学理念,关注认知分类、学生兴趣、项目导向、通信技术等教学方法,以及多元化的教学评估。通过国外研究热点分析以及结合国内建筑学高等教育窘境,在建筑学教学改革方面,基于设计与理论课程、教学理念与教学方法创新,以设计课程为轴线,融通符合时代需求的多专业、技术性、实践化的综合知识;在建筑学教学研究方面,构建以学生为课程主体的教学模式,让学习成果补给课题研究,此外建筑学高校教师应以学科“本体”研究为内核,形成交叉学科研究体系。国内新工科背景下建立良性的教学与研究供给关系可作为建筑学可持续发展的观念与手段。通过对国外近10年建筑学教育相关文献进行分类梳理与热点追踪,希望对国内当前建筑教学研究与教学改革提供思路。
-
新工科背景下建筑防排烟设计实践课程教学改革探索
防排烟设计实践课程是消防工程专业重要的专业实践课之一,新工科背景下加强实践课程教学改革,培养具有更强创新能力和实践能力的本科生是高等工程教育的发展方向和要求。文章通过对当前该课程教学工作中的现状及存在的问题进行分析,提出针对防排烟设计实践教学的改革措施,通过更新教学内容和提升教学师资能力,优化课堂教学方式,升级教学手段及工具,提升防排烟设计实践教学质量,培养学生创新精神与实践能力,促进专业教学水平的不断进步。
-
新工科背景下土木工程专业毕业设计教学模式改革与实践
为适应建筑工业化发展需求,华南理工大学近年来对土木工程专业房建方向的毕业设计进行了一系列改革,包括调整毕业设计目标、选题、设计内容、实施手段、进度安排、提交成果等。为保障毕业设计改革的顺利进行,采取了一些卓见成效的措施,如采用PDCA循环制定了毕业设计改革的实施路径,使得毕业设计工作能逐年持续改进;引入了装配式混凝土结构设计、基于BIM的预制构件深化设计、碰撞分析、施工过程模拟和计量计价等内容,改变了传统的以现浇混凝土框架结构设计为单一设计内容的状态;通过多维校企合作、线上和线下相结合的指导模式以及优秀学生助教,解决了装配式结构领域师资不足和软件使用方面的问题;通过赛教结合,提升了教师指导水平,测算了学生的能力以及完成各项任务的耗时。论文还探讨了传统手算内容与电算内容的取舍、现浇构件与预制构件设计内容的设定、设计难度和工作量的把握等问题,提出对于任务设置和进度安排必须基于预测结果, 对于不同能力层次的学生可设置必做和选做内容来适应其发展需求。改革后,毕业设计总体工作量和难度有所增大,设计内容更符合工程实际,学生的软件应用技能有很大提高,学生对预制构件的细部构造、生产和施工过程等有了更深的理解。上述改革取得了良好的效果,为智能建造专业建设提供了良好的基础和借鉴。
-
基于FAHP方法的智能建造微专业课程设置研究
将智能建造人才培养需求和微专业建设优势有机结合,基于模糊层次分析法(FAHP)方法提出了智能建造微专业课程设置的模型方法。首先,分析智能建造微专业培养目标与毕业要求,建立智能建造微专业课程库;进而根据对应学校的培养目标和专业基础,运用FAHP计算拟设课程与学校培养目标和专业基础的耦合匹配度,从中优选出匹配度较高的课程,确定学校智能建造微专业的课程群。并以武汉理工大学智能建造微专业课程设置进行实证分析,计算结果表明:应用该方法能有效优选出与学校办学优势适配“工程物联网与智慧工地”、“工程智能监测与运维”等课程,有利于增强微专业课程设置的科学性以及实现特色培养目标。
-
“桥梁建造”本科专业课程的教学改进探讨
桥梁施工安全与质量对建造技术的要求越来越高,桥梁建设的高质量发展需要更多一线从事桥梁建造工作的技术人才。“桥梁建造”是本科土木工程专业桥梁工程方向的核心课程之一,但在教学过程中面临课程内容覆盖面广、知识点分散、教学方式单一、实践环节薄弱等现实问题,易导致教学效果差并影响学生学习专业课程的热情与积极性。针对相应问题,从课程知识体系优化、施工现场多媒体资源引入与利用、现场施工信息系统与虚仿真平台的引入等方面开展教学改进探讨,最后以“桥梁支架施工”部分课程内容的教学、课程设计、考核验证了相应教学探索效果。结果表明,梳理知识点主线、突出教学重点、补充现场新技术等能够激发学生的兴趣。线下课堂配合精选现场图片、工程动画讲解知识点,并引入施工现场视频等信息资料强化重点;课后线上MOOC平台预习和复习,并借助虚拟仿真实验平台实践及课程设计,有效提升了教学效果。支架施工课程内容的课程目标达成度分析显示,学生扩大了知识面、扩展了视野并具有主动性、积极性,教学效果达到预期目标,相关教学方法得到验证,并为相近课程教学优化改进提供了参考。
-
情境教学法的升华:案例教学与“干中学”的融合 ——以天津理工大学管理科学与工程硕士研究生为例
随着我国高校对硕士研究生招生规模的持续扩大,高校教育存在的弊端日益严重地凸显出来,硕士研究生解决实际问题能力难以满足企业、社会需求。现阶段,如何破解硕士研究生理论实践相割裂问题,将其培养成满足社会需求的人才,成为我国高校硕士研究生人才培养亟待解决的问题。案例教学和“干中学”人才培养方法虽在管理科学与工程硕士研究生人才培养中应用广泛,但因本身方法的限制性导致教学效果不尽人意。为实现破解高校硕士研究生理论实践相割裂的难题,本团队基于社会对高校毕业人才的需求内涵,秉持以需求引领、与行业同步的教育理念,提出一种新的人才培养模式——情境教学法升华的管理科学与工程硕士研究生的人才培养模式。该模式将案例教学和“干中学”人才培养方法有机结合在一起,以提升学生分析问题、解决问题能力为教学目的,培养学生满足社会需求为教学结果,采用建构主义理论探讨情境教学法升华的建构机理,探讨情景教学法升华的课程教学模式,精心设计“案例+情境+质疑+反思+归纳”五个教学环节,“课前、课初、课中、课后”四大教学情境,并采用系统动力学对该方法的人才培养模式进行仿真分析。系统动力学仿真结果表明:情境教学法升华能够将案例教学人才培养与“干中学”人才培养有机的结合在一起,将使得人才需求效果更加立竿见影。
-
树德为先、学生中心、能力为重、赛教互促的土木工程学科竞赛管理新体系
长期以来,各高校普遍开展学生学科竞赛活动,大学生竞赛活动已经成为学生倾慕、学校重视的重要学习和展示平台之一。从课程教学体系与学科竞赛的关系、学科竞赛组织与孵化机制等方面指出了制约学科竞赛健康发展的原因。结合西南交通大学土木学院近几年的探索,介绍了树德为先、学生中心、能力为重、赛教互促的土木学科竞赛组织和管理办法1.0版及其取得的成绩,也指出了执行过程中发现的问题。基于双一流和新工科建设背景,提出了2.0版的学科竞赛指导纲要。经验和纲要可供土木学科院校及综合性工科院校参考。
-
面向国土空间规划的总规课程教学改革探索
作为城乡规划专业人才培养的核心课程,总体规划课程及其教学设计首当其冲地承受行业向国土空间规划转型的压力。科学认识行业转型并制定恰当的课程改革策略与路径,已经成为当下总规课程建设的关键挑战。基于历时性叙事的研究方法,回顾总体规划内容及课程发展历程,可以发现总规课程在坚持以空间资源配置为内核的同时,一直以来都与国家社会经济发展与城乡规划建设行业同频共振,呈现出“持续引入新学科、着力解决新问题、发展建立新范式”的演进趋势。为此,当下总规课程教学改革需要深入理解本轮国土空间规划转型在演进中的历史共通性及逻辑一致性,增强课程内容的时代性及适配性。也即,贯彻生态文明与底线约束的价值观导向,在坚持传统的总体规划为主干的基础上,强化自然资源与土地学科的内容先导性,在教学过程及成果层面注重规划技术方案的可实施性与传导设计。其次,正确认识国土空间规划转型在课程内容总量、知识结构、技术储备等方面带来的冲击,科学制定“以培养方案调整为抓手,全过程适应行业转型”“强化关键技术逻辑、降低次要内容要求”的应对策略。基于上述要求,哈尔滨工业大学深圳校区的总规课程在课程任务方面确定了支持发展与面向实施的原则,探索了综合要素与中小规模的基地选择方法,归纳了过程开放及能力闭环等教学组织方法。
-
结构力学“唤醒式”差异化教学改革与实践
结构力学是土木工程、铁道工程等多个专业必修的重要专业基础课。然而,随着社会的发展和学情的不断变化,学生在专业兴趣、前期知识储备、思维方式、学习态度、内驱力、目标规划等多方面存在较大的差异,结构力学课程教学面临前所未有的挑战。针对结构力学教学中存在的“重一致轻差异”、“重独立轻协同”痛点问题,紧密结合结构力学课程“来源工程、反哺工程”的特点,提出了以工程案例为核心,以“感性入手-理性探究-应用拓展-科学探索”四步走为主线的“唤醒式”教学理念。基于该理念,通过课前充分调研以精准分析差异化学情、高质量建设多元化教学资源、有机融通线上+线下多维度课堂、深度拓展课内+课外多实践平台、以及精心设计的多方法多手段多层次教学,探索了多元素协同的差异化教学育人新模式。教学实践证明,该项改革不仅能够唤醒学生的学习兴趣、参与意识、内驱潜能和专业情感,而且能够将力学理论、工程实践、科学前沿、课程思政进行有机融合,实现结构力学课程从纯理论课堂到厚理论强应用课堂、输入课堂到探究课堂、一致课堂到差异化课堂、单元素课堂到多元素协同式课堂的四大转变;多元素协同的差异化教学能够明显提升底分学生的成绩和课程总体优良率,有效保障了土木工程人才的培养质量,为结构力学教学质量的提升和新形态课堂建设提供了一定的经验参考。
-
《工程图学》课程思政元素挖掘与教学实践
自2016年习总书记提出课堂教学是思想政治工作贯穿教育教学全过程的主渠道以来,课程思政就成为新时期高等教育教学过程的重要组成部分,是高等教育全员、全程、全方位育人的重要途径,高等院校开展课程思政教育已成为必然趋势。然而,由于工科专业课程自身知识属性的特点,其课程思政教学一直存在元素挖掘难,教学过程融入难,评价标准确定难等不利因素,导致课程思政教学工作开展一直不畅。 本文以工科专业基础课—《工程图学》课程全过程思政教学框架构建过程为例,从课程的思政元素挖掘到课程教学实践改革,以及课程思政教学效果评价,给出了各个环节的构建方法和实际案例,在《工程图学》课程思政教学实践上做出一定尝试。《工程图学》课程思政元素通过三种途径进行挖掘,一是从课程的总体发展历史中挖掘有价值的思政教育元素;二是从分析课程知识点的溯源和应用背景出发,挖掘知识中蕴涵的世界观和方法论;第三是从课程发展和创新的角度出发,在实际案例中发现课程具有的思政教育内涵。 课程思政的教学实践从课堂教学和教学评价两个环节入手,介绍了课程组在课堂内、外教学过程中所采用的教学方法和手段,课程采用的教材补充资料如何准备,以及思政教学效果评价的策略等。具体而言:在准备充分课程思政元素的前提下,分章节设计思政教学方法路径,根据思政元素特点,将思政教学元素设计成课堂内、外教学过程环节,将课程思政教学体现在课堂内和课堂外的全方位中;加强课程教材补充资料的建设,将课程思政教学内容及教学方法体现在补充材料中,弥补教材思政元素少的缺点;采用以考查学生参与度为主的评价策略,以学生是否参与以及参与积极性高低作为评价的主要标准,降低教师评价的难度,提高学生完成课程思政任务的积极性,构建全过程、全方位的评价体系。 《工程图学》是工科专业具有代表性的专业课程,本文以课程组的实践教学为例,提出了课程思政元素挖掘路径和教学实践方法,可作为工科其他专业课程思政教学的借鉴,为专业课程教师在思政教学过程中遇到的困难提供解决思路。
-
以“体验-理解-实践”为主线的城市设计教学方法探究
“基于经验”的传统教学模式日益受到数字化、信息化的挑战,知识媒介的溢出导致了人的认知方式改变。面对这一现实背景,建筑学专业教学必须利用多元媒介各自的特征与优势,对教学方法做出相应的调整。 建筑学设计课程应遵循“感知-思考-行为”的认知规律,让学生“获得感官体验、建立情感连接、借助多元媒介、打通信息壁垒、形成具身认知”,实现感知、认知和表达的连续性和效率最大化。 基于此,作者以建筑学本科四年级城市设计课程为例,从教学目标、教学策略方面明确了“教与学”过程中师生的角色比重调整以及各自任务,对课程的教学计划进行了细化,使“体验、理解、实践”同步推进、相互交织,通过设置具体的工作目标,指导学生在各个阶段选择最合适的切入点和设计工具与方式,将身体经验、书本知识与信息媒介、网络数据整合应用,从多个层面掌握理论知识点和设计方法与技巧,使设计过程演化为“认识-实践-再认识-再实践”循环反馈的工作过程,引导学生更开放、丰富、多元地完成课程设计作业,构建个性化的知识框架,寻找适合自身的设计方法,提升综合设计能力。
-
以复杂工程问题解决能力为导向的课程建设研究
本研究以复杂工程问题的内涵为抓手,基于复杂工程问题跨学科性、综合性强等特点探讨解决复杂工程问题需具备的能力要素,从技术能力和非技术能力两个维度进行解构,技术能力意味着解决复杂工程问题必须具备相应的工程知识应用能力及拓展能力,并具备复杂性动态变化下与之相适应的问题分析能力、研究能力及使用现代工具的能力;非技术能力则要求解决复杂工程问题应具备良好的沟通表达能力、组织协调能力、团队协作能力及符合时代要求的工程伦理观。基于此,从课程教学团队建设、课程规划建设、评价机制建设三个方面入手予以构建课程体系,课程教学团队建设要求教师必须树立“以教为本”的教育理念及“以学生为中心”的教学原理,既要教会学生运用工程知识的技术本领,又要基于学生角度培养其非技术能力;课程规划建设强调课程设置应以复杂工程问题解决能力为导向,细化其能力指标进而设置相应的理论课程及实践课程,融合多元化教学方法有所侧重地培养学生的解决复杂工程问题所需的技术能力和非技术能力;评价机制作为实现持续改进的必要手段,应综合考评学生的技术能力和非技术能力,适应复杂工程问题解决能力评价需求。最后本研究运用案例分析法结合天津理工大学工程造价专业的实践案例进行阐释,分析其以复杂工程问题解决能力为导向的课程设置情况及实践成效,旨在为地方应用型大学培养复杂工程问题解决能力提供借鉴。
-
以岩土工程大数据和机器学习课程建设为契机,打造高品质线上线下研究生混合课程
我国“十四五”规划明确提出,高等教育发展与改革任务的关键包括适应信息化时代教育教学形态的改变、促进信息技术与教育教学的深度融合。新冠疫情的爆发,使得线上教学得到普遍使用,而计算机网络的高速发展,为推进“互联网+”大环境下的高等教育全面改革提供了有力支撑。本文介绍了重庆大学土木工程学院如何以岩土工程大数据和机器学习课程建设为契机,打造高品质线上线下混合课程的工作。通过全方面提高研究生的科研素质与分析能力,保障高水平学术论文的持续产出,不断丰富研究生的学术成果,有力诠释立德树人的本质与内涵。
-
对标工程认证基本要求的毕业生设计选题探索
毕业设计是本科教育的最后关键环节,对学生就业创业能力的形成有重大作用。以重庆大学建筑环境与能源应用工程专业(以下简称“建环”专业)的某毕业设计选题为例,基于该选题的背景与目的,对该毕业设计的关键内容与任务要求与传统毕业设计进行了对比,并对其不同点进行了剖析。以该毕业设计工作内容为基础,对标中国工程教育认证通用标准中的12项基本要求,对该毕业设计的各重要环节进行了对应解析,分析了各环节相关工作以及能力提升与基本要求之间的关系。通过过程分析结果,构建了毕业设计能力培养与工程认证基本要求的关系图谱。以期通过“建环”专业毕业设计的工作内容,对标工程认证的基本要求,为相关专业毕业生能力提升提供思路与途径。
-
数智时代BIM创新创业教育范式构建与研究
地方高校土木建筑类专业创新创业教育中存在着一些制约发展的瓶颈问题:创新创业教育与专业教育交叉融合不够,BIM双创教育资源体系不健全,校企协同育人不深入,双创实践平台不完善等。从“培养什么人”,“上什么课”,“谁上课”,“如何上课”,“用什么教材”以及“如何保证教学质量”等闭环角度,探索数智时代将BIM技术融入创新创业教育人才体系的方法与途径,构建一种基于BIM技术的新型创新创业教育人才培养范式。以大连某高校的土建大类专业为例,探讨所实施的总体方案、做法和效果,为地方高校的创新创业教育改革和应用型人才培养提供参考和思路。
-
工科专业课程思政无痕融入方法的探索与实践—以组合结构课程为例
对于工科专业,专业课的课程思政建设是全面提高人才培养质量、落实立德树人根本任务的主要阵地。工科专业课程的普遍特点是理论难度大、专业知识多,显著增加了思政融入难度。在工科专业课程中无痕融入课程思政,对教师的教学设计、授课技巧、教学模式等均提出了新的挑战。组合结构课程是土木工程专业本科生与研究生教学的重要内容,但是组合结构理论复杂、形式多元,教学难度大。本文以“组合结构”专业课程为例,探讨在工科专业课的课程内容、实践教学、考核体系、教材建设等方面全方位无痕融入思政元素的方法与可行性,开展教学模式与教学方法改革以解决“学时少、内容多”的教学矛盾,阐述上述课程思政建设方案与改革措施在本科生与研究生组合结构专业课中实施的效果,以期为工科专业课题提供参考。
-
清华大学高层建筑结构精品课程及教材建设
回顾总结了40年来清华大学高层建筑结构课程教学实践和教材建设,重点介绍了近20年来以“厚基础、重实践、求创新”为特色的人才培养以及“价值塑造、能力培养、知识传授”的“三位一体”育人模式在高层建筑结构课程和教材建设中的践行,包括:(1)教材组织架构创新,更符合结构设计的思维逻辑;(2)突出基本概念和设计理论,重点讲授“活”的、“可迁移”的知识;(3)通过课外程序计算和设计型作业延展课堂,有效形成课内、课外双轮驱动;(4)结合新结构体系的发明,采用问题导向式的研讨型授课,启发创新思维。
-
地方高校土木类专业学位研究生创新应用型人才培养模式研究与实践
工程专业学位研究生教育承担着为国家培养高层次应用型人才的重要任务。针对地方高校土木类专业学位研究生存在培养目标不清晰、培养模式不合理、实践能力不足、创新能力不强的问题,构建了以“产教协同、项目驱动、开放融合”为特色的“一目标、二协同、三递进、五保障”专业学位硕士研究生人才培养模式(简称“1235”模式)。该模式围绕提升研究生实践创新能力的核心人才培养目标,建立“产教协同”的二元人才培养机制,实施“理论-实践-创新”三阶递进式人才培养方式,构建以“教学礼拜”为载体,导师、学科方向、学院、学校、政府五位一体的研究生培养质量保障与改进机制。通过“1235”人才培养模式的实施,以社会需求为引领,加大实践创新培养环节,专业学位研究生培养方案得到了全面优化。通过融合校内外实践资源,全面提升了专业学位研究生实践创新能力。通过校企互聘,全面打造了双师型导师队伍。通过开放课堂、融合工程,提升了研究生课堂教学和人才培养效果。经过对“1235”人才培养模式的多年实践与不断完善,取得了很好的人才培养成效,专业学位研究生人才培养质量明显提高,实践创新能力明显增强。
-
城市类型与城市史课程知识体系的构建
城市规划专业的城市史课程知识点时空跨度广博而条目纷杂,笔者通过教学实践及学生反馈,认识到仅依靠现行教材以编年史为主的教学结构,不足以使学生对古今中外的知识点形成系统性认识、立体地把握城市史的发展脉络、并将历史知识与当下的设计应用相勾连。为解决这些问题,本文提出构建城市史课程的知识体系,参考现行中国建筑史教材中以编年史为经、以建筑功能类型为纬的结构框架,提出在城市史教学中,加入以城市类型为轴的横向框架,对不同时代、不同地域的城市进行分类及比较分析,以形成与编年史主线相交叉的多维知识体系。本文进一步分析了中外经典城市研究中出现的各种城市类型的特征及融入知识体系的适宜形式,包括城市的时代类型、形态类型、地理类型、人口规模类型和职能类型,指出应把各种城市类型根据其各自特征进行整合,形成综合多种分类方法、各取其长的“城市类型知识体系”。根据本文的分析,城市的时代类型是知识体系构建的基础,城市的形态类型及地理类型适宜作为知识体系的主轴,城市的人口规模类型适宜放在课程绪论中,城市的职能类型则适宜与具体的城市实例教学结合。在此分析基础上,本文提出了一种具体的城市史知识体系框架,以城市的时代类型、形态类型、地理类型为三条主轴,并融合人口规模类型和职能类型。笔者将此知识体系框架应用于城市史课程教学实践,取得了初步效果。
-
流体输配管网虚实互动教学方式设计
流体输配管网课程作为建筑环境与设备工程专业的专业核心课程之一,是工科学生学习和掌握各种流体输配过程中的基本知识和基本设计方法的技术基础课。以大连理工大学持续深化本科教学改革和内涵建设,全面提升人才培养质量为契机,综合流体输配管网课程改进成效和教学方法的不足,对课程资源平台进行改革。结合首批国家级一流课程建设经验,以学生为中心,倡导“面向任务边做边学,基础知识讨论中学,工程案例分析中学”,提出虚实结合的互动教学方式,构建复杂流体网络实体平台,同时定制对应的模拟仿真平台,建立虚实结合的仿真、调节和数据采集互动平台。线上教学完成数据模型和部分仿真模块的定制;线下结合工程实验台,实际完成自建平台及调节的虚实过程,构建算法、软件仿真、工程试验一体的教学平台。激发学生主动学习的兴趣,调动学习的主观能动性,发展创新思维,培养创新与实践能力。践行科研反哺教学,将科研成果转化成教学内容,从实际工程和科研问题中提炼出课程要点,加强了课程内容的广度和深度。既利于学生建立管网系统概念又有一定的复杂度,既具有挑战性又锻炼了学生的自学和合作能力。虚实结合的教学设计方式推进现代信息技术与教育教学深度融合,持续改进教学质量监控与保障体系改革,完善实践教学体系的建设。
-
桥梁与隧道工程学科研究生课程体系改革——以哈尔滨工业大学为例
课程体系建设作为支撑高校人才培养的基础环节,引起了多所高校的重点关注,研究生课程体系建设是其中的关键。在新工科建设背景下,哈尔滨工业大学桥梁与隧道工程学科积极探索课程教学改革与知识体系更新,开展了学科课程体系改革工作。本文通过整体分析桥梁与隧道工程行业的最新发展动向,并结合本学科研究生人才培养实际情况,提出了桥梁与隧道工程学科研究生应具备的六项核心能力,并以此为基准,确定了本次课程体系改革整体目标导向。通过总结原有课程体系长期存在的弊病,主要学习和借鉴同济大学、东南大学、湖南大学等行业重点高校的培养方案及课程体系,结合哈尔滨工业大学桥梁与隧道工程学科的实际办学情况,广泛听取学生建议,从整体课程模块和具体课程内容两个角度出发,进行了科学合理的课程体系改革工作。在学科核心课模块改革中,坚持自力更生,特色办学的原则,保证研究生能够夯实基础知识,提升专业能力,突出本学科优势方向。在选修课模块改革中,坚持资源整合,引领方向的原则,在立足传统方向的基础上,开创新的方向,并与相关学科交叉融合。改革后的课程体系为本学科研究生提供了更优质的课程和更合理的培养方案。最后,在现有改革方案上继续求进,指明了在未来课程体系建设工作中仍需努力的方向。
-
好奇与探究:基于场地体验实验的感性思维培养
“ LARP 780: Topics Theory Design: Curious Landscapes”是美国宾夕法尼亚大学 Master of Landscape Architecture (景观硕士项目)疫情期间新开设的线上创意型设计课程。本文通过对该课程的建构基础、教学组织、教学进程及内容的介绍,分析了该课程的教学特色,并针对我国基础教育中以逻辑思维训练为主而风景园林教育中感性思维开发又严重缺失的问题,提出了该课程将感性思维训练作为设计的基础、强调基于场地的体验性教学、鼓励好奇心、想象力和创造力、注重培养学生主动发现问题的能力、将想象转化为设计的基础等方面的借鉴意义。
-
智能建造背景下《结构设计原理》教学创新与实践——以浙江大学为例
随着传统建造技术与现代信息科学的逐渐融合,基于计算机人工智能和现代建造技术的建筑业正在逐步实现可视化、工业化和信息化的智能建造。开展“新工科”专业建设和教育教学改革已成为高等学校的重要发展方向。现有土木工程传统专业课程《结构设计原理》存在教学方式单一,空间结构解析平面化,扁平化,结构解析过程数字化、信息化、智能化不足,信息及软件资源利用不充分等问题。本文系统分析了工程建造技术发展历程及智能建造技术主要发展趋势,以浙江大学土木工程专业课程框架课程为例,结合新工科专业建设的技术标准,从课程设置、教学方法、教学平台和案例分析等角度提出《结构设计原理》课程教学新模式,探索智能建造专业的创新教育路径,以期为高校智能建造专业建设提供参考和借鉴。
-
基于职业导向的建筑类专业学位研究生实践教学探讨
专业学位研究生培养不同于学术型研究生的培养定位和要求,是以培养具有扎实的理论知识、较强的实践能力以及良好的职业能力的高级专业人才为目标的一种学位制度,强调学生在掌握专业理论知识基础上通过实践教学环节获得一定的专业技能,注重实践性与应用性。当前以建筑类专业学位为例,实践教学环节的培养模式与职业衔接仍需进一步深化。基于“职业导向”的实践教学理念,对专业学位实践教学过程中如何由学科逻辑转换到工作逻辑进行了分析,建构了专业知识、职业知识复合的实践教学内容。解决了专业学位研究生培养中实践教学目标不明确、职业认知不清晰、实践考核不规范的三个突出问题,提出了“专业+职业”的镶嵌教学模式,以及检验学生实践学习效果的评价指标体系。研究结果有利于院校生转向职业人、提升专业能力至职业能力,为建筑类专业学位人才培养提供参考。
-
新文科建设理念下地方高校工程管理专业融合发展思路与实践
地方高校工程管理专业面临较大的师资、条件等限制,人才培养定位不准、知识结构不清晰、培养手段单一、应用导向不鲜明等问题突出。根据新文科建设“交叉融合、信息赋能”的理念及相关研究成果,提出了地方高校工程管理专业“一类导向”“三项技术协同”“三大领域融合”“五大要素优化”的专业融合发展思路。结合湖南城市学院工程管理专业融合建设实例,总结该校大力推进课程思政建设、找准工程学与管理学培养范式交叉融合点、深化以BIM技术总揽的课程模块改造、加强信息化教学资源建设、深度对接企业、夯实师资队伍等举措,试图为地方高校工程管理专业建设提供理论研究与改革借鉴。
-
国土空间规划背景下城乡规划原理教学逻辑转变解析
随着国家体制的改革与国土空间规划一系列政策的出台,城乡规划专业面临巨大的知识更新。城乡规划原理作为城乡规划专业中知识覆盖面广、与政策结合紧密的一门核心主干课程也面临着巨大的改革挑战。本文基于国土空间规划视角,从城乡规划知识体系更新的背景出发,以城乡规划原理课程为研究对象,通过对该门课的课程体系变化介绍、知识体系变化本质与教学逻辑转变内涵解析,试图探索建立新教学逻辑方法,并从三个方面切入,分别是针对研究内容逻辑变化方面、知识产出与应用逻辑变化方面与实践逻辑变化方面。在研究内容逻辑变化方面,需引导新发展理念价值观、增强客体知识学习。在知识产出与应用逻辑变化方面,应夯实经典知识的学习,构建新知识框架。在实践逻辑变化方面,应加强实践课的开展,提升教师实践能力。最后以四川省某高校为例,简要说明新教学逻辑下的教学实践成效。希望通过文章提出的一系列观点,为现阶段城乡规划等相关学科的教学实践提供参考,为我国新时代人居环境科学发展提供助力。
-
高校研究生课程思政建设中的思考与探索:以“建筑体系整合”课程为例
目前我国的课程思政建设主要集中在本科教育阶段,研究生思想政治教育才刚刚起步,但作为更高层次的高等教育,研究生思政政治教育也是高校课程思政教育中的重要一环。论文以南京大学建筑与城市规划学院所开设的研究生建筑技术课程“建筑体系整合”为例,探讨如何根据课程本身的特点和研究生的精神特质,从课程定位、教学内容、教学模式、考核方式这四个方面开展课程思政教学改革。课程思政建设的关键和起点是课程定位,“建筑体系整合”课程首先围绕着 “立德树人”这一教育主线被重新定位,教学体系和教学内容也随之进行重新建构和整合,其主要目标是打破建筑技术专业理论与建筑师价值观和人生观培养之间的壁垒,打破专业知识传授与思想教育培养之间的壁垒。在教学模式上则是根据学生的需要和兴趣,以培养建筑师职业修养和正确价值观为目标地开放式、双向式的灵活教学模式。此外,考核和考评模式也是配合课程思政教育的重要手段。教改实践显示只有在重新建构课程体系的基础上,结合学生的实际需求,从多方位、在多层次上有机地融入思政元素,通过潜移默化地引导学生建立正确的人生观和价值观,才能较好的将立德树人的精神贯穿在高等专业课程教育之中。
-
面向地方经济发展的专业型硕士学位研究生培养模式探索
专业型硕士学位研究生(简称“专硕”)培养模式应立足于学校学科专业水平和服务于地方经济发展的需求。基于学校人才培养服务理念和专硕培养目标,以所在学院土木工程专业专硕培养模式为研究对象,在国家专硕招生计划逐年增加和培养质量不断提高的背景下,分析总结了目前专硕招生和培养模式存在的现状—“重学硕、轻专硕”顽固难消、“一报多、调剂少”不稳且低、“理论深、实践浅”理念惯性和“校内紧、企业松”合力分流;结合学校隶属地土木工程专业整体发展水平和培养目标定位等因素,针对学校/学院专硕招生/调剂政策、论文选题和全过程思政育人、校内导师选拔及管理、企业导师遴选和考核等方面提出了具有一定可行性的措施和建议,并以笔者其中一名专硕研究生三年培养模式为案例进行了诠释,实践证明其培养模式效果反映良好,可为其他类似工科专业专硕培养模式提供一定的参考。
-
OBE理念下《土木工程测量》课程思政建设研究
OBE理念和“课程思政”相结合的举措,将“价值塑造、知识传授、能力培养”融为一体,体现了以学生为中心、“立德树人”的育人观,重视教学过程的输出,持续改进。以实践性较强的“土木工程测量”课程为例,在分析土木工程测量“课程思政”内涵和外延的基础上,从课程体系、教学内容、教学过程、教学方法等方面提出了“课程思政”引领下教学优化设计的思路。结合课程特点,发掘该课程内容中蕴含的思政元素,并以“水准测量原理”这一小节课程思政教学设计为例探讨了专业知识点与思政元素的融合,以期为工科类专业“课程思政”改革提供参考和借鉴。
-
基于85%规则的《桥梁结构电算》问题式教学——以对杆系结构边界条件的四层理解为例
《桥梁结构电算》是桥梁工程专业大四的一门重要专业拓展课程,对学生解决复杂工程问题能力的培养具有重要意义。对边界条件的理解一直是困扰有限元初学者的重点难点问题,然而在当前越来越重视实践和思政教学的大背景下,专业理论课的学时被大大压缩,使得该课程存在学时少,内容多、学生缺乏兴趣、力学基础薄弱、未学习过有限元理论等诸多挑战。为帮助学生迅速入门并理解边界条件,基于近年来提出的最优学习的85%规则,开展与《结构力学》相融合的教学探索。从一座实际连续梁桥施工图出发,通过设置四组问题,将杆系结构边界条件与机动分析、链杆等学生已经掌握的既有知识相结合,循序渐进,由浅及深的引出对边界条件四层理解。让学生以辩证的眼光理解边界条件的分类、施加(解除)约束与链杆的关系、边界条件与杆系结构几何模型和单元划分之间的关系。利用不止一切边界是“连接”,一切结点(截面)都是“连接”的思想,将MIDAS/Civil中的一般支撑和各类连接统一用链杆表示,给出6个自由度约束方向与6根链杆的关系,为后续在软件中施加边界条件的具体操作打下基础。5年来的教学实践表明,基于85%规则的《桥梁结构电算》问题式教学方式具有很好的效果,学生在后续上机建模中很少出现之前的混淆不同类型边界条件的错误。
-
"热质交换原理与设备"课程思政教学设计与实践
课程思政是实现三全育人的重要有效途径。探索了在理论性强、难度大的“热质交换原理与设备”课程中实施课程思政的整体思路和具体方式,在原教学大纲专业能力培养目标基础上,制定了与课程特点相契合的课程思政目标,从培养思辨能力、传递科学精神、树立暖通空调行业绿色低碳发展理念三方面深入挖掘课程思政元素,坚持以学生为中心,实践了探究式教学组织形式和过程性评价考核模式,保证课程思政高效融入课堂教学,以“温湿度独立调节空调系统”教学内容为对象,给出了课程思政的具体实施案例。
-
“双一流”背景下研究生国际联合培养质量保障与优化策略--以土木类研究生为例
Under the background of "Double Tops" construction, China continues to increase its investment in international joint education of postgraduates, which is not only an important task of "Double Tops" construction, but also an important support to achieve the goals of "Double Tops" construction. In particular, under the background of the transformation of infrastructure construction from high-speed to high-quality development in China, the international joint education program of civil engineering postgraduates is of great significance. However, due to the late start of international joint education of postgraduates in China, there are various problems in the implementation of the joint education projects. In order to maximize the impact of international joint education projects of postgraduates and steadily improve the education level of civil engineering graduate students, it carried out relevant research from the aspects of international education program, research project coherence, project planning principle and evaluation method in the paper. Firstly, based on the domestic and international experience of international joint education of postgraduates, it summarized concrete measures suitable for our country. Secondly, it uncovered the reasons for the lack of consistency in the research topics of civil engineering postgraduates and proposed an innovative management mechanism for international joint education of postgraduates. Thirdly, it revealed the main factors and obstacles in the implementation process of international joint education projects of civil engineering postgraduates, and put forward general principles of project planning. Finally, it explored comprehensive evaluation methods for the international joint education projects and put forward a scientific post-evaluation method. In conclusion, the paper has positive significance for ensuring the quality of international joint education of civil engineering postgraduates and optimizing the impact of international joint education.
-
专业认证视角下专业理论课程教学质量评价探索与实践
课程教学质量评价是高校人才培养质量保障体系的重要一环,但课程质量评价一直存在评价标准多样化、评价结果区分度差等难题。当前,工程教育专业认证的深入开展对课程教学质量评价(简称评课)提出了更高的要求。评课工作需要贯彻产出导向、学生中心和持续改进的认证理念。专业认证的要求既对课程教学质量合理评价带来了更多挑战,又为解决质量评价难题提供了新的思路。聚焦于土木类专业理论课程评价的问题,基于OBE理念,探讨了评价主体和客体,探讨了评价标准、评价指标、评价视角、评价依据和评价方式等问题;以各种评价主体为线索,分别论述了不同评价主体在课程评价实践中遇到的问题和应对的方案。通过最近几年的实践探索,同行评教团,双听制等应对方案保障了评课工作顺利推进,教师对此项工作的理解度和支持度不断提升,总体评课结论的可靠性相对较好;学院总体评价平均分数逐年提升,学生满意度较好。通过近几年积累的评价基础数据可以勾勒出学院整体的课程教学质量轮廓,为评课工作的进一步的深入改革提供了支撑。本文的研究与实践情况可供类似较大师生规模的土木类学院参考。
-
显像城市——联合毕业设计之西仓城市更新教学实践
在中国城市建设由增量开发转向存量更新的背景下,建筑学教育也在积极回应,探索面向当下城市更新的教学方法与设计理念。近年来城市更新的主题在高年级设计教学中已成为讨论的热点,也成为毕业设计的高频选题。本文以名城四校联合毕业设计的一组教学成果为对象,首先分析其在教学过程中提出的基于图像学算法的“显像城市”概念,其中包括城市认知、城市显像模型建构及更新策略三个层级。在此基础上尝试通过城市像素化的操作生成包含物质与非物质要素的城市认知图像,建构西仓街区的显像城市模型。并提出从文化、业态及居住等不同层面上延续和丰富基地所在历史街区多元融合的地域性特征,在操作层面运用模型中正片叠底的设计方法介入场地,并激活西仓街区的城市活力,最后总结在设计中应建立并丰富应对数字信息时代转型下融合理性分析与感性认知的方法。新时期培养的建筑师作为城市更新的第一代原住民,应从真实的生活视角理解城市日常性。城市设计的内在要义是通过设计的介入对城市空间的复杂矛盾进行调和,因此需要修正传统的以培养职业建筑师为目标的教学理念,从唯设计论的技能专项能力培养转向跨领域跨学科的综合素质训练,重新理解新时期城市发展需求下建筑师的职业定位,这对于建筑学科的可持续发展具有重要意义。
-
融合CDIO理念的建筑类专业双创型人才培养的探索与实践
“双创型”人才培养模式改革是国家人才战略实施的现实需求,但目前在人才培养实践上普遍存在着双创课程游离于专业课程体系之外、教育主体单一、实践教学平台资源不足、课内外教学环节间缺乏融通等问题。以建筑类专业的本科教育为研究案例,为实现学生核心能力的综合提升的目标及培养具有扎实专业知识和技能的建筑类“双创型”人才的愿景,在教学实践中融合了“构思—设计—实施—运作”(CDIO)的工程教育理念,对“双创型”人才的培养路径进行了探索。在明确人才培养目标及愿景的基础上,对建筑类专业教学进行了以专创融合为核心的“专业设计+双创训练+学科竞赛+社会实践”模块化课程体系构建,将创新创业课程设计与教师实践项目密切结合,实现了“思维与意识培养+市场认知+专业技能+素质提升”的全方位能力提升。在教学过程组织上,通过设置“创新思维与意识培养——市场和赛事认知——实地调研——团队辅导”的进阶式学习任务、交互式虚拟仿真认知与真实项目体验结合的体验式教学、竞赛导向的激励式教学等方法实施教学,实现了教学方法与教学思路的创新。最后,为保障“双创型”人才培养模式的可持续运行,应构建以政府、高校、企业、社会为主体的多元协作机制,如通过与地方政府、企业共建政产学研协同基地,为学生提供真实可操作的项目平台及积极的创新环境;通过企业导师、行业先锋等的引入,构建综合性联席教学团队,并建立跨专业师生共创项目组,实现高水平项目的培育及孵化。
-
工程造价专业人才能力标准构建的路径研究——以天津理工大学为例
新工科背景下,行业转型升级、新业态发展和国际竞争激烈。为解决现行毕业生能力培养与劳动力市场的需求变化不匹配的问题,本研究根据行业市场需求得出工程造价专业人才三级能力标准:计量与计价能力为基本能力,招投标与合同管理能力为核心能力,项目投资与可行性研究能力为发展能力。围绕工程造价专业人才三级能力标准,天津理工大学基于OBE教育理念,依托学校-社会、专业-行业、教师-学生3条关系链,形成了工程造价专业人才能力标准构建的“理念层-概念层-执行层-评估层”的实现路径。
-
建环专业“三部六级、螺旋递进”课程体系的构建与实践
“碳达峰、碳中和”背景下,对建筑、能源领域的人才培养有了新的使命和要求,课程体系建设基于产学研用一体化的平台、强调实践教学对课程知识的反馈作用,在此基础上形成在本科学期全过程的螺旋递进式的课程体系,形成理论实践的三部六级、双向互动:专业课程按照主要研究的方向,细分为室内外环境控制、冷热源及设备、能源输配系统等三部分;集中实习实践获得形成基础实习、专业实习两级;理论课程分为数学与自然科学基础、专业基础、专业特色、专业核心等四级。经过四届毕业生的实践检验,证明该课程体系的构建模式可行,在教学实践中不断推动教学研究和改革,实现课程体系主动适应行业发展、校企深度融合对接地方需求的建设路径有效,综合考量系统性、层次性、创新性三个指标点,进行课程教学体系结构的设计和优化的方法切合应用型本科学校的课程体系设计需求。
-
产教融合背景下的“沉浸式”声景设计课程教学改革研究
“产教融合 校企合作”是高等教育发展的必然要求,然而目前的产教融合实践研究常脱离企业实际需求,导致产教融合培养模式过程中的深度不够。高等院校常规建筑类设计课程存在人才培养目标不明确、缺少设计实际应用场景、成果反馈方式单一等问题。针对当前实践研究的以上问题与挑战,本文基于产教融合的教学模式,以研究生城市声景联合设计课程实践为例,介绍了此次课程背景、课程安排、课程要求、课程的阶段性目标以及校/企导师的各阶段职责,将“沉浸式”应用于课程设计方法、设计表达形式与设计优化过程中,提出了“沉浸式”声景设计课程教学的改革体系与实践方法。本文以“X 音盒”、“水琴余韵”2个小组的设计教学成果作为案例进行简析,从课程目标达成、课后反馈情况来论述此次“沉浸式”城市声景联合设计课程教学改革成果。多渠道、多模式、多机制的教学模式,充分发挥了高校和企业在人才培养方面的优势,全面提高了设计课程的教学质量,为培养学生的优良素质、综合能力和就业能力提供了平台。为深化产教融合的合作内容,高校应积极开创产教融合新模式,企业深入挖掘生产实际需求,最终实现产教融合双方的共赢,切实提高人才培养质量。
-
数字信息化教学方式的精细化应用实践与效果对比
鉴于“互联网+”的新型数字信息化教学方式目前已成为高校教育教学手段的重要组部分,有必要对其进行深入研究,为此,以中国矿业大学土木工程专业核心课程“交通规划与道路勘测设计”为例,将课程的教学内容根据知识特点以及难易程度进行分类,同时将教学对象根据学生的学习能力进行分组,在此基础上,依托课程团队建设的在线教学平台资源,采用四种代表性的教学方式,针对各类教学内容和教学对象分别开展教学实践,通过对比分析教学效果最终获得各种教学方式针对各类教学内容和教学对象的优势、特点、适用性,而促进教学效果需要据此精细化选用不同的教学方式从而达到优势互补、因材施教的效果。
-
风景园林专业生态学课程沉浸式教学改革研究
生态学课程是风景园林专业核心课程的重要组成部分,探索适宜的教学模式有助于提高学生学习效果和促进生态学知识与专业设计的有机结合。本文从生态学课程教学现状出发,重点探讨了沉浸式体验的教学介入途径和教学模式设计。沉浸式教学具有场景虚拟化、情景智能化、角色平等化和过程交互性特征,对于克服生态学课程在传统教学方法中的问题与不足具有显著优势。生态学课程的沉浸式教学模式应以教学目标为导向,由教学准备、教学设计、教学实施、效果分析和教学支持系统组成能够良性循环发展的系统架构。目前生态学课程的沉浸式教学模式探索尚处在起步阶段,还需要从软硬件条件、知识传播的正确性与准确性,以及教学资源的共享共建等方面进一步完善。
-
立足德育,着眼美育,探索课程思政在工程专业通识教学模式的改革与应用
将美育纳入主要教学内容和培养目标,最终促进品德教育,是高等教育课堂思政顺应时代特点的要求。论文针对工程专业的特点,结合“双一流”大学建设的契机,改革工程专业通识课程教学模式,尤其专注于教学模式的改革。结合当前社会环境及学生关注的热点,作者充分利用工程类专业实体模型、工程实践、移动网络、社交平台、网络自媒体、传统优秀教学方法等教学方式和手段,并邀请校外相关领域的专家学者走入课堂,将美育和德育无形地融入教学当中,取得较好的教学效果。论文以高校土木工程专业通识课程《桥梁美学》为例,摸索出一套可行的教学方法,可供同行借鉴。
-
交通强国战略下交通院校建筑类研究生特色化培养机制研究
交通强国战略导向下,交通院校应适应国家经济社会建设发展需要,充分发挥学校的办学优势,进行建筑类研究生特色化培养,以满足我国交通建设的高素质国际化人才需求。对国内六所交通特色院校建筑类研究生的培养方案进行调研发现,存在理论课程及设计实习均较少涉及对交通建设问题的探索、国际教育受限于学制和学籍管理而系统性和特色性不强、研究及实践未结合交通建设的前沿问题而创新性不足。因此,结合研究生高质量培养和交通强国战略的要求,在对国内外相关研究进行深入剖析的基础上,提出交通强国战略下交通院校建筑类研究生特色化培养机制:建立多学科交叉、理论联合实际的研究生课程体系;建立政产学研协同育人的研究生培养机制;坚持“引进来”和“走出去”并重的国际联合培养机制。这对我国交通院校建筑类研究生特色化培养具有重要意义。
-
“新工科”背景下岩土工程本研协同的实践型教学: 以微型三轴仪的研发为例
针对土力学课程教学中关于土工测试这一重要环节存在的问题,自主研发了微型三轴仪作为随堂教具,优化教学模式、加强课堂互动、结合理论与实验教学,以理论知识掌握与实践能力提升为导向,让学生更好地掌握三轴试验的测试方法和流程,进而更直观形象地理解有效应力原理,加深对土力学课程内涵的理解。实践表明,由于该三轴仪体积小、重量轻、便于携带,可模拟实际三轴仪的固结、剪切和控制排水条件等功能,通过该教具在理论课程中进行的演示教学环节,有助于学生掌握不同类型三轴试验的关键操作步骤,直观地体会到有效应力决定土的强度和变形特性这一重要原理,可激发学生学习热情,提升综合实践能力,有效提升了土力学课程中相关内容的教学效果。
-
基于试题难度的测试成绩计算方法 ——以“建筑结构设计”课程为例
测试成绩作为教学效果评价的重要指标,其终极目标是能合理反映被试者的能力水平,但传统意义上的卷面得分并不能完全反映被试者测试得分和能力水平之间的关系。鉴此,该文提出根据试题难易程度,对卷面分数进行调整的测试成绩计算方法,并以土木工程专业课“建筑结构设计”为例,分析其具体应用。结果表明:试题客观难度系数取值对卷面高分段影响小,对低分段影响大;分数变化率最大绝对值在卷面最低分和最高分之间,偏向最低分一侧,卷面分数越接近最高分或最低分,受影响越小,客观难度系数取0时,分数变化率在-55.4%~-15.0%之间,取0.5时,在-11.7%~-3.9%之间,取0.7时,在-5.7%~2.5%之间;客观难度系数越小,计算分数与卷面分数间的偏差越大,分数越分散,不同教学班试卷难度系数的差别越大,教学班单独计算和多班合并计算分数差异越大,客观难度系数取0.5时,教学班单独计算和多班合并计算分数的偏差在-10%~+3%以内,取0.7时,偏差在-4%~+3%以内;考虑试题难度的测试成绩计算方法,能合理反映分数和被测试者能力水平间的关系,客观难度系数建议取0.5~0.7,同一门土木工程专业课存在多个教学班时,当客观难度系数取不大于0.6时,建议多班合并计算,大于0.6时,各教学班可单独计算。
-
基于Nvivo12 Plus的大中小学劳动教育实践基地评定标准分析
劳动教育是培养人全面发展的重要组成部分,劳动教育实践基地评定标准对劳动教育基地建设有着重要的引领指导作用。本文采用 Nvivo12 Plus 对7个省市的劳动教育实践基地评定标准进行编码和归类分析,发现已设立的评定标准体系具有强调安全运行是劳动教育实践基地建设的重心、设施完备是劳动教育实践基地建设的中心、育人功能是劳动教育实践基地建设的核心等一些共同的优势,但也存在如忽视对教学反馈的评价、内容过于笼统不够全面、忽视基地师资力量评价、各省指标趋同缺乏指向性等问题。为更好地发挥评定标准体系的引领作用,应将教育基地的教学反馈纳入评定标准体系,明确将师资力量构成列为评估指标,增加体验新兴劳动形态的教育内容,在评定标准中彰显地方特性,使劳动教育实践基地评定标准体系更好服务于劳动教育发展的需要。
-
新时代本科思想政治理论课整体质量评价论析*
新时代本科思想政治理论课的发展已经从注重外延式增长进入强调内涵式发展的新阶段。鉴于此,建立科学合理的思想政治理论课整体质量评价是当务之急。重视本科思想政治理论课整体质量评价应该体现在以下四个方面,在评价主体上应实现从单主体评价向双主体交互评价转变;在评价视阈上应实现从“微观评价”为主向“宏观与微观相结合”转变;在评价方式上应实现从“显性评价”为主向“显性与隐性相统一”转变;在评价维度上应实现从“静态评价”向“静态与动态相融通”转变。
-
群文阅读:红色经典与思政课程的融合路径探究
群文阅读可转变传统阅读教学中学生唯分数的“功利化”学习情况。它不仅有利于营造良好的课堂氛围,且能使学生更好地适应信息快速膨胀的时代。所以,在传统思政课教学中引入群文阅读的教学理念,是满足课堂教学的内外要求和现实必要。在具体策略上,群文阅读教学理念通过红色经典文本切入,以议题设计、问题导向、文本与实际结合、以学生为主体和再现经典等方式,可营造宽松的课堂氛围,提高学生参与度,使学生在潜移默化中理解红色精神,传承红色基因。当然,引入群文阅读并非摒弃传统教学理念,而是要两者更好地融合,各取其长。
-
基于课程平台的新工科专业教学实践与改革思路
针对当前新工科教育需求,深化高等学校内自主创新性学习教学改革,本文结合工科专业教学实际,在利用网络课程平台开展专业课教学改革实践的同时,研究和探索了基于课程平台的专业课程自主创新性学习模式。基于实际的教学实践的量化分析,在课程模式、学生自主学习表现和课程模式反馈等内容上开展辩证分析,构建了包含多种课程资源和在线课程平台相结合的教学模式,新的教学模式不仅可获得学生的教学认同而且有利于提升专业教学中学生自主创新学习能力。突出新工科教育中学生自主创新能力的培养,将有利于更有效培养拔尖人才,满足社会经济可持续发展需求。
-
《建筑遗产保护技术》课程思政教学改革研究
思政建设是我国高校专业课程教育改革的重点。思政元素融于专业课教学的知识传授与能力培养中,既能增加学生专业知识的广度与深度,还能发挥对学生塑造正确的世界观、人生观与价值观的引领作用。本文通过梳理东南大学建筑学院的研究生课程《建筑遗产保护技术》的教学内容与特色,探讨其课程思政的教学设计与建设思路。由此提出的教学模式与教学方法可以为构建《建筑遗产保护技术》的课程思政教学体系奠定基础,对建筑遗产保护方向的专业人才培养有积极的推进作用。
-
桥梁工程专业贯通式实践教学链条模式探索
实践教学是桥梁工程专业学生从理论学习走向实际生产的桥梁。针对桥梁工程专业传统实践教学存在的连贯性差、效率低、效果差等问题,同济大学土木工程学院桥梁工程课群组在多年实践和研究基础上,探索构建了针对多门实践教学课程的贯通式学习链条新模式。该模式以需求驱动、潜能激发、创新导向为核心,形成了从学习认知到技能训练、再到解决复杂工程问题的贯通教学思路。在此教学链条模式中,学生的课程学习、虚拟平台、生产实践、论文科研层层贯通;思政教学、国情实践、现场实习、专利申请、创新创业等环节环环相扣,从而提高桥梁工程专业实践教学的连贯性,丰富了教学内容,提升了教学效果。
-
工科专业实践类课程质量标准体系研究
工科专业实践类课程的质量对达成本科人才培养目标非常重要。工程教育专业认证标准对实践类课程的设置及质量提出了要求,但目前实践类课程的质量标准体系存在缺失、内容不完备或标准不统一等不足。基于工程认证对实践类课程的相关要求,结合面向产出的教育理念,分析得到影响实验类、实习类、设计类(含课程设计和毕业设计)课程质量的共性因素为教学基本条件、教学实施过程及教学效果三项,将其作为质量标准的一级指标。在各项中又列出具体观测点作为二级指标,二级指标在总体一致的基础上以个别指标考虑个性因素。最后分析了基于质量标准,按照不同的评价目的制定质量评价表的方法。建立的质量标准体系内容全面,指标统一,便于进行横向比较,可促进实践类课程的质量监控和持续改进工作。
-
基于乡村振兴教育的跨学科社会实践——研究导向型融合式教学模式初探
为实现教育教学服务乡村振兴,贵州民族大学和西交利物浦大学组织了“贵州报京侗寨乡村振兴联合工作营”,在乡村实景中探索相关人才培养的有效方法和推进建筑类学科教学改革的有效途径。实践中发现:多学科融合的教学模式与多资源融合的教学平台是培养乡村振兴人才的有效方法。针对乡村振兴的教学改革核心应变“知识积累”为“思想价值引领”。工作营设计了以学习者为中心的研究导向型融合式教学过程,展开在乡村学习、向乡村学习、为乡村学习、让乡村学习等多维度沉浸式教学活动,为乡村振兴培养和储备人才。
-
公共应急背景下专业课程在线教学模式探索
2020年新冠疫情后,线上线下混合教学活动为公共应急背景下专业课程的高效教与学提供了重要思路。考虑高校教育教学与在线教学的融合路径,针对岩土工程专业课程的在线教学过程,探讨在线教学存在的共享教学资源显著差异、教学过程单一、师生关系消解与重构消耗、教学硬件不匹配等问题。由此,提出专业课程在线教学过程的系统化、教学内容与时俱进优化、教学模式多元化、学生作业多重化、考核方式过程化等教学设计思路,实现在线教学模式的多样化运行、助力学生自主学习能力提升、确立多元考核及评价方式,切实提升专业课程在线教学效果。如上探索可为高校在公共应急背景下完善和改进面向大规模开放教学具有指导意义。
-
土木工程应用软件类课程OBE教学模式的研究与实践
对照工程教育专业认证的体系标准和OBE教学理念,指出土木工程应用软件类课程中亟需解决的若干问题,以土木工程专业建筑工程方向的“建筑工程计算机辅助设计”课程为例,探讨了课程逻辑、课程定位、课程目标有效达成等课程建设的关键问题,阐述了区分授课内容的阶段式课堂教学设计、课程实践环节的项目式教学模式、课程考核办法以及持续改进措施等融入OBE教学理念的课程改革与实践。课程的实施效果表明,注重学生主体地位的教学方法能显著提升学生学习的自主性,探究式、互动式的课程学习有效促进了课程目标的达成,所述的课程模式及教学方法可为土木工程专业相似课程的教学方法改革提供思路与借鉴。
-
基于学生视角的国土空间规划教学探索
国土空间规划是我国新时期规划改革的新实践探索,对城乡规划学科和专业教育具有深远影响。文章探讨了国土空间规划变革对城乡规划专业教学的影响,从学生视角分析国土空间规划的教学效果,并提出面向国土空间规划需求的教学模式改进建议。本文基于学生国土空间规划学习反馈问卷调查研究提出,“教”与“学”是城乡规划专业教育不可分离的一体两面,国土空间规划教学要重视学生的学习反馈及学习规律,不断提升专业教育质量。响应国土空间规划变革,城乡规划专业教育要逐渐从单一课程教学转变为全体系教学,以满足国土空间规划对新型规划人才的紧迫需求。
-
从目标达成角度探讨工程专业课程如何融入思政元素
既有工程教育体系缺少科学技术“价值理性”方面的教育,高校教师不论在思想还是行动上都存在工程教育与价值目标脱钩的情况。课程思政的提出为工程伦理目标的达成提供了具体的内容范式,但中国工程教育专业认证并未融入本国特色和文化的内容。基于建构主义学习理论,采用乔纳森建构学习环境模型解构“高等学校课程思政建设指导纲要”给出的课程思政内容,从目标达成角度探讨思政育人目标如何融入工程教育认证标准毕业目标并逐层拆解为课程育人目标,构建了包括课程体系、课程的持续改进及考核目标达成分析三部分内容的面向产出的执行路径。以《交通工程》和《路桥检测技术》两门不同类型的土木工程专业课为例进行了案例及结果分析,证实了该方法的可行性,为课程思政目标达成的实施路径提供一种参考。
-
全国城乡规划专业城市设计课程作业竞赛的分析与思考
“城市设计课程作业评优”是全国城乡规划专业最高层次、最为规范、最受认可的一项设计竞赛。以2005年~2019年的竞赛获奖名单为样本,根据教学发展过程与城市设计发展的关键时间节点,将竞赛历程分为前期、中期、后期3个阶段,对竞赛的总体获奖情况、获奖院校的地域分布与院校类型特征以及设计竞赛与获奖作品的主题特点进行了统计分析与交叉分析,从整体上把握其变化发展趋势。基于分析结果的思考,认为我国的城市设计课程教学应从以下四个方面做进一步的探索:坚持开放融合,共促共进的教学理念;构建“城市空间形态设计+”的教学内容;采用引入研究的设计教学方法;建立多元化的教学成果评估方式。
-
融通与集成 ——建筑学专业本科教学体系和教学模式改革实践
为适应国际建筑教育发展趋势并应对新型城镇化发展及创新驱动国家战略,针对彼时建筑学专业教学中的问题,东南大学建筑学专业通过对课程体系、教学模式和育人平台三个方面的改革,系统构建了创新人才的培养体系。其中横向融通、纵向进阶的专业课程矩阵是教学体系改革的基础核心,由多维协同育人平台支撑的内外联通、知行合一的实践性教学是课堂教学的重要拓展;以设计课程为核心的集成化教学模式是达成教学理念的实施保障。十余年来的教学改革实践已取得富有影响力的成效,也坚定了我们继续探索建筑学高端人才的培养路径,以期为国际建筑教育提供具有中国特色的典例。
-
工程管理专业虚拟仿真教学建设意愿与阻碍因素研究
在新一轮科技革命和产业变革的背景下,教育部提出建立虚拟仿真“金课”的要求,虚拟仿真教学为工程管理专业教学提供了全面的信息汇总渠道和高质量的实践操作板块,拓展了实验教学的深度和广度,实现实验教学与信息技术的融合,但在全国各高校工程管理专业的应用有待进一步开展。为深入了解新工科背景下工程管理专业建设虚拟仿真教学项目的建设情况,本研究面向全国工程管理专业教师开展问卷调查,收集了当前工程管理专业中虚拟仿真教学项目的建设情况,了解了工程管理专业虚拟仿真教学项目建设意愿,分析了建设虚拟仿真教学项目的阻碍因素,并提出了对策和建议。结果显示,仅有22.54%的受访者申请或参与了虚拟仿真教学课程建设,超过90%的受访者认为虚拟仿真教学对工程管理与工程造价专业人才培养来说很重要或比较重要,并认可其作用;主要的阻碍因素包括缺乏资金、技术支撑与相关资源支持。本研究通过收集现高校虚拟仿真教学项目的建设情况,分析存在的主要阻碍因素,为推动本专业虚拟仿真教学项目建设提供了建议与对策。
-
基于工程教育认证的给排水科学与工程专业生产实习模式探索
针对我校给排水科学与工程专业生产实习中存在的问题,基于工程教育认证理念的“成果导向”、“以学生为中心”、“持续改进”理念,从实习基地建设、实习管理强化、实习内容深化、实习指导教师队伍建设、课程考核评价完善等方面对生产实习教学进行了改革。强化校企合作,建立稳定的实习基地,利用实习仿真软件及生产实习影音资料库,线上线下相结合,加强实习管理,以培养目标和毕业要求为导向,深化实习教学内容,建立双导师制度,提高实习指导教师水平,深化拓展实习教学内容,建立毕业生质量跟踪反馈制度,持续改进生产实习教学。探索了基于工程认证教育理念的地方应用型高校的生产实习教学新模式并加以实践,提高了学生解决复杂工程问题的能力,为学生毕业要求与培养目标达成达奠定了坚实的基础。
-
高校教工党支部在“三全育人”过程中的思考与实践
在新时代背景下,高校要立足新时代,主动适应经济社会发展和学生健康成长提出的新需求,进一步做好对学生人格、素养、知识、能力、社会、责任感等综合素质的培养。在“三全育人”即全员全方位全过程育人的过程中,高校教工党支部作为党的基层组织,在坚持党的全面领导下,如何发挥基层党支部的战斗堡垒作用,实现为党育人,为国育才。本文首先分析了目前高校学生存在的问题,即理想信念不够坚定,心理承受能力较弱,抗挫折能力较弱,网络依赖性强。针对目前高校学生的特点,介绍了北京建筑大学自动化系教工党支部主要从党建引领,坚定理想信念;拓宽渠道,招培就全过程培养;结对帮扶,家校共育,师生共情和有效利用网络,创新教学四个方面着力,在“三全育人”过程中的党建实践。
-
对建筑学专业知识体系变革与研究性课程体系建设的思考
跨学科的专业课程建设是当前我国专业教育改革的重点和难点;本文以建筑学专业课程改革为例,通过深入分析当代信息化背景下的知识传播特征和专业知识体系构成特征,提出面对专业知识由树状结构向网络化结构转变的趋势,应以问题为导向构建跨学科的研究性专业课程体系,从而真正实现以学生为中心、以创新能力培养为主体的教学目标。
-
智慧交通基础设施交叉方向研究生培养模式探索与实践
“交通强国”国家战略背景下,交通基础设施建设迫切需要以“两新一重”为指导,适应新时代智慧交通的要求。高校作为专业人才培养的主体,应根据国家战略和行业需求,鼓励交通运输工程各二级学科与其他学科交叉,推进交通运输工程专业向智能化、信息化方向靠拢,对研究生培养模式进行系统性改革。本文以现行培养体系存在的问题为切入点,总结了交通基础设施方向研究生应具备的核心能力;在此基础上,以课程体系、培养模式、学科交叉为支撑,以管理办法、导师团队、实践平台为保障,提出了智慧交通基础设施交叉方向研究生培养模式改革的构想。同时,指出了培养模式探索中可能存在的问题,为智慧交通基础设施交叉方向研究生培养提供了完善可行的方案。
-
“领跑型”公路隧道工程一流本科人才培养的理念与实践举隅
针对交通强国建设对公路隧道专业人才培养“世界前列 ”的新要求,以公路隧道工程本科教育教改等方法举隅,提出并施行了以培养“领跑型”一流本科人才为目标的工程教育理念与教学方法。构建并施行了“两阶段、三导师、四平台”的人才培养体系,形成了以实、新、强为特色的课程创新体系。创建了与领先工程建设结合的隧道课程“五阶段教学法”,搭建了重大工程实践基地和现场虚拟感知示范平台,建立了提升学生工程“领跑”意识和创新能力保障体系。解决了公路隧道工程教育中人才培养如何适应“世界前列”、学生发展渴求、用人单位需求,以及学生工程创新意识弱,工程教学的内容、方法、数字模拟、实习实践等滞后于日新月异的“世界前列”重大隧道工程等难题。培养的一批批“领跑型”一流专业人才,正在国内外重大隧道工程中发挥着中坚骨干作用。
-
建筑行业特色大学高质量发展:困境与路径
行业特色型大学是我国高等教育体系的重要组成部分,也是推动行业经济的发展的重要力量。建筑类高校是典型的行业特色型大学,随着高等教育改革的日趋深入以及传统建筑行业转型升级的迫切需求,传统的建筑类大学发展面临诸多问题,新时期重新审视行业特色型大学的特征与内涵,分析建筑行业特色型大学的发展困境,以及如何消解困境探索建筑行业特色型大学高质量发展之道,助力建筑行业高校向高水平特色型大学迈进,已成为我国高等建筑教育必须关注和解决的重大问题。
-
深部岩石力学与地下工程导师团队培养研究生探索与实践
导师是研究生培养的第一责任人,肩负着培养国家高层次创新人才的崇高使命。然而随着研究生招生规模的扩大,传统的单一导师培养模式已经很难适应高层次创新人才培养的迫切要求,导师团队培养模式应运而生。本文首先分析了单一导师模式在研究生思政教育、创新能力和国际视野培养等方面的局限性;然后以中国矿业大学深部岩石力学与地下工程领域导师团队为例,就如何构建与管理导师团队提出切实可行的思路;最后,从厚植研究生的家国情怀,增强研究生的创新意识,提高研究生的实践能力,开拓研究生的国际视野,营造研究生的和谐氛围等五个方面,探索了导师团队提升人才培养质量的举措,可为同类院校导师团队模式培养研究生创新能力提供一定参考。
-
基于核心素养的智能建造专业人才培养模式探索
摘要:在新时代发展背景下,分析新工科人才的本质特征,准确把握学科核心素养的内涵,面向新兴产业对人才的需求,建构新工科人才核心素养指标框架。以核心素养为导向,制定智能建造专业人才的培养目标和课程体系,从学习结果界定智能建造专业人才的培养规格,树立素养本位的专业教学理念,探索行动与反思的工程教学方法,提出核心素养导向的新工科人才学业评价实施建议。体现了工程教学实践性和创新性的特点,对新工科人才培养具有一定的理论意义和应用价值。
-
基于BOPPPS的线上线下混合式教学设计与实践——以“工程经济与管理”课程为例
互联网+与教育教学的深度融合促进了微课、慕课等线上教学的快速发展。线上教学具有内容丰富多样、教学安排柔性等优点;传统的线下课堂教学具有交互性强、学情反馈及时、情感化施教等优点。如何将线上和线下教学优势有机结合,是新时期高校“金课”建设的重要课题。针对线上和线下教学有机互补衔接的关键问题,提出了基于改进BOPPPS的线上线下混合式教学方案,包括“课前知识自学—课堂知识内化--课后知识强化”三阶段;设计了适用的案例式和交互式教学方法;并以“工程经济与管理”课程为例开展教学改革实践。教改实践表明新教学方案和方法可满足学生多层次个性化学习需求,提高了学习积极主动性和教学质量。研究成果可为混合式“金课”建设提供参考。
-
以问题为导向的工科设计类课程线上教学改革与创新实践
2020年以来,新冠疫情的肆虐导致广大高校无法正常展开线下教学,在党中央的组织领导下,各大高校纷纷展开线上教学实践。但由于传统工科设计类课程的特殊性,使得其线上教学无法适应要求。基于此,本文以我院城市设计课程教学为例,对其教学任务、目的进行剖析,认为线上教学存在基地现场调研难、线上教学深化难(方案信息损失大、师生线上交流浅)、线上答辩误差大等问题。继而提出 “云”调研的创新(线上“云”选题、线上“云”调研)、线上教学的改革(“VR”技术的运用、线上交流的优化)、线上答辩的纠偏等系统化改革创新思路,为未来设计类课程线上线下融合和线上教学改革深化提供了有益的经验借鉴。
-
建筑设计入门课程的分解式教学模式探索-以华南理工大学建筑学院为例
本科二年级是建筑学五年制教学体系中正式进入建筑设计方法训练的入门课程,其培养目标主要包括引导学生理解基本的设计逻辑和掌握理性的设计方法。通过分析常规入门课程中存在的“可教性”、“导向性”不足等影响培养效果的教学方法问题,结合华南理工大学建筑学院二年级教学组多年来的实践探索,文章针对上述问题提出“分解式”的入门教学理念,探讨其在“专题式”教学内容分解和“进阶式”指导过程分解这两方面的设计训练模式创新;并以该课程中的“行为与空间”专题作业为例,对“分解式”教学模式的具体操作方法进行总结。
-
导师作为视域下工程专业研究生专业实践教学质量提升路径
——以土木水利专业为例王玉清, 郝贠洪, 石东升, 王尧鸿, 王萧萧
分析了工程专业学位研究生专业实践教学中存在的问题,指出导师在专业实践教学中的重要地位和作用,提出通过导师积极作为提升专业实践教学质量的路径:努力进行自身建设,提升指导能力;对研究生培养过程进行系统规划,提高专业实践与其他环节的关联度;主动寻求校企合作,提升校内外导师育人协同度;将“五育”贯穿于专业实践全过程,提高专业实践育人的全面性;改革专业实践评价方法,提升评价对专业实践教学质量的促进作用;重视专业实践预案准备,做到突发事件下实践教学有序进行。
-
教学为经 行业作纬:土木工程课程群教育部虚拟教研室建设初探与实践
开展虚拟教研室建设是信息化时代全面提高教师教书育人能力、建设新型基层教学组织的重要举措。本文以“土木工程课程群”教育部首批虚拟教研室建设为例,从建设虚拟教研室的初心、思考和举措三个方面,阐释了本教研室如何将大土建行业需求和高校教学改革相浸润,以已建成的国家级一流课程、课程思政示范课程为资源基础,从专业课程体系设计、教学资源构建等层面,基于课程思政、分类培养、强化实践、资源共建、技能提升等维度开展建设与实践,实现教师校际间通过虚拟教研室平台开展教学交流互鉴的思路与举措。
-
与乡村振兴相结合的“建筑技能大师工作室”模式初探
“技能大师工作室”建设是国家新世纪的教育战略举措。德国包豪斯“工作坊”教学模式存在着3个主要问题,影响了其可持续发展,而高校的“建筑技能大师工作室”针对工作坊的不可持续性问题,提出了多方面的改进,成为了包豪斯“工作坊”的2.0模式。文章以华南农业大学“广府古建筑技能大师工作室”为案例,结合该工作室在“乡村振兴”领域的研究实践,探索“建筑技能大师工作室”与乡村振兴相互促进的特色之路。工作室在包豪斯“工作坊”体系的基础上改进,突出自身的优势和特点,贯彻“教学、科研、实践三位一体”的教学理念。运用“以行促学,学科融合,扎根乡建”的教学方法,与教学体系高度结合,促进建立特色教学体系;开拓本校建筑学专业多学科交叉的新研究领域;通过不断实践培养熟悉乡村振兴的创新型人才。教学达到了“学科发展、人才培养、回馈社会三位一体”的教学效果,建立起高校学科与外部系统的联系,培养多学科交叉型人才,学院式研究与科普公益工作相结合。
-
基于虚拟仿真技术的中国建筑简史教学实践与思考
建筑教育的传统教学模式下,很难真切体验古代城市空间的真实状态。传统教学除了板书之外,主要依靠数字媒体的应用。但无论是照片还是视频,认知主体永远处于媒介之外,学生所接受的信息相对间接。虚拟仿真技术的运用,是以现存实物为骨架,虚拟出古代建筑格局原貌、改变及缺失之处,以沟通古今,沉浸式体验场景。将虚拟实验与传统课程相结合,做到教学的“虚实结合”,达到真正的“沟通古今”。本文以中国古代地方城市空间认知与解析虚拟仿真实验在中国建筑简史教学上所进行的探索性实践为例,阐述了计算机虚拟仿真技术在建筑史专业课程中的重要价值,评估了它相对于传统教育手段的优越性, 并反思了在当前课程中使用虚拟仿真技术时出现的若干问题。
-
工科类专业课程思政元素及融入途径探讨——以桥梁工程为例
课程思政是落实立德树人根本任务的重要举措,深入挖掘各类课程和教学方式中蕴含的思想政治教育资源是当前教育教学最基础、最根本也是最紧迫的工作。由于工学类专业课程与思想政治课内容有较大差别,如何开采与充分利用专业课中的隐性“思政宝藏”,从而达到课程思政和思政课程的协同育人效果,是目前专业课教师面临的新挑战。工学类专业课程知识点往往立足于力学原理,从中蕴含的哲学思维和美学是易被忽视的重要“思政宝藏”。本文首先分析了工科类专业课程的特点,然后提出了专业课程的思政目标,并从哲学思维及美学、工程伦理、大国工匠精神、科技报国的家国情怀和使命担当方面梳理了课程思政元素,最后以“桥梁工程”课程为例,探索了有效融入途径,为类似课程起到借鉴作用。
-
新工科背景下风景园林专业人才跨学科能力培养探索
为了积极应对社会快速发展所产生的新领域、新行业对人才培养提出的新要求,我国近年来大力推进新工科教育。新工科背景下,培养学生的跨学科学习、跨学科知识迁移,从而实现跨学科创新的能力成为人才培养的主要目标之一。通过西南交通大学近年来进行的一系列教学改革实践,结合风景园林专业的实际情况,分析了跨学科迁移能力培养在专业特殊性、课程体系独特性和教学环境局限性等方面具有复杂性;论述了西南交通大学风景园林专业人才跨学科迁移能力培养中,近年来在教学理念更新、建构完善的“学生-平台-教师”三位一体人才培养环境、完善知识体系、细化培养过程、建立多重的科学评价方法等方面进行的教学改革和相应的成效;探讨了风景园林专业人才跨学科能力培养在建立人居环境科学理念、突出学科优势和平台资源、强化关键培养环节等方面的发展趋势。
-
面向工程应用的“项目式+模块化”教学模式研究 ——以传统交通土建类施工技术课程为例
施工技术课程作为交通土建类专业的一门综合性强的必修课,在学生的整个培养体系中起着承前启后的作用。通过对这门课程的学习,学生不仅可以掌握关于工程施工的工艺、方法和技术知识,还能培养对施工组织管理的认知能力和掌控能力。文章以交通土建类施工技术课程为例,基于“双一流”背景下应用型综合大学对实践能力强及团队合作意识高的人才培养需求,分析传统施工技术课程在教学上存在的不足,从教学的内容、方式、评价等多个方面进行探索与实践,提出在施工技术课程上开展“项目式+模块化”教学模式的改革措施,以此来激发学生对学习施工技术课程的兴趣,提升学生在课堂上的语言表达能力和沟通交流能力,增强学生在学习上团队合作解决问题的能力,从而实现教学效果的高质量完成。
-
以学生发展为中心的桥梁工程多元产出实践教学模式探索
在“新工科”建设背景下,培养学生的实践能力与创新能力对于创新型人才的培养至关重要。同济大学土木工程学院桥梁工程课组群近年来结合桥梁智能建造的发展趋势,紧扣桥梁工程建造领域的最新发展和热点问题,对生产实习模式进行了大胆改革,通过2017到2021年五个学年的实践,逐步形成了“实习主题前沿化、管理程序精细化、成果产出高效化、教学手段多样化”的生产实习教学新模式。新模式以学生发展为中心、成果多元产出为导向,探索精细化全程管控和考评方式,保障教学实习质量,促进学生收获多方面成果。自应用以来,新的实践教学模式受到学生和实习单位的广泛好评。
-
产教融合背景下高职院校职业素养教育路径探究
职业教育发展进入提升形象,提高质量的重要阶段,学生职业素养教育水平成为职业院校内涵建设的主要指标。产教融合办学模式下,为适应开放入学、分类招生、有教无类的职业教育特点。学生素养教育多元化需求和职业素养教育内涵建设不足的矛盾突出、行业岗位职业素养需求和校方教学模式对接性不高、校企联动育人不充分,职业素养教育效果评价和鉴定没有跟进等问题影响高等职业院校职业素养教育高质量发展,以分析文化、管理及评价三个主要影响因素为切入点,提出"三融双导"式职业素养教育构架,通过打造产教融合文化育人环境、构建完整的有效育人体系、反映个体成长的职业素养评价为举措探究高等职业院校职业素养教育路径。
-
工程特色引导性课程虚拟仿真实验教学模式构建——以建筑工程概论课程为例
工程特色引导性课程体现了本科应用型人才的培养目标和相关专业学生的核心竞争力。建筑工程概论作为代表课程之一,已在房管、公管等多个工程管理类专业开设,可为工程管理类学生提供必要的工程基本理论,但在其实践教学中也面临很多矛盾需要解决。在界定该课程定位和特色的基础上,系统分析了建筑工程概论课程开展虚拟仿真实验教学的必要性。基于工程管理类专业执业能力大纲的要求,制定了虚拟仿真实验的教学目标。为达成教学目标,设计了“学科通识、专业提升、创新设计”三层次内容的虚拟仿真综合实践教学模式,并强化实践教学的过程考核,最后对实施效果进行了问卷调查和定量分析与评价。结果表明:该虚拟仿真实验教学模式较好地满足了工程管理类专业执业能力大纲的要求,可为相关院校开展工程特色引导性课程教学提供借鉴。
-
研究生国际化创新课程探索和实践--以国家全英文精品课程《Environmental Quality and Wellbeing》为例
在新工科和世界双一流大学建设的背景下,高校研究生课程教学改革是其中的重点和难点。鉴于国际化英文课程建设是加快高校国际化进程的必然需求,也成为国内许多高校课程教学改革的重点。但是,如何在国际化英文课程建设中探索适合我国研究生人才培养目标的教学模式、教学方法、师资队伍等,培养具有国际视野和竞争力、具有创新活力和较强研究能力的高层次创新人才,却是亟待解决的问题。 本文以重庆大学研究生国家全英文精品课程《Environmental Quality and Wellbeing》为例,阐述了课程“教育性”与“研究性”一体化建设中,在课程内容、教学方法、考评方式、师资队伍等方面的特色和经验。课程注重教育教学的整体设计,构建了从基础到拔高、到拓展的多层次课程内容体系,并注重教学内容与科研项目、实践创新紧密结合,在教材选用上推荐专业最新期刊论文或专题报告,拓展国际化教学的广度和深度。课程以系统思维和启发式教学模式引导“教”与“学”的互动互位,设置交流互动、课堂研讨、案例研究、专题汇报、论文综述等多个环节,实现教学方法的变革,并将跨学科领域的热点、难点和研究新动向等国际性话题作为课程研讨主题,重点培养和锻炼研究生的思维能力、科研能力和创新能力。在课程评估上引入研讨、汇报、写作等多元化考核方式,培养学生既掌握扎实专业知识,又具备国际学术交流创新能力。同时,除了单纯英文教学,课程更注重整合优质国际资源,建设国际化、多学科联合师资团队,通过引进国际知名院校学术造诣高、教学经验丰富、科研成果显著的资深教授和专家进行短期讲学、授课,以及与国内教师联合开设研究生课程等,通过跨学科教学促进建筑环境领域多学科交叉融合,拓宽研究生知识的广度,解决传统课程教学视野狭窄、知识结构单一等问题。 本课程建设克服了传统研究生教育教学改革和国际化进程中课程体系建设内容单一、不利于培养复合型工程能力、研究生跨文化理解与交际能力、适应性和发展能力欠缺、优质科技教育资源不足、本土教师国际化教学能力欠缺等问题,为国内高校建筑环境专业全英文课程建设提供了优秀示范,同时为推进国家研究生教育的国际化进程、培养具有国际视野和创新活力的高层次人才、推动学科发展等提供可借鉴的经验与思考。
-
国内外顶尖大学土木工程专业本科培养方案调研与对比
中国作为全球最大的发展中国家,对土木工程专业人才需求量巨大,我国超过20%的高校开设了土木工程专业。本文选取2021-2022年QS世界大学学科排名之土木与结构工程专业排名前50的国内外六所代表性高校,调研与对比它们的土木工程专业本科培养方案,为我国高校建设世界一流土木工程专业提供参考。主要结论与建议如下:(1)六所高校在人才培养目标上大体一致;(2)国内高校清华大学和浙江大学本科毕业要求修读的课程门数明显多于国外四所高校;(3)清华大学和浙江大学在人文、艺术课程方面弱于国外几所顶尖名校(南洋理工大学除外),而在可供选修的专业课程丰富程度方面优于国外顶尖名校;(4)建议国内顶尖高校土木工程专业可以适量的减少总课程量,适量增加人文、艺术课程,给学生更多地课外学习与消化时间,从而最终达到“知识传授”、“价值塑造”和“能力培养”三者的平衡协调培养。
-
基于SPOC的混合教学模式探索与实践——以钢结构课程为例
孙涛, 何小涌, 姚未来, 成鑫磊, 杨秀明, 张蕾, 石少卿
“教育信息化2.0”更加注重教育与信息技术的深度融合,强调创新教与学是提高人才培养质量的重要途径。立足“互联网+教育”新教育生态,阐述SPOC和混合教学的基本内涵、优势及特征,分析混合教学模式的基础理论依据,构建基于SPOC的混合教学模式,包括教学准备、教学过程设计、考核评价设计三个环节,并以钢结构课程为例开展教学实践探索与反思。结果表明,基于SPOC的混合教学模式强化学生学习的主体地位,一定程度上提高了学生的学习深度,促进了实践应用、分析决策和批判思维等高阶目标的实现,增加了学生学习的获得感。同时,通过教学反思发现基于SPOC的混合教学模式对教育者和学习者提出了更高的能力要求,有待多方共同努力去不断提高和完善。
-
“行”至课堂外,“知”于景境中——新工科背景下园林考察实习课程中情境式移动教学应用探讨
建立和完善具有中国特色的工程教育新体系是风景园林专业新工科建设的重要目标之一,园林考察实习课程是重要的实践类必修课程,其教学过程存在时空异质、情境真实的特殊性。本研究在课程教学现状及存在问题的基础上,提出情境式移动教学概念,对两步路户外助手、猫眼象限、花伴侣等移动信息技术在园林考察具体情境中的教学应用进行阐述,指出情境式教学模式的三个阶段、三个保障和三个目标,最终实现“行”至课堂外与“知”于景境中的有机结合、达到“知行合一”的应用创新,本研究的结论可以为园林专业教育管理者和实施者促进移动学习的有效开展提供思路,也可以其他专业的户外实践类课程的开展提供参考。
-
文化耦合:新工科背景下研究生家国情怀和知识能力融合培养
新工科背景下,为了实现研究生家国情怀培育与知识能力提升的融合培养,提出了研究生“文化耦合”培养模式;依托东南大学交通运输工程学科研究生培养实践,阐述了特色课程平台、多元研学实践平台和高水平资源平台等文化耦合平台的搭建以及学科文化建设;通过教学活动、学术活动和学术榜样这三个耦合点,分析了文化耦合机制、家国情怀养成以及实践成效,可为落实立德树人和提高研究生培养质量提供借鉴和启发。
-
信息素养教育嵌入专业课创新实践教学活动的研究*
借助信息素养教育创新实践教学活动,培养大学生的信息技能和创新意识,从而实现大学生专业知识和信息能力同步提升的目的。在计量经济学课程教学中嵌入信息素养创新实践教学活动,对课程的教学计划、教学方式、教学内容和目标等进行深入探讨。实践表明,信息素养创新实践教学活动在提高大学生专业知识和信息能力的同时,对培养大学生的创新意识和科研精神也起到积极的推动作用。
-
《钢桥》教材课程思政内容构建
教材作为高校实施高等教育的重要载体,对提高高校教学质量和培养优秀专业人才具有显著的促进作用,同时也是高校全面推进课程思政建设,落实立德树人根本任务的战略举措。本文立足于《钢桥》先进的教学内容,着眼于恰当的、有促进作用的思政内容,从而使《钢桥》教材在原有教材基础上更具“高阶性”、“创新性”以及“挑战度”。本文首先对课程思政理念进行再理解,凝练思政元素并做分类;然后根据《钢桥》教材各章的知识点,结合七个教育方面的思政元素融合实现课程思政设计,建立起专业知识点与课程思政元素之间的关系;最后对教材中思政内容进行具体构建,实现课程思政类《钢桥》教材的特色教学内容。本文研究成果可为实现工科专业课程全方位、多维度、深层次的课程思政构建提供方式方法,使课程思政内容更具系统化、科学化、规范化。
-
美国研究型大学环境工程硕士研究生培养模式及其借鉴
从“两山理论”到“双碳目标”,国家对生态环境保护及其高层次人才的需求日益提升。提高研究生人才培养质量,已成为我国创新型国家建设和人才强国战略实施的重要课题之一。以美国北卡罗来纳州立大学(North Carolina State University)为例,从研究生培养学制、目标、课程设置与要求等方面,对环境工程类研究生人才培养模式进行深入剖析,对比探讨中美研究生培养的异同。研究认为,科学的培养目标、完善的课程体系和密切的产学结合是美国公立研究型大学环境工程类研究生培养的有效经验。研究结果对我国环境工程类研究生培养,促进高层次人才培养质量和科技创新创造能力的进一步提升具有重要的现实价值。
-
工科专业中课程思政的构建 ①
在专业课程的授课中,教师如何有效解决课程思政教育中存在的“碎片化”“生硬感”等问题。是实现专业课程与思政内容间“潜移默化”和“润物无声”的根本。将思政内容与专业课程内容整合并教授给学生,可以让学生在学习专业知识和技能的同时获得正确的价值观引领。文章通过分析工科专业课程思政的内涵、布卢姆(Bloom)教育目标分类理论对课程思政内容层级构建的引导作用,探索从教育理论角度和课堂实施环节寻求高校工科专业课程思政的教学设计与实施的一般性途径;通过分析城市设计课程中思政内容实施的途径,提出了系统化构建课程思政的措施与方法。最后提出专业教师应从课程思政定位、认知和实践三个层面来强化对课程思政的实施。
-
以文化自觉为导向的城市建设与规划史课程思政教学探索
本次城市建设与规划史课程教学以“文化自觉”为导向,构建认知-理解-反思-自立的课程思政教学框架,结合古今中外城市建设史、城乡规划思想史两大教学板块,从文化自信、道路自信、工匠精神、家国情怀等方面深入挖掘课程思政元素,搭建主干-枝系的课程思政元素融入路径,应用多元教学方式,引导学生学习和继承中国优秀城市规划传统,理解世界城市发展规律,践行行业职业精神,实现知识传授与育人同向同行的课程思政教学目标,也为城乡规划专业相关理论课程思政教学提供参考。
-
高等教育新形势下地质工程专业课程体系优化重构思路探索
当前,我国高等教育改革不断深化,为适应经济发展新常态,各级行政主管部门出台了许多高教改革的政策文件,对课程体系提出了新要求。在这种形势下,分析了地质工程专业课程体系中存在的问题:①专业课程思政建设不完善;②课程间层次、衔接关系不合理;③课程体系缺乏选择灵活性。确立了地质工程专业课程体系优化设计的原则:①遵从地质工程专业课程体系基本框架;②课程思政与专创融合;③以学生全面发展为根本目标,注重学生能力和素质培养。提出了地质工程专业课程体系优化设计的基本思路和实施路径:①“宽口径、厚基础”,夯实学生长期发展的理论基础,同时关注学生实践应用能力和创新创能力;②结合学校办学特色,符合专业人才培养目标,满足区域经济发展需求,面向行业实际需求;③“以人为本,以能为本”,满足学生自身成长需求,结合学生职业发展规划,紧跟专业科学技术研究前沿。
-
面向土木、水利与海洋工程专业的基础工程教学改革
为更好地服务海洋强国建设,支撑“一带一路”倡议,构建现代化强国基础设施,清华大学、中山大学等高校新设了土木、水利与海洋工程本科专业。基础工程作为传统土木工程专业的核心基础课程,已经广泛应用于海洋、水利、交通、能源、环保等领域。为了让基础工程课程内容更好地满足社会和行业的需求,结合中山大学基础工程课程的实际情况,吸纳国内外高校的先进教学理念,进行基础工程教学改革研究探索。教学内容方面,丰富和拓展教学内容的同时对核心内容进行必要的精简;教学方式方面,重视工程实践教学和虚拟仿真教学的有机结合;考核方式方面,在改进传统笔试考试的基础上,通过课程设计全面锻炼和考察学生运用知识解决实际问题的能力。旨在为土木、水利、海洋工程培养创新型和复合型的优秀人才。
-
《海绵城市导论》课程建设与思政融合初探
土木工程招生与培养向大类模式发展已成必然趋势,为适应大类培养的需要,亟需建设一批具有学科交叉性与综合性的专业课程。海绵城市是指城市像“海绵”一样,下雨时吸水、蓄水、渗水、浸水,需要时将蓄存的水“释放”并加以利用。海绵城市涉及水系统、建筑住宅区系统、道路广场系统、地下空间系统等,其设计与建造又需要土木工程、水利工程、建筑学、城乡规划学、风景园林学、环境科学与工程、气候学、生态学、社会学等多学科的共同支撑。因此,海绵城市相关课程满足大类模式“宽口径、厚基础、强实践、多样化”的培养目标。然而,现有海绵城市相关课程面临教学内容系统性不强、教学过程学生参与度不高、教学各环节思政导入不够等问题。清华大学自2017年面向土木大类本科生开设了海绵城市导论课程,经过五年的教学实践与改革,充分考虑课程内容深度与广度的平衡,构建了具有大类培养特色的海绵城市课程体系与教学方法,形成了由专业教师、校外专家、修缮校园管理中心教师组成的三位一体教学团队,并在教学过程中加强了思政内容的导入,基本建成了适合大类模式的海绵城市导论课程。
-
基于文献计量分析的课程思政研究述评与展望
为探析国内课程思政领域的研究发展,以2017~2021年中国知网收录的课程思政相关文献为样本,借助计量学软件CiteSpace提供的知识图谱,对文献特征、热点主题和前沿趋势进行可视化分析。研究表明:课程思政研究在国内起步较晚,跨机构合作程度低,跨学科对话不足;领域研究主要围绕课程思政的本质内涵、价值意蕴、建设路径、学科实践和评价体系5个主题。从发展趋势上看,智能时代课程思政特色化体系建设和学科应用研究越来越受到关注,构建能够对标“一流课程”建设要求的课程思政设计理论与方法是该领域的研究重点。未来应在加强跨学科交叉研究的同时,促进课程思政与信息化技术的深度融合。
-
给排水科学与工程专业大学生劳动教育路径探索
在分析新时代给排水专业劳动教育目标的基础上,提出贯穿“高校-企业-家庭-社会”多方协同的劳动育人模式及实施途径。通过高校专业劳动训练大学生从事专业劳动的技能,通过驻厂生产劳动教育大学生感受劳动创造的价值,通过家庭日常生活劳动锻炼大学生处理生活事务的能力,通过社会公益劳动强化大学生社会责任感。上述劳动教育模式在河北农业大学给排水及相关专业实践后,体现了鲜明的思想性、突出的社会性、显著的实践性,对培养德智体美劳全面发展的高级工程技术人才起到了积极作用,同步促进了相应行业企业高质量发展。
-
国土空间规划+OBE导向的《控制性详细规划》教学优化研究
我国正处于转型发展和国土空间规划完善的进程中,控制性详细规划(以下简称控规)处于国土空间规划五级三类体系中承上启下的关键一环,《控规》作为城乡规划专业本科的必修课程,在新的国土空间规划背景下,引入OBE的教学理念,对课程进行教学优化探索。自2020年以来,《控规》课程与时俱进,进行了大的调整和教学优化,由之前的纯设计课程调整为理论课程+设计教学两个阶段共同完成,课程运行过程中出现了理论课程与设计教学之间衔接不够通顺、教学与行业实践脱节的两个主要问题。以国家和地方出台的国土空间规划相关规范、标准、指南为总引领,主要优化更新了理论部分的教学内容与学时调整;引入OBE理念,从教师、学生两个角色出发,三个维度采取措施优化设计课程的教学过程。分别是教师团队“1+1+1”的全过程把控和翻转引导、学生小组“1+1+1”全设计过程的参与协作和自主内化、学生小组+教学团队合作的自主反馈和全过程评价机制的完善。强调持续改进是OBE理念的又一重要内涵,《控规》课程的改革与优化将在新的机遇和挑战下持续进行,服务于城乡规划专业人才培养和高质量的人居环境建设。
-
基于OBE的课程目标全过程达成情况评价方法与实践——以《科技与专业外语》为例
产出导向教育(Outcome-based Education, OBE)是工程教育专业认证的理论基础,建立OBE理念下的课程持续改进机制是现阶段工程教育专业认证的底线。因此,本文提出了全过程课程持续改进框架,建立了形成性评价和终结性评价相结合的课程目标达成情况全过程评价方法,以《科技与专业外语》课程为例针对2016级和2017级本科生开展了全过程评价与持续改进实践。形成性评价的课程目标达成增长速率随着课程教学的推进逐渐增长,2017级终结性课程目标达成情况相对于2016级平均提升13.1%,支撑毕业要求内涵观测点达成情况提升12.7%,全过程评价与持续改进同时促进了本轮和下一轮课程教学效果的提升,服务了学生解决土木工程复杂工程问题的能力培养。研究可为我国工科专业课程建设和持续改进提供借鉴和参考。
-
工科专业课程思政元素隐性浸润式与显性强化式教育模式探讨
为了消除高年级工科专业的本科生对课程思政的逆反心理,实现课程思政的教学目的,培养具有爱国主义情怀、怀揣中国文化和蕴含工匠精神的工科类人才,发挥课程思政在培养社会主义建设者的作用,在分析了现有课程思政教育的方法和手段的基础上,结合《道路勘测设计》系列课程的特点,制定了课程思政“一种情怀、二种文化,三种精神”的目标;根据课程的思政目标,分别制定了理论教学和实践教学思政目标达成的技术途径,对于理论教学,在各章节采用隐性浸润式教育模式,并结合指定题目的课堂翻转和与课程相关的影视观摩,实现“一种情怀、二种文化”的思政目的;对于实践教学环节,则采用显性强化式模式,达成 “一种情怀、三种精神”的思政目标;实践证明,因课制宜的隐性浸润和显性强化相结合模式的课程思政教育,不但有效地达成了该课程的思政目标,提高了课程成绩,还培养了学生公开、公平和公正的处事原则,同时,课程思政的双向性,使教师的思政水平也得到了大幅度提升。
-
课程思政与专业课程“同向同行”的铸魂育人路径探究 -以钢结构基本原理课程为例
专业课程是课程思政建设的主要依托,将专业课中融入思政教育具有重要意义。本文以“钢结构基本原理”课程为例,探讨了课程思政与专业课程协同教育的实践路径。要育人找方向,抓重点,文中以授课目标为主线,以专业知识点为背景,找准五个切入点。通过切入点将教学目标与思政目标有机结合,深入挖掘蕴含在专业课程中的思政元素,构建完整的价值评价体系。紧抓教师队伍“主力军”,课程建设“主战场”、课堂教学“主渠道”,通过教学三方法、授课三步骤、评价一体系形成一套完整新型育人路径。强化学生专业知识,增强学生“四个自信”,提升学生家国情怀,真正达到教书与育人同行,专业与思政共建的课程教学效果,本研究可为同类专业开展课程思政教育提供借鉴。
-
以“实”为旨的绿色建筑课程改革实践与思考-以贵州大学为例
将我国新型城镇化的“双碳”目标与方法落实到绿色建筑教育实践中,是当前建筑学专业课程改革的重要方向。基于学生反馈与教学检视,剖析绿色建筑课程存在“时滞迟效、学用分离”等问题的根源,即课程定位模糊、教学过程单调、忽视学生诉求,结合OBE理念,提炼出“学扎实、讲实效、重实用”的教学目标,据此在教学方案中相应设计了知识模块和认知模块、实操模块、实践模块,并采用集成课前趣味导入、课中数字化互动、课后动态反馈的“全过程”教学方式,凝练成以“实”为旨的绿色建筑课程改革方案,形成课程实践融入“双碳”知识图谱的新路径。最后针对此课程改革实践过程中出现的新问题提出了控制课堂教学时间、加强课程之间的衔接和融合设计与技术教学的改进建议。
-
岩土类研究生专业课程教学现状与“融研于教”教改思路初探
岩土类研究生专业课程具有内容繁杂、规范性强、理论与实践结合密切的特点,通过分析岩土类研究生专业课程教学现状及存在的问题,提出进行“融研于教”教学模式改革的必要性和紧迫性。文中探讨了基于科研案例的岩土类研究生专业课程教学模式,包括科学研究成果的搜集与筛选、教学内容优化、教学方法改革及实施等,研究成果对提升岩土类研究生专业课程教学质量具有指导与借鉴意义。
-
基于OBE理念的学科思政教育评价体系研究—以土木工程专业为例
在同济大学土木工程专业工程教育认证的基础上,进一步将以成果为导向的理念运用于学科思政建设,通过针对不同类型的典型专业课程思政元素发掘、思政教育手段发展,形成了以思政评价指标点支撑思政毕业要求的学科思政构建思路,达到了多课程间思政教育协同共进的目标;同时,通过“过程与结果”并重的定量评价方法,形成了可持续改进的闭合环节。旨在提高同济大学土木工程专业思政教育质量,也为其他院校提供借鉴。
-
土木法学本研贯穿培养体系的探究与实践
综合性大学本应凭借自身多学科优势,成为法学教育发展的重要平台,但长期以来的学科划分及管理机制成为了制约复合型法学教育发展的巨大阻碍。如何发挥综合性大学多学科优势,为复合型法律人才提供外部支撑,成为十分重要的问题。通过梳理工程法学人才培养现状,分析造成复合型法律人才培养困境背后的深层次原因;以土木法学人才培养为例,梳理了“双路径”复合人才培养目标并建立了学习方向分流制度,并从课程体系、实务训练模式等方面优化改革,落实了“双路径”交叉学科试验区模式,取得了良好的人才培养效果,结合对 “宽口径”法律硕士培养模式的探索,完成了对土木法学本研贯穿培养体系的探究。
-
坚持立德树人,创建土木工程专业课程思政育人体系
以立德树人为核心任务,结合中南大学土木工程专业办学历程和专业特色,从专业思政、平台思政和文化思政3个角度,整体推进具有土木工程专业特色的课程思政育人体系建设工作。通过课程思政内容、创新教学方式、校企科教融合和专业协同交叉等4个方面拓展专业立德树人内涵,重构专业教学体系。以思政中心、教学课堂、科研平台、实践基地、网络空间和学生组织等6个育人平台,创建虚实融合的立德树人基地。以优良传统、教师风尚、校友足迹、名家风采、学子风尚和校园活动构建6维度学院文化,营造立德树人文化环境。
-
土木类在线开放课程教学质量评价体系构建
近年来,大规模在线开放课程(MOOC)在我国得到迅速普及,对我国高等教育教学改革而言既是机遇也是挑战。为了响应教育部“金课”号召,在“新工科”背景下对土木类在线开放课程的顶层设计和教学质量评价体系进行改革,基于AHP群决策方法,以专家问卷结果为数据来源,选用Excel软件进行辅助计算,构建了包括课程依托、课程设置、课程实施、课程效果4个一级指标和12个二级指标以及35个三级指标在内的面向土木类在线开放课程的教学质量评价体系。结果表明,该体系逻辑严密,可行性强,可以有效评价土木类在线开放课程教学质量,为高校线上线下混合式教学改革助力。
-
成果导向教育模式的传热学教学改革及实践研究
传热学是建筑环境与能源应用工程专业一门重要的专业基础类课程。根据工程教育认证要求和成果导向教育理念,以传热学课程为研究对象,结合近几年课程教学效果及现状,研究了传热学课程的教学目标和目标达成度计算方法;从工程知识、问题分析和研究能力三个方面分别开展了相应的教学方法改革,注重理论教学联系工程实际,以及学生团队协作和解决复杂工程问题能力的培养;对课程产出效果进行了分析,发现工程知识、问题分析和研究能力三个课程目标的达成度分别为0.77、0.68和0.8;建立持续改进机制,确保教学改革始终与毕业要求密切结合。研究成果对工程教育认证背景下传热学课程教学改革和课程质量标准修订提供参考。
-
基于“五融合”育人机制的土木类专业高素质应用型人才培养体系探索与实践
遵循“以学生为中心,面向未来发展”,以成都大学建筑与土木工程学院的土木类专业人才培养体系为例,回顾土木工程专业人才培养的历程;从国家战略层面,分析土木工程专业的人才需求;提出土木类专业人才培养的“五融合”育人机制,分析了“五融合”育人机制的内涵及作用,通过构建“科研-教学-学习”的联合体、搭建“政产学研用创六位一体”的协同育人平台、健全“实践-实训-竞赛”相融合体系,在土木类专业的人才培养方面进行了大胆尝试,取得了良好的效果。该人才培养体系汇集了机制创新、模式创新、举措创新等多种创新,展示了土木类专业人才培养的应用成果,为建设土木工程省级一流专业提供参考。
-
新工科背景下岩土工程专业研究生创新实践教学平台构建
工科专业研究生教育的实践教学是培养创新型、创业型卓越工程人才的重要环节。针对当前实践教学工程性、实践性、探究性、启发性缺位的问题,以新工科建设为核心导向,立足学科交叉,以重大工程为牵引,打造岩土工程研究生培养的创新实践教学平台。突出学生的中心主体地位,开展多接口模块化实践教学,实现课程体系重构、教学内容重构与教学方法重构。创新实践教学改革以来,前沿交叉研究顺利起步,人才培养质量有力提升,助推了岩土工程专业学科的转型升级,逐步形成工程教育新范式。
-
后疫情时代下《桥梁美学》课程教学模式实践与探索
杨国俊, 杜永峰, 李万润, 项长生, 李喜梅, 冯微, 王英
桥梁美学课程建设对培养桥梁技术创造力和美学创新素养兼备的综合型人才至关重要。为了落实立德树人的根本任务,改变传统的教学模式并提高学生的兴趣和参与度,真正做到以“学生为中心”。积极探索后疫情时代下的桥梁美学课程教学模式,提出了“以学生为中心”的BOPPPS教学设计方法,建立了以改革为导向的线上线下混合式教学模式,开展了以工程实践为指导的项目式教学,增加了以新技术为牵引的直播教学,在整个教学中贯穿了育人为目标的“浸入式”课程思政。通过教学方法的综合应用,提升学生在课堂的参与感和获得感,培养学生对桥梁技术与艺术结合的综合思维创新能力,促进作品设计的丰富性和表现力。此外,从《桥梁美学》专业课衍生出《桥梁文化与美学》通识课,让更多的人掌握防桥梁文化和美学知识,增加民族自豪感和文化自信。通过后疫情时代下《桥梁美学》课程教学模式的探索与实践,为我校道路桥梁与渡河工程专业教育教学质量稳步提高,培养更多的技术创新和美学素养综合创新人才提供了保证。
-
基于案例引导的可靠性理论教学模式探析
常规可靠性理论教学存在重视公式推导而轻视案例分析的现状,这使得课程教学效果不佳。本文探讨如何采用案例教学法讲授该课程,着重强调案例教学理念与编程实践促学的重要性。结合四个典型工程案例,如悬臂梁、海堤、基桩、板桩墙等构筑物,说明可靠性理论教学实施的步骤与方法。每个案例对教学内容各有侧重,由浅入深地引出重要知识点,这让学生通过编程实践沉浸于实例求解之中。基于案例启发式的教学模式易于激发学生探求可靠性理论的学习热情,并便于实现与自己关注的专业问题相互衔接。
-
美国土木工程专业本科培养方案解读及启示——伊利诺伊大学厄巴纳-香槟分校
土木工程为最具代表性的工科传统专业之一,制定合理的土木工程培养方案对培养高素质人才和推进“新工科”建设具有重要的现实意义。采用比较分析方法,阐述了美国伊利诺伊大学厄巴纳-香槟分校(UIUC)土木工程本科培养方案的核心内容,特别对课程体系的设置原则和规定做了详细解读。发现:专业理论课程占比达52.3%,特别注重其中工具课程(如工程数学和计算机语言等)的设置;专业核心课程中划分出十个领域的课程体系,规定在其中选择两个不同的领域作为主修领域和辅修领域;开设了科技写作课程,强调科技写作能力的培养;倡导教师顾问制度,提倡教师为学生提供全过程全方位的咨询和辅导。以上几方面举措对我国土木工程专业本科教育教学改革具有显著借鉴作用。
-
在桥梁工程生产实习中嵌入“BIM实训”的教学探索
为解决当前桥梁工程生产实习中教学效果不佳、桥梁BIM人才缺乏等问题,西南交通大学尝试将“BIM实训”嵌入到桥梁工程生产实习中。通过对国内外BIM课程设置情况进行调研,提出了桥梁工程生产实习的教学改革目标。基于该目标,探索了桥梁工程生产实习改革的实施方案、题目设置和考核评价方式。通过分析近3年学生提交的BIM实训成果,总结了该教学改革的优点和不足。最后,通过对学生的成绩进行统计分析和开展问卷调查,综合评价了教学实践效果。实践表明:借助改革,学生的BIM应用水平大幅提高,同时提升了学生的主观能动性,激发了学生的科创能力,具有较好的教学实践效果。
-
大学生创新创业感知价值、满意度与行为意向的关系研究
本文根据高校学生创新创业教育满意度调查问卷的304份数据,构建高校创新创业教育满意度模型。结果表明:学生满意度与文化体系、教育体系、实践体系成正相关关系;学生行为意向与文化体系、教育体系具有正相关关系;学生满意度对行为意向的正向影响显著。
-
建筑技术类课程教学现状调研与教学方法探讨——以河北工业大学为例
针对我国建筑学专业本科教育中,普遍存在的重艺术轻技术以及学生学习建筑技术类课程动力不足等问题,开展建筑技术类课程现状调研与教学方法探讨工作。综合运用数理统计分析定量研究和主观问卷调查定性研究,选择河北工业大学63名建筑学专业本科生在学期间所有建筑技术类课程和设计类课程的单门课程成绩和学年课程模块成绩进行统计分析,结合问卷调查,探明了建筑技术类课程和设计类课程的相关性以及课程体系设计和教学的薄弱环节。基于教学现状分析,着重探讨了以技术类专业基础理论知识与建筑设计类课程各环节紧密结合的建筑技术类课程教学方法,提出要积极引进课程思政教育,人文化教学方法以及实践性教学模式,以期实现建筑学专业学生总体培养目标的达成。
-
新工科背景下融合信息技术的土木工程教学实践创新
基于国家战略要求以及现存土木工程专业教学问题,以面向新工科背景下人才能力培养要求为中心,依托北京工业大学土木工程学科建设优势,进行了土木工程教学实践创新。根据北京工业大学城市建设学部土木工程专业的改造升级要求,建立了融合信息技术的土木工程教学课程体系,自主编写了多元立体化BIM技术系列教材,搭建了新工科背景下校企多方协同育人平台,创新了实践“学生竞赛-科技创新-教师科研”的交互模式。在具体的教学实践中,取得了良好的效果,为培养创新型工程人才提供了有力的支撑,为传统土木工程学科改造奠定了基础。
-
土建类专业非技术能力培养的全过程场景式教学模式探索与实践
自我国正式加入《华盛顿协议》以来,各大院校积极投入到对学生非技术能力培养模式探索与实践当中。同时,随着我国从“工程大国”逐步迈向“工程强国”,建筑行业对土建类专业高复合型人才的需求日益增大,毕业生的非技术能力已成为一项非常重要的评价指标,但由于非技术能力实践性强、灵活性高等特点,各高校对学生非技术能力的培养缺乏适应的教学模式。为响应我国“工程强国”的复合型工程人才需求,在分析土建类专业非技术能力实践教学所存在问题的基础上,结合重庆大学实践经验,对土建类专业学生的教学模式进行探索与研究,进而提出基于全过程场景的教学模式,以图调动学生学习积极性,建立学生的创新思维模 式,提高学生的非技术能力,培养复合型工程人才,满足“工程强国”的要求。
-
面向工程教育专业认证的工程管理专业课程体系设计——以重庆大学为例
将工程教育专业认证理念引入工程管理专业课程体系对提高人才培养质量具有重要意义。以重庆大学工程管理专业为例,探讨了工程教育专业认证背景下工程管理专业课程体系的设计思路与做法。基于工程教育专业认证标准,确立工程管理专业培养目标与毕业要求,根据毕业要求与专业课程间的映射关系实现课程体系的反向建立,最终形成面向工程教育专业认证的工程管理专业课程体系,为我国高校工程管理专业的课程建设和发展提供参考。
-
多元媒介背景下当代建筑教育发展研究——以《建筑设计5》课程教学为例
当今社会已步入媒介化社会,全部社会生活、社会事件和社会关系都可以在媒介上展露。多元媒介的发展为媒介化教学提供了有力的技术支持,打破了原有的时空界限。媒介与教育的互动进程中,教学主体、教学媒介、教学反馈等,都产生了全新变革。《建筑设计5》是建筑学本科四年级的专业设计类课程。笔者以此为例,通过教学团队开展的“抛锚式”、“情境化”、“数据化”的教学研究,阐释了在多元媒介背景下,建筑学专业“教-学”模式的转变。新时期,建筑教育工作者要充分发挥多元媒介的正向作用,探究适应媒介社会的教学方法和路径,突出建筑专业特色,实现“教-学”与媒介的相互促进、共同发展、双向新生。
-
基于课程思政的土木工程材料课程设计与实践
将思政元素融入专业课程教学是高等教育课程改革的必然趋势和重要方向。以土建类专业基础课程土木工程材料为例,针对课程知识点多而琐碎、工程背景强、试验环节多等特点,通过深入挖掘思政元素,提出了相适应的课程思政设计方法,主要包括以大国工程引入激发学生专业热情、以实际工程事故教导学生工程伦理、以工程案例为教学单元培养学生实事求是作风、以第二课堂培养学生自主探索能力等。同时,详细介绍了东南大学土木工程材料系土木工程材料课程思政方法的实践路径与评价方式。结果表明,该方法有助于激发学生的专业热情与爱国主义情怀,培育社会责任感、职业道德、工程伦理和工匠精神,落实全员育人、全过程育人、全方位育人理念,可为相似专业的课程思政建设提供参考。
-
岩石力学公共实验课程教学项目的建设与思考
岩石力学实验课是一门为了补充岩石力学理论而开设的实践性课程。该文结合本学院土木工程专业研究生培养计划,以岩石力学公共实验课程教学项目为例,从该课程开设背景和目的出发,阐述了实验课程教学体系、课程内容的建设过程,以及其采取的教学方法和教学手段,并构建了教学质量保证体系。最后从实验课程教学建设模式进行了总结和思考,提出课程教学后期建设需完善的几个要点。结果表明该实验课程建设的实施方案可行,建设成果能较好地应用于研究生课程的具体实践,后期能深入发展对提升我院岩土工程专业研究生的教育质量有较大利处,在某种程度上能促进学科建设与发展。
-
规划企业在专业教育中的作用机制与优化策略
实践教育是城乡规划人才培养的重要环节,为适应行业发展需求、深化教育改革、破解当前实践教育困境,对企业参与专业教育的机制研究十分必要。通过分析我国规划企业参与城乡规划专业教育的主要模式,并展开国内外对比研究后发现,中英美企业参与专业教育的路径与机制相似,但英美两国在成熟度和深入度方面更优。而我国在企业积极性、政府推动力、行业组织话语权、学校课程体系等方面存在一定不足。针对这些问题,从整体层面提出了政府激励保障、行业组织引导、校企联合培养等优化策略与多主体协同的人才培养机制。
-
基于学习迁移理论的结构力学课程双语教学设计
面向国家建设交通强国的发展目标,交通事业对人才的国际化能力提出更高要求。推广结构力学双语教学是高等教育培养高水平国际化人才的有力措施。首先论述了华中地区某高校土木工程专业开展结构力学双语教学的可行性;其次,基于学习迁移理论,介绍了英语能力和专业基础能力的横向迁移和纵向迁移;再次,分析了结构力学课程内部知识点的纵向迁移;最后,以“叠加法作弯矩图”为例,说明了结构力学双语教学的设计。通过探索结构力学双语教学模式,提高学生学习效率,提升学生专业能力方面的国际化水平。
-
大学数学公共基础重修课程翻转课堂教学改革与实践--以线性代数课程教学为例
大学数学公共基础课程作为高校重要的基础课程,对培养学生的抽象思维能力、逻辑推理能力和空间想象能力等方面具有十分重要的作用,为学生学习其它课程奠定良好基础。由于大学数学类课程概念抽象,逻辑性强,学生学习难度较大,补考率和重修率较高,从而产生重修课程。学生在重修课程学习过程中,往往受时间和空间的限制,传统课堂面对面的教学方式,不能很好地满足重修学生的学习需求。因此,做好重修课程的教学组织和实施,提高教学效果,帮助学生完成学业,在各高校都是难点问题。翻转课堂作为一种兼容性较高的线上线下混合教学模式,学生能够充分利用线上线下的时间进行个性化学习,让学生学习更加灵活、主动,参与度更强,在重修课程中实施翻转课堂教学模式,能够较好地满足学生学习需要。为探讨翻转课堂具体实践效果,提升大学数学公共基础重修课程的教学质量,本文在相关文献和自身教学经验基础上,分析重修学生、重修课程和翻转课堂的特点,探讨和设计了相对完整的具有可操作性的大学数学公共基础重修课程的教学模式和方法,并以线性代数重修课程为例实践了这些模式和方法。结果表明,此模式有效提升了学生学习效果,学生满意度高。通过这些教学设计与实践,以期为相关教师的教学和学生学习有所启发,对高校相关课程的教育教学改革提供参考。
-
构建“四个融合”助推一流本科课程建设—以《硅酸盐水泥热工设备》课程为例
依据一流本科课程 “两性一度” 的建设标准,对无机非金属材料专业的工科课程《硅酸盐水泥热工设备》的一流本科课程建设过程进行了描述。构建了“专业知识点与思政元素有机融合”、“教学内容深度与广度相融合”、 “现代信息技术与教学深度相融合”、“多维度考核机制相融合”的四种教学模式。在教学过程中,融思政元素于课堂教学内容中,强化了立德树人思想;建设智慧课堂,使课堂“动起来”。《 硅酸盐水泥热工设备》的一流本科课程建设效果表明,对于强化学生正确世界观、培养学生高级思维能力、解决复杂问题的综合能力、勇于创新能力和个性化探究学习能力起到了重要推动作用。
-
虚拟仿真实验在无障碍设计教学中的应用——以无障碍通用标识环境设计实验为例
国际上建筑学的无障碍设计理论已进化到通用设计等崭新人性化设计思潮,我国部分高校也建立了无障碍设计教学体系。专业课程中的实验教学能够让学生深刻体会无障碍设计的重要性,但传统无障碍模拟体验难以满足学生并发完成实验,开展综合性设计实践学习,适应课程建设要求。无障碍通用标识环境设计虚拟仿真实验平台引用“循证设计”的教学模型理念,将基本原理与实际操作体验互动结合,通过6大系统、3个层次,引导学生按层级进行深化学习。虚拟仿真实验手段的引入,延伸拓展了传统教学,实现了教学方法和教学评价体系的创新。从课堂教学和实验报告的反馈结果看,虚拟仿真实验融入无障碍设计教学能够提升学生专业素质、激发学生创新意识、增强学生综合能力和培养社会责任感,是促进无障碍设计建筑教育升级的有效路径。
-
新工科背景下交通土建创新人才多主体多维度效能评价机制的革新探索
新工科背景下加强创新人才培养与教学模式改革是高等工程教育的新方向和新要求。根据传统教学实践中学生创新能力评价体系存在的不足,以交通土建创新人才培养为研究背景,革新了创新能力评价方法。提出从“全过程、多主体、多维度”三方面出发,凸显创新能力培育过程,多维度优化创新实践活动,兼顾师生共同发展,固守培养质量标准,构建了围绕创新能力提升培育全过程的多主体多维度效能评价机制。通过实践应用取得了较好的成效,为土木工程专业及相关院校创新人才培养模式提供参考。
-
竞争环境下大学生人文社会科学素养培养探讨
竞争环境需要有竞争性文化,而竞争性文化的培养关键在教育。基于当前国际先进的工程教育理念OBE和CDIO的标准对比,OBE与CDIO将人文社会科学知识不仅作为一种价值观培养,也作为能力来培养,兼具“技”、“才”的特点,剖析了古代的“德”、“才”观与用人观,提出应完整把握立德树人的完整之意。以价值观作为文化的核心,探讨了“内倾”、“外倾”文化的特点和中华文化的特点,用马克思主义思想讨论了传统文化的继承和发展。指出应“内倾”、“外倾”文化并重,特别是在竞争环境下,不仅要重道德,也应重技艺,人才培养应德才兼备。
-
以学生为中心的材料力学教学创新改革
材料力学作为大多数工科类专业一门重要的专业基础课程,旨在培养学生掌握扎实的基础力学知识、具备将基础力学知识与工程问题相结合以解决实际工程问题的能力。当前新一轮科技革命和产业变革蓬勃发展,从而对掌握坚实力学基础的高素质创新型人才提出了更高的要求。然而传统课堂吸引力不佳、学生缺乏学习兴趣、分析解决问题的能力不足等问题仍普遍存在于当下材料力学课堂中。因此,开展材料力学课程的教学改革和探索,具有重要的意义。在以工程教育认证为目标及基于OBE理念的课程体系改革背景下,以土木工程专业为例,通过对该专业材料力学课程的知识模块进行重组,将实际问题与工程案例引入材料力学的课堂教学中,探索了材料力学课程教学新模式。多种教学手段相结合,增强学生的学习兴趣,让学生成为学习的中心和主体,实现创新意识和实践能力突出的新型人才培养目的。
-
道路与轨道工程类课程思政教学实践与思考—以《路基路面工程》为例
在“新工科”、“课程思政”建设等高等教育改革发展的新形势下,“一带一路”、“交通强国”等国家行业新战略驱动对未来交通运输类人才培养提出了新的时代要求。《路基路面工程》作为道路与轨道工程专业方向的核心学科基础课程,承担着“课程育人”探索实践的重要任务。近三年来,以课程思政元素(理想信念、政治认同、家国情怀、文化素养、职业理想和道德)的深入挖掘为切入点,系统梳理、总结与凝练了道路基础设施建设与运维管养中具有“思政”特色的题材素材,并通过课程教学大纲修订、全过程“课程思政”教学团队研讨交流(教师端),形成了融入思政元素的专业知识点讲授方法与教学设计方案,同时注重随堂收集反映“课程思政”案例教学效果的问卷反馈(学生端),不断优化提升《路基路面工程》课程思政元素布局与教学质量,逐步推动实现“每周有思政元素、每章有思政案例”的课程思政建设总体目标。
-
《地下工程监测与检测》实验环节教学设计
《地下工程监测与检测》是一门实践性非常强的课程,实验环节是该课程教学非常必要的部分。然而,真实的地下工程现场监测实验耗时耗力,开展难度大、风险系数高;而模型箱实验又与工程实际相差较远。本文给出一种模拟实验的教学设计,充分利用大学校园空地和实验室现有实验设备,通过简化改进标准实验步骤,设计了超载下土压力测试和平板载荷现场模拟实验。教学实践表明,学生能据此完成实验基本操作,取得了符合规律的实验数据,教学效果良好。基于模拟实验步骤开展实验环节教学,既有利于学生掌握实验原理,了解地下工程现场监测的实况,又充分保障了师生安全,是开展该课程实验环节教学较好的设计思路。
-
城乡规划专业“三三三”育人新模式探索:东南大学的实践*
本文立足新时代“三全育人”的新要求,分析构建了全人教育、思政教育和科研育人层层递升的高校育人三层次“金字塔”体系,进一步对照城乡规划专业特点和需求,提出了基于三层次“金字塔”体系的城乡规划专业“三三三”育人模式,并结合东南大学城乡规划专业教学和人才培养实践,明确了其具体内涵,总结了其实践做法和人才培养的实际成效。
-
以“VITAL”为核心理念的建筑类专业国际化人才培养模式的构建与实践
摘要:培养高水平国际化人才、构建助推“双一流”建设的国际化发展战略已成为发展我国高等教育的重要组成部分。近年来建筑学科国际化人才培养虽已取得长足发展,但站在大建筑学科发展前沿审视,仍然存在国际化知识结构单一、创新不足,与国家和行业发展需求关联不足、国际化教育与本土化教育未实现良性互动等问题。重庆大学建筑城规学院围绕国家一流专业建设,坚持“立德树人”,秉承“高水平、高标准、国际化”的人才培养理念,以创新能力、实践能力、国际化能力、科研能力等关键能力的培养为主线,构建与实施以“VITAL”为核心理念的国际化建筑类人才培养体系,从5个方面与国外一流建筑院校建立长期稳定的合作关系,全面提高了学生的国际化知识与视野,培养了一批在建筑类学科领域具有宽广国际视野与浓郁本土情怀、强烈创新意识和批判性思维的国际化人才。
-
新工科背景下关于智能建筑创新课的思考与实践
新工科是我国应对全球竞争、推动创建高等教育强国重要举措。为积极响应国家重大发展战略、紧跟行业发展趋势,天津大学紧紧抓住机遇,在建筑环境与能源应用工程、电气自动化等优势学科的基础上,开设智能建筑专业。通过学科间的相互渗透和交叉融合的教学模式,培养符合国家发展战略的人才。由于天津大学智能建筑专业尚在起步阶段,没有得到其他专业学生的广泛了解,因此开设一门能够为多个学院学生提供课程选择的公共选修课具有重要意义。通过对课程组织模式、教学安排与课程评价等方面的阐述,提出了针对智能建筑创新课教学方法的混合式教学模式、多维交叉课体系的模块化构建和多学科融合的育人平台的建设以及创新型的人才培养模式。
-
新生代教师工作绩效提升的双路径研究——来自民办高校教师的实证分析
新生代教师工作价值观是否会影响其工作绩效?本研究基于自我一致性理论和社会认同理论,构建了工作价值观对工作绩效影响的双路径假设模型。通过两个阶段的问卷调查,获得253份新生代教师样本,采用回归分析等技术对数据进行分析,结果表明:工作价值观对工作绩效、职业认同、组织认同均有显著的正向影响,职业认同和组织认同在工作价值观与工作绩效之间起着双重中介的作用,即工作价值观—职业认同—工作绩效,工作价值观—组织认同—工作绩效,总体来看,研究假设均得到了验证。研究结果丰富了工作价值观对工作绩效影响的相关研究成果,对如何提高新生代教师工作绩效提供了新的思路和指导。
-
设计分析性思维的培养与训练——以重庆大学建筑学专业相关课程教学为例
设计分析性思维的培养对建筑学专业课程的自主学习与批判思考具有非常重要的方法与应用意义。基于教学与政策因素导向的分析性思维培养的重要性,概述了设计分析教学的重要历史节点,继而介绍了重庆大学建筑分析课程的教学目标、教学组织与教学内容,并对三份学生作业进行评价。环境、功能、形体、空间、建构、图解等建筑分析体系可以辅助学生加深对建筑设计原理的理解,探究作品背后的成因,丰富建筑分析的固有认知,培养分析思维与批判意识。最后从丰富多样授课形式、加强分析课与设计课的联系、建立案例数据库等方面提出教学建议,希望对当下的建筑分析教学研究提供借鉴。
-
我国专业学位研究生教育30年研究热点及趋势——基于CNKI(1991—2020)研究文献的可视化分析
采用CiteSpace软件对CNKI数据库中有关专业学位的CSSCI研究文献进行可视化分析,本领域研究经历了借鉴探索期(1992年~1996年)、实践拓展期(1997年~2001年)、总结反思期(2002年~2009年)和内涵提升期(2010年~2020年)四个阶段的历史演进,形成以专业学位、研究生教育和培养模式等为中心的研究热点和研究主题。未来研究中,宏观层面以战略导向为指引,加强国家发展战略对专业学位研究生教育发展引导作用的研究;中观层面以目标导向为驱动,创新和构建专业学位研究生教育培养体系的研究;微观层面以问题导向为抓手,开展历史溯源、实践探索和国际比较与借鉴的研究。
-
近十年国家自然科学基金青年基金选题研究——以建筑历史与理论学科为例
该论文选取受国家自然科学基金(NSFC)资助的建筑历史与理论学科青年科学基金项目为研究对象,对近十年(2010——2019年)在该学科申报成功的基金项目进行搜集和梳理。通过对获得资助的项目数量与单位分布等多项指标做出统计、比较,聚焦于项目的选题内容,提取出关键词,从研究对象的时空分布、要素特征、研究类型与研究方法等方面加以量化统计,在此基础上从静态和动态两方面分析并揭示出获批项目的选题特点及其变化趋势,籍此为该领域的青年学者提供项目选题的借鉴和参考。
-
“课上课下3+3”的《中国园林史》课程思政建设路径探索
课程思政建设作为落实立德树人根本任务的战略举措,已成为全国各大高校各大专业教育教学改革的主要方向。《中国园林史》是国内各大高校风景园林专业的核心课程,担负着使学生形成正确史学观与哲学观的重要使命,理应成为专业课程思政建设的前沿阵地。本文以广州大学风景园林专业《中国园林史》课程教学改革为例,提出通过“课上课下3+3”的建设路径,推进学生“学习、思考、实践、感悟”的认识过程,以实现“明历史发展之理,增园林艺术之信,崇爱国爱民之德,力专业报国之行”的课程思政教学目标。其中,“课上”的3大举措是指:1)宏观架构,纵横兼顾;2)以点带面,详略突出;3)温故知新,举一反三。“课下”的3大举措是指:1)任务驱动,学生主导;2)必做选做,注重差异;3)过程评价,激励竞争。相关教学改革探索促进了课程教学的知识目标、能力目标和价值目标的全面实现,可以为风景园林专业《中国园林史》和相关课程的课程思政建设提供参考。
-
移动互联下城乡规划专业导论线上线下混合课程教学探索
万物互联时代,大学生完全可以通过移动平台进行自主学习,线上线下混合课堂成为新的教学模式。专业导论是新生了解专业教学体系的基础性先导课程,在城乡规划教学中有着独特的窗口作用。如何在混合教学条件下,探索专业导论教学思路,优化教学方案,以学生为中心,激发学生热情,已经成为教师们日益关注的紧迫问题。论文回顾城规专业导论课程的教学特色,授课学时,课程组织等,分析线上线下混合课程教学存在的一般性问题与独特性问题,探索线上线下混合课程的教学改革措施,改变传统教学的活动形式,阐明专业性质发展的概况,提出专业导论课程改革应更多介绍所在高校城规专业的人才培养方案,改善全周期教学环节和考核标准,优化线上线下混合教学方式,提升课堂师生互动的教学方式,大力促进城乡规划专业导论混合教学的发展。
-
培养具有创新精神的工程管理专业的卓越人才——重庆大学工程管理专业创新型人才培养实践
随着我国科技与创新发展的进一步推进,我国对工程创新型人才的培养提出更高要求。在“新工科”与“大工程”背景下,工程管理专业人才培养过程中仍存在着许多亟需解决的问题。本文基于“大工程”理念与“新工科”背景,提出了全新的工程管理专业创新型人才的教育培养体系,从教学理念、教学内容、教学方法、课程共享机制、校企合作与国际交流与研发平台等六个方面完善了工程管理专业创新型人才培养机制,建立了全新的教育理念与教学改革体系。本文所提到的教学改革成果的内容已纳入到重庆大学管理科学与房地产学院人才培养方案,并取得了显著成效,对“新工科”与“大工程”背景下工科专业的教育教学创新发展具有一定的借鉴意义,为工程管理专业创新型人才的培养提供导向性支持。
-
面向重大复杂工程需求的研究生动态培养模式—以桥梁工程学科为例
随着我国交通运输的快速发展,桥梁的跨度和规模不断突破纪录。一系列重大复杂桥梁工程的建设对从业人员提出了更高要求。为了培养面向重大复杂工程需求的研究生,提高研究生创新和实践应用的能力、分析和解决问题的能力、质量和效率并重的能力等,建立了以研究生为中心的复合指导模式。由团队负责人对研究生培养的核心环节进行把关,由青年教师对具体的科研工作进行指导,充分发挥了导师团队的指导作用。在此基础上,建立了以研究方法指导、综合能力培养、应用创新突破为主的“面-线-点”培养模式,逐步细化、动态调整培养方案。实践情况表明,以研究生为中心的复合指导结合“面-线-点”动态培养模式有利于提升研究生的创新能力,更好地适应重大复杂工程的需求。
-
建筑构造课程思政建设的研究与实践
高校之根本在于“立德”与“树人”,立德的有效手段之一是进行思政教育。专业课程与思政教育的深度融合是当前大思政背景下对于高等教育提出的必然要求。教师在专业教学过程中应深入挖掘思政元素,注重专业教育与价值引导之协同作用,在高等教育教学全过程中始终坚持思政教育。以建筑构造课程思政建设为例,分别从理论知识和实践教学两方面,对思政教育融入建筑构造课程的教学体系建设进行探索,构建融合与创新的建筑构造课程思政教学模式。通过案例教学法,运用建筑构造理论知识深度剖析建筑工程实践案例,并深度融合建筑构造课程教学与思政教育,向学生传递工程实践案例中蕴含的思政元素,培育学生吃苦耐劳、精益求精的匠人精神和良好的职业道德素养,以潜移默化的方式实现高等教育育人育德的根本目标。
-
美国高校工程教育持续质量改进机制研究:程序优化、方法拓新与文化塑造
在高等教育迈入普及化阶段的时代背景下,我国提出了推动高等教育质量革命和建构质量文化的新要求,使得本科专业教育质量保障的重要性愈发凸显。美国高校工程教育探索专业教育质量持续改进的理念与实践,无疑可以为我国本科专业教育质量保障提供参考。在专业认证机构的引领下,持续质量改进理念内化为美国高校专业教育质量保障实践的核心理念;持续质量改进程序逐渐优化,涵盖界定工程专业教育目标、界定预期工程专业教育产出、确定能够证明教育产出的证据等环节;持续质量改进存在方法论困境,给工科教师造成了压力和挑战,推动工科教师不断拓新方法;持续质量改进理念引领并塑造了积极的评价、实证和质量文化。美国高校工程教育质量持续改进的理念与实践为我国提供了重要启示。
-
国土空间规划背景下城乡规划专业本科课程体系优化探索——以河北建筑工程学院为例
国土空间规划的推进对学科交叉融合与专业人才培养提出了新要求,城乡规划学科在新时代背景下面临重大机遇和挑战。从国土空间规划切入,论述了城乡规划学科的重要性和人才培养的新要求,并剖析了城乡规划本科教育需要解决的四个主要矛盾——传统人才培养模式与创新教学方式、理论类课程与设计实践类课程、旧知识体系与新规划体系、单一学科框架与交叉学科知识,从而得出了城乡规划学科亟待进行人才培养模式转型和课程体系优化的结论。根据新时代的城乡规划专业人才培养需求,河北建筑工程学院及时调整培养方案,确定了兼具实践思维、理论思维、逻辑思维和运算思维的复合型高素质人才培养模式,从理清课程体系脉络、增设学科交叉类课程、促进理论和实践的融合三个方面对专业教育课程体系进行了重构。学校依托新的培养方案与课程体系进行了教学改革,取得了良好的教学效果,提升了专业人才培养水平。
-
面向新工科五维形态的城乡规划课程结构反向设计研究
响应我国“新工科”建设新形势及生态文明建设需求,城乡规划教学“成果”如何匹配国土空间发展尤为重要。城乡规划作为实践性较强的工科专业,课程成果是直接检验其授课效果成功与否的高效工具。针对目前理论课程设计中课程成果路径设置模糊、实践创新性不足、理论知识繁杂枯燥等问题,本研究面向新工科人文维度、规模维度、政治维度、产业维度与人文维度等新工科“五维”形态,将OBE理念分解为五个阶段运用到设计课程结构设计中,结合课程技术、规模、政治与人文成果形成知识模块、能力模块及素质模块制定结构反向设计路径,力求使提升城乡规划工科专业理论课教学效果,应对“新工科”背景下的人才培养对学生能力和创新思维提出的更高要求。
-
双一流背景下建筑类研究生多元协同管理与培养模式研究
我国大多数院校在"双一流"背景下积极提升建筑类研究生的综合能力以适应日趋严峻的就业压力,但传统培养模式仍存在诸如创新能力不足、实践欠缺等问题。本文针对现阶段双一流背景高校建筑类研究生现有培养与管理模式进行系统分析,结合多元协同管理方法,构建“优化型教学模式+纵向科研课题+学科竞赛+横向实践项目+产学研实战平台”“五位一体”的建筑类研究生创新培养模式, 加强学校-学院-研究团队-指导教师四者的衔接,保证各项教学科研任务有序进行,保证对学生管理的有效性。以此培养建筑类研究生具有较强的创新能力,同时具有一定的设计实践基础,最终达到自身的综合专业能力的提升。
-
智慧引领科技,新工科背景下的建环专业人才培养与实践
当前,我国智慧建筑飞速发展,建筑智能控制人才需求成爆发式增长,精通智能控制的建环专业人才匮乏已经成为阻碍智慧建筑发展的重要原因。针对建筑环境与能源应用工程专业中课程培养体系目前存在的问题,以社会需求为导向,以培养“厚基础、宽专业、强实践能力”的综合型人才为目标,本文探究了基于校企深度合作的新工科背景下建环专业智能控制教学体系,提出“校企共建实验室”、“校企联合授课”、“校外技能培训”三种人才培养模式,并在教学内容、实践内容、教学形式等方面进行了深入的研究。通过开展深度校企合作,实现校企资源的有机结合和优化配置,打破了传统的学科深化型的“深桶式”课程体系,共同培养适应智慧引领科技导向下的建环新工科复合型创新人才。
-
大学生创新项目实践模式探索——以BIM技术为例
培养和造就具有创新精神和实践能力的高素质人才,是21世纪我国实现国家发展战略目标的迫切要求。工程管理作为交叉学科,更应与时俱进,注重创新型人才的培养。BIM作为工程管理教学内容的新课程,现阶段教学存在教学形式单一、考核方式局限、未激发学生的主动学习和创新意识和未结合行业实际展现BIM技术优势的问题。文章将大学生创新项目与其他BIM教改方案进行了对比,对大学生创新项目实践的实际意义与动力因素进行探析,分析了大学生创新项目对于解决BIM技术教学问题的适用性和作用机理,探索得出大学生BIM创新项目实践模式可分为四个主要阶段,即前期准备、提出问题、分析问题、解决问题,并将其应用于实际案例—BIM+VR在建筑设计方案可视化交互中的应用研究中,BIM技术的教学质量从而得到明显提高。
-
学术素养课程改革路径探索 ——以我国两所科研机构为例
高校的学术写作课程与学生发表国际期刊论文之间存在着供需矛盾。文章结合我国某航天科研院与某勤务学院研究生参与重庆大学开设的学术素养课程的具体实践和调研分析,深入解读其存在的基础能力、写作技巧、英语能力和创新能力的有待提升之处,以提高学生全方面的科研素养和能力为导向,从课程设计与课程内容两方面探讨学术素养课程改革的路径,提出应当增强课程的针对性;开展跨单位合作;重视学生多维能力的培养和时间管理等能力体系的建设;培养学生的全局观、大局观;并且做好学术道德的价值引领等,为学生科研创新能力的提升和高校学术英语写作课程改革提供借鉴,服务国家重大战略行业创新人才培养。
-
建筑环境与能源应用工程专业虚拟仿真实验系统建设与示范
重庆大学土木工程学院依托国家级实验教学示范中心,对建筑环境与能源应用工程专业空调冷热源系统、大型通风空调系统等成本高、危险性高、周期长的实验内容进行虚拟仿真实验教学系统建设,共建设了空调冷热源系统、空调系统、热水供暖系统三个综合虚拟仿真实验系统。实验建设紧密围绕建环专业实践教学体系展开,坚持“能实不虚、虚实互补”原则,并以培养解决复杂工程问题,具有创新思维,高素质综合型工科人才为目标。实验内容设置综合性的多工况虚拟实验、事故工况实验及科研创新成果内容,支持完整的实验教学过程及双向的评价体系。实验采用Web端在线实验形式,提高实验的便捷性和共享性。2020年-2021年,虚拟仿真实验系统除服务本校本科实验教学外,向4个高校超300名学生提供实验教学服务,并获得校内外较高评价。
-
工程项目管理课程改革切入、教学资源建设支撑夯基的工程管理人才培养驱动实践
新时代建设高水平本科教育对工程管理人才培养提出了新要求,从课程改革入手,强化教学资源建设是提升工程管理人才培养质量的基础关键。基于工程管理专业人才培养现代工程项目管理实践能力需要,从工程项目管理课程完整案例轮环式改革切入,从全方位教学资源建设着眼,架构工程管理人才培养驱动实践体系、运行机制与实施路径,以强化学生工程实践能力为导向,系统开展培养方案优化、职业规划引导,专业建设支撑、课程改革落实、实践体系训练、校企合作对接、真题真做提升的工程管理人才培养驱动实践过程,以人才培养质量提高彰显教学改革实践效果。
-
一流课程建设背景下的工程专业课程教学内容组织与资源建设——以《隧道工程》课程为例
在一流课程建设的背景下,工程专业的专业课程也应及时开展教学内容与资源的重构,为课程的教学设计和实施奠定重要基础。以《隧道工程》课程为例,分析了目前课程教学中的困境,并介绍了工程专业课程的教学内容组织思路,包括纲领性的教学大纲编写、结构化的知识体系设计、模块化的教学内容组织、实践性的教学资源配置、系统性的思政元素体现等方面。通过完备的教学内容组织、丰富的教学资源配套和全面的思政元素体系,形成了较为完备的课程教学内容和教学资源,助力一流课程建设目标的达成。
-
校企合作模式下理工类高校创新创业教育探索与实践研究
在科技强国的新时代背景下,大学生创新创业教育得到了不断推动,校企合作模式成为高校与企业间构建的新型创新创业教育模式,具有产教深化融合的重要意义。本文首先针对理工类高校中创新创业人才培养特点,阐述了现阶段高校创新创业教育培养体系;其次,以山东建筑大学第二课堂制度为例分析了创新创业教育评价体系特征与改进方向;并且,介绍了校企合作模式下的多元主体创新创业教育培养路径。基于校企合作模式的教育培养方式改革,学校创新创业平台得到多元化发展,学生创新创业能力得到提升,多元主体校企合作双创模式取得有益成效。创新创业教育的路径分析和实践探索将为理工类高校双创教育建设提供借鉴。
-
加快推进硕士研究生教育高质量发展的一些思考与对策——以中国矿业大学力学与土木工程学院为例
研究生教育是国民教育的最高层次,在经济发展和社会建设中的重要作用越发凸显。加快推进研究生教育高质量发展是新时代研究生教育工作的迫切要求。本文以中国矿业大学力学与土木工程学院为例,基于该院“十三五”期间(即2016-2020年)硕士研究生招生和培养成效数据,从硕士研究生生源、整体培养质量、专业学位教育水平、导师队伍以及教育质量保障体系等五个方面分析了制约该院硕士研究生教育高质量发展的主要问题,并从创新工作机制、强化过程控制、改革培养模式、加强队伍建设和优化管理模式等五个方面提出了加快推进硕士研究生教育高质量发展的一些对策,可为同类院校加快推进硕士研究生教育高质量发展提供参考。
-
基于OBE的“分段融入式”工程图学课程探索
分析现代工程图学课程特点,对高校引入三维建模、二维计算机绘图后所形成的三种教学模式的优缺点进行比较,进而以土木工程“画法几何与工程制图”课程为载体,以成果导向教育(OBE)理念为牵引,提出基于三维建模软件Revit的“分段融入式”工程图学课程的实施原则,并提出了具体的实施方案。对投影定理、手工绘图、二维计算机绘图和三维建模等内容进行细致整合,重点从平面图形、基本体、立体表面交线、组合体和建筑工程图几个方面对三维建模与工程图学融合的切入点和教学设计进行了论述,教学过程强调以学生为中心,通过以创新设计项目为牵引的协同学习,培养学生团队协作和创新精神。以110学时为例,详细介绍了采用“分段融入式”工程图学课程的教学内容和教学安排。
-
高校智能建造人才培养中的信息技术伦理教育探析
随着中国建筑业的数字化、网络化、智能化不断推进,建筑业从业者需以更高的信息素养参与智能建造实践,并积极构建和维护建筑业良好的伦理道德秩序。文章分析高校在智能建造人才培养中开展信息技术伦理教育的意义,包括培养学生信息技术伦理主体意识与主体能力、提升学生解决智能建造复杂工程问题的能力、促进学生积极应对全球化语境下的信息技术伦理问题等;提出高校智能建造人才培养中的信息技术伦理教育,需要引入课程思政的理念,并根据融合性与层次性的平衡、跨域性与教育性的平衡、适切性与灵活性的平衡等原则,妥善整合地设计课程,优化学生的知识体系与发展脉络,培养学生终生所需能力;探索对智能建造人才培养中的信息技术伦理教学进行系统化的方案设计,包括明确信息技术伦理教学目标、构建信息技术伦理教学内容、实施信息技术伦理深度学习策略、提升智能建造师资的信息技术伦理教学水平等。
-
新冠疫情时期土木工程生产实习教学改革与实践
针对2020年新冠疫情影响下土木工程专业生产实习面临的教学困境,提出以“线下专题讲座+线上视频学习”方式在校内完成生产实习教学任务,与传统现场生产实习相比,教学内容全面、先进、详细,并取得了较好的课程思政教学效果,为土木工程生产实习的教学改革提供了思路。
-
《空气调节》教学改革及课程思政体系建设
以哈尔滨商业大学能源动力类主干课程《空气调节》为代表,开展了新工科背景下多层面内涵式教育教学改革与实践,主要包括理论知识体系的多维交叉融合与创新、实践教学环节创新性与探索性提升、全新版教材建设与大纲修订、教学手段及考核方式的改革等。同时开展了基于“习近平新时代中国特色社会主义思想”的“精准思政融合”体系构建与创新,重在增强学生的民族自信、文化自信、制度自信和专业素养。通过历经三年的教学改革与探索,《空气调节》课程的教学思想及知识体系的创新性与新时代特性获得显著提升,促进了能源与动力工程专业的高素质人才培养质量的提升。
-
新工科背景下“五位一体”土木工程创新型人才培养模式的探索与实践
土木工程专业是典型的传统工科专业,在新工科建设背景下普遍面临教育教学理念落后、课堂教学有效性差、创新培养方式单一、课程思政协同育人机制不健全等问题。吉林大学土木工程专业以价值塑造、能力培养、知识传授 “三位一体”教育理念为统领,以培养符合当前和未来科技发展和产业革命需求的土木工程创新人才为目标,系统设计 思政、课程、实践、竞赛、科研 五位一体人才培养新模式,以“夯实基础、强化实践、激励创新”为原则构建新课程体系,以“注重基础,融合前沿,聚焦工程”为指导建设新课程内容,“以学生为中心” 探索新教与学方法,通过“多要素课堂教学改革”、“多方式协同创新能力培养”、“多课程育人”成功推进了土木工程创新型人才培养。
-
面向思维训练的西方园林史视觉教学方法实践--以意大利台地园为例
随着新工科建设发展,培养工程人才综合思维也得到了风景园林学科教育工作者的广泛关注,探索专业学习与批判性思考深度融合的教学方法成为关键问题。本文以《西方园林史》教学为媒介,突破原有教学中依赖教材的被动式授课教学模式,应用视觉教学方法,引导学生完成问题为导向的阶段性课程任务,进行思维训练与批判性思考。首先,对思维训练的内涵及其影响下的《西方园林史》教学改革目标进行探讨。其次,梳理了《西方园林史》学习的多元视角。接着,阐述了以“视觉”为切入的引导方式在阶段性任务框架中的作用。最后,以意大利台地园兰特庄园作为教学示范案例,说明视觉导向的教学任务在发现问题阶段、背景研究阶段、详细论证阶段、综合结论阶段的具体应用及其呈现方式。综合评析了“视觉”与“问题”引导下的《西方园林史》学习的方法与特点。
-
土木工程施工课程思政教学探索与实践
在深刻了解课程思政的内涵、工科专业课程思政要素及其实施途径方法的基础上,结合土木工程专业特点和培养目标,提出土木工程施工的5个课程思政教学目标;根据教学内容设计了各类课程思政元素融入点及其对应的知识或能力目标,将价值引领、知识传授、能力培养三个目标融为一体;从教学团队建设、课程思政元素发掘、教学方式创新和课程学习评价体系改进四个方面为课程思政教学目标的落实提出了保障措施。土木工程施工课程思政教学的探索和实践达到了预期目标,为相关专业的课程思政教学提供借鉴。
-
基于精准识材和协同育才的城市地下空间工程研究生因材施教培养模式探索与实践
本文立足于国家建设需求以及行业发展前景,针对新工科建设下的传统工学学科研究生培养模式的现状和存在的主要问题加以分析和研究。以中南大学城市地下空间工程学科发展情况为例,针对每位研究生“精准识材”,做到合理“协同育才”的因材施教培养模式,并对城市地下空间工程研究生在新形势下的培养措施,确保学生能够在新工科背景下对自身能力以及行业认的全面发展,形成了精准识材和协同育才的城市地下空间工程研究生因材施教培养模式,为以城市地下空间工程学科为标杆的各传统工学学科在新工科建设背景下的发展及改革提供现实依据。
-
课程思政视角下基于校企合作的土木水利硕士教学案例库建设研究[1]
在新工科背景下,案例教学法是培养工程领域高素质创新型人才的有效途径,土木水利硕士研究生工程实践能力的提升亟需建立完善的教学案例库。本文从课程思政视角下基于校企合作研究了土木水利硕士(土木工程领域)专业课程案例库建设,主要包括案例库的总体框架、案例库主题方向和素材来源、案例库共享机制等内容,旨在为土木水利硕士各专业领域相关课程案例库的建设提供理论思路和实践指导。
-
疫情下澳大利亚土木工程教育的现状分析与反思
面对蔓延的新冠疫情,陷入窘境的经济状况和锐减的国际学生给澳大利亚的土木工程专业教育带来了巨大的困境和挑战。本文通过描述疫情对澳大利亚高等教育带来的影响,对疫情下澳大利亚土木工程学科的发展现状进行分析与反思,揭示了澳大利亚土木工程教育本科专业深度和精品化程度不高;疫情下课程特色难以体现,专业实践优势无处施展;科研进展缓慢,效率降低的现状,提出我国土木工程专业教育要处理好教育通识性与专业性的关系,更加重视学生的积极体验,全面提高学生能力;并且提高课程精品化与专业化程度促进学科教育的全面发展,以形成高校核心竞争力,为我国高校土木工程专业教育注入新的活力。
-
意大利建筑遗产保护课程及其教学模式在我国的适应性研究
意大利在建筑遗产保护教育方面有着优良传统和深厚底蕴,特别是对于建筑遗产病害甄别和具体保护措施上,有许多值得我国建筑院系学习的地方。本文选取笔者就读的意大利米兰理工大学Architectural Preservation Studio作为案例,详细介绍了该门保护课程的教学目标、组织形式、课程安排、教学内容等;进而将该教学模式进行适应性凝练,并且运用于笔者任课的中国矿业大学《建筑历史与遗产保护课程》教学改革中,通过徐州徐海道署照壁的具体教学案例,论证意大利建筑遗产保护课程体系在我国建筑学专业中的适应性情况,旨在为我国同类院校的相关专业课程设置提供一些思考与思路。
-
双创理念下建筑实践教育的工作室模式研究与实践
针对本科建筑学专业的建筑师业务实践教学重实践能力培养而轻创新创业、人际交往、管理等综合能力培养的现状,从当下建筑学学生能力与行业需求脱节、培养方式与职业规划多元化需求不匹配等问题出发,提出双创型工作室建筑实践教育模式。该模式以专业实践教育为核心,建构创新创业教育、理论教育、综合能力培养三大模块,以评价机制、激励机制、竞争机制为保障,培养“专业实践型+”多元化建筑人才,从而达到推动高校建筑学科实践培养体系改革,提升建筑学专业创新创业教育的效果。
-
批判地域主义视角下的建筑设计教学改革
当前的建筑设计教育中设计课教学载体一直存在建筑类型单一化、设计内容固定化、建筑与地域脱节化的问题,本文通过梳理建筑设计教育发展的历程,结合建筑设计理论发展趋势,尝试在二年级建筑设计课教学中引入批判地域主义的设计理论和方法,通过教学载体“归园田居:乡村客厅”的设计,在教学过程的培养目标、教学途径、教学内容、教学对象、教学成果五个方面展开改革和探索,对提升教学质量、教师能动性、学生创新性方面和探索具有非历史地域性、现代在地性的建筑设计方法具有推动作用。
-
一流本科教育建设:缘起、品质表征及进路
本科教育是提高高等教育质量的最重要基础,建设一流本科教育既是国际高等教育发展的共同趋势,又是实现我国从高等教育大国向高等教育强国历史性跨越的核心关键与必然要求。一流本科教育的品质表征是政治性品质、时代性品质和价值性品质三位一体的集合,能否胜任培养堪当民族复兴大任的高素质社会主义建设者和接班人的根本任务、践行培养卓越拔尖时代新人作为核心使命、实现大学生全面终身发展的终极目标既是一流本科教育政治性品质、时代性品质和价值性品质的依次体现,同时也是判定中国本科教育是否真正“一流”的根本标准。推进中国一流本科教育建设必须坚持党的全面领导,既发挥政府主导作用,又赋予高校建设的自主性,各利益相关者协同构建高水平人才培养体系:一是要落实“三个合格”“八个首先”要求,变革教育思想观念,确立本科教育的中心地位;二是要坚持“学生中心、成果导向、持续改进”理念遵循,全面推动大学课堂革命与一流课程、一流专业建设,着力构建本科教学质量保障体系,形成高水平人才培养体系;三是要坚持党的集中统一领导,充分发挥中国特色社会主义制度优势。
-
高校专业课程思政化元素研究与应用
“课程思政”与思政教育是系统的育人工程,思政教育是立德树人的抓手,是高等教育之根本。本文高度剖析专业课程思政元素,科学设计教学项目,以项目为载体,融入思政元素,科学甄选课程工科专业课程思政元素,以专业课程为植入载体,探究专业课程思政化路径,全方位、多视角和系统地实现课程思政化,将专业课程思政元素诗歌化融入课堂教学,提高学生对专业课程的兴趣,真正做到在专业知识和“德育”培养同向同行,培养有灵魂懂专业的社会主义建设者和接班人。
-
微模块植入在城乡规划专业设计类课程中的运用
创新能力和过程控制能力是城乡规划专业设计课程中重点培养的两种能力,本文以郑州大学城乡规划专业设计基础阶段的最后一个建筑设计课程(311)为例进行课程实践,在设计课程中进行微模块的植入,对课程关键节点进行细微修正,通过增加方案互换、延伸专题研究、技术模拟支撑、课后自我评价等灵活微模块,对课程过程关键节点的效果进行提升,达到增强学生交流表达能力、过程控制能力以及设计创新能力的目的。
-
“双一流”背景下地方高校水利类创新型研究生培养模式探索
为响应中共中央国务院关于加快水利改革发展的决定,促进中国从“制造大国”向“创造大国”迈进,本文结合地方高校水利类研究生培养实际,围绕国家“双一流”建设背景探索地方高校水利类创新型研究生培养模式。首先分析了地方高校水利类研究生培养存在的问题,包括受地理位置、社会发展水平、经费投入限制,区域社会经济发展对高层次人才需求大,多学科交叉融合少等。进而以问题为导向,以“双一流”建设背景下培养拔尖人才和提升科学研究水平为目标,提出了有利于地方高校水利类创新型研究生培养的改革途径,其中包括基于自我教育、自觉成才、自主创新和自我管理这“四自”教育的水利类研究生培养模式。最后以南昌大学为例,介绍了该校水利类研究生培养在践行新培养模式中取得的成果,有望为其他地方高校研究生培养提供参考。
-
研究生学术英语写作项目中的任务设置原则-以建筑学科为例
在国际学术交流与合作日趋频繁的当今社会,在国际顶级学术期刊上发表原创成果的多寡和引用情况已经成为评判一所高校乃至整个国家科研能力和国际影响力的重要指标,也是评判研究生学业水平的一个重要参数。提升研究生学术英语写作能力对于促进国际学术交流、提升我国学者的国际学术话语权都具有积极意义。研究生公共英语课程应以需为本,只有将语言学习和学生的专业学术研究相结合,才能从根本上激发学生的学习兴趣和动机。以建筑学科研究生学术英语写作教学为例,通过实例,从目的性、专业性、思辨性与合作性四个方面探讨了研究生学术英语写作项目中的任务设置原则,以期为项目驱动下的研究生学术英语写作教学带来启示,从而切实提高学生的学术英语写作能力,实现学以致用的目标。
-
大跨结构学生创新能力培养方法探讨与实践.
新工科建设突出对学生创新能力的培养,作为传统工程专业的土木工程具有较强的理论性和实践性,本文结合大跨结构课程开展新工科理念下的学生创新能力培养实践。首先,课程教学中突出实际工程案例讲解和分析,增强学生对工程结构的学习兴趣,并提高学生对复杂工程问题的分析和处理能力;利用线上教学资源开展调研,对课程教学内容进行优化,并对课程知识点的掌握情况进行评价和针对性的指导,同时结合线上教学资源进一步拓宽学生的知识面;最后,在教学方法上开展项目式学习和科教融合教学,利用项目式学习提高学生的结构设计能力;利用科教融合教学,引导学生自主发现问题、分析问题并解决问题,培养学生的创新能力和科研素养。通过上述教学方法改革提高大跨结构课程的教学效果,促进学生创新能力的培养。
-
注重整体思维培养的城乡规划专业建筑设计教学探索
建筑设计课程是城乡规划专业教学的一项基础内容,是城乡规划学习的承上启下环节,城乡规划学成为国家一级学科后如何改进教学内容和方法以适应城乡规划专业人才培养的需求是教学改革的重点。以北方工业大学城乡规划二年级设计课为例,通过多年实践经验梳理学生设计过程中出现的环境分析不够充分、整体设计观念欠缺、逻辑分析能力训练不足等问题,提出以整体思维培养为重点、加强过程教学的改革方向。教学建立以空间形态设计为核心、以自然环境和人文环境分析为出发点的整体设计观念,在此基础上细化教学主题,完善题目设置,围绕环境、行为、功能与空间设计等核心要素展开教学。同时,为培养学生的逻辑思维能力和科学分析能力,调整教学过程和组织方法,清晰教学主线,强化分阶段、分层次的教学组织形式,并将多种互动交流模式贯穿整个教学过程。
-
应用型高校建筑机电类专业实践教学面临的困境与对策分析
在应用型高校对建筑机电类专业人才的培养中,实践教学占着举足轻重的地位,直接关系着建筑机电类专业人才的培养质量和学校的发展前途。本文通过对应用型高校建筑机电类专业的专业特点和人才培养质量的分析,指出了当前应用型高校在建筑机电类专业实践教学中面临的困境,通过对一些应用型高校建筑机电类人才培养模式的分析和社会对建筑机电类人才满意度的调查,指出了当前应用型高校在培养建筑机电类专业人才中存在的不足,结合应用型高校制定的建筑机电类专业人才培养目标,探索出应用型高校在培养建筑机电类专业人才过程中解决以上问题的对策与方法,并在应用实践中证明了方法的有效性。
-
思政元素融入《钢结构设计原理》课程教学方法初探
将思政元素融入高校专业课程的教学中,与思想政治理论课程同向同行,形成协同效应,已成为当前高校工科专业课程教学的新趋势。但是,如何更好地将思政元素融入专业知识的教学中,达到潜移默化、润物无声的育人效果,是高校工科专业课程教师面临的重点和难点。本文以土木工程专业的核心课程《钢结构设计原理》为例,初步探索了思政元素融入专业课程教学的方法和路径。首先,基于“四个自信”,并结合《钢结构设计原理》课程特点,确定了制度认同、文化自信、专业道德修养和科学精神的课程思政建设目标。然后,围绕思政建设目标,总结各章节相应的思政教育点和实施路径,并通过4个教学案例,介绍了思政元素融入课程教学的方法。最后,提出了思政元素融入专业课程考核中的改革方法,达到对专业知识与思政教育成果全面评估的目的。
-
线上线下混合式教学学习效果评价——以工程经济学A课程为例
在移动互联网时代背景下,线上线下混合式教学成为各高校大力推广的新型信息化教学模式。为了探索线上线下混合式教学在高校中的应用效果,以促进学生专业知识水平的有效提升,选取东南大学土木工程学院工程管理专业参与工程经济学A课程学习的本科生为研究对象,以MOOC线上教学平台为数据来源,选用SPSS24.0统计分析软件,从观看视频个数、观看视频时长、出勤次数、课堂练习正确率四个指标进行本科生线上及线下学习情况分析,最后从线上成绩、课后作业成绩两个方面进行期末考试成绩的相关性分析。结果表明,线上成绩及课后作业成绩与期末成绩存在显著正向相关,线上线下混合式教学有利于培养学习者自主学习、探究实践的科学素养,进而提高学习效果。
-
辅修土木工程专业课程教学困难调研与对策—以混凝土结构课程为例
土木工程专业(结构工程方向)要求毕业生具备扎实的结构设计理论和一定的工程实践应用能力,对于双学位辅修学生来说,存在着时间紧、任务重、学习难度大的天然难题。混凝土结构是其中典型的理论和实践并重型专业课程,以其为例对辅修专业课程教学困难进行学术调研,并提出改进对策与建议。调研发现目前存在辅修学生已修课程基础偏弱、不同专业学生可利用时间难统一、单次课时长易导致师生疲劳以及学生重修难度大等问题。因此教师在理论知识讲解时应注重生动性和可回顾性,可以结合网络课程以及相关试验和动画视频讲解。此外针对辅修学生的学习难点应更注重实践能力培养,合理安排理论授课和实践教学时间,同时加强工程应用实例和工程事故案例讲解,提高学生分析问题和解决问题的能力,并培养职业责任感。
-
土木工程专业培养目标合理性及达成评价研究
深度解析工程教育认证背景下土木工程专业培养目标合理性及达成评价两个概念易混淆的问题,有助于推动我国土木工程专业认证及专业建设。首先,本文简要回顾了土木工程专业认证的发展历史及现状,指出了开展以成果导向(OBE)为指导专业建设的意义。随后,剖析了工程教育认证背景下土木工程专业培养目标应具备的内涵和元素,分析了专业培养目标合理性评价与达成评价的区别,并给出了操作流程及案例。相关研究成果对推动土木工程专业建设具有一定的参考价值。
-
中华传统美德在高校德育中创造性转化的实证研究 ——以建设类院校为例
通过对四所建设类高校中华传统美德融入高校德育的情况调查,认清高校在传统美德创造性转化中德育主体虚位与德育客体偏位之间的矛盾,传统美德的统整性与德育内容的零散性之间的矛盾,传统美德的实践性与考核模式的刻板性之间的矛盾。并且,剖析其成因,提出中华传统美德在高校德育中创造性转化的路径,旨在通过批判继承优良道德传统,优化高校德育过程,增进高校德育的实效。
-
以结构设计大赛为平台的?“以赛促学”教学模式研究
大学生结构设计大赛是全国范围内土木工程领域参与度最广泛、含金量最高的赛事,为了丰富土木工程专业学生的实践教学内容,提升学生创新意识、团队协同和工程实践能力,对土木工程专业的“以赛促学”教学模式进行研究,详细论述了“以赛促学”教学模式推广的可行性和优势,建立了清晰的“以赛促学”教学模式框架,并详细分析了各个教学环节的内容及要点,最后对以赛促学教学方法进行了小范围的实践尝试,获得了很好的教学效果,显示了“以赛促学”教学模式的积极作用。其思路和成果也可为类似学科“以赛促学”实践教学模式的研究提供参考。
-
土木工程专业课程思政教育的探索与实践
“课程思政”是新时代对高校教育工作提出的新要求,实现“全程育人、全员育人、全方位育人”是高校土木工程教育的必然目标。针对目前高校课程思政建设薄弱现状,按照土建行业的工程技术人员职业伦理、道德要求,本文深入挖掘了土木工程专业思政元素,明晰了“立德树人”视域下高校土木工程专业思政培养目标;构建了“立体化、分层次、全过程”土木工程专业思政教学体系,从而使土木工程专业思政教育更具有针对性和有效性;提出了新颖多样、有趣灵活的专业课程思政教学模式,弥补了现有专业课程思政教育模式单一化的不足;并以国家在线课程《土力学与基础工程》为例,从课程内容、教学模式和课程考核等三个维度,对思政元素融入此专业核心课程思政教学路径进行了探索与实践,从而为高校土木工程专业课程思政的教育提供借鉴和参考。
-
工程教育认证背景下民族生培养模式改革探索
为适应当前世界范围的工程教育改革和工程教育认证需求,提升民族生培养质量,以蒙古族学生为例,对土木工程专业民族生培养模式进行改革与探索。在满足专业规范和工程教育认证要求的基础上,从民族生实际情况出发,制定了符合民族生特点的培养目标与课程体系,并提出“实践创新”的新理念。在教学实施中,强调“在培养过程中体现培养特色”,面向培养目标,整合课程内容,加强思想政治教育,优化课程安排,强化实践类课程教学,改革教学方法与手段,自行设计项目式习题,改革评价方式,在民族生培养的全过程和各环节进行改革与探索,实现了对民族生的特色培养,提升了民族生的培养质量。
-
“3E+3E”工程化教学理念下的结构力学一流课程建设
《结构力学》课程是土木工程、铁道工程、水利工程等专业的核心专业基础课,是连接基础课和专业课的重要桥梁。北京交通大学《结构力学I》获批2020年首批国家线下一流本科课程,标志着我校结构力学课程建设和人才培养工作进入了一个新阶段。针对课程建设过程中遇到的问题和难点,教学团队以立德树人为根本,以培养未来多元化、创新性卓越人才为目标,以提高课程的高阶性、突出课程的创新性、增加课程的挑战度为课程建设的基本要求,提出了“感性入手、理性探究”的“3E+3E”工程化教学理念。在教学实施过程中,分别从课程思政的承载、教学目标的优化、教学方法的创新几个方面进行了积极探索和实践。教学实践表明:“3E+3E”工程化教学理念不仅为“课程思政”和“两性一度”建设的融合提供了新思路,而且为知识、能力、素质全面发展的人才培养创造了条件,为“传授式”教学向“探究式”教学之培养模式的转变探索了一条有益途径。
-
面向工程教育认证的热质交换原理与设备课程大纲的设计与实践
针对新时期建筑环境与能源应用工程专业工程教育认证工作需要,在领悟工程教育认证体系的基础上进行课程大纲的顶层设计,以热质交换原理与设备课程为例,从课程信息、课程简介、课程目标、课程目标与毕业要求及其指标点的对应关系、课程主要内容与学时分配、课程教学方式方法、课程考核与评价方式以及课程推荐资料等方面详细阐述了课程大纲设计方法和撰写思路。通过2021年兰州交通大学建环专业工程教育认证应用验证表明,该课程大纲设计方法符合工程教育认证要求,课程教学方法、课程考核评价合理,有利于课程目标达成度评价。该研究可为工程教育认证专业课程大纲的修订提供参考。
-
“多主体协同、产学研融合”专业学位 研究生培养模式研究与实践
针对地方应用型本科高校建筑与土木工程专业学位研究生培养中面临的问题,开展了培养模式研究与实践。依托浙江省山体地质灾害防治协同创新中心,将协同创新中心的各类资源优势、学科优势及科研优势转化为研究生培养优势,构建了多主体协同、产学研融合的专业学位研究生培养模式,并建立了校校(所)协同培养机制、校企协同培养机制与国际协同培养机制。以专业基础、实践能力及国际视野兼顾为培养理念,制定了相应的专业学位研究生人才培养方案和课程体系。实践证明通过高校、科研院所、企业及国际学术组织等多主体协同及产学研融合培养,促进了专业学位研究生的实践创新能力、就业竞争力及国际化视野的提升。
-
野外实践教学支撑课程教学目标达成度的探索—以《道路勘测设计》课程为例
工程教育专业认证是工程类专业人才培养与国际接轨的重要途径,课程教学目标的达成是专业培养目标的基础和支撑。本文从东南大学《道路勘测设计》课程的野外实习的实践教学的组织和开展,搭建以课程考核和面向参与学生的问卷调查相结合的教学目标达成度评价体系。以历年参与《道路勘测设计》实践教学的学生为对象,分析结果表明,野外实践教学对工程教育专业认证提出的解决复杂工程问题、使用现代工具、团队合作及沟通表达等能力有强支撑作用,可以更好地支撑工程类课程教学目标达成度,并有对专业产生更多的认同感的作用。
-
“虚实结合”在土力学教学中的探索与实践
土力学是一门实践性学科。传统课堂理论教学存在知识点繁多、内容体系复杂、与实际脱节等问题,而实验教学也有课时、场地、设备等时间、空间和资源等方面的限制和约束,导致整体教学效果欠佳。中山大学土力学教学团队,秉持“虚实结合”的教学理念和方法,开展土力学教学改革探索。一方面,在课堂理论教学中引入实体教学模型,强化学生对理论模型、抽象概念以及工程实际的理解和认识;另一方面,通过虚拟现实技术建设仿真实验平台,克服传统实验教学的时空局限性和资源约束。基于“虚实结合”的教学手段,可激发学生学习的主动性和积极性,培养学生的创新思维,提升土力学课程的教学质量和效果。
-
分子动力学模拟在《胶凝材料与混凝土学》课程教学当中应用的探索
胶凝材料与混凝土学是无机非金属材料工程专业的核心课程,具有较强的综合性与专业性。课程中包含一些深层理论知识,如水泥水化、纳米孔离子传输等,传统教学手段缺乏图片和视频媒体资源,无法形象展示过程模型,课程讲解乏味,造成学生理解难度增大。本文探索将分子动力学模拟结果引入课程教学当中,通过模拟的可视化成果丰富教学内容,给予学生观察微观世界的视角,将抽象的知识具体化。分子动力学引入也带来了教学方式的变革,激发学生学习兴趣,取得良好教学效果。课程教学将科研融合到教学过程中,助力创新性人才培养。
-
视觉反馈范式对英语语音学习的有效性及概化性的实证研究
由于语音学习的特殊性和复杂性,其研究相较于其他语言技能而言所受的关注一直较少。计算机辅助语言学习的出现,使呈现在电脑上的语音可视化成为可能。然而相关研究表明,虽然可视化的视觉反馈对语音学习有积极影响,多数研究却只关注了语音的超音段特性,对语音系统中其他部分未有涉及。本研究基于Praat语音可视化分析软件的使用,在语音教学中使用视觉反馈范式(Visual Feedback Paradigm,简称VFP),以语音强度比为检测标准,对学习者语音学习的情况进行了研究和分析,并得出了以下结论:1)利用VFP进行语音教学可取得比传统听觉训练更好的效果,且取得的语音改善具有一定的持久性;2)利用 VFP所获得的单词层面上的语音提升能够扩展到相似的话语(句子)层面上,并且这种提升也具有持久性。3)学生对于VFP持积极的评价,他们认为视觉反馈所提供的明显图像差异能反映出单个音素的相对音长与音强,从而为发音提供指导。本研究证明了VFP对于语音学习的有效性和概化性,以及利用VFP在二语语音课堂中的潜在实用价值。
-
“洞”见未来——基于社区生活圈的华南理工大学东住宅小区边界探析
在存量规划背景下,我国的城市更新进入品质化提升、多方治理的新阶段,而高校老旧社区与周边社区之间的割裂状态则与之背道而驰。本文以广州市天河区华南理工大学东住宅小区与相邻的五山花园小区之间边界围栏上出现的“洞”为研究对象,通过测量、跟踪、问卷、访谈,从使用需求、管理模式、支持政策三个维度探究“洞”产生的原因,进而提出理解管理机制、搭建共治平台、设定分期目标三条途径,推动两社区间多元共治、边界重构,完善社区生活圈,实现资源共享。该研究对高校单位老旧社区的管理模式更新与边界空间重构具有一定借鉴意义。
-
项目驱动的建环专业生产实习课程沉浸式教学研究与实践
针对建筑环境与能源应用工程专业生产实习中存在的教学内容缺乏系统性和规范性、对校外实习资源依赖度高、学生学习主动性不强等问题,提出构建项目驱动的生产实习课程沉浸式教学模式,以建环专业现实工程情境为载体,充实施工管理、智能运维等知识,系统化串联暖通空调系统全要素知识点,学生进行生产环节各工种角色扮演,深度沉浸教学过程,成为主动实践和探索知识的主体。阐述了该教学模式的实施流程、教学内容,以及过程性、多元化成绩形成机制,阐明了该教学模式可充分激发学生主动参与实习的兴趣,真正达到理论与实践结合,锻炼动手技能与强化理论知识双赢,同时有利于劳动精神培养。
-
地方高校应用型人才全过程培养的实践教学平台体系探析
培养符合社会和国家需求人才是高校育人首要目标,随着国家“新工科”建设项目实施和“三全育人”理念倡导,高校改革现有人才培养体系已显得尤为必要。基于对所在高校土木类专业人才培养实践平台调研与分析,从全过程应用型人才培养所需实践平台体系的顶层设计、交叉融合综合实践平台构建、持续稳定校企协同育人机制建立、复合型实践教学团队组建及递进式实践教学体系设立等方面探讨与分析了应用型人才全过程培养实践平台体系的构建途径和方法,以为地方高校培养应用型人才培养提供参考。
-
智能建造专业教育创新的探索与实践
智能建造是建筑行业高质量发展和转型升级的必然趋势,它在工业化和信息化的高度融合下,利用新技术利用新技术对工程建造过程赋能,推动工程建造活动的生产要素、生产力和生产关系升级。智能建造的出现从设计、生产、施工、运维全链条的重构了产品形态、技术方法和管理模式,对应的对支撑行业升级的人才需求也产生了变化。面向智能建造专业人才所需知识和能力的新需求,本文系统的搭建了具有特色的跨学科融合培养体系,介绍了重庆大学智能建造专业建设方案,从培养目标、课程体系、教学模式等方面介绍了该专业的创新探索和思考,为我国智能建造专业的人才培养和相关专业建设提供了参考借鉴。
-
新工科建设背景下高校研究生培养探索与实践
新工科产业建设是基于国家创新驱动发展战略要求,本文基于新工科背景下深入分析了工科研究生培养中存在的问题,以生物医学工程学科为例,以思政铸魂育人为初心,以多学科融合导师团为主要介质,以研究生双创双实一体化教学为主要载体,以生教协同平台、医企合作平台、科企共双创平台、教科研平台为依托,以“律、查、讲、谈、评、督”六位一体督查教学监察体系为保证,对工科研究生教学改革进行了探索,收到了较好的教学反馈,实现了对学生的知识结构、学习兴趣、学习能力、思维模式等方面进行全覆盖和全融入,形成了充满生机活力、多层次、可选择、具有专业特色的新工科研究生培养体系。
-
新时期工程类非全日制研究生培养模式的研究
为了顺应国家对非全日制硕士研究生的培养新形式,满足社会对非全日制研究生的人才需求,笔者依次梳理了工程类硕士研究生培养历程的演变:即工程硕士——工程类专业型硕士——非全日制与全日制研究生统一招生的历程,并通过比较分析、文献研究、归纳分析、调查等研究方法,比较国内外工程类研究生培养模式的特点,结合市场对工程类研究生的需求特征,探讨适应于新时期我国工程类研究生的培养模式,以期对工程类非全日制专业硕士学位研究生的改革提供借鉴,提升研究生人才培养质量。
-
“强基”:国土空间规划体系下城乡规划专业GIS课程教学思考
国土空间规划是主体功能区规划、土地利用规划、城乡规划等“多规合一”的空间规划。国土空间规划体系全过程全面融合GIS基础平台,表现在技术标准、基础研究、规划编制、信息平台建设等多个环节均需要大量的GIS理论和技术作为有力支撑。由此,我国构建国土空间规划背景下,面对城乡规划GIS课程教学的“旧疾”与“新题”,“强基”是发挥GIS课程在国土空间规划体系中支撑作用的有效途径。城乡规划专业GIS课程必须进一步强化其在规划中的基础支撑作用,强化GIS基础理论与方法的教学;在教学内容、教学方法以及教学组织需主动革新、与时俱进,寻求与新时代国土空间规划体系相衔接的教学应变途径,不断强化学生的技术实操能力和基础创新思维,以期培养符合新时期国土空间规划体系需求的实用创新人才。
-
直接分析法在钢结构系列课程及实践环节中的探索与实践
目前国内外多本钢结构设计规范将直接分析法推荐为首选方法,但钢结构系列课程教材及教学内容相对陈旧,与现行规范及学科前沿发展脱节。基于此,围绕直接分析法,对钢结构系列课程及实践教学环节进行探索与实践。在理论教学环节,依据钢结构设计标准,采用由简入深、循序渐进的方法讲授直接分析法的原理与思路,突出该法中结构整体缺陷、构件缺陷、残余应力、节点刚度与杆件偏心等要点的基本概念及其实现方法;在实践教学环节,比如本科生毕业设计/论文及大学生科创项目,精选与直接分析法相关的题目,通过实践锻炼使学生更加牢固地掌握该法的核心思想与设计思路。通过探索与实践,学生已掌握了直接分析法的设计思路,相关钢结构软件的应用能力与实践能力得到了进一步提升;学生取得了一定的研究结果,其科学研究水平与创新能力得到了提升。
-
基于非标准答案考核方式的创新型人才培养模式实践-以“结构类模型创构与实现”课程为例
张营营, 叶继红, 喻秋, 贾福萍, 范力, 杜健民, 李贤
在工科教育专业认证背景和信息化、变革、强调个性的时代背景双重条件下,结构类模型设计课程的改革面临许多新挑战。通过对非标准化答案、实战化考核方式与传统考核方式对比分析和探讨可以发现:非标准答案考核方式具有全程评价、全面训练、动态改进的特点,有利于培养学生解决复杂工程问题综合能力,切实提高学生的课程学习质量。而课程适用性、教与学思想的转变以及相关制度保障是实施非标准答案、实战化课程考核方式的重点。通过问卷调查分析课程学生满意度评价,统计分析发现本课程学生满意度高达94.73%,这也表明学生对于课程教学改革的高度认可。
-
基于大数据分析的工程造价专业人才需求及目标薪酬实证研究
伴随我国城镇化进程的加快发展和“一带一路”倡议的有序推进,建筑行业发展前景巨大,市场对工程类人才需求持续增长。借助聚焦爬虫定向抓取前程无忧互联网招聘平台中涉及工程造价专业的9443条招聘信息,分析工程造价专业人才需求特征,并延伸构建了有序选择模型定量探究本专业人才目标薪酬影响因素。研究显示工程造价专业人才需求特征呈现区域非均衡性、学历普通化、工作经验具体化,岗位需求及业务偏重工程项目全过程造价控制,六类能力需求差异度大。目标薪酬对专业资格认证需求正效应显著;薪酬越高工作经验要求较高、学历要求较高;薪酬等级与城市等级有一定联系,超一线城市与其他级别城市薪酬差异明显。大数据分析为各类高校建立适应市场需求的工程造价专业人才培养模式提供一定的数据支持。
-
基于需求导向理念的研究生教学改革探索-以高等岩石力学课程为例
研究生专业课教学是研究生阶段能力培养的重要环节,如何提升教学质量,特别是如何满足快速发展的社会用人需求,是需要探索解决的重要课题。随着隧道工程、桥梁工程、港口水利工程和地质工程等行业的飞速发展,相关工程建设愈发趋向于深地层与大规模,对于从业者的岩石力学相关知识的需求提出了巨大的挑战,同时对研究生教育培养过程提出了新的要求。其中,高等岩石力学课程作为一门理论与实践紧密结合的专业基础课程,在研究生专业素养的培养过程中占有举足轻重的位置。基于此,本文分析了高等岩石力学课程教学的主要特点与现存的主要问题,并考虑到工程实践、研究生培养以及国家教育改革等实际需求,提出了针对该课程教学改革的指导思路与实际举措。同时在同济大学建筑与土木工程专业研究生高等岩石力学课程中进行了教改实践,取得了不错的成效,也为今后研究生课程教学改革提供良好的借鉴。
-
构建“四结合”教学模式 强化工程能力培养——以《混凝土结构基本原理》课程建设为例
中文:对标一流课程建设标准,从教师团队、教学方法、考核评价、质量管理等四个维度出发,秉持以学生为中心、OBE和持续改进“三位一体”的工程教育理念,突出强化学生工程能力培养。通过在《混凝土结构基本原理》课程中构建和精准实施“校内外结合的双师型教学团队、线上线下结合的混合式教学、任务与指导结合的引导模式、考核与评价结合的质量监控与反馈机制”的“四结合”教学模式,在2017和2018级本课程教学中取得了显著的教学成效,课程目标达成度均超过0.7,为相关课程的建设与持续改革提供了依据。
-
《工程制图》课程思政的实践与探索
为实现在知识传授和专业技能培养的同时潜移默化地立德树人,《工程制图》课程思政建设在实践中利用具体、生动的先进人物事迹和工程建设实例帮助学生树立正确的价值观、思想观、人生观。从提升德育的实际效能和实践效果出发,课程建设以社会主义核心价值观为中心,将其整体、科学、有序地融合进各知识章节和各训练版块,把政治认同、国家意识、文化自信和公民人格四个核心模块有机注入课程知识点和学科内容体系构架,通过翻转课堂的教学设计和实践,提高课堂效率,探索形成以社会主义核心价值观为基本教育指向的思政课堂教学体系和高效能实践操作模式。
-
基于计算可视化的土木工程可靠度课程教学方法
随着基于可靠度理论的结构设计方法的快速发展,可靠度理论已经成为土木工程专业学生需要掌握的重要知识。由于可靠度理论较为抽象、常涉及复杂的数值计算,学生常无法完成学习流程,导致学生学习兴趣匮乏,学习效果有待提高。针对上述难点,提出了一种基于计算可视化的教学方法。该教学方法基于EXCEL这一通用工具,可将各种可靠度算法的中间过程和结果进行直观分析和展示,消除可靠度理论学习中涉及的数值分析要求,由此精简学习流程。该方法可帮助学生从复杂的数值计算中解脱出来,将精力聚焦在可靠度分析原理上,方便和快速地理解和掌握相关知识点,并将所学知识其灵活应用于自己的研究领域。基于计算可视化的教学方法可大幅提高可靠度课程的学习效率和学习获得感,为土木工程可靠度理论的教学提供了一个行之有效的方法。
-
市政工程领域工程伦理案例库建设与教学实践
首先,通过对工科院校专业学位研究生“工程伦理”课程教学目标及教学现状进行分析,提出案例库建设的必要性;其次,基于给水工程、排水工程、建筑给排水工程、给排水管网及水环境生态修复等五个子领域构建市政工程领域工程伦理案例库;最后,通过案例库的教学实践与教学反馈,探讨案例库建设的价值所在。结果表明,市政工程领域工程伦理案例库的建设推动了专业学位研究生培养模式的改革,能够活跃课堂氛围、提高师生双向互动频率,促进学生深入理解、掌握理论知识并将其灵活应用于工程实践中,有效提升学生理论联系实践的综合能力。因此,这对提高市政工程领域专业学位研究生工程伦理意识、积极履行社会责任具有重要意义,且可为其他专业学位研究生案例库建设与教学实践提供参考。
-
智能建造专业新型数字化教学模式研究
推动建筑产业改革、发展、升级,需要大力推进“新工科”建设,培养创新型人才。北京工业大学率先开展智能建造专业建设的研究和实践,提出了一种适用于智能建造专业的基于新型教学平台的综合性数字化教学模式。学校确定了智能建造专业的人才培养目标,并对课程集群建设进行了探究,打造了智能建造专业集群课程体系。依托学校学科优势和科研实力,立足于学习过程,以“面向完整任务”为教学核心,筹建了新型教学平台。依托于新型教学平台,分别从技术层面、软件层面和硬件层面对教学模式进行了改革,提高了教学质量。同时,完善了学生的知识架构,提高了他们的逻辑思维能力,为其培养出一批符合新的时代需求的创新型专业技术人才提供了支持。
-
高校本科教育小班研讨课推行障碍因素与策略研究
实施小班研讨课,是提升高校本科教育人才培养质量、创建一流大学的重要举措。采用文献研究法、专家咨询法,本文系统分析影响高校小班研讨课实施的障碍因素;运用解释结构模型(ISM),确定阻碍其实施的核心问题与主要障碍因素。研究认为,中国推进小班研讨课,尤为重要的是进一步转变本科教育发展理念,加大政策与资金支持力度;进而促进高校各层面的重视与全方位变革。在此基础上,提出推动小班研讨课的对策,为政府、高校推行小班研讨课找到切入点。
-
多元混合理念下建筑设计在线教学探索与实践——以校园建筑设计课程为例
“互联网+”背景下信息技术与教育教学深度融合是大势所趋,依托信息技术开展的在线教学正向新常态转变。以建筑学专业主干课程《校园建筑设计》课题为实证研究对象,基于混合式学习相关理论,综合建筑设计教学特点与线上线下教学优势,依托优质网络教学平台从课程目标、教学任务、教学组织、教学内容和教学评价五个方面,开展了在线多元混合建筑设计教学探索与实践。实践成效分析表明,多元混合理念下的在线教学能有效激发学生学习兴趣,促进系统性建筑知识建构和创新设计思维能力提升,可为后疫情时代建筑设计乃至其他设计类学科在线教学设计提供实践经验,同时对建筑学一流本科课程建设具有积极促进作用。
-
基于职业性与学术性统一的专业硕士学位职业性教育研究——以重庆大学全日制土木水利专业学位点为例
当前,我国全日制专业学位研究生的培养还存在与学术型学位研究生培养没有显著区分、导师职业性素养缺失、重学术性培养轻实践性培养、缺乏有效评价体系等问题,严重制约了专业学位研究生教育的发展。为适应新时期我国社会经济发展对高层次应用型专业人才的迫切需求,基于职业性与学术性统一的原则,通过培养管理实践,搭建校企协同育人的研究生联合实践基地,为专业学位研究生实践教育提供平台;构建专业学位研究生双导师制,打造高水平、稳定的校外企事业单位工程实践能力强的导师团队,为研究生的职业性培养提供基本条件;拓展学生专业实践训练平台,提高专业学位研究生的职业能力;构建职业性与学术性统一的学位论文评价体系,将专业学位研究生的职业性教育落到实处,以期提高专业学位研究生教育的职业性培养,进而推动专业学位培养模式的有效发展。
-
以智慧建造为引领的地方院校传统 土木工程专业改造升级探索与思考
新一轮科技革命和产业变革对建筑行业的形态、分工及组织方式产生了巨大影响。地方高等院校土木工程专业作为为地方、国家建筑行业培养专业人才的重要基地,如何在这百年未有之大变局中对传统土木工程专业进行改造升级,培养适应新时代产业发展需求的人才是亟需思考并解决的问题。本文主要呈现本专业在新工科背景下地方院校传统土木工程专业改造升级过程中的一些探索与思考,以期在不断提升本专业建设水平以及我省建筑行业的技术水平和影响力的同时,能为其他地方院校土木工程专业改造升级提供参考。
-
问题导向与成果导向相融合的教案设计——以钢筋混凝土结构设计原理课程为例
《钢筋混凝土结构设计原理》课程章节和学习内容较多,如何进行合理的课程教案设计已成为教好这门课的主要问题之一。首先基于问题导向,总结各章节教学内容需要解决的关键问题;然后基于成果导向,以问题导向中的各个关键问题为教学成果,展开各个章节合理的教案设计;最后将《钢筋混凝土结构设计原理》课程中的主要章节内容整理成易于教学的教案,预计将提升教师的教学能力和提高学生接受知识的能力。本文所提的问题导向与成果导向相融合的教案设计方法将为土木工程专业其它相关课程的教案设计提供参考。
-
财经类高校工程管理专业BIM课程体系构建研究
财经类高校缺乏工程技术专业背景支撑、实践教学环节不扎实,迫切需要将BIM技术融人到工程管理专业教学中,而BIM课程体系如何构建成为难点。国内外大学BIM课程开设情况、财经类高校专业教学优缺点及文献研究表明,财经类高校工程管理专业BIM课程体系应以有效提高工程技术理论课程教学效果、与工程经济管理核心课程充分融合、用课赛实训夯实实践教学环节为主要目标,设置BIM基础理论与软件操作课程群、工程技术理论辅助课程群、工程经济管理融合课程群、综合实践应用提高课程群,形成将理论和实训融为一体的“1+3”BIM课程体系,为财经类以至师范农林类高校工程管理专业BIM教学课程体系构建提供具有指导意义的思路和方法。
-
基于“四轮驱动模式”的大学生创新能力培养模式研究与实践
张营营, 叶继红, 喻秋, 贾福萍, 范力, 杜健民, 李贤
立德树人是高校的根本使命。本科阶段是科研创新型人才培养的关键时期,而学科竞赛是提高本科生科研创新能力、培养创新型人才的重要环节。基于中国矿业大学力学与土木工程学院的多年实践经验,论文提出了以“学科竞赛+课程建设+大创项目+制度保障”四轮驱动模式的大学生创新能力培养模式。这能够多层次、递进式地培养大学生创新实践能力,也能够有效鼓励学生个性化发展,促使人才培养质量从“单一型、封闭型、知识灌输型”向“复合型、开放型、能力创新型”转化。真正树立起开拓创新的科学理念,最终达到“知识和技能传授”与“科研创新素质培养”并重的教学目的。
-
工程教育认证背景下的城市地下空间工程专业课程教学设计——以《城市地下空间规划与设计》为例
在工程教育认证的背景下,工程专业的专业课程教学也应及时转变理念和改变模式,开展符合工程教育认证理念的课程建设工作。以《城市地下空间规划与设计》课程为例,介绍了城市地下空间工程专业课程的教学设计作法。首先对专业人才培养的顶层设计进行了分析,探讨了该课程的定位和任务;之后根据行业发展的需求,构建了相应的课程知识体系;最后采用面向产出的模式,对课程进行了教学设计。论文所做的探索和实践工作,为工科人才培养工作中的专业课程建设和教学工作开展提供一定的参考和借鉴。
-
面向“职业素养”的《建筑设计基础》教学思路与实践路径研究
培养学生职业素养并强化综合能力,是高等教育的重要使命之一。本文以重庆交通大学建筑类专业《建筑设计基础》课程为研究对象,在职业素养视域下梳理现状并反思问题。明确教学目标,树立教改思维。重新整合更新以素质培育和能力锻炼为导向的教学路径,并进一步建构集系统性、公平性、合理性、激励性为一体的评价体系。形成具有一定针对性和前瞻性的本科建筑学基础设计课程体系。
-
基于本体论的《钢筋混凝土结构设计原理》教学内容的贝叶斯拓展
《钢筋混凝土结构设计原理》课程具有概念多、内容多、符号多以及公式多的特点,因而如何对这门课程进行有效的学习、教学以及拓展就成为《钢筋混凝土结构设计原理》教学改革的重点内容。引入本体论的哲学概念和本体模型的建模步骤,将《钢筋混凝土结构设计原理》课程的主要教学内容与本体论融合起来,通过建立《钢筋混凝土结构设计原理》课程各主要教学内容的精细化本体模型。考虑到贝叶斯思维可以更新和提高人们对客观世界的认识水平。结合《钢筋混凝土结构设计原理》主要教学内容的本体模型,结合服役钢筋混凝土构件的相关信息,采用贝叶斯方法,实现本体模型的拓展,加深学生对课程内容的掌握和拓展了解,达到学生专业认识能力和教师教学质量的提升,为土木工程专业的相关课程提供一种新的可供参考的教学方法。
-
交通特色型工程造价专业人才培养目标及路径
人才培养目标及培养路径是回答培养什么人和怎样培养人的关键。作为国内最早开办工程造价专业(方向)的“双一流”高校之一,西南交通大学基于自身鲜明的交通特色,遵循“双一流”与“新工科”下的学科和专业一体化建设要求,顺应工程造价专业发展趋势,确立了“卓越应用+科研创新”复合型工程造价专业人才培养目标,同时构建目标实现矩阵,提出了工程全周期造价全过程四级能力进阶、四维实践模式、师资结构复合、政产学研用协同育人、持续改进机制的实现路径,为工程造价专业建设特色化提供了可资借鉴的改革方向与实践经验。
-
《城乡生态与环境规划》课程考评体系研究
中文:基于《城乡生态与环境规划》课程和主干设计课程对比的视角,结合目前课程考核评价的弊端提出构建具有课程自身特征的综合考评体系,旨在突破设计思维的惯性,以考评为途径探索实现多元能力培养的新教学模式。首先,梳理课程区别于设计课程的教学重点、教学目标、教学过程和教学思路;其次,以促进考评过程明晰化和评价结果科学化为方向构建考评体系;最后,从教学资源结构、教学环节组织、课程成果要求和教学进度控制四个方面提出保障考评体系实施的教学路径。
-
应用型本科院校土木工程专业施工课程的“课程思政”建设
“课程思政”建设是推进教育现代化、建设教育强国的需要,对培养社会主义建设者和接班人具有重要的现实意义。立足应用型本科院校,以土木工程专业施工课程为例,在分析其“课程思政”建设必要性的基础上,从施工课程教师的思政修养建设、施工课程教学内容中的思政元素挖掘和融入“课程思政”的施工课程教学设计与组织三个方面探索“课程思政”的建设。
-
信息技术支持下智慧课堂教学模式改革探析—— 以《工程地质》为例
针对应用型本科院校现阶段教学模式存在的问题,从教学过程、教学形式及教学评价三个方面进行了策略分析,具体从教学目标、教学模式、教学活动、教学评价等方面提出相应教学改革建议,提出一种信息技术支持下的智慧课堂教学模式。该教学模式基于信息化视角下的智慧课堂,借助新一代信息技术,结合现代信息化手段,使课堂与智慧工具有机结合,构建出数字化、智能化的现代化课堂环境。将其应用于《工程地质》课程中,实施对象为城市地下空间专业学生,同时施行“课前—课中—课后”的教学过程。该教学模式借助超星学习通平台实施,在具体课程完成后调查分析其应用效果,结果显示,该模式在充分体现了智慧课堂先进性的同时取得了优秀的教学成果,且改变了学生的学习状态,提高了学生的综合能力,有助于培养“智慧型”学生。
-
导师视角下来华留学研究生培养模式研究
随着“一带一路”战略地不断推进,我国吸引了大批海外留学生来华学习专业知识。为保障来华留学培养质量,探索来华留学生的培养模式意义重大。以东南大学土建交方向为例,通过问卷调研从留学生导师视角分析了来华留学研究生培养模式在入学形式、培养目标和培养方式三个方面存在的问题,主要表现为:“趋同化”理解不正确、导师作用被忽略、缺乏沟通机制、入学标准不明确、课程体系不完善、教学方式落后等,并提出应当坚持“适度趋同”,提高留学生导师参与度,构建合理有效的沟通机制,严格把控入学关、改革课程教学体系,以推动来华留学研究生教育高质量发展。
-
建筑电气与智能化专业多校联合毕业设计实践与研究
毕业设计对培养建筑电气与智能化专业学生综合运用所学基础理论、基本知识、基本技能和解决实际问题的能力,具有十分重要的作用。联合毕业设计不仅能促进不同高校之间的交流,同时也能夯实本专业的建设,扩大专业影响力。论文通过分析建筑电气与智能化专业联合毕业设计实践7年的教学模式,探讨高校-高校、高校和企业等主体与各协同体互动式教学实践,针对存在的问题提出相应的建议,以实现多方机构互惠共赢,推动师生之间的教学相长,落实教育资源共享共用理念,推进协同育人多维度实践教学模式的创新。
-
实践育人的新时代意涵、现实际遇及实现路径*
学校实践育人是新时代教书育人工作的重要组成部分。深刻理解实践育人的核心内涵,明确新时代学校需要传承实践育人的哲学智慧,掌握实践育人的教育规律,依托实践育人开展思想政治教育工作。当前学校实践育人存在着目标定位不清,重视程度不够,机制体制不顺,内容形式单一等现实境遇。提出学校要紧紧围绕培养担当民族复兴大任的时代新人的重大命题,科学的做好实践育人的顶层设计,构建多维联动的协同育人机制,高度重视实践育人的内涵发展,为学生开出丰富的实践菜单,培养担当民族复兴大任的时代新人。
-
协同论视角下《中国风景园林史》教学体系优化
《中国风景园林史》作为风景园林专业核心课程,具有探讨赓续本相,以启未来的重要价值。而在专业内涵与外延不断拓展的学科背景与历史作为思维方式的实践需求下,其教学体系有待不断优化。通过调研分析归纳当前该课程教学存在大纲框架“揣小失大”、案例解析“情理两分”、授课方式“重讲轻践”现实问题。基于协同论视角提出了以三系交织优化知识结构、情理相融深化认知模式、关联实践形成历史思维为途径来优化教学体系。通过教学实践成果反馈,认为学生能够突破传统视角对整体环境关注,被动接受式的学习方式得到根本改变,递进式实践体系的建构与实施促使其风景园林历史思维的养成。
-
组合结构课程教学改革与思辨能力培养的行动研究
思辨能力是工程类新型人才培养方案当中一个重要的组成部分。过去以知识传递为中心的传统组合结构课程教学模式容易使学生局限于“生搬硬套”、“死记硬背”式的被动学习,这一教学现状与土木工程专业本科工程教育认证的培养理念背道而驰。以《组合结构》课程的实际教学内容为依托,对土木工程专业本科学生思辨能力的提升机制从教学设计、教学法和学习绩效评价做行动研究。教学内容选自《组合结构》教学课程中遇到的实际问题。教学过程中以学习共同体的方式,对遇到的工程问题进行分析、推理、判断、评价和反思。学习绩效评价从模拟实际工程应用的角度,在课堂教学中使用对比教学法,引导培养学生对工程问题的综合识别、分析、判断、评价,作为提升土木工程专业本科学生综合素质的有效途径。
-
信息技术支持下的课程思政教学模式与实践研究——以工程力学课程为例
信息技术给高等教育教学带来巨大的冲击。培养德才兼备的高质量工程类人才,探究信息技术支持下的课程思政教学模式,实现专业课与思政课协同育人具有十分重要的意义。厘清课程思政的概念和实践意义,经过四年的课程思政教学实践,总结出工程力学课程思政教学实践中存在学生的参与感相对较低、课程思政运用的教学手段相对传统、课程思政开展的教学环节相对单一等问题。针对上述问题,明确工程力学课程教学内容各模块的能力目标、知识目标与育人目标,并提出多媒体的利用和微课的制作以提高课程思政学生参与感、桥梁模型的加载比拼与有限元软件的模拟分析以创新课程思政展现形式、学习通的加入和新媒体平台的融合以丰富课程思政实施手段等对策。最后,以梁的合理设计这节课为例,通过教学设计详细说明基于信息技术支持下的工程力学课程思政教学模式。
-
基于OBE理念的海洋工程地质虚实结合实训教学探索
海洋工程地质是土木工程、地质工程等本科专业基础课,探索课程的实训与实践教学体系是新工科建设和“一流学科”建设的重要内涵之一。基于成果导向教育(OBE)理念,开展“学生为本、目标导向”的教学思想转变,“反向设计、正向实施”以及虚拟仿真和实际操作相结合的“虚实结合”等教学形式的改革与创新;以工程单位对该专业毕业生的需求为目标导向,重新设计海洋工程地质的课程目标与内容设置、教学形式与方法、以及多元化能力考核与评价等环节,并初步探索校企合作、协同发展,共建海洋工程地质实践基地的新模式;提高教学质量、激发学生创新创业能力。
-
建筑结构技术发展史概述及其教学框架探索
建筑结构作为建筑学、土木工程学等专业教学体系的一部分,一直以来侧重以工科思维向学生传授结构概念及原理;而建筑结构技术发展史则是结合历史学,展示其动态发展的全过程,不仅涵盖了不同类型结构基本原理的讲解,同时涉及材料选用、发明创造、历史人物、体系构建、地域文化等多重视角的深入解读。以东南大学建筑学院建筑技术与科学研究所近年来为硕士研究生开设的建筑技术发展史课程为契机,以其中“建筑结构技术发展史”课程相关教学探索成果为基础、结合相关文献资料与学科知识,整合并串联起建筑结构技术发展史的脉络。一方面,为高等建筑院校建筑学专业学生的结构课程教学提供了一种全新视角;另一方面,为建筑技术发展史系列教学体系添砖加瓦并注入新时代的活力。
-
道桥专业开放实验平台构建模式探索
实验教学作为高等院校教学工作的重要组成部分,特别是对于地方应用型高校而言,其对学生分析解决问题能力和正确思维方法的锤炼起着不可替代的作用,是培养大学生实际操作能力、创新能力、实践能力和创业精神的重要途径。以湖北文理学院土木工程与建筑学院道桥实验室为例,指出了当前本科实验教学存在的问题,开发了集试验项目选定、在线课程云共享和实验仪器预约于一体的开放实验智能综合管理平台,构建了鼓励师生工作热情的双选末尾淘汰体系,完善了侧重学生动手能力表现的课程评价机制,建立了师-生全覆盖的专项安全管理制度,激发了学生的实践动手能力和创新潜质,提高了实验设备和教学资源的利用率,为更好地培养应用型专业技术人才打下坚实基础。
-
土木工程专业课程思政教育实践探索 ———以土力学课程为例
统筹推进专业课程与思政课程的相互融合,将思政教育有机融入专业教育教学全过程,发挥好每门课程的育人作用,是近年来我国思想政治教育的新举措、新尝试,是全面提高人才培养质量的重要任务。以土木工程专业核心课程土力学为例,在全面厘清课程体系的基础上,根据学院土木工程专业育人目标定位和土力学课程思政教育教学目标,确定土力学课程思政建设路径,深入挖掘与课程内容相关的思政元素,凝练本土化的典型工程案例,将其有机融入到日常教学环节中,使学生在掌握专业基础知识的同时,得到社会主义核心价值观教育的感染和熏陶,实现“知识传授”和“价值引领”相融合,形成土力学专业课程教育与思想政治教育的协同育人效应,成为思想政治教育育人的有效补充和辅助力量。
-
新工科背景下港航专业实践教学中的思政教育探究
新工科是在新经济、新产业背景下应运而生的教育新模式,在理论教学和实践教学的交叉螺旋进行中,促进学生的全面发展,将社会责任感、历史使命感、工程意识、实践能力、创新精神和工匠精神的培育渗透到高校工科教育的每个角落,坚持把培养社会主义建设者和接班人作为教育的重要使命。作为工科教育“半壁江山”的实践教学,与理论教学一样承担着思政育人的责任和义务。在高校新工科建设的背景下,针对港航专业实践教学环节中课程思政的建设现状和存在的问题,同济大学港口航道与海岸工程专业在新工科建设要求指导下,对专业实践教学环节中的基础必修类和进阶类的课程进行思政总体设计,提炼思政元素,构建实践教学中的思政教学体系,建立育人效果评价体系,并结合培养计划和新工科立德树人根本任务展开案例分析与讨论。
-
从三螺旋到三链协同的产教融合机制与实践
在深化产教融合、协同育人的改革中,存在不同程度的“学校热、企业冷”等现象。为此,重庆大学房地产开发与管理专业构建了基于三螺旋理论的“三链协同”人才培养体系,以创新创业型人才的培养为目标,系统整合课程链、人才链和产业链,以“产业链”引导“课程链”,以“人才链”匹配“产业链”,以“课程链”关联“人才链”。在“一流专业”建设过程中,逐步探索并实践了“全程、深度、共赢”的校企合作卓越人才培养模式,建立了企业全程深入参与人才培养的“四大通道”,构建了“七维一体”的企业全程深度参与路径,通过校企共建优质教学平台,优质资源导入与共享,企业参与人才培养全过程等途径具体实施,为产教融合、校企合作改革提供了可借鉴的范式。
-
“课程思政”背景下工程伦理教育问题与对策探究-以土木工程专业为例
基于我国高等教育改革的一项重要举措-思政教育融入专业课程教学,从工程伦理教育的现状及存在问题出发,以土木工程专业为例,以立德树人为根本,以专业为载体,以学生为中心,以实践为导向,从教育模式、教育理念、教学内容和教学方法四个方面提出工程伦理教育融入策略,并在《混凝土与砌体结构》课程中进行实践。实践表明,工程伦理教育和思政教育与专业教育有机融合、协同促进,有效达成“知识传授、能力培养、价值塑造”育人目标,育人质量显著提升。
-
工科课程论文参考文献引用情况分析
创新实践能力培养需要在前人的研究基础上开展,前人的研究工作对工科大学生渐进式创新具有重要意义。以中国矿业大学建环专业《学科前沿》课程为例,介绍了课程的基本情况以及学生在完成课程论文时文献引用情况;基于对近3~5年文献的引用数据,揭示学生对新文献的重视程度;通过对比中外文文献引用情况,指出国内学生在整理论文时不注重搜集国际前沿研究发展的事实,并给出了可能的原因。最后,对工科大学生论文写作过程中参考文献引用情况进行了总结,并给出了部分建议。
-
[1]理工科院校通识教育困境的思考及教学模式探索
当前全国各高校正在全面推进课程思政建设,而通识课程是课程思政建设的重要载体,具有鲜明的价值观塑造功能。通识教育贯穿于整个大学教育的全过程,可培养学生的人文修养、道德情操、社会责任等综合素质。理工科院校在推进通识教学的过程中面临着一系列问题,主要体现在通识课程教学管理体制与激励机制、课程内容架构、教师团队建设、通识与专业教育矛盾、教学方法等方面。理工类院校可以通过一系列的通识教育教学改革克服困境,健全管理制度,加强通识课程的顶层设计、师资培训、通专结合以及教学模式探索,充分利用互联网+工具,提高学生课堂教学参与度,提升通识教育教学质量。以高校土木工程专业核心通识课--地铁文化漫谈为例,探讨了克服通识课程教学困境的教学思路,分享了“以学生为中心”的互动式教学方法,探索了理工科院校通识课程的教学模式,为推动理工科院校通识教育课程建设提供一定的借鉴、指导和参考。
-
后疫情时期混凝土结构课程混合式教学模式的构建与实践
《混凝土结构》是一门具有较强理论性和实践性的土木工程专业核心课程。以“互联网+教育”深度融合的后疫情时期为背景,在已有研究成果和调研的基础上,结合当前教学现状,分别从混合式教学目标的明确、线上和线下教学内容的重构、教学方法的创新、考核方式的改进、教学质量评价体系与持续改进机制的构建等方面,开展《混凝土结构》课程教学改革与实践创新研究,为后疫情时期线上线下混合式教学常态化开展与持续改进提供参考。
-
基于多目标的未来桥梁工程师培养与课程体系建设
课程体系是大学人才培养和实现既定培养目标的主要载体。在总结美国、德国、前苏联的工科人才培养模式以及我国工程教育发展历程的基础上,结合我国的教育国情以及目前的交通行业发展需求,提出了未来桥梁工程师纵向三级人才培养和横向不同桥梁专业人才培养的“多目标”培养思路,并分析了其与我国高等学校土木工程专业本科教育培养目标、国际CDIO工程教育理念、行业人才培养需求的一致性;最后,建立了基于中南大学“通识教育+学科教育+专业教育+个性培养”这个纵向链条的桥梁工程本科教学课程体系,并制定了桥梁工程专业横向课程群,完整构建了三级人才和不同桥梁专业人才的培养模式,从而可实现基于多目标的未来桥梁工程师培养。
-
新工科背景下力学创新实验教学体系探索
力学是工科的重要科学基础,力学创新实验是深化认识力学理论、有效联结工程技术的重要载体,新工科建设迫切要求力学创新实验教学体系的革新。从力学创新实验教学的现状和不足出发,立足国家战略技术与产业需求,突出行业特色,注重跨学科交叉融合,将基础力学知识与专业核心课程相结合,构建了“工程技术前沿-创新实验项目-创新成果产出”逐级提升的研究型实验教学体系,设计了力学创新实验教学的总体实施方案,显著提升了工科学生“创意-创新-创业”一体化的意识与能力。
-
“双基地协同驱动”的乡村实践教学改革与人才培育思考
面对乡村振兴战略规划先行、设计服务下乡的要求,在这一新形势下城乡规划专业亟待进行实践教学改革。围绕加强乡村规划教育的发展需求,在分析西安工业大学城乡规划专业乡村实践教学现状与问题后,搭建了乡村实践教学基地与设计服务下乡基地(简称“双基地”),探索在“双基地协同驱动”下如何更好的推进乡村实践教学与人才培育的基本思路和做法。在乡村实践教学改革上,形成了“一个转变+一个联动”,一个转变为传统教学基地模式向双基地协同模式转变,一个联动为专业乡村实践教学改革与人才培育探索与国家乡村振兴战略和政策实现有效联动;在专业人才乡村规划教育培育改革上,尝试形成了“三结合+一条线”培育模式,三结合为“实践教学+社会服务”相结合、“专业教师+专业导师”双师协作结合、“城乡规划专业学生+乡村志愿规划师”双角色实践结合,一条线为认识一个乡村、了解一个乡村,规划设计一个乡村、服务一个乡村等不同能力培育阶段的有效衔接和整合,以期对规划专业乡村实践教学改革有所启发。
-
高等工程热力学“四位一体”教学模式探讨
“新工科”建设大力推动了我国高等教育教学改革,是助力高等教育强国建设的重要举措。高校应从培养目标、教育理念、教学模式全方位深化教学改革,而加强学生工程应用能力的培养是高校深化教学改革的重要组成部分。高等工程热力学是一门工程应用性强的基础理论课程,将其作为研究生理论联系实际能力培养的一个重要切入点,贯穿“新工科”人才的培养理念,探讨了前沿教学拓展、工程案例设计、专题项目探究、综合能力考核“四位一体”的高等工程热力学教学模式。这种“四位一体”的教学模式,培养了学生自主学习和探究的兴趣,形成了师生交流融合的学习研究共同体,建立了教学相长、教学和科研相互促进的研究生工程创新能力培养的实践平台,提升了学生工程应用和创新能力。
-
《土木工程概论》课程思政教学设计与实施
《土木工程概论》是讲述土木工程发展历史、各类土木工程对象、土木工程基本活动、土木工程师职业等知识的基础课程,课程内容决定了社会主义核心价值观、家国情怀、国际视野、创新思维、专业伦理、建设强国、工匠精神等相关德育元素特别适合于贯穿于课程的讲授中。论文论述了课程思政的目标,针对具体内容进行了课程思政映射点的教学设计,并从在“诗情画意”中进行课程思政、在“间接实践”中进行课程思政、在“人文情怀”浸润中进行课程思政三个方面详细分析了课程思政的实施方案。
-
土木工程专业硕士培养现状研究
为推动土木工程专业硕士培养模式的深化改革,以重庆大学土木工程学院土木工程专业硕士为研究对象,调查了目前土木工程专业硕士的培养现状;从课程设置、导师制、专业实践等方面,总结了目前土木工程专业硕士培养现状;并对相关问题提出相应的对策,为土木工程专业硕士培养助力。
-
需求导向下基于“两性一度”的园林专业课程体系构建研究
在教育部建设一流本科专业要求的背景下,农林院校园林专业在更新课程体系时面临着更高的要求。文中溯源了农林院校园林专业的发展特点,结合“双万”计划中“两性一度”标准对建设一流专业、一流课程的要求,梳理了以“林学专业类”为特色且融合“建筑学类”专业标准的课程体系特点和要求。在此基础上,运用TOPSIS熵权法对以需求为导向的安徽农业大学园林专业课程体系构建的合理性进行分析,得到总体课程体系、主干课程体系和创新实践课程体系的最优理想解,并与构建的课程体系进行对比,所得结果证明其整体认可度高。进一步证实该农林院校园林专业课程体系科学性,达到以“新农科”特色结合多学科交叉的多元化教学的要求,实现了培养目标。
-
建筑冷热源课程混合式教学的探索与建设
互联网助力的混合式教育解决方案,是推动教育快速高质发展、促进教育事业进步的有效途径。本文基于雨课堂平台构建的线上线下“混合式学习”模式,对“建筑冷热源”课程进行了教学改革与探索,从培养模式改革、过程培养优化以及成绩评价方式构建三方面对传统教学模式进行了改革,探索了“建筑冷热源”课程混合式教学培养体系的主要路径,锻炼和培养了学生的自主学习能力,旨在为加强学科建设和深化教学改革提供参考与借鉴。
-
BIM在建筑电气与智能化专业教学中的应用
BIM(Building Information Modeling,建筑信息模型)是智慧城市基础设施数字化的关键技术,其人才缺失严重制约了建筑业转型升级与智慧城市建设。而现有的BIM课程及教学体系主要面向建筑设计与施工管理,已无法满足国家、行业和市场对大数据、人工智能等新一代信息技术和“建筑+城市”BIM复合型人才需要。为此,本文构建了面向BIM技术的教学平台,设计了面向大数据和人工智能的BIM应用的综合教学方案,在国家级一流专业“建筑电气与智能化”进行了教学实践,学生课程体验值较高,达到了提升BIM教学水平的目的,为同类专业在BIM复合型人才培养方面提供参考。
-
普通本科院校多高层结构设计课程改革与实践
结合学生问卷调研结果和课题组多年授课经验,针对土木工程专业“多高层结构设计”课程当前面临的问题和教学改革现状进行了阐述和分析,并结合普通本科院校特点提出了“模块化反例教学法”的改革思路,教学内容按照结构类型重新进行模块化分割,教学方法以自主提出的反面案例法和问题法为主,考核方式借鉴国家“注册结构工程师专业资格”考试的模式,以产出为导向,形成性评价与综合性评价相结合。通过近两年教改方案的逐渐展开和不断尝试,尽管学业成绩效果还有待进一步提高,但课堂效果和学习氛围得到了实质性的改善,验证了其可行性和良好的应用前景。
-
以习近平新时代中国特色社会主义经济思想统领《房地产管理》课程教学内容的创新探索
中文摘要:课程思政是落实党对高校思想政治工作主导权、培养时代新人的有效途径,正在众多高校如火如荼推进。华中科技大学《房地产管理》课程教学团队经过多年摸索实践,找到了课程思政隐性育人的普适性路径和针对性举措,并通过专业课堂教学“守好一段渠、种好责任田”,为党育人为国育才、培养社会主义建设者和接班人取得一定成效。然而深入研究发现,面向公共事业管理专业、政治学与行政学专业开设,旨在培养国家机关及其组成部门新生力量的《房地产管理》课程仅仅追求隐性思政显然不够,必须实现显性思政、显性育人、有声育人、旗帜鲜明育人。当前,宣传贯彻落实习近平新时代中国特色社会主义思想显然是《房地产管理》课程思政的首要任务、压倒性任务。本文提出以习近平新时代中国特色社会主义经济思想统领《房地产管理》课程内容体系的创新思路,并根据“七个坚持”的理论骨架厘定本课程的章节框架和具体内容。本文对众多管理类课程深入推进习近平新时代中国特色社会主义思想入脑入心,教化广大学生成为习近平新时代中国特色社会主义思想坚定信仰者、忠实践行者、积极传播者,具有重要参考价值。 中文关键词:习近平新时代中国特色社会主义经济思想;《房地产管理》课程;课程思政
-
变式教学法在体系几何组成分析教学中的应用
在结构力学课程平面体系几何组成分析的教学过程中,发现学生对本章几个关键概念掌握程度较差,会影响几何组成分析的解题正确率。为提高几何组成分析相关概念的教学效果,基于知识可视化和认知负荷理论,提出利用结合图示的概念性变式教学法对虚铰、铰接三角形和二元体等概念进行讲解的教学方法。在总结以往学生做题错误的基础上,增加这三个概念的非概念变式和概念变式的图示,可降低学生学习概念时的认知负荷、促进形成长时记忆,从而使学生在学习概念的初期就能多角度理解概念的本质特征、辨析概念的内涵和外延。通过调查学习效果表明,结合概念性变式教学法可提高学生对体系基本组成分析重要概念的掌握程度,有助于正确地进行体系几何组成分析。此外,概念性变式还可以培养学生的独立概括概念特征的思维能力。
-
基于产业导向的数字化建模与仿真人才培养模式研究--以《工程流体力学》教学为例
《中国教育现代化2035》聚焦教育发展的突出问题和薄弱环节,指出要推动教育与产业发展有机衔接、深度融合,丰富并创新课程形式。数字化建模与仿真是信息技术能力培养的关键内容,其能力的培养对高等院校在新时期下的教学改革具有重要意义。当前应用型大学在数字化建模与仿真人才培养上已经滞后于企业的人才需求,这要求相应高校以产业需求为导向在具体的课程内容上进行教学改革。《工程流体力学》为仲恺农业工程学院的“校级优秀课程”,在提升人才培养质量上发挥重要作用。教学团队积极利用现代信息技术,引入计算流体动力学仿真“三层次”教学方法,通过讲解和带领学生操作由浅入深的工程实例,为进一步提升课程和产业需求的适配性奠定基础。
-
基于基因植入式的《钢结构基本原理》课程思政一体化教学设计与实践
在“新工科”建设背景下,如何突出高等教育的“育人导向”,把隐性的思政教育有机融入工科学生的专业课程教学中,实现理论知识教育同社会价值观教育水乳交融、同频共振,是近年高校课程教学改革面临的主要难题。本文以土木工程专业的《钢结构基本原理》课程为例,通过“基因植入”方式将红色基因、爱国基因、工匠精神、工程伦理等课程蕴含的思政元素和承载的思政功能“润物细无声”地植入课程的教学内容、教学方法、教学设计和教学评价等各个基因环节。全过程、多角度、多维度引导推进,促进思政教育与课程教学目标、教学要素与教学过程的深度融合,构建了课程思政一体化教学新模式。
-
面向绿色建筑创新人才培养的建筑光学课程教学内容与课程体系改革研究
为了培养具有较强创新思维能力,多学科交叉融合的绿色建筑创新人才,需对现有相关课程教学内容与课程体系进行改革。以建筑光学课程为例,结合重庆大学前期课程建设及研究基础,以绿色建筑创新人才培养为导向,开展课程教学内容与课程体系改革研究。通过课程体系重构、教学手段变革、教学模式拓展及评价方法优化等方法与措施的研究,进而构建创新人才培养体系,促进多学科交叉融合与协调发展;建立产学研一体化及校企合作平台;加强实验平台建设,强化学生动手能力;建立学科竞赛培养指导体系,增强学生综合能力。该研究可实现绿色建筑人才培养模式的创新,打破学科壁垒,促进学科融合;对绿色建筑创新人才的培养具有重要意义。
-
城乡规划专业英语课程教学改革探索
当前国际化信息化的时代背景对城乡规划专业英语课程教学提出了新要求,针对这一课程教学内容和方式的改革势在必行。本文以重庆大学城乡规划专业英语课程教学为例,通过梳理其当前教学中缺乏系统课程设计、未能有效推动专业知识的学习及与基础英语课程重复等问题,提出这一课程应注重专业知识而非语言传授为主的教学原则,以及培养学生英语思维及利用英语技能自行探索专业知识这一能力的教学目标。在此原则和目标指导下,本文提出应从教学层面完善课程系统设计、引入新兴知识及培养英语思维、强化专业知识的传授并积极处理好与基础英语课程的关系,同时可通过拓展现有教学方式、推动交流与总结并利用新兴网络教学平台等手段实现教学改革,以满足当前时代对城乡规划专业英语课程的要求及有效发挥这一课程对其他相关课程的辅助及支撑作用。
-
中外合作办学模式下高校“三全育人”协同机制优化探析
中外合作办学作为我国高等教育的重要组成部分之一,承担着培养国际化人才的重要使命。在高校“三全育人”协同育人机制顶层设计缺位、协同育人主体孤立脱节、协同育人平台联动不足的大背景下,中外合作办学院校应结合自身特点,以立德树人为导向,以马克思主义理论为指导,通过顶层设计落实育人责任,整合社会资源,引入科学的评价机制等途径等,打造多层次的育人体系,优化“三全育人”协同机制,开展全员、全方位、全过程的通力协作。在教育理念、平台、制度、资源等多个维度协同推进“三全育人”,形成联动育人、精准育人、阵地育人、社会实践育人合力系统与良好的教育机制。推动中外合作办学模式下的思想政治教育更加科学化、规范化和高效化,为培养具有浓郁的家国情怀、宽广的国际视野、深厚的专业基础、突出的创新实践能力的现代化人才提供理论基础和实践指导。
-
探寻工程伦理教育与学生的交集——兼谈若干认知误区
伦理教育有望在立德树人以及工程人才培养中发挥“丝绸之路”的功能。工程伦理教育需要聚焦其与学生生活、学习和入世之间的交集,增强学生参与。首先,构建学生身边的社会现象以及工程经历与伦理的联系,消弭隔阂;其次,透过工程伦理的道义考量和价值判断,慎思明辨,塑造学生工程的大局观,开阔胸襟与视野,为个人学业和专业发展提供镜鉴、启迪、前瞻;最后,从传统文化经典中探寻伦理传统、风险意识和系统工程思想,促进传统与现代伦理的对话、共鸣。相关探索和努力旨在帮助学习者意识到伦理学习的价值跟意义所在,以期提升学习兴趣和伦理敏感度。
-
桥梁技术状况评定虚拟仿真实验实践与探索
利用Unity3d、WebGL技术、OpenGL技术、3D仿真技术,开发了基于桥梁工程病害阈值控制指标识别的《桥梁技术状况评定虚拟仿真实验》项目。应用《桥梁技术状况评定虚拟仿真实验》教学系统,构建覆盖实验“预习、实施、复习、考核”全过程的“虚实结合”实施流程,既可较好解决单一实体实验由于“成本”、“安全风险”和“进度安排”的限制而致“病害检测操作复习难、考核难,公路桥梁组成构件空间分布位置再现难,技术状况评定示教效果差”等问题,还可增强学生在进入实体工程现场前对分部件在工程空间位置关系的感性认识、桥梁工程检测与技术状况评价的“规范化”操作流程,实现《桥梁技术状况评定虚拟仿真实验》实验项目“完整、高效、绿色、环保”开出和考核对实验过程的全覆盖。
-
基于问题导向的城乡规划专业建筑设计课程设置——以南京工业大学为例
随着国土空间规划体系的建立,为了切实回应广大人民群众对高品质空间的需求,城乡规划专业本科低年级的建筑设计课程设置也需要进行相应的调整,建立以问题为导向的建筑设计教学体系。南京工业大学城乡规划专业建筑设计课程教学经过多年探索,以问题为导向,以空间为主线,以环境为约束,逐步建立了以“1”个现状调查分析为基础,其后展开“2”个不同类型的设计课题的“1+2”课程体系。通过大幅度增加现状分析的研究,强化环境的制约条件,突出问题导向下的建筑与环境设计,加强了学生对建筑及环境的认知,提高了针对具体问题的解决能力,进一步理解了相关设计逻辑,更好的衔接了高年级的城乡规划设计课程。
-
基于ATN.CDIO工程教育模式下的创造思维体系构建探究——以建筑设计基础课程教学为例
该研究以贵州民族大学的建筑设计基础课程教学为例,对创造思维体系的构建内容、教学模式、质量把控、学习驱动力、环境建设等系统建设进行详细评述,进一步证明创造思维体系构建在ATN.CDIO (Art Technology Nationality Conceive Design Implement Operate)工程教育模式中的重要性和可行性。此外,对得出的教学成果进行分析总结,提出未来发展会出现的瓶颈问题,提升ATN.CDIO教学模式的广度和深度。
-
建构主义下的公共建筑设计课程短周期教学实践
合肥工业大学建筑学专业的公共建筑设计课程进行建构主义引导下的短周期教学改革,改变了传统教学理念,提升了教学效果。通过回顾社会的新需求、学生的新特点,分析公共建筑设计课程课时缩短的现状、公共建筑设计课程短周期教学改革的缘起,提出了培养逻辑能力、创新能力、综合能力、自主学习能力的教学目标,探索与建筑设计课程相匹配的建构主义教学模式及教学组织。从任务解读、真实情境、教学手段、议题研究、概念生成、设计完善等五个方面详细介绍了在2020年新冠疫情背景下,合肥工业大学建筑学专业二年级公共建筑设计课程的短周期教学实践,并对建构主义下的短周期教学进行了反思。实践发现,未来的教学仍需进一步强化参与意识、自主意识、求异意识和主体意识。
-
新工科背景下土木工程专业研究生交叉创新能力培养举措及导师团队建设探索
新工科是中国工程教育应对新技术和新发展的重大战略决策,土木工程作为传统工科专业需要调整行业未来发展方向。以土木工程学科全日制研究生为研究对象,阐述了本专业进行新工科建设的必要性,分析和总结了当前研究生能力培养环节存在的一些问题;在此基础上,提出了研究生交叉创新能力的培养目标和培养举措,包括实践创新能力、科研创新能力和学科交叉能力等;并以研究生导师团队建设为辅,协同促进研究生能力的培养,旨在提高全日制研究生的整体素质和教育质量,为我国培养更多高水平人才。
-
工程硕士专业学位研究生培养中应用案例课程研究
案例课程教学以理论与实践结合为着力点,旨在解决理论知识和实际工作脱节的问题。案例课程教学符合工程硕士培养目标,是现阶段工程硕士教育改革重要方向。以河海大学地质工程专业工程硕士案例课程为例,探讨了案例课程建设、实施,并给出案例教学进一步改进的建议。研究表明,案例教学法是一种与工程硕士相适应的教学模式,能够有效调动研究生学习积极性,促进研究生思考,提升学习成果;同时又是一个具有启发性、开放性和互动性的学习过程,需要教师和研究生相互配合、共同努力完成。案例教学法可以朝着加强教师科研素养、丰富教学案例类别、甄选典型实用工程案例、加强师生互动和完善研究生评价机制五个方面进行改进。
-
基于SPOC翻转课堂的《土木工程概论》课程线上线下混合式教学模式的构建与实践
本文以“大土木”背景下的土木工程专业导论课——《土木工程概论》课程为例,将现代信息化教学模式和传统教学模式中的各种要素有机结合,构建了一种以SPOC平台为载体,以“问题导向、精准教学、个性学习”为主线的翻转混合教学模式框架,并进行了案例设计和教学效果评价。结果表明:翻转混合教学模式提供的精准、丰富、多元和个性化的线上资源和全过程师生互动,有效激发了学生自主学习的积极性,打破了教学活动的时空限制;课前初步内化、课中深度内化和课后全面内化,使学生对新知识的理解、掌握和应用的见解更加深入全面;引导交互、发掘学生优势潜能和培养学生个性化发展,提升了学生个人综合素质以及解决复杂工程问题的能力。
-
综合型创新性人才培养实验课程的建设与实践
重庆大学土木工程学院以国家“双一流”、“双万计划”、“卓越计划”“新工科建设”等政策战略和改革项目为契机,以培养富有创新精神和卓越实践应用能力的综合型工科人才为建设目标,通过知识体系完善、研学资源融合、跨学科交叉、教学信息化建设和多样化教学方法拓展等手段,持续进行课程建设和完善。重庆大学土木工程学院建筑环境与能源应用工程专业自2003年率先建设并实践独立实验课程——《专业综合实验》。《专业综合实验》课程在学校教学系统上获得优异的学生和部门评分。课程实验项目在巩固学生对专业知识的理解,锻炼学生实践应用能力、分析总结能力、创新性思维等方面均获得学生的高度认可。《专业综合实验》课程贯彻“以学生为中心”的教学理念,在人才培养中具有科学的循序性和系统性,教育信息化技术成熟,衔接本科理论教学、工程应用实践、硕博学术研究,使实验实践教学真正成为学生知识转化、能力锻炼的实操“战场”。
-
工程测量教学改革与课程思政建设的思考与实践
针对双一流高校土木工程专业学生培养目标,结合测绘科学技术的发展趋势及其在土木工程中的应用现状,以新一轮培养计划和教学大纲改革为契机,全面挖掘《工程测量》课程中的思政元素。本文从课程思政的教学目标、思政教学与对应知识点设计、课程思政的教学方法与举措等方面进行了思考和设计,最后以珠峰高程测量和北斗导航系统建设为典型案例,介绍了相关章节的课程思政教学方案。
-
研究生导师团队构建机制及其作用
随着社会对高质量复合型人才需求的增多,研究生招生规模不断扩大,研究生招生类型呈多样性发展,传统单导师制研究生培养逐渐显现出其局限与不足。本文针对近年来研究生培养过程中存在的主要问题,从研究生培养制度与师生结构方面入手,对研究生报录人数与导师组成结构变化情况之间的关系进行了深入分析,并对研究生培养体制改革的重要性进行了阐述,在此基础上提出研究生导师团队构建机制改革方法。通过对研究生导师团队内部导师研究方向组成、导师年龄梯队以及团队例会制度的分析与优化,以实现研究生管理更加高效、创新思维培育更加多元、研究生培养更具个性化的目标,为大团队研究生培养制度的改革与实践提供参考。
-
新工科背景下岩土工程学科研究生培养的科研支架式教学模式构建
在新工科学科交叉融合发展的大背景下,岩土工程卓越科技人才的培养对研究生教育提出了更高的创新型、科研型、学术型需求。与现有教学模式不同,本文提出的科研支架式教学模式首次在“能力域”下进行思考,面向能力素质而非知识内容进行教学设计。提出研究生的整体培养过程是能力体系的构建过程,即“科研能力支架”的建设过程。研究生培养方案前端的课程教学作为科研能力体系建设的起始部分和重要组成部分,被赋予了鲜明的科研属性。课程教学注重学科内容的跨界交叉,以专题形式展开,形成学一个专题即开展一项研究的教学新格局,将科研创新能力的训练提至培养起点,并贯通培养始终。本文讨论了该模式的理论基础,阐述了该模式的设计思想,研究了该模式的基本流程和能力架构,探索了该模式的实施方案,并取得了良好的实践成效,打开了“学”、“研”并轨的教学新局面。
-
本科生导师制实施现状分析及改进对策研究 ——以武汉工程大学土木工程与建筑学院为例
本科生导师制是深化工程教育改革、推进一流本科教育、提升人才培养质量、促进本科生个性化发展的重要实现途径之一。以武汉工程大学土木工程与建筑学院为调研对象,结合其实施本科生导师制八年以来积累的经验与取得的成效,剖析该学院本科生导师制政策施行过程中的不足。从加强理论宣传、明确本科生导师制内涵,提高奖惩力度、调动师生参与积极性,因材施教、引导学生个性化和全面发展,分工协作、制定导师团队指导机制,增加配套、建设互动指导平台等方面提出改进措施。以期进一步增强本科生导师制的实施效果,推动本科生学习、科研、实践、创新等能力的全面提升,提高学院人才培养质量,为其他高校相关学院实施本科生导师制政策提供参考与借鉴。
-
基于职业技能培训的建筑材料检测应用型人才培养模式探讨
张寒松, 欧忠文, 王冲, 王瑞燕, 胡志德, 雷雨龙, 陈小云
建筑材料是土木工程的物质基础,严把建筑材料质量关是提高工程质量的根本保证,更是工程施工的关键环节,因此,在工程建设过程中必须定时、按规对建筑材料进行质量检测。建筑材料的质量检测是一项专业性、规范性和技术性极强的工作,对从业人员的知识水平和技术能力有着很高要求。而职业技能培训是建筑材料检测人员获取相关知识技能的重要途径,在其岗位任职能力生成过程中起着关键性作用。该研究对我国现行建筑材料检测应用型人才培养模式进行了探讨,分析了基于职业技能培训的建筑材料检测应用型人才培养特点、规律及面临的主要问题,概要阐述了优化改进措施和基本实施策略,明确了人才培养中应重点培塑的“三个意识”、重点设置的培养侧重以及重点打造的多元教学资源。同时,基于建筑材料应用型人才培养实践,提出了5步递进式培训新方法。
-
作为一种课程思政的高校工程伦理教育探析*
基于中美高校工程伦理教育的比较视角,提出以“课程思政”为进路建构中国特色工程伦理教育模式。在教学目标上强调主流价值观引导;在教育主题上注重工程专业课程体系中践行立德树人要求;在教育方法上突出“课程育人”理念下渗透式教育。该模式有助于从工程技术与人文教育有机结合、工程学科文化及职业精神气质视角拓宽工程伦理主题。展望课程思政作为工程伦理教育的本土化策略,需强化制度保障,增强专业课教师理念认同,建构工程伦理课程教师协同合作机制,提升渗透式方法的育人效果。
-
“三教改革”背景下建筑工程类专业职业技能人才培养模式探索与实践
本文阐述了在2019年国务院印发《国家职业教育改革实施方案》的大背景下,结合职业教育三教改革和建筑业发展,提出现代工程教育教学改革的必要性,介绍了上海济光职业技术学院建筑工程类专业人才培养的状况,包括实施了基于“工程意识”养成的教法改革,建设了符合建筑工程能力培养和技术发展要求的实训教学基地,编写了对应的新型教材及配套的信息化教学资源。这一教学改革贯穿学生培养的全过程,遵循了新时代职业教育的新要求。
-
“两性一度”指向下的流体力学荣誉课程建设探索
按照“两性一度”标准,确定了《流体力学》荣誉课程在教学大纲重塑、教学方法创新、师资队伍建设、学生选拔和考核要求等方面的建设目标和原则,提出了“以问题驱动为抓手”、“以基本概念为支点”、“以学习产出为导向”、“以虚拟仿真实践教学为拓展”的荣誉课程特色。分别以“连续方程四种形式及其与不同流动模型之间的关系”内容、“虚拟仿真平台中的计算流体力学技术”案例和“现代流体测量技术进展”综合性作业为例,阐述了高阶性、创新性和挑战度等三标准在课程教学内容、虚拟教学平台、学生学习产出中的要求体现。相关探索可为工科《流体力学》荣誉课程及其他力学荣誉课程建设提供参考。
-
基于江苏省建筑业效率分析的大学生择业策略研究
运用DEA-SBM模型法,研究江苏省建筑业效率特征,为大学生精准择业提供依据,结果表明:(1)江苏省建筑业综合效率偏低,苏州和南通建筑业生产达到有效;(2)江苏省建筑业无效率主要由产出无效率决定,生产现状为大学生发挥专业优势、学以致用提供条件;(3)各地级市建筑业效率水平受纯技术效率或规模效率影响各异,为大学生就业方向提供了多样选择。基于上述研究结果,为满足江苏省建筑业生产效率提高和大学生科学合理择业需求提出对策建议。
-
专业实验课程的思政教学探索与实践——以《水泥混凝土配合比设计试验》课程为例
专业实验课程是学生综合能力和创新能力培养的重要组成和有效途径。以水泥混凝土配合比设计试验课程为例,充分分析了课程特点,在工程师职业素养、科学素养和创新能力和“诚信、友善、互助、合作”的价值观三个方面发掘思政元素,并结合课程的教学目标、教学内容、教学手段进行了教学设计,将思政元素充分融入课程教学环节并实现与专业知识和技能的有机结合。教学实践效果表明,学生对实验课程的重视程度、学习的积极性和参与度提高,学生间的合作与交流得到有效促进,学生对于土木工程材料的兴趣提升,分析问题、解决问题的创新能力有所显现。
-
智能建造专业建设体系与教学方案设计
随着传统建造领域逐渐与现代信息技术融合,智能建造这一概念应运而生。智能建造也成为高校办学方向,但智能建造专业建设仍处于初始阶段,智能建造专业的办学理念、课程体系、人才培养等尚未得到共识,可以落实的教学方案亟待研究。该研究依据面向土木相关专业高校30位教师的问卷调查结果,明确智能建造专业面临的五大挑战,结合新工科专业建设提出的新要求,从课程体系、师资力量、教学方法、教学平台、管理制度多角度提出智能建造专业教学方案的新模式,构建了智能建造专业建设“P-S-R(要求-挑战-响应)”框架体系,规划了智能建造专业的建设路径以及各个时期的发展重点,以期为各类高校建设智能建造专业提供参考和借鉴,打破智能建造专业建设瓶颈。
-
培养独立创新能力的工程学科研究生教育——美国土木与交通工程专业研究生课程设置思考
工程专业研究生课程设置是建立研究生知识结构,培养独立创新学术能力的关键。本文基于笔者博士研究生阶段所选研究生课程体系设置案例,结合针对土木交通相关专业留学人员的问卷调研,从专业课设置、跨专业选课制度、课堂教学、课后学习四个方面分析了旨在培养独立和创新能力的工程专业研究生课程设置特点。首先,美国工程专业研究生的专业课具有精简全面、难度适中的特点,其核心是全而不难,给研究生独立创新能力的提供了充足的知识储备。跨专业选课制度,具有学习领域广泛、课程质量高的特点,其核心是综合交叉,给研究生进行交叉领域创新提供了更多的机遇。课堂教学包含大量专业软件工具使用,并紧扣行业发展前沿,其核心是知行并重,给研究生进行创新提供了各种范例和途径。课后学习包括大量多样化的学习任务,训练了学生独立分析解决问题能力,进一步培养了研究生有计划性的独立完成多样任务的创新能力。
-
以提高学生综合素质为目标的土力学课程教学改革
对学生综合素质的培养是教育改革的重要目标,工科大学教师课堂教学不仅要提高学生的理论知识水平,培养学生的专业技能,而且应恰当地将价值观念、职业道德观念、专业法律观念等渗透到教学的每一个环节。以土力学课程为例,通过选用身边的案例使学生参与其中,将数值模拟方法引入课堂增强理论知识直观性,抓住本质、以点带面理清知识点之间的联系等方法激发学习和科研兴趣,增强教学效果;在学生参与的案例教学中发掘课堂思政元素培养学生专业自豪感、社会责任感和科学求实的精神,从多方面培养有知识、有担当的综合型人才。
-
以创新能力培养为导向的本科生导师制探索
为推动学校教育教学改革,激发本科生创新意识和激情,提升学生创新能力,河南理工大学在风景园林本科生培养过程中探索了本科生导师制。在充分分析我国本科生导师制研究热点和趋势的基础上,结合自身优势和特色,构建了“辅导员+班主任+导师制”的导师制模式,形成了以“导师组”为核心的导师制架构体系。通过分析“导师发展”、“主要抓手”、“目标任务”三大模块的运行机制,阐述本科生导师制的实践经历与效果,提出本科生导师制本土化改革实践建议,希望为本科生导师制在建筑类相关专业的实施和完善起到有益的借鉴作用。
-
城乡规划专业设计类课程思政教学初探——以苏州科技大学《城市详细规划(二)》教学为例
本文以苏州科技大学的《城市详细规划》(二)教学为例,探索课程思政视角下的城乡规划专业设计类课程教学方法,促进学生的思想道德素质与专业知识水平同步提升。从加强教学团队建设、教学内容的拓展完善、“沉浸式”教学过程的组织和教学评价体系的完善等方面,对课程的全方位、全链条教学进行深入的研究,重识城市空间认知的课程价值体系,以空间正义为切入点,构建以“专业课程为主、思政课程为辅”,专业与育人同向同行的课程思政教学路径,切实将专业知识教育和践行社会主义核心价值观相结合,实现以“价值体系”为引领的课程培养的高阶目标,达成专业教育与思政教育协同育人。
-
港航专业面向产出的达成情况评价机制探索及效果分析
以学生为中心的工程教育认证的根本目的是促进或提升“教育产出”。为适应新时代新水利背景下水利科技人才培养需求,同济大学港口航道与海岸工程专业从培养方案修订着手,通过对培养目标修订、毕业要求指标点分解以及课程体系持续改进等方法来贯彻OBE理念,实现从培养“学科导向型”人才到培养“工程导向型”人才的转变,从培养专业技术人才为主到培养兼具专业能力、职业素养、社会责任的复合型人才的转变,以期达到水利工程师国际认证的实质等效。同时,分别建立了课程达成情况及毕业要求达成情况评价机制、培养目标合理性评价机制,结合机制运行情况进行实例分析,实现了对本专业本科生培养质量的全方位中长期跟踪评价与持续改进。
-
基础研究视角下的国土空间规划创新——区域规划课程教学思考
改革开放以来,中国的城市化进程加快,区域发展面临的机遇等促使城乡规划学科中区域规划课程的教育面临挑战,特别是目前,区域规划的可持续发展以及综合性国土空间规划的创新发展,迫切需要借助基础研究及其创新成果的推进。本文从理论、技术和实践三个层面,简要分析了相关基础研究发展对区域规划的显著促进作用,并进一步提出,在我国新时代发展的关键阶段,一方面区域规划必须主动与相关基础研究的创新与重大突破相结合,从而有力推动我国区域规划的转型和升级,另一方面区域规划必须主动与国土空间规划体系相融合,根据不同层次国土空间规划发展对区域规划及其课程教学的新需求,从基础研究创新视角,提出区域规划课程教学实践创新的理念和路径,从而为国土空间规划提供不断深化创新的人才准备和理论准备,促进国土空间规划实践的长远可持续发展。
-
土建类毕业设计在线指导的困境与对策
根据土建类毕业设计的实践教学特点,就新冠肺炎疫情下如何有效开展在线指导,从而保证毕业设计进度和质量提出了一些应对措施。土建类毕业设计是将专业理论与工程实践相融合的专项综合训练,任务多而繁重。本文分析了土建类毕业设计在线指导存在的专业设计手册和规范查找困难、制图指导及理论推导直观性性差、个体学习氛围不浓、老师云监管困难等困境。从构建电子文献资料库、利用多维网络教学平台、增强交互活动、精细化任务目标、加强过程管控、保证设计质量和进度等方面深入探讨对策。结合具体案例,介绍了实施过程和教学效果,形成了一套行之有效的在线指导模式,突出了学生的主体地位和教师的主导作用,从量和质的角度都达到预期教学目标和效果,可为同类设计课程在线指导提供借鉴。
-
融合虚拟技术的建筑结构抗火实验教学平台建设与教学探索
当前,建筑结构抗火实验教学逐渐成为土木工程防灾与减灾课程的一项重要授课内容。然而,国内仅有少数高校拥有建筑结构抗火实验实体平台,并且由于抗火实验的特殊性,相关教学资源非常有限。鉴于此,依托多媒体、网络通信和虚拟仿真等现代技术,先后建设了实体实验平台、虚拟仿真平台、虚拟教具、微试验以及MOOC等,形成了系统性教学资源,构建成为建筑结构抗火实验教学平台。利用该平台,突破传统实验教学模式,以趣为核,探索虚实结合的施教方案,实现实验教学与理论教学的高度融合。建立了过程与结果并重的实验教学评价体系,并注重持续改进。强调学习的自主性与创新性,鼓励学生大胆尝试,增强了学习的主观能动性,提升学生的行业竞争能力。
-
批判的“视知觉训练”——一次建筑美术教改
Nowdays, domestic architectural art education can be summarized into three systems: "traditional technique training", "structural sketching training" and "visual perception training" which are more in line with current trends. By analyzing their origins and characteristics, and comparing the teaching summaries of different scholars, this paper summarized the current situation and innovation direction of domestic architectural art education. Meanwhile ,on the basis of in-depth analysis of the specific teaching structure, characteristics and deficiencies of "visual perception training" system, aiming at the current situation of architectural art education in local colleges and universities, starting from the aspects of "regional", "curriculum interaction", and "personal emotion". It is possible to propose a new concept of "visual perception training" from a critical perspective, and conduct corresponding teaching reform experiments.
-
智慧社区居民的科普现状及需求研究——基于全国849份问卷的分析
为了了解在智慧社区建设和社区科普信息化双重背景下城市社区居民的智慧科普现状,掌握城市社区居民在科普渠道、内容和形式等方面的期许,进而探寻实现城市社区智慧科普、精准科普的有效途径和方法。通过对全国849份问卷的统计,结果显示:居民科普需求集中在生存和生活层面、使用智慧平台(程序)频繁、居民从社区中获取科普知识有限、社区科普的满意度有待提高。为此,要以居民需求为导向,提供智慧化的精准服务、创新社区科普形式和渠道、完善社区与居民双向互动机制、整合社会组织和辖区单位的科普资源。
-
新工科建设背景下水质工程学课程教学创新设计与实践
赵志伟, 李莉, 向平, 古励, 蒋琰, 曹知平, 曾洁, 蒋绍阶
新工科建设对专业人才的培养提出了全新的挑战,《水质工程学》作为给排水科学与工程专业的传统核心主干课程,具有理论性和实践性并重,涉及的专业知识广泛,综合性强等特点,需要聚焦新工科内涵和国家重大需求,改革创新课程。针对传统教学中存在的问题,本着以学生为中心,围绕“知识探索、能力建设、价值引领”设计多层次教学目标,结合行业最新发展更新教学内容;结合多维教学目标设计教学活动;推行教师引导和陪伴式的自主学习模式;通过教学环节顺序的调整与融合创新教学组织;运用兴趣实验导入、案例解析、课堂辩论、翻转课堂等多种课堂形式;辅助新型信息技术;强化课程思政实现价值引领;构建全周期系统性评价体系。通过教学改革的实践应用取得了一定的成效,可为给排水科学与工程、环境工程等相关专业的课程教学提供一定的指导和借鉴。
-
“教、学、评、传” 理念下改造类设计课程教学模式改革
从“教、学、评、传”四个层面,分析改造类设计课程教学模式,以既有工业建筑改造设计课程为例,探讨课程教学改革途径:多元化教学模式由建筑师、规划师等专家构成优质师资团队,讲授设计原理核心要义,选择建设场地课堂和调研启发式的教学模式;多渠道学习采用向专家提问、施工现场观摩、课题研究式等多种途径学习;多类型评图重在广泛交流、分享和讨论,校内教师与校外专家多种类型评图;多视角传承沿袭课程价值、课程理念和师承文化的传承模式。
-
建筑学专业情境化教学模式探析
在国家实施一流专业建设的大背景下,时代环境、社会需求、建筑学专业本身的综合性特征、实践性特点和独特的思维方式要求建筑学专业人才培养改变传统教学模式,寻求激活惰性知识的多维途径,探索师生共导式教学模式,营造分享和参与式学习氛围,以此为目标,借助于环境创设和项目牵引来践行情境化教学模式,以唤醒学生的力量。在教学过程中坚持“以学生为中心”的思想,发挥教师的“牵引”作用,调动学生学习的主动性、自主性和协作性,可有效培养学生的团队精神、创新意识和专业综合能力。
-
基于MOOC的混凝土结构课程混合式教学设计与实践
慕课(MOOC),即大规模开放在线课程,是信息技术与教育结合的一种重要形式。它为混合式教学提供了支撑和保障,对高校课程教学改革及内涵式发展起到了十分重要的推动作用。本文依托武汉大学国家精品资源共享课程《混凝结构设计》(简称混凝土结构),进行MOOC课程建设,通过内容重构、教学设计和在线适用性改造优化课程结构,形成课程特色。在此基础上,坚持OBE理念,根据知识点的难易程度,设计不同层次、不同形式的混合式教学模式,建立相应的评价方法,实践表明,激发了学生学习的积极性和主动性,提高了教学质量。
-
“三全育人”视角下跨学科(专业)生源硕士生培养机制研究
“三全育人”要求在“立德树人”前提下通过“全员、全过程、全方位”的措施与路径提升人才培养的针对性和实效性。跨学科(专业)生源硕士生具有明显的特点,经过分析,发现化“劣势”为“优势”是提高其科研素质的突破口,但其优劣势转化之间存在一个巨大的鸿沟,如何弥补这一个鸿沟,是问题解决的关键。基于“三全育人”思想,构建了跨学科(专业)生源硕士生培养机制,包括通过四位一体育人机制实现“全员育人”;注重培养全过程与关键环节,实现“全过程育人”;合力保障,提高培养质量,实现“全方位育人” 。
-
土的力学性质环境效应虚拟仿真实验设计与实现
基于虚拟仿真技术手段,开发了复杂环境作用下土的力学性质虚拟仿真实验系统。系统可通过虚拟仿真实验装置实现土样反复增湿-脱湿和低温-高温的干湿循环和冻融循环过程,模拟炎热多雨和酷暑严寒复杂环境气候对土体力学性状的影响;实现对经历复杂环境作用土样的固结、直剪及三轴试验,测试土的强度及变形特性。虚拟试验操作过程与实体试验基本相同,试验环境相似,互动感受逼真。学生可在虚拟环境中直观体验土样的环境模拟及力学试验过程,克服了实体试验中难实现、成本高昂、受时空限制等困难,在课堂教学时间内学习和认知复杂环境作用对土体力学性状的影响。
-
基于“三全育人”背景下高校实验室实践育人的探索与实践
实验室是高校组织实验教学、开展创新性科学研究、培养学生实践能力、激发学生创新精神和创新活力的重要阵地。重庆大学以首批“三全育人”综合改革试点高校建设为契机,全面推进“三全育人”综合改革,构建了课程育人、科研育人、实践育人、文化育人、网络育人、心理育人、管理育人、服务育人、资助育人、组织育人等十大育人体系,教室、宿舍、实验室、食堂、场馆、图书馆等六大育人阵地。在实验室实践育人方面,建立起一个纵向贯通、横向融合的实验室实践育人工作体系,拓展了育人空间,形成全员全过程全方位育人的实验室格局,扎实推进立德树人根本任务。
-
基于室内试验与生产实际相似性的水泥稳定碎石基层材料设计试验教学改革
为了实现室内试验与生产实际相协调的水泥稳定碎石基层材料配合比设计试验,发挥室内试验结果对现场施工的指导作用,在分析了传统《半刚性基层配合比设计试验》存在的问题的基础上,基于生产实际与室内试验相协调的原则,调整了课程目标;根据课程的新目标,开发了振动拌合、振动成型和抗冲刷设备,提出了标准试验参数,并对抗冲刷试验进行了数值模拟,明确了被冲刷试件冲刷应力分布,作为学生抗冲刷试验分析基础;通过对三组不同配合比设计试验方法物理指标的分析,使学生明确了最佳含水量的物理意义和三种方法对最大干密度的有影响;三组不同试验方法力学指标试验结果表明,采用振动拌合+振动成型的A组,抗压强度平均提高2Mpa;可以节约水泥1.3%,通过分析,使学生明确了不同试验方法对强度的影响和产生这种影响的机理;不同水泥剂量下水泥稳定碎石抗冲刷试验表明,随着水泥剂量的增加,质量损失在减小,在确设计水泥剂量时要兼顾功能性指标,数值模拟可很好的解释试验现象。基于新目标的《半刚性基层配合比设计试验》课程,使学生明确了配合比设计的本质,不但要满足强度要求,还要兼顾功能指标,不但培养了学生的动手能力,还大幅度培养了学生分析问题和解决问题能力。
-
高水平研究型大学视角下建筑类专业创新思维培养路径研究*
高水平研究型大学建筑类专业创新思维培养体系是构建基础教学培养的教育体系。文章结合当前建筑类专业初步教育阶段的特点,阐述建筑类基础教学的几个基本原则,强调了对于培养建筑类专业学生的空间创造性思维能力的重要性。将高水平研究型大学建筑类一流人才培养与社会需求相结合,充分了解社会用人标准。加强培养学生创新能力和实践能力,培养具有专业素质、自我提升能力和终身学习能力,满足社会需求的高素质建筑类创新型专业人才。本研究以中韩高校的比较与借鉴为中心,建构“高水平研究型大学建筑类专业创新思维培养体系”的方法和路径。
-
地方院校建筑类专业大类招生的分流困境与应对
随着“大类招生、分流培养”模式在地方院校的推进,建筑类专业分流中的专业分化问题渐趋凸显。通过分析学生专业选择的思维建构过程,发现专业选择存在“六大因素、三大层级”的影响。在通常的分流模式下,即便专业间学科实力、发展前景等信息相近,专业选择仍会产生建筑学倾向的“两次一致性偏离”,其中,“认知意象”使专业选择产生第一次偏离,“多看效应”强化了第一次偏离,“从众心理”导致专业选择产生第二次偏离。基于此,制定针对性的应对策略以优化专业分流机制是统筹专业建设的重要保障。
-
基于大工程的土木工程研究生创新能力培养体系构建与实践
为提高土木工程专业研究生的创新能力培养水平,分析了影响研究生创新能力培养质量的生源、学位论文、导师、培养环境、培养模式、培养体系、大工程七个关键因素,揭示了七个关键因素间互动发展的内在规律;进行了较系统的教育理念、教学方法、教学手段改革,建设了强化研究生工程创新能力培养的四大实训平台,即校内综合试验实训平台、校内外共享实训平台、创新联盟实训平台、大工程产业基地实训平台;提出了提升研究生创新能力的三种培养模式,即大工程下实践化研发模式、群体型研讨模式、开放式培养模式;创建了产学研用相融合的立体化研究生创新能力培养体系,并进行了教学实践,取得了显著成效,研究生的团队意识、工程实践能力和创新能力提升明显。
-
交通建设国际化人才校企协同育人模式的改革实践
为适应中国交通建设企业“走出去”发展对国际化工程人才的急需,重庆交通大学与行业企业开展了10年校企协同培养模式探索与实践。围绕国际工程人才“工程知识、工程实践、工程管理”三个维度的能力素养,构建了短线定制的“海外班”、长线系统的“国际工程班”和柔性设置的跨界复合实验班等多样化校企育人模式。通过校企协同选聘学员、设计课程计划、开设课程讲座、组织科技竞赛、指导毕业实践、评价培养质量,形成互惠共赢的校企协同育人长效机制。为中国交建、中国中铁、中国铁建等企业输送海外交通建设人才3500余名,满足海外交通建设国际化、多样化和高质量人才需求,服务“一带一路”建设
-
关于课程思政与工程教育认证融合的思考
对标国际工程教育认证标准,开展专业建设与改革,推动一流专业建设,是当下高校的主要任务之一,思政教育与之并驾齐驱。在剖析工程教育认证标准的12条毕业要求及课程思政的内涵基础上,发现课程思政可以涵盖工程认证的所有非技术指标要求,提出课程思政需要顶层整体设计。以南航土木工程专业为例,提出从专业人才培养体系角度先进行顶层的整体设计,有规划地将思政目标与认证标准的毕业要求相结合,再通过课程具体落实这些思政目标,从而借助系列课程思政目标的整体实现达到专业对人才培养的素质(非技术指标)要求。
-
信息化融合下的城乡规划学科研究生培养初探
数字技术的发展与信息化程度的提高,为城乡规划提供了新的方法论与理论支撑,使城乡规划的理性内核得以强化,但基于信息化融合的课程设置在城乡规划的研究生教学中仍处于薄弱地位。本文在分析我国城乡规划研究生教学体系信息化在技能提升与信息化素养方面培养不足的基础上,通过分析纽约大学、麻省理工学院、伦敦大学学院三所欧美城市规划名校在研究生培养中的培养课程与培养方式,从培养目标、课程设置、教学方法三方面提出相应建议,以期为我国城乡规划学科研究生培养提供参考和启示。
-
“地下结构抗震”课程思政元素融入的教学探索与实践
课程思政元素融入专业课程教学的探索和实践是习近平高等教育指导思想的重要体现。针对土木专业“课程思政”教育目前的局限性,把握关键问题,以“地下结构抗震”课程为例,提出树立正确的专业教学目标及思政教学目标,积极丰富和拓展教学方法。根据“地下结构抗震”教学内容,深度挖掘与专业课程知识点相关联的思政元素,设定明确的目标导向。依托各个章节所提炼出的思政元素,设计对应的思政教学体系,从案例导入、案例分析、教学过程设计、教学效果评价四个维度出发,探索课程思政与专业课相结合的教学路径。通过案例密切联系现实中的思政要素,落实实践教学中的“课程思政”,将思政成绩纳入最终考核成绩。努力实现专业知识与思政内涵相互融合,实现立德树人。
-
我国创新人才培养研究的现状、热点与趋势——基于CSSCI源刊文献的可视化分析
以中文社会科学引文索引(CSSCI)数据库1998-2019年刊载的1602篇有关创新人才培养的文献为研究样本,运用文献计量法系统分析了样本文献的发表年度、研究机构、核心期刊、研究作者等分布情况,运用CiteSpace软件对我国创新人才培养研究的热点与趋势进行可视化分析。研究结果表明,我国创新人才培养研究的热点主题主要包括培养制度、培养模式、教学体系与培养标准等,演进过程大致可以分为四个阶段,未来可以围绕培养规律和路径、“双一流”建设、新工科建设、立德树人职责、教育国际化等方向和领域开展研究。
-
面向交通运输工程专业留学研究生的高校培养模式研究-以东南大学为例
随着我国“一带一路”战略深入推进发展,吸引了大批海外留学生前来开展研究生的学习深造,如何培养 “一带一路”沿线国家来华学习的交通运输工程专业技术人才,对高等院校来说是一个新的挑战。为了深入探索交通运输工程专业来华研究生的培养模式,选取东南大学交通运输工程专业海外留学生进行问卷调研分析;通过主成分因素分析法,获取来华研究生在校园活动参与度、科研课题相关度、学习侧重点把握度、科研任务承担程度四个方面的现状;通过样本检验,分析亚非国家留学研究生对高校培养模式适应度的异同。调研结果反应了东南大学交通学院留学生的生活、学习状态,结合数据分析以及留学研究生的意见及建议,挖掘交通运输工程专业留学研究生培养痛点,并针对性的对教学培养工作提出建议。
-
基于CDIO理念的土木工程专业建筑类课程一体化教学设计初探
本研究基于CDIO工程教育的构思、设计、实现和运作一体化教学计划理念,分析土木工程专业建筑类课程一体化教学设计和课程的选修学期等特点对学生知识体系架构的形成和毕业设计质量的影响,以此探索通过建筑类课程的一体化教学设计提高土木工程专业毕业设计质量和学生执业能力的方法。研究将作者所属高校2017届至2020届毕业生作为对象。结果表明,建筑类课程循序渐进的一体化教学设计,有效地提高了学生对建筑知识的全面掌握。同时,虽教学团队从‘授’的角度对建筑类课程间的连贯性具有明确的认知,但学生从‘受’的角度,对课程间的连贯性认知尚不明确,停留于对每门课程内容的掌握,未能达到CDIO所要求的“一体化学习经验”。
-
硕士研究生生源质量分析与提升对策研究——以中国矿业大学力学与土木工程学院为例
研究生生源质量的优劣直接关系到高等院校研究生培养质量,也影响着高等院校学科建设的水平。近年来,随着硕士研究生招生规模的持续增加,如何提高优质硕士研究生生源比例,对于高等院校的人才培养以及学科发展都显得尤为重要。本文以中国矿业大学力学与土木工程学院为例,基于该院2016-2019年硕士研究生生源数据939个,分析了硕士研究生各专业报录情况,探讨了硕士研究生中优质生源比重和生源结构特征,据此提出了硕士研究生生源质量提升对策,可以为今后同类高等院校硕士研究生招生工作提供重要的借鉴意义与参考价值。
-
转变思维、因材施教 —— “雏鹰计划”课程引发的教学反思
“雏鹰计划”是衔接高校与高中的一座桥梁,计划实施多年来,既为高中学子提供了深入研究科学技术的机会,也为各大高校培育了众多具有良好科研基础的人才。“雏鹰计划”不仅能激发高中学子对科学研究的兴趣和热情,培养学生的科学素养、创新意识和实践能力,也是高校回馈社会、展示自身形象的重要途径。以高校、高中相联合的“双高”模式下,提供了培育创新人才的重要平台。笔者在参与“雏鹰计划”教学及项目研究过程中,通过与学员们的沟通与研讨,也对雏鹰计划的开展体会良多。本文通过对笔者在指导雏鹰计划项目全过程的回顾,探讨在“双高”合作机制下科研课题的特殊性、科研方法的独特性、科研手段的多元性;也从雏鹰学员的角度,分析了针对雏鹰学员的培养措施与特点、培养过程中需把握的关键性内容,并以此对高校科研的开展与人才培养方式进行了展望。
-
新冠疫情背景下的高校数值计算云平台创新教学方法研究
新冠肺炎疫情的发生,使得疫情防控期间的高校学生无法返回学校进行学习,教育部下发了“停课不停教、停课不停学”的指导意见。针对高校实验课程线上教学难度大、学生参与率低、学习效果差等问题,本文提出了基于数值计算云平台的高校实验课创新教学方法,通过疫情期间课程教学的实践,该教学方法效果显著。该方法有效地解决了疫情期间高校工学实验类课程的枯燥乏味问题,有效提高了学生的学习兴趣和学习效率。通过对云计算平台数值计算软件的学习与操作,有效地提高了学生认识和解决工程问题的能力;通过对工程实际问题的总结,提高了学生的科研素质,为其科研道路发展提供良好基础。研究成果可为疫情期间及之后高校工学实验类课程的教学提供相关参考。
-
叙事性思维下的建筑设计教学方法探索
营造具有叙事性的场所与空间,是当代建筑最为重要的设计倾向之一。在建筑设计中,从体验互动的角度来理解建筑的叙事性,也是非常重要的设计思维方式。在本次毕业设计的教学过程中,通过引导学生在设计中构建叙事性的空间场所,来加强学生叙事性设计思维的训练,提升学生在设计作品中所表达出的逻辑性,并以部分作品为例探讨在设计课程中贯彻叙事性设计思维的可操作性,为今后的教学改革提供方向和依据。
-
新工科背景下土木工程专业实习实践教学体系的创新与实践
本文以中国地质大学(北京)土木工程专业为对象,开展新工科背景下实习实践训练教学体系研究。系统分析了我校现有实习实践教学体系存在的问题,秉承以学生为中心,建立了“点面结合、模块组合、螺旋递进、新技术强化、全方位渗透”的多层次平面螺旋实践训练教学体系框架。开发了我校“土木工程校企协同实践信息平台APP”,推行了本科生校内和校外 “双导师”制等各种措施为我校“新土木”实训体系的有效实施提供强力保障。
-
“新工科”背景下普通本科土木工程专业课程的改革探讨
基于“新工科”背景下土木工程行业的发展变化、普通本科的人才培养的定位以及“00后”大学生的特质,提出普通本科的土木工程专业应该聚焦于培养学生具备工程科学应用能力、工程管理协调能力和工程技术创新能力,并重点培养工程技术创新能力,以保证普通本科毕业生在土木工程的智能建造时代胜任工程应用和管理的工作。基于不同学科知识的交叉融合可引发新的思维方式和创新模式的认识,以混凝土结构基本原课程改革为例,对课程改革进行探讨。在教学内容方面,主动地将土木工程行业中的预制装配式混凝土结构和BIM等新技术与传统的知识点进行结合,形成新的混凝土结构基本原理课程的框架;在教学方法方面,充分发掘并利用互联网+的学习平台和丰富的教学手段,以更好的激发“00后”的学习热情,从而改善教学效果。
-
面向学生自主学习能力的递进式概念分析教学方法
以结构力学这门学科为例,从“以学生为中心”的教学角度出发,提出递进式概念分析教学方法。阐述了结构力学教学和学习的矛盾,将概念分析能力培养分为三个阶段:概念理解能力、概念辨析能力和概念灵活应用能力。通过设置专项练习,将概念体现在习题中,锻炼学生从概念分析的角度自主总结解题方法并理清解题思路,旨在培养学生的自主学习能力。利用易错题的习题设置提升学生的概念理解能力;利用易混淆题的多题对比的习题设置提升学生的概念辨析能力;利用多解题的习题设置提升学生的概念灵活应用能力。将概念理解、辨析和灵活应用能力作为阶梯,可解决概念分析教学的困难。此教学方法为通用方法,适用于一般理工学科教学。
-
竞赛作为设计课程的教学组织与调查评价
各类高水平设计竞赛对建筑学本科教学有良好的促进作用。在多种参赛组织形式中,选择竞赛作为设计课程组织全体师生参加拥有诸多优势,也存在一些难点。通过近年来组织的竞赛课程教学实践,分析了竞赛课程的优势与劣势,总结了从竞赛选题、课内教学到课后延伸辅导的教学组织过程。通过问卷调查分析发现:学生方面普遍积极评价了竞赛课程,多数能跟上竞赛节奏,但还存在更多方面的教学需求;教师方面也同样认同竞赛课程,认为原教学框架基本能适应竞赛要求,还需发展针对性的教改措施。总之,竞赛作为设计课程是一项可行且有益的教学活动,还需持续地积累经验、完善教学组织。
-
面向全人教育的地方高校建筑学基础教学探索与实践
全人教育旨在培育学生的内在自我,帮助他们在生活中自由、充分、全面、和谐、持续发展,为社会做出贡献。针对地方高校新生特点及培养需求,从全人教育出发,建筑学专业基础教学培养模式考虑宽基础,适应学生兴趣多元化发展,未来多口径输出,促进学生人格养成与身心发展。研究整合现有建筑学专业基础课程等课程资源,建设低年级基础课群;将专业基础教学与日常生活体验相结合,与专业实践相结合,与学科前沿相结合;与新生个人成长引导相结合;改善教学方法,增强课程体验性、实践性、探究性、互动性、开放性、并提供个性化辅导及多维度展示评价。从而激发学习兴趣与积极性,释放学生潜能,提高实践操作能力,培养创新思考能力,具备良好的基本设计思维能力与专业素养,逐步树立自己的个人、社会价值观,从而获得更深层次的自我完善与提升。
-
国内风景园林专业本科生态教育的特点与展望
在生态危机日益严峻和生态文明建设的时代背景下,中国风景园林学科教育承担着为社会发展培养具备生态意识和生态素养专业人才的责任。景观生态作为风景园林学科的基础支撑和重点发展方向,生态教育与学科建设的结合程度、开展情况成为衡量学科生态化发展的水平体现。本文选取了国内10所典型的建筑类与农林类风景园林专业开办院校,以其近3年的本科培养方案及主要生态学课程内容为主要研究对象,对其风景园林专业生态教育课程结构,内容分布,教学要求,课程类型方面进行比较分析。归纳总结了目前国内风景园林专业院校本科阶段生态教育的课程构成现状及基本特点,进一步展望风景园林生态教育在应对新时代生态社会建设中应发挥的作用。
-
土木钢结构试验教学改革
土木工程结构试验是是土木专业的重要专业课程,按材料主要分为钢结构和混凝土结构两部分。针对当前钢结构部分试验教学存在重理论轻实践、试验内容少、无法加强理论教学效果、学生动手实践环节少等不足,分析了导致不足的原因并从教学方法、教学内容等方面进行教学改革探索。在教学方法方面,强调了学生自主性试验、以及利用社交信息平台增加师生互动环节等。在教学内容方面,提出将钢梁受弯试验从演示性试验改为学生自主设计的破坏性试验,以增强理论教学效果——如对梁的整体失稳、局部板件屈曲等概念的理解;此外,提出在整体结构试验中增加将构件装配成整体结构的实践环节。教学改革的目的在于提高钢结构的试验教学质量,进而提高钢结构理论和课程设计实践的教学效果,为强化学生的动手能力、工程能力和创新能力的培养提供参考。
-
弹性力学探究式案例教学的设计与实践
在国家“金课”建设的背景下,探究式教学既要强调“教”与“学”的统一,又要重视“教”与“研”的融合,现已成为高等教育教学改革的关注热点。在力学课程中融入探究式教学,能够更好地激发学生的学习热情和创新精神,加深对所学知识的理解和掌握,同时更加关注力学知识的工程应用。弹性力学是工科本科生中难度较高的课程之一,其本质是在给定的边界条件下求解基本方程,即偏微分方程组的边值问题,而弹性力学求解的难点就在于难以满足边界条件。为此,在弹性力学课程的教学实践中,以圣维南原理及其应用这一基本教学内容为例,开展了探究式案例教学的设计与实践。通过对基本教学内容中的基本概念、基本问题和基本方法的深入阐述和延拓,并结合典型工程实例,探讨了在不同的局部边界上如何有效理解和灵活应用圣维南原理。教学实践的效果表明,在力学课程中开展探究性案例教学,可使学生更加深刻地领悟力学原理的实质及其应用的灵活性,进而感受到力学之美。
-
结构力学课程线上混合式教学实践
为了保证结构力学线上混合式教学质量,促进学生主动学习,提升人才培养质量。以结构力学教学大纲与培养目标为依据,选择学习通和钉钉软件作为教学平台,优化配置教学资源,创新课堂教学设计,通过立德树人、学习引导、学习探索、教学提升和教学创新五个方面保障线上混合式课堂教学效果,通过作业、测试、互动讨论和签到四大模块保证全过程教学管理公平公正和平时成绩真实有效。结果表明:学生整体上学习态度端正,主动学习的积极性明显提升,平时成绩综合表现良好,期末卷面成绩综合表现较好,基本达到了线上线下教学效果实质等效的目的。教师用心,学生用力,结构力学课程线上混合式教学模式可以保障和提升学生培养质量。
-
The Inspiration from Idea of Engineering Science Proposed by Qian Xuesen for Teaching of Mechanics 阙仁波
对钱学森技术科学思想提出的历史背景作了尝试性的反演,以经验技术与科学技术之间的差异作为切入点来引入和介绍钱学森技术科学思想。以该思想为理念的人才培养模式,对于作为技术科学典范的力学的教学尤其富有启迪性,文中结合具体例子作了深入的阐释。
-
基于情境创设的3+2探究式教学改革研究及实践----以《土木工程材料》为例
培养高素质、有担当、有创新能力的人才是高等教育的主要目标,也是高等院校“双一流”建设的必然要求。土木工程科学在大学教育培养目标中有着独特的地位,大学工程教育不仅要关注过程也应当关注目标,采用过程与目标融合的探究式教育模式具有较好的优势。本文以《土木工程材料》课程为例,基于探究式科学教学的基本原理、工科教育特征和专业培养目标的要求,提出构建3+2式探究式教学目标体系,涵盖知识和能力培养目标和过程、方法及态度培养目标,同时基于“最近发展区”提出创设学习情境和设置探究点及探究项目的科学方法。实践表明:该教学改革模式能够有效提高学生创新能力和科研素养,可操作性强,具有显著的科学性和创新性。
-
科研创新与工程实践相结合的土木工程专业毕业设计模式探讨
毕业设计是土木工程专业本科教学过程的最终环节,是对本科四年所学理论知识和专业知识系统性地检查与应用,是为培养学生工程应用能力和科研创新能力进行的系统全面的训练环节,更是体现学生在解决复杂工程问题方面的综合能力。传统土木工程专业本科毕业设计模式主要以工程设计为主,注重培养学生工程实践能力,而忽视了科研创新能力的培养,不利于土木工程专业毕业生综合与全面的发展。该文以兰州理工大学土木工程专业建筑工程方向毕业设计为例,通过对指导教师与学生的问卷调查,分析该校现有土木工程专业毕业设计过程中存在的主要问题,探索科研创新与工程实践相结合的土木工程专业毕业设计模式,以期为同类院校土木工程专业建筑工程方向毕业设计教学提供参考。
-
基于信息技术与校企协同的应用型土木类专业综合改革与实践
传统土木类专业人才培养模式存在企业参与度低,课程内容滞后于行业技术发展、理论与实践教学、管理方式落后等诸多不足,课题组通过深入调查研究,提出理论学习—实践成长—理论梳理的“3+0.5+0.5”人才培养新模式,构筑校企联动人才培养的长效机制;融合现代工程智造技术,重构专业课程体系,依托全国BIM技能大赛平台,实施项目驱动式教学,培养工程智造能力;利用信息化技术改革传统教学与管理方式,实施无边界教学与实习管理,构建了实践教学质量评价量化体系。土木类专业综合改革获得行业企业的高认可,人才培养质量与就业质量稳步提升,可供其它应用型专业改革参考、借鉴。
-
基于专业认证的机械设计制造及其自动化一流专业本科人才培养方案探索—以重庆大学为例
源于国家和地方经济发展需求,结合重庆大学的办学定位和人才培养方向,围绕立德树人根本任务,基于工程教育专业认证的最新标准以及一流学科建设要求,制订了专业培养目标和毕业要求,构建了公共基础课程、通识教育课程、大类基础课程、专业基础课程、专业课程、实践环节以及个性化模块等专业课程体系,重点在汽车制造及零部件配套产业、高端装备制造行业和智能机器人行业,与企业展开了协同育人工作。根据评价结果持续改进培养目标、毕业要求、课程体系设置以及教学过程等,提出了以培养机械工程高素质创新型人才为目标的人才培养方案,探索了具有中国特色和重大风格的机械设计制造及其自动化专业一流本科教育,为服务国家和地方高质量发展提供人才保障。
-
虚拟仿真实验辅助建筑设计基础课程的改革与实践——以浙江农林大学“南方四角攒尖亭建造虚拟仿真实验”为例
建筑设计基础课程受场地局限和传统教学模式约束,存在缺乏工程实践能力训练、重复性教学、学生对三维空间认知理解困难的问题,浙江农林大学“南方四角攒尖亭建造虚拟仿真实验教学项目”基于这些问题进行开发,针对工程实践能力训练开发有“虚拟建造”模块,针对重复性教学问题开发有“基础认知”模块,针对三维空间认知理解问题开发有“案例学习”模块,并探索了与之相适应的教学方法改革,实践表明虚拟仿真实验能够很大程度上弥补传统教学模式的不足,随着高新信息技术的不断发展成熟,未来将在教学活动中发挥越来越重要的作用。
-
新工科背景下传统工科专业教育的创新发展与实现路径
土木工程专业是传统工科专业的典型代表,新工科建设背景下其专业教育的新工科改造面临无既定范式、教育教学理念落后、内容体系与平台建设零散且运行机制缺少“闭环”检验等问题,这些问题亦普遍存在于其他传统工科专业。中南林业科技大学土木工程专业以“以生为本、成果导向、全要素协同”育人理念为统领,通过优化和完善六个内容体系和六个教育教学平台,建立持续改进的课内、校内与校外“三循环”机制,构建了“新理念指导、全要素协同育人”的全员、全过程、立体化的人才培养新模式,取得了显著的专业建设成效。其“专业先行,学科后发再并行”的发展思路、“谋定而后动,知止而有得”的实施路径、师生全员全过程深度参与以及学院自主办学的经验对于新工科背景下传统工科专业的创新发展具有一定的借鉴意义。
-
面向智能建造的多专业实训教学体系重构路径
培养智能建造工程人才,需要优化实训教学体系。建筑行业正在经历整体转型,一是从人力稀缺导出建筑工业化、二是从管道产品转向零部件产品、三是从一次交讫转为全周期运维,与此对应,土建工程师的适岗能力也有新诉求,尤其是应用型人才的工程能力、建筑工业化的协作能力和产品服务化的数据能力。应用系统动力学理论,解析实训教学与技能习得两大变量之间的因果链、增强回路、调节回路和反馈机制,研究结果表明:地方高校土建类专业可以从设计教学语境、人机交互平台和产教融合课程三个方面,优化实训要素的连接关系,重构多专业全周期实训教学体系,能契合智能建造人才需求。
-
导师工作室在建筑类研究生培养中的作用效果探讨
为进一步优化导师工作室教育模式,提升建筑类研究生的培养质量,在对工作室研究文献梳理的基础上,从思政教育、课程学习、学术能力和专业技能培养四个方面提出了工作室在建筑类研究生培养中的作用框架,然后采取问卷调查法对山东建筑大学建筑类研究生的培养效果进行评价,其中特别关注了有和无工作室培养经历两类研究生的差异,最后提出针对性优化策略。经研究发现,工作室已经成为该校建筑类研究生工作学习的主要空间载体之一,并在其培养过程中发挥着重要而积极的作用。虽被调查的样本整体上还存在学术成果产出质量不高等问题,但是有工作室培养经历的研究生,在思政教育、课程学习、学术能力和专业技能四个方面的培养效果更加突出。
-
多主体协同育人模式在城乡规划专业本科联合毕业设计中的实践与思考——基于新工科背景下地方高校的应对
文章基于新工科建设背景,提出地方高校城乡规划专业毕业设计应体现“四位一体”综合创用能力的课程目标。然后,将“多主体协同育人”模式应用于全国城乡规划专业“7+1”联合毕业设计教学实践之中,具体从校际协同、校内协同及校政企等多个层面阐述了毕业设计教学改革实施措施。最后,提出新工科建设背景下城乡规划专业本科联合毕业设计改进策略,以期为地方高校毕业设计教学改革提供新的思路,助推新工科建设下城乡规划教育改革与创新。
-
基于课堂+项目二元载体的研究生课程教学改革实践——以《混凝土材料科学与技术》为例
课程教学改革是研究生教育中的重要环节。本文结合《混凝土材料科学与技术》课程内容特点和土木工程大专业的实际需求,在课程教学中提出了“理论与实践深度融合、研究能力大力提升”的教学改革目标,确立了以“课堂+项目”二元载体的教学模式,形成了以强化研究能力培养为目标导向的“理论知识教育-研究实践教育”一体化教学理念和方法,有效促进了研究生自主学习能力、知识运用能力和科学研究实践能力的提升,在课程教学改革实践中取得了良好效果。
-
具有“广度”和“深度”的《建筑遗产保护技术》教学研究
通过梳理建筑遗产保护的发展历程及国内外高校学科专业的建设情况,探讨培养符合需求的专业人才的技术课程教学体系。着重分析东南大学建筑学院研究生课程《建筑遗产保护技术》的教学目标、课程内容和教学形式,探索兼有广度拓展和深度延伸的完善的教学体系,以激发教学活力、提升教学质量,促进人才培养迈向更高的层次,培养符合中国国情的技术型建筑遗产保护人才。
-
疫情防控下港口航道与海岸工程专业在线教学的实践与思考
2020年初,新冠肺炎疫情全球爆发。在教育部“停课不停教,停课不停学”的要求下,在线教学受到了前所未有的关注。如何保障在线教学质量,确保学生的学习效果,是疫情期间的教学难点。以同济大学港航专业为例,对在线教学的平台选取、组织安排、考核方式及质量管理等方面进行了积极的探索,提出了“平台选择重效果、教学组织重培训、学生考核重过程、实践环节重引导”线上教学质量保障体系,同时,在实践教学的基础上总结了在线教学所面临的困难并寻找了解决方案,以期为今后港航专业的在线教学提供参考。
-
基于工程教育认证理念的专业导论课教学改革研究与实践
基于工程教育认证理念,围绕12条毕业能力要求,以《道路桥梁与渡河工程导论》为例,对工程导论课的知识体系进行重构,分为四个模块,由知识丰富的四名教师分别授课,课程融入新生入学教育的能力培养引导,双语教学和课程思政。课堂组织采用分组教学,在课程学习综合评价体系上,采用线上视频任务点、复杂工程问题思考、小组提问式教学、小组专题汇报和开放式结课论文等多层次考核方式。在加强或改善师生教与学关系方面,建立了融所有专业教师与学生的沟通平台,实现不间断指导,另外,还设计了“师生联动30年”构架,将校友经验分享融入到导论课及其他专业建设协助。通过多轮改革与实践,为同类工程导论课教学研究和实践提供了有益的指导。
-
促进高校科研实验公共平台良性发展的建设实践与思考
教育部重点实验室作为普通高校重要的科研实验公共平台,其建设与管理是推进高校实现科研资源开放共享的有效手段[1]。研究以重庆大学山地城镇建设与新技术教育部重点实验室为例,结合实际问题,总结实验室建设中5项主要的实践经验:①合理人才梯次,加强领军人才引育;②增强研究保障,加大硬件投入力度;③产学研用融合,促进科教平台发展;④立足山地特色,扩大对外学术交流;⑤管理虚实交替,实现硬件权益共享。为高校科研实验公共平台——教育部重点实验室运行建设管理提供一些参考建议。
-
“创新+”土木工程专业实践能力耙向培养体系构建-以浙江水利水电学院为例
基于土木工程专业新工科建设需要,结合专业人才培养特色构建应用型人才培养目标实践体系。根据土木工程专业本科生能力培养与职业发展特色,结合第一课堂专业层面实践教学环节的“项目制一体化设计”及课下科技创新活动的针对性开展,形成明确的“耙向性”创新+专业实践能力培养体系,实现土木工程专业具有创新意识+专业综合实践能力的人才培养目标。近三年的实施实践结果表明,土木专业的学生入校即知四年来需研究的目标与学习任务,再通过创新能力培养平台及专业实践教学环节训练,指向性培养专业所需要的能力,达到所要求的毕业要求及人才培养目标,提高就业竞争能力及社会服务能力。
-
山区桥梁结构与材料教育部工程研究中心的开放服务探索与实践
开放服务是教育部工程研究中心的重要功能,山区桥梁结构与材料教育部工程研究中心积极响应国家政策,在开放服务方面积累了一些经验。开放服务主要体现在设置开放课题、主办或承办学术会议、仪器设备开放共享、积极进行学术交流、积极开拓和深化国际产学研合作、积极与国内外高水平科研院所与工程中心合作、科学传播、对外技术服务。这些创新举措大大激发了中心的服务能力、研发能力、社会影响力与对外交往活力,为地方高校的教育部工程研究中心开放服务探索了一种新模式。中心在开放服务所取得的成效,可为同类工程中心的建设与运营提供参考。
-
“双一流”背景下高校博士研究生创新成果评价体系改革探析
“双一流”建设是新时代党和国家的重大战略部署,是促进我国高等教育事业发展、深化高等教育体制改革的有效途径。坚持以“四为”和去“五唯”为指导思想,根据我国研究生教育改革的总方针,在分析“双一流”背景下高校博士研究生培养和学位授予现状的基础上,针对传统培养和评价方式的不足,明确了重视过程监督,注重评价方式多元化的改革思路。对建立、完善“双一流”背景下高校博士研究生创新成果评价体系改革,提出了建设一流的博士生指导教师队伍、健全导师岗位管理制度,确立完善的博士学位论文全过程质量监督保障机制,根据不同高校、不同学科特点制定相应的创新成果评价方案等系列措施,相关措施可为各高校博士研究生培养和学位授予改革提供借鉴。
-
木结构设计软件教学模式探索
《木结构设计软件》是南京林业大学木结构建筑专业的一门专业核心与特色课程,是木结构专业技术人员从事专业工作的重要设计工具,关系到木结构专业人才综合素质的培养。该课程主要以国际木结构建筑专用设计软件瑞士Cadwork和德国西玛为载体,教学内容涉及国际木结构知识多,教学课时有限,教学难度大。针对课程特点和难点,从培养学生综合能力出发,在教学内容、教学方法、课程考评与实践活动方面提出了一系列的创新模式。课程以教师课堂讲授为主,软件专业培训工程师在线答疑和国外专家学术报告活动为辅进行教学。同时组织国内外学生进行复杂模型设计(一对一),运用所学软件参与国内高校间木结构模型设计竞赛及木结构数字化设计与加工等生产实训。教学实践表明木结构设计软件课程的教学模式取得了良好效果,学生的综合能力得到了明显提高,为今后的工作学习奠定了坚实基础。
-
大数据时代下研究生科研素质培养研究
科研素质的提升是高校研究生培养的重要目标。伴随着信息技术的发展,研究生的培养已经与大数据发生了深度融合,海量科学数据逐渐成为科学研究的基本工具和信息来源,同时也为学术不端行为提供了机会。如何在大数据浪潮下推进教育事业的发展,稳步提高学生的数据素养和科研素质,驾驭住第四范式的挑战成为亟待解决的问题。本文重点分析了大数据时代下高校学生学习方式和科研方法的改变,从教学模式、科研方法两方面具体研究了大数据对研究生科研素质培养带来的巨大冲击,同时分析了多样化数据带来的包括知识产权、科研伦理等问题,针对大数据应用于教育领域的独特性,从以下四个方面提出了研究生科研素质培养的建议:(1)研究生的培养要顺应时代发展的潮流,采用线上线下相结合的培养模式;(2)高校应着力建设自己的数据库,同时考虑与专业数据公司合作共享数据;(3)注重提高学生的数据处理能力;(4)培养学生对新兴技术的应用;(5)要加强研究生科研伦理的培养。
-
OBE-PDCA理念在特设专业实践教学体系的重构与运行——以城市地下空间工程专业为例
针对当前我国特设专业实践教学中存在的问题,提出以OBE理念重构实践教学体系,并以PDCA理念改造实践教学体系的运行机制。以城市地下空间工程专业为例,详细阐述了在OBE理念下实践教学体系从实践教学目标—实践教学体系—实践教学方式—实践教学评价的“反向设计”流程,详细分析了PDCA理念下实践教学“计划、运行、监控、改进”的质量管理过程。实践表明,基于OBE-PDCA理念的城市地下空间工程专业的实践教学体系的重构与运行取得了良好的效果,可为特设专业的实践教学改革提供参考。
-
产学研一体化土木工程创新人才培养的研究
土木工程是一门实践性很强的学科,土木工程人才培养需要与工程实践相结合,产学研模式对人才培养质量提升具有重要意义。结合十余年的土木工程教学工作,形成了产学研一体化的土木工程创新人才培养模式。总的来讲,高校需要培养更多适应社会需要的复合型人才,企业需要根据自身需求提出相关的专业及技术需求。只有校企携手构建起一套集“协同办学”、“协同育人”、“协同创新”于一体的产学研合作育人体系,才能有力推动学校产学研一体化土木工程人才培养的内涵式发展。
-
基于云模型的教学质量评价方法的有效性研究——以工程力学课程为例
为了解决高校教学质量评价方法的主观性和有效性问题,提出了基于云模型的教学质量评价方法并探讨了避免主观性影响的教学评价有效策略。首先描述了高校教师教学质量评价的主要内容,从六个方面给出了教学质量评价体系的主要构成。然后分析了教学质量评价体系的主观性问题,并探讨了评价结果的有效性。最后利用云模型在处理统计问题中的模糊性和随机性方面的优势,提出了基于云模型隶属度组合策略的教学质量评价方法,以提高教学质量评价的可靠性并降低主观性的干扰。以某一工程力学课程的评价数据为例,分别采用了传统的主观观察排除法和统计标准差偏移排除法,以及所建议的云模型隶属度排除法和云模型隶属度组合法进行了教学质量评价计算和分析。结果表明,所建议的云模型隶属度组合法可以较为准确地进行教学质量评价,不仅降低了个人主观性判断的干扰,而且改善了教学质量评价结果的有效性。
-
深部地下空间热湿环境调控虚拟仿真实验教学系统的构建
虚拟仿真实验是将信息技术融入实验教学项目、提升实验教学质量和水平的重要举措,被列为教育部推出的5类国家“金课”之一,在创新人才培养方面发挥了重要作用。紧密依托学科优势和科研特色,基于“学生中心、自主交互”+“虚实结合、相互补充”+“科研前沿、特色明显”的设计理念,坚持需求和问题导向创新实验教学模式,将特色研究成果转化为实验教学资源,构建了“模块化+层次化+碎片化”的地下空间热湿环境调控虚拟仿真系统。学生可不受时间和地点限制,自主开展“沉浸式体验+专业化学习+交互式操作+全程化考核”线上虚拟仿真实验,弥补了传统实体教学资源的不足,丰富了实验教学手段和资源,提高了学生动手实践以及解决复杂工程问题的能力,有效提升了人才培养的成效。
-
基于土木专业课程模块的思政教育探讨
“课程思政”是高校推动课堂教学改革和提升课程育人质量的有效途径。目前高校土木工程专业课程思政教育过程中存在的主要问题为:专业课教师思政教育观念不强,思政教育水平相对较低;专业课程思政教育缺乏可借鉴的实践经验;相关专业课程之间缺乏有机联系,无法有效落实思政教育。本文以岩土工程系列课程为例,提出以专业方向课程模块为基本单元,从提升专业团队教师思政教育水平、开展专业课程及专业实训环节一体化协同思政教育、编写专业课思政教育辅助教材、开展专业课思政教育第二课堂等四个方面进行全方位、全过程专业课程思政建设,真正实现专业课程“知识传授”与“价值引领”两重教育功能的协同、联动效应,为国家工程建设培养政治方向正确、理论基础扎实、具有创新能力的高素质土木工程专业人才奠定基础。
-
给排水科学与工程专业的社会需求特征及其工程教育知识体系研究*
按照《普通高等学校本科专业类教学质量国家标准》中规定的专业内涵和培养目标等,结合工程教育评估认证的要求,从资源性、社会性、环境性、经济性等8个方面,系统分析了给排水科学与工程专业的社会需求特征。结果表明该专业的社会需求具有涉及范围广、影响因素多、复杂程度高、综合性较强等特征,从而应对该专业的工程教育知识体系构建,课程体系设置、教学体系实施等提出相对更高的要求。据此,基于成果导向(OBE)的教育理念,提出了与给排水科学与工程专业需求特征相适宜的工程教育知识体系,并系统分析了它们之间的耦合关系。
-
基于BIM的应用型本科工程管理专业《工程造价管理》课程设计与组织——以广东海洋大学寸金学院为例
随着信息技术的不断发展,我国目前处于互联网+、人工智能、大数据时代,随着5G技术的到来,新时代即将进入到一个万物互联的时代,随着工业信息化的发展,BIM(建筑信息模型)成为建筑工程领域的一大变革,新的时代的发展必然对人才的需求提出新的要求,工程领域传统的教学体系和传统的教学内容可能已经不太适合新时代的要求,在此背景下,本文首先分析目前基于BIM的工程管理专业课程发展现状,以广东海洋大学寸金学院为例,探讨基于BIM的应用型本科院校工程管理专业《工程造价管理》课程设计与组织,为应用型本科院校工程管理专业《工程造价管理》课程设计和组织提供参考。
-
以解决复杂工程问题能力为导向的测绘工程专业实践课程体系构建
解决复杂工程问题能力是当前工程教育认证、高等工程教育面临的重要问题。通过阐述当前高等教育、高等工程教育新形势、新要求,结合工程教育认证理念,分析了复杂测绘工程问题的特征,结合学校办学定位与特色,构建了测绘工程专业培养目标、毕业要求,分解了实践教学应培养的能力,进而建立了支撑复杂工程问题能力培养的实践教学课程体系,构建了实践教学-能力培养路线图,将能力分解到课程进行层次化、模块化培养,以保证解决复杂工程问题能力的达成,其结果可为测绘工程及相关专业人才培养方案修订与实践教学课程设置提供借鉴。
-
“三全育人”背景下学生党建进舍区工作研究 ---以重庆大学虎溪校区为例
为了推动高校“三全育人”工作,探索全员育人、全过程育人和全方位育人的新格局,重庆大学虎溪校区结合自身优势,积极探索学生舍区党建工作的新途径、新方法,通过建立“一站两室”工作平台、完善“师生协同”工作机制、开展“五位一体”舍区教育等途径,将思政教育和舍区教育相融合,形成舍区一体化育人的大格局。经过多年的探索与实践,重庆大学虎溪校区党建工作进舍区取得了积极的成效,以舍区党团活动室为主阵地的党建工作蓬勃开展,但在舍区党组织架构、党建宣传、舍区党员模范作用发挥、党建工作与舍区教育深度融合方面尚需要进一步探讨。将党建工作深度融入舍区教育中,需要从学校层面进一步明确校区定位,理顺体制机制,整合育人队伍,明晰工作职责,协同协作、同向同行,形成一体化育人的良好局面。
-
基于OBE理念的港口航道与海岸工程专业课程思政设计与实践——以《航道工程学》课程为例
党的十八大报告首次提出“把立德树人作为教育的根本任务”。高等教育必须坚持与新时代同向同行,坚持把服务中华民族伟大复兴作为教育的重要使命,从人才培养、课程建设、高校治理等角度深刻认识并全面推进课程思政建设。针对专业课程思政的建设现状和存在的问题,同济大学港口航道与海岸工程专业在产出导向教育(OBE)理念指导下,对专业课程思政进行总体设计,梳理和凝练专业课思政理念,并将思政元素融入到培养目标、毕业要求和课程大纲的修订及教学实践中。以专业核心课《航道工程学》为例,结合新时代、新发展、新思想等话题展开案例研讨与交流,树立榜样人物、讲好中国故事,激发学生的责任感、使命感与荣誉感,引导学生不断提升专业素养,帮助学生树立远大理想信念。
-
基础力学课程思政教学理念与实践探索
全面推进课程思政建设是落实立德树人根本任务的有效措施,影响甚至决定着人才培养的问题、国家长治久安、民族复兴和国家崛起。基础力学课程对于多数理工科专业是非常重要的专业基础课,如何将课程思政教学理念融入到基础力学课程中,实现协同育人的目的是广大力学教育工作者需要迫切解决的问题。以基础力学课程为例,通过发挥教研室团队共建与实践探索,深度挖掘课程中所蕴含的思政元素,探究课程思政教学案例与实施路径,为高校力学课程协同育人建设提供参考。首先,强调基础力学课程思政教学改革的必要性;其次,通过引入课程思政教学案例,培养学生爱国主义情怀与对科学的不懈追求,提升学生民族自豪感与文化自信,培养学生在矛盾中统一的辩证思维,塑造学生正确的人生观、价值观、工程伦理观;最后,提出多维度、多环节的课程思政实施路径,并将现代信息技术与学生参与加入到课程思政的改革中。
-
城市地下空间工程专业学科竞赛建设的探索与思考
全国大学生学科竞赛是激发学生学习兴趣,培养学生创新思维,锻炼学生团队协作、提高学生综合素质及增加高校学生交流的重要手段。城市地下空间工程专业于2002年由中南大学首先开办,是一个相对较新的专业,城市地下空间工程专业对应的学科竞赛举办时间也较短,目前仅举行了4届,虽然随着举办届数增加,参赛高校越来越多,但多数高校还没有形成系统的学科竞赛建设模式。为了充分发挥学科竞赛在人才培养中的作用,提高本科生学科竞赛水平,本文以西安建筑科技大学城市地下空间工程专业为例,分析了其学科竞赛的现状,提出依托省重点实验室建立统一管理系统,建议了学科竞赛的建设思路,最后讨论了学科竞赛对教学改革及人才培养的重要意义,以此为契机提高学生参赛水平,提升学科竞赛的影响力,充分发挥学科竞赛在人才培养方面的意义,为学科建设提供有力支撑。
-
工科研究生培养中课程思政专业课程教学探讨与实践
为了推进研究生培养中“课程思政”示范性课程的建设,在分析专业课程开展课程思政存在的问题基础上,明确课程思政的内涵和要求,探讨专业课课程思政建设的对策和思路,并提出信仰+情怀+素养的专业课课程思政教学理念。最后,以郑州大学土木类研究生为例,针对专业课《桥梁结构计算理论》开展的课程思政教学实践。
-
土木工程施工课程多线上平台的教学探究和实践
为了在疫情防控期间实现“停课不停教”,“停课不停学”,华南某高校的《土木工程施工》课程采用了多线上平台授课的方式,并取得了良好的效果。本次线上教学基于中国大学MOOC、建筑云课、课程在线直播平台、QQ群等多线上平台进行教学内容的讲授,并运用问卷调查对教学效果进行评价,结果表明,基于多线上平台进行教学,给学生提供了丰富且灵活的学习方式,可以显著提高学生的自主学习能力、扩大学生的知识面以及提高学习效果。这种多线上平台教学的应用模式为疫情期间的课程教学改革提供了新思路。
-
新工科背景下工程项目管理课程思政元素的融合与教学实践
结合《工程项目管理》课程的教学内容、特点,探索如何在专业教学中融入“课程思政”理念,阐述教学方案设计的内容、提升教师的思政能力,以及论述课程思政与课程、案例结合的过程。以火神山医院建设项目为案例进行深度分析,挖掘潜在思政元素,最后对课程思政建设作结论。
-
高层建筑施工与品茗软件深度融合教学模式的构建及实践
针对高层建筑施工传统教学方式上存在诸多问题与不足,本文推行高层建筑施工课程与品茗软件深度融合的教学模式,实现二者在知识内容、培养目标上的高度契合,让《高层建筑施工》课程适应行业和技术的发展,满足社会和企业对人才的需求;采用翻转课堂进行教学,创建以学生为中心的高层建筑施工教学体系和以能力测评为核心的多元化的评价体系,培养学生的工程实践能力和BIM技术的应用能力,实现信息技术与教学深度融合;挖掘课程蕴含的思政元素,形成课程与思政同向同行协同效应。高层建筑施工课程与品茗软件深度融合的教学模式,为学生提供独立思考与自由发挥的空间,创造进行多种能力锻炼的机会,形成激发创新的课堂情境, 教学模式对土木工程专业课程教学具有借鉴意义。
-
工程设计模式在建筑学专业建筑施工课程教学改革中的运用
文章从建筑工程质量入手,在分析建筑学专业人才培养及建筑施工技术课程教学现状的基础上,探索将工程设计模式运用于建筑学专业建筑施工课程教学之中,提出工程设计式案例教学与建筑学课程设计相结合的教学思路。通过对建筑学专业工程设计式案例教学过程展示和教学效果分析,阐述工程设计式教学的程序与特点。教学实践证明,建筑学专业建筑施工课程工程设计式教学不仅丰富了建筑施工教学内容,同时还提高了建筑学专业学生自主学习能力和工程实践能力,为建筑学专业课程实践提供新的思路。
-
面向“新工科”的智慧建筑学院土木工程专业人才培养方案创新研究与实践
本文面向“新工科”和建筑业发展需求,针对校企合作共建智慧建筑学院的土木工程专业人才培养方案进行研究,明确了面向建筑工业化和智能化确立培养目标,通过构建“工科通识平台、土木专业基础平台、新技术与交叉学科模块、工程与社会模块、创新创业模块和智慧建造方向模块”,形成适应地方本科院校土木工程专业改造升级的课程体系,并通过采取“引企入教”和校企多主体合作的“3+1”培养模式,以智慧建筑学院为载体,开展实践研究,在培养企业急需的适应建筑工业化、数字化、智能化发展的应用型本科人才方面进行了大胆尝试,取得了良好的效果,可供同类院校开展新工科专业建设参考。
-
新工科背景下多学科交叉融合的建环专业人才培养模式探索与实践
“新工科”建设是应对经济发展、产业变革和全球竞争,推动我国迈向高等教育强国的重要战略举措。依托学校传统工科优势和特色资源,立足建环专业新工科发展方向,对多学科交叉融合的建环专业人才培养模式进行了探索与实践。通过合理定位人才培养特色、构建多维交叉融合课程体系、组建多学科融合师资队伍、打造多元化协同育人实践平台、推进科研创新和科技竞赛融入教学、开展高水平国际化合作办学等举措,形成了多学科交叉融合的建环专业特色办学模式,实践成效良好。该人才培养模式的创新和实践可为其他行业特色高校专业建设提供借鉴和参考。
-
文化自信视域下的高校历史建筑:精神凝聚与文化传承
文化自信是一个国家和民族的优秀文化,在精神层面的有力阐释和行为层面的自觉传承。高校历史建筑作为大学重要的物质遗产和精神文化载体,具有从建筑实体、艺术设计和记忆空间中将大学的优秀文化转化为师生员工情感认同的可能,成为凝聚大学人精神力量的纽带,进而在自豪、自尊的基础上构建大学人的文化自信,并为大学文化的有效传承提供文化原型和精神源泉。目前,在提倡挖掘优秀传统文化的语境下,许多高校存在着历史建筑文化资源浪费、宣传利用不到位的现象。大学人仍需群策群力,将历史建筑打造成为具有独特价值和鲜明特色的文化遗产,成为提升大学文化自信有效渠道。
-
以提高学习成效为目标的重开课教学改革与实践
在大量调研数据的基础上总结了目前高等院校重开课班教学管理体系以及学生本身存在的共性问题,坚持以人为本的教育理念,结合自身实践教学经验,从提高学生思想认识、科学组织课堂教学、改革教育管理模式、加强师生交流、明确学生管理与课堂教学关联性、科研教学相长等方面提出了提高学习成效、全面育人的具体措施。研究对于提升目前大学生的认知水平、激励任课教师的责任感、改进现有重开课教学模式、完善高等院校的教学管理体制有一定的借鉴意义。
-
土木建筑内课程在线教学的教学质量提升与变革的思考
高等教育教学中,往往注重教师侧的教学能力提升,而对学生侧汲取知识的能力提升却缺乏必要的思考。结合此次全国范围的在线教学模式的开展,作者针对受众学生的状态进行了调研分析,并在此基础上开展了教学方法革新的思考。通过状态调研,反映出在线模式下,学生的自我思维意识对于学习效果具有明显的影响,而学生的自我思维意识的提升,也正是在学习的过程中得到逐步的实现。在教学方法和模式的问题分析中,结合调研反映出的各阶段受众体特性的不同,提出了应根据不同的阶段,按阶施教的思路。
-
企业研究生工作站培养专业硕士的效果评价与对策研究
本文结合国家对专业硕士学位研究生职业能力培养的定位和要求,对相关研究进行了系统梳理。在此基础上,以东南大学建设的企业研究生工作站为研究对象,选择在站的专业硕士和其校内外导师群体进行不同的问卷调查,依据问卷结果,对学生和其校内外导师两类群体对企业研究生工作站培养模式的认知和意见进行了分析和总结,对企业研究生工作站在专业硕士学位研究生职业技能培养中作用进行了评价和分析,进而针对存在的问题提出了改进策略建议。
-
基于STU模式的研究生专业课程线上教学实践探索——以《建筑节能》课程为例
对研究生专业课程——《建筑节能》线上授课的方式进行了实践探索。通过对研究生的问卷调研,分析了线上教学利弊,采取相应趋利避害的应对措施。根据课程小班制授课特点,选择可进行课程录播回放的腾讯课堂并结合分享屏幕功能较好、运行较为流畅的QQ群共享授课形式;采用线上视频直播授课并穿插以不定时提问的方式应对线上授课学生听课状态不好的问题;提出以调动学生学习积极性、激发学习动力和专业志趣为特点的STU教学模式,注重学生的自主学习能力的培养,从提升专业兴趣角度出发,将枯燥的静态知识利用模拟软件等数字信息化手段转化为动态的兴趣学习,课程知识融入每个学生的研究方向,又在小组协作中取长补短,从建筑节能及可持续发展的角度拓展学生的科研思维,提升学生的创新意识。
-
本科层次职业职业教育人才培养实践——以重庆机电职业技术大学工程造价专业为例
重庆机电职业技术大学作为全国首批本科层次职业教育试点院校,在秉持“层次上属于本科教育,类型上属于职业教育”的特征属性基础上,积极参与本科层次职业教育人才培养实践。首先,通过人才培养目标的转变对职业本科和职业专科、普通本科的区别与联系进行论述,找准本科层次职业教育人才培养目标的定位。其次,从师资队伍、实践教学、专业教学、技能培训四个方面对本科层次职业教育的人才培养体系进行构建。最后,以重庆机电职业技术大学工程造价专业为例进行本科层次职业教育人才培养实践。通过本次人才培养实践,设置了以岗位能力为标准的模块化课程;首次将“1+X”证书制度纳入课程教学与考评体系;促进了工程造价专业数字化、智能化线上教学模式的改革。
-
农业院校土木工程专业“五位一体”人才培养模式建设与实践
乡村振兴和粤港澳大湾区建设为农业院校土木工程专业人才培养提供了新的发展机遇。为实现农业院校土木工程专业“懂管理、精设计、能施工”一体化人才培养目标,通过整合校内外教学资源,遵循“工为本,工农结合”的办学特色,创建体现农业院校特色的“五位一体”人才培养模式。在课程体系、实验教学体系、学生科技团队、师资队伍、教学质量监控保障体系等方面进行了建设。实践表明,“五位一体”人才培养模式在教学条件建设、师资队伍教研水平、学生综合能力和社会影响方面都取得了良好效果。
-
采矿工程专业材料力学课程教学对应案例分析
材料力学课程是采矿工程专业非常重要的专业基础课。收集、整理并讲授与专业相关的教学案例,可以有效提高本专业材料力学课程的教学效果。在科学技术的推动下,我国的采矿工程行业取得了蓬勃发展,获得了众多优秀成果,也带来了一些失败教训。如果作为教学案例展示给采矿工程专业的大学生,将会使得课堂教学更加充满活力。本文依据材料力学的章节安排,分别列举了与采矿工程专业有关的一些对应案例,包括:非全长粘结锚杆的轴向拉伸、矿柱的轴向压缩、锚杆托盘的剪切和挤压、巷道穿越断层时的剪切、矿用钻机钻杆的扭转、顶板的固支梁和悬臂梁假说、单轴和三轴压缩条件下岩石的强度理论、掘进机传动轴的组合变形、单体支柱的压杆失稳以及竖井罐笼的坠落事故等。这些案例分别对应于材料力学课程中的各个章节,可为授课教师课堂教学提供参考。
-
应用型本科生实践创新能力培养的“双回归路径”探索
摘要:目前应用型本科学生实践创新能力培养往往缺乏抓手。经过十余年的探索,总结出了“课外-课内-课外”和“全员-拔尖-全员”双回归路径,采用该路径能够以点带面、以老带新、以优秀学生带动普通学生在实践中培养创新能力,提高学生创新实践的主动性和参与面。该路径的构建首先从顶层设计入手,科学构建课内教学与课外实践相结合的创新人才培养体系;同时为学生搭建合理有效的赛教相融创新平台,保证创新能力培养由课内向课外延伸;最后优化选拔机制,分类培养学生的实践创新能力,确立学生在创新实践中的主体地位,保障培养效果。以建筑工程学院为例进行了实施,从学生的竞赛获奖、创新成果质量和数量、就业率、用人单位满意度反馈和毕业生满意度调查等方面都反映了该双回归路径对创新能力培养的有效性。
-
应对疫情的混合式教学模式改革与实践——以室内空气环境为例
在新冠肺炎疫情背景下,探讨了线上线下混合式教学模式,并以暖通学科硕士研究生核心课程“室内空气环境”为例,改革教学内容和教学模式,包括:基于线上线下混合式教学模式的教学内容重构,基于智慧教学平台的交流互动设计,基于翻转课堂的线上线下混合式教学设计。结合新冠肺炎疫情网络资源,深入挖掘课程思政元素,融入CFD模拟案例教学中,重塑教学内容。课程论文过程管理采用翻转课堂等,实现线上线下混合式教学,提升学生的学习成效。通过一个学期的教学实践,取得了较好的教学效果。
-
竹皮轴压箱形构件整体稳定性能试验研究
基于114个竹皮箱形截面柱进行了轴心受压试验,研究了0.35mm与0.5mm两种厚度规格竹皮制作的等边箱形截面柱在不同宽厚比下的整体稳定性能,分析了竹皮箱形截面柱的失稳破坏形态和整体稳定系数。试验结果表明:箱形截面构件在受荷时同时存在局部失稳与整体弯曲失稳,其中长细比小于临界长细比的构件在受压时以局部失稳为主,长细比大于临界长细比的构件以整体失稳为主。通过对试验数据分析拟合,计算了两种规格竹皮各三种宽厚比箱形截面构件的临界长细比值,提出了竹皮轴压箱形构件柱子曲线与承载力设计方法,为学生在结构设计竞赛中进行构件截面设计提供科学的理论依据和计算公式。
-
高校专业课混合式在线教学模式探索与实践
受疫情影响,教学活动多转换为在线教学形式。开展信息化教学方式探索,保障线上教学质量是广大师生共同面对的挑战。分析了SPOC、雨课堂、钉钉直播等教学模式的特点,从教学资源准备、教学活动设计、评价体系建立等方面探讨“SPOC+雨课堂+钉钉”的一体化在线智慧教学模式。经工科专业课教学初步实践,取得了较好的效果,可为高校专业课在线教学提供参考。
-
大学生结构设计竞赛受压空心杆力学性能试验研究
为探讨大学生结构设计竞赛常用竹条或竹皮制作的不同类型空心杆的基本力学性能,为参赛者模型制作选择合适的截面尺寸,用0.2 mm,0.35mm,0.5mm竹皮和2*2和3*3mm竹条制作了123个长度为100 mm的不同边长的正方形空心杆试件,应用电子压力试验机测试了其极限承载力,并分析了其破坏形式、荷质比及试验与理论计算值的对比情况。试验结果表明:单层竹皮构件以棱角开裂为主,双层竹皮构件以受弯破坏为主,竹皮+竹条组合构件可避免上述两种破坏形式;单层竹皮构件以0.5 mm,边长为10 mm的构件具有较高极限承载力,但因手工制作原因导致极限承载力降低可达50%;0.5 mm双层竹皮构件的荷质比较大,可达400 N/g;单层竹皮+竹条组合构件的极限承载力在1000 N左右,荷质比在300~450 N/g之间,与双层竹皮相差不大,因手工制作导致的承载力降低较小,适合受力较大的杆件。
-
以“课程思政”为引领的土木工程施工课程教学改革
教育是国之大计,培养什么人,怎样培养人是教育的首要问题。在全员育人、全过程育人、全方位育人的理念下,课程思政是高校思想政治教育教学改革的内在要求,在课程思政引领下进行专业课程的教学改革是趋势和方向。本文结合土建类专业土木工程施工课程,以课程思政为引领,从教学目标、教学内容、教学方法和手段、考核评价、课堂教学组织等方面挖掘课程的思政元素,进行课程思政教学改革探索,为土建类专业课程实施课程思政提供参考。
-
浅谈本科专业课课堂教学中的“三结合”
本文针对工科类专业本科专业课教学中的若干共性问题,结合钱学森现代科学技术体系观,倡导在专业课教学中注重共性与具体、科学与常识、定性与定量“三结合”,即科学共性基础与具体问题相结合、科学原理与生产生活经验常识相结合、定性与定量相结合的基本理念。以土木工程本科专业课《荷载与结构设计原则》的课程教学为例进行了初步阐述。
-
大数据赋能建筑类研究生城市设计教学实践
大数据运用结合城市设计已是城市设计领域的发展趋势,大数据藉由城市设计教学赋能于研究生具有实质意义。根据以往的反馈意见显示,现有城市设计课程结合大数据运用,有着对大数据运用的主观认识不足、压缩城市设计的授课内容、大数据技术基础薄弱造成影响、课程缺乏教学指导依据..等问题。针对上述问题,提出了城市设计结合大数据运用的课程实践,在过程中发现可用教学目标的调整、课前前期准备、阶段操作与大数据教学设定、课程评价与反馈..等步骤,作为大数据运用介入课程的实现手段。在此基础上,可将大数据赋能途径结合城市设计课程,经由奠定大数据基础、数据收集与挖掘、数据分析、数据运用创新设计、可视化表达..等能力的训练,逐步强化学生大数据运用能力。对于最后指出大数据运用已促使学生对城市设计课程的学习出现变化,并影响了学生的创作思维模式。
-
工程教育认证背景下课程思政教学的探索——以“建筑结构抗震”课程为例
十八大以来,国家对高校的思想政治教育提出了新要求。针对高校的“课程思政”建设要求,以同济大学土木工程学院《建筑结构抗震》课程为例,通过分析“课程思政”的意义与目标,结合工程教育专业认证中以学生为中心、成果导向、持续改进三大核心理念,挖掘土木工程专业中蕴含的德育教育元素,并根据《建筑结构抗震》课程自身的特点,探索了“课程思政”教育教学的改革路径。分析从教学目标、教学内容、教学形式与机制三个层面展开,为“课程思政”教育改革提出了建议:首先,“课程思政”应当从教学目标这一根本层面摆正价值观,明确培养什么人、怎样培养人、为谁培养人;其次,思政元素应当映射课程的具体内容,巧妙地融入教学当中,做到“润物细无声”的效果;最后,以学生为中心,通过改革教学形式与机制,提升学生自我认知的思政能力。
-
基于文献计量法的独立学院党建工作分析
独立学院拥有特殊的运行机制,担任培养社会主义接班人的重任,做好独立学院党建工作是新时代的重要课题。理论和现实对比研究,首先梳理独立学院党建工作中遇到的现状和瓶颈;其次,借助文献计量方法,对中国知网2004年至2019年11月的文献数据进行可视化。研究发现,学界持续关注独立学院的党建工作,研究热点内容聚焦在独立学院党建工作必要性、发现问题解决问题、解决问题的具体方法、融合创新思维推进党建发展四个方面,理论研究为解决实际问题服务。加强师生思想政治教育,借助互联网、智能化等新模式为独立学院党建工作赋能,提升党建水平。
-
高校思政教育内生需求下的“问题式”生态课堂模式探究
高校思政课是落实立德树人根本任务的关键课程。要提升高校思政课教学质量,真正实现“课堂革命”,必须探索适应新时代高校思政教育的课堂模式。首先厘清高校思政课内生需求,在此基础上把生态教学思维科学融入思政课堂,以问题设计为核心,以生态主体享有“获得感”为中心,构建“问题式”生态课堂模式。该模式更能充分实现教师和学生双向的“获得感”,从而更好地实现高校思政课教学模式的创新。
-
基于SPOC的应用型本科混合式教学研究与实践 ——以《土力学》为例
应用型人才是当前主要的人才缺口之一,但传统教学方法无法满足应用型人才的培养需求,课程教学改革是完善应用型人才培养体系的一个关键环节。在分析了应用型本科学生特点和课堂教学问题的基础上,提出了课堂教学过程中的四大核心问题,并基于此问题导向,遵循“两性一度”金课标准,以《土力学》为例,分析了当代课程特点、设计了教学过程和考核标准、分析了学生成绩,并进行了教学反思,开展了基于SPOC的应用型本科院校工程类课程的混合式教学研究与实践,实践表明:通过将传统课堂与围绕联网和信息技术建立的新教学生态系统的有机融合,在不增加课时的基础上有效增加了课程难度,激发了学生学习主动性,实践效果良好。为应用型高校工科专业课程深入建设和应用SPOC开展混合式教学,更好的实践“以学生为中心,以结果为导向,以能力培养为目标”的教学理念提供借鉴。
-
“边界理论”视角下研究生师生关系异化成因及对策研究
近年来我国研究生教育发展迅速,招生规模不断扩大,但同时研究生培养也存在诸多问题,师生关系异化即是典型问题之一。本文基于齐美尔“边界理论”的视角,发现研究生师生关系“权责边界、利益边界与行动边界模糊”是导致研究生师生关系异化的重要原因。因此,通过完善师生关系制度规范、倡导师生平等互动理念进而构建清晰边界是预防和化解研究生师生关系异化的关键。
-
新工科背景下桥梁工程课程群构建
在不断完善“新工科”的教育理念的过程中,各工科专业如何有效实施成为“新工科”建设的关键。目前中国在桥梁的建设规模和数量上都取得了举世瞩目的成就,但这只能证明中国是桥梁大国,而非桥梁强国。作为传统工科专业的桥梁工程,在“新工科”的建设中具有一定的代表性,本文将探讨以课程群模式实施桥梁工程专业的“新工科”建设,以及桥梁工程课程群在新工科背景下应该具有的特征。借助于“课程地图”方法构建了桥梁工程课程群的课程组成,进一步对桥梁工程课程群的课程之间关系进行了梳理;充分利用现代化教学技术,开发了桥梁工程课程群平台,对已有教学资源进行整理归纳,加强课程之间联系,让师生能够共享教学资源;同时还明确了新工科课程群教学团队的理念与任务,探讨课程群在实施过程中所遇到的问题与解决方案,交流基于课程群的教学模式经验,进而完善课程群体系、提升教学水平。福州大学桥梁工程课程群的建设成果,可为其它学科的新工科建设提供参考。
-
基于SPSS的疫情期间在线教学效果调查研究
受新型冠状病毒感染肺炎疫情的影响,高校纷纷延期开学,在教育部“停课不停学,停课不停教”的号召下,普通高校教师面临如何利用网络平台顺利开展在线教学并保证教学质量和学习效果的新问题。本文依托在线问卷调查平台“问卷星”,在六周在线课程结束后对本校学生进行了调查分析,调查结果表明:学生对线上教学基本满意,网络稳定性和平台易用性是在线教学效果的主要影响因素。除合理的内容安排和熟练的平台运用外,教师宜多采用在线实时考核方式,以维持学生注意力和积极性。此外,网络课程时长应适当缩短。对于学生而言,应尽量避免使用手机进行学习,而对女生应提供教学平台的额外帮助。这些调研结果为后期在线教学的调整和提高提供了数据支撑。
-
问题-图纸案例-实训教学模式在建筑设备教学上的应用
建筑设备课程涉及建筑给排水、暖通和电气等三大专业,教学上包括理论知识、施工图纸和设备施工安装等。该课程涉及专业门类多,规范多、知识点琐碎,教学难度较大。在应用型本科宽口径、深基础和重实践的人才培养目标下,建筑设备教学从过去的纯理论教学逐渐向理论与实践结合的方向转变。问题—图纸案例—实训三者交叉融合的教学模式,通过问题教学法强化建筑设备理论知识学习,在理论讲授中强调联系图纸案例;通过系统的图纸学习提高学生实际应用能力同时巩固理论知识;通过现场实训或模拟实训增强学生对设备的安装认识。问题-图纸案例-实训的教学模式着重解决在建筑设备教学中,理论如何更好地联系实际以及处理好理论与实践之间关系的问题。通过该教学模式,对比纯理论教学课程评价,学生对课程的认可度提高,课程考核成绩呈上升趋势,学生反馈出的课程问题从教学方式上往课程内容方面转变,反映该教学模式能够提高课程教学质量。
-
基于OBE理念的桥梁工程专业教学设计中的PBL方法创新与尝试
随着教育改革创新不断深入,为推动现代教育技术与教育教学的深度融合,提高高等工程教育教学质量,根据“桥梁工程”教学所面临的新形势,引入基于OBE理念的PBL教学方法在桥梁工程中的应用。桥梁工程作为土木工程专业开设的一门非常基础的理论课程,具有知识面广、实践性强、难度大的特点。结合教学经历和学生反馈,对桥梁工程教学内容、教学法的目标分解、教学法实施与应用进行改革与实践,从“以问题为主线、教师为主导、学生为主体”三方面出发搭建了创新型课堂,以桥梁事故和连续梁桥施工方法这个知识点为例进行说明。通过实践应用,不仅激发了学生主动求知的欲望,培养了学生的创新思维和团队协作能力,还提升了学生认知问题,分析问题,解决问题的能力,提高了成果产出。
-
工程教育专业认证下学生教学参与度提升的探索
2018年新时代全国高等学校本科教育工作会议中明确提出了“加强大学质量文化建设:保合格、上水平、追卓越的三级专业认证”,其中工程教育专业认证是国际通行的工程教育质量保障制度,我国在2016年成为《华盛顿协议》的正式会员。在工程教育专业认证背景下,如何把握好创新教育教学方法,提升学生的教学(课堂、课下)参与度是一个关键问题。本文对我国大学生课堂参与度较低的现状进行分析,借鉴美国明尼苏达大学的授课特色,引入课前准备、高效学习小组、个人评估反馈原则、及时测试等教学方式,并与交通工程专业特性相结合,探索工程教育专业认证下如何提高学生课堂参与度的方法与途径,进而提高学生学习效率,提升大学质量文化建设。
-
“和合”视阈下高校第二课堂德育教育实践基地“三一一”建构模式研究
“和合文化”重秩序、重和谐却又“和而不同”的理论精髓对于当下中华优秀传统文化的创造性转化、创新性发展有极大的借鉴功用。德育教育实践基地作为高校德育教育的重要载体,在高校人才培养过程中肩负着重要使命。该文拟聚焦新时期新要求破解学校第二课堂实践课碎片化、随机化难题,消除德育教育实践基地建设合力不足、资源浪费的困境,在“和合”视阈下探索建构“三一一”模式,通过创新平台建设,重构师资队伍,启动数据库建设,提升高校第二课堂德育教育实践基地建设实效,增强实践基地体系的科学性和长效性。
-
工科专业课全过程互联网+教学模式探索与实践
随着信息技术快速发展,互联网+教育越来越受到关注,相对于中小学普适性教育,由于高等教育专业属性较强,各专业课程校际之间差别较大,进而课程受众面有限,高等教育专业课程实际教学的“互联网+”融合仍较滞后。本文通过分析典型工科专业——建筑环境与能源应用工程专业已有慕课资源情况,结合高等教育中专业课程教学的发展变化,梳理了互联网+技术融入专业课教学的主要问题。根据疫情期间,广大高校师生对通用性在线平台的快速适应情况,结合“互联网+”技术的优势和特点,提出一种依托通用性互联网平台全过程教学模式。该模式利用通用的互联网平台和工具,快速便捷搭建虚+实课堂,整合课前-课中-课后时间,运用该模式在《冷热源工程》课程教学中进行了实践,取得了较好的教学效果。
-
地方院校内涵式发展的基本构成与特征
地方院校是我国高等教育的主体,是推进内涵建设、实现高等教育强国的主要承担者和实施者。内涵式发展是相对于规模式发展的一种发展模式。仅从内涵发展的概念理解,其构成应包括履行高校功能的所有要素,即基于知识活动而融于一体的目标要素、功能要素、主体要素、客体要素和治理要素,及其基准层次和提升层次。内涵式发展的基本构成具有客观存在性、知识过程性、行为结果隐显性和投入产出复杂性等特征。地方院校应当基于系统的观点、矛盾的观点、价值的观点把握内涵式发展要义,突出主体要素的地位和作用,抓关键矛盾和主要环节,避免内涵建设的表面化、形式化,提高建设成效。
-
注重执业能力培养的应用型建设类专业教学改革实践
针对如何提高建设行业从业人员的执业能力,以及提高课程教学难度、挑战度及综合性的问题,本文探讨了在高校的专业教育中实施以执业资格教育为导向、注重执业能力培养的教学改革。教学改革以“公共基础知识与能力、专业技能、实际工作能力、职业道德与执业素质”的执业知识与能力要求为主线,构建注重本科教育基础性的基础教育平台、专业教育与行业企业准入要求的综合实训教育平台、实际操作能力要求的实践教育平台、职业道德与执业素质要求的执业素质教育平台的“一主线四平台”的课程体系。该课程体系的重构使课程设置的线条更为清晰,每一个平台所承担的培养任务和目标更为明确,有利于提高学生的执业能力。综合设计实训项目的教学改革使知识更系统、更综合,难度和挑战度也有所提高,教学过程模拟工程建设的全过程,有利于学生更好地理解工程设计的知识,有利于提高学生的执业能力,激发了学生的学习积极性,教学效果明显。
-
基于实验成绩评定分析的实验教学改革和探讨
为了进一步提高学院实验教学质量,基于实验教学成绩评定标准,分析学院土力学实验课程教学的现状和存在的问题,采用查漏补缺的方法,寻找实验教学体系设计的缺陷,在以往专业实验基础上增设专业基础实验,修订实验成绩评定方案,探讨实验教学改革及实验管理方式,构建具有学院特色的实验教学运行机制和实验教学成绩评定体系等系列改革。结果表明,基于实验课成绩评定的实验教学改革能较好地改善实验教学的效果,优化实验教学方法,对切实提高学生的创新、动手能力提供帮助,同时对培养具有独立开展科学研究工作素质和能力的人才提供一定的指导。
-
工程教育认证背景下结构力学教学“金课”设计探究
基于工程教育理念,分析了结构力学课程对土木工程专业毕业要求的支撑作用,针对结构力学课程特点,按照“金课”的标准对结构力学教学思路进行设计。以课程内容“力法求解超静定结构”为例,采用案例教学法、启发式教学法、研讨式教学法等多种方法,通过从工程实例引入超静定结构,进而讨论力法求解的具体思路和步骤,又将所学知识应用于解决郑州奥体中心体育场钢结构工程问题,从而完成了从解决一般工程问题到解决复杂工程问题的跨越。教学过程取得良好成效,可为工科专业其他工程基础类课程的教学提供参考。
-
土木工程专业课程思政的融入路径——以《混凝土结构设计原理》为例
土木工程类专业课学分占比大,专业课程的课程思政融入路径直接关系到课程思政教学体系建立的成败。将思政元素有机融入专业课堂教学,实现润物无声的育人效果,是土木工程教师的新挑战。以《混凝土结构设计原理》课程为例,探讨了土木工程类专业课课程思政教学目标,支撑点与融入路径。土木工程专业课可围绕政治认同与国家意识、品德修养与专业伦理、学术志向与科学精神等三个维度设定课程思政目标。其中,课程的绪论部分多涉及到课程概述、工程应用、发展历程以及学习方法等。此部分可以挖掘并融入政治认同与国家意识、品德修养与专业伦理两个维度的思政元素。专业知识点章节部分可以通过收集各个知识点的历史文献与经典实验,挖掘并融入学术志向与科学精神维度的思政元素。
-
信息技术助力创建线下一流课程研究
针对当前《土木工程材料》课程教学中存在的课时量少、缺乏教学过程管理、无法实现差异化教学和个性化学习这三大难题,研究者将信息技术引入线下课程教学,教学过程中将重点难点在线化、课堂教学智慧化、课下交流实时化、过程监督持续化,基本实现了个性化学习和差异化教学,有效提升了学生的学习热情。通过使用智慧教学工具等信息技术,围绕课前、课中和课后实施课程,大幅提升了课堂参与度和交流度,全程跟踪记录学生学习的各个环节,对学生的学习起到了很强的督促作用。研究结果表明,信息技术的使用显著提升了学生的学习效果,课堂的参与显著提升,学生成绩有了明显改善,并且使得量化评价学生的学习积极性成为现实,这对及时采取有效措施督促学生学习有着重要意义。信息技术的使用实现了以学生为中心的教学理念,在创建线下一流课程过程中发挥了极其重要的作用。
-
基于“工程师能力-认证标准-专业规范”要求的土木工程专业课程教学大纲研究——以《建设法规》为例
《建设法规》是土木工程本科专业一门重要的建设法规类课程。根据“工程师能力素质—认证标准—专业规范”融合要求,以《建设法规》课程为研究对象,研究了土木工程专业《建设法规》的课程目标及能力要求、课程目标与毕业要求的关系、教学内容及学时分配、教学方法设计、课程考核方法及课程目标达成度评价等内容。研究成果对于工程教育认证背景下,土木工程和工程管理类课程教学大纲编制具有重要参考价值。
-
非全日制土木施工工程硕士培养模式与实践(1998-2018)
同济大学自1998年9月培养第一届工程硕士以来,经过20年的实践,在非全日制土木施工工程硕士研究生的培养过程中秉承着“服务国家战略、对接产业行业、引领未来发展、以学生为中心”的理念,研究非全日制工程硕士特点,直面培养过程中的难点与问题,开展了系列针对性的创新与探索,充分发挥了同济文化的辐射作用和同济土木优秀传统的激励作用,构建了“服务需求、精准对接、协同育人、校企双赢”的长效培养机制,取得了良好的实施效果和社会效益,践行了把论文写在祖国大地上的时代要求,为国家建设行业培养了大量的应用型、复合型高层次工程技术和工程管理人才。
-
面向“一带一路”的铁路工程国际化教育研究与实践
围绕国家“一带一路”倡议,以中国铁路“走出去”发展战略为契机,重点面向东南亚国家和非洲,充分发挥中南大学土木工程和交通运输工程两个“双一流”建设学科的人才培养优势,开展了铁路工程国际化教育研究。创建了铁路工程国际化教育体系,发起成立了“一带一路”铁路国际人才教育联盟,打造铁路工程教育共同体,推动沿线国家大学在人才培养、科学研究、文化交流等方面的合作;推动中南大学与国家政府部门和大型建筑企业开展校企合作育人;助推中国铁路标准的国际认可,以人才培养为平台推动中国文化传播。研究成果主要内容概括为“一个联盟、两个高校、三种对象、四个机制、五项保障”。
-
新工科视域下本科生培养协同机制研究——以建筑电气与智能化专业为例
在人工智能高速发展的新工科背景下,对建筑智能化方向本科生培养提出了新的挑战。论文以建筑电气与智能化专业为例,通过分析该专业学生培养发展现状及协同理论与该专业学生培养的契合性,将协同理论应用于该专业人才培养。在多方主体知识共享与互动关系的基础上,从协同制定培养目标、协同制定动态可调的自循环培养机制,教学监测和评价体系等方面,探索构建建筑电气与智能化专业本科人才培养机制,以满足社会对建筑电气与智能化专业人才多元化的需要。
-
普通院校工程硕士研究生实践能力培养途径探讨
新时代工程硕士培养需要适应国家创新发展的人才需求,全日制工程硕士研究生的核心能力是工程实践能力,构建工程实践能力培养体系是工程硕士研究生教育质量保证的重要举措。本文针对当前普通院校工程硕士研究生实践教育现状,通过文献综述、问卷调查和案例分析工程能力培养薄弱问题的主要原因,基于工程能力构成和工程硕士人才培养的基本规律,认为应从强化工程教育全过程工程教育思想,通过工程硕士研究生开设《工程导学》培养工程系统思维,产学研联合工程实践基地建设,以及本硕联动实践课程体系设置等方面改善工程实践教育质量,提出了面向行业发展和工程岗位能力需求的工程硕士研究生创新意识和工程能力培养途径。本文提出的工程实践教育策略可供工程硕士研究生教育改革与实践参考。
-
多学科交叉融合的建筑电气与智能化专业人才培养体系构建
建筑电气与智能化专业是一个涉及土建类学科、信息类学科、电气类学科等多学科交叉的专业,相关专业人才的匮乏成为了阻碍我国智能建筑行业发展的重要原因,因此国家和社会发展对培育建筑电气与智能化领域专业人才的需求迫在眉睫。针对建筑电气与智能化专业人才培养模式单一、培养目标脱位、培养特色不明、培养环节脱节等4个重点问题,安徽建筑大学建筑电气与智能化专业根据社会发展对复合型专业人才的需要,提出集成学科优势的特色化人才培养方法,构建基于“新工科”工程应用型人才需求的特色实践教学体系,形成适应社会和行业需求的“1535”人才培养体系。该人才培养体系汇集了方法创新、模式创新、机制创新等多种创新,展示了多学科交叉融合人才培养的应用成果,为建设建筑电气与智能化国家级一流本科专业提供参考。[收稿日期:2020-6- 基金项目:教育部首批“新工科”研究与实践项目“地方建筑类高校卓越人才协同育人模式改革与实践”;楼宇控制与节能优化实验教学示范中心建设项目;安徽省新工科研究与实践项目“基于新工科的地方土建类高校教学质量保障体系构建”(2017xgkxm28);安徽建筑大学金牌课程建设项目(2019jpkc016);安徽建筑大学建筑电气与智能化国家级一流专业建设项目;安徽省教学研究项目“面向新工科的建筑电气与智能化专业人才培养模式研究”(2019jyxm0946) 作者简介:杨亚龙(1980-),男,四川夹江人,安徽建筑大学教授,电子与信息工程学院副院长,教育部高等学校建筑电气与智能化专业教学指导分委员会秘书长,博士,硕士生导师,主要从事建筑电气与智能化专业教学及科研工作,(Tel)0551-63828170 (E-mail)yangyl@ahjzu.edu.cn]
-
网络在线直播翻转课堂教学模式的关键影响因素研究——以《工程经济学》为对象
网络在线直播模式的关键因素对提升学生在线学习能力至关重要。本研究首先界定了混合式翻转课堂的基本特性,据此提出了网络在线直播翻转课堂教学模式,并分析了它们两者之间的区别与联系;基于《工程经济学》的网络在线直播课堂翻转课堂教学实践,结合在线问卷调查,识别出了该教学模式的影响因素;基于问卷调研结果,识别了该教学模式的关键影响因素。据此提出了网络在线直播课程效果提升的策略。该研究成果为基于mooc/spoc的课程在线网络翻转提供了一定的理论指导和实践意义,也为传统混合式翻转课程改进提供了一种新思想和丰富的实践教学经验。
-
基于新材料的梁抗弯性能实验教学探索
依托科研课题,以聚丙烯纤维增强混凝土梁(PP-ECC梁)抗弯性能科研课题为例,结合建筑材料中混凝土梁实验教学,分析了RC梁及PP-ECC梁在裂缝形态、宽度、变形发展情况及其承载力等多方面性能的差异,对采用新型材料开展梁结构抗弯实验的新方法和新思路进行了总结探索,提出了将科研课题、工程实践与实验融为一体的梁式结构实验教学模式创新改革。这种新模式的探索是作为传统教学的优化和补充,可为其他课程实验教学革新提供思路,有利于激发学生的实验兴趣,培养其使用软件处理实验数据并分析实验结果的科研能力以及理论与工程应用相结合的综合能力。
-
混凝土构件受力性能虚拟实验教学平台建设
为响应教育部关于深入推进信息技术与高等教育实验教学的深度融合,不断加强高等教育实验教学优质资源建设与应用,着力提高高等教育实验教学质量和实践育人水平的号召,同济大学土木工程学院在国家级实验教学示范中心土木工程实验教学中心平台支撑下,建设了混凝土构件受力性能虚拟实验教学平台。平台围绕混凝土构件的测试过程,包括实验设计、试件制作和准备、实验加载、实验量测、实验分析等环节,与《混凝土结构基本原理》课程虚实结合,以虚补实,实现对实体实验的补充、扩展和提高。同时,平台以智能导学、智能助学,引导学生对理论知识拓展应用、预测和验证,激发学生探索兴趣。
-
构建研究生国际学术交流能力的课程生态群——以一所西部研究型高校的相关能力培养课程体系为例
随着国际学术交流的日益频繁,提升研究生的国际学术交流能力越来越重要。本文以一所研究型大学面向研究生开设的旨在培养学生国际学术交流能力的三门课程《专业外语》、《科技论文写作》和《研究生学术英语》三门课程为例,从教学内容设计、师资背景、研究生导师和研究生课后反馈等方面对三门课程进行了比较研究发现,这个系列课程能够在不同的程度上提升研究生的国际交流能力,但是这三门课程并未形成合力,未能达到教育的最佳效果。因此,本文尝试用建构主义进行课程教学内容的设计,创新建立研究生国际学术交流生态体系,为提升研究生国际学术交流能力提供新的路径。
-
基于“能力树”的E-SPOC工程人才教学模式
随着互联网技术的快速发展,信息技术与工程教育深度融合。为了满足工程人才的能力培养需求,分析工程人才能力结构,构建对接工程教育毕业要求的工程人才“能力树”,并应用信息技术开发对接课堂教育和继续教育的基于“能力树”的工程教育小规模限制性在线课程教学(Engineering Education-Small Private Online Course下面简称为E-SPOC)工程人才教学模式,进行教学模式基本理论研究,从教学内容、教学过程组织、教学评价方式等方面探讨E-SPOC工程人才教学模式在工程教育教学和能力培养中的应用,并依据“能力树”探讨E-SPOC工程人才教学模式的实施路径。
-
面向智能制造的机械工程人才培养模式探究
智能制造是当今制造业的主要趋势,而人才是第一资源。高校作为大量人才的输出产地,面临巨大的挑战。本文针对国内高校机械工程专业学生的工程应用能力培养问题,从培养目标和企业社会的需求分析出发,提出了在智能制造背景下机械工程专业人才能力的新要求。通过对某些地方本科院校机械工程专业人才培养现状的分析,提出了一种适用于机械工程专业人才的新型多学科交叉融合的培养模式,讨论了新型多学科交叉融合培养模式下的教学实施方案相较于传统的学科交叉教学方案具有显著的普适性。为培养高素质的、符合企业要求的智能制造应用型人才提供了参考建议。
-
新工科背景下BIM设计大赛对大学生工程师能力训练的影响
【摘要】新科工建设推进以来,工科学生的教育管理体系得到全面提升,对于工程师的培养也越来越重视,工程师的训练方式也日趋完善和多样化,组织规模化的大学生竞赛也成为了工程师能力训练的一种手段,但是就目前土木和工程管理类大学生竞赛现状而言与现阶段教育体系不相适应,在此结合自身专业竞赛经验针对土木和工程管理类大学生,探索BIM设计大赛对大学生工程师能力训练的影响,分析大学生工程师能力训练的主要问题,并对学校和社会两方面提出相应的解决建议。
-
国土空间规划体系下城乡安全与防灾减灾规划教学模式探索
随着国土空间规划体系的提出,对城乡安全与防灾减灾规划专业教育教学也有了新的要求。本文从我国城乡安全与防灾减灾规划专业建设发展现状出发,综合分析目前城乡安全与防灾减灾规划专业的特点、国土空间规划对城乡安全与防灾减灾规划的影响,探讨国土空间规划体系改革背景下城乡安全与防灾减灾专业的课程教学目标、内容与形式,打破原有的规划教学思维模式,建立适合新时代国土空间规划体系要求的教学框架,为培养新型城乡安全与防灾减灾规划专业人才做出努力。
-
新工科背景下国家级虚拟仿真实验教学中心的新挑战与教学改革实践探索
国家级虚拟仿真实验教学中心是学科专业与信息技术深度融合的产物,更是实验教学的发展方向。从全球工业发展趋势、中国新经济发展和工程教育范式变革三方面剖析了新工科背景下,推进“智能+教育”的新型教育生产力是国家级虚拟仿真实验教学中心的责任担当;分析了虚拟仿真中心当前面临的新挑战;介绍了福建工程学院土木工程国家级虚拟仿真实验教学中心开展新工科教学改革的初步探索;最后对国家级虚拟仿真实验教学中心的持续建设给出了建议。
-
新工科与双一流背景下隧道工程智慧教学改革探索
在“双一流”和“新工科”战略背景下,合理运用教学智慧引领智慧教学改革成为实现和深化高等工程教育改革的关键举措。隧道工程作为一门理论性、综合性、实践性和学科交叉性极强的土木工程专业核心课程,传统的教学理念、模式和课程内容等已不能满足新时期我国城市轨道交通、资源开发工程及“一带一路”建设等对高层次创新复合型工程人才的需求。在系统阐述隧道工程课程特点和教学现状基础上,坚持视学生为主体,以学科育人为准绳,结合郑州大学隧道工程课程教学实践,提出教学能力智慧升级、教学内容智慧更新、教学模式智慧立体化、学习导向智慧自主化的“四维一体”智慧教学改革方法,以期实现教学相长,智慧相融。实践表明,该方法使隧道工程课程的“教”与“学”从单一知识逐步走向多元智慧,是智慧教学改革的有益探索。
-
地域文化传承视域下地方高校特色办学研究
地方高校长期受地域文化浸润,地域文化是地方高校实现特色发展的基础。文章探索地方高校特色办学中存在的主要问题,分析地域文化对地方高校特色办学主要影响。基于生态位理论,研究地方高校在地域文化传承目标下,充分吸收地域文化元素,全面更新人才培养理念,重构特色课程体系,拓展特色育人途径,搭建特色育人平台,实施特色育人模式,实现特色人才培养,提高人才培养质量。
-
“卓越计划” 2.0背景下人才培养方案优化路径研究——以八所高校土木工程专业为例
为了迎接第四次工业革命挑战,我国实施“卓越计划” 2.0,持续推进工程教育发展。土木工程作为传统优势工科专业,需主动对接“卓越计划”2.0,实现传统专业的升级改造。人才培养方案体现专业的办学目标,人才培养规格和课程体系,在人才培养过程中处于顶层设计的重要地位。对长沙理工大学、华南理工大学、西安建筑科技大学等八所高校的人才培养方案进行对比分析,以行业标准引领,明确人才培养目标定位;以“大工程观”为指导,丰富学科交叉融合形式;引进国外优质教育资源,探索国际化人才培养方式;强化实践性教学环节,拓展校企合作方式和途径等方面优化人才培养方案。
-
建筑结构抗震课程案例项目教学法探索
建筑结构抗震是土木工程建筑方向一门涵盖钢结构、混凝土、结构力学及地质学、地震工程学等多方面的综合性较强的专业课。与其他知识体系较为单一的专业课相比,这一课程对知识结构的整体性提出了更高要求。文章分析了案例项目教学法提出的原因、特点和具体要求,并结合其在同济大学“建筑结构抗震”课程中的实践性应用,对该新型的教学法在实际课程中的应用提出了一些建议,以期能对案例项目教学法在课程教学中的推广有所帮助。
-
荷兰代尔夫特理工大学建筑与建成环境学院建筑史学与遗产+设计教育
建筑(建成环境)更新、再利用已经成为当代建筑行业十分重要和普遍的工作。从新建到再利用,从保护到活化的转变也对当下建筑教育提出了新的要求。这使得传统建筑教育中“建筑史”和“建筑设计”相关课程面临紧迫的挑战。荷兰代尔夫特理工大学建筑与建成环境学院通过改革史学课程、置入遗产价值导向的建筑设计选修课等方式进行了长足的探索,积累了较成熟、前沿的经验:一方面以设计为历史教学目的,另一方面以遗产价值评估作为设计决策的指导和评判标准,实现史学理论教育与设计教育的融合,培养学生在宏观历史、社会文化背景中完成设计/规划的能力。本文将全面解析其课程内容、教学特色和具体过程,以为国内(建筑)教育革新提供参考。
-
基于工程认证标准要求的课程权重系数计算方法分析
杨晚生, 刘琳, 高云飞, 王璋元, 颜彪, 王晓霞, 郑瑞芸
建筑环境与能源应用工程是一个以培养学生能够从事工业与民用建筑环境控制和能源供应为主的工程应用性很强的专业,根据工程认证的要求,建环专业的毕业要求控制指标点各因素应根据培养目标和课程体系进行权重系数计算。目前,由于工程认证在我国开展时间不久,专业教师还缺少对相关权重系数计算方法的认识、理解和掌握,这不利于专业工程认证目标下教学的开展,也不符合工程认证的专业发展要求。本文在工程认证标准的基础上,对建环专业的毕业要求指标点与支撑课程之间的关系进行了分析,利用层次分析法通过构建指标点和支撑课程的层次结构模型,建立其判断矩阵,并对各指标点因素的权重系数进行了计算分析,获得了毕业要求不同指标点的权重系数,并对其计算结果进行了分析讨论;同时,将层次分析法得到的权重系数与学分法进行了比较分析,指出各自了每种计算方法存在的优缺点,以期对建环专业的工程认证起到一定的促进作用。
-
对标“金课”标准的土木工程材料课程改造探索
在全军院校体系重塑建设及陆军院校体系化课程改造建设的大背景下,对标“金课”标准,对军事土木工程材料课程改造进行了探索和研究。分析了土木工程材料课程存在人才培养目标精准对接不够、教学内容体系优化重塑不够、教学方法手段融合创新不够等主要问题,确立了土木工程材料课程改造的思路原则,即以满足岗位任职能力为起点,以长远发展有潜力的教学目标,设计反向改造路径,以学生有效参与体现的主体性原则和学习内容优化的基础性原则作为课程教学设计基本原则,对标“金课”标准,提出了全方位推进课程改造的措施,包括调整课程结构、更新教学内容、创新教学方法、打造实践平台、改革考核方式、参加专业学术竞赛等方面,淘汰“水课”,打造“金课”。
-
工程认证导向下科技竞赛的指导教师胜任力分析
工程教育专业认证是工科人才培养制度建设革新的主旨方向,而大学生科技竞赛则是工程教育认证视域下达成专业培养目标及毕业要求的重要手段之一。将做好科技竞赛指导工作与工程教育认证以学生为中心、以综合能力塑造为成果导向、坚持质量持续改进的三大核心理念紧密结合,引入“胜任力”经典判据构建了科技竞赛指导教师胜任力的SEM结构方程模型;继而通过交通科技大赛的实证调查与分析,对SEM模型的理论假说加以求证并揭示出竞赛指导胜任力的形成机制和持续改进方向。研究表明,科技竞赛指导教师的胜任力由竞赛选题、参赛作品、团队建设等三个维度下的10项胜任力特征向量共同构成,其中5项向量对三个维度的直接影响更为显著;在中间变量的间接干预上,教师所在高校的等级分异和地区分异分别是竞赛选题和参赛作品维度上形成胜任力高下的主因;指导教师胜任力的持续改进则可从短期的指导绩效层面和长期的内涵建设层面分别切入施策。
-
移动互联视域下的《数字化建筑设计Ⅰ》翻转课堂教学模式探索
数字化经济时代,学生课余时通过互联网上海量的学习资源进行线上自主式学习,课堂上向教师和同学通过提问和讨论进行线下合作式学习,线上和线下学习不同的方式相结合,将构成现阶段最为高效的学习方式。《数字化建筑设计Ⅰ》课程尝试以一系列实验项目案例的设计、讨论和实践为教学过程展开主线,利用手机APP、课程微信学习组群和“雨课堂”、“企业微信”、“腾讯课堂”和“腾讯会议”等基于移动互联网的实时在线交互技术,构建线上线下深度融合的翻转课堂教学模式。尝试以学生为中心,构建在学习中实践思考并在实践中提问学习的主动学习模式,以培养出适合当下高等工程教育培养目标:擅长提问思考、擅长数字化设计构思、了解工程实施步骤、熟悉工程运行过程的,具备创新能力和动手实践能力的技术人才。
-
桥梁与建筑交叉课程建设和创新型工科人才培养
面对当前国内外城市建设对桥梁美学艺术的新需求,由于桥梁结构与造型艺术之间的关系有其自身特殊性,难以照搬或直接引用建筑结构与建筑学、建筑美学之间的现有相关课程。桥梁与建筑交叉课程建设应运而生,课程建设包括了教材编写、教学大纲和人才培养模式改革等几方面的工作,其中又以教材建设为核心和龙头。城市桥梁建筑理论与美学创作是以桥梁结构理论及其工程技术为专业基础,以建筑学专业的理论体系及其技术路线为理论基础,以桥型结构技术、功能与造型及其三者内在关系为研究对象,关于城市桥梁的、综合技术与艺术的理论与创作的交叉学科。通过精心编排本科生和研究生课程的教学大纲、教学内容,策划教学方法以及考核方式,同济大学先后开设了这一交叉课程的研究生专业选修课程和本科生精品类通识课程,实现了本科和研究生课程的衔接和贯通,交叉课程与原来两大学院各自专业课程的衔接和贯通。课程建设和培养模式的改革,将桥梁结构单一技术思维的工程设计提升到桥梁技术与艺术的综合思维创作,目标是系统培养桥梁结构专业和建筑城规专业学生的技术创造力和美学创意素养。
-
校企合作培养城市地下空间工程专业人才的探索与实践
地下空间开发与利用是国家未来重点发展方向,城市地下空间工程是一门理论与实践密切结合的新兴学科,目前各学校人才培养仍处于初期探索阶段,与企业人才需求存在脱节现象。结合西安建筑科技大学城市地下空间工程,提出通过校企联合设立研究所、实验室、实践基地和网络平台等措施,利用高校教学资源和企业工程实践建立人才孵化池,充分发挥高校和企业各自的优势,从高校人才培养和企业发展需求角度出发,提出校企合作培养模式的思路,学校学生可进入实践基地提高工程实践能力,企业员工可通过网络平台补充理论知识,实现学校和企业人才培养双赢的目的。分别从高校和企业角度分析了校企合作培养模式的可行性,并探讨了校企合作培养模式对高校和企业的意义。结果表明校企合作培养模式对高校教学改革和企业长期发展均具有重要意义。
-
基于“双一流”建设的硕士研究生培养模式改革探讨——以哈尔滨工业大学桥梁与隧道工程专业为例
基于十九大报告提出的“交通强国”战略需求,结合“双一流”建设的大背景,桥梁与隧道工程专业的硕士研究生培养质量显得尤为关键。通过对哈尔滨工业大学近10年来的硕士研究生状况及现有培养模式分析,并与国内其他几所典型高校在培养年限、课程设置和生师比例等方面比较,提出桥梁与隧道工程专业的硕士研究生培养模式的改革建议。学术型硕士与专业型硕士应分类培养,从课程设置、培养年限与考核要求等方面做到真正有所区分;优化课程设置,减少必修课学分,增加选修课学分,实现学生主动学习;继续加强过程管理,完善相应制度,做到导师与学生互相督促,并实行末尾淘汰制度。
-
虚拟现实在建筑空间认知中的应用研究
虚拟现实技术在空间认知与设计思维训练等方面具有独特优势,而空间认知能力是建筑学基础教育的一项重要指标,目前虚拟现实结合建筑教育的案例多侧重于教学过程描述与技术路线分析,而对于教学成果的评价仍有待进一步实践证明。本文通过对空间认知能力的基本定义、形成方式和评价要素的阐述,并提取其中的空间尺度认知要素,将虚拟现实技术作为部分教学手段介入建筑初步教学改革实践课程,以调查问卷的形式对低年级学生的空间认知能力提升情况进行量化分析。实验结果表明,虚拟现实介入教学过程后,可对学生的建筑空间尺度认知能力提升11.2%-68.7%,对立面开窗尺度的理解变化则表现出局限性;此外,研究表明经VR教学的同学更加关注空间体验感,说明空间思维方式受教学手段的影响,虚拟现实使视觉表征与空间思维的关系更加密切。
-
重大突发公共危机事件中基层党组织建设的困境与对策研究
重大突发公共危机事件与中国共产党的基层组织建设密切相关、紧密相连。随着网络信息的发展,当下的重大突发公共危机事件比任何时候对社会秩序的挑战都大,中国共产党的基层组织作为事件发生后参与处理的主体,在新挑战面前要坚定“四个自信”,做到“两个维护”,因地制宜,不断提升组织建设水平。在应对重大突发事件的过程中要防范未然,做好突发事件应急预案;强基固本,提升基层党组织公信力;敢于担当,发挥党员先锋模范作用;双管齐下,注重精神和物质双保障。在实践中提升基层党组织的能力,赢得重大突发公共危机事件处理的胜利。
-
产教融合视角下城乡规划“3+1+1”校企协同育人模式研究
在国家明确将产教融合作为高等教育改革发展的重要举措的背景下,针对应用型本科院校城乡规划专业校企合作存在的问题,站在产教融合的视角下提出了教师、学生、企业、地方政府、职业技能培训机构相互融合的城乡规划“五位一体”校企合作模式。依托产教融合中心平台,创建协同育人环境,通过校企协同修订人才培养方案,进行了课程体系与实践教学体系的优化,完成了对城乡规划“4+1”校企合作人才培养模式的优化创新,最终构建了城乡规划“3+1+1”产教融合校企协同的人才培养模式。
-
江西省行业特色高水平大学建设研究——以《华东交通大学》为例
《江西省教育事业发展“十三五”规划》指出将安排财政资金建设一批特色高水平大学。为明确江西省行业特色高水平大学建设途径和方向,以华东交通大学为例,选取同以轨道交通特色的5所高校为研究参照样本,通过获取实际的官方数据,采用灰色关联度分析法对研究样本的核心竞争力进行分析比较。结果得出,华东交通大学在样本大学中的核心竞争力处于第三梯队,距离第一梯队的行业特色高水平大学差距较大。最后对华东交通大学建设成为行业特色高水平大学提出战略举措建议。
-
《工程结构抗震与防灾》课程教学改革与疫情期教学对策
《工程结构抗震与防灾》课程建设对培养德才兼备的防灾减灾综合型人才至关重要,为了落实立德树人的根本任务,丰富教学素材、授课方法、教学语言,提升课堂活跃度,保证课程教学质量,开展了课程的教学改革实践;结合典型工程灾害案例的专业化解读与课堂小组的分析讨论,建立了“浸润式”思政课堂教学模式;采用课程教师主讲与国际知名专家专题授课相结合的教学方法开展了课程的双语互动教学实践;通过加强课程实践教学,促进学生对工程结构抗震与防灾知识的理解与思考;建设了课程的教学资源共享平台,实现了优质教学资源实时共享。此外,探索了重大疫情期课程的教学对策,并基于新冠肺炎期间的教学实践验证了该教学对策的有效性,可为重大疫情期《工程结构抗震与防灾》课程教学提供参考。
-
项目全过程集成暨逆向教学法的理论与实践
工程造价专业是需要务实高效地培养高素质技能型人才的应用技术型职业教育专业。传统的、按不同学期区分专业基础课和专业核心课,设置识图与施工工艺、计量与计价、软件应用的课程结构,在当前互联网+、BIM技术应用、装配式建筑推广等新的技术条件下,应进行适宜性改革创新。本文“项目全过程集成暨逆向学习方法” ( Project whole process integration and reverse learning method.简称P&R集成式逆向教学法),主要是以全过程、模块化、集成式、逆向教学法为基础,按照“分部工程或子分部工程为对象”构建区分不同专业方向、全过程集成模式下的课程结构。P&R集成式逆向教学法能更好地满足中国教育部提出的应用技术型职业教育应实现“产教融合、校企合作、工学结合、知行合一”四合要求。
-
基于国家评估标准与八闽文化特征的地方院校建筑学专业体系建构 ——厦门理工学院建筑学专业建设实践与探索
2000年以来,随着国家经济高速发展,我国掀起了新办建筑学专业的热潮,厦门理工学院建筑学专业作为地方院校中的新办建筑学专业,在十余年来的建设中,以国家专业评估标准为纲领,以八闽建筑文化与地方建设需求为依托,以“改革、开放、实践、服务”为建设理念,建成了融合教学、科研、服务为一体的地方院校建筑学专业体系,于2018年通过全国高等学校建筑学专业教育评估,成为福建省一流学科建设点。本文通过对厦门理工学院建筑学专业建设过程的全面梳理、凝练,探索一种行之有效的地方院校新办建筑学专业的专业体系建设路径与方法,以期为地方院校的建筑学专业体系发展建设提供思路与借鉴。
-
土木工程专业课程混合式教学模式设计与实践
创新教与学是提高人才培养质量的重要途径。文章立足“教育信息化2.0”时代人才培养需求,分析土木工程专业课程混合式教学改革的必要性,参考“互联网+”课程建设模式,以逆向教学设计理论为支撑,构建基于“SPOC+慕课堂”的混合式教学模式,包括教学目标设定、教学对象分析、教学资源建设、互动式教学活动设计和多元化考核评价体系等环节,并以“土木工程施工组织”课程为例开展教学实践。实践表明,混合式教学模式一定程度上提高了学生自主学习的内驱力和解决问题的能力,增加了学生学习的获得感,较好地促进学生工程实践能力的培养。
-
建筑与土木工程领域专业型硕士实践环节质量保证的探索-以暖通空调方向为例
针对目前专业型研究生培养中的诸多问题,以建筑土木工程领域专业型硕士研究生(暖通空调方向)培养过程中的关键实践环节为研究对象,提出了分类实施实践环节的思路。以教育部等相关指导部门专业型研究生培养指导意见为基础,建立了加强实践环节质量保证的体系,并基于按方向分类培养的思路,提出了质量保证体系的具体实施方法,并通过专业型研究生的具体实践案例进行了过程分析。通过关键环节的培养探索,以期为建筑土木工程领域专业型硕士的整体培养目标的实现提供参考。
-
融合PBL的翻转课堂在城市规划原理课程中的教学实践
通过基于问题导向的翻转课堂解决传统城市规划原理课程中存在的问题。规划原理课程教学内容繁多庞杂,传统教学方法以灌输为主,互动不足,导致学生学习被动,教学效果欠佳。融合PBL的翻转课堂以问题为导向将传统课堂进行翻转,形成以学生为中心、以教师为指导的能力培养式教学。文章介绍了具体的实践方案,实践内容包括进行了基于翻转课堂的教学内容模块化重构,并搭建微信公众号学习平台,明确了PBL翻转课堂课前、课中、课后的具体方法及步骤,以及考核测评的方式。通过实践研究得出城市规划原理PBL翻转课堂的教学使教师更了解学生学习的薄弱环节,学生在自主学习、交流协作、总结归纳及语言表达等方面能力均有较大提高,改进了教学效果。
-
“新工科”视角下土木类大学生学习共同体构建
以互联网、人工智能、云计算等为新技术的新经济形态蓬勃发展,新工科的建设对工程教育带来了新的机遇和挑战,对工程科技人才的需求也有了新的要求。土木类专业作为传统专业,面临着专业知识与社会发展和产业需求不完全契合、跨学科跨专业融合不足等问题,亟需改造和升级,河海大学土木与交通学院以学生为中心,以第二课堂为落脚点,实现教育教学横纵深度融合,系统设计与构建线上虚拟空间、线下共享空间并行,实践情境体验空间付诸实际行动的“两并行一实践”的学生学习共同体,在培养土木类工程科技人才行业专精的基础上,培养了学生创新实践能力、跨界整合能力、多元发展能力等特征,助力新工科从理念到行动的转变。
-
建筑学专业实践教学中的思政本源探索与拓展
本文结合沈阳工业大学建筑学专业转向应用型的经验,以实践教学改革的课程为依托,在教学过程中探索和发掘出思政本源的思路和方法,提出专业教育与思政教育相融合的“1234...”育人新模式:即打造一个与时俱进的实时更新的建筑学实践教学平台;建立两条思政教学线,通过不同历史时间线多角度弘扬社会价值观;建设“三时间三空间”思政教学环境;推进“四位一体”教学环节的有序渗透,确保课程涉及领域全方位人员参与等;经过三年的实践经验,教学效果显著,可以为专业相关课程思政的工作提供基础和建设的方向。
-
研究生工作站长效建设机制研究
研究生工作站作为我国研究生校企协同培养的重要形式和产学研合作的重要平台,是创新型、复合型人才培养的最佳途径。目前研究生工作站在运行过程中存在诸多问题,以公路智能养护创新技术研究生工作站为分析对象,结合其运行过程中出现的科研课题与培养计划脱离、协同培养积极性不高、考核机制不完善等问题,针对性地提出了一系列解决方案,通过企业与高校联合制定菜单式课题、校内校外研究生工作站一体化建设、完善研究生工作站相关考核机制等,为研究生工作站的长效运行以及人才培养提供保障,对提升研究生工作站的学生培养质量、高校的学科建设以及企业的创新发展具有重要意义。
-
深度学习理论下的城市设计课程思政教学研究
课程思政是新时代振兴我国本科教育与提高人才培养能力的重要着力点。深度学习理论,注重让学生沉浸于知识的情境和学习的情境,注重实现知识的内在价值,被广泛应用于学科核心素养养成的教学研究中。基于深度学习的理论,探索在原有知识体系的基础上,如何在城市设计系列课程教学中融入思政元素的启发与建立,以实现全方位育人。从强化教学目标的引领、拓展并合理组织教学内容、“沉浸式”教学过程的组织和完善课堂教学评价体系等方面,对城市设计系列课程的全链条教学进行全面和深入的研究,并提出了下一步的教学探索方向。通过对课程教学全链条的精心设计,可以促进师生之间知识与经验的交融、科学理性与人文情感的互动,从而使专业教学与思政教育更自然地融合,学生的专业学习与个人成长建立密切关联。
-
BIM+产教融合下应用型高校土建人才培养研究
随着建筑业转型升级,政府加大力度推进BIM技术。BIM时代的到来对土建人才培养提出新的要求。分析产教融合在应用型高校人才培养中的重要性,阐述BIM时代土建人才需求和培养现状,结合国家“深化产教融合”、“校企协同、合作育人”的大背景,提出人才培养思路,重点探讨人才培养举措:完善以BIM能力为核心的课程体系、打造BIM的课程资源、构建灵活的教学方法、双师型教师队伍的建设、鼓励学生参与学生竞赛和职业资格证考试,积极申报双创项目、建设校企教学实习基地和搭建产学研合一的项目平台等。该做法具有较好的推广价值,以期为专业新型技术的人才培养提供借鉴。
-
基于MOOC理念的理论力学“翻转课堂”教学模式讨论与分析*
MOOC和“翻转课堂”教学理念,是我国当前教育教学改革的重点之一。但是,从已有的实践经验来看,在MOOC和“翻转课堂”等理念的实施过程中,仍然存在一些理论和实践方面的焦点问题,亟需重视和解决。本文拟对MOOC和“翻转课堂”的教学理念进行深入分析和讨论,结合理论力学课程的“翻转课堂”教学研究,建立一套理工科专业基础课程“翻转课堂”教学理论,并将其应用于理工科专业基础课程的教学实践,为实现我国高等教育“深化教育教学改革、提高人才培养质量”的目标做出积极的贡献。
-
土力学实验教学与考核模式改革探析
以广东工业大学土力学实验教学改革与实践为例,对比分析了3种考核模式的特点和教学效果。研究表明,传统的教学与考核模式(考核模式Ⅰ“平时成绩+实验报告”),容易形成“千篇一律”的实验报告,难以达到预期的教学效果。考核模式Ⅱ(平时成绩+实验报告+考试),加入了实验考试后,实验成绩分布和教学效果有了明显改善。实验考核可调动学生们对实践的兴趣,有助于提高动手能力,且操作考试影响效果尤其显著。“引导-设计-实验-报告”四环节实验教学过程和全程考试模式(考核模式Ⅲ),符合“以学生为中心,以成果为导向”的工程教育理念,教学与考核双管齐下,能获得理想的实验教学效果。
-
结构动力学中若干问题辨析
针对结构动力学教学过程中运动方程建立、运动方程求解的若干问题进行讨论。主要包括动力学和静力学刚度系数的区别及通过静力凝聚的联系,频响函数和脉冲响应函数的Fourier变换的条件及对动力反应的影响,滞后阻尼体系的频响函数等问题。理论分析和数值计算结果表明:(1)仅考虑集中质量平动自由度的体系,动力学刚度系数是指平动自由度产生单位位移而转动自由度放松情况下所受的力,静力凝聚方法和单位位移法所得刚度系数是相同的;(2)无论是无阻尼体系还是有阻尼体系,频响函数是脉冲响应函数Fourier变化关系都精确成立;时域特解包含稳态振动和伴生自由振动,而频域特解仅为体系的稳态解,两者之间的差别主要在振动的初始阶段,自振频率越低,差别越大。(3)对于滞后阻尼体系,负频率的频响函数应该取为正频率频响函数的共轭函数。
-
普通高校城乡规划本科专业导论课程比较研究
摘要:城乡规划专业导论课是学生认知专业知识体系宏观架构的基础性课程,在城乡规划教育中拥有不可替代的引领作用。本文基于29所城乡规划评估院校相关数据,分析当前城乡规划评估院校的专业导论课设置特征及实践成效,回顾专业导论课的内容组织、课时时长和后续课程衔接等并提出改进建议。研究得出:高校城乡规划导论课程设置主要受办学定位影响,研究型大学的导论课偏向贯穿整个大学教育,应用型大学的导论课集中设置于第一学年;导论课内容组织上多数学校仅关注原理导引和专业介绍,学科素养、专业学习和职业相关的引导性内容缺项;导论课教学方式上多数学校采用考试和论文考察的方式效果不佳,导论课与后续课程设置的衔接关系不佳,存在导论课与后续课程内容一致,教学方法接近等问题。研究建议:城乡规划导论课未来在内容组织上关注职业发展和专业学习能力培养,教学方式上吸纳辩论、校外调研、演讲比赛等方式,在教学内容与方式上明晰与后续课程的边界。
-
美国州立大学城乡规划专业课程培养体系构建及经验总结——以奥尔巴尼大学为例
高等学校是专业人才培养的重要基地,由培养目标和课程体系所组成的培养体系不仅决定着人才培养方向,也深刻影响着人才培养质量。以美国纽约州立奥尔巴尼大学地理与规划学系城乡规划专业为例,基于办学层次、培养目标、课程体系、教学管理等方面,系统分析了其培养体系构建,从培养目标设定、知识体系构建、思维方法训练以及职业道德培养等方面对其办学经验进行了梳理总结。
-
基于NLP的工程伦理教育研究文献挖掘与分析
工程伦理教育是高等工程教育改革的重要一环。在“新工科”建设背景下,学界又掀起了工程伦理教育研究的热潮。基于自然语言处理(NLP)技术,利用LDA技术,借助计量可视化工具,中国知网(CNKI)中收录的212篇研究性文献,从文献关键词时间分布图、词频表、词云图、LDA主题聚类表等角度出发,开展机器学习环境下的工程伦理教育研究文献挖掘与分析,分析了我国工程伦理教育的研究现状、理论基础和研究热点,指出了我国目前工程伦理教育存在的问题,并从高校角度提出了一些改进建议。本研究针对高等教育中如何促进工程伦理教育提供了有效参考。
-
基于时空跨度下的研究生联合培养新模式研究
随着《国家创新驱动发展战略纲要》的实施,近年来培养出高素质的创新复合型人才已成为我国高等教育的迫切需要。研究生教育作为高等教育的最高层次,对国家人才培养有着至关重要的作用,合作教学也因此应运而生。文章首先分析了研究校际联合培养的理论应然性与现实实然性的差异。在介绍传统多样的联合培养模式下,提出了一种独特的联合培养新模式,即基于时空跨度下的研究生联合培养,重点从本科与研究生两种阶段进行介绍,兼顾解决“大学轻松”的惯性思维和高校区域间资源不平衡等问题,从“本”到“研”、从“研”到“研”的双重作用更是强调学生时空转移下的成长成才。此外,也针对关于跨校合作中现状问题作了进一步的思考。
-
建筑环境与能源应用工程专业虚拟仿真实验教学的实践探索
以风系统平衡调试虚拟仿真实验为例,对虚拟仿真实验在建筑环境与能源应用工程专业本科实验教学中的应用进行了探索。结果表明,尽管虚拟仿真实验可以弥补常规实验设备、场地、教学经费等方面的不足,丰富实验资源,具有成本低、效率高、可扩展性强等特点,但虚拟仿真实验在实施过程中也存在一定的问题。在实验平台开发、实验内容设定、过程实施以及成绩评定等方面,应考虑与专业本科教学实际以及传统实验的相关内容相结合。针对虚拟仿真实验存在的不足,虚拟实验和常规实验应相互弥补,从而达到提高实验教学水平和教学效果的目的。
-
“双一流”背景下建筑环境与能源类专业型硕士研究生培养模式及实践
“双一流”背景下,培养一流人才是建设一流学科的重要内涵,更是评估学科建设成果的重要维度。对于专业型学位硕士研究生而言,培养其创新及应用能力是新时代下高校育人的重要目标。本文以重庆大学土木工程学院建筑环境与能源专业为例,探讨专业型学位硕士研究生多元化的培养模式,即将国际化的理论教学模式与产、教、学的创新实践教学模式相融合,并探索构建国际化的理论教学体系和多层次的实践平台,以此提升建筑环境与能源类专业型学位硕士研究生的创新能力和实践能力。
-
基于城市功能修补理念的建筑设计教学实践探索——以二年级社区服务中心设计为例
面对当下建筑学专业教育的机遇和挑战,南京工业大学对建筑学二年级社区服务中心的课程设计进行教学改革,以“城市功能修补”问题为切入点,引入新的思考维度和教学环节。教学重点放在设计价值观与设计工作方法的培养上,注重训练学生建立自主设计逻辑与研究型设计思维方法。结合教学改革实践,对课程实践的内容和方法进行了总结,探索设计基础教学与设计提高教学之间衔接的新途径。
-
服务土木工程三层次课程体系的虚拟仿真实验教学资源建设
为了加强学生专业兴趣、应用创新能力以及解决复杂工程问题实践能力培养,提出服务于三层次专业课程体系,即土木工程“核心-方向-拓展”课程体系的虚拟仿真实验教学资源的建设与应用思路,该三层次课程体系具备将实验教学与理论教学、实践教学以及工程实际有机衔接之特点。新开设具有“虚实结合”特点的《土木工程综合实验(含虚拟仿真)》课程,其包含土木工程专业急需的实验教学内容,适应大学生成长新特点和信息化时代教育教学的新规律。依托国家级实验教学示范中心、国家级虚拟仿真实验教学项目和多项教研教改课题,以虚拟仿真“金课”标准建成服务三层次课程体系的虚拟仿真实验资源库,并结合虚拟仿真项目、课程建设及教材建设,构建立体化教学资源。
-
基于核心素养的FGCPP“小城镇城市设计”课程改革实践
我国正处于协调推进乡村振兴战略和新型城镇化战略的关键时期,高等教育应顺势而为,抓准破解城乡二元化格局的重要利器,探索小城镇城市设计在交叉学科教学体系中的重构和拓展。福建师范大学“小城镇城市设计”课程立足本科核心素养培育,从文化基础、自主发展、社会参与三个维度出发,构建翻转课堂、小组研讨、经典阅读、实践教学及竞赛驱动等五个环节构成的FGCPP课程教学模式,为更深刻地揭示“中国设计”特色提供借鉴和启发。
-
“大学生科研训练中心”为平台的创新创业能力培养研究
当前,创新创业能力培养已成为新时代高校对大学生培养的主要能力之一,苏州科技大学电子与信息工程学院采用大学生科研训练中心(SRT:Student Research Training)作为大学生创新创业推动发展的重要平台,采用小组团队合作模式,开展以科研项目为中心的能力训练,并且实施多种创新素质培养方法与机制,培养学生的创新意识,激发了学生的创业精神,填补了当下粗放式的教学模式所造成的对学生素质培养方面的空白,对大学生科研能力的提高、创新创业水平的提升,以及对高校科研事业的发展都起到了一定的推动作用。
-
工程教育认证背景下的混凝土结构设计原理教学模式探索 ——以中国与新加坡课程对比为例
工程教育专业认证的实施,为我国应对新一轮科技技术革命指明了道路,更进一步为培养专业实践人才奠定了基础,具有重要的指导意义。混凝土结构设计原理课程是土木工程专业重要的专业基础课程之一,但在实际的教学过程中,我国教育存在授课内容好形式单一、结合新技术少和涉及实践知识少等缺陷。本文基于工程教育专业认证的理念和要求,横向对比国内及新加坡高校混凝土结构设计原理课程的教学方式,并进一步总结经验,优化教学方式,提出教学改革措施,提升课程的教学质量,以期为国内高校课程改革提供参考。
-
OBE理念指导下山建大三年级建筑设计课教学改革 ——以“空间再生”课程作业为例
在OBE理念影响下,山建大本着与工程教育认证标准衔接的初衷,对建筑设计课程进行了整体的重整和构架,将成果为导向,学生为中心,持续地改进作为课程改革的指导思想。三年级建筑设计课在五年的建筑设计学习中起着承上启下的重要作用,这里以“空间再生”课程作业为例,具体介绍了三年级建筑设计课程如何从课程设定、教学过程以及课程改进三个方面来响应。
-
土木大类招生下建筑环境与能源应用工程专业人才培养探讨 —以南京工业大学为例
分析土木大类招生及现代建筑业发展对建筑环境与能源应用工程专业人才培养的需求。探究在未来发展中具有竞争力、巨大潜力建筑环境与能源应用工程高素质人才应具备的能力。提出土木大类招生背景下建筑环境与能源应用工程专业人才培养有效举措。指出建筑环境与能源应用工程专业要开阔视野,依托国内外热点事件扩大专业宣传,增强专业认同感的方法。论述教师的教学理念由知识传授变为学生能力培养,阐明将大数据等创新技术纳入到重构的人才培养体系中的必要性。提出将互联网教学软件作为工具以解决课程之间衔接处知识点内容交叉问题。阐述构建完善专业实训教学及创新创业训练体系在人才培养中的作用。提出如何以毕业设计为抓手,分层次多方案培养学生解决复杂工程问题的能力。
-
毕业要求达成度模糊综合评价方法研究-以土木工程专业为例
工程教育专业认证是保障本科工程教育质量的重要举措,毕业要求达成情况评价是工程教育专业认证工作的重要环节和核心内容。基于模糊综合评价理论,构建了由教学环节、支撑课程和毕业要求指标点组成的三级模糊综合评价体系。以学校土木工程专业毕业要求达成度评价为例,对毕业要求“研究能力”指标点展开三级模糊综合评价。根据评价结果可以判断该项毕业要求是否达成,并能发现各级评价过程中的相对薄弱项。研究表明该评价体系具有较强的可行性与适用性,为开展工程教育专业认证毕业要求达成度评价工作提供了参考。
-
基于BIM的工程管理专业教学改革探索
在建筑业不断推进信息化建设和运用的大背景下,高等院校的工程管理专业教育应适应市场对人才客观需求,构建基于BIM的工程管理专业教学体系和实践平台,对工程管理专业人才的培养向着以BIM为核心的数据化、信息化的综合型教学方向发展。论文基于层次分析方法,对BIM技术背景下的工程管理专业教学建设的若干影响因素进行分析,指出存在的主要问题,提出基于BIM背景的工程管理专业全面教学改革的相关建议。
-
工程管理本科与硕士专业培养目标和知识体系分析与思考
工程管理是目前在我国本科与硕士研究生教育中同时存在的专业名称。作为不同培养层次下名称相同的专业,其专业内涵、培养目标、专业知识体系是否相同?这为高等教育界和企业界相关人士所关心。在比较分析本科与硕士层面工程管理内涵、国内外工程管理专业人才培养目标和知识体系的基础上,建议将本科工程管理专业名称改为建设(工程)管理专业,并增加建设工程交易和项目治理相关知识,以使专业名称和专业内涵更相吻合;提出工程管理硕士(MEM)专业学位应以企业技术创新与新产品开发、重大工程建设等各领域技术开发及创新管理的高层次人才培养为主要目标,并构建相应的知识体系。
-
“MOOC+翻转课堂”模式在理论力学课程教学中的实践与分析*
本文在对MOOC和“翻转课堂”教学模式进行深入分析的基础上,讨论了在高校教学中应用“MOOC+翻转课堂”模式教学的趋势,明确了其作为教学方式和模式的定位,指出 “翻转课堂”教学模式在强调学生在教学过程中的主体性的同时,并不否定教师在整个教学过程的主导性。“MOOC+翻转课堂”教学模式在广州大学理论力学课程中的成功实践表明,学生自主学习的意愿对该模式下的教学效果有非常重要的影响;课前自主学习效果和知识基础的差异性是实施这一教学模式所要面对的最大困难;教师对各个教学环节的把握和掌控是“MOOC+翻转课堂”教学模式取得成效的根本保证。
-
教学生命周期视角下课程质量生态环境构建
按照课程启动、质量计划、质量保证、质量控制以及课程结束的以质量导向的教学生命周期,建立教学共同体责任矩阵,构建课程质量生态环境,对课程质量施以保证服务。课程启动沿用迈阿密大学教学课程规划过程模式,说明和定义课程的需求;将布卢姆教育目标分类法运用于识别课程目标,围绕教学目标开展教学活动和学习过程评价,提供课程质量计划;采用价值链分析法了解教学行为的“增值”和“贬值”,评估教学行为对教学价值的贡献;在课程质量控制阶段,制定多元化评价模式和实践策略,通过“促进学习的评价”和“做为学习的评价”两种形成性评价关注学生的学习过程;在课程结束时,采取多渠道反馈,如师师反馈、师生反馈,以及第三方反馈进行课程质量改进。将学习投入作为衡量课程质量生态环境是否有效的要因,数据分析表明学生在课程满意度和学习绩效等方面具有较高认同。
-
基于建筑环境与能源应用工程专业本科生科技创新能力培养的传热学教学实践与思考
传热学是建筑环境与能源应用工程专业的专业基础课之一。随着新工科建设的推进,传热学教学将承担创新人才培养的任务,课程目标与现行的本科生科创能力培养体系一致。作者在南京工业大学建环专业传热学课程教学过程中,引入“五问反思报告”体系,鼓励学生将所学知识及时应用至本科生科技创新训练项目中,并在授课过程中多次引入挑战杯、“互联网+”创新创业大赛案例讲解传热学基本原理和开展科创项目讨论。此类实践为建环专业传热学教学质量的提升和学生创新能力的培育提供了参考。
-
应用型转型背景下的地方高校测绘工程专业实践教学改革与实践
实践教学作为应用型人才培养的主要载体,其设计的科学与否将直接影响人才培养质量,对其研究十分必要。针对地方本科高校转型发展过程中存在的实践教学从属、依附于理论教学,实践教学不集中,学生实践训练和参与工程实践时间少等问题进行了分析和探讨。结合工程教育专业认证标准,以学生实践能力为核心,能力增值为目标,构建了贯穿4个学年8个学期的实践教学体系,并通过人才培养模式改革、双师型队伍建设、校企合作机制创新和实践教学目标达成评价等途径有效地保障了实践教学的主导地位,研究成果可以加快应用型人才培养目标与课程体系架构之间的有效融合,全面提高专业服务区域经济社会发展能力,是测绘类专业实践教学模式改革的有益尝试。
-
研究生“渗流理论与测试”的可视化教学初探
水电、岩土、石油天然气等工程领域常见渗流问题,与之相关的专业课程备受各大院校重视,重庆大学岩土工程专业研究生课程“渗流理论与测试”应运而生。文章针对研究生在该课程教学中的突出问题,完善学生渗流相关基础的同时,探讨课程的可视化教学模式。基于不同类型渗流软件的仿真技术,对岩土介质进行不同角度的可视化展示,阐明渗流的概念、规律、模型及计算过程,结合科研课题的现场演示,让学生深入理解渗流深层含义的同时,能自主完成不同案例的渗流分析。教学实践表明,如上软件仿真可视化教学模式,提高了研究生自主学习该课程的积极性,并激发了他们的创新思维和科研能力。
-
基于科研资源的路基工程课程设计实践教学探索
路基工程及其课程设计是交通工程、土木工程等本科专业的重要专业必修课程,探索实践教学体系是新工科内涵建设和“一流学科”建设的必经之路。首先,分析了河海大学路基工程及其课程设计的教学现状与存在的主要问题;其次,结合岩土力学与堤坝工程教育部重点实验室和岩土工程国家首批重点学科的科研资源,提出了“科研-实验-教学-工程”四位一体的教学方案,提炼路基工程课程设计实践教学模式;最后,初步探索了路基工程课程设计实践教学的具体措施。本文旨在促进本专业学生对路基工程产生更深层次的认知与理解,提高其专业综合素养和创新能力。
-
我国工程建设新成就用于课程思政教学的探索与实践
利用近年来我国在建设工程领域取得的新成就和本校师生、校友参与重大工程项目的经历,探索建立了针对“钢筋混凝土结构”的课程思政教学新模式。按照课程教学大纲的要求,对每章、节内容进行针对性的规划和设计,建立了课程思政素材库和案例集,并将思政教育资源与课程教学内容进行有机融合和自然对接,实现了课程专业知识与思政教学的有机结合和统一。
-
以“例释”为特色的《中国园林史》教学探索与实践
风景园林历史与理论课程在风景园林专业课程体系中具有十分重要的基础和框架作用。在风景园林学科新一轮课程教学体系调整背景下探讨中国园林史课程教学改革,以“例释”为特色构建以“知识与技术”-“过程与方法”-“情感态度与价值观”为3级目标的教学体系。帮助学生建立中国传统园林的时空认知,形成对中国传统园林历史性的完整认识,探索园林历史学习对于现代园林设计的意义,理解和继承优秀的传统文化,最终形成正确的人生观与世界观,实现“知”与“行”的结合,
-
工程教育认证背景下建环专业创新创业人才培养探讨
为适应新一轮科技革命和产业变革的新趋势,按照工程教育认证标准进行专业建设是我国工程教育发展的必然趋势。作为行业特色鲜明的建筑环境与能源应用工程专业,承担着为能源及环境领域提供高素质创新型人才的职责,应以通过工程教育认证为契机深化专业教育改革。以学生为中心,构建创新创业人才素质模型,建立多层次、模块化的创新创业教育课程体系,注重对学生创新意识的培养,在实践过程中加强创业能力的塑造,全过程全方位融合创新理念和专业知识。提出工程教育认证背景下创新创业人才素质模型及培养课程体系,对培养符合国际工程教育认证标准及新时代要求的高素质复合型人才具有重要意义。
-
工程管理专业BIM教学课程体系改革-以中国地质大学(武汉)为例
基于当前工程行业BIM技术人才的供需矛盾异常突出,高校工程管理专业人才培养模式滞后于行业发展的背景,探讨中国地质大学(武汉)工程管理专业BIM教学课程体系改革。采用将实践融入理论的混合式教学方法,在学校现有工程管理课程教学体系下明确课程的改革目标,依据开发BIM实践教学课程,建设BIM实践教学平台,建立学生课外学习机制和开展教师知识与技能培训,建立BIM工作室“四步走”的实施方案,以校企合作为主要源动力,制定相应环节课程改革的主要内容。得到对全国高校工程管理专业BIM教学课程体系改革有理论和实践指导意义的思路和方法 。
-
VR技术下的建筑类学生空间认知教学实验
空间认知作为建筑设计教学的重点和难点,越来越受到国内外院校的重视。虚拟现实(VR)技术能生成三维动态视景为用户提供1:1的虚拟沉浸体验,对建筑类学生而言,VR技术带来全新的设计视角。为了更好证明VR对学生的空间认知有积极作用,将VR和几种传统的建筑设计方式进行了教学实验,并在不同阶段均对学生进行问卷调查和深入访谈。研究结果表明,VR设计方式下,学生对空间尺寸和比例等的把控更为准确,对空间认知和设计理解的能力有显著提升。同时也为今后VR技术在建筑设计教学领域的应用提供了一定的实践价值。
-
土木工程研究生创新思维和科研自信的培养方法
“新时代”国家战略、“新工科”教育改革行动、“工程教育的国际认证”为传统工科的研究生培养模式提出了新的要求、新的标准,亟需教育工作者思考如何培养出“适应未来的工程师”,研究生招生规模的不断扩大和新工科培养目标的提升已成为我国研究生培养中的主要矛盾,分析了目前土木工程专业研究生培养中存在的主要问题,从培养理念、教学方法、导师指导模式、学术例会组织模式等方面探讨了新工科理念土木工程研究生培养中的落地方式。
-
实践论对技术类专业知行的适用
《实践论》是被极其成功的实践反复证实的哲学,其基本思想广泛适用于实践活动过程。技术类专业有着各种实践教学过程,是学生认知中常见的基本活动,学生通过实践训练实现从感性认识到理性认识的飞跃;学生毕业后用所学知识反实践于社会,完成认知的第二次飞跃。实践论对学习和工作中出现的若干问题与困扰的解决具有很好的指导意义。
-
培养跨学科人才服务学科交叉——“规划-生态”复合型人才培养的实践探索
多年来专注于矿区生态修复、采煤塌陷地生态恢复等教研工作的实践,在取得可喜成绩的同时,也深刻体会到城乡规划学科对生态学知识的需要和对规划-生态复合型人才的强烈渴求。基于此,规划-生态复合型人才培养的改革设想逐渐形成。创建生态学课程群,构建基于学科交叉的规划+生态课程模块,通过引入丰富的教学方法组织课程并实施教学实践;同时采用科研反哺教学的方法,将学生引入到科研课题中,通过真题假做和真题真做的方式,让学生站在科学研究的第一线,学习专业基础知识、基本技能和学科前沿知识;在此基础上,通过不断拓宽国际化教育资源,打通国际交流渠道,实现以城乡问题为导向,以生态学理论与方法为手段的跨学科人才培养模式,达到复合型人才培养的目标。
-
卓越工程师背景下能源与动力工程专业课程多元化实践教学方法研究
针对当前传统教学模式在实践创新型专业人才培养中的不足,以能源与动力工程专业为基础,以《热力设备原理》和《换热器原理与设计》两门专业课程为例,讨论了卓越工程师背景下多元化实践教学方法与常规教学模式的差异,提出了课程教学过程中应加强包括多媒体课件设计、工程案例分析、校外工程师进课堂、实验、课程设计实际工程化及工程现场实践教学环节的多元化实践教学内容,让学生从基础知识、案例应用、实验现象与结果分析、工程现场实践等多角度开展深度全面的学习,提高学生的学习兴趣和综合实践能力,培养出满足社会需求的卓越工程师人才。
-
工程教育认证背景下城市地下空间工程专业培养方案构建
针对行业特色型“双一流”建设高校城市地下空间工程专业人才培养方案的构建,作为国内最早创办地下工程相关专业的高等院校之一,在经由《华盛顿协议》开启的工程教育专业认证背景下,西南交通大学在实践中深度思考城市地下空间工程专业人才培养目标、课程体系建设以及人才培养方案的持续改进。以成果为导向,在国家城市轨道交通行业发展及双一流建设的内外需求下明确并细化人才培养目标,量化毕业要求并以此架构培养目标的实现矩阵;确立课程体系总框架,在兼顾标准、特色以及能力结构映射下,通过毕业要求对应指标点确定课程模块和实现矩阵;通过专业课程优化拓展、整合多元化课程,突出了实践能力培养核心、扩展了科研创新能力培养途径。
-
着眼教育全过程,改革教学模式,打造工程类专业通识“金课”
“金课”建设是高等教育质量的保证,是教育全过程建设中的重要一环,当务之急应从教育理念、培养方案、课程设置、教学方法等方面进行“金课”全方位建设。通识类课程是大学本科教育的重要内容,着重培养学生的人文修养、道德情操、社会责任等综合素质。根据不同学科类别的通识课程的自身特点,结合“金课”建设,提高工程专业通识类课程的教学效果,须打破传统的专业课程教学模式的局限,由单纯的“以教师为中心”的“教”,转变为“以学生为中心”的“学”。作者以响应国家建设“双一流”大学和“金课”建设号召为契机,专注于课程设置和教学模式的改革创新,结合当前社会环境及学生关注的热点,充分利用工程类专业实体模型、工程实践、移动网络、社交平台、网络视频、传统优秀教学方法等教学方式和手段,积极探索工程类通识课程如何把学生的注意力从“手机”转移到课堂的教学模式。论文以高校土木工程专业通识课程《桥梁美学》为例,摸索出一套可行的打造工程类专业通识“金课”的教学方法,可供同行借鉴。
-
新媒体时代基于工程应用型人才培养的塑性力学教学改革
“塑性力学”是一门针对土木工程专业研究生开设的课程,该授课内容主体为物体塑性变形时的应力-应变变化规律。若仅仅局限于课本知识,该课程内容复杂、公式繁多,难免让学生觉得晦涩难懂。本文基于“塑性力学”课程在传统教学中存在的普遍问题,为达到激发学生学习兴趣的目的,结合新时代新媒体平台进行了以工程应用型人才培养为导向的课程教学改革。具体依托上海理工大学教学改革案例,采取的改革措施有:(1)通过微信公众号建立网上课堂,增加师生互动,以网课制作的形式优化教学内容;(2)以理论与实践相结合的理念,通过新媒体工具增加土木工程方面的实例教学;(3)将目前土木方向新兴的设计仿真工具与传统教学相结合,采用多媒体教学呈现给学生;(4)建立校企合作模式,企业技术人员网络授课,进行虚拟平台模拟实训;(5)要求研究生结合自己研究方向,查阅塑性力学相关的近期文献并形成课业报告,进行课堂PPT汇报。
-
土木工程专业核心课程英语教学实践与总结
开展土木工程专业核心课程英语教学对培养适应全球化发展趋势的高素质专业人才有着重要的意义。混凝土结构设计原理课程兼具科学性、工程性和实践性的特点,在教学方面具有代表性,以该课程为试点课程,介绍了北京交通大学茅以升班双语课程和留学生全英文课程的教学实践情况。结合工程教育认证的基本要求,以强化英语思维和应用为目的,针对两类不同学生群体的特点,从教学理念、教学内容、教学手段、教学方法、全英文课程项目、考核方式等方面进行调整优化。实践表明,试点课程收效良好;全英文课程项目、借助信息化教学手段的师生线上交流平台可激发学生学习的主动性,加深学生对知识的理解,并有效地提升了学生的英语应用能力。总结教学实践经验,为课程的持续改进提出了相应的建议。
-
国内外土木工程专业本科课程体系的比较研究
开展国内外土木工程专业课程体系的对比研究,对调整和优化现有的课程设置有着重要的参考价值。选取同济大学、美国伊利诺伊大学和伦敦英国帝国学院三所土木名校为调研对象,与我校土木工程专业的课程体系进行了对比研究。对比分析包括培养目标、课程设置、基本学分要求、课程结构和专业类课程的构成和占比、核心课程等诸多方面。研究表明,伦敦帝国学院的培养目标对学生能力的毕业要求更为明确,值得借鉴;与国外高校相比,国内高校土木工程专业总学分要求偏多,课程总数偏多。在符合工程教育认证标准要求的前提下,适当降低总学分要求、精简课程规模、调整课程结构、加强专业核心课程的建设、实现本科和研究生课程贯通是我校土木工程专业课程设置调整和课程建设工作的重点。
-
建筑材料慕课建设与教学实践
在全球信息技术及教育信息化的推动下,以慕课(Mooc)为主要形式的大规模开放式在线课程成为教育界的重点发展方向。为提高公共服务水平,促进教育公平与课程教学改革,我国教育部《关于加快建设高水平本科教育全面提高人才培养能力的意见》指出要“大力推进慕课和虚拟仿真实验”,大力推进和发展高质量慕课建设。本文以建筑材料慕课建设为例,从建筑材料课程基本情况及特点、建筑材料慕课课程资源建设和建筑材料慕课教学设计及实施效果分析三方面论述了优质慕课资源的建设思路,并在慕课平台上开设了社会公共班,在教学探索过程中得到了有关于课程内容、教学资源、教学模式以及线上考核方面的宝贵经验,为日后建筑材料慕课和其他学科的慕课的开展奠定了实践基础。
-
工程案例与虚拟实验在建筑结构抗震教学中的应用
建筑结构抗震是土木工程专业主干课程,针对课程内容多、理论深、概念抽象,传统教学模式效果差的现状,提出了工程案例与虚拟实验相结合的教学模式。分析了建筑结构抗震课程的教学现状和问题,总结了工程案例与虚拟实验组合教学的模式与特点,阐述了工程案例与虚拟实验组合教学模式的教学改革策略和课程教学内容设置,最后以反应谱理论的知识讲解为例详细介绍了案例教学与虚拟仿真混合教学模式在建筑结构抗震课程中的实践过程。工程案例与虚拟实验组合教学模式以抗震设计基本理论与方法为主线,注重师生互动,引导学生从可视化的地震情境中提出问题,分析问题直至解决问题,教学模式强调启发式教学,能加深学生对抗震基本概念和原理的理解,强化学生面向产出的综合能力培养。
-
建筑学专业本科生研究型毕业设计的教学改革探讨
建筑学专业的毕业设计选题一般以现代工程实例为主,但是近年来以研究、探索性质的专题化毕业设计选题在各类高校也有所尝试。本文以2019年湖南大学建筑毕业设计“历史建筑虚拟修复更新设计”课题为例,介绍了整个教学与设计的具体过程,包括各个阶段时间的安排和训练的重点,在选题上充分尊重学生的意愿和喜好,强调设计以研究型为导向,尝试引入虚拟修复技术来开展修复与更新设计,展示与分析了部分教学成果,试图通过此次毕业设计实践为建筑历史方向的教学提供新的思路。
-
基于SC教学理念的土木工程专业课程改革
一流的本科教育是一流大学的立校之本。为适应培养土木工程复合人才的需要,改变传统“以教师为中心”的教学模式,探索一种以学生为主体的教学模式,有必要对土木工程专业课程进行教学改革。以建筑结构抗震设计课程为例,针对目前教学中存在的不足,并结合该课程的内容多、学时少,教学难度大等特点,基于“以学生为中心”(Student-Centered)的教学理念,从教学内容、教学方法、实践环节和评价体系等几个方面,调整教学模式和教学手段,鼓励和引导学生课后自主学习,解决课时少、内容多的问题;采用多种手段辅助教学,激发学生的学习兴趣;重视实践教学环节,增强学生综合应用能力和创新实践能力;完善教学评价体系,将过程性指标引入评价体系,同时也对教学工作进行评价,形成师生之间的良性互动。根据教学改革前后的教学效果的比较,分析结果说明基于SC的改革措施充分调动了学生的学习热情,增强了自主学习能力,提高了学生的学习成绩,也促进了教师的教学水平提高和培养质量,取得了较好的教学效果,希望对其他土木工程专业课程改革有所帮助。
-
“金课”背景下土木类虚拟仿真实验教学发展趋势——基于2018年国家虚拟仿真实验教学项目共享平台公示数据
土木工程是一门具有较强实践性的课程,然而土木工程实验具有成本高、周期性长、危险性大的特点,大规模的实体教学实验受限于设备、场地、资金等方面无法实现。随着计算机仿真技术的不断进步,基于数值模拟技术的土木工程虚拟仿真手段在本专业的工程实践应用和本学科的科学研究应用中发挥着越来越重要的作用,通过虚拟仿真试验弥补课堂教学和实体试验的不足,成为土木工程专业教学的发展趋势。国家虚拟仿真实验教学项目集合了国内最先进的虚拟仿真教学项目,代表了虚拟仿真教学的发展方向,国家级“金课”重要组成部分,具有非常高的指导意义。本文基于2018年国家虚拟仿真实验教学项目共享平台公示数据,对土木类虚拟仿真项目的学校、负责人和项目类型进行归类,分析公示中虚拟仿真项目的特点,指明土木类虚拟仿真教学项目的发展趋势,为后续土木类虚拟仿真实验教学项目建设提供参考。
-
混合式“金课”课程质量标准的探索与实践
“金课”建设前应制定符合“两性一度”特征的课程质量标准,以保证课程建设的顺利实施。本文以《钢结构原理》建设线上线下混合式“金课”前对课程质量标准的思考与探索为例,论述应用型高校如何综合考虑院校定位、社会行业需求、专业特色、课程属性、教师团队和学生特点等六个影响因素,对“高阶性”、“创新性”和“挑战度”进行个性化解构和细化,制定兼具“共性”和“个性”的课程质量标准。
-
军体训练馆建筑设计及其教学探索
随着训练内容与强度逐渐深入,部队亟需全天候的训练场所,军体训练馆的建设越发迫切。但目前尚缺乏对其功能构成和空间形态的深入研究,教学中亦少有涉及。针对其建筑功能构成既与民用体育建筑有相似之处,又具有军事功能需求的特色,探索其建筑设计与教学的目标、内容及侧重点具有重要意义。依托这一建筑类型,明确其建筑设计要点是多尺度空间组合套叠、建筑技术要求特殊,从而培养学生多尺度空间组合与建筑结构观念及建筑结构造型能力。结合某军种室内军体训练项目需求,通过分析室内射击训练场、游泳训练场和军体综合训练馆的教学内容,提炼出适合军事训练需求的各项空间尺度、质量以及建筑结构、设备等基本要求,并明确其教学要点,归纳教学实践经验,为军体训练馆建筑设计与教学提供理论支撑。
-
面向提升学生创新能力的GIS教学改革与实践
本文基于大数据时代面向城乡规划专业GIS课程教学改革的相关思考,结合华南理工大学建筑学院十多年来GIS课程及城市规划设计相关课程协同教学改革的探索,通过积极引介前沿动态、专业课程协同教学、互动教学实践、创新性综合试验等教学改革实践,对相关教学经验和教改成果进行系统梳理,探索面向提升学生创新能力的GIS教学改革实施路径。实践表明,相关教改措施对提升建筑类学科学生创新能力和创新复合型人才培养具有良好的效果。
-
校园环境特色导向下的建筑设计基础教学实践研究
以目前西安理工大学本科设计基础课程为研究对象,通过梳理目前建筑设计基础课程中的现在与问题,结合本校教学特点,提出结合本校校园环境特色的体验式教学法,在四阶段学习模型的基础之上,重新整合现有教学框架,从校园空间到环境认知、园林建筑到环境领悟、园林更新到环境重塑、微建筑到茶室设计,四大模块,形成具有西安理工大学特色的本科建筑学基础设计课程体系。
-
《土木工程专业英语》课程改革的探究
随着21世纪国家“一带一路”战略的深入实施,建筑业的国际竞争日趋激烈,高校也更多地强调面向国家重大需求或根据市场导向,培养出高素质、国际化的复合型人才。土木工程专业的国际化发展,对我国土木工程人才培养提出了新的要求。为加强在国际市场的竞争力,土木工程专业英语的学习已成为我国土木人才教育的必然趋势和有效选择。通过重新审视当前土木工程专业英语教学体系,深入研究当前存在的一系列教学问题,从教学模式改革和师资队伍建设等方面具体阐述了土木工程专业英语课程改革的实践策略,为更多专业英语课程的建设改革提出了几点建议:1.增加课程学时配比,提高重视度;2.丰富教学内容,优化教学设计;3.加强课程资源和师资建设;4.形成持续改进的考核机制。
-
普通高校BIM课程设置中具体问题综述与分析
BIM技术的推广应用受到工程领域的广泛关注,但如何在地方高校中推广开设BIM课程和进行BIM教学,目前各高校的课程设置侧重点和教学策略仍存在差别。本文通过设计问题框架,从课程设置目的、教学内容、教学方法、效果评价及具体解决路径等角度,对目前文献中阐述的BIM课程设置进行详细分析。发现尽管目前已形成针对不同专业背景的BIM课程设置体系和专业课程改革设计,但针对BIM课程设置和教学上的具体细节问题的阐述和解决路径尚不全面。结合相关国内外文献,总结出地方高校BIM课程设置和教学中存在的若干具体问题的解决路径,为地方高校BIM课程设置提供一种新的参考。
-
木结构暑期境外教学实践与探索
我国木结构发展迅速,但我国木结构教学相较国外仍差距明显,我国土木工程专业学生在木结构方向的设计和分析能力亟待提高,与国外高校合作并组织我国学生赴境外接受木结构学习可高效地借助先进的木结构教学体系,为学生提供更丰富的实践资源与学习体验,本文介绍了木结构境外教学的主要内容和教学手段。境外学习学生反馈显示,境外教学整体效果显著,学生木结构设计能力得到了增强,专业实践能力得到了拓展,学术英语表达能力得到了进步。文章从英语教学、实践教学、前后期教学等方面进行了思考,提出了相应的改革措施,探索了未来木结构境外教学模式的发展方向。
-
“金课”体系下河海大学土力学在线开放课程的建设实践与思考
土力学是土木类专业的核心主干课程,具有专业性强,知识点繁多、琐碎,概念抽象、运用灵活度高等特点,同时课程的诸多假设性条件与理想化理论,易造成学生疏于理解、难以活用。本文以河海大学土力学在线开放课程为例,阐述了在“两性一度”即高阶性、创新性、挑战度的金课标准下,在线开放课程建设金课的意义与难点,列举了该在线开放课程推动金课建设的详细措施:改革课程体系、采用案例教学方法、融入思政教育理念,并结合翻转课堂等形式,精进教学内容,提高课程生动性,增强学生解决问题的能力,培养学生的综合素质。从学习效果的统计结果中证实了这些措施的有效性。
-
《土木工程施工基本原理》MOOC教学中的实践资源建设
MOOC的出现正越来越多地改变大学生们的学习方式,同时也给他们提供了更丰富的学习资源。本文在结合《土木工程施工基本原理》课程特点和MOOC建设内容的基础上,介绍了该课程MOOC建设中关于实践资源的动态建设过程,它包括了施工过程的视频、施工工艺的动画、施工现场的照片以及工程案例等内容,重点介绍了工程案例库的建设过程。同时也探讨了教师利用网络来优化教学过程、提高教学效率的问题,对土木工程课程的教学改革具有一定的借鉴和参考价值。
-
论高校创新创业创造教育与专业教育的融合
我国高校近年来高度重视创新创业创造教育并不断探索如何以更有效的方式推动创新创业创造教育的开展。将创新创业创造教育与专业教育互相融合,是实现新工科背景下高等教育目标的重要途径。目前,高校创新创业创造教育取得了较大进展并积累了许多经验,但也存在诸多问题。本文阐述了高校创新创业创造教育和专业教育的内涵及两者间的联系,重点分析了当前高校创新创业创造教育与专业教育融合面临的主要问题并提出有针对性的若干对策,以期为本科高校更好地落实创新创业创造教育并全面提高学生的创新理念、创业实践和创造精神提供参考。
-
面向工程教育认证的结构力学混合式教学设计
工程教育认证是在我国新时代工程教育同国际接轨的背景下提出的,其“学生中心、成果导向、持续改进”的理念对指导现代工程教育、培养兼具技术能力和非技术能力的工程人才具有重要意义。重庆大学土木工程学院结构力学课程组根据成果导向的要求,从学习者的建构主义认知发展规律出发,分析结构力学课程的内容特点及其在培养体系中的地位,逆向设计结构力学课程的混合式教学,将传授式教学、在线学习、任务导向式教学、对话框架等教学方法和工具用于结构力学混合式教学,同时在教学设计注重引入实际工程培养学生解决“复杂工程问题”的能力,从而实现课程目标、达到其所对标的工程教育认证中相应毕业要求。
-
“科研-工程-教学”深度融合的建筑力学教学模式创新与实践
专业基础课教学如何适应工程学科复合人才的培养需求,一线教师如何平衡个人发展与教学工作的矛盾、回归高等教育本位,是当前我国高等工程教育面临的难题之一。重庆大学建筑力学教学团队通过把握土木工程背景下建筑力学的工程科学内涵,确立“科研-工程-教学”深度融合的建筑力学教学理念,探索“融工程于力学、以科研促教学”的教学团队建设机制,围绕学生力学思维与综合能力的养成,建设了递进式土木工程学科复合型人才力学综合素质与创新能力培养模式,探索了一条人才培养、教学团队与学科建设协调发展之路,希望对其他工程学科专业基础课程教学模式及教学团队建设有所裨益。
-
基于“CPS+智慧技能”模型的建筑学专业设计能力培养浅析
由于建筑设计涉及因素的复杂性和矛盾性,建筑学专业的人才培养模式与纯工科、纯理科、纯文科、纯艺术等专业都有所不同,对以应用型人才培养为基本目标的地方建筑高校来说,设计能力是建筑学专业培养的核心,设计系列课程是设计能力培养的主线课程,在学生设计能力培养过程中,利用“创造性问题解决模型”结合“智慧技能模型”,即“CPS +智慧技能”模型教学思路和方法,创设“学习共同体”情境,实现教师引导下的“做中学”“主动学”“自主学”,让学生自主发现新知识,可起到事半功倍的教学效果。
-
基于工程教育专业认证理念的《建设工程法规》课程改革
《建设工程法规》是土木工程学院面向本科生开设的通识类课程,旨在使学生了解和掌握我国土木工程领域现行的法律法规知识,培养学生运用相关知识解决工程问题的能力。2016年,我国加入《华盛顿协议》,对工程人才的培养提出了更高要求。按照工程教育专业认证的要求,以“以学生为中心”、“成果导向”和“持续改进”为核心理念对《建设工程法规》课程进行质量建设,在重视学生理论知识掌握情况的同时,关注学生能力的培养和人格的形成,引导学生成为适应社会需求的高素质复合型人才。
-
普林斯顿大学本科人才培养模式对我国世界一流大学建设的启示
人才培养是建设世界一流大学的重要抓手,落实人才培养核心地位,推进人才培养模式改革,是一流大学建设的题中应有之义。探讨现有世界一流大学的本科人才培养模式,对我国世界一流大学的建设有着重要的借鉴意义。研究发现,林斯顿大学在人才培养目标、课程设置方式、人才培养制度、学业评价等方面的成功经验对创新我国研究型大学本科人才培养模式有着重要的启示意义,对加快我国世界一流大学建设的步伐起着举足轻重的作用。
-
教学做合一的建筑构造深化学习环境设计探索
强化实践是当下高等教育中一个重要取向。理论课教学中引入“做”已普遍为教师所认同。建筑构造教学一般分为基础学习和深化学习两个阶段,在深化学习阶段如何有效融入创新实践是建筑构造设计课教学改革的一个重要内容。建立教学做合一的学习环境,需要解决做什么和如何做的问题。教师可以合理安排专题教学内容,巧用不同教学法,建立因做施教、以做促学与在做中学的深化学习环境,同时结合实际情况灵活调整。专题讲授可以达到以线带面的教学效果,将知识学习扩展为方法掌握;重视实操体验的互动式教学可有效激活学习热度,创新实践可促进建筑技术理论知识的吸收,培养整体设计思维。这些措施加上全过程的建筑构造学习环境的拓展建设,建筑构造学习可成为连接建筑设计主干课与建筑技术理论课的桥梁,提高专业培养质量。
-
国外高校工程管理类专业本科课程体系建设及其启示
现代工程项目管理的复杂性对工程管理专业人才的素质和执业能力提出了更高的要求,工程管理类专业本科课程体系的建设和完善直接影响着工程管理专业人才的培养质量。可以通过对国际知名大学工程管理类专业本科课程体系的了解为我国高校工程管理专业课程建设带来启发。文章用调研、对比研究和归纳分析的方法,探讨了美国、英国、澳大利亚、新加坡等国7所大学工程管理类专业本科课程体系构成和特点,通过国内与国外大学课程体系的比较,提出完善我国工程管理专业本科课程体系的对策。
-
高校学术英语系列课程建设的探索-基于建筑学科本科生英语学习需求的分析
在国际交往及教育国际化进程不断深入的背景下,高校学术英语课程建设日趋重要。以建筑学科本科生为例,采用问卷的方式,从学生现有语言水平及能力、英语学习目的、对大学英语课程的期望、目标需求以及学生对开设学术英语课程的认识及看法五个方面调查了解学生的英语学习需求。研究结果表明,学生已有多年的英语学习经历,具备一定的语言基础知识,具有多元的目标需求,渴望将英语学习和其专业研究及今后的职业发展相结合,对学术英语的呼声高涨。最后,从开设学术英语课程的必要性、多元学术英语课程构架的设置、课程教学内容的细化以及研究型教学法的应用四个方面对国内高校学术英语课程建设提出了意见和建议,以期切实提高学生的学术交流和沟通能力,把学生培养成为社会所需的复合型人才。
-
唯物辩证法的五大范畴在桥梁检测与加固技术教学中的应用
五大范畴是对事物最普遍的辩证关系的概括和反映,从不同侧面揭示了物质世界的普遍联系和发展,是思政课的重要教学内容。在“桥梁检测与加固技术”教学过程中挖掘和提炼教学内容所蕴含的辩证唯物主义思想,通过几个典型案例的阐述将五大范畴融入有关桥梁专业课程内容的教学方法,探讨了桥梁专业课程与思政课同向同行、合力育人的教学模式,推进了工程教育的理念创新、模式创新。
-
以兴趣激发为着力点的土力学教学改革案例
土力学教学内容较枯燥,易挫伤学生学习积极性,影响教学效果。对此,广泛发掘了土力学课程内容趣味点,以启发引导式教学方法为基本框架,设计了以兴趣激发为特色的土力学启发引导新型教学方案。将趣味点融入知识点进行问题设计,利用学生日常见闻和切身场景引出问题;启发引导过程强调学生的主体地位和参与度,教师主要发挥适时引导作用;让学生在充分享受求知乐趣的同时发掘问题答案,最后通过结论环节激发学生成就感并强调科学知识的严谨性。以“案例1”和“案例2”为例,介绍了新型教学方案的实施过程,剖析了方案设计依据与经验体会,基于教学实践反馈进行了总结。
-
思想政治理论课坚持“八个相统一”的功能概析——一种社会心理学的理解
思想政治理论课改革创新要坚持“八个相统一”,这是习近平总书记深刻洞察了思想政治理论课的本质,提出的科学性、指导性、系统性于一体的教育思想,在新时代为思政课建设提供了根本遵循。广大思政课教师应当深入学习领会“八个相统一”,把握对政治性、价值性、建设性、理论性、统一性、主导性、灌输性、显性教育的继续坚持,对学理性、批判性、实践性、多样性、主体性、启发性和隐形教育尽快补足,理解“八个相统一”每组概念之间的统一性和相互建构性。
-
依托学科优势、强化专业特色、丰富专业内涵——土木工程专业课程体系的深化改革与优化实践
课程体系是专业人才培养方案的主体,是专业特色和专业内涵的关键载体,也是专业建设和专业教学改革的基石。本文以西安建筑科技大学土木工程专业现行课程体系设置为例,分析总结了该土木工程专业为更好体现专业特色和丰富专业内涵,对专业课程体系的深化改革和创新实践,着重介绍了专业课程体系中核心课程群、特色选修课程体系、外语课程体系、双语教学课程体系、全英文教学课程体系、创新创业教育课程体系、通识课程和在线课程群的建设与改革情况。本文所介绍的课程体系改革和设置经验,对于其他高校的土木工程专业课程体系设置和专业建设具有良好参考与借鉴价值。
-
“新工程教育转型”与“工程教育融合创新”的比较研究
为应对新工业革命的需求和挑战,MIT实施了第四次工程教育改革(MIT4.0)——新工程教育转型(NEET),卓越联盟高校开展了《面向新工业革命的工程教育体系研究》,提出了工程教育融合创新(EEII)。新工程教育转型的主要内容包括实施项目中心课程、多样化教学、灵活性、思维方式、强调系的作用、持续改进——定义未来的工程教育等六部分。工程教育融合创新的主要内容包括面向新工业革命的中国工程教育发展战略、重构中国工程教育的治理体系、工程教育范式要从当前的“回归工程”走向“融合创新”、实施基于工业价值链的工程人才培养模式、构建新的知识体系和面向工程过程的课程体系、工程人才培养质量标准体系的构建策略等方面。本文从工程教育八要素视角比较了二者的异同,MIT是通过转型的行动而成为新的工程教育,是连续性的动作;而我们要通过融合、创新方可成为新的工程教育,这样才可实现变轨超车,是跳跃性的动作。
-
多伦多大学一流电气电子信息技术人才培养途径及对新工科建设的启示
如何培养面向产业、面向世界、面向未来符合新工科要求的一流电气电子信息技术人才,是我国高校新工科建设过程中面临的紧迫任务,向教育发达国家学习和借鉴成功经验是一条有效途径。多伦多大学作为世界顶尖大学,其信息技术人才培养以提高学生的工程与人文素养为特色,以强化多学科交叉融合、丰富学习体验、加强多方协同育人体系建设为途径,全面贯彻以学生学习为中心的使命感,对教育质量卓越的承诺和全方位、多角度重视诸多核心能力的培养等教育理念,这对我国新工科建设及培养影响世界的卓越工程师和下一代工程领导者具有重要启示。
-
面向行业新需求的工程管理专业人才培养探索与实践
随着“一带一路”、技术创新等国家战略的提出,我国建筑工程领域不断扩张,行业大规模发展,呈现出工业化、国际化、智能化的新趋势,行业对专业人才提出了新的需求。另一方面,近年来工程事故频发、建筑垃圾肆虐等问题,反映出在行业实践中,高校对人才的培养与行业实际需求存在一定的脱节。工程管理教育面临新的挑战,人才培养亟待改革。通过文献研究法,结合半结构化访谈对行业人士进行调查,并采用因子分析法进行分析,能够得出当前行业对人才素质需求的5个维度——个人品质素养、专业技能、个人职业发展能力、专业学科知识及应用、基础学科知识及应用。以该结果作为工程管理专业人才培养的重要方向,在此基础上提出五大重点课程群、三大教学平台及相关的核心培养内容,为工程管理人才培养教学改革与实践提供了参考。
-
建筑学专业本科生实践能力培养研究——基于广东5所高校的文本分析
建筑学是一门综合性与实践性高度统一的学科,培养实践能力强的高素质本科生人才是当代建筑教育不可忽视的重要构成成分。在粤高校实践能力培养方案各有侧重,宏观上课时学分分配、课程类别占比差异不大,微观上体现专业实践能力的设计课与技术课双轨并行实施教学。高校要着手搭建系统的实践教学体系,形成纵横交错的课程组织方式,巩固实践能力培养保障条件,加快建筑学专业本科生实践能力的培养步伐。
-
关于材料力学教学中两个问题的讨论
摘要:根据材料力学的基本理论,分析了平面弯曲梁强度问题中的两个问题:截面形状对梁弯曲正应力强度的影响和工字型截面梁截面上的最大切应力与腹板名义平均切应力的关系。定量求出了各种截面形状对梁弯曲正应力强度的影响程度、工字型截面梁的截面尺寸变化对截面上最大切应力的影响规律。研究结果表明,当矩形截面横放且宽高比大于 时,其弯曲正应力强度差于圆形截面;当工字型截面竖放程度小于矩形截面的竖放程度时,如果工字型截面的腹板很矮或很宽,则工字型截面的弯曲正应力强度差于矩形截面;对于一般的截面尺寸,工字型截面上的最大切应力并不等于腹板名义平均切应力,仅在特定的截面尺寸条件下,工字型截面上的最大切应力才等于腹板名义平均切应力。研究结果修正了现行材料力学教学中的一些模糊概念,研究过程和研究方法为材料力学教学中提高学生的科学素养和培养学生的科学研究能力提供了一个良好的案例,对材料力学的教学具有重要意义。
-
论留学生《钢结构基本原理及设计》课程的教学方法
近年来,随着高等教育国际化的快速发展,大量的外国学生来华学习中国的土木工程知识,使得各高校对留学生的教学提出了新的挑战。因此为提高对留学生的教学质量,培养更多专业的、国际化的土木工程师,基于对浙江工业大学14级、15级、16级留学生的调查问卷,探讨了《钢结构基本原理及设计》这门课的教学方法。调查发现,在对留学生的教学中,普遍存在留学生力学基础差、教师英语授课能力欠缺、教学方法传统化、实践与理论脱离和考核评价不合理等问题。针对《钢结构基本原理及设计》课程的性质和特点,并考虑到留学生的特殊性,从该课程的教学目标、授课内容和教材、教学方法、课程设计和考核评价体系、等各个方面进行了探讨分析,并提出了相应的建议。旨在提高留学生教学质量,培养更多适应经济社会发展变化的实用型人才,使留学生在未来的工作岗位更具优势。同时,为其他类似的土木工程课程的教学提供参考。
-
回应到引领——美国工程教育与产业结构之关系研究
工程教育与产业发展相互支撑、紧密联系,培养经济社会发展需要的工程人才是工程教育的使命,也是产业发展需要。基于美国工程教育发展历程和产业结构发展史的视野,融入美国工程教育范式的演变,概括出从1783年到1990年,即美国工程教育技术范式初级阶段到科学范式的过程中,美国从农业大国转变成以第三产业为主的信息化大国,工程教育与产业结构的关系经历了回应、适应、带动三个阶段,并推导出1990年至今,即第四次产业革命下,回归范式的工程教育理应引领产业结构发展。
-
线上与线下融合的土木工程专业课混合式教学研究
目前系统全面的线上与线下混合教学模式还没能形成,特别是将混合式教学理念应用于土木工程专业课的教学研究还很欠缺。在分析对土木工程专业课的特点及教学中存在的问题的基础上,提出了一种线上与线下融合的混合式教学模式。该教学模式基于多媒体PPT、黑板板书、MIRC网络平台和课程学习网站等教学手段,采用讲授、讨论、任务驱动和自主学习等教学方法,将教学手段和教学方法的综合运用,可以最大限度的避免学生学习过程中出现的思维疲劳,充分激发学生的学习兴趣和潜能。在土木工程核心专业课程“建筑结构设计”教学中的应用结果表明,所提出的线上与线下融合的混合教学模式具有较好的学习效果,并有助于创新实践人才的培养。
-
大陆与台湾土木工程专业材料力学课程比较研究
材料力学课程作为土木工程专业的一门必修课程,是整个课程体系的基础力学课程之一,其重要性不言而喻。本文分析了重庆大学与台湾中兴大学土木工程专业材料力学课程在教与学两方面的共性与差异,亦在通过对比两所高校的教学内容和教学方式,取长补短,不断提高内陆地区土木工程专业材料力学课程的教学质量,实现均衡发展,加强学生能力培养,促进教育改革。材料力学课程作为一名土木工程学生深入了解专业领域的必备基础,其在土木工程专业本科教学阶段是十分重要的。因此,不断摸索教学模式,提高教学质量对土木工程的教学工作是势在必行。本文通过分析两所高校的教学差异,学习其他高校优良的教学经验和教学方法,取其精华,去其糟粕,使土木工程专业的教学工作发展更进一步。
-
专业学位硕士研究生案例类课程PBL教学法的探索与实践
针对专业学位研究生课程教学方法学生满意度不高、课程内容联系实际不强的问题,提出课程案例教学与PBL教学法相结合是解决问题的一个重要途径。以《地下工程施工案例分析》课程为例,从课程内容整合、教学案例设计和PBL项目设计、计划制定、活动实施、成果交流与活动评价等方面详细阐述了案例类课程PBL教学法的实施过程。结合PBL教学实践,指出了PBL课程教学中存在的问题并提出了解决措施。实践表明,PBL教学法能很好的适应专业学位研究生案例类课程教学的要求,可以显著提高学生的自主学习与探究能力、工程实践能力与创新能力,也有利于培养学生的创新精神与团队合作精神。
-
建环专业中外合作办学人才培养模式的探索与实践—以中国矿业大学中澳合作项目为例
中外合作办学项目是高校国际化办学的一种重要形式,是双一流背景下引进国外优质教学资源,提高国际影响力和知名度的重要举措。以中国矿业大学和皇家墨尔本理工大学合作举办建筑环境与能源应用工程本科项目为例,介绍了项目进展、项目建设目标和项目人才培养模式的特色。对合作办学专业学制设置、培养方案和课程体系制定、师生交流互访机制、师资队伍国际化建设以及协同管理体制做了有益探索和实践,并取得良好成效。该合作办学培养模式的创新和实践可为其他中外合作办学项目提供借鉴和参考。
-
众创理念下大学科普资源立体式开发与服务社会的路径研究——基于西南大学的实践案例
科学普及是高校创新教育与专业教育融合的重要实践载体。科普创作与实践是大学生创新教育新的增长点。引导大学生从事科普创作与实践,深化大学科普资源立体式开发,形成“创新教育与专业教育相融合”的新方式。依托高校教学科研机构,构建大学生科普创作与实践创新创业教育平台。构建“大学—政府—社会”创新创业教育生态网,推动大学科普资源服务社会。
-
目前西南地区公众科普需求现状研究 ——基于3757份问卷的调查分析
按照“需求导向”原则来设计和开展科普研究工作,能够有效地提高科普工作的效率和满意度。随着经济社会的发展与进步,西南地区公众的科普需求也随之改变。对当前西南地区公众科普需求的状况进行调查和分析,归纳总结其科普需求特征,并在此基础上探索性地提出对策建议,可为西南地区及全国科普工作的开展起参考和借鉴作用。
-
新工科背景下土木工程专业建设法规类课程建设实践与探索
为应对新一轮科技革命与产业变革,积极配合国家教育改革战略规划及政策要求,国内高校纷纷主动深化工程教育改革,布局新工科人才培养和教育创新,以培养面向未来的复合型创新工程技术人才。土木工程作为典型的传统工科专业,面临着进一步“改造”和“升级”的现实问题。土木工程建设法规作为一门具有显著学科交叉特征的课程,其课程建设十分符合新工科建设的发展趋势。秉承我国新工科教育理念,通过对比分析国外四所著名高校建设法规类课程开设情况,从课程基本信息、教学目标、课程内容和教学方法四个方面提出了课程建设的思路和方向;以河海大学土木工程建设法规课程建设为例,对课程教材建设、“翻转课堂”教学模式实践以及在线开放课程建设实践及成效进行分析和总结。
-
大数据时代高校城乡规划本科专业课程体系改革————以安徽师范大学为例
信息技术的发展对数据收集、研究方法及规划设计等带来了深刻变革,城乡规划也进入到大数据时代。大数据推动了城市问题分析、城市空间管理的科学化与精准化,并在区域规划、城市总体规划、城市详细规划与设计等多个层面进行着方法革新,从而决定了规划结果的合理性。文章以安徽师范大学城乡规划专业为例,在分析大数据对城乡规划专业影响的基础上,从专业基础、技术手段、学科融合等方面分析了现有专业课程体系中存在的问题,进而从学科交叉、数据挖掘、区域特色、专业评估等方面提出了高校城乡规划本科专业课程体系改革的思路,最后通过课程调整、增设大数据相关课程、形成新的教学思路等方面提出了专业课程体系改革的举措以及实施方案的可行性,以期能够为其他高校城乡规划本科专业课程体系改革提供相应的借鉴。
-
基于匹配视角的轨道交通“科普-微课”体系构建
目前我国很多大中城市相继进入轨道交通时代,但科普渠道并未得到拓展,科普作品质量不高,科普工作仍远远滞后于轨道交通发展。而“微课”符合个性化学习的需求,也非常适用于移动学习时代科普知识的传播。针对当前国内轨道交通建设高速发展过程中科普工作明显滞后的现状,从匹配视角对轨道交通科普需求与“微课”关键特征进行解析,分析“科普-微课”关键特征匹配现状及存在的问题。在对“微课”部分关键特征进行改进的基础上,构建了完全匹配的轨道交通“科普-微课”体系。将微信及其公众号作为科普载体,利用“微课”在线学习资源在居民中开展轨道交通知识科普工作,可显著提高科普效果。
-
钢结构原理教学内容和教学方法的探讨与实践
钢结构原理作为土木工程专业(含结构工程、桥梁工程、地下工程、轨道工程方向)的必修课,其重要性不言而喻。钢筋混凝土结构和钢结构为主要流行的两种结构形式,而钢结构以其优良的抗震性能和环保特点,应用受到国家的大力鼓励。为适应钢结构的应用和发展,结合钢结构的教学科研,探讨了钢结构原理课程的教授内容设置与调整,学时分配,课堂教学和实践教学比例;结合多媒体、结构试验技术等手段探讨了课堂和试验教学的方法,提出了试验教学的内容、形式和方法;探讨如何提高学生听课积极性,调动学生情绪的方法和教师学生互动的方法和内容;同时探讨如何结合教师的科研内容,实现理论教学、工程实践应用及科研的有效结合,激发学生的创新思维能力。
-
“流体输配管网”课程教学情况调查分析
“流体输配管网”课程是建筑环境与能源应用工程专业核心平台课程之一,既有较强的理论性,又与工程实践紧密结合。为了解该课程的建设和教学方法的成效与不足,开展了问卷调查。问卷共设置20道题目,问题涉及对课程的认识、学习目的、学习方式、教学效果,以及对教材、课外作业和教学方式的意见等方面。对调查结果的分析表明本科生认识课程的重要性与必要性不足,普遍缺少良好的预习习惯且课堂参与度较低。此外,建议增强教材可读性,引导学生自主学习并将教学与实践相结合。该文指出了课程在教与学两方面存在的问题,并提出了相应的建议及改进方向,可为课程的教学改革提供参考。
-
工程管理专业国际化人才能力维度评价体系及量表分析
本文从营业状况、营业领域和企业数量三个方面分析了中国企业在国际承包商市场的现状,得出培养“拥有国际化视野,熟悉国际规则、标准、规范,适应国际化环境,具备国际化竞争力”的人才成为当前高等教育的重要目标。而对比国内高校的课程设置发现大部分高校人才培养仅注重知识维度方面培养,对国际化视野、跨文化交流沟通能力培养较弱,因此结合Byram的跨文化能力评价模式理论提出知识、技能、态度和意识四个维度的培养,并运用复杂网络理论中的DEMATEL方法,建立四个维度的15指标,通过计算15个指标的影响程度、被影响度、原因度与中心度确定各因素对国际化综合人才能力培养的重要程度,得到影响度最大的因素为独立思考能力(1.963),被影响度最大的因素为社会责任意识(1.696),中心度最大的因素为判断决策能力(2.981),原因因素最大的是独立思考能力(1.114),结果因素最大的是创新意识和能力(-1.452)。
-
给排水科学与工程专业毕业生就业取向研究
——以仲恺农业工程学院-届毕业生为例陈仕光*, 孙洪伟, 眭爱华, 陈秋丽, 吕建根, 刘小海
以就业率为统计口径难以体现不同专业的内部差异,就业分布微观结构是毕业生供需两侧融合匹配的直观反映。选取2011至2018年仲恺农业工程学院给排水科学与工程专业本科毕业生的就业数据作为样本,分类统计总就业率、地域分布、起薪区间、单位性质、职业种类、行业类别、专业相关度等指标,分析11-18年的变化趋势,并与国家、省域范围的指标进行比较。结果表明:仲恺农业工程学院给排水专业毕业生总体就业形势较好,历届就业率超过94%,73%以上从事专业对口工作。主要选择广州市与珠三角地级市为求职地域;以从事设计和施工职业占比超68%;超过65%分布于建筑与市政行业;从事非传统行业比例逐年上升。但也存在结构性短板。主要体现在:就业重心偏高,地级市以下、小微企业就职比例偏小,与服务乡村的人才培养定位不匹配;就业竞争力整体较弱,起薪低于广东省与全国平均水平,就职于500强企业人员少;从事第三产业偏少,与国家产业结构变化趋势不吻合,随着经济模式持续转型,未来存在就业风险。
-
基于博士论文生成的东京工业大学建筑学科系谱
文中以(日本)国立国会图书馆(NDL)、(日本)国立情报学研究所(NII)以及东京工业大学(TIT)图书馆所收藏的东京工业大学建筑学科出品的博士学位论文为检索数据,根据其研究对象所体现的学科特色性(博士论文研究选题)与学术传承性(博士论文研究的连续性),展现了东京工业大学建筑学科的发展系谱。而其系谱的形成与发展,不仅与日本近代建筑发展相关联;亦对时下我国创建高校“双一流”建设有所裨益。
-
卓越工程师校企联合毕业设计培养模式探索与实践
重庆大学土木工程专业卓越工程师毕业设计以行业指导、校企合作、分类实施、形式多样为原则,采取校企联合培养的方式,在毕业设计环节中以分类形式多样化、实施方案流程化、过程管理标准化、设计成果定量化为目标,制订并推行实施了一套科学合理的培养方案、实施计划与考核标准,为高校工程教育的人才培养与教学模式创新提供了很好的经验。以强调创新实践性为主要特征的卓越工程师培养模式是一个动态持续的教学活动,在拓展培养基地建设、加强管理及培训指导、深入系统的制订好培养计划等方面需要不断改进与完善。
-
对“新工科”时代背景下德才兼备型土木工程人才培养的改革与实践的讨论
从我国现存工科体系出发,以培养“新工科”时代背景下土木人才为导向,剖析现阶段老工科体系中存在的问题,论证“新工科”的必要性,根据我国发展与时代的要求,从理论教学体系、实践教学体系等方面综合论证,提出改革方案以及具体措施,旨在为社会培养新时代综合型土木人才。同时,从人才培养方案、教学体系改革、土木工程学科发展等方面详细阐述了培养“新工科”型土木人才的深远意义。
-
基于内涵发展的水利研究生培养质量评价体系及提升策略
硕士研究生培养质量评价是高水平人才培养体系中相当重要的一项工作,通过评价结果反映了国家对于硕士研究生的培养能力与培养质量。针对当前我国水利硕士研究生培养评价体系的落后及与人才能力培养相悖的弊端,基于水利硕士研究生培养现状和高水平复合型人才综合素质培养的基本要求,为助于提升新时代水利类研究生的培养质量,提出理论基础、专业素养、创新能力与综合应用能力“四位一体”动态耦联的水利类研究生培养质量评价体系。结合云模型评价方法量化分析了所提培养质量评价体系中的各项指标,并以内涵发展为导向制定了相应的水利研究生培养质量提升策略,以期为水利类等工科硕士研究生综合素质培养的提升、人才培养评价体制的优化提供方法依据。
-
“双一流”背景下中西部地方高校研究生培养方案改革—以江西省高校为例*
“双一流”建设是在新的历史条件下国家对高等教育的顶层设计,旨在全面提高我国高等教育发展水平。中西部地方高校是我国高等教育当中不可或缺的一大拼图。在“双一流”建设背景下,中西部地方高校现有的研究生教育培养方式还存在着诸多问题,为了培养更多服务于科研创新及地区经济建设的高层次复合型人才,中西部地方高校应乘着“双一流”建设东风,在国际化、导师队伍建设、资源分配、创新课程体系建设等方面进行研究生教育教学改革。本文紧扣江西省高校总体情况,以部分高校研究生培养为例,分析了“双一流”建设背景下中西部地方高校在研究生培养中存在的问题,并针对存在的问题,提出了“双一流”建设背景下地方高校研究生培养途径与培养方案的改革措施,可为提升中西部地方高校研究生培养质量提供借鉴。
-
新时代背景下高等院校“校企合作”人才培养模式的探索——以工程造价专业毕业设计为例
新时代的背景下,技术创新成为企业的核心竞争力,人才逐步成为企业保持竞争力的主要驱动力。在分析学校人才培养和用人单位的需求匹配不足后,结合学校办学特色,以市场需求为导向,深化“校企合作”人才培养模式的内涵,积极探索全新的校企合作模式下毕业设计培养模式。提出“立足实战”,“一进一出”,“集中分散”,“立体评阅”,“双导师制”等理念和方法,并分析了在实践过程中面临的问题与挑战,并对校企合作长效机制的建立与运行提出了一些探讨和建议。
-
土木工程专业材料力学课程教学的几个典型案例
在材料力学的教学中,案例教学是一种行之有效的方法,可以激发学生学习的兴趣和主动性。当今主流的材料力学教材均以机械相关的结构或构件为教学背景,很少涉及土木工程案例。历史悠久的土木工程,拥有众多的建设成就,也存在众多的失败案例。如果作为教学案例展示给土木工程专业的大学生,不仅可以让材料力学的课程教学充满活力,还可使学生更快的接触专业知识。本文依据材料力学课程安排,分别列举了与土木工程相关的几个典型案例,包括:塔科马悬索桥扭转垮塌事故、暴雪后合肥市公交站台顶棚坍塌事故、南宁市深基坑坍塌事故、加拿大魁北克大桥事故以及津巴布韦女游客蹦极坠落事故等。这些案例分别对应材料力学课程中的扭转变形、压弯组合变形、强度理论、压杆稳定以及动载荷等章节,可为授课教师课堂教学提供参考。
-
大类招生与学分压缩背景下人才培养探索 ——以合肥工业大学建环专业为例
本文以合肥工业大学2019版人才培养方案制定过程中专业课学时压缩和建筑环境与能源应用工程专业再次参加土木大类招生培养试点为背景,探讨了土木大类中建筑环境与能源应用工程人才培养与专业发展。通过深入分析专业特点、准确定位自身在土木大类中的角色,明确了以绿色能源为专业特色;以能源工程师为人才培养目标;在课程体系设计上着力使学生既熟悉土建行业全产业链组织过程、又精通行业专门技术或管理;教学过程中推广理论教学和实践教学方面的成功经验。
-
约翰.霍普金斯大学土木工程专业课程设置与教学分析
约翰.霍普金斯大学是美国第一所研究型大学,其土木工程专业本科生培养采用了精英教育模式,且从1936年起由美国工程与技术认证协会ABET的工程认证委员会进行教育质量认证。结合当前我国高校加入国际工程教育《华盛顿协议》以及开展土木工程专业认证的背景,介绍了约翰.霍普金斯大学的土木工程专业培养方案和培养目标,对其专业课程设置情况进行了分析,分析和阐述了工程结构发展演变课程和结构设计课程两门专业必修理论课程的教学内容和方法,同时与武汉大学土木工程专业培养方案和课程设置情况进行了比较。从精英教育培养模式、研究性学习模式和实践锻炼三个方面对提高专业人才培养质量进行了探讨,为提升我国工程教育的国际影响力和国际认可度提出了相关建议和思考。
-
粤沪高等教育国际化发展比较研究
依据国家教育部、广东省教育厅和上海市教育委员会等官方网站的相关数据,从高等教育国际化政策、中外及与港澳合作办学的机构和项目、海外设立孔子学院情况、留学生与港澳台侨学生数量四个方面对广东和上海两座城市进行不同维度国际化的比较,分析两地高等教育国际化发展的特点及存在的差距。比较结果显示上海市政府在政策推动和留学生奖学金支持力度方面优于广东,中外合作办学机构和项目数量、海外孔子学院数量及来华留学生数量均多于广东;但广东由于毗邻港澳地区,与港澳合作办学的机构和项目数量多于上海,港澳台桥学生数量位居全国第一。总体上,广东的高等教育国际化发展水平低于上海,应积极向上海学习高等教育国际化的优秀经验,利用好自身经济总量第一大省和毗邻港澳的优势,捉住“一带一路”和“粤港澳大湾区”的国家战略机遇,进一步推进高等教育国际化发展,缩小与上海等先进高等教育地区的差距,逐步形成具有粤港澳大湾区特色和优势的高等教育国际化发展模式。
-
基于BIM技术的工程管理专业毕业设计改革应用研究——以广东海洋大学寸金学院为例
随着BIM技术在建筑行业的不断推广,BIM人才的缺乏成为BIM发展的瓶颈,这对高校土木工程、工程管理等相关专业提出了更高的要求,将BIM技术融入和课程改革和教学改革之中成为大势所趋,而毕业设计作为大学最后一个学期检验学生学习能力和实践能力的环节,把BIM技术引入到毕业设计环节,可以充分提高学生对于工程管理全过程的理解和掌握,同时能够有效提高学生跨专业学习和实践能力,在此背景下,本文对BIM技术在工程管理专业的改革应用进行研究,以BIM技术在广东海洋大学寸金学院工程管理专业毕业设计为例,提出基于BIM技术的工程管理专业毕业设计的基本思路,在此基础上以案例说明基于BIM技术的工程管理专业毕业设计的基本流程,通过案例分析发现基于BIM技术的工程管理专业毕业设计存在的问题,通过SWOT分析说明基于BIM技术的毕业设计的科学性和合理性,提出基于BIM技术的工程管理专业毕业设计的具体实施方法,以供参考。
-
“双一流”高校实验技术队伍现状与建设对策
从国家高等教育提出“双一流”高校建设以来,在人才培养、科学研究、社会服务和文化传承等方面,各高校均进行了卓有成效的战略布局。没有一流的师资队伍就不可能有一流的高校。因此,各“双一流”高校都将师资队伍的建设作为重中之重。但“双一流”高校实验技术队伍的建设则存在一些的普遍和共性问题,例如建设理念不科学、考核机制不健全、队伍结构不合理、岗位职责不明确、实验技术队伍不稳定、培养机制不完善、队伍建设无规划等。“双一流”高校建设对实验技术队伍提出了新的要求,要求实验技术人员理论基础扎实、专业知识宽广、技术能力精湛,具有良好的规划设计能力、沟通协调能力、决策和执行能力以及良好的职业道德。提出了“双一流”高校实验技术队伍建设的对策和建议,包括更新观念,加强顶层设计;合理设置岗位,明确岗位职责;采取激励措施,完善绩效考核机制;拓宽人才引育渠道,提高人员综合素质等。这些对策和建议可以为“双一流”高校实验技术队伍的建设提供思路和参考。
-
基于OBE理念的地方高校应用型课程建设——以基础工程课程为例
应用型课程建设是应用型高校人才培养的关键工作。成果导向教育OBE围绕着定义预期学习目标、实现预期学习目标、评价学习产出而展开,有利于实现教育范式由内容为本向学生为本的根本转变。首先分析并指出基础工程课程中亟待改革的问题,这些问题主要涉及到教学内容、教学方法和课程评价等方面。进一步基于OBE理念提出了相应的改革措施,包括教学内容设计、教学方法改革、课程评价方法改革等方面。课程教学内容设计应以工程应用为导向,课程教学方法改革应以学生为中心,课程评价应具备知识考核和能力考核的双重功效。建立了课程的反馈与持续改进机制,包括课程成绩评价、学生满意度和第三方评价。最后给出了提升教师实践能力的措施并介绍了应用型教材的编写情况。
-
有机共同体思想的生成、实现及意义探析
有机共同体主义在有机哲学的基础上系统地回答了有机马克思主义关于有机共同体的生成、价值、实现以及现实意义的基本问题。有机共同体主义的生成承认资本主义制度本身的反生态性,认为“现代性”思维是造成生态危机的深层次根源,指出对日益严峻的环境与生态问题的关注与反思是其思想产生的直接原因。有机共同体主义的核心价值在于实现人类、自然和社会的和谐统一。有机共同体主义的实现主张培育和践行共同体主义价值观,坚持通过生态文明建设来实现人与自然的共同福祉。有机共同体主义的现实意义表明有机共同体理念有利于铸牢人类命运共同体意识、实现整个人类的合作共赢并逐步迈向生态文明。
-
应用型本科院校《工程结构抗震设计》课程的教学实践探索
《工程结构抗震设计》是土木工程专业一门重要的核心课程,通过分析课程特点和教学中存在问题,并对学生进行问卷调查,深入了解学生对本课程的掌握程度,结合本课程的实际情况,对该课程的教学改革进行探索。采用专题模块化教学,明确各模块的学习主题,对不同模块的知识点进行精细化讲解,促进学生对相关知识点的快速高质量吸收。教学中借助现代新型教学手段,进行线上线下学习,与其他专业课内容相互渗透,与最新规范相结合。同时融合工程案例,在案例中让学生体会抗震设计的重要性,强调理论联系实际,分析经典案例,对其进行研究,与课本知识相联系,发散学生思维。为学生提供多角度的知识视野,运用BIM仿真教学。通过学生参加全国大学生结构设计竞赛,和抗震知识点相结合,与时俱进,使学生掌握基础理论知识的同时了解抗震行业的最新前沿技术及相关理论。学生产生浓厚的学习兴趣,课堂回答问题和互动讨论积极,从而熟练掌握各章知识点,教学效果良好,对应用型本科院校具有一定借鉴作用。
-
浅谈混凝土结构基本原理创新教学方法与实践
混凝土结构基本原理是土木工程专业的核心必修课,也是土木工程专业学生较早接触的专业基础课,是后续几乎所有专业课程学习的前期基础,其重要性不言而喻。该课程教学内容多,涉及的理论知识面广,而教学学时却极为有限,是一门教学难度较大的专业课程。为了适应本课程的教学特点,本文作者从培养学生的学习兴趣为出发点,针对目前教学过程中存在的问题,从培养学习兴趣、教学方式、课后指导、双语教学方法以及课外活动指导方面提出了一系列创新的教学方法。实践效果表明:创新的教学方法培养了学生的学习兴趣和科研兴趣,提高了学生自主学习的能力以及专业英文词汇量,拓宽了学生的眼界,明确了学生的发展方向,为日后的学习、工作和深造奠定了坚实基础。
-
工程结构试验与理论教学的融合方法研究
针对土木工程课程的专业理论与工程试验相互密切结合的特点,在分析目前专业理论课程和试验课程教学中普遍存在的问题的基础上,提出了工程结构试验与理论教学相互融合的教学方法,探讨了教学内容的调整优化、典型试验项目的选取、考核方式以及教研试验平台的建立和利用等教学改革措施等。并分别以土木工程专业课、工程结构试验类课程为教学案例,细致描述了该教学方法的主要思路和关键实施步骤,从学生撰写的试验报告、课后讨论反馈等方面列举了学生在创新思想和专业素质方面的收获和启发,从而验证了工程试验与理论教学融合教学方法的良好效果。
-
地方高校土建类专业“12345”企业实习体系探索与实践
在深入分析新工科、一流本科建设背景下地方高校人才培养对企业实习的具体要求和现阶段企业实习教学存在主要问题的基础上,以河北农业大学给排水科学与工程专业为例,构建地方高校土建类专业“12345”企业实习体系,分析归纳“一个核心、两类主体、三级层次、四种模式、五元管理”等方面的具体要求和实施方法;在具体的培养过程中贯彻实践“12345”企业实习教学体系,检验其实施效果,并根据实施效果反馈不断改善实习内容、模式和方法,为建立应用型一流本科教育高水平人才培养体系提供参考。
-
践行实作,突破传统——探索高校实践教学模式改革
面对高等教育普及化时代的到来,实践教学面临着全新的机遇和挑战。本研究围绕我校建筑学专业模型制作课的教学改革,探讨高校建筑教育“践行实作”的改革途径。作为建筑类专业学科传统技能培训之一,模型实验可以帮助学生更为生动的体验空间的产生及材料建造使用所反应的特性,一方面强化学生动手能力,一方面激发学生创新思维。然而由于传统的实验教学模式更新不及时,使得模型实验教学在建筑学课程中险些失去原有的地位,更难适应新的发展要求。研究提出了“把握优势,练好内功”和“巧借外力,激发创新”的改革途径,有助于其他高校设计类专业实践教学改革的借鉴。
-
场域视角下大学生创新能力培养方略初探
南昌大学围绕人才培养的创新能力实践备受关注。创新能力是管理能力、专业能力与拓展能力的叠加和耦合,是整体功能有机结合形成的生态系统。以南昌大学建筑学132班的人才培养实践为个案,探讨场域视角下创新能力培养的方略和效果,认为管理能力场域强调本科生班级导师制和批判性思维的培养,通识教育和理论实践学习则是专业能力场域的重要组成,而学科竞赛和科研训练项目与创新创业训练计划则是拓展能力场域的推进器。结果显示,该方略以学生为中心,将科研融入课堂,在实践中检验,有利于培养学生的批判性思维和创新能力。为完善创新能力培养方略,认为应植入多元观点,打破现有知识的固化和权威态势;坚持动态发展的眼光,应对全球化、新型信息化下的知识更新;营造包容性支撑环境,为大学生创新能力培养创设制度保障。
-
基于结构方程模型的专业学位硕士研究生创新能力形成路径探讨
培养创新型专业学位硕士研究生是国家实施创新驱动发展战略的迫切要求。结合目前专业学位硕士研究生的工程创新能力现状,利用专业学位研究生创新能力调查数据,运用结构方程模型从三个维度研究创新能力影响因素以及相关因素的作用机理。研究表明,创新能力影响因素中创新能力外在条件的权重最大,教学因素与导师能力是重要因素;经费投入与培养管理过程质量正向相关;专业实践环境条件与创新目标达成度正向相关;激励政策对科研辅助条件有直接正向影响;成绩考核体系和心里驱动是创新动机的重要要素。提出加大专业学位硕士研究生创新能力培养经费投入,多元化筹集人才培养经费;健全专业学位硕士研究生专业实践培养制度体系,科学设置专业实践项目,积极培育良好的实践环境;建立创新实践的长效机制与考核政策,完善创新人才培养评价与监督管理制度等政策建议。
-
研究生导师立德树人职责落实现状与对策研究——以中国矿业大学为例
在分析研究生导师立德树人职责的概念和内涵基础上,通过文献研究构建了研究生导师立德树人职责的七维度测量量表并编制了调研问卷,以中国矿业大学各类在读研究生为调研对象发放并收集调研问卷,利用SPSS和AMOS软件对数据进行统计分析,检验了测量量表的信度与效度,并从不同角度统计分析了研究生导师立德树人职责的落实现状,结果表明,中国矿业大学研究生导师的立德树人职责落实情况总体较好,但在提升研究生思想政治素质、增强研究生社会责任感和注重对研究生人文关怀等方面尚有待进一步加强,最后提出了强化研究生导师立德树人职责的相关对策。
-
传承.融合.创新—东工大国际联合城市设计工作坊评析
随着全球化发展加速,各高校间国际交流与教学合作日益频繁。尤其在以建筑学科为背景的院校之间,以城市设计作为多元和开放课题开展联合设计教学已十分普遍,成为探索城市设计专业人才培养的一种重要途径。东工大国际联合城市设计工作坊历史悠久,其中以东京工业大学、同济大学、东南大学和华南理工大学四所高校为核心成员,每年再另外邀请一所高校(一般是设计基地所在城市的高校)参与进来,基于真实城市场域的问题,从城市设计和建筑更新视角切入,开展共三个阶段、为期三周的团队协作式城市设计训练。过程中强调不同观念碰撞和博弈、设计思维拓展和创新、以及设计表达能力提升。本文基于亲身经历和成果梳理,探求东京工业大学和华南理工大学的学术交流渊源和发展路径,总结和比较各高校城市设计教学培养目标、方式、特色异同,提出教学改革和创新构想,为当前国内城市设计教育发展提供多样化视角。
-
土木工程专业“课程思政”的建设路径探讨——以《建设工程法规》课程为例
十八大以来,各大高校不断创新大学生思想政治教育工作,开创了我国高等教育事业发展新局面。但如何践行习近平新时代中国特色社会主义思想进教材、进课堂、进头脑,切实推进专业教育与思政教育相融共进,是当下高校思想政治教育研究的重点和难点。通过挖掘土木工程专业所蕴含的德育元素,以同济大学课程思政教育教学改革试点课程《建设工程法规》课程改革为例,研究土木工程专业“课程思政”建设路径,为进一步探索土木工程专业思想政治教育建设改革提出几点建议:1.结合课程特色,以改革教学模式、创新教学方法为重要抓手,将思政教育内容具体化;2.强调隐式教育,发挥教师“润物细无声”的价值引领作用;3.提高学生自我认识,培养学生自觉学习政治的意识。
-
生产实习教学精细化评价模式的探索
生产实习是土木工程专业学生从理论学习走向工程实践的桥梁,传统的生产实习模式存在部分问题,需要新模式改变。本研究探索应用新媒体手段开展精细化评价,通过在生产实习教学中运用精细化评价模式的案例,研究精细化评价的原则、实施、效果,并通过调查反馈分析精细化评价模式的利弊,提出建议。
-
雨课堂实践在农业院校结构力学课程中的改革探索
针对工程教育专业认证和新工科背景下高等农业院校水利土建类专业结构力学课程的改革探索,结合智慧教学工具雨课堂在课程教学中的初步应用实践,通过课前推送预习材料与名校慕课视频、课上PPT同步学习与课堂测试、课后推送作业与师生沟通反馈等三个环节,帮助教师精准教学。实践结果表明在近2届水工专业的首次期末考试卷面成绩及格率比以往传统教学模式下有明显提高,说明雨课堂在结构力学混合式教学中是取得一定效果的。虽然目前雨课堂在结构力学教学中还有一些弊端,但通过将来在教学中逐步完善改进,教师应该最终以学生学习受益为目标探索如何将雨课堂教学与农业院校工科学生的学习特点相结合,这种大数据时代下的智慧教学可为相关力学课程的教学改革提供参考。
-
基于移动终端的交互式学习系统的构建与实践——以工程力学课程为例
随着科学与信息技术的飞速发展,传统的力学课堂和教学方法受到巨大冲击,高校本科力学教学方式应紧跟时代发展,力学教学改革势在必行。本文以多个理工科专业非常重要的一门专业基础课——工程力学课程为例,指出该课程在专业人才培养方案中的地位与重要性,根据笔者多年教学经验总结工程力学课程在传统教学模式下教学实践中存在的问题,简述基于学习通APP的交互式移动学习系统的课程构建过程,提出“课堂教学+交互式移动学习系统运用”的混合式教学模式,并在课程结束后对学生进行满意度调查和教学效果验证,指出此种混合式教学模式的优势与弊端,为本科高校力学课程教学改革提供参考。
-
拓展TPB理论框架下高校教师教学改革行为意愿研究——以河南省高校为例
教师教学改革的认知、态度、行为直接决定着改革的成效。基于计划行为理论,采用结构方程模型探索高校教师教学改革的行为意愿。研究表明1)态度、知觉行为控制、职业认同和主观规范均能正向影响教师教学改革行为意向,但是其作用力依次减弱。2)职业认同不仅直接影响教师教学改革行为意向,而且会通过教师态度接影响主体行为意向,且中介效应显著。3)态度和主管规范在不同群组间的影响效应存在显著差异。基于以上研究结论,探讨了其背后原因,并提出针对性建议。
-
供需匹配视角下公共基础课程教学能力提升研究 ——以C大学为例
一年级是本科教育的基础阶段,而公共基础课程则又是这一阶段的重要组成部分,因此公共基础课程教师教学能力的提升一直是备受关注的课题。基于以学为中心的教育理念,教师的教学落脚到学生的学习才能使实在且有意义的学习发生。教师和学生分别是学习的“供给侧”和“需求侧”的两大主体,只有供需能够互相匹配时,教师的教和学生的学才是有效率和有效果的。在剖析公共基础课程及其教学特点的基础上构建一个基本的教学能力框架,并以此框架对供需双方展开调查,发现二者对于教师教学能力的认知存在一定的偏差,对偏差成因进行分析并有针对性地探讨纠偏的适切路径。
-
学生为本—美国高等教育融资及资金运用的核心原则
美国是当今世界高等教育最发达的国家之一,其高等教育融资及资金运用模式也堪称全球典范。在探索多元化融资渠道的同时,美国高等教育在融资及资金运用过程中始终遵循一个核心原则—学生为本:政府财政拨款以满足学生发展需求为中心、社会捐赠收入以保障学生的培养质量为重点、自筹款项以促进学生的专业技能发展为抓手。在我国当前高等教育经费不足的背景下,分析美国学生为本的高等教育融资及资金运用实践,对我国高等教育融资及资金运用的改革有借鉴意义。
-
与多元互补教学相辅相成的研究生多元化考核实践——以“建筑节能技术”课程为例
课程考核方式与教学质量密切相关,考核方式的选择可以影响学生的学习方式。提出研究生教与学目标及定位,探索多元互补教学模式的全面应用,并且辅以多元评价考核,促进多元互补“教”与“学”模式真正落地实施并检验其效果。以建筑节能技术课程为例,凸显教师教学方式和学生学习方式的变化,全面实施多元化考核,促进学生多元智能发展、关注思维习惯培养、提高自主学习和创新能力。旨在利用短暂的在校研究生教育,帮助研究生个体建立兴趣、发展方向和方法论的长远目标,是工科研究生教育教学改革的有益实践。
-
学生视角下高校土木工程PBL教学改革思考
摘 要:课堂教学是国内高校的主要教学形式之一。然而目前教师“一言堂”、学生被动听讲的传统课堂模式呈现出一些明显的弊端,直接或间接导致学生课堂上接受知识的效果难以保证、学习缺乏主动性、学习兴趣与创新思维不能得到激励、对课堂内容理解较浅而遗忘迅速等。根据重庆大学学生对自身学习体验和心理需求的反馈,高校教学可以采取一种符合学生内在需求的教学模式,创设一个由实际问题驱动学生求知的情境和氛围,提高学生自主学习兴趣和动力。以问题为导向(PBL)教学模式即具有这样的特点。在PBL教学应用于土木工程专业课堂的过程中,教师需要对“问题”进行合理的设计,使之符合学生求学的动机和个人发展的需求;并采取一定的课堂教学策略,调动学生参与其中的积极性。
-
给排水科学与工程专业BIM课程体系建设探索
国内工程管理和土木工程专业的BIM教育体系已日趋完善,但是给排水等机电类专业的BIM教育起步较晚,用人企业急需BIM机电人才。通过借鉴国内高校BIM技术教育经验,建立了给排水专业分级BIM课程体系。为培养BIM基础人才,在原有培养计划中设置BIM应用技术、BIM案例分析等课程,并将BIM技术融入原有的专业课程教学中,同时在实践课程体系中加入BIM软件操作部分;针对BIM高级人才,在基础课程学习之后,还将进行提高培训,使学生掌握目前主流的BIM应用管理软件,同时积极鼓励学生参加BIM竞赛,为能力较强的学生提供3+1校外合作企业实践的机会。通过分级BIM课程体系的实施,为社会和企业培养了大量BIM机电综合应用型人才,可供建筑设备类专业BIM人才培养借鉴。
-
基于SPOC的混合式翻转课堂模式探索
融合信息技术和教学,将线上线下混合式课程建设与应用纳入提高教学质量、提升人才培养水平的系统工程之中,是当前教学研究和实践的重点。文章以重庆大学开设的“科技翻译”SPOC课程实践为例,以混合式教学和翻转课堂教学理论为指导,设计了基于SPOC的混合式翻转课堂教学的线上教学资源建设、线上线下混合式教学流程和教学评价设计模式。通过开展基于SPOC的混合式翻转课堂教学实践,提高了学生学习兴趣和投入度,提升了教学效能。本文为高校深入建设线上线下混合式课程,开展基于SPOC的翻转课堂教学提供了参考和借鉴。
-
大类招生背景下的低年级专业基础理论课深层学习教学策略研究
本文以大学本科教育中低年级专业基础理论课的“教”与“学”双向质量提升为目的,分析研究了近年来大类招生背景下,大学本科低年级专业教育的发展变化及产生的相关培养问题,以及在新形势下人才培养目标的转变及相关问题的应对措施。通过对深层次学习方法的研究与应用,以风景园林专业“风景园林设计初步”课程为例,研究了应用深层学习方法的教学策略,总结了在教学过程中的改革与经验,并对未来应用深层次学习方法进行教学改革的思路进行了探索与规划。
-
BIM技术在工程估价教学中的全过程应用探讨
针对我国现阶段工程估价以及其课程教学中的问题所在,提出了将建筑信息模型(BIM)引入到工程估价课程中。并对目前工程估价BIM教学存在的问题,从教学目标改革、BIM与估价课程教学的融合、新的教学指标评估体系和BIM教学资源投入等三个方面详细阐述了工程估价BIM教学整体改革思路。接着从估价理论课程教学、课程案例教学、综合课程设计实践教学等三个方面具体介绍了基于BIM的教学改革方法、教学方案和主要措施。最后,通过对常见BIM造价软件平台的概述,并结合工程估价课程特点和工程界对估价能力实际需求,提出了在投资估算、设计概算、施工图预算、竣工结算与决算等工程估价全过程全面应用BIM技术,进行全面系统估价能力的训练的设想,并探讨了每个阶段教学方法及技巧。
-
“一带一路”背景下广东高等教育国际化路径研究
广东高等教育要如何利用“一带一路”倡议机遇期来突破自身发展的瓶颈,实现走出国门走向国际,是当下发展的重中之重。本文基于SWOT分析,在指出“一带一路”倡议背景下广东高等教育国际化发展的内部优势、劣势和外部面临的机遇、挑战的基础上,提出以下几点:第一,加强顶层设计,明确高等教育国际化发展目标;第二,增加政府奖学金,优化“一带一路”奖学金分配规则;第三,提升高校实力,开展高质量中外教育合作;第四,结合高校特色,制定差异化人才吸引策略;第五,借力粤港澳大湾区,构筑国际化高等教育中心;第六,共建职业教育联盟,打造“一带一路”特色品牌。
-
“实践育人”背景下行业特色实践教学基地的建设模式探究 ——以重庆大学舆情人才培养路径为例
近年来,党和政府扎实推进网络强国这一国家战略,不断完善网信工作领导体制机制,加强网信人才队伍建设等。在高校普遍尚未设置“网信”“舆情”“网安”专业情况下,如何敏锐把握新兴专业人才需求的市场变化,培养符合行业特色的紧缺专业人才,已经成为了摆在政府和高校面前的一大课题。本文分析高校在舆情专业人才培养方面存在的问题,基于问题研究建设行业特色的实践教学基地模式,并通过重庆大学多年实践探索模式的可行性,为全国舆情人才联合培养提出了可借鉴的模式创新和实践路径。
-
以工程教育认证理念为导向的土木工程实验教学体系 改革探讨
从武汉工程大学土木工程实验教学中心的现状出发,以土木工程专业评估(认证)理念为导向,剖析现阶段实验教学体系中存在的问题,根据我国现阶段高等教育培养要求以及土木工程专业评估(认证)相关要求,从教学管理体系、全面实验教学体系、依托校外实习基地拓展实验教学等各方面综合论证,提出改革方案,旨在为社会培养新时代综合型创新人才。同时,在现有实验教学体系下,结合土木工程学科发展动态,提出“一实体、三虚仿”的未来虚实结合教学体系的构建方案,从人才培养方案、教学体系改革、土木工程学科发展三方面阐述了该实验教学体系的意义,展示了“一实体、三虚仿”实验教学体系的基本框架,为省属高校相关专业实验教学中心的建设提供借鉴与参考。
-
“新工科”背景下土木工程专业建设与改革探讨
文章指出了土木工程专业以“新工科”理念推进专业建设与发展的必要性与迫切性,针对管理模式转变、“新工科”建设、工程教育认证制度和学科发展以及新时代人才培养等方面进行了剖析。土木工程专业建设和改革要转变人才培养传统教学模式中“重理论,轻实践”的观念,加强“双师型”教师队伍的建设,积极拓展校企合作模式,进一步推进校内外实训平台建设,完善学科竞赛机制,利用互联网做好专业知识普及,全面深化专业改革,建成符合行业需求人才培养模式。
-
地方院校应用型安全工程专业人才培养模式探索
为提高地方院校应用型安全工程专业人才的培养质量和竞争力,通过对国内外安全工程专业人才培养模式的分析得出,行业特色对应用型安全工程专业人才培养的至关重要。结合社会需求和徐州工程学院的地方院校特点,建立了“一主线、二能力、三层次、四平台、五模块”的安全工程专业人才培养模式及对应的课程体系,确保了安全工专业人才知识、能力与素质的综合培养。以建筑行业特色为导向的应用型安全工程专业人才培养模式的探索显示,毕业生的就业率达100%,竞争力指数达96%,彰显了该模式的可行性和优越性,对地方院校应用型安全工程专业人才培养具有很强的借鉴意义。
-
新工科理念下的工程管理专业教学改革研究
新工科建设是我国高等工程教育应对新一轮现代人工智能等技术带来的科技革命和产业变革的重要举措,已经进入实施阶段。而目前我国建筑业正处于工业化转型升级和现代化发展的关键时期,急需大量创新型工程管理人才,传统工程管理学科面临着种种挑战和机遇。通过总结目前工程管理专业教学现状及存在的主要问题的基础上,面向建筑业最新需求,结合新工科理念探讨了新工程管理学科特点、主要培养目标、实现的技术路线和主要工作。并从多学科交叉融合的专业课程设置与知识体系优化、专业教师综合能力建设、教学方式的创新、专业技术类课程教学效果提升、专业创新教材资源建设和综合创新实践平台搭建五大方面总结提出了新工程管理专业相关教学改革措施,以期实现工程管理专业学生综合素质和创新能力的大幅提升。
-
转换身份的类翻转课堂模式在建设项目管理课程中的实践
近年来翻转课堂在高校教学改革实践中得到广泛应用,然而由于翻转课堂对于教师和学生的投入度要求较高,使得翻转课堂的应用受到局限。本文以身份定位出发重新设计建设项目管理课程教学方案,采用“类翻转课堂”教学方法进行教学改革的实践,以期对国内高校土木工程专业课堂教学改革提供一定的参考价值和借鉴意义。
-
虚拟现实和3D打印技术在岩土工程教学中应用的探索实践
岩土工程是一门理论与实践结合非常紧密的课程,教学内容涉及边坡工程、地下工程、工程岩体等复杂“立体式”结构,传统“平面式”教学的效果往往不佳,学生难以具体且形象地掌握边坡或地下等复杂工程的结构特征。针对这一难题,开展了结合虚拟场景和3D打印技术的“虚-实结合”的教学方法和平台建设的探索,并结合岩土工程实例在课程教学中进行了实践。实践表明:基于该平台的教学方法提升了传统的“平面式”教学模式,在轻松安全的课程环境中,学生可以在虚拟场景学习实际岩土工程的复杂结构,有效地解决了学生进行现场考察面临的成本高、周期长、潜在风险高等不利问题,而且激发了学生的学习兴趣;通过3D打印技术,将虚拟场景和数字模型进行实体化,培养了学生的实际动手能力和创新思维,有利于岩土工程类课程的教学质量和学生综合素质的培养,同时在新工科建设要求背景下,可为学生课外创新性试验等活动提供平台,形成了教研相长、良性互动的局面。
-
土建类专业课程思政建设初探——以《BIM技术及应用》为对象
通过对课程思政的意义及内涵的认识,探讨了如何针对土建类专业开展课程思政建设工作。以《BIM技术及应用》为对象,分析了专业教师需要在思政思想意识及工作能力上的转变,论述了课程思政资源建设内容、步骤及方法,并以《深坑酒店》案例为对象进行了深入地分析,探讨了课程思政教学效果的评价方法,最后得出了相应的结论。
-
工具理性下的城乡规划专题教学模式探索——以滨海城市空间定量分析专题课程为例
新数据环境下,建筑及城乡规划设计领域产生了新的研究范式与研究工具,空间定量分析逐渐成为城乡规划与设计过程的重要组成部分。利用数据化分析技术完善教学体系与模式,培养学生工具理性的思维习惯,成为当下城乡规划本科教育面临的重要课题。结合专题教学,以滨海城市空间定量分析为例,从教学内容,教学设计以及案例选取入手,探讨面向新时期的城乡规划专题教学方案;着眼于建筑与城市空间的定量认识与技术,探讨新数据化环境下的城市专题化教学方法,为完善城乡规划专业的特色教学提供参考。
-
“双创教育”背景下《景观设计专题》课程的TDC教学模式探讨——以厦门大学嘉庚学院《景观设计专题》课程为例
风景园林作为朝阳专业,在十九大和创新创业教育的新常态背景下及新时代社会环境和学生个性的冲击下,迎来了前所未有的机遇和挑战。本文立足于培养学生正确的专业观,探讨建筑类院校中《景观设计专题》的TDC教学模式,提出“理论—设计—营造”三位一体的教学,旨在提升学生主动学习的兴趣,充分利用各类资源,实现“创新创业”教育。
-
基于协同育人理念的城市地下空间工程实践教学体系——以广东工业大学为例
城市地下空间工程专业作为专业目录的特设专业之一,由于开设时间短,“重理论、轻实践”现象仍存在,势必影响人才培养质量。在调查城市地下空间新专业实践教学面临问题基础上,广东工业大学利用区域经济发展优势,以培养“应用型创新地下空间工程师”为目标,整合校内外各种教学资源,实施 “协同育人”教学改革与创新。构建了“四年不断线”的实践教学体系、“多层次”实践教学平台、“工程模拟与实战相结合”的实践教学模式、“多样化”科技活动和创新实验,将创新教育融入人才培养全过程,全面提升大学生的工程实践能力和创新能力。
-
结构力学课程的“3W3E”教学法
针对土木工程专业结构力学课程涵盖面广、理论性强、内容抽象、应用灵活的特点,探索形成了一套以模块化知识单元为主线的“3W3E”教学法。该教学法包含Why、What、How、Evolution、Examples、Engineering等六个教学模块,分别从目的意义、概念原理、方法步骤、发展历程、例题训练、工程应用等角度对相关知识方法进行讲授,具有层次循序渐进、内容各有侧重、功能互为补充的特点。以力法为例,对“3W3E”教学法的实施过程和教案细节进行了完整介绍。实践表明,“3W3E”教学法可以有效提升学生的学习兴趣,加强学生对抽象力学知识的理解,同时帮助学生在熟练掌握相关分析方法和解题技巧的基础上,拓宽对实际工程应用的认知。
-
风景园林设计课程计算机绘图和手绘的应用分析
针对全国各高校风景园林专业设计课程的计算机绘图和手绘使用情况及其原因进行分析。“舒适感受”是手绘受访者的最普遍原因,而计算机绘图受访者则是“节省时间”。大多数计算机绘图受访者在完成最终设计稿之前会先绘制一些手绘图纸。而手绘受访者并不会使用计算机绘制部分图纸。计算机绘图或手绘受访者在设计过程的不同阶段所绘制图纸数量相等,这意味着两种类型的受访者仍然遵循相同的设计过程。大多数使用计算机绘图的受访者认为所使用计算机软件非常好用,也有助于整个设计质量的提高。
-
基于知识图谱的工程伦理教育研究现状述评
工程伦理教育是高等工程教育改革的重要一环。在“新工科”以及“美丽中国”建设等背景下,我国掀起了工程伦理教育研究的热潮。本文基于知识图谱,借助计量可视化工具,通过文献共被引和关键词共现网络,分析了中国知网(CNKI)中收录的184篇文献,指出了我国工程伦理教育的理论基础、研究热点、发展趋势,发现国内研究具有“受国家政策影响严重”, “研究内容逐步细化,向实践转移”,以及“课程教育体系有待完善,教学方式单一”的特点,并从国家、社会、高校角度提出了改进建议。
-
虚拟现实在中国古建筑教育的应用
近年来虚拟现实技术日渐成熟,已经逐步应用在教育领域。为了优化教育方式、实践教育改革,文章利用虚拟现实技术设计并实现了一个针对著名古建筑佛光寺的斗拱文化体验式教学应用。针对佛光寺斗拱的复杂度高、分辨构件难等学习痛点,利用虚拟现实沉浸性、交互性、想象性的优势,构建了一个交互式的仿真虚拟环境,让建筑类学生可以亲自动手参与到斗拱搭建的过程当中。学生参与结果表明此斗拱文化体验式教学应用相较于传统的学习方式趣味度和知识保留程度都更高,揭示了虚拟现实在古建筑教育领域使用的有效性,对传承中国古代建筑文化有积极意义。
-
建筑类高校BIM技术教育创新行为的诱导机制及策略研究
本文将BIM信息技术应用看作建筑类高等学校的一种教育创新行为,综述BIM信息技术教育创新行为的潜在诱导因素。从教育技术支持、创新资源网络、教师教学能力和学生吸收能力四个方面,利用AMOS构建诱导结构方程模型,揭示了BIM信息技术教育创新行为的关键诱导路径及13个关键诱导因素,结果表明学生吸收能力和教育技术支持分别对BIM信息技术教育创新行为有最显著的直接影响和综合影响,基于此,提出适宜的诱导策略,为完善建筑类高校BIM信息技术教育创新行为提供模型依据和实践指导。
-
岩土工程全过程课程设计的教学改革探索与实践
针对土木工程专业实践教学的改革需求,提出了岩土工程全过程课程设计的教学理念和课程建设方案,形成了岩土工程勘察、基坑工程、地基处理和桩基础设计等教学模块,构建了结合工程实际的校企合作模式,建立了全面考察学生创新实践能力的综合评价体系。通过岩土工程全过程课程设计的系统训练,使得学生能够掌握典型岩土工程问题的计算分析方法,并培养学生表达设计理念以及交流沟通和协同解决问题的能力。教学实践证明,全过程课程设计在岩土工程教学中取得了良好的效果,提高了学生综合运用知识的能力。
-
以创新思维训练提升土木工程专业学生创新能力
传统的面向应用的土木工程专业人才培养中,注重培养毕业生的专业技术能力和理性、严谨、精确的思维模式;而当前为了适应土木工程行业的新的变革与转型,创新能力正成为土木工程专业毕业生越来越重要的能力目标。思考是创新的前提,高质量思考是高价值创新成果的基础。土木工程专业学生存在较强的思维定势,难以突破工程思维惯性的约束,单一的思维模式对创新能力的提升形成了制约。本文在分析土木工程专业毕业生的创新能力需求的基础上,探讨土木工程专业学生的思维特征,阐述开设培养创新思维能力的理论课程的必要性,并介绍我校土木工程专业开设的相关课程的教学实践,对课程的教学内容构成和意义进行说明和讨论。
-
与新时代相适应的土木核心课程《基础工程》建设探索研究
《基础工程》是土木工程本科的核心专业基础课程。新时代下,基础工程已发展应用到海洋、交通、能源和环保等领域,传统的教学内容已无法满足上述需求。同时,新时代的学生主动性强、思维活跃,不适于采用传统的填鸭式教学。基于上述新时期的新挑战,结合笔者在浙江大学近期教学实践,参考国内外知名高校先进理念,进行了《基础工程》课程建设探索研究。针对该课程的教学内容、教学理念、教学方式、考核方式四个方面,主要创新举措在于:(1)把新时期《基础工程》的基础理论和工程案例拓展到海洋、交通、能源和环保等新领域;(2)引入“情景激发式教学模式”,充分调动新时期学生的主观能动性,提高学生的课程参与感与工程实践能力。本课程建设旨在为我国新时代的基础工程建设培养视野新、基础实、实践能力强的新型土木工程人才。
-
基于学习成效驱动的暖通研究生课程多元化考核方法研究与实践
哈工大暖通学科为研究生开设了基础课、专业基础课和专业课。针对不同类型课程的特点,提出多元化的考核方式,如“期末考试+课程论文+报告答辩”、“课堂内容考核+课外阅读考核+综述论文+案例论文+课堂提问+专题讨论”、“开卷考试+研究报告+加分计分”、“上机实践+研究报告”,“课程论文+课堂练习+工程案例分析交流”,并注重过程管理。本文所探讨的多元化考核模式及其在暖通学科不同类型课程改革中的应用,对其他工科类研究生课程考核方式改革具有一定的借鉴作用。
-
基于“雨课堂”混合式教学模式实践与思考
随着教育信息化的不断深化,特别是雨课堂的推出,赋予了混合式教学更加丰富的内涵,同时也进一步推动了高校教学改革。基于雨课堂的混合式教学模式将网络信息化技术融入到传统教学过程中,可实现“同步”和“异步”双通道教学有机结合,以及“数据改变教育”的创新理念。雨课堂应用于理工类本科教学课堂,在解决课堂乏味、笔记量大、批改作业任务重、考核流于形式、量化难度大等问题,以及教学课时少与课程内容多、课堂学生人数多与师生缺乏互动等矛盾方面有较显著的效果。但实践中,尚也存在诸多问题:如过度依赖于网络环境和电脑、智能手机等软硬设备,网速的快慢、流量费用的昂贵、以及智能手机的质量将直接影响教学体验感,这在经济欠发达的西部山区高校较为突出;教师额外精力的投入与课时报酬的不匹配将大大削弱混合式教学的积极性。建议从技术和制度保障方面逐步完善,从而真正促进教育改革。
-
协同理念下的安徽省建筑学专业教育的探索与实践
当代中国的建筑学专业教育存在发展不均衡的问题,基于协同发展理念下的各地区建筑教育的共同进步是提升全国建筑教育水平的关键。以60年来安徽省高校的建筑学专业的发展为研究对象,结合安徽省人才培养的需求与专业发展的不足,提出“协同发展”的地方建筑学专业教育的理念,总结近年来安徽建筑教育协同发展的改革和实践,并对未来发展提出展望,以期对欠发达地区建筑学专业教育的发展给予一定的启示。
-
基于国际工程教育认证的混凝土结构课程教学改革探索
基于国际工程的教育认证的课程教学改革是当前的热点研究问题,本文介绍本团队在此背景下进行的“混凝土结构理论”课程改革。“一个大纲,两项实践”是本次改革的核心内容,其中课程教学大纲的改革是根基,而课程教学内容及教学方法、课程考核及评价方式的改革与实践则是重要枝干。团队通过基于项目学习法(PBL)及微信公众号、微信小程序、微课等“微教学”方法等推进教学改革;建立课程达成度计算方法及反馈制度,有效地实现课程持续改进。从实施情况来看,本次教学改革实践的各项措施与国际工程教育认证理念的契合度较高,也达到了较好的效果。本课程改革的思路及实践对同类型的其他课程改革有较好的参考价值。
-
城市地下空间工程专业建设概况与发展展望
国内城市地下空间工程专业目前正在蓬勃发展,开设该专业的高校近年来快速增长。论文调研和总结和目前国内高校开设该专业的相关数据,对院校属性、地域分布、学科背景、招生规模进行了分析,之后介绍了专业教学质量国家标准的内容要点。通过调研高校样本,梳理了目前国内高校在专业知识课程体系设置上的特点和专业教材出版情况,以及介绍了目前国内相关教学指导机构成立和专业建设工作开展的情况,在此基础上对城市地下空间工程专业的发展做了简要的展望。
-
本科工程专业要立足于培养工程师——工程教育认证的“成果导向”理念与本科专业定位
针对土木工程专业认证实践中发现的目标定位不清的问题,提出了坚持工程师培养的目标导向。对比了国际工程联盟关于工程问题复杂性的分类和工程教育轨道的分类,讨论了本科工程教育专业认证毕业要求与工程师任职资格能力的相互关系。分析说明,本科阶段的工程师教育必须以培养解决复杂工程问题的能力为核心,才能实现国际认证的实质等效;明确工程师能力培养的阶段性,才能科学合理的进行课程设置和课程建设。建议从成果导向的要求出发,采取措施提升教师的工程实践能力和教学能力。
-
多维跨界互动式教学创新的实践探讨
教学方式的选取直接影响知识在传递更新与积累拔高过程中的损益,影响行业技术水平与理论研究成果的突破与发展,填鸭式说教的教学方式一直以来都是教育界的诟病。本文结合“2018西部九校+《规划师》杂志社(9+1)建筑类本科联合毕业设计暨 ‘中晟杯’设计竞赛”教学实践活动,探讨跨地域、跨学科、跨空间、跨领域、跨群体多维跨界的互动式教学实践创新,拓宽学生视野,实现多方机构互惠共赢,推动师生之间的教学相长,落实教育资源共享共用的理念,为互动式教学模式的创新和探讨提供参考,供批评指正。
-
依托双师型教师提高建筑学本科生设计实践能力的教学改革探索
针对建筑学本科生设计实践能力不足这一现状,中国矿业大学建筑学专业教改课题组通过对国内外建筑学教学历史及现状的追溯和总结,在对比归纳不同教学模式的基础上,结合学校的现实状况,提出依托双师型教师提高建筑学本科生设计实践能力的教学改革方针以及相关的改革办法,以此为建筑学本科教学改革的进一步深入提供助益。
-
自媒体视域下高校学生党建工作研究
自媒体的快速发展改变着人们获取、传播信息的方式,传播主体平民化、内容多样化、速度即时性的特点也给高校学生党建工作带来机遇和挑战。高校要兴利除弊,从党员教育、自媒体平台建设、党建队伍建设等方面来改善自媒体环境下的学生党建工作,发挥党组织的思想引领作用,提高党组织的工作效率、打造新型的专业化党建队伍。
-
我国环境群体性事件产生的原因及应对策略——基于利益主体博弈视角
近年来,在经济社会全面转型的背景下,社会利益格局的调整导致环境群体性事件频发。环境群体性事件在整个发酵的过程中,不仅消耗大量社会公共资源,付出高昂的政治成本,还影响社会秩序,威胁到我国的生态安全。文章就环境群体性事件涉及的各利益相关主体进行深入的博弈,分析环境群体性事件的诱因包括地方政府失职、企业失信、公民利益受损和新媒体推动。在新时代背景下,通过实行最严格生态环境保护制度、增强新闻舆论传播力和引导力、建设全民社会心理服务体系是缓解环境群体性事件频发的重要策略。
-
高校本科工程管理专业分流发展方向研究
在“大类招生、专业分流”的本科培养模式改革背景下,针对工程管理专业分流问题缺乏实际层面的经验数据分析。为了对准确定位工程管理专业分流发展方向,以全国本科开设工程管理专业的高校为例,先使用统计学方法总结工程管理专业所在学院,再利用社会网络分析理论及Ucinet6.0软件从中心度分析、多维尺度分析和聚类分析三方面对已有专业分流进行定量研究和可视化展示。结果表明:中心度分析初步发现多数院校将工程管理与土木工程专业开设于同一学院,多维尺度分析进一步表明一半以上的高校将工程管理专业开设于工程学科背景下,GN算法聚类分析明确超过60%的高校将工程管理专业分流到工程技术类学院,35%的高校分流到经济管理类学院。研究结果全面清晰地展示目前工程管理专业分流情况,为高校本科工程管理专业分流与专业设置提供依据,也为其他综合性专业分流的定量分析提供参考。
-
人文地理与城乡规划专业招生的时空演化及驱动因素
—以湖北省属高校为例严 清, 陈昆仑, 刘小琼, 郭宇琪, 吕志航
随着社会对规划人才需求的提升,各高校人文地理与城乡规划专业的招生也引起了广泛关注。从地理学视角出发,对2013-2017年湖北省属高校人文地理与城乡规划专业招生的时空特征和影响因素进行分析,发现:(1)从时间上来看,研究期内该专业招生人数整体呈下滑趋势,2013-2015年下降幅度比较大,2016年有所回升,但幅度较小。2013-2017年,该专业在外省计划招生人数总体呈上升趋势,但不影响整体趋势。(2)从空间上来看,以地理特征划分该专业招生人数总体呈现西多东少、中部居中、东北无分布的格局,以秦岭—淮河划分总体呈现南多北少的分布格局;从变化趋势上看,东部地区招生人数呈先上升后下降的趋势,中部和西部地区招生人数呈上升趋势;从人数变化幅度来看,部分省份,如云南、湖南、新疆等省份招生人数变化幅度比较大,而安徽、贵州、西藏等相对稳定;从生源稳定性来看,中部地区较为稳定,东部和西部地区变化较大,尤其是东部地区。(3)影响该专业招生时空分布的主要有人口因素、经济发展水平和政策差异。除上述因素外,社会因素、文化因素等也会对该专业招生的时空分布产生一定影响。
-
一流学科建设背景下人文社会学科发展境遇的反思与突破
双一流大学建设中重点和基础是学科建设。本文通过对一流学科建设种类、建设点,学科发展政策分析人文社会学科发展的境遇。从一流学科的发展思路分析人文学科发展境遇的外部原因,从学科建设学术梯队、科研人员、学科顶层设计等方面剖析内在原因。提出改变人文社会学科发展境遇应该采取增强学科实用性、遵循学科发展内在合法性、提高外部激励、加强学科发展顶层设计等措施。
-
新形势下“大土木”专业课程建设深化改革及复合型人才培养模式
面对“一带一路”战略下的国际新形势和“双一流”建设政策对学科建设的要求,我国现有的土木工程专业的教学内容和教学方式,已不能适应土木工程的国际竞争力的快速发展,以及新时代对“大土木”工程复合型人才培养要求的提升。该研究基于新形势下现代土木工程多元化和国际化的发展现状,以及目前土木工程专业高等教育模式存在“窄口径”等问题,提出了在优化学科结构的基础上,土木工程专业应对课程建设进行深化改革,其课程内容和教学方式都迫切需要在“共性”和“个性”上寻找平衡点。通过科学整合课程内容、构建课程模块和拓展国际视野,扎实专业课程建设的改革;同时,丰富教学方式、开展素质教育并提高教师队伍素质,从而完善“通专结合”复合型人才培养模式,提高我国土木工程专业人才的竞争力。
-
基于需求导向的研究生“产学研”联合培养基地建设研究*
研究生“产学研”联合培养基地,是培养研究生实践创新能力的实践平台。在分析研究生“产学研”联合培养基地建设现状问题的基础上,融入需求导向,从功能定位、服务环境和参与主体三个方面,探讨了基于需求转向的“产学研”联合培养基地的内涵建构。为充分激发联合培养基地的活力、满足社会多方利益主体的需求,使之成为真正的社会急需的高层次人才培养的“孵化地”,论文基于“需求—满足”结构框架,针对性地提出了基于功能需求、服务需求和利益需求的联合培养基地的专业化建设、可持续建设和多元合作建设路径。
-
工程教育认证视角下哈工大城乡规划本科培养方案改革思路
为适应新形式下的城乡建设发展的需要,哈尔滨工业大学城乡规划学本科培养方案结合以OBE理念及工程教育认证制度的培养思路进行了全新的改革。通过培养目标、毕业要求、课程体系有效达成实现“引领城乡规划领域未来发展的拔尖创新人才”的培养。在此基础上,建立具有宽广口径课程平台、系统性专业课程体系、难点与热点研究课程相结合的新型课程体系,重点培养学生通识能力、专业能力及科研能力。
-
高职工程管理专业BIM创新人才培养的探索与实践
以四川建筑职业技术学院为例,探讨高职工程管理专业BIM创新人才培养问题。研究表明:BIM创新人才培养目标的实现有赖于学校-企业-教师-学生四位一体主体模型的良性运作、校企合作协同培养平台的有力支撑、以及兼顾理论与实践的BIM课程体系的顺利实施,为此需要多方位强化师资、构建BIM教学平台、启动课程改革优化教学模式、重建师徒式师生关系、多元多层次协同共享资源。
-
基于社会需求的建环专业教学体系改革研究—以湖南科技大学为例
基于对湖南科技大学建筑环境与能源应用工程专业毕业生的问卷调查,了解社会对建环专业毕业生知识及能力等方面的需求,剖析了我校建环专业教学中的实习环节、课堂教学、实验教学存在的问题,并结合我校实际,提出了解决存在问题的相关举措。这对于改善我校建环专业的教学效果、提高毕业生满意度都有着重要的意义,也可为其他高校建环专业教学体系的构建与修订提供参考。
-
高等教育国家级教学成果奖获奖分析及培育建议
高等教育国家级教学成果奖是我国高等教育领域的最高奖项,代表着我国高等教育教学工作的最高水平,是判断一所高校整体教学水平和综合实力的“直观标识”,对高校的发展具有重大影响。采用调查法、统计分析法、案例分析法等多种方法,研究分析了高等教育国家级教学成果奖获奖率、单位构成、高校类型分布、主题分布、实践检验期情况等,并进行了典型案例分析。基于研究分析提出,高校教学成果奖培育建设应组建结构合理的项目团队,做实成果实践检验工作,强化推介宣传提升成果影响力,突出特色提升成果获奖竞争力。
-
新工科建筑环境与能源应用工程专业认知实习的改革及效果评价
周斌, 陆青松, 李斐, 王瑜, 程建杰, 刘金祥, 章惠娟
建筑环境与能源应用工程专业被列为新工科建设专业。在这个大背景下,专业发展面临了前所未有的机遇和挑战。通过大类招生吸引优质生源进入学校后,需要重视专业的内涵建设。其中认知实习是同学们开始接触专业、了解专业的很重要的实践环节。本文通过对比认知实习、金工实习、生产实习和毕业实习的具体实践单元和知识技能点,来更好地反映认知实习与其他实践环节的差异和特点。通过比较国内兄弟院校的认知实习实践环节经验与教学方法,借鉴兄弟高校的成功经验,为因地制宜地制定南京工业大学的认知实习方案提供了思路。在学时压缩的条件下,介绍了“文化熏陶+基地参观+文献查阅+小组讨论”的认知实习模式,调动了学生的积极性,取得了较好的效果。
-
基于互联网+的土木工程生产实习教学改革及实践
针对生产实习传统教学模式及管理方法上存在诸多问题与不足,本文通过规范《生产实习》课程文件,借助互联网和信息技术,完善生产实习教学各个环节,形成了基于互联网+的土木工程生产实习过程管理和质量控制教学新模式,实现了学生实习成果的实时分享和教师的实时跟踪指导和管理,加强了实践性教学与理论教学的融合,对土木工程专业人才培养及提高学生工程实践能力等均有积极的作用。
-
高校自主招生实施效果的实证研究——基于CQ大学自主招生学生与普通高考学生的跟踪与比较
该研究从后期质量跟踪的角度,对自主招生学生进校后进行跟踪调研,通过学生问卷调查结合大量的客观数据统计,即从能力素质方面及学习成绩、奖学金获得、参加科研情况等方面多角度分析和比较两类学生入校后的差异,并在此基础上分析结论背后的原因,以此检验CQ大学自主招生效果,以期回答社会对自主招生的质疑并丰富相关研究领域成果。研究表明,自主招生学生能力素质均分及各项能力素质条目均显著高于普通高考学生;自主招生学习成绩略高于普通高考学生;自主招生综合素质表现(综合奖学金、五四评优、争先创优)显著高于普通高考学生;自2015年开始自主招生学生科创能力(科创项目立项)显著高于普通高考学生。
-
基于核心素养培育的传统工科转型升级探索
传统工科教育在我国高等教育体系中占有非常重要的地位,规模大、作用突出,但也面临着发展遇到瓶颈、急需转型升级的挑战。世界新一轮科技革命和产业革命对工科教育提出了新的要求,实施创新驱动发展战略实现两个百年奋斗目标为工科教育提供了改革、创新与升级新的历史机遇,工科教育要主动重新审视自己,以大学生核心素养培养为出发点,迎接挑战,做出变革,转型升级。
-
“新工科”背景下地方高校建筑学教育的实践与探索--以河北工业大学为例
为主动应对新一轮科技革命与产业变革,支撑服务创新驱动发展等一系列国家战略,教育部积极推进“新工科”建设。对照“新工科”建设思路,目前地方高校建筑学教育存在以下主要不足:专业各自为政,人才出口单一;培养机制滞后,行业适应性低;办学定位相似,服务地方不足等。以河北工业大学建筑学专业为个案进行分析,在打破专业壁垒,构建“大设计”平台、借力社会资源,加强产教融合、科学办学定位,服务地方建设等方面提出解决策略,以期为同类院校开展新工科研究与实践提供参考。最后从拓展专业认知,“宽口径”人才出口;深化产教融合,共建工程教育共同体;明确类型定位,蕴育办学特色几方面对地方院校建筑学开展“新工科”建设进行了路径探析。
-
回顾与展望:我国高校分类问题研究20年
高校分类作为高校分类发展的基础,在过去二十余年有了丰富的研究成果。本研究借助文献计量的方法,通过文献统计与CiteSpace知识图谱分析,对我国高校分类的研究概况归纳,从学术价值和现实意义、理论依据和研究方法、指标设置和体系构建、视角选择和实践探索四个方面进行系统梳理,提出未来高校分类问题的四个维度,即高校分类问题研究要关照高校分类发展实践、高校分类问题研究需要多学科基础的融合、着力构建具有中国特色符合国情的分类框架、基于未来科学合理设置高校分类的指标体系。
-
西部高校建设“双一流”现实困境与路径突围
推进“双一流”建设是建设高等教育强国、实现高等教育现代化的战略任务,也是西部地区实施创新驱动战略、实现区域协调发展的战略引擎。面向我国高等教育历史方位、主要矛盾的新判断,西部高校建设“双一流”面临定位、资源、观念等难题,必须抓好人才培养、学科建设、师资队伍等三项任务,必须坚持战略思维进行高起点系统规划,全方位政策支持,整体性发展举措,以“一份部署、九分落实”的精神,全面推进“双一流”建设。
-
市场机制视域下科普信息化可持续推进的对策分析
市场机制在资源配置上有独特的优势,在科普信息化建设中引入市场机制,有利于推进科普信息化建设的可持续发展。但是市场并不是万能的,社会资本的逐利性可能会影响科普工作的公益性,从而影响科普信息化的可持续运行。通过梳理市场机制参与科普信息化的基本情况,分析市场机制参与科普信息化的优势,探讨市场机制参与后可能出现的问题,并针对相关问题提出了科普信息化建设可持续发展的建议。
-
信息化背景下城镇社区科普信息化需求度和满意度现状研究
当前已进入了互联网信息时代,科普事业的环境也发生了变化。在信息化的背景下,社区科普工作的改革,基于信息化基础上的同时,更要能满足城镇居民的需求。本文通过对当前城镇居民对社区科普的需求度和满意度的调查和分析,并在此基础上探索性地提出相关建议,为社区科普工作有效开展起到借鉴和参考的作用。
-
现代高校教学制度的价值理念与创新原则
摘 要:制度建设与实践创新作为高校教育教学和人才培养质量的重要保障,是尊重高等教育规律,培养学生创新精神和实践能力的需要,也是办人民满意教育、建设创新型国家、构建和谐社会的需要,现已成为高校教学改革的重要研究领域。高校教学制度创新的供给侧亟需更新,以适应诸多需求带来的巨大的挑战.分析教学中存在的制度问题,探讨教学运行、教学管理、教学服务的理念基础、价值精神和创新原则,有利于健全立德树人落实机制,扭转不科学的教学保障与评价导向,建构以培养德智体美劳全面发展的人才培养体系。
-
创新研修课——满足新时代大学生科研需求的关键平台
沈朝, 倪龙, 姜益强, WANG Xinlei, HUANG Haibo
当代大学生对于科研的热情日益高涨,越来越多本科生期望参与科研并在毕业后选择读研深造。哈尔滨工业大学以科研优势为依托,设立了“创新研修课”,受到学生们的欢迎。教学实践证明,“创新研修课”不仅为年轻教师提供了科研助手,更建立了本科生通向研究生阶段的过渡桥梁,打造了本科生发表SCI学术论文的创新基地,打开了本科生参与国际交流的一扇窗。
-
土工测试技术及工程应用研究
土工测试和土力学试验在土力学学科的形成、发展中占据着重要的地位,土力学的发展必须将理论和实验紧密结合起来。简要分析总结了土的基本物理性质试验、直剪试验、三轴压缩试验、共振柱试验及无侧限抗压强度试验等室内试验以及静载荷试验、标准贯入试验、静动力触探试验、旁压试验和十字板剪切试验等现场试验的试验方法及其工程应用情况,指出土工试验的重要意义。
-
基于学科竞赛的土木工程大学生专业课程知识应用能力评价
结构设计竞赛已经成为土木工程专业最具影响力的专业型科技赛事之一。通过竞赛可考核学生专业知识的应用程度,从而发挥其重要的反馈功能。根据结构设计竞赛与专业类课程的对接点,构建了基于竞赛的专业类课程反馈指标体系。在此基础上设计调查问卷,以两年校内竞赛的调查数据进行分析统计,结合学生提交的实体模型成果,进行学生知识能力应用效果评价,并将结果反馈给相关课程组,为专业课程改革提供了量化依据,也为大学生学科竞赛的良性发展提供了创新思路。
-
土木工程专业分散式生产实习教学研究
土木工程专业分散式生产实习,可以保证学生有足够的生产实习工地和更好的实习指导,促进学生与实习工程的融合,但在实习指导管理、实习内容和生产实习基地等方面还存在不足,本文提出了土木工程专业分散式生产实习的改进措施,进一步界定了集中实习和分散实习的内涵。
-
基于学科竞赛的土木工程大学生工程意识的培养研究
经过十余年的探索,结构设计竞赛的目标越来越倾向于模拟和简化当今时代面临的重大工程问题,从而彰显出其在土木工程专业大学生工程意识培养方面的突出优势。本文针对工程综合意识的内涵和结构设计竞赛的自身特点,构建了包含工程应用意识、结构创新意识、团队协作意识、工作信心构建四个方面及其子项目在内的综合工程意识培养效果的检验指标体系。以两年的校级结构设计竞赛调研数据为依托,对竞赛前后学生综合工程意识的变化进行了统计分析。结合多年组织和参加各类竞赛的经验,提出了土木工程专业大学生综合工程意识培养的改革方向。
-
《土木工程测量》实践教学改革的探讨
结合土木工程测量的教学,分析了当前工程测量实践教学中存在的主要问题,提出了在教学中构建创新性实践体系和实验实习综合评价体系,目的在于加强实践教学,培养学生动手能力和实践能力,提高教学质量,从而培养出基础扎实的应用型人才。
-
建筑设计实证式教学的探索
本文从建筑院系师资力量、学生自身素养、招生规模等层面剖析了当前建筑教育存在的深层次问题,并结合实际教学尝试与探索,提出建筑设计实证式教学的新理念。
-
培养创新型人才的土建类工程图学平台课程建设
在知识经济时代,教育的使命在于:知识的创新和创新型人才的培养。本文通过对创新教育的分析和研究,阐述了以土建类工程图学平台课程建设为依托,利用立体化系列教材和现代信息化技术,构建跨学科的土建类工程图学基础教学平台。该平台注重学生计算机绘图能力的培养,始终围绕培养学生的工程素质,培养学生主动获取知识和动手能力这个主题,对学生的创新意识、创新精神和创新能力进行培养,使其成为具有创新素质的创新型工程技术人才。
-
建筑类高校本科学生安全教育研究
为了更好的完善我国的建筑安全教育工作,发挥高等教育对安全教育的主体作用,在对建筑类高校安全工程专业现状和建筑类专业安全教育现状进行简单介绍的基础上,强调了建筑类专业安全教育要有针对性,提出了依托安全工程专业现有教学资源,由大学生安全文化建设、安全公共选修课程、校园安全健康协会、安全实践教学四个方面组成的建筑类专业安全教育体系,并对其教学手段与方法提出了意见和建议。逐步推动建立起以高等学校安全教育为主,以建设行政主管部分和企业为辅的建筑安全教育体系。
-
布鲁姆教育目标分类视角下的“课程思政”教学设计探索——以城市景观设计课为例
当前高校专业课“课程思政”建设的难点在于:思政元素融入要求高、学生积极性调动难、思政教学效果考核不便。以城市景观设计课为案例,基于布鲁姆教育目标分类理论,在设计类专业课的教学中嵌入“思政主题”设计模块,把学生收集梳理背景资料、汇报调研成果、拆解并重组设计元素、完成设计方案、制作图纸等专业学习的环节,与“记忆、理解、应用、分析、评估、创造”6个认知目标层次,和“接受、反应、价值评价、组织”4个情感目标层次相对应,逐层展开“课程思政”教学设计,并分级进行思政学习的考核,能够实现分层攀升、以学为中心的“课程思政”教学目标,促进学生对“思政”的自主学习和主动学习,达到专业教育与思政教育双向共促的目的。
-
设计创作类课程在线学习情绪模型建构和教学优化策略
互联网信息技术的发展和优势,使在线教学成为当前教育的重要方式。在线教育应该重视在线学习者身心发展规律,在线学习中产生的情绪会影响学习的效果。研究把设计创作类课程的在线学习者作为为研究对象,目的在于探索学习过程中情绪的影响因素和相应学习情况。采用了质性研究的方法,初期按照初步引出的问题方向获取访谈资料,然后对访谈资料进行第一层次编码和第二层次编码。发现了在线学习中学习环境、个体特质、课程任务、教学手段四个类属的影响因素,以及积极情绪和消极情绪产生的过程和相应的正面和负面学习效果,并以此构建模型。研究认为该模型阐释了在线学习设计创作类课程学生的情绪影响因素和规律,对在线教学策略有一定启示和参考性作用。
-
外国建筑史教学改革探析
随着建筑发展的日新月异,社会时代环境的不断变更,新的建筑技术和形式不断出现,外国建筑史的教学方法也应随之不断改革和更新,给学生提供更好的学习体验。当下,随着信息科技的发展,社会已经进入到后喻时代,知识的获取途径变得越来越快捷,老师的课堂角色不再仅仅是传授知识,更是一位导读者和课堂组织者,如何来构建“以学生为主体”的课堂等问题更加值得探讨。同时教学理念和教学方式也要与时俱进,才能适应社会的新趋势。例如采用最新的VR虚拟现实技术设备给学生提供最佳的上课体验,解决学生无法经常到国外实地参观等客观问题,让学生达到身临其境的参观效果。在后疫情时代下采取线上线下混合教学方式,弥补无法课堂教学的不足并充分发挥两种不同教学方法的积极作用。让学生能够从课堂中获得扎实的基础能力,学以致用,以达到外国建筑史深层次的教学目的,实现教学目标。
-
生态文明建设背景下国土空间总体规划课程教学实践探索
空间是生态文明建设的载体,国土空间规划是推进生态文明建设的关键举措。在城乡规划向国土空间规划不断迭代优化的过程中,规划编制的理念、重点与技术方法等也发生着相应的转变。为了在城乡规划专业本科国土空间总体规划课程教学中更好的落实生态文明思想,并解决当前教学结合新时代发展要求而转型所面临的问题和难点,不少建筑类院校都在积极的探索和实践。本文以昆明理工大学四年级本科生的国土空间总体规划教学为例,从教学目标、重点和内容三个方面探讨教学改革的总体思路,包括以生态文明思想为核心价值观的引领,拓展生态学与城乡规划学交叉的知识结构、加强地理信息系统等技术的应用。最后从资源环境承载能力评价和国土空间开发适宜性评价、“三区三线”划定、中心城区蓝绿空间规划等三个方面提供了教学改革实践路径与成果。以期为满足新时期城乡规划专业国土空间总体规划课程的教学要求提供可参考的实践路径。
-
城乡规划专业教育变革背景下区域规划课程创新的思与行——理论教学板块
《区域规划》作为城乡规划专业本科阶段的核心理论课程,在“五改四”学制缩短、高质量创新发展、出口与个人双重导向变化趋势下亟需进行课程创新优化。本文剖析了当前区域规划课程教学的难点与问题,提出应以提升学生三大能力为核心,将知识目标、技能目标、思政育人目标相融合,对理论类课程群进行“串联+并联”式整合重构,形成主次有序、重点突出、紧密联系的区域规划课程体系,形成课前、课中、课后全链条一体化式的教学模式,探索通过理论实际结合、科教融通、虚实相依的教学实践方法保障课程内容的顺利推进。
-
基于OBE理念的地方高校土木类专业本科 人才培养闭环管理初探
以学生为中心、以产出为导向的OBE教育理念为我国土木类专业本科人才培养模式构建奠定了坚实的基础。以大连大学土木类专业本科人才培养模式改革为例,从修订原则、培养目标、培养环节、闭环管理等方面入手,建立以落实立德树人为根本任务、以践行OBE理念为宗旨、构建以培养适应全寿命周期土木工程行业发展为目标的本科人才培养闭环管理机制,为地方高校土木类专业本科人才培养方案制定提供参考。
-
2018,27(2):14-17, DOI: 10.11835/j.issn.1005-2909.2018.02.004
当前教育改革的一个主要目标是加强素质教育,培养学生的实践能力、科研素质和创新精神。培养方案是高等学校教育思想和教育理念的集中体现,实验教学是实践教学内容体系基础实践层次中的核心,教师队伍建设是高校培养创新人才的关键。结合能源动力类专业发展现状和人才需求,以山东科技大学能源与动力工程专业综合改革为例,从培养方案体系、创新研究性实验模式、青年教师教学能力等三个方面阐述所开展的探索和取得的成绩。
-
2018,27(6):58-64, DOI: 10.11835/j.issn.1005-2909.2018.06.010
文章首先对硕士研究生课程教学对比研究进行了理论基础分析,分析了硕士研究生课程教学的涵义,并界定了三个维度:"主体"的维度、"客体"的维度和"方式"的维度,并对每个维度设置细分项目。在此基础上,通过对北京交通大学和辛辛那提大学硕士研究生房地产投资课程教学全面对比研究,得出辛辛那提大学硕士研究生房地产投资课程教学对中国高校房地产课程教学的启示。最后从教学内容的设计、课程的国际化水平和教育管理者三个角度提出了相关建议。
-
2016,25(3):103-105, DOI: 10.11835/j.issn.1005-2909.2016.03.023
顺应工程教育培养高素质应用型人才的发展趋势,针对目前企业的需要,文章提出了"大样图"一体化新型教学模式。该模式以"大样图"为主线,以学生为中心,通过模型比赛等活动,让不同层次的学生得到充分的发展,同时也着力提高教师的工程素质,为培养适合企业需要的高素质应用型人才探索新的途径。
-
2011,20(2):70-73, DOI:
景观学是一门综合性和应用性很强的学科,景观规划设计课程是景观学专业人才培养教学体系的骨干核心课程。文章通过对当前景观规划设计课程教学现状的分析,提出了学科发展新形势下课程教学改革的设想,以期培养适应社会需求的高素质、应用型的景观学专业人才。
-
2016,25(3):89-93, DOI: 10.11835/j.issn.1005-2909.2016.03.020
高层建筑涉及诸多的学科和专业领域,具有复杂、跨专业的体系,并具有显著的社会性特征。土木工程本科专业以培养工程技术人才为主要目标,为培养复合型土木工程人才,有必要将工程哲学思想引入高层建筑结构设计课程。将工程系统观、工程社会观和工程伦理观等思想和理念与高层建筑结构设计课程相结合,培养学生以全局、系统的方式和观点思考高层建筑结构设计方法,并在社会层面上处理高层建筑结构设计中的问题。
-
2016,25(3):99-102, DOI: 10.11835/j.issn.1005-2909.2016.03.022
水力学是土建、水利类学科专业必修课程,也是本科教育阶段给排水科学与工程的核心专业基础课。课程的教学效果对本科生后期学习涉及水力学相关知识的专业课程至关重要。文章针对提升给排水科学与工程专业水力学课程教学质量进行探索性研究。研究认为采用多元教学模式,例如自主互动、"粉笔+黑板"板书教学与视频动画等多媒体相结合的形式,是一种理想的教学模式,其将启发式和讲授式教学相融合,努力提高学生的动手实践能力,积极引导本科生自主创新。这种教学模式可以充分调动学生学习积极性,促使教学质量得到提升,最终取得良好的教学效果。
-
2020,29(2):122-129, DOI: 10.11835/j.issn.1005-2909.2020.02.017
工程伦理教育是高等工程教育改革的重要一环。在"新工科"及"美丽中国"建设等背景下,掀起了工程伦理教育研究的热潮。基于知识图谱,借助计量可视化工具,通过文献共被引和关键词共现网络,分析中国知网(CNKI)收录的184篇工程伦理教育相关文献,指出中国工程伦理教育的理论基础、研究热点、发展趋势,发现国内研究具有"受国家政策影响" "研究内容逐步细化,向实践转移",以及"课程教育体系有待完善,教学方式单一"的特点,并从国家、社会、高校角度提出了改进建议。
-
2016,25(3):121-123, DOI: 10.11835/j.issn.1005-2909.2016.03.028
在分析当前建筑材料实验教学存在的问题基础上,指出其与新形势下应用型人才培养目标的差距,并从课程设置、授课技巧、开放实验、学科竞赛、师资培养、考核方式等六个方面提出改革建议,以期培养出理论知识扎实、实践能力强、有创新意识和一定科研能力的高素质应用型专业人才。
-
2010,19(1):29-31, DOI:
密结合社会需求、学校定位和特点,基于用人单位、毕业生及在校生问卷调查,搭建出具有建筑机械共性特征
-
2007,16(2):153-157, DOI:
面对大学生盗窃被害的多发态势及呈现出的特征,传统的以犯罪人为中心的盗窃犯罪预防策略已日显局限.预防和减少犯罪应兼顾社会预防和被害预防,被害预防理论给当前预防大学生盗窃被害的对策研究带来若干启示和思考,应重视被害预防在预防大学生盗窃被害中的重要作用,鼓励大学生分担预防犯罪被害的责任,做好盗窃犯罪被害预防.
-
2016,25(3):29-33, DOI: 10.11835/j.issn.1005-2909.2016.03.007
为保障工程管理教育质量水平,与国际接轨,中国实行工程管理专业评估,并与英国皇家特许建造师学会(CIOB)和美国建设教育协会(ACCE)签订了评估结果互认协议。为完善专业教学体系、提升人才培养质量,重庆大学工程管理专业在通过国内评估的基础上,还申请通过了英国皇家特许测量师学会(RICS)的专业评估。文章通过对比分析学校工程管理专业评估前后培养目标和课程设置的变化,探讨国际评估对中国工程管理专业建设与发展的影响。
-
2008,17(2):1-3, DOI:
从节约能源、减少光污染,实现照明工程可持续发展的需要出发,研究了加强建筑光学教育的迫切性,并且对国内外建筑光学教育情况进行了比较,分析了建筑光学研究生招生和就业情况,以及国内外在建筑光学教育方面的明显差距,得出建筑光学研究生数量和质量均不能满足社会需要的结论。提出应当高度重视建筑光学教育,加强其研究生教育。
-
2016,25(5):1-4, DOI: 10.11835/j.issn.1005-2909.2016.05.001
零基础的法语强化学习和法方承担引进课程采用法文授课是土木工程中法合作办学项目的主要特点。为提高土木工程中法合作办学项目的办学质量,在完善培养计划、提高引进课程的教学质量、加强始业教育、营造法语文化氛围、加强项目管理等方面开展了一系列探索与实践。
-
2008,17(3):94-96, DOI:
针对环境影响评价课程教学改革与实践进行初步研究,围绕环境影响评价报告书的编制技术方法为教授主线,从课程教学内容、教学方法和手段、实践教学等环节对该课程进行教学改革,以达到提高教学质量的目的,同时提出还存在的问题和不足,为进一步改革指出了方向。
-
2016,25(3):109-112, DOI: 10.11835/j.issn.1005-2909.2016.03.025
《国家中长期教育改革和发展规划纲要(2010-2020年)》明确提出深化教育教学改革、创新教育教学方法,倡导"以生为本,师生互动"为核心的参与式教学方法。文章在分析参与式教学方法内涵的基础上,结合房地产经济学课程特点,着重阐述课堂即兴讨论、专题讨论等参与式教学方法的应用,旨在实现课堂教学从以教师为主导到以学生为主导的转变,以提高教学水平。
-
2017,26(2):148-151, DOI: 10.11835/j.issn.1005-2909.2017.02.037
随着“一带一路”和“走出去”战略的实施,中国工程承包企业的海外土木工程市场份额正逐步提高,对具备从事国际工程能力的土木工程专业人才的需求也越来越大。文章针对国际土木工程专业特点,以及当前专业教学存在的一些问题,特别是无法进行现场实习的客观现实,以石家庄铁道大学“国际班”教学实践为基础,提出了国际土木工程专业校企合作网络教学平台的建设构想。在对用户需求充分分析的基础上,对该网络平台的特点、结构、功能与资源类型等进行了阐述。该网络教学平台可以充分发挥学校与企业的各自优势,对推动国际土木工程专业教学改革与提升企业国际市场核心竞争力都有重要作用。
-
2017,26(1):49-55, DOI: 10.11835/j.issn.1005-2909.2016.06.011
近年来受房地产和建筑行业不景气的影响,部分高校大学生特别是工程管理相关专业的学生对就业前景产生了怀疑。为了给工程管理专业在校学生提供一个就业的方向指导,文章以重庆工商大学工程管理专业毕业生为调查对象,深入调查重庆工商大学2003级到2011级工程管理专业毕业生就业情况及目前的发展状况,并运用spss软件工具对调查结果进行了分析。本次调查的结论可以为工程管理专业在校大学生提供一些就业指导建议,有助于加强学生的专业能力,提高核心竞争力。
-
2018,27(1):11-14, DOI: 10.11835/j.issn.1005-2909.2018.01.003
从人才培养目标、课程设置计划、课程教学特色、毕业主要去向四个方面,对台湾给排水科学与工程专业人才培养模式进行了介绍、分析和探讨,以期为给排水科学与工程专业人才培养提供借鉴。
-
2016,25(3):177-181, DOI: 10.11835/j.issn.1005-2909.2016.03.041
大学生廉政文化意识的养成和廉洁观念的正确树立,直接关系到党和国家的伟大复兴。当代青年大学生的传统道德观念和价值取向越来越受到社会发展、经济发展以及西方思想文化的影响。一些学生缺乏对廉洁概念的正确认知和对腐败行为的深刻认识,出现道德失范现象。笔者从理性认知基础的加强、体制机制的健全、民主实践的广泛开展和廉政文化意识培育空间与平台的延伸等方面,就当代大学生廉政文化意识的养成展开了深入有效的研究。



















