2. 塔里木大学 人文学院, 新疆 阿拉尔 843300
2. School of Humanities, Tarim University, Alaer 843300, P. R. China
2022年10月16日,习近平总书记在党的二十大报告中指出,中国式现代化是全体人民共同富裕的现代化,实现全体人民共同富裕是中国式现代化的本质要求[1]。习近平总书记强调,“促进共同富裕,最艰巨最繁重的任务仍然在农村。农村的共同富裕要抓紧,要巩固脱贫攻坚成果,确保不发生规模性返贫和新的致贫”[2]。乡村振兴给我国农村结构的转型提供了契机,有利于建立稳定脱贫的长效机制,是实现共同富裕的必然要求。要实现共同富裕的目标,就要加快实现农村农业的现代化,扎实推进乡村建设,促进乡村振兴。乡村振兴战略是党中央的重大决策部署。习近平总书记在党的二十大报告中明确提出,要“全面推进乡村振兴,加快建设农业强国,扎实推动乡村产业、人才、文化、生态、组织振兴”[1],为中国式农业农村现代化指明了方向,是我国在新发展阶段巩固脱贫攻坚成果、缩小城乡差距和促进城乡人民共同富裕的重要战略部署。2022年2月22日,中央一号文件提出要压实全面推进乡村振兴责任,对各个层级推进乡村振兴战略的实绩进行考核,开展《乡村振兴战略规划(2018—2022年)》实施总结评估[3]。根据乡村振兴战略的总体要求,构建完整的乡村振兴评价指标体系,对乡村振兴战略的实施现状与成效进行综合评价,有利于及时调整乡村振兴战略的实现路径,为乡村振兴战略的进一步推进提供科学依据。
近年来,以乡村振兴为主题的学术研究逐渐增多,定性研究的数量远远多于量化研究。通过整理文献发现,目前关于乡村振兴的定性研究主要集中在乡村振兴的理论逻辑[4-7]、内涵诠释、实施路径[8-11]和脱贫攻坚与乡村振兴的有效衔接等方面[12-14]。量化研究的研究面更加广泛,与乡村振兴有关的实证研究主要有两类:一是乡村振兴与其他概念之间的关系,主要包括乡村振兴与乡村旅游[15]、新型城镇化[16-17]、新型工业化[18-19]的耦合关系以及农村人力资本[20]、数字惠普金融[21-23]、数字经济[24]对乡村振兴的促进作用;二是乡村振兴发展水平的测量和评价,该类研究大多基于乡村振兴战略的总要求,即“产业兴旺、生态宜居、乡风文明、治理有效和生活富裕”构建一级指标体系,但评价的对象和选择的样本各有不同。如:杨胜强等利用熵权TOPSIS法对2019年重庆市各个区县的乡村振兴综合水平进行评价排名[25];徐雪等使用熵值法测算2013—2019年全国乡村振兴水平综合指数及五个子系统指数,并借助了Dagum基尼系数和Kernel密度估计方法揭示乡村振兴及各子系统水平的区域差异及演进趋势[26];杜国明以东北黑土区典型地区——拜泉县为例,在实地调研的基础上结合官方数据,使用层次分析法和熵权法的平均值作为综合权重,对2019年该地区乡村振兴水平进行评价并探讨其推进路径[27];张挺等选择了全国11省份的35个村,用层次分析法和熵权法计算权重并对样本村2013—2016年的乡村振兴水平进行评价[28];闫周府等利用熵权法求得各指标权重并计算综合得分进行排名来描述2016年全国各省的乡村振兴发展水平[29];张雪等从乡村振兴战略的五个方面出发并结合辽宁省的区域特征构建指标体系,对2018年辽宁省106个村的乡村振兴战略实施现状进行评价[30];韦家华等以乡村振兴总要求为基础构建指标体系,并利用广西壮族自治区荔浦县荔城镇D村的调研数据进行评价,检验评价指标体系的适用性[31]。
综上分析,现有关于乡村振兴的实证研究相对较少,实证研究中与乡村振兴评价有关的研究主要是对个别省份、城市或贫困县的针对性评价。评价研究主要聚焦于某一地区,少有对全国31省份进行的综合评价。对于评价所需的指标体系而言,大多数文献利用乡村振兴战略的总体要求构建一级指标体系,即分为产业兴旺、生态宜居、乡风文明、治理有效和生活富裕五个维度。二级指标的侧重有所不同,但都依据《乡村振兴战略规划(2018—2022年)》中各维度包含的主要内容进行选择。研究选择的样本期既有贯穿于乡村振兴战略实施前后的,也有只涵盖乡村振兴战略实施后的单一年份的,对乡村振兴战略提出并实施后这一动态变化过程所涉及的研究较少。基于此,本研究在已有研究的基础上,选用2017—2020年的相关数据,从时间和空间两个角度实证分析乡村振兴战略提出并实施以来,我国整体和各省份乡村振兴及各维度的变化规律和发展水平,以期丰富乡村振兴主题的实证研究成果,为乡村振兴推动共同富裕提供一定的经验证据和路径选择。
二、研究设计 (一) 指标体系的构建乡村振兴战略对农村经济、政治、文化等各个方面都提出了要求。根据乡村振兴的内涵,本研究以乡村振兴战略的总体要求“产业兴旺、生态宜居、乡风文明、治理有效、生活富裕”为一级指标,构建全国乡村振兴评价指标体系。根据指标数据的可获得性,以及指标体系构建的科学性,本文选取了反映乡村振兴五个维度的21个二级指标(表 1)。
| 表 1 乡村振兴系统指标体系 |
本研究样本为2017—2020年全国范围内31省、自治区和直辖市。研究使用的所有数据均来自2018—2021年《中国统计年鉴》《中国农村统计年鉴》《中国社会统计年鉴》《中国人口与就业统计年鉴》《中国城乡建设统计年鉴》和《中国教育统计年鉴》,其中部分指标数据为整理计算所得。
2. 数据处理由于各指标选取的量纲不同,因此需要对数据进行归一化处理,本研究通过极差变换法将原始数据转化为[0, 1]之间的数据。指标中,“每公顷耕地化肥使用量”和“农村居民家庭恩格尔系数”为逆向指标,其余指标均为正向指标,因此对逆向指标做逆向化处理,正向指标做正向化处理。计算公式如下:
| $ X_{i j}=\frac{x_{i j}-\min x_{i j}}{\max \left(x_{i j}\right)-\min \left(x_{i j}\right)}(\text {正向指标 }) $ |
| $ X_{i j}=\frac{\max \left(x_{i j}\right)-x_{i j}}{\max \left(x_{i j}\right)-\min \left(x_{i j}\right)}(\text {逆向指标 }) $ |
Xij为对应的各指标据归一化后的数值,即标准值。ij表示第i个样本第j项的指标值,即原始值。max(xij)和min(xij)分别是第j项指标的最大值和最小值,i=1, 2, 3…n; j=1, 2, 3…m。n代表省份数量,最大值为31;m代表指标数量,最大值为21。
(三) 研究方法熵权法是一种客观赋权的方法,能有效避免主观因素带来的偏差。因此本研究采用熵权TOPSIS法来测算和评价我国乡村振兴水平。首先使用熵权法得到每个评价指标对应的权重,再通过TOPSIS法对评价对象进行排序。
1. 熵权法计算第i个样本第j项指标的比重:
计算信息熵:
计算权重:
构建加权决策矩阵:V=Wj×Xij
确定指标的正负理想解:
正理想解:V+={maxvij|j=1, 2, …, m}
负理想解:V-={maxvij|j=1, 2, …, m}
计算欧式距离:
各评价对象到正理想解的距离:
各评价对象到负理想解的距离:
计算贴近度:
空间探索性分析方法主要用来分析地区之间是否存在空间相关性。本研究使用全局莫兰指数和局部莫兰指数来测度我国各省份乡村振兴水平的空间聚集特征。计算公式如下:
| $ I=\frac{\sum\limits_{i=1}^n \sum\limits_{j=1}^n W_{i j}\left(X_i-\bar{X}\right)\left(X_j-\bar{X}\right)}{S^2 \sum\limits_{i=1}^n \sum\limits_{j=1}^n W_{i j}} $ |
该式中,n代表地区总数;Xi和Xj分别代表地区i和地区j的属性值;X为属性值的平均值;S2为属性值的方差,wij为矩阵权重,其公式如下:
| $ w_{i j}=\left\{\frac{0, \text { 当省份 } i \text { 和省份 } j \text { 相邻 }}{1, \text { 当省份 } i \text { 和省份 } j \text { 不相邻 }}\;\;\;\;\;\;\;\;(i \neq j)\right.。$ |
图 1是2017—2020年我国乡村振兴综合水平及各子系统得分情况的变化趋势。根据测算结果,中国乡村振兴综合水平得分存在以下几个特点:第一,我国乡村振兴综合水平在总体上呈现增长态势,由2017年的0.325上升至2020年的0.656,意味着乡村振兴战略的实施取得了良好的成效;第二,2018—2019年乡村振兴水平的综合得分出现了明显的上升,这与徐雪的研究结论一致[26]。其原因在于2018年颁布的《中共中央国务院关于实施乡村振兴战略的意见》对乡村振兴做出了全面的战略规划和路线安排,提供了明确的方向,使得乡村振兴综合得分快速上升。
|
图 1 乡村振兴得分变化趋势 |
从乡村振兴五个子系统的得分来看:第一,产业兴旺得分虽然在2017—2018年出现了下降,但在2018—2020年间是大幅上升的,且2019—2020年的涨幅明显大于2018—2019年;第二,生态宜居得分呈现逐年上涨趋势,2018年以后的增长幅度更大;第三,乡风文明单项得分呈现倒V型的变化趋势,2019年得分最高,之后出现了下降;第四,治理有效得分在样本期内不断下降,2019—2020年的下降幅度最大;第五,生活富裕得分先增后降,但与2017年相比仍进步明显。总体来看,产业兴旺、生态宜居和生活富裕三项得分出现了明显的增长,尤其是2018年之后的增长最为明显。说明在乡村振兴战略实施后,我国农村的各项产业发展较好,经济水平有了很大的提升,农村居民的收入也随之上涨,用于改善农村居民生活环境和修复生态环境的资金较为充足,成效显著。乡风文明和治理有效得分下降,说明在提高农村人口的文化素养以及乡村治理这两方面还比较薄弱,需要大力发展农村教育,提高乡风文明程度,完善教育配套设施,为农村居民提供更多的接受教育的机会。同时,要加大乡村治理的力度,完善乡村治理体系。
(二) 我国区域乡村振兴水平的特征利用熵权TOPSIS法计算2017—2020年全国31省市乡村振兴5个维度的综合评价得分。限于篇幅,仅展示2017年和2020年的得分情况(表 2),并根据自然断点法将2020年的评价结果分为五类(表 3),以便了解我国各省市乡村振兴发展的综合水平。本文按照国家统计局的划分方式,将全国31省份分为中部、西部、东部和东北四个区域①,在此基础上对乡村振兴各个维度进行分析。
① 注:东部地区包括北京、天津、河北、上海、江苏、浙江、福建、山东、广东、海南10个省(市);中部地区包括山西、安徽、江西、河南、湖北、湖南6个省;西部地区包括内蒙古、广西、重庆、四川、贵州、云南、西藏、陕西、甘肃、青海、宁夏、新疆12个省、自治区、直辖市;东北地区包括辽宁、吉林、黑龙江3个省。
| 表 2 乡村振兴各维度得分情况 |
| 表 3 2020年乡村振兴综合水平自然断点法分类结果 |
2017—2020年各省份产业兴旺单项得分整体呈现上升趋势,说明大部分省份的产业基础得到了良好的发展。根据自然断点法的分类结果,2017年产业得分最低的地区共7个,2020年减少至5个。得分低和较低的区域基本集中在北部地区和中部地区。西部地区和大部分沿海地区的得分普遍在平均水平之上且西部地区的得分高于沿海地区。样本期内,东北三省的产业兴旺维度得分均上升了一个等级,可能得益于东北振兴战略的不断推进,东北各省产业发展迅速。
2020年全国产业兴旺的平均得分为0.290,是五个子系统中得分最低的系统,意味着中国农村产业的发展水平较低。得分高于均值的省份共有17个,其中东部地区有4个,西部地区有9个,中部地区有3个,东北地区有1个。由此可见,西部地区的农村产业发展相对较好。产业兴旺维度得分较高的地区可能是由于某一项或几项优势产业的快速发展而带动的得分上涨。如新疆、青海占地面积较大,耕地资源多,人均粮食产量较高,农业、畜牧业能得到很好的发展;云南等地旅游业发展已经比较成熟,游客数量增加带动了其他农村产业的发展;而广东、山东等东部地区临海,渔业发展占主导地位。得分最低的两个省份分别是山西(0.132)和天津(0.159),主要原因是两地的第一产业占比不高,农林牧渔业产值低,存在着农村产业不活跃的问题。
2. 生态宜居2017—2020年,生态宜居维度得分处于等级梯度末尾的省份由2个增长至6个,等级出现下降的省份主要集中在东北地区和中部地区。结合当年的单项得分来看,出现等级下降的原因并非因为得分下降明显,而是因为这些地区生态宜居得分在当年的相对排名有所退步,即使得分与之前相比有所增长,但增长之后的得分排名相对于其他省份而言还是偏低的。如吉林,2017年该项得分为0.132,是当年全国生态宜居得分最低的省份,虽然2020年得分上涨至0.257,但排名却没有发生变化,仍然是2020年排名最后的省份;黑龙江由2017年的0.305增长至2020年的0.345,排名却从2017年的23名跌至2020年的26名。发展较好的地区主要分布于东部地区,包括北京、江苏、上海和浙江等地。此类地区气候宜人,物产丰富,经济优势巨大,充分利用其经济优势改善了农村居民的生活环境,同时还加强了生态保护的力度,因此评分较高。生态宜居维度与产业兴旺维度的排名得分情况相反,产业兴旺得分排名靠前的地区生态宜居得分排名大部分偏低,其原因可能是农村产业的快速发展影响了居民的生活环境。而新疆无论是产业兴旺还是生态宜居得分排名均比较靠前,说明新疆地区在产业与生态关系上处理较好,二者之间达到了良性的动态平衡,产业的发展没有造成对生态环境的破坏。
2020年全国生态宜居的平均得分为0.449,在五个子系统中得分最高,说明我国乡村整体生态环境得到了很大的改善,生态宜居维度的发展前景可观。但该项得分最低的吉林(0.257)与得分最高的北京(0.787)差值高达0.53,区域差距非常明显,这表明我国省域之间生态宜居的发展极不平衡。因此,缩小生态宜居的区域差异,促进各省协调发展应是未来工作的主要任务。
3. 乡风文明从分值来看,2020年我国31省市乡风文明单项的最高得分与2017年相比略微下降,但最低得分却有小幅提升。表明原来得分较低的地区乡风文明得到了一定程度的改善,农民的文化素质正在缓慢提升,而得分较高的省份乡风文明建设有所懈怠,没有进一步加强。乡风文明得分最高的前两位分别是上海和四川,得分最低的是西藏,所处的等级并未发生明显变化。2017—2020年,得分较低的梯队由5省市减少为2省市,分别是青海和重庆。该维度中得分在均值附近的省份居多,与自然断点法的分类结果基本一致,表明乡风文明处于中等水平的省份较多,中间梯队的区域差异不大,全国各省的发展还比较均衡,地区间的差距正在不断缩小。
2020年全国乡风文明的平均得分为0.295,低于均值的省份共有18个,占所有省份的58.06%,其中西藏的乡风文明得分最低,仅为0.127,是唯一一个得分低于0.2的省份,与前一名青海的得分差值为0.087。结合西藏在乡村振兴其他子系统的表现来看,乡风文明是西藏乡村振兴的薄弱环节,应大力发展教育事业,提高农村居民文化程度,营造良好的人文环境。
4. 治理有效在治理有效维度中,西部地区平均得分最高,中部地区次之,东部地区再次,东北地区最低。2017—2020年,内蒙古、山西和河北三省乡村治理的评价结果始终位居全国前列,排名相对稳定。而该维度的得分评价结果中绝大多数省份都在退步,得分出现下降的省份共24个,占比77.42%。其中,四川的退步尤其明显,得分由2017年的0.587下降到2020年的0.232,降幅高达60.5%。其次是贵州,得分由0.609下降至0.374,降幅为38.59%。其余西部地区中除宁夏得分保持不变以外,均出现治理有效得分下降的现象。全国所有省份中得分增加的省份只有天津、黑龙江、上海、江苏、安徽和河南,考察期内得分提升较大的地区是上海,分数由0.084增长至0.219,虽然上升幅度明显,但在当年的得分排名中仍然是最后一名。这意味着相比以前上海更加重视乡村治理,加大了乡村治理的力度,但可能其面临的乡村治理问题比较严重,短期内治理效果不明显,存在一定的滞后性。其余地区治理有效得分涨幅甚微,增长后的数值也偏低。
2020年全国治理有效的平均得分为0.311,高于平均值的省份只有11个,占比略高于1/3。其中西部地区有6个,且该年得分位于全国前三名的省份均在西部,依次是内蒙古(0.481)、西藏(0.446)和甘肃(0.428)。说明目前我国西部地区的治理能力和治理水平与其余省份相比较高,但总体上我国治理有效的水平不高,乡村治理仍然是乡村振兴战略实施中的短板,治理能力及治理的有效性亟待提升。
5. 生活富裕生活富裕程度与各省经济发展密切相关。2017—2020年间,生活富裕维度呈现东高西低的空间分布格局,得分位于全国前列的省份没有明显的变化,仍然是以北京、天津、上海和江苏为代表的东部地区。该类地区经济发达,就业机会较多,居民的收入和消费水平较高,经济条件好,相对于其他省份而言生活更加富裕。相较其他维度,该维度中得分低的省份较多,2017年得分低于0.2的省份共4个,都位于我国西部,分别是广西(0.188)、云南(0.168)、甘肃(0.164)和西藏(0.066),说明我国农村居民生活富裕程度的省域差距很大,西部地区生活质量远不及东部地区。经过四年的发展,这四个地区的得分均有不同程度的提高,但2020年甘肃的得分为0.182,仍在0.2以下,位居全国末尾,与第一名北京(0.642)得分相差三倍多。甘肃在以后的发展中应充分响应国家政策,结合自身优势,发展农村产业,努力提高农村居民收入水平。
自然断点法分类结果显示,2017—2020年处于中等水平以下的地区由14个减少至8个,大量中部地区以及部分西部地区的生活富裕等级有了明显的提升,各等级的评价得分有较大幅度的上涨。全国生活富裕维度的平均分也由2017年的0.282上升至2020年的0.344,意味着农村居民的生活水平有了很大程度的提高。
6. 乡村振兴由表 4可知,与2017年相比,全国大部分省市的乡村振兴综合得分得到了很大的提升,说明整体上全国的乡村振兴水平处于上升阶段。退步省份中的四川、贵州,虽然四年来的排名一直比较靠前,但其综合得分却连年减少,结合乡村振兴各维度得分情况来看,二省得分降低主要是治理有效和乡风文明两项,需要引起足够的重视,加强乡村的治理和文化建设。北京、河北、内蒙古、上海、江苏、浙江的乡村振兴水平始终保持在全国前几位,意味着这些省份在乡村振兴各维度的排名都比较靠前,短板少,因而乡村振兴总体水平较高。
| 表 4 乡村振兴总得分及评价结果 |
2020年,我国乡村振兴发展水平呈现“东高西低”的空间分布特征,且东部地区各省份之间乡村振兴的发展差距较大。其中,沿海地区的乡村振兴综合水平得分较高,说明沿海地区的乡村振兴实施成效较好。此类地区具有天然的地理优势,物产丰富、气候宜人、环境优美,且就业机会较多、薪资水平较高,现代化水平也位于全国前列,能吸引大量的人才和投资,发展空间和潜力巨大。处于中等水平以下的地区有11个,占比接近1/3,说明在整体上我国乡村振兴水平偏低,地区间的差异仍较明显。西部地区的乡村振兴水平较为平均,大部分省份处于中间位置。该类地区的自然资源丰富,利于农业的发展。但其他资源相对匮乏,人才流失较为严重。中部地区的人口数量众多,城镇化水平较低,农村基础设施建设比较落后,因此乡村振兴水平不高。
2020年全国乡村振兴水平平均得分为0.282,分数较低,且四年得分范围在0.271—0.281之间波动,说明我国乡村振兴的总体水平仍然不高,还需不断加强和提升。2020年乡村振兴得分低于均值的省份共13个,分别是吉林(0.214)、安徽(0.228)、辽宁(0.231)、江西(0.236)、宁夏(0.239)、湖北(0.239)、重庆(0.240)、广西(0.240)、青海(0.255)、陕西(0.256)、河南(0.267)、甘肃(0.270)和云南(0.271),其中中部地区有4个,西部地区有7个,东北地区有2个。由此可知,乡村振兴发展水平低于平均值的省份主要集中于西部地区。此类地区一方面可能是因为某一子系统存在明显的短板,得分较低而导致整体得分不高;另一方面可能是因为各维度的得分排名均靠后,因此整体水平也不高。2020年乡村振兴总得分高于均值的省份共18个,占全国省份的58.06%,包括东部地区10个,中部地区2个,西部地区5个,东北地区1个。此类地区得分高于均值的主导因素不尽相同,北京、上海、浙江和江苏主要是因为生态宜居、乡风文明和生活富裕得分位居全国前列,内蒙古和西藏则是治理有效维度得分排名比较突出,海南、贵州和湖南受产业兴旺的影响较大。
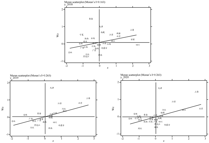
(三) 乡村振兴水平的空间分布特征为探索乡村振兴发展水平综合得分的空间聚集特征,研究计算了2017—2020年全国乡村振兴水平的全局莫兰指数。由表 5可知,2017—2019年全局莫兰指数均大于0,且在逐渐上升,除2017年外均通过了5%的显著性检验。这表明乡村振兴水平的评价得分在空间上存在正相关性,乡村振兴发展水平相似的省份在空间上的分布较为集中,即具有相似乡村振兴综合得分的省份在地理位置上较为接近,空间分布相邻的省份之间存在着显著的影响。同时,全局莫兰指数总体上较低,表明各省份之间乡村振兴得分的空间自相关性不高。从莫兰指数的变化趋势来看,莫兰指数从2018年的0.163增加到2020年的0.263,说明各地区乡村振兴水平的空间自相关性有所上升,空间差异正在不断缩小。为了分析局部乡村振兴发展水平的变化情况,使用局部莫兰指数做进一步分析。
| 表 5 莫兰指数 |
利用stata 16.0软件的局部莫兰指数分析技术,选取2018年至2020年的数据绘制莫兰散点图。如图 2,三年间各省份的分布特征由分散向聚集变化,且在2020年大部分省份落在了第一象限(H-H高-高聚集区)和第三象限(L-L低-低聚集区),即乡村振兴发展水平较高的省份同样被乡村振兴发展水平较高的省份围绕,发展水平较低的省份周围也都是发展水平较低的省份,这说明乡村振兴的发展水平在空间上也具有聚集特征,分布集中。样本期内,大部分省份所处的象限具有明显的变化,说明我国乡村振兴的发展还没有形成稳定的空间格局,各省份对于乡村振兴战略的实施还在不断尝试和变化中。此外,H-H高-高聚集类型的省份主要是东部地区,L-L低-低聚集类型和L-H低-高聚集类型的省份则以西部地区为主,说明我国乡村振兴的发展水平在空间分布上还不均衡,东部地区发展较好而西部地区发展欠佳。
|
图 2 乡村振兴水平的莫兰散点图 |
研究结合乡村振兴的内涵,从产业兴旺、生态宜居、乡风文明、治理有效和生活富裕五个维度构建全国乡村振兴发展水平的评价指标体系,运用熵权TOPSIS法以及莫兰指数对我国31省份2017—2020年乡村振兴发展水平以及变化趋势进行了分析,主要结论如下:
第一,乡村振兴整体水平在研究期内呈现增长态势,乡村振兴综合得分有所上升,但水平较低。乡村振兴综合水平靠前的省份以东部地区为主,如北京、上海、江苏、浙江等,靠后的省份主要集中于中西部地区,区域差异明显。
第二,就乡村振兴的各维度而言,乡村振兴的各个子系统发展不平衡,子系统的发展水平存在差异。2017—2020年,产业兴旺、生态宜居和生活富裕三系统得分均有不同程度的上升,且2018年以后的上升幅度最为明显,政策成效显著。产业兴旺维度上,以贵州、青海、新疆为代表的西部地区表现较好,甚至超越东部沿海地区,但2020年产业兴旺得分是五个子系统中最低的,与其他系统的发展速度相比较为缓慢。生态宜居和生活富裕维度上,东部地区表现最佳而西部地区较差,区域差异较大。治理有效和乡风文明两项得分有所下降,退步明显,且得分低于均值的省份占多数,仍是乡村振兴的薄弱环节。其中,治理有效单项得分大体上呈现西部>中部>东部>东北的格局,乡风文明单项得分处于中等水平的省份最多,各省乡风文明情况差距不大。
第三,乡村振兴发展水平具有明显的空间聚集特征,乡村振兴发展水平相似的省份在空间上的分布较为集中,具有相似乡村振兴综合得分的省份在地理位置上较为接近。乡村振兴水平在空间上分布不均衡,区域差异明显,东部地区发展较好而西部地区发展欠佳,呈现东高西低的分布特征。但乡村振兴的发展水平还未形成稳定的空间格局,区域差异正在不断缩小。
(二) 建议第一,加大乡村振兴实施监管力度,保证乡村发展成效。乡村振兴战略作为一项公共政策,在实施过程中由于信息不对称、有限理性和既得利益偏好等原因可能会被曲解、滥用而无法达到预期目标,难以保证目标的生成与显现[32]。要保证乡村振兴发展成效,就要以更大力度推动乡村振兴,并对实施过程加以约束和监督。首先,要确保资金投入与乡村振兴目标任务相适应。加大并落实乡村振兴专项资金投入,并适当向“三农”倾斜,坚持把农业农村作为一般公共预算优先保障领域。其次,在各级党组织领导下健全全面覆盖、权威高效的监督体系,加强对乡村振兴工作和资金使用的监督管理,通过纪委、群众等多种监督方式为乡村振兴工作提供强有力的纪律保障。再次,正确理解乡村振兴的内涵,因地制宜,实施有差别的乡村振兴战略。虽然东部地区乡村振兴综合水平较高,但治理有效是短板,应把未来的工作重心放在乡村治理上,强化组织保障,抓好基层治理,以组织振兴助力乡村振兴。西部地区的工作重点在于发展优势产业,提高经济水平,改善生态环境。最后,发挥群众主体作用,凸显农民主体地位。实现乡村振兴要抓住“人”这个关键要素,充分尊重农民意愿,维护农民切身利益,让农民在乡村事务上获得更多的话语权,从而调动广大农民的积极性,激发乡村振兴的内生动力。
第二,加强乡村振兴精神文明建设,完善乡村治理体系。精神文明建设包括治理有效和乡风文明[28],是我国乡村振兴的薄弱环节。治理有效是善治的核心,有助于形成良好的社会风尚,乡风文明建设能为乡村治理提供动力和保障,有利于良好社会秩序的形成[33],二者相辅相成。一方面,要完善三治融合的乡村治理体系,提升乡村治理水平。尤其要发挥德治的教化作用,提高人民道德水准,通过各类表彰活动树立优秀典型,发挥榜样作用,引导村民自觉向善。另一方面,应深入开展社会主义核心价值观宣传教育,使社会主义核心价值观的内涵深入人心。同时要健全现代公共文化服务体系,如修缮乡镇文化馆和图书馆,为村民提供文化服务,满足村民的精神文化需求。建立村民文化活动中心,组织开展各类文化活动,增强中华文明传播力影响力。如放映红色影片、公益电影,弘扬优秀传统文化,推进文化自信自强。
第三,大力发展乡村特色优势产业,促进乡村产业兴旺。全面推进乡村振兴,应坚持农村农业优先发展,扎实推动乡村产业振兴。研究表明,我国产业兴旺系统相较于其他子系统发展缓慢,对乡村振兴的带动作用不突出。产业兴旺是乡村振兴的重点环节,是解决农村问题的前提。首先,要以市场为主导,准确把握市场需求,捕捉市场机遇,从需求的角度发展农村产业。同时,做好产品营销与推广,拓展线上线下销售渠道,提高产品知名度,打造特色产品品牌。其次,推动产业融合发展。结合农村生态环境与资源,打造亲子农场、果蔬采摘园、采茶体验馆等娱乐休闲项目,满足城市群体的需求,以农业带动乡村旅游业、服务业等其他产业的发展,实现三产融合。尤其是贵州、新疆、青海等农村产业发展相对较好的西部地区,更应利用自身优势,扩大产业规模,完善产业配套服务链,将产业优势转化为经济优势,增加农民收入,再利用经济优势改善农村生态环境,提升环境基础设施建设水平,促进生态振兴,提升乡村振兴的整体水平。最后,利用互联网信息技术,对农业生产过程进行全方位的监测,创造绿色农业生产体系和生态系统,实现农业现代化。
第四,加大乡村振兴政策倾斜力度,缩小乡村发展差异。地区之间的区位条件、资源禀赋差异以及发展的不平衡、不充分是影响我国高质量发展、实现共同富裕的制约因素[34]。我国西部地区面临着经济发展落后、人才缺乏、农业产业化层级偏低等问题,需要加大对西部地区的政策倾斜力度,将各类公共资源向此类地区倾斜,促进全国乡村振兴水平均衡协调发展。首先,东西部地区应建立长期的协作关系及对口帮扶机制,对欠发达地区实施重点帮扶策略。其次,要保证人才的数量、质量和结构满足乡村振兴的需要。人才振兴是乡村振兴的关键因素,应通过政策及资金支持吸引高校涉农专业毕业生到乡村就业创业,改善农村人才匮乏的现状,并构建相应的柔性引才机制[35]、人才激励机制,将引进来的人才留下来[36]。最后,西部地区自身也应抓住西部大开发及“一带一路”发展契机,努力增强自身的经济实力,为推进乡村振兴和实现共同富裕奠定基础。
| [1] |
习近平. 高举中国特色社会主义伟大旗帜为全面建设社会主义现代化国家而团结奋斗[N]. 人民日报, 2022-10-26(01).
|
| [2] |
中国经济网. 最艰巨任务在农村[EB/OL]. (2022-08-05)[2022-10-29]. https://baijiahao.baidu.com/s?id=1740272220750213858&wfr=spider&for=pc.
|
| [3] |
中共中央国务院关于做好2022年全面推进乡村振兴重点工作的意见[EB/OL]. (2022-02-22)[2022-07-13]. http://www.gov.cn/zhengce/2022-02/22/content_5675035.htm.
|
| [4] |
廖彩荣, 陈美球. 乡村振兴战略的理论逻辑、科学内涵与实现路径[J]. 农林经济管理学报, 2017(6): 795-802. DOI:10.16195/j.cnki.cn36-1328/f.2017.06.14 |
| [5] |
文丰安. 新时代城乡共同富裕融合发展论——基于对党的二十大精神的学习与研究[J]. 重庆大学学报(社会科学版), 2022(6): 272-285. |
| [6] |
叶兴庆. 新时代中国乡村振兴战略论纲[J]. 改革, 2018(1): 65-73. |
| [7] |
黄祖辉. 准确把握中国乡村振兴战略[J]. 中国农村经济, 2018(4): 2-12. |
| [8] |
何仁伟. 城乡融合与乡村振兴: 理论探讨、机理阐释与实现路径[J]. 地理研究, 2018(11): 2127-2140. |
| [9] |
唐任伍. 新时代乡村振兴战略的实施路径及策略[J]. 人民论坛·学术前沿, 2018(3): 26-33. |
| [10] |
刘合光. 乡村振兴的战略关键点及其路径[J]. 中国国情国力, 2017(12): 35-37. |
| [11] |
张海鹏, 郜亮亮, 闫坤. 乡村振兴战略思想的理论渊源、主要创新和实现路径[J]. 中国农村经济, 2018(11): 2-16. |
| [12] |
汪三贵, 冯紫曦. 脱贫攻坚与乡村振兴有机衔接: 逻辑关系、内涵与重点内容[J]. 南京农业大学学报(社会科学版), 2019(5): 8-14, 154. |
| [13] |
高强. 脱贫攻坚与乡村振兴有机衔接的逻辑关系及政策安排[J]. 南京农业大学学报(社会科学版), 2019(5): 15-23, 154-155. |
| [14] |
涂圣伟. 脱贫攻坚与乡村振兴有机衔接: 目标导向、重点领域与关键举措[J]. 中国农村经济, 2020(8): 2-12. |
| [15] |
李志龙. 乡村振兴-乡村旅游系统耦合机制与协调发展研究[J]. 地理研究, 2019(3): 643-654. |
| [16] |
徐维祥, 李露, 周建平, 等. 乡村振兴与新型城镇化耦合协调的动态演进及其驱动机制[J]. 自然资源学报, 2020(9): 2044-2062. |
| [17] |
李梦娜. 新型城镇化与乡村振兴的战略耦合机制研究[J]. 当代经济管理, 2019(5): 10-15. |
| [18] |
陈国生, 丁翠翠, 郭庆然. 基于熵值赋权法的新型工业化、新型城镇化与乡村振兴水平关系实证研究[J]. 湖南社会科学, 2018(6): 114-124. |
| [19] |
丁翠翠, 杨凤娟, 郭庆然, 等. 新型工业化、新型城镇化与乡村振兴水平耦合协调发展研究[J]. 统计与决策, 2020(2): 71-75. |
| [20] |
姚旭兵, 邓晓霞, 罗光强. 农村人力资本是否促进了乡村振兴?——基于双重异质性视角[J]. 西南民族大学学报(人文社会科学版), 2022(6): 136-149. |
| [21] |
陈亚军. 数字普惠金融促进乡村振兴发展的作用机制研究[J]. 现代经济探讨, 2022(6): 121-132. |
| [22] |
庞凌霄. 数字普惠金融、农村减贫与乡村振兴[J]. 统计与决策, 2022(10): 57-62. |
| [23] |
田霖, 张园园, 张仕杰. 数字普惠金融对乡村振兴的动态影响研究——基于系统GMM及门槛效应的检验[J]. 重庆大学学报(社会科学版), 2022(3): 25-38. |
| [24] |
何雷华, 王凤, 王长明. 数字经济如何驱动中国乡村振兴?[J]. 经济问题探索, 2022(4): 1-18. |
| [25] |
杨胜强, 廖和平, 刘洛甫, 朱琳, 李东麟, 蔡智聪. 重庆市县域乡村振兴水平评价及发展路径研究[J]. 西南大学学报(自然科学版), 2022(5): 13-22. |
| [26] |
徐雪, 王永瑜. 中国乡村振兴水平测度、区域差异分解及动态演进[J]. 数量经济技术经济研究, 2022(5): 64-83. |
| [27] |
杜国明, 薛濡壕, 王介勇. 村域尺度乡村振兴评价及推进路径[J]. 经济地理, 2021(8): 19-27. |
| [28] |
张挺, 李闽榕, 徐艳梅. 乡村振兴评价指标体系构建与实证研究[J]. 管理世界, 2018(8): 99-105. |
| [29] |
闫周府, 吴方卫. 从二元分割走向融合发展——乡村振兴评价指标体系研究[J]. 经济学家, 2019(6): 90-103. |
| [30] |
张雪, 周密, 黄利, 赵晓琳. 乡村振兴战略实施现状的评价及路径优化——基于辽宁省调研数据[J]. 农业经济问题, 2020(2): 97-106. |
| [31] |
韦家华, 连漪. 乡村振兴评价指标体系研究[J]. 价格理论与实践, 2018(9): 82-85. |
| [32] |
李晓冬, 马元驹. 乡村振兴政策落实跟踪审计四维审计模式构建——以公共政策评估标准为视角[J]. 经济与管理研究, 2022(3): 99-113. |
| [33] |
徐学庆. 乡村振兴战略背景下乡风文明建设的意义及其路径[J]. 中州学刊, 2018(9): 71-76. |
| [34] |
翟坤周. 共同富裕导向下乡村振兴的东西部协作机制重构——基于四个典型县域协作治理模式的实践考察[J]. 求实, 2022(5): 77-95+112. |
| [35] |
李志, 曹雨欣. 我国西部地区柔性引才困境及路向研究[J]. 重庆大学学报(社会科学版), 2022(3): 14-2. |
| [36] |
文丰安. 乡村振兴战略背景下我国农业现代化治理的重要性及推动进路[J]. 重庆大学学报(社会科学版), 2022(1): 43-53. |
2023, Vol. 29

