1b. 重庆工商大学 管理科学与工程学院, 重庆 400067;
2. 长江师范学院 财经学院, 重庆 408100;
3. 重庆大学 经济与工商管理学院, 重庆 400044
1b. School of Management Science and Engineering, Chongqing Technology and Business University, Chongqing 400067, P. R. China;
2. School of Finance and Economics, Yangtze Normal University, Chongqing 408100, P. R. China;
3. School of Economics and Business Administration, Chongqing University, Chongqing 400044, P. R. China
长江经济带是新时期我国重大战略发展区域,是我国经济社会发展的重要引擎。区域物流竞争力作为衡量特定区域争夺物流资源、吸引物流发展要素以及获取增长动力的重要指标,对区域经济的发展具有重要的催化作用。因此,全面提升长江经济带物流竞争力是长江经济带战略实现的重要保证。然而,由于长江经济带横跨我国东、中、西三大地带,是典型的空间异质区。区域内各省市基础设施、资源禀赋、经济发展、技术水平等存在显著差异,物流竞争力水平极度不均衡。随着长江经济带区域经济一体化的加速,由这种不均衡所引发的区域物流运行效率低、服务能力弱、转型升级困难等负面效应愈加明显,严重阻碍了长江经济带物流竞争力的全面提升。因此,科学测度长江经济带物流竞争力,全面认识物流竞争力的空间格局演化,深入揭示其影响因素及空间溢出效应,对于探寻长江经济带物流竞争力的提升路径,促进经济社会的协同发展具有重要意义。
目前,学术界关于物流竞争力的相关研究主要集中在三个方面:一是物流竞争力的评价研究;二是物流竞争力的空间演化研究;三是物流竞争力的影响因素研究。下面分别从这三个方面进行文献综述。(1)有关物流竞争力评价的研究,国内外学者主要从城市、省际、国家、国际等层面展开。例如,谭观音和左泽平通过构建城市物流竞争力评价指标体系,采用聚类分析和因子分析法对海峡两岸10个典型城市的物流竞争力进行评价[1];Özceylan等提出了一种基于GIS的多准则决策方法,来评价土耳其81个省的物流竞争力水平[2];谢泗薪和侯蒙从核心、关键、基础三个层面构建了物流业竞争力评价指标体系,提出了我国物流发展的创新模式和策略[3];Ozmen采用改进的TODIM方法,从运输量和性能两个维度对25个经合组织国家的物流竞争力进行了评价[4]。(2)有关物流竞争力空间演化的研究,学者们主要围绕着核心城市与核心区域展开。例如,Heitz和Dablanc指出巴黎物流竞争力在空间分布上呈现出由城市核心到远郊地区的演变特征[5];Zou等对四川省18个城市的物流竞争力进行了空间结构演变分析,研究表明各城市物流竞争力呈现出“一中心、两极、多节点”的空间格局[6];刘瑞娟等分析了新丝绸之路经济带物流竞争力的空间格局演化,研究表明物流竞争力的空间集聚趋势明显,各类集聚区均存在显著的空间溢出效应[7];俞佳立等研究了我国物流产业内在竞争力的时空差异特征,发现我国物流内在竞争力具有显著的空间正相关关系,随时间变化呈现出空间趋同性[8]。(3)有关物流竞争力影响因素的研究,现有文献主要集中在信息化程度、经济发展、标准化、产业结构等方面。例如,Muhammad等认为良好的通讯设备和信息技术是马来西亚物流产业竞争力提升的关键因素[9];Huang等通过对全球26个经济热点地区进行实证分析,研究表明区域经济的增长能够有效地促进物流竞争力的提升[10];张宝友和朱卫平运用多元回归模型,实证发现标准化对我国物流业国际竞争力产生正向影响[11];唐建荣和汪肖肖通过构建固定效应回归模型,发现我国东部地区物流竞争力水平主要受产业结构、科技、物质资本要素的影响[12]。综上所述,国内外关于物流竞争力的研究成果较为丰富,但还存在以下不足:一方面,现有研究虽然从不同视角对物流竞争力的评价指标体系进行了设计,但目前基于“钻石模型”构建物流竞争力评价指标体系的研究还比较少,而“钻石模型”对于分析一个国家或地区某种产业竞争力具有普适性,在理论上得到了学术界的广泛认可,是研究物流产业竞争力比较合适的模型。另一方面,在物流竞争力空间演化的研究中,大多数文献仅关注了物流竞争力的时空变化特征,并未进一步对影响物流竞争力空间差异的因素进行探讨。此外,关于物流竞争力影响因素的研究大多基于传统计量回归模型进行分析,忽略了区域之间的空间溢出效应,从而导致估计结果有所偏差。
鉴于此,本文基于“钻石模型”,构建长江经济带物流竞争力评价指标体系,运用熵权TOPSIS法对2006—2018年长江经济带各省市物流竞争力进行综合评价,在此基础上采用探索性空间数据分析方法对区域内各省市物流竞争力的空间演化特征进行探讨,并构建空间计量模型对各省市物流竞争力的影响因素及其空间溢出效应进行实证研究,以期为长江经济带物流产业的协同发展提供决策依据。
一、指标体系构建与数据来源 (一) 指标体系构建战略管理学家迈克尔·波特提出的“钻石模型”常常被作为研究产业竞争力的理论基础。波特认为一个国家或地区某种产业能否具有国际竞争优势主要取决于生产要素、需求条件、相关及支持产业以及企业战略、结构和同业竞争四个关键因素,它们相互影响,形成双向强化的“钻石体系”。此外,还存在机会和政府两个辅助因素,对上述四个关键因素产生影响[13]。
本研究以“钻石模型”为理论依托,从生产要素、需求条件、相关及支持产业以及企业战略、结构和同业竞争这四个主要方面,结合物流产业的特点,并根据指标选取的科学性、系统性、代表性、可操作性等原则,以构建长江经济带物流竞争力的评价指标体系(见表 1)。
| 表 1 长江经济带物流竞争力评价指标体系 |
“钻石模型”把生产要素分为初级生产要素和高级生产要素,涵盖人力资源、资本资源、天然资源、知识资源、基础设施等多个变量。结合长江经济带物流产业发展特征,本文主要从人力资源、资本资源以及基础设施这3个最核心要素进行考虑。基于数据的可获得性,人力资源用物流业就业人员数来表示,资本资源用物流业固定资产投资来衡量,基础设施用物流网络里程来表示。
2. 需求条件“钻石模型”指出需求条件主要指本国市场的需求,强调内需市场是产业发展的动力。已有文献表明,货运量、人均GDP和社会消费品零售总额对物流产业的市场需求有显著影响[14-15]。其中,货运量在一定程度上可以反映出社会对物流产业的需求规模;人均GDP能够反映一国的购买力水平,从而影响物流需求;社会消费品零售总额综合反映了国内的消费能力,影响着物流配送量的大小及趋势。因此,选取货运量、人均GDP和社会消费品零售总额这3个指标来衡量物流产业的国内需求状况。
3. 相关及支持产业“钻石模型”强调相关及支持产业对形成国家竞争优势具有重要作用,并指出任何优势产业并非单独存在,只有形成“产业集群”,上下游产业进行良性互动,才能使产业保持竞争优势。物流业是一种生产性服务业,能够为第一、二、三产业的实物生产和服务生产提供服务,而第三产业中的批发和零售业对物流的需求较大。因此,采用第一产业增加值、第二产业增加值、批发和零售业增加值来衡量相关及支持产业对物流竞争力的影响。
4. 企业战略、结构和同业竞争根据“钻石模型”理论,企业设立良好的发展目标、战略以及组织结构是产业成功的前提,同时,强有力的国内竞争对手能够刺激企业进行改进和创新,进而强化国际竞争优势。参考陈虹和章国荣[16]的研究,采用对外开放度来衡量企业战略,对外开放度用货物进出口总额占GDP的比重来表示。选取物流业增加值占GDP比重、物流企业数量来分别衡量竞争结构和同业竞争强度。
(二) 数据来源“十一五”规划中明确提出了“大力发展现代物流业”的战略部署,标志着我国现代物流业由此进入加速发展阶段。本文以长江经济带11个省市为研究对象,选取2006—2018年作为研究区间,考察“十一五”规划以来长江经济带各省市物流竞争力的空间演化及溢出效应。目前我国制定的国家标准《国民经济行业分类与代码》中并未单列出物流产业,而传统的交通运输、仓储和邮政业增加值占物流产业增加值的比重超过了80%,因此,采用交通运输、仓储和邮政业的统计数据来代表物流产业数据。基于表 1指标体系,本文对不能直接获取的指标数据进行处理。其中,物流业固定资产投资指标按照永续盘存法进行核算,基本公式为:
熵权TOPSIS法的基本原理是利用熵权法确定各评价指标的权重,再通过TOPSIS法对评价对象与其理想化目标的相对距离进行优劣排序[21],具有客观性强、计算简便、结果合理等优势。因此,本文采用熵权TOPSIS法对长江经济带各省市物流竞争力进行测度与评价,其主要计算步骤如下。
第一步,假设被评价对象有m个,且每个被评价对象存在n个评价指标,从而构建初始判断矩阵:
| $ \boldsymbol{X}=\left(x_{i j}\right)_{m \times n}(i=1, 2, \cdots, m ; j=1, 2, \cdots, n) $ | (1) |
第二步,为了消除量纲影响,对判断矩阵进行标准化处理:
| $ r_{i j}=\frac{x_{i j}}{\sqrt{\sum\limits_{i=1}^m x_{i j}^2}} $ | (2) |
第三步,计算各指标的信息熵Ej:
| $ E_j=-k \sum\limits_{i=1}^m y_{i j} \ln y_{i j} $ | (3) |
其中,
第四步,测算各指标的权重wj:
| $ w_j=\frac{1-E_j}{\sum\limits_{j=1}^n\left(1-E_j\right)} $ | (4) |
其中,
第五步,计算加权矩阵Z:
| $ \boldsymbol{Z}=\left(z_{i j}\right)_{m \times n} $ | (5) |
其中,
第六步,确定正理想解sj+和负理想解sj-:
| $ \mathrm{s}_j^{+}=\max \left(z_{1 j}, z_{2 j}, \cdots, z_{n j}\right) $ | (6) |
| $ \mathrm{s}_j^{-}=\min \left(z_{1 j}, z_{2 j}, \cdots, z_{n j}\right) $ | (7) |
第七步,计算各评价对象与正理想解、负理想解的欧氏距离Di+、Di-:
| $ D_i^{+}=\sqrt{\sum\limits_{j=1}^n\left(s_j^{+}-z_{i j}\right)^2} $ | (8) |
| $ D_i^{-}=\sqrt{\sum\limits_{j=1}^n\left(s_j^{-}-z_{i j}\right)^2} $ | (9) |
第八步,计算各评价对象与最优解之间的相对接近度Ci:
| $ C_i=\frac{D_i^{-}}{D^i++D_i^{-}} $ | (10) |
其中,Ci∈[0, 1],Ci值越大表明省市i的物流竞争力水平越优。
(二) 探索性空间数据分析探索性空间数据分析(ESDA)是一种具有可视化技术与识别功能的空间数据分析方法,主要用于探测空间要素的关联程度,考察要素之间的集聚和分异现象,从而揭示观测对象在空间上的相互作用机制[22]。ESDA常用的分析方法包括全局空间自相关和局部空间自相关。
1. 全局空间自相关全局空间自相关用于描述观测变量在整个空间范围内的空间集聚特征,通常采用全局莫兰指数I进行测度,其计算公式如下:
| $ I=\frac{\sum\limits_{i=1}^n \sum\limits_{j=1}^n w_{i j}\left(x_i-\bar{x}\right)\left(x_j-\bar{x}\right)}{S^2 \sum\limits_{i=1}^n \sum\limits_{j=1}^n w_{i j}} $ | (11) |
式中:n为研究区域内单元数量;
局部空间自相关用于识别局部地区和周边地区之间的同一属性是否存在相似或相异集聚现象,能够反映局部空间的不稳定特征,从而揭示局部观测要素存在的空间异质性。在某个空间位置i上,局部莫兰指数I的计算公式为:
| $ I_i=\frac{\left(x_i-\bar{x}\right)}{S^2} \sum\limits_{j=1}^n w_{i j}\left(x_j-\bar{x}\right) $ | (12) |
式中,当Ii值为正时,表示区域i与其邻近区域之间形成高值和高值集聚、低值和低值集聚;当Ii值为负时,则表明区域i与其邻近区域之间形成高值和低值集聚。
(三) 空间计量模型Tobler提出了地理学第一定律,认为所有事物与其他事物之间都存在一定的关联关系,且较近的事物相对于较远的事物关联性更强[23]。在研究长江经济带物流竞争力时,忽略各省市之间的空间关联效应,以传统的计量回归方法进行分析会导致估计结果有所偏差。基于此,本文引入空间因素,运用空间计量模型对各省市物流竞争力的影响因素及空间溢出效应进行探讨。目前,空间计量模型依据空间交互效应的不同可分为空间滞后模型、空间误差模型以及空间杜宾模型[24]。其模型形式如下。
空间滞后模型(SLM)用以测度因变量之间的内生空间交互效应,模型形式为:
| $ \boldsymbol{y}=\rho \boldsymbol{W} \boldsymbol{y}+\boldsymbol{X} \beta+\varepsilon $ | (13) |
空间误差模型(SEM)主要反映误差项空间交互效应,模型形式为:
| $ \boldsymbol{y}=\boldsymbol{X} \beta+\mu $ | (14) |
| $ \mu=\lambda \boldsymbol{W} \mu+\varepsilon, \varepsilon \sim N\left(0, \sigma^2 I_n\right) $ | (15) |
空间杜宾模型(SDM)同时包含内生和外生空间交互效应,模型形式为:
| $ y=\rho \boldsymbol{W} \boldsymbol{y}+\boldsymbol{X} \beta+\boldsymbol{WX} \theta+\varepsilon $ | (16) |
式中,y为因变量向量,X为自变量向量,W为空间权重矩阵,β为自变量回归系数,ρ为因变量空间自回归系数,λ为误差项空间自相关系数,θ为自变量空间滞后回归系数,ε为随机误差项。
三、实证结果与分析 (一) 物流竞争力综合评价根据上述熵权TOPSIS法测算出2006—2018年长江经济带11个省市物流竞争力综合评价得分,结果见表 2所示。
| 表 2 2006—2018年长江经济带物流竞争力综合评价得分 |
由表 2可知,2006—2018年长江经济带各省市物流竞争力水平存在较大差异,由下游至上游地区呈梯度递减格局。从物流竞争力水平的均值来看,以上海、江苏、浙江为代表的长江下游地区物流竞争力水平相对较高,均超过了0.50,中游地区的安徽、江西、湖北、湖南位于0.09~0.20之间,而上游地区的贵州、云南处在较低水平,均在0.05以下。上述现象归因于下游地区位于长江水运和南北沿海航线“T型”发展战略的交汇地带,区位优势明显,经济发展及对外开放水平较高,拥有领先全国的外贸优势、港口货运和技术水平,因而物流竞争力水平相对较高。中游地区在“中部崛起”战略的实施中,通过承接东部地区的产业转移,扩大了物流需求,从而促进了物流竞争力水平持续提升。而上游地区作为后发区域,长期受地理位置、经济条件和基础设施建设的制约,因此物流竞争力水平相对较低。该地区应抓住“西部大开发”战略机遇,通过政策和资金等方面的倾斜,弥补当前物流业发展的短板。
(二) 物流竞争力空间格局演化分析为判断长江经济带物流竞争力是否存在空间相关性,本文运用ESDA常用的全局和局部空间自相关指数来进行检验,从而揭示长江经济带物流竞争力的空间演化特征。
1. 全局空间自相关分析运用GeoDa软件获得2006—2018年长江经济带11个省市物流竞争力的全局空间自相关系数,结果见表 3。
| 表 3 2006—2018年长江经济带物流竞争力全局空间自相关系数 |
从表 3可以看出,2006—2018年长江经济带11省市物流竞争力的全局Moran’s I均为正值,且通过了1%显著性水平的检验,表明长江经济带各省市物流竞争力存在明显的空间正相关性,即物流竞争力水平相似的省市呈现空间集聚特征。从全局Moran’s I值的变化趋势来看,2006—2018年间整体上呈现出波动性上升趋势,表明长江经济带各省市物流竞争力的空间集聚程度有所增强。
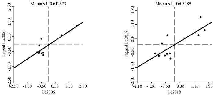
2. 局部空间自相关分析全局空间自相关仅是从整体上反映长江经济带物流竞争力的空间集聚特征,为进一步探索各个省市与其相邻省市之间物流竞争力的空间异质性,本文运用GeoDa软件,绘制出2006年和2018年长江经济带11个省市物流竞争力的Moran散点图(见图 1)来可视化反映这种局部空间相关性。Moran散点图可划分为四个象限,第一象限为“高—高”集聚区,第二象限是“低—高”集聚区,第三象限是“低—低”集聚区,第四象限为“高—低”集聚区。
|
图 1 2006年、2018年长江经济带物流竞争力Moran散点图 |
由图 1可知,长江经济带大部分省市分布在第一、三象限,表明长江经济带各省市与其相邻省市物流竞争力在空间上呈现出显著的高高集聚和低低集聚特征。2006年,落入“高—高”集聚区的省市有上海、江苏、浙江,占总数的27%,这些省市分布于长江经济带的下游地区,经济发展水平及沿海区位优势明显,物流竞争力均处于较高水平,成为长江经济带物流发展的核心区域,并对周边省市产生较强的扩散效应。落入“低—高”集聚区的省市为安徽,表明安徽的物流竞争力水平较低而周边省市的物流竞争力水平较高,呈现出显著的空间异质性。落入“低—低”集聚区的省市有江西、湖北、湖南、重庆、四川、贵州、云南,占总数的64%,主要分布在长江经济带的中上游地区,由于受地理位置、经济条件和基础设施建设等因素的制约,物流竞争力均处于较低水平,在空间分布上呈现出低值集聚态势。到2018年,Moran散点图的第二、三象限发生了变化,江西由“低—低”集聚区进入“低—高”集聚区,表明江西近年来物流竞争力提升的速度滞后于周边省市,与周边省市产生较大差距。该省需加强与周边省市的联系,借鉴其先进的技术、知识及管理经验等,提高物流竞争力水平,从而缩小与周边省市的空间差异。总体来看,长江经济带各省市物流竞争力具有显著的空间相关性,在空间分布上呈现出显著的“高—高”集聚和“低—低”集聚特征,下游省市高值集聚情况及上游省市低值集聚现象比较稳定,存在较强的路径依赖性。
(三) 物流竞争力空间溢出效应分析 1. 模型设定由前文空间演化分析可知,长江经济带物流竞争力存在明显的空间相关性,采用传统的计量回归模型会导致估计结果有所偏差,故本文引入空间因素,并依据Elhorst[25]的研究成果,将面板回归模型扩展到空间滞后模型、空间误差模型以及空间杜宾模型,以此来探讨长江经济带各省市物流竞争力的影响因素及其空间溢出效应。具体模型设定如下。
面板回归模型(PDM):
| $ \mathrm{LC}_{i, \mathrm{t}}=\beta_o+\beta_1 \mathrm{TI}_{i, \mathrm{t}}+\beta_2 \mathrm{FDI}_{i, \mathrm{t}}+\beta_3 \mathrm{INS}_{i, \mathrm{t}}+\beta_4 \mathrm{INFOR}_{i, \mathrm{t}}+\beta_5 \mathrm{GOV}_{i, \mathrm{t}}+\varepsilon_{i, \mathrm{t}} $ | (17) |
空间滞后模型(SLM):
| $ \mathrm{LC}_{i, \mathrm{t}}=\rho w_{i j} \mathrm{LC}_{j, \mathrm{t}}+\beta_1 \mathrm{TI}_{i, \mathrm{t}}+\beta_2 \mathrm{FDI}_{i, \mathrm{t}}+\beta_3 \mathrm{INS}_{i, \mathrm{t}}+\beta_4 \mathrm{INFOR}_{i, \mathrm{t}}+\beta_5 \mathrm{GOV}_{i, \mathrm{t}}+\varepsilon_{i, \mathrm{t}} $ | (18) |
空间误差模型(SEM):
| $ \mathrm{LC}_{i, \mathrm{t}}=\beta_1 \mathrm{TI}_{i, \mathrm{t}}+\beta_2 \mathrm{FDI}_{i, \mathrm{t}}+\beta_3 \mathrm{INS}_{i, \mathrm{t}}+\beta_4 \mathrm{INFOR}_{i, \mathrm{t}}+\beta_5 \mathrm{GOV}_{i, \mathrm{t}}+\mu_{i, \mathrm{t}} $ | (19) |
| $ \mu_{i, \mathrm{t}}=\lambda w_{i j} \quad \mu_{j, \mathrm{t}}+\varepsilon_{i, \mathrm{t}}, \varepsilon_{i, \mathrm{t}} \sim N\left(0, \delta^2 I_n\right) $ | (20) |
空间杜宾模型(SDM):
| $ \begin{aligned} \mathrm{LC}_{i, \mathrm{t}}= & \rho w_{i j} \mathrm{LC}_{j, \mathrm{t}}+\beta_1 \mathrm{TI}_{i, \mathrm{t}}+\beta_2 \mathrm{FDI}_{i, \mathrm{t}}+\beta_3 \mathrm{INS}_{i, \mathrm{t}}+\beta_4 \mathrm{INFOR}_{i, \mathrm{t}}+\beta_5 \mathrm{GOV}_{i, \mathrm{t}}+\theta_1 w_{i j} \mathrm{TI}_{j, \mathrm{t}}+ \\ & \theta_2 w_{i j} \mathrm{FDI}_{j, \mathrm{t}}+\theta_3 w_{i j} \mathrm{INS}_{j, \mathrm{t}}+\theta_4 w_{i j} \mathrm{INFOR}_{j, \mathrm{t}}+\theta_5 w_{i j} \mathrm{GOV}_{j, \mathrm{t}}+\varepsilon_{i, \mathrm{t}} \end{aligned} $ | (21) |
式中,LC为被解释变量,表示物流竞争力水平,TI代表技术创新,FDI表示外商直接投资,INS表示产业结构,INFOR表示信息化水平,GOV表示政府干预,β0为常数项,β1~β5分别为各个解释变量回归系数,wij为空间权重矩阵的元素,ρ为被解释变量空间自回归系数,λ为误差项空间自相关系数,θ1~θ5表示各个解释变量空间滞后回归系数,ε为随机误差项,i和j分别为第i个省市和第j个省市,t表示时间。
2. 变量选取与数据说明为了考察长江经济带物流竞争力的影响因素及其空间溢出效应,以上文熵权TOPSIS法测算所得的物流竞争力水平作为被解释变量,在参考已有文献基础上,选取技术创新、外商直接投资、产业结构、政府干预和信息化水平5个变量作为解释变量。
(1) 技术创新(TI)。一般认为技术创新有利于企业推广应用先进的物流技术和设备,通过提高物流效率以及物流服务质量,从而增加物流需求,促进物流竞争力的提升。选用国内专利申请受理量取对数后来代表技术创新水平。
(2) 外商直接投资(FDI)。外商直接投资一方面有利于东道国引进先进的物流技术和管理理念,并通过商品的跨区域流动产生技术溢出效应,从而提高物流竞争力。另一方面,FDI流入后,凭借其先天优势会抢占部分国内企业的市场份额,对国内投资产生一定程度的挤出效应[26]。因此,FDI对物流竞争力的影响方向并不确定。本文采用各省市实际利用外资额,根据当年人民币兑美元的平均汇率转换为人民币,再取对数衡量外商投资水平。
(3) 产业结构(INS)。目前我国正处于产业结构调整的关键阶段,这会带来物流需求的巨大变化,从而影响区域物流产业的竞争能力。工业品物流是社会物流总额的主要构成部分,因此,选取第二产业增加值占GDP的比重作为衡量产业结构的指标。
(4) 政府干预(GOV)。政府可以通过提供有效的物流业发展政策以及财政资金支持,完善物流基础设施,为物流业的发展创造良好的外部环境,从而提升物流竞争力。但同时,政府也可能因为不恰当的干预造成市场机制优化配置资源的作用不能充分发挥[27],在一定程度上阻碍物流竞争力的提高。本文以各省市财政一般预算支出占GDP比重来衡量政府干预程度。
(5) 信息化水平(INFOR)。随着信息通讯设施和技术的广泛使用,物流信息化为现代物流发展提供了重要保障,是影响区域物流竞争能力的重要因素。采用人均互联网宽带接入端口数来衡量信息化水平。
3. 模型估计结果及分析为了更准确地量化不同空间特征下长江经济带物流竞争力的影响因素,并体现模型优选上的科学性,本文对不含空间效应的面板回归模型(模型1)以及包含不同空间交互效应的空间滞后模型(模型2)、空间误差模型(模型3)、空间杜宾模型(模型4)进行比较,模型估计结果如表 4所示。
| 表 4 空间效应模型估计结果 |
表 4给出了模型(1)—(4)的估计结果,本文依据以下原则选择最优模型:根据赤池信息准则(AIC)和施瓦茨信息准则(BIC)选择解释力较高的模型,AIC值及BIC值越低,表明模型的解释力越高;依据对数似然函数值(Log-likelihood)以及R2统计量判断模型的拟合优度,Log-likelihood和R2统计值越高,说明模型的拟合度越高。参照上述优选方法,可知模型(4)为最优的空间计量模型,故本文采用模型(4)来分析长江经济带物流竞争力的影响因素及其空间溢出效应。
表 4结果显示,SDM模型的空间自回归系数(ρ)显著为正,表明长江经济带各省市物流竞争力存在显著的正向空间溢出效应,即相邻省市物流竞争力的提升会对本省市物流竞争力的提高产生积极影响。
从SDM模型的回归结果可以看出,技术创新(TI)对物流竞争力具有正向影响,且通过了1%水平的显著性检验,表明技术创新水平的提升不仅能够提高物流效率和物流服务质量,而且有利于增加物流需求,从而促进长江经济带物流竞争力的提升。外商直接投资(FDI)对物流竞争力具有显著的负向影响,可能的原因是FDI凭借其先进技术、管理经验、人才培养以及政策优惠等优势,抢占了长江经济带部分物流企业的市场份额,并加剧了区域内物流企业间的竞争压力。产业结构(INS)对物流竞争力的影响显著为正,说明产业结构的优化升级,尤其是第二产业比重提高,有利于物流竞争力的提升。究其原因,长江经济带工业经济发达,工业品物流是社会物流总额的主要构成部分,物流业主要依赖于工业的发展。随着长江经济带新型工业化的大力推进,对物流服务提出了新的要求,促使传统物流企业不断改进服务方式,整合物流资源,推动了物流竞争力的提升。政府干预(GOV)对物流竞争力的影响显著为负,表明政府对物流领域的干预程度越高,物流竞争力越低。这主要是源于长江经济带各省市政府为了追求区域利益最大化而实行地方保护主义,导致区域间市场分割,物流基础设施建设冗余,物流资源和要素流动性降低,在一定程度上削弱了物流竞争能力。信息化水平(INFOR)对物流竞争力具有显著的促进作用,表明信息化水平的提高,能够有效推动长江经济带物流运作模式的创新,有利于各省市间实现物流资源与信息的共享,通过提高物流服务质量和信息传递效率,降低交易成本,从而提升物流竞争力。
由于SDM模型包含自变量的空间滞后项,自变量对因变量的边际效应不能简单地用回归系数来表示,因此前文的估计系数还不够准确,仅在作用方向及显著性水平上是有效的[28]。Lesage和Pace提出偏微分方式可以弥补点估计法在解释空间效应方面产生的偏误,从而正确度量自变量对因变量产生的直接效应、间接效应(即空间溢出效应)和总效应[29]。其中,直接效应反映了本地区自变量变动对本地区物流竞争力的影响,间接效应反映出本地区自变量变动对邻近地区物流竞争力的影响,总效应则为直接效应与间接效之和。上述三种效应的估计结果见表 5。
| 表 5 长江经济带物流竞争力的直接效应、间接效应与总效应 |
从表 5可以看出,技术创新的直接效应和间接效应系数分别为0.029和-0.027,且均通过了显著性检验,表明技术创新有利于提升本地区的物流竞争力水平,但对邻近地区具有负向空间溢出效应。这可能是由于随着先进物流技术和设备的广泛应用,提高了物流效率和物流服务质量,增加了物流需求,从而有效提升了当地的物流竞争力水平。但由于长江经济带区域差异明显,各省市之间存在一定的竞争性,本地区技术进步会吸引邻近地区的人才、资本等要素流入,从而对邻近地区物流竞争力产生抑制作用。
外商直接投资的直接效应未通过显著性检验,间接效应系数为0.038,在1%水平下显著,表明外商直接投资对本地区物流竞争力未产生明显影响,但对邻近地区存在显著的正向空间溢出效应。可能的原因是FDI凭借其先天优势,抢占了长江经济带部分物流企业的市场份额,并对当地物流企业投资产生一定程度的挤出效应,从而导致本地区物流竞争力未能得到显著提升。但FDI的流入,促进了资本、技术等要素的跨区域流动,产生技术溢出效应,从而提升了相邻省市的物流竞争力水平。
产业结构的直接效应和间接效应均显著为正,系数分别为0.272和0.368,表明第二产业比重的提高不仅有利于本地区物流竞争力的提升,对邻近地区物流竞争力也具有促进作用。原因可能在于长江经济带工业经济发达,工业品物流是社会物流总额的主要构成部分,物流业主要依赖于工业的发展。随着长江经济带新型工业化的大力推进,带来了物流需求的巨大变化,促使当地物流企业不断改进服务方式,整合物流资源,提高物流服务质量,从而提升了本地区的物流竞争力。此外,由于相邻省市之间具有一定的产业关联性,本地区产业结构的优化会对邻近地区产生扩散效应,从而促进了相邻省市物流竞争力的提升。
政府干预的直接效应显著为负,间接效应未通过显著性检验,表明政府干预对本地区物流竞争力具有抑制作用,但对邻近地区未产生明显影响。可能的原因是:在中国式分权的行政体制下,长江经济带各省市政府为了追求区域利益最大化而实行地方保护主义,造成区域间市场分割,物流基础设施建设冗余,物流资源和要素流动性降低,阻碍了本地区物流竞争力的提升。此外,地方保护主义割裂了区域之间的经济联系,导致对相邻省市物流竞争力的影响有限。
信息化水平的直接效应和间接效应系数分别为0.284和-0.143,均通过了1%的显著性检验,表明信息化水平对本地区物流竞争力具有显著的促进作用,但对邻近地区具有抑制作用。这可能是由于随着信息通讯设施和技术的广泛使用,有效推动了长江经济带各省市物流运作模式的创新,提高了物流服务质量和信息传递效率,降低了交易成本,从而提升了当地的物流竞争力水平。但由于信息化发展所需的人才、资本、技术等要素在长江经济带各省市之间存在一定的竞争性,本地区信息化水平的快速发展会对邻近地区的要素产生“虹吸效应”,从而制约了相邻省市物流竞争力水平的提升。
4. 稳健性检验为验证上文研究结果的可靠性,借鉴师博和任保平[30]的做法,采用变换空间权重矩阵来进行稳健性检验。考虑到经济地理权重矩阵兼具经济和地理上的空间关联,故构建经济地理空间权重矩阵来展开检验,结果见表 6。结果显示SDM模型的拟合优度仍最优,各解释变量及空间滞后项的回归系数虽有所变化,但其系数方向和显著性与上文结果基本保持一致,表明本文的研究结果是稳健的。
| 表 6 稳健性检验结果 |
本文以“钻石模型”为理论依托,构建了长江经济带物流竞争力评价指标体系,运用熵权TOPSIS法对2006—2018年长江经济带各省市物流竞争力进行综合评价,在此基础上采用ESDA法分析物流竞争力的空间演化特征,并构建空间计量模型对物流竞争力的影响因素及其空间溢出效应进行实证研究。主要结论如下。
第一,从物流竞争力测度结果来看,2006—2018年长江经济带各省市物流竞争力水平存在较大差异,由下游至上游地区呈梯度递减格局。下游地区的上海、江苏、浙江物流竞争力均值较高,都在0.50以上,中游地区的安徽、江西、湖北、湖南位于0.09~0.20之间,而上游地区的贵州、云南物流竞争力均值相对较低,均在0.05以下。
第二,从空间格局演化来看,长江经济带各省市物流竞争力具有显著的空间相关性,在空间分布上呈现出显著的“高—高”集聚和“低—低”集聚特征,下游省市高值集聚情况及上游省市低值集聚现象比较稳定,存在较强的路径依赖性。
第三,从物流竞争力的影响因素及其空间溢出效应来看,长江经济带各省市物流竞争力存在显著的正向空间溢出效应,相邻省市物流竞争力的提升会对本省市物流竞争力的提高产生积极影响。影响因素分析结果表明技术创新、产业结构、信息化水平对本地区物流竞争力存在促进作用,而政府干预对本地区具有抑制作用;外商直接投资、产业结构对邻近地区物流竞争力存在正向空间溢出效应,而技术创新、信息化水平对邻近地区具有负向空间溢出效应。
(二) 政策建议基于以上研究结论,为了推动长江经济带区域物流协同发展,提升长江经济带整体物流竞争力,提出如下政策建议。
其一,发挥物流竞争力的空间溢出效应,促进区域物流协同发展。实证结果显示,长江经济带各省市物流竞争力存在显著的正向空间溢出效应。各省市应打破行政壁垒,积极推进高水平物流竞争力区域与低水平区域的合作与交流,促进区域间物流要素自由流动、信息资源共享、基础设施互联互通,从而提高长江经济带整体物流竞争力水平,形成区域间良性互动发展格局。此外,各省市要充分利用物流竞争力的空间溢出效应,推动高水平物流竞争力区域发挥知识溢出、技术扩散效应,增强对周边地区的辐射带动作用,并引导低水平区域制定追赶策略,提高物流要素的吸收能力,从而缩小区域之间物流竞争力的空间差异,推动区域物流协同发展。
其二,推动产业结构优化升级,促进物流业与制造业融合发展。实证发现第二产业占比对物流竞争力具有显著的正向影响,表明优化产业结构,促进物流业与制造业融合发展的重要性。长江经济带工业经济发达,各省市应大力推动传统制造业向先进装备制造业转型升级,并加快发展现代物流业,以助力制造业的升级。此外,长江经济带各省市要鼓励物流业与制造业融合发展,一方面,支持物流企业进行功能整合,延伸业务领域,为制造业提供高质量、专业化的物流服务;另一方面,鼓励制造企业进行技术创新,提升核心竞争力,促进其物流业务外包,不断扩大物流需求。通过两大产业的互动融合,促进长江经济带物流业和制造业的优化升级与协同发展。
其三,扩大对外开放水平,提升国际物流竞争力。外商直接投资对物流竞争力具有显著的正向空间溢出效应。长江经济带各省市要不断完善基础设施建设,优化物流运输网络,积极吸引高质量的外资流入,并通过吸收外资企业先进的物流技术和管理经验,发挥FDI技术溢出效应,增强各省市物流企业在国际市场中的竞争力,促进长江经济带整体物流竞争力的提升。此外,长江经济带各省市应充分利用“一带一路”合作倡议带来的发展机遇,进一步扩大对外开放水平,并依托长江黄金水道,加强与中欧班列、陆海新通道等国际运输通道的衔接互动,推进跨国、跨区域贸易往来,从而扩大国内外物流需求,提升国际物流竞争力。
(三) 研究局限与展望本文针对长江经济带各省市物流竞争力的空间演化特征、影响因素及空间溢出效应进行了探究。考虑到长江经济带物流竞争力不仅受区域内部省市的影响,而且还会受到周边省市的影响,为聚焦研究目标,本文对长江经济带物流竞争力的研究仅涉及区域内部省市,而未涉及其周边省市,因此,探讨周边省市对长江经济带物流竞争力的影响将是未来重要的拓展方向。
| [1] |
谭观音, 左泽平. 海峡西岸经济区城市物流竞争力的动态比较[J]. 经济地理, 2012(3): 107-113. DOI:10.15957/j.cnki.jjdl.2012.03.003 |
| [2] |
ÖZCEYLAN E, ÇETINKAYA C, ERBAŞ M, et al. Logistic performance evaluation of provinces in Turkey: A GIS-based multi-criteria decision analysis[J]. Transportation Research Part A: Policy and Practice, 2016, 94: 323-337. DOI:10.1016/j.tra.2016.09.020 |
| [3] |
谢泗薪, 侯蒙. "一带一路"倡议架构下基于国际竞争力的物流发展模式创新[J]. 中国流通经济, 2015(8): 33-39. |
| [4] |
OZMEN M. Logistics competitiveness of OECD countries using an improved TODIM method[J]. Sādhanā, 2019, 44(5): 1-11. |
| [5] |
HEITZ A, DABLANC L. Logistics spatial patterns in Paris[J]. Transportation Research Record: Journal of the Transportation Research Board, 2015, 2477(1): 76-84. DOI:10.3141/2477-09 |
| [6] |
ZOU X, SOMENAHALLI S, SCRAFTON D. Evaluation and analysis of urban logistics competitiveness and spatial evolution[J]. International Journal of Logistics Research and Applications, 2020, 23(5): 493-507. DOI:10.1080/13675567.2019.1703916 |
| [7] |
刘瑞娟, 王建伟, 黄泽滨. 基于ESDA的"新丝绸之路经济带"物流竞争力空间格局演化及溢出效应研究[J]. 统计与信息论坛, 2017(6): 106-112. |
| [8] |
俞佳立, 杨上广, 甘晨. 我国物流产业内在竞争力评价及时空差异分析[J]. 兰州学刊, 2019(5): 86-100. |
| [9] |
MUHAMMAD M, SAAHAR S, HASAN H, et al. Effective communication systems for Malaysian logistics industry[J]. Procedia-Social and Behavioral Sciences, 2014, 130: 204-215. DOI:10.1016/j.sbspro.2014.04.025 |
| [10] |
HUANG Y F, YE W L, WANG Q Q. Analysis of the relationship between the development of logistics industry and the evolution of global economic regions[J]. Journal of Industrial and Production Engineering, 2014, 31(8): 471-476. DOI:10.1080/21681015.2014.951697 |
| [11] |
张宝友, 朱卫平. 标准化对我国物流产业国际竞争力影响的实证研究[J]. 上海经济研究, 2013(6): 50-59. |
| [12] |
唐建荣, 汪肖肖. 东部地区物流业竞争力影响要素研究[J]. 北京交通大学学报(社会科学版), 2016(1): 122-127. |
| [13] |
迈克尔·波特. 国家竞争优势[M]. 李明轩, 邱如美, 译. 北京: 华夏出版社, 2002.
|
| [14] |
戴德宝, 范体军, 安琪. 西部地区物流综合评价与协调发展研究[J]. 中国软科学, 2018(1): 90-99. |
| [15] |
何关银, 孙瑞者. 大宗物流及其对区域经济发展的影响分析[J]. 重庆大学学报(社会科学版), 2015(5): 16-22. |
| [16] |
陈虹, 章国荣. 中国服务贸易国际竞争力的实证研究[J]. 管理世界, 2010(10): 13-23. |
| [17] |
薛俊波, 王铮. 中国17部门资本存量的核算研究[J]. 统计研究, 2007(7): 49-54. |
| [18] |
赵云鹏, 叶娇. 对外直接投资对中国产业结构影响研究[J]. 数量经济技术经济研究, 2018(3): 78-95. |
| [19] |
姚娟, 庄玉良. 所有权结构、物流环境及我国物流业效率[J]. 财经问题研究, 2013(3): 115-122. |
| [20] |
丁黄艳. 长江经济带基础设施发展与经济增长的空间特征: 基于空间计量与面板门槛模型的实证研究[J]. 统计与信息论坛, 2016(1): 24-32. |
| [21] |
OLSON D L. Comparison of weights in TOPSIS models[J]. Mathematical and Computer Modelling, 2004, 40(7/8): 721-727. |
| [22] |
ANSELIN L, SYABRI I, KHO Y. GeoDa: an introduction to spatial data analysis[M]//Handbook of Applied Spatial Analysis. Berlin, Heidelberg: Springer Berlin Heidelberg, 2009: 73-89.
|
| [23] |
TOBLER W R. A computer movie simulating urban growth in the Detroitregion[J]. Economic Geography, 1970, 46(sup1): 234-240. |
| [24] |
白俊红, 王钺, 蒋伏心, 等. 研发要素流动、空间知识溢出与经济增长[J]. 经济研究, 2017(7): 109-123. |
| [25] |
ELHORST J P. Spatial econometrics: From cross-sectional data to spatial panels[M]. Heidelberg: Springer, 2014: 37-67.
|
| [26] |
陈恒, 魏修建, 尹筱雨. 中国物流业发展的非均衡性及其阶段特征: 基于劳动力投入的视角[J]. 数量经济技术经济研究, 2016(11): 3-22. |
| [27] |
赵善梅, 吴士炜. 基于空间经济学视角下的我国资本回报率影响因素及其提升路径研究[J]. 管理世界, 2018(2): 68-79. |
| [28] |
王为东, 卢娜, 张财经. 空间溢出效应视角下低碳技术创新对气候变化的响应[J]. 中国人口·资源与环境, 2018(8): 22-30. |
| [29] |
LESAGE J P, PACE R K. Spatial econometric modeling of origin-destination flows[J]. Journal of Regional Science, 2008, 48(5): 941-967. |
| [30] |
师博, 任保平. 策略性竞争、空间效应与中国经济增长收敛性[J]. 经济学动态, 2019(2): 47-62. |
2023, Vol. 29


