1b. 浙江大学 中国西部发展研究院, 浙江 杭州 310058;
1c. 浙江大学 经济学院, 浙江 杭州 310058;
2. 杭州师范大学 经济学院, 浙江 杭州 311121
1b. China Academy of West Region Development, Zhejiang University, Hangzhou 310058, P. R. China;
1c. School of Economics, Zhejiang University, Hangzhou 310058, P. R. China;
2. School of Economics, Hangzhou Normal University, Hangzhou 311121, P. R. China
党的二十大报告提出以“城市群、都市圈为依托构建大中小城市协调发展格局”,对新时代城市体系建设发展作出重要战略部署。国家发展和改革委员会先后发布《关于培育发展现代化都市圈的指导意见》和《2022年新型城镇化和城乡融合发展重点任务》,提出“都市圈是城市群内部以超大特大城市或辐射带动功能强的大城市为中心、以1小时通勤圈为基本范围的城镇化空间形态”,“中心城市牵头、周边城市协同的都市圈同城化推进机制”,指出都市圈是新型城镇化的基本空间形态,明确增强中心城市辐射带动能力是推动区域协调发展的必经之路。
长期以来,学者们积极探索如何通过一体化发展规划增强区域发展平衡性,以及溢出效应等空间相互作用如何打破行政壁垒。已有文献从城乡、城市群、国家等空间尺度研究了中心城市对外围城市的溢出效应[1-3]。都市圈的空间范围小于城市群,虽然空间溢出的理论基础相似,但都市圈范围内中心城市对外围城市的空间溢出效应是否存在及其作用条件是一个待实证检验的问题。在区域发展演变中,都市圈范围内城市间不平衡发展并不罕见[4-5]。中国与世界很多地区的非平衡发展过程说明了中心城市本身的增长很可能以牺牲外围地区的发展为代价[6],而积极作用可能需要很长时间才能显现[7]。一方面,从宏观影响来看,都市圈呈现“中心—外围”空间特征,外围城市可能受到中心城市的“集聚阴影”或负外部性影响,具体表现为中心城市经济、人口规模持续增加,外围地区逐渐衰落,区域收入差距扩大等现象[8-10]。另一方面,也有学者认为中心城市对外围城市产生正向空间溢出,促进外围地区人口增加,扩大经济规模,推动区域共同发展[11-13]。
遗憾的是,目前关于都市圈区域发展机制缺乏梳理论证,从微观企业层面研究空间溢出效应的经验研究也鲜有涉及。因此,研究都市圈城市中心城市是否对外围城市产生了溢出效应,如何发挥中心城市产业层面的溢出效应,为厘清都市圈发展微观机制提供理论和经验支撑,对促进区域协调发展、推动共同富裕具有重要理论价值和实践价值。目前长三角地区是我国城市经济活动密集度最高、区域经济最具活力的地区之一,上海、杭州等六大都市圈发展水平位于全国前列,政府合作经验丰富,经济联系紧密,形成网络化的多极化圈层结构,一直在积极探索都市圈内协同发展模式。
因此,本文尝试将长三角六大都市圈作为研究对象,分析都市圈对地区经济发展的影响作用。聚焦都市圈空间溢出与区域共同发展,通过厘清都市圈推动区域发展的机制,检验都市圈城市经济收敛水平以及中心城市对外围城市的空间溢出效应,更加细致地剖析具备什么样的空间和行业特征能够促进空间溢出,有助于实现区域协调发展。本文主要从以下几个方面进行了拓展:一是针对都市圈促进区域发展进行理论分析,探讨边界效应、空间结构影响空间溢出的理论机制,并对都市圈的经济收敛和空间溢出进行实证检验,丰富都市圈发展理论与经验。二是以往文献考察空间溢出一般使用宏观经济变量和空间计量方法,对微观层面空间溢出关注较少,本文使用微观工业企业数据构造城市级产业数据和份额移动法构造Bartik工具变量对其进行分析,更好克服反向因果内生性问题,检验都市圈中心城市对周边地区工业发展水平影响的因果关系。三是在城市体系扩张和网络化发展态势下,关注跨行政边界、多中心城市辐射模式影响下的溢出效应,为空间发展规划设计和地方政府组织合作提供决策参考。
一、制度背景与理论分析 (一) 制度背景从20世纪末开始,中国城镇化路径进行调整,不再因城市病等可能出现的发展弊端控制城市规模。从1991年的“八五”规划中“中小城市为主的城镇化、严格控制大城市规模”,调整为1996年“九五”规划的“大中小城市协调发展”,为都市圈的出现奠定了基础。中国各省区市积极响应中央号召,以省会为中心建立城市圈,出台了一些培育大城市圈或都市圈的发展规划,这也是现代化都市圈的雏形。
都市圈规划从土地、财政、体制等方面着手,探索多行政主体的合作发展和利益共享机制。一是飞地共建机制。由于大城市的土地指标紧张,而小城市需要引入竞争力强的新产业。在都市圈的政策框架下,大城市与周边地区达成飞地经济的共同合作开发管理模式,采用跨地区产业园区缓解核心城市的土地约束,积极寻求与周边地区的产业合作以期获得产业升级和品牌输出,例如南京都市圈设立宁淮特别合作区,由江北新区负责开发建设、盱眙县负责社会管理;合肥都市圈的淮南市、合肥市共建新桥科技创新示范区合作区。二是行政区与示范区合一的管理体制,例如合肥都市圈搭建一套班子,由省市推动合淮产业走廊和合肥临空经济示范区建设;杭州都市圈通过“一个平台、一个主体、一套班子、多块牌子”设立杭黄、杭嘉、杭绍三个先行区,分别打造生态旅游、新型城镇化、临空经济特色同城化建设典范。三是税收分享机制,例如美国旧金山都市圈提取中心城市的部分财政基金,支付给外围地区以改善其公共服务质量。我国都市圈的税收分享机制尚在探索,例如南京都市圈尝试通过财政转移支付、自然资源资产有偿使用、多元化横向生态补偿等制度和政策,探索构建都市圈互利共赢的税收分享机制。
(二) 理论分析都市圈是地理相近地区要素市场一体化的空间范围,通过中心城市与外围地区的相互经济作用产生经济溢出效应。空间溢出效应的理论基础可以追溯到Marshall提出外部性在空间层面的体现,即企业或产业邻近会产生溢出效应[14]656。都市圈一体化提供经济活动集聚的基础条件,培育大城市并积极整合异质性城市,形成的城市间的溢出效应是促进各地区经济发展的重要原因[15-17]。因此,本文认为都市圈一体化推进了核心城市的溢出效应,对区域经济增长格局产生影响,具体看,溢出效应受到三个方面的影响:产业前后关联、多中心圈层结构、政府制度协调。
其一,溢出效应受到产业关联程度的影响。空间溢出是产业前后关联的外部性的具体表现,受到两地产业结构和特征的影响。同质或相近行业通过地理集聚产生专业化外部性、促进经济发展的作用已经得到经验证据支持。已有研究以城市群、欧盟为研究对象,运用集聚经济理论和空间计量实证方法研究行业异质性特征对空间溢出效应的影响[18-21]。具体来说,空间邻近的同质行业获取空间外部性更加便利,两地产业结构相似程度越高,溢出效应越强。
其二,溢出效应受到多中心空间发展模式影响。多中心空间结构大多数关注地区层面宏观经济影响,实际上,空间溢出的主体是企业、劳动力等微观主体,其迁移行为最终影响了地区宏观经济表现。多中心空间结构促进空间溢出、增强区域均衡发展,相关实证文献主要从两方面分析:一是资本流动渠道。企业作为生产组织的迁移带来的空间溢出促进外围地区工业发展[22-24]。二是多中心结构形成更为便捷和丰富的劳动力流动渠道,提升外围地区人力资本,增强人力资本外部性和学习效应,推动经济发展[25-26]。
其三,溢出效应受到政府协调的影响。以往文献考虑空间溢出时多关注地理邻近性,而忽视了制度方面的障碍。中国特色的行政区经济和地方政府保护主义,以行政区边界为壁垒阻碍要素自由流动,政府间协调能力不足致使地区间溢出效应难以释放或被削弱[27]。都市圈发展规划以促进区域共同发展为目标推动政府合作,在一定程度上削弱行政边界的影响。随着都市圈发展进一步深入,长三角的都市圈以政府联席会议制度等弱化了原本行政边界带来的资源分散、市场分割问题,促进素充分自由流动,使中心城市的溢出效应不受行政边界制度分割的影响,特别是都市圈中心城市跨省际边界溢出效应有助于邻省外围城市发展,从而促进都市圈共同发展。
二、研究设计与数据来源 (一) 研究范围及数据来源考虑到都市圈的发展受到历史、地理、经济、政策和制度等因素的综合影响,不同地理区位的都市圈的成长机制存在差异。本文中以长三角地区的六大都市圈城市为样本,包括上海大都圈、南京都市圈、杭州都市圈、苏锡常城市群、宁波都市圈、合肥都市圈。《长江三角洲城市群发展规划》和《长江三角洲区域一体化发展规划纲要》基本确定六个都市圈的城市组成,但是随着城市化推进,不断有新的城市加入都市圈范围①。根据《上海市城市总体规划(2017—2035年》,上海都市圈由上海、苏州、无锡、常州、南通、嘉兴、宁波、舟山、湖州、杭州、绍兴11个城市组成;根据《南京都市圈发展规划》确定南京都市圈包括南京、镇江、扬州、淮安、芜湖、马鞍山、滁州、宣城、常州市9个城市;《杭州都市圈发展规划(2020—2035年)编制大纲》确定杭州都市圈由杭州、湖州、嘉兴、绍兴、衢州、黄山6个城市组成;根据《长江三角洲城市群发展规划安徽实施方案》确定合肥都市圈由合肥、淮南、蚌埠、马鞍山、桐城、滁州、铜陵、芜湖、六安9个城市组成;《长江三角洲城市群发展规划》明确苏锡常都市圈由苏州、无锡、常州3个地级市城市组成,宁波都市圈由宁波、舟山、台州三个地级市城市组成。依据相关规划,六大都市圈依次选择上海、南京、杭州、合肥、苏州、宁波作为中心城市进行分析。
① 2016年《长江三角洲城市群发展规划》与2019年《长江三角洲区域一体化发展规划纲要》确定长三角地区6个都市圈的范围存在差异,在前者基础上后者增加了淮安、衢州、六安、淮南、蚌埠、黄山,减少了盐城、泰州、金华、温州、池州、安庆,考虑到调整后的规划范围更适应实际的都市圈经济区概念,本文以后者为研究对象。
本文检验溢出效应采用的长三角城市级人均GDP等综合经济数据来自《中国城市统计年鉴》,城市行业面板数据主要由中国工业企业数据库加总得到。通过筛选工业企业地址所在地区,以2位数大类行业代码作为行业划分标准②,关联都市圈中心城市和外围城市相同产业,最终获得9 092个时间—城市二位数行业观测值。
② 由于行业分类标准经过数次调整,基于国家统计局2003年公布的行业分类(GB/T4754 -2002),对企业行业代码进行调整处理。
(二) 研究设计 1. 空间自相关检验首先检验长三角城市间的空间相关性是否存在,检验都市圈内是否产生了空间依赖关系。本文中采用城市人均GDP作为经济发展水平指标及反交通距离矩阵,使用全局Moran’I指数和散点图来研究各城市的经济发展空间关联特征,第i个城市全局Moran’ I指数的计算公式如式(1)所示:
| $ I_i=\frac{n \sum\limits_{i=1}^n \sum\limits_{j=1}^n \boldsymbol{w}_{i j}\left(x_i-\bar{x}\right)\left(x_j-\bar{x}\right)}{\sum\limits_{i=1}^n\left(x_i-\bar{x}\right)^2 \sum\limits_{i=1}^n \sum\limits_{j=1}^n \boldsymbol{w}_{i j}} $ | (1) |
其中,wij表示空间邻接矩阵, xi表示第i个城市的人均GDP取值,x 为均值,n为城市个数。采用局部Moran’I指数检验第i个城市与相邻城市的经济发展水平相关程度,第i个城市的局部Moran’ I指数的计算公式如式(2)所示:
| $ I_i=\frac{n\left(x_i-\bar{x}\right)}{\sum\limits_{i=1}^n\left(x_i-\bar{x}\right)^2} \sum\limits_{j=1}^n \boldsymbol{\omega}_{i j}\left(x_j-\bar{x}\right) $ | (2) |
其中,xi表示第i个城市的人均GDP取值,ωij是标准化的空间邻接矩阵。
2. 中心城市溢出效应的回归分析本文将都市圈中心城市和外围城市两地按行业进行关联,使用工业企业加总的行业面板数据,研究都市圈中心城市对外围地区工业发展的影响,设定回归基准模型③:
③ 由于空间邻近矩阵的限制性,只能识别相邻地区间的溢出,无法有效刻画都市圈核心城市对外围城市的空间溢出效应,因此本文不同于一般空间溢出效应研究采用的空间计量模型方法分析,而使用固定效应模型进行分析。
| $ \ln y_{\_} \operatorname{per}_{i j k \text{t}}=\beta_0+\beta_1 \ln y_{\_} \operatorname{core}_{i k \text{t}}+\mu_{j \text{t}}+\tau_{k \text{t}}+\varepsilon_{i k \text{t}} $ | (3) |
其中:i表示第i个都市圈的中心城市,j表示都市圈的第j个外围城市,k表示二位数代码大类的行业,t表示第t年,lny_perijkt代表第t年、第i个都市圈、第j个外围城市的k行业工业发展水平指标对数值,lny_coreikt是都市圈中心城市—行业—时间工业发展水平指标对数值。反映工业发展水平的指标使用按行业加总的工业企业主营业务销售收入、年末从业人数和资产总计。此外控制外围城市×年份固定效应(μjt)、行业×年份固定效应(τkt),εikt为随机误差项。
本文核心是检验都市圈中心城市对周边地区工业发展水平影响的因果关系,实际上影响行业发展的产业政策或其他地域性政策对回归结果产生的影响会导致回归系数被高估;都市圈中心地区对外围地区产生溢出效应,外围地区可能也会对都市圈中心产生反向作用,导致系数被低估,故需要解决内生性问题。本文中采用两种方法:一是使用行业×年份交乘项、外围城市×年份交乘项,克服遗漏变量导致的内生性问题,例如地区性或产业性政策冲击等因素;二是使用份额移动法构造Bartik工具变量,解决反向因果导致潜在的内生性问题[28-30]。本文中使用的2位数行业的工业发展水平变量由3位数子行业的工业发展水平变量构成,因此存在公式(4)表示的关系,移动份额法构造的工具变量y_ivijt计算方式如公式(5)所示:
| $ y_{-} \text {core }_{i k \mathrm{t}}=\sum\limits_{k^{\prime} \in k} y_{\_} \text {core }_{i k^{\prime} \mathrm{t}} $ | (4) |
| $ y_{\_} \mathrm{iv}_{i k \mathrm{t}}=\sum\limits_{k^{\prime} \in k} y_{-} \text {core }_{i k^{\prime} \mathrm{t}_0} \times\left(1+G_{k^{\prime} \mathrm{t}}\right) $ | (5) |
其中:t0表示初始年份即1998年,k′表示3位数行业,k表示2位数行业,对于任意的k′∈k,第i个都市圈三位数行业工业发展水平变量y_coreik′t0与外生的全国行业增长率Gk′t相乘得到Bartik工具变量y_ivijt。
将各个变量进行描述性统计得出表 1,可以看出中心城市的工业发展水平变量与外围城市的工业发展水平变量之间的经济数据存在较大差距,其中外围城市工业收入对数均值为14.57,中心城市工业收入对数均值为16.43。
| 表 1 变量描述性统计 |
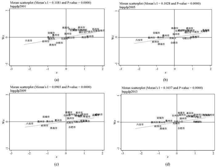
以2001—2013年城市人均GDP水平为样本,使用Moran’s I指数和Moran’s I散点图分析长三角全域41个城市和都市圈范围27个城市的经济发展空间相关情况,结果如图 1所示。长三角城市和都市圈城市经济发展水平的Moran’s I指数均显著为正,表明长三角地区的城市存在显著的空间正相关,经济发展水平相近的城市存在显著的空间集聚性。都市圈全局Moran’s I指数呈现波动下降趋势,从2001年的0.118 1下降到2010年的0.087 0,2011年上升至0.108 5,随后又再次下降到2013年的0.103 7。长三角全局Moran’s I指数呈现相似趋势,从2001年的0.408 5,下降到2013年的0.387 2。整体上,都市圈的全局Moran’s I指数低于长三角全域的全局Moran’s I指数水平,下降幅度更大,说明都市圈内城市经济发展间的相对差距趋于缩小,经济发展均衡程度变高。
|
图 1 2001—2013长三角全域和都市圈范围的全局莫兰指数 |
图 2反映都市圈城市空间局部相关性的莫兰散点图④,可以看出,大部分城市分布在一、三象限,人均GDP的局部空间特征呈现显著的高高(HH)型和低低(LL)型两种集聚类型,存在典型俱乐部式经济收敛。图 2(a)到(d)的动态变化反映长三角人均GDP的空间分布格局随时间演进变化,2001年高高型空间显著聚集的城市有上海、南京、无锡,在2013年高高显著空间聚集区域减少了绍兴,增加了宣城成为高低集聚显著区域,说明上海、南京、无锡等都市圈中心城市能够带动周边城市共同发展。2001—2013年低低型空间显著聚集城市主要有六安、蚌埠、淮南,说明合肥都市圈辐射带动能力较弱。从这个角度上说明,长三角都市圈的城市抱团式发展、俱乐部式收敛特征明显,但都市圈促进区域协调发展发挥空间辐射作用受到核心城市经济发展水平的影响。
④ 限于篇幅,如需全部年份莫兰指数和莫兰散点图,请联系作者。
|
图 2 2001、2005、2009、2013年长三角城市人均GDP的莫兰指数和散点图 |
若不考虑z值显著性,从2001年到2013年的6个都市圈城市空间相关性类型变化看(如表 2所示),存在四种类型:一是由于本地经济发展水平提高,成为新的增长极,例如马鞍山市;二是周边发展水平提高的扬州市;三是周边地区经济增长均放缓,例如台州;四是空间相关关系相对稳定的城市。总的来看,都市圈地区的城市经济发展水平存在显著的正相关关系,为进一步识别都市圈中心城市带动周边经济发展提供相应证据。
| 表 2 2001—2013年长三角人均GDP局部莫兰指数地区分布情况 |
为研究都市圈中心城市对外围城市是否存在溢出效应,利用中心城市工业发展水平指标作为自变量,外围城市工业发展水平指标作为因变量进行回归。使用按行业加总的主营业务销售收入对数、资产总计对数、年末从业人数对数,分别作为收入、投资、就业等产出投入指标反映城市工业发展水平。表 3为基准回归结果,第(1)—(3)列报告OLS结果,都市圈中心城市工业收入、工业投资、工业就业提升对外围城市工业收入、工业投资、工业就业存在正向影响,这种影响在1%水平上显著。以第(1)列为例,中心城市工业收入水平每提升1%,外围城市的工业收入会增加0.26%,说明长三角都市圈中心城市对外围城市工业发展具有溢出效应。为了避免遗漏行业、地区受到其他政策冲击影响,第(4)—(6)列报告了控制城市×年份、行业×年份的固定效应的回归结果,都市圈中心城市工业发展水平提升对外围城市工业收入、工业投资、工业就业存在显著正向影响,控制固定效应后系数较小说明存在遗漏变量问题,显著性并未发生改变,遗漏变量影响较小。
| 表 3 都市圈中心城市工业发展溢出效应 |
本文使用工具变量法处理反向因果导致的潜在内生性问题,通过Bartik方法构造工具变量,进行两阶段最小二乘(2SLS)回归。如表 4所示,第(1)—(3)列报告第二阶段回归结果,与OLS回归基本一致,系数符号和显著性没有改变,但回归系数出现膨胀,第(4)—(6)列报告第一阶段回归结果。以第(1)列工业收入为例,中心城市工业收入水平每提升1%,外围城市的工业收入会增加0.31%,相对OLS回归系数发生膨胀,说明都市圈中心城市对外围城市溢出效应被低估,并且不存在弱工具变量和识别不足的问题,工具变量的使用较为合理。
| 表 4 内生性检验 |
考虑到企业不同投入产出指标反映城市工业发展水平存在差异,替换城市工业发展投入产出指标进行稳健性检验。选择工业总产值、工业销售产值作为度量工业产出的指标,选择固定资产合计作为度量工业投入的指标。如表 5的OLS估计和IV估计结果显示,中心城市对外围城市的工业发展水平存在显著正向影响,与原回归结果基本一致,说明基准回归稳健。
| 表 5 替换变量 |
由于工业企业样本包括了采矿业、热力、燃气和水生产供应等非制造业行业,这些行业相对于制造业,更依赖于当地地理资源,因此选择制造业子样本进行回归。通过表 6 OLS估计和IV估计结果可以看出,制造业子样本的系数符号和显著性与基准回归保持一致。
| 表 6 制造业子样本 |
考虑到不同行业溢出效应不同,根据不同行业的细分程度计算的指标可能受到影响,更细分的行业的影响或许不同。使用三位数(中类)行业分类标准,替代基准回归中的二位数(大类)行业,构造城市行业面板数据进行回归,结果如表 7所示。第(1)—(3)列为OLS回归结果,并使用四位数(小类)行业指标构建对应Bartik工具变量,得到第(4)—(5)列2SLS回归结果⑤。结果显示,相比二位数行业加总样本,三位数行业加总样本回归系数更小一些,但回归系数的显著性和符号没有改变,说明原结果比较稳健。
⑤第一阶段结果显示该工具变量与解释变量存在显著的相关性,限于篇幅没有报告,如有需要请联系作者,下同。
| 表 7 三位数行业分类 |
中心城市的溢出效应强弱总体上取决于中心城市与外围城市的区位特征。本文从外围城市所处的省份、增长极个数、是否与中心城市同省进行异质性讨论,并且进一步分析其背后可能存在的原因。
1. 区位与产业关联考虑到外围城市所处的省份区位不同,受到溢出效应可能存在差异。按照外围城市所在不同省份进行分组回归,结果如表 8第(1)—(3)列所示。在浙江省的外围城市在工业收入、工业投资、工业就业均受到中心城市显著的外溢效应,浙江省的都市圈城市经济发展较为均衡;在江苏省的外围城市受到显著的工业收入和工业就业溢出,但工业投资溢出效应却不显著;安徽省城市外围城市虽然都受到正的外溢效应,但是在10%水平下不显著,说明安徽省外围城市受到的中心城市工业发展溢出效应影响较小。
| 表 8 省份异质性 |
在新经济地理理论中,产业结构关联性影响地区经济发展,而我国特色行政区经济加强了地方政府干预产业体系,在一定程度上影响了产业分工。地区间的产业结构关联或相似程度较高意味着地区之间存在相似的生产基础和条件,能够共享基础设施和合作创新,降低了企业间的生产交易成本。由于产业前后关联较高能够有效提升地区间溢出,本文试以产业相似程度⑥衡量产业关联程度,来解释不同省份受到溢出差异的原因。表 9显示,与安徽省的城市相比,江苏省和浙江省外围城市受到的溢出效应更显著。从产业相似程度看,位于江苏省与浙江省的外围城市与中心城市产业相似程度越高,获得溢出效应越强。
⑥ 产业相似指数sindijt使用两地的相同二位数行业工业指标计算:
| 表 9 产业相似度与省份 |
随着城市区域化和网络化趋势的演进,溢出效应的研究越来越关注多中心城市网络的影响。城市及其内部企业依赖于临近城市和城市网络关系,新兴的网络外部性在一定程度上替代了传统集聚外部性,成为影响城市发展的重要因素[31]。多中心空间结构研究大部集中在城市密集区域,本文所讨论的多中心特征是指城市受到多个增长极或多个中心城市影响的空间区位特征。
外围城市可能受多个中心城市、增长极的叠加辐射溢出效应影响[23, 27]。根据是否受到都市圈多重增长极辐射⑦,设置虚拟变量(多增长极=1,单一增长极=0)与中心城市工业发展水平变量交乘进行回归。从表 10的回归结果看,处于都市圈重叠部分,即多增长极投资、就业交乘项系数在1%水平显著为正,说明受多个增长极影响的外围城市获得更强的投资、就业的溢出。本文将上述结果,即受多增长极影响城市得到更强的溢出效应,定义为增长极异质性。
⑦ 长三角六大都市圈受多重增长极影响(重叠部分)城市为:无锡、常州、苏州、杭州、宁波、嘉兴、湖州、绍兴、舟山、芜湖、马鞍山、滁州。
| 表 10 增长极异质性 |
进一步,从人力资本和企业数量两个角度探究为什么越多增长极导致溢出效应越强。都市圈中心城市溢出效应通过要素流动影响外围城市的经济发展:一是增加劳动力流动,满足外围城市的人力资本和劳动力需求[32]。都市圈发展规划推动的交通等公共基础设施一体化使外围地区的可达性增加,使劳动力流动加快,满足外围城市企业生产需求。二是吸引投资,通过吸引中心城市企业将生产部门迁入当地加快经济发展[33]。本文中利用年末总人口衡量外围地区劳动力流入情况,使用工业企业总数代表企业数量,检验都市圈中心城市溢出促进外围城市吸引劳动力要素的经济效应。
若外围城市处于多个都市圈内,相比其他处于单一都市圈城市受中心城市增长极辐射存在差异,按照增长极差异分样本进行回归。如表 11所示,Panel A是检验中心城市的工业收入、投资、就业对外围地区企业数量的影响作用,列(1)、(2)、(3)受多增长极影响的样本三项工业投入产出指标的系数显著为正,且交乘项均显著为正,说明受到多个增长极影响促进了要素充分流动。列(4)、(5)、(6)受单一增长极影响的样本主效应及其与总企业数的交乘项均显著为正,但是总人口与主效应显著为负,单一增长极的外围城市能够通过吸引企业入驻,促进资本要素流动,但是劳动力流动没有对外围地区经济发展产生正向积极影响。
| 表 11 要素流动与增长极 |
都市圈是根据实际经济关联确定的空间范围,与行政区范围的确定存在差异,因此都市圈可包括不同行政区(省份)城市。但也由于省际行政边界的存在,导致部分外围城市受跨省中心城市溢出效应可能与本省的中心城市存在差异。都市圈是否能够通过政府协调合作,在一定程度上突破制度分割,对行政边界外产生溢出效应,是需要检验的问题。
本文根据外围城市与中心城市是否处于一个省份,将外围城市分为跨省和同省,通过设置虚拟变量(存在省边界=1,同省=0)⑧,分别与中心城市工业发展水平指标交乘进行分析。表 12显示,工业发展指标与跨省交乘项均不显著,说明边界效应在都市圈中心城市的溢出作用没有显著的负向作用,即都市圈的跨省中心城市和本省中心城市对外围城市的溢出不存在显著差异,结合工业收入、工业投资、工业就业的系数显著为正,说明外围城市均受到中心城市的溢出效应,能够一定程度抵消省际边界的影响,为都市圈中心城市带动圈内城市经济共同发展提供经验支持。
⑧ 外围城市与中心城市不同省(跨省)包括:无锡、常州、南通、绍兴、宁波、嘉兴、湖州、舟山、芜湖、马鞍山、滁州、宣城、黄山。中心城市空间溢出受到省际市场分割影响的城市包括(括号内为跨省增长极):南通(上海)、嘉兴(上海)、无锡(上海)、湖州(上海)、常州(上海)、舟山(上海)、宣城(南京)、滁州(南京)、马鞍山(南京)、黄山(杭州)。
| 表 12 行政边界 |
由于边界的存在,地方政府的保护主义导致市场分割,两地之间的制度摩擦成本也一定程度反应在商品价格差异上[34-37]。因此,本文中使用市场分割指数所反映的交易成本高低表征政府协调程度⑨,进一步探索都市圈是否是通过政府合作使得溢出效应抵消了边界效应。表 13第(1)—(2)列为存在边界的样本结果显示,回归省际市场分割指数与收入、投资交乘项的系数显著为负,溢出效应对于跨省投资和收入分割改善有限。但第(3)列显示市场分割指数与就业交乘项的系数不显著,说明都市圈中心城市的溢出效应能够在一定程度上削弱行政边界导致的劳动力省际就业市场分割,类似于第(4)—(6)列中没有边界样本的回归结果,交互项系数不显著。结合表 12的结果,行政边界不显著影响中心城市的溢出效应,说明跨边界的中心城市影响能够一定程度抵消市场分割带来负向影响,促进外围地区的经济发展,也间接验证了都市圈可以通过增强地方政府协调,打破行政区分割,促进核心城市对外围地区产生溢出效应,帮助实现区域均衡发展。
⑨使用商品零售价格指数计算价格波动,得到省际市场分割指数Segijt。首先,计算
| 表 13 边界与政府协调 |
新时期发展壮大都市圈是增强区域发展平衡性协调性的重要战略,成为推动新型城镇化、促进城市群发展的重要支撑。近年来,都市圈建设呈现较快发展态势,研究都市圈中心城市主导的溢出效应的理论与机制,对于建设现代化都市圈,培育区域竞争新优势,增强区域平衡性具有非常重要的现实意义。本文首先使用空间自相关分析方法,对长三角六大都市圈的经济增长进行分析。结果表明,相对于其他城市,都市圈范围内的区域平衡性更强。本文的主要边际贡献是基于工业企业构造城市产业数据,并以工具变量回归克服内生性问题,检验都市圈中心城市溢出效应,分析溢出效应的行业与空间特征,增加都市圈推动区域经济均衡发展的微观基础性证据。
本文主要结论如下:长三角城市经济发展存在俱乐部式收敛,都市圈范围内城市经济发展均衡程度更高。从工业发展角度来看,都市圈中心城市对外围城市存在显著溢出效应;浙江省的都市圈外围城市受到的溢出效应最强,发展更均衡;安徽省的外围城市受到的溢出效应最弱。从产业关联角度来看,江苏省与浙江省的外围城市与中心城市产业相似程度越高,获得溢出效应越强。受多个增长极与单一增长极影响存在差异,多增长极能吸引更多劳动力流动,从而促进外围城市发展。都市圈中心城市空间溢出效应,不受行政边界的影响,能够通过促进政府合作降低制度摩擦,改善市场分割,促进都市圈范围内区域均衡化发展。
根据上述分析结论,本文对都市圈发展提出如下政策建议。
第一,积极发挥大城市主导的溢出效应,以都市圈一体化推动区域协调发展。本文研究表明,在经济发展良好的长三角地区,都市圈已经呈现出中心城市打破行政分割带动外围城市共同发展的情况,说明都市圈中心城市的溢出效应在区域均衡化和一体化发展中存在重要影响。考虑到在中国历史地理和体制背景下,全国推动区域协调发展和建设统一大市场存在较大挑战,以都市圈一体化推动地区经济均衡化发展和初步建立区域性的统一市场的尝试,是实施区域协调发展和构建统一市场的重要突破口。本文结论显示,都市圈既促进了企业和劳动力在城市间迁移,也增强了核心城市的辐射带动能力。因此必须进一步完善劳动力流动和企业迁移制度保障,发挥都市圈规模经济和集聚效应,使外围城市更好地承接中心城市发展的强溢出。
第二,支持多中心多层级都市圈融合联动发展,深化都市圈合作与分工。本文结论提到在人口密度和经济活动密度较高的长三角等地区,由都市圈核心城市形成不同规模层级城市网络,以多个点扩散及面的扩散带动整体发展。因此,巩固核心城市的主导地位,加快都市圈核心城市与外围城市等不同城市的产业和功能分工合作,推进都市圈合理布局多中心空间结构,充分支撑多圈层多极化共同发展。健全完善都市圈区域产业体系,积极共建产业示范区和产业园,引导外围城市找准自身定位和产业发展环节,鼓励与中心城市形成合理化分工的产业链关系。深入领会都市圈中心城市的发展规律,综合要素禀赋、经济基础和产业发展水平,合理布局都市圈中心—外围结构,减少政策托举增长极的现象。
第三,创新都市圈城市利益共享合作机制,有效破除行政边界壁垒。从本文结论出发,都市圈发展能够在一定程度上减弱国内行政壁垒对溢出效应的负向影响。因此,在政府与市场的双重驱动下,积极探索都市圈一体化体制机制创新,着力打破条块分割,助力消除行政区之间的隐形障碍。合理规划培育都市圈,利用都市圈实现地区间合作协同,推动体制机制改革,有效扩张城镇化连片范围,建设区域性的统一市场。同时,谨防都市圈蔓延分散化,准确认识都市圈规划的空间尺度与市场范围的客观发展规律,正确匹配满足相应需求的基础公共服务规模,严格控制地方政府债务无序增长。
| [1] |
MADSEN J B. Technology spillover through trade and TFP convergence: 135years of evidence for the OECD countries[J]. Journal of International Economics, 2007, 72(2): 464-480. DOI:10.1016/j.jinteco.2006.12.001 |
| [2] |
刘乃全, 吴友. 长三角扩容能促进区域经济共同增长吗[J]. 中国工业经济, 2017(6): 79-97. |
| [3] |
SHI Q J, CAO G Z. Urban spillover or rural industrialisation: Which drives the growth of Beijing Metropolitan Area[J]. Cities, 2020, 105: 102354. DOI:10.1016/j.cities.2019.05.023 |
| [4] |
余静文, 王春超. 城市圈驱动区域经济增长的内在机制分析: 以京津冀、长三角和珠三角城市圈为例[J]. 经济评论, 2011(1): 69-78, 126. |
| [5] |
陈玉, 孙斌栋. 京津冀存在"集聚阴影" 吗: 大城市的区域经济影响[J]. 地理研究, 2017(10): 1936-1946. |
| [6] |
朱虹, 徐琰超, 尹恒. 空吸抑或反哺: 北京和上海的经济辐射模式比较[J]. 世界经济, 2012(3): 111-124. |
| [7] |
BELTRÁN TAPIA F J, DÍEZ-MINGUELA A, MARTINEZ-GALARRAGA J. The shadow of cities: Size, location and the spatial distribution of population[J]. The Annals of Regional Science, 2021, 66(3): 729-753. DOI:10.1007/s00168-020-01036-9 |
| [8] |
PARTRIDGE M D, RICKMAN D S, ALI K, et al. Do new economic geography agglomeration shadows underlie current population dynamics across the urban hierarchy?[J]. Papers in Regional Science, 2009, 88(2): 445-467. DOI:10.1111/j.1435-5957.2008.00211.x |
| [9] |
CHEN A P, PARTRIDGE M D. When are cities engines of growth in China?Spread and backwash effects across the urban hierarchy[J]. Regional Studies, 2013, 47(8): 1313-1331. DOI:10.1080/00343404.2011.589831 |
| [10] |
BOSKER M, BURINGH E. City seeds: geography and the origins of the European citysystem[J]. Journal of Urban Economics, 2017, 98: 139-157. DOI:10.1016/j.jue.2015.09.003 |
| [11] |
DOBKINS L H, IOANNIDES Y M. Spatial interactions among U.S.cities: 1900—1990[J]. Regional Science and Urban Economics, 2001, 31(6): 701-731. DOI:10.1016/S0166-0462(01)00067-9 |
| [12] |
许政, 陈钊, 陆铭. 中国城市体系的"中心—外围模式"[J]. 世界经济, 2010(7): 144-160. |
| [13] |
覃成林, 刘迎霞, 李超. 空间外溢与区域经济增长趋同: 基于长江三角洲的案例分析[J]. 中国社会科学, 2012(5): 76-94, 206. |
| [14] |
MARSHALL A. Principles of economics[M]. London: Macmillan and Co., 1890: 656-660.
|
| [15] |
KRUGMAN P, VENABLES A J. Globalization and the inequality of nations[J]. The Quarterly Journal of Economics, 1995, 110(4): 857-880. |
| [16] |
KRUGMAN P. Increasing returns and economic geography[J]. Journal of Political Economy, 1991, 99(3): 483-499. |
| [17] |
PUGA D, VENABLES A J. The spread of industry: Spatial agglomeration in economic development[J]. Journal of the Japanese and International Economies, 1996, 10(4): 440-464. |
| [18] |
苏红键, 赵坚. 经济圈制造业增长的空间结构效应: 基于长三角经济圈的数据[J]. 中国工业经济, 2011(8): 36-46. |
| [19] |
BRVLHART M, MATHYS N A. Sectoral agglomeration economies in a panel of European regions[J]. Regional Science and Urban Economics, 2008, 38(4): 348-362. |
| [20] |
ELLISON G, GLAESER E L, KERR W R. What causes industry agglomeration?Evidence from coagglomeration patterns[J]. American Economic Review, 2010, 100(3): 1195-1213. |
| [21] |
HENDERSON V, KUNCORO A, TURNER M. Industrial development in cities[J]. Journal of Political Economy, 1995, 103(5): 1067-1090. |
| [22] |
石磊, 陈乐一, 李玉双. 区域经济增长的同群效应: 来自中国城市数据的经验证据[J]. 地理研究, 2020(4): 853-864. |
| [23] |
姚常成, 吴康. 多中心空间结构促进了城市群协调发展吗: 基于形态与知识多中心视角的再审视[J]. 经济地理, 2020(3): 63-74. |
| [24] |
赵渺希, 钟烨, 徐高峰. 中国三大城市群多中心网络的时空演化[J]. 经济地理, 2015(3): 52-59. |
| [25] |
LUCAS R E Jr. On the mechanics of economic development[J]. Journal of Monetary Economics, 1988(1): 3-42. |
| [26] |
张晓蓓, 李子豪. 人力资本差异加剧了区域经济失衡吗[J]. 经济学家, 2014(4): 14-21. |
| [27] |
唐为. 要素市场一体化与城市群经济的发展: 基于微观企业数据的分析[J]. 经济学(季刊), 2021(1): 1-22. |
| [28] |
BARTIK T J. Who benefits from state and local economic development policies?[M]. Klamazoo, MI: W.E.Upjohn Institute, 1991: 137-156.
|
| [29] |
赵奎, 后青松, 李巍. 省会城市经济发展的溢出效应: 基于工业企业数据的分析[J]. 经济研究, 2021(3): 150-166. |
| [30] |
GOLDSMITH-PINKHAM P, SORKIN I, SWIFT H. Bartik instruments: What, when, why, and how[J]. American Economic Review, 2020, 110(8): 2586-2624. |
| [31] |
林柄全, 谷人旭, 王俊松, 等. 从集聚外部性走向跨越地理边界的网络外部性: 集聚经济理论的回顾与展望[J]. 城市发展研究, 2018(12): 82-89. |
| [32] |
HEUERMANN D F, SCHMIEDER J F. The effect of infrastructure on worker mobility: Evidence from high-speed rail expansion in Germany[J]. Journal of Economic Geography, 2019, 19(2): 335-372. |
| [33] |
GIROUD X. Proximity and investment: Evidence from plant-level data[J]. The Quarterly Journal of Economics, 2013, 128(2): 861-915. |
| [34] |
唐为. 分权、外部性与边界效应[J]. 经济研究, 2019(3): 103-118. |
| [35] |
徐现祥, 李郇. 市场一体化与区域协调发展[J]. 经济研究, 2005(12): 57-67. |
| [36] |
余华义, 侯玉娟, 洪永淼. 城市辖区合并的区域一体化效应: 来自房地产微观数据和城市辖区经济数据的证据[J]. 中国工业经济, 2021(4): 119-137. |
| [37] |
BRAAKMANN N, VOGEL A. How does economic integration influence employment and wages in border regions? The case of the EU enlargement 2004 and Germany's eastern border[J]. Review of World Economics, 2011, 147(2): 303-323. |
2024, Vol. 30


