2. 南宁师范大学 经济与管理学院, 广西 南宁 530001
2. School of Economics and Management, Nanning Normal University, Nanning 530001, P. R. China
2023年9月,习近平总书记在黑龙江考察期间提出,要整合科技创新资源,引领发展战略性新兴产业和未来产业,加快形成新质生产力。新质生产力是传统生产力的继承与发展,是以科技创新为主导作用的生产力新形态。从本质上讲,社会形态更替是生产力从低质到高质迭代发展的过程。新质生产力以“新”为起点,以“质”为重点,以“生产力”为落脚点,是传统生产力水平的一次跃迁[1]。新质生产力是战略性新兴产业和创新发展的动力源泉,是推进中国式现代化建设关键支撑力量。发展新质生产力是应对当前百年未有之大变局和新一轮科技革命的迫切要求。对国家而言,生产力是综合国力之根本。西方国家经工业革命至今已在部分关键技术领域占据制高点,高筑技术壁垒,采取多种手段对我国关键领域进行“卡脖子”阻碍发展,严重影响国家安全与发展利益。面对新一轮科技革命,率先布局战略性新兴产业和未来产业,形成内生动力与国际竞争力的生产力新质态,是身处日益激烈的国际竞争中突破制约的关键一步,具有重要时代意义。
任何要素变革都会推动生产力发展,数字技术赋予生产资料数字属性,实现资源要素快捷流动和高效匹配,推动生产力跃迁。数字技术鼓励高科技产业发展并实现灵活商业运营形态,加快推动产业深度转型。企业利用数字技术降低对大规模资源依赖程度,减少对高能耗、高污染生产要素使用,并将数据要素作为关键要素,以科技创新驱动生产力质的飞跃与提升。2015年,全国首个大数据综合试验区在贵州正式启动。2016年批准第二批试点省份名单,至此全国共设立八大国家级大数据综合试验区。试验区围绕数据要素,探究数据资源整合、管理、应用、合作与创新等方面,旨在带动经济转型、技术创新与产业升级。2020年,贵州数字经济增速超15%,连续六年位列全国第一。
数字时代,新质生产力为经济高质量发展带来契机,成为实现中国式现代化建设新动能,是不可错过的战略机遇。身处新发展阶段,需准确把握新质生产力内涵与着力要点,为当前我国经济动能转换提供重要路径支持。新质生产力研究主要集中在理论逻辑、内涵特征与实现路径三方面。新质生产力本质上仍是一种生产力,其基本要素包含劳动者、劳动对象和劳动资料三方面[2]。较传统生产力满足基础需求而言,新质生产力主要满足发展型、享受型需要[3]。新质生产力以科技创新为引擎,以战略性新兴产业为主导,以产业结构升级为方向,融合大数据、人工智能等数字技术,强调经济实现高质量发展路径[4]。从“新”和“质”两方面分析新质生产力特征,“新”是指以关键性颠覆性技术进行生产的生产力,“质”是指以关键性颠覆性技术提供强劲驱动力[5]。从发展模式分析,传统生产力伴随大量自然资源消耗与生态环境污染;新质生产力以科技创新为核心驱动力,提倡资源节约、绿色可持续发展[6]。加快推进新质生产力形成需从构建相应制度环境、培养要素市场、强化人才支撑等途径出发[7]。
培育新质生产力战略点在新科技、新产业和新要素,网络化与云计算技术发展为新质生产力崛起提供技术支撑[8]。一方面,互联网提供企业与政府获取市场信息的便捷途径,大数据奠定企业与政府捕捉消费者习惯的基础保障。另一方面,数字技术应用催生战略性新兴产业交叉融合,加速新质生产力孵化[9]。数字时代数据经收集、整理与挖掘,释放强劲生产力效能。作为数字时代具有战略意义的生产要素,充分发挥数据作用是实现数字化、智能化的根本[10]。
有关大数据综合试验区试点政策规制研究大致分为经济赋能效应、驱动创新效应和环境优化效应。在经济赋能效应方面,激励性政策对区域数字经济高质量发展显著赋能[11],设立大数据综合试验区等系列高水平对外开放措施有助于增加地区对外资持续吸引力[12],激励产业结构升级转型,促进低碳经济发展模式转型[13]。在驱动创新效应方面,大数据综合试验区充分发挥政策红利,加速知识技术跨地区流动,培育新增长极[14],提升企业创新能力[15]。环境优化效应方面,大数据综合试验区试点政策通过优化产业结构升级与提高机器人应用率等途径,促进城市减霾降碳[16],降低电力消费与碳排放水平[17]。
梳理现有文献,大数据综合试验区试点政策效应机制及实证验证研究相对丰富,新质生产力内涵特征研究仍在不断深入探索,且新质生产力定量研究方面仍有深入探讨的空间。基于此,本文可能的边际贡献有:第一,梳理试点政策赋能新质生产力理论机制,并实证验证试点政策效应。第二,构建城市层面新质生产力指标体系,为新质生产力水平测度提供新视角。第三,在异质性分析中,基于不同维度特征对试点政策赋能新质生产力提升效应进行探讨,尽可能从多角度刻画政策效果。
一、理论分析与研究假说高科技是新质生产力最突出特征[18],新质生产力以颠覆性技术创新为主导力量,以战略性新兴产业为主要载体,战略性新兴产业以颠覆性技术创新为基础支撑。具体来讲,假设原有生产函数为Yt=AtKtαLtβ,当试点政策发布后新时期t+1时生产函数是Yt+1=At+1Kt+1αLt+1β,其中,Y代表产出,A代表技术进步率,K代表资本,L代表劳动,则Yt+1/Yt即新质生产力的增长效果[19]。从技术进步角度看,大数据综合试验区打破数据资源壁垒,加速试点区域内数据要素整合与利用,促进互联网技术融合互动[20]。在微观层面,数据要素快速流通缓解信息不对称状况,减少技术交易中的沉没成本和验证成本;在宏观层面,数据要素为企业提供市场前沿技术视野,帮助企业接触新兴技术。新技术改造提升传统产业,促进产业转型升级,加速地区形成新质生产力。从资本角度看,试验区数据流通与交易服务平台有助于制度环境与经济环境改善。数字技术有机嵌入资本要素,包括工业机器人、数字化产业链和机器设备等实体资本,外来企业投资、技术支持等非实体资本,有助于企业优化产品研发流程[21]、提升市场价值[22]和企业升级转型[23]。从劳动角度看,数据要素与劳动力深度融合提供高质量劳动供给,实现劳动技能升级,新兴产业对数字技能型人才需求倒逼劳动者提升知识、技能与智慧供给,深化劳动力分工,优化劳动力供给结构[24]。
生产力持续进步是各国现代化建设的共同特征,科学技术是生产力发展的核心要素。科技生产力强调以科技创新为驱动力,推动产业创新和经济增长。重大科技突破,如蒸汽机、电力、信息技术等,引领产业革命和经济变革,引发生产方式根本变化,推动社会生产力质的飞跃。科技进步不仅能提高生产效率,还能创造新产品和新服务,提高产品质量,从而增强企业竞争力和经济的整体效率。科技生产力的提升为绿色生产力的发展提供技术基础和创新动力,绿色生产力是实现可持续发展的关键。从绿色化产业形态看,新质生产力本身就是绿色生产力[25]。绿色生产力追求可持续的、生态友好的生产力模式,新能源产业、环保产业和生态旅游业等绿色产业成为新经济增长点。绿色生产力通过内化外部性的方式,将环境成本纳入企业生产成本,促使企业主动采取环保措施,从而减少负外部性。作为代表性新兴技术,数字技术以数字化、网络化、智能化为特征,以数据为关键生产要素。数据用于优化生产流程、提升决策水平、个性化定制等手段推动生产方式智能化变革。传统产业受制于特定技术和业务模式,难以跨越行业边界进行合作创新,数字技术为行业融合提供新空间。以物联网为例,数据网络将用户端和企业端设备连接,将传感器与系统连接,实现跨行业数据交换和协同操作,带来智能家居设备服务新市场,为经济发展开辟新商机。
发展新质生产力实际上也是摆脱传统增长方式和发展路径,践行新发展理念的过程[26]。以数字技术为基础的算力成为当前各国抢占的数字经济战略制高点,强大算力背后需要对各种生产要素和生产过程进行数字化感知,收集整理转化为可计算、可分析的数据结构[27],数据作为主要代表的新型劳动对象重要性与日俱增。试验区大数据中心建设和集约化,提高数据处理和存储能力,有助于数据处理效率提升。数据要素一方面通过自身经济增长效应直接驱动经济增长,催生新兴产业,如人工智能、云计算和网络直播等,扩大社会经济体量[28],另一方面促进技术进步间接赋能经济。试点政策促进创新要素孕育,提高技术创新质量,增强区域内生增长动力[29]。通过实施“百企引领”“千企引进”“万企融合”等行动,探索大数据与实体经济深度融合的“贵州模式”。“十三五”期间,贵州软件和信息技术服务业收入年均增长19.3%,跃升五个位次,排名全国19位。试验区有效打破数据资源壁垒、强化基础设施统筹,打造大批大数据支撑的先进产品。创新要素孕育和技术创新质量的提升,有助于能源利用效率和环境保护,促进绿色生产力和加强数字生产力,为经济可持续发展注入新动力。据此提出假设1。
假设1:大数据综合实验区试点政策赋能新质生产力提升。
试验区内聚焦工业互联网、智能制造等新兴领域,促进互联网与产业创新融合[30],加快赋能新型工业化,优化传统产业“高污染、高能耗”发展路径,新模式新业态为经济增长注入新活力。现代化产业体系中实体经济具有强技术外溢性和广产业关联性特征,是科技创新领域的主战场[31]。以科技创新引领现代化产业体系建设,是顺应新一轮科技革命和产业变革的必然路径[26]。与此同时,数字人力资源储备是地区数字经济高质量发展的基础,企业终端汇集的大量数据要素依赖人力资源进行管理。优化人力资本结构,培育新型数字人才是深耕科技创新这一新质生产力的关键[32]。企业数字人才具有的知识、技能、经验和潜能等非量化因素,为企业进行持续竞争和获取超额绩效提供支撑,是企业数字化经营的重要资源。另一方面,企业利用数据要素实现的新型生产方式、业态和模式派生出数字化需求岗位,增大了对知识密集型人才的需求[33]。数字人才使用数据要素资源探索企业发展目标,释放试点政策红利,赋能新质生产力提升。数字经济深层发展离不开数字基础设施支撑,以5G基站、人工智能、云计算和大数据中心为代表的数字基础设施作为数据要素载体,充分释放数字技术的经济红利[34]。以贵州大数据综合试验区为例,贵州省内通信光缆累计达154万公里,5G基站建成投用5.3万个,信息基础设施水平从全国第29位跃居15位。地区依托新型基础设施,通过规模聚集、信息支撑和资金配置效应驱动技术创新[35]。作为核心技术底座,数字基础设施建设打通数据流通循环,在降低创新资源搜索成本和摩擦成本的同时,实现创新要素供求匹配,为高技术创新提供有力支撑,服务新质生产力快速发展。综上提出假设2。
假设2:大数据综合试验区试点政策在不同产业结构、人力资本和数字基础设施水平下赋能效应存在不同表现。
二、研究设计与数据来源 (一) 模型设定以大数据综合试验区试点政策为准自然实验,评估试点政策对新质生产力影响的净效应。经典双重差分设计包含两个组群和两个时期,其中一个组群在第二期接受处理,即实验组;另一个组群在两期内均未受处理,即控制组。鉴于试点政策分别于2015与2016年开始施行,故采用多期双重差分模型进行量化分析[36],具体模型设计如式(1)所式。
| $ \text { productivity }_{i\text {t }}=\alpha+\beta_0 \text { treat }_i \times \text { post }_{\mathrm{t}}+\beta_1 X_{i, c, \mathrm{t}}+\mu_j+\varphi_{\mathrm{t}}+\varepsilon_{i\text {t }} $ | (1) |
其中,productivity代表新质生产力,treat代表试点地区虚拟变量,post代表试点时间虚拟变量,X代表控制变量,μj代表个体固定效应,φt代表时间固定效应,εit代表随机误差项。
(二) 变量定义 1. 被解释变量新质生产力(productivity)以科技创新为要义,以高质量发展为目标。新质生产力以科技创新为基础,引领生产方式变革和经济结构调整。科技生产力代表科技创新成果,是推动经济增长和社会进步的重要力量;绿色生产力代表生产方式绿色转型,是实现可持续发展的重要途径;数字生产力代表数字经济发展,是推动经济结构调整和产业升级的重要动力。从科技生产力、绿色生产力和数字生产力三个角度出发[37],下设13个二级指标,采用熵值法测度地级市层面新质生产力水平。
科技生产力代表通过科技创新实现关键性、颠覆性技术突破而产生的生产力,强调以新技术、新经济、新业态为主要内涵。其中,科技创新收入以办公地所属城市的上市公司营业收入表示,其中上市公司选取国民经济行业分类中I类信息传输、软件和信息服务业与M类科学研究和技术服务业公司,科技创新支出和科技创新研发指标同理。科技创新效率以“(规模以上工业企业利润总额+年末单位从业人员数×职工平均工资)/年末单位从业人员数”表示[38]。
绿色生产力代表环境友好型、资源节约型生产方式,以环保、资源节约为核心特征,旨在通过绿色生产力实现新质生产力的发展和优势。其中,能源效率以“总吨标准煤的对数/实际GDP”表示。
数字生产力强调数字技术在生产过程中的应用,包括大数据分析、人工智能、物联网等。数字技术有助于提高生产效率、优化资源利用和加速创新,引领工业转型升级,促进经济发展的数字化转型。具体指标及含义见表 1。
| 表 1 新质生产力评价指标 |
本文将大数据综合试验区试点政策作为核心解释变量,进行准自然实验。具体步骤如下:对于组间虚拟变量(treat),将试点政策涵盖城市赋值为1,否则为0。对于时间虚拟变量(post),将试点政策发布当年及之后年份赋值为1,否则为0。组间虚拟变量(treat)与时间虚拟变量(post)交乘项表示试点政策发布后的地区分组。
3. 控制变量为减少其他混淆变量可能对回归结果产生影响,选取如下控制变量加入方程:经济发展水平(gdp),地区经济水平反映地区经济状况,经济发展水平较高地区往往拥有更多资金、人才和技术等生产要素,为新质生产力发展提供有利条件。产业结构(industry),产业结构与新技术、新产业、新业态的应用和创新有密切关系,使用“第三产业增加值占GDP比重/第二产业增加值占GDP比重”表示。人力资本水平(human),使用职工平均工资衡量城市对新型数字人才吸引力[39]。教育水平(education),以一般预算支出中教育支出的对数形式表示[40]。金融发展水平(finance),以年末金融机构各项贷款余额的对数形式表示。人口规模(people),人口数量的增减直接影响劳动供给、消费市场规模以及创新能力,以城市户籍人口的对数形式表示。
(三) 数据来源和描述性统计选取2011—2021年230个地级市的面板数据,共计2 530个研究样本,其中实验组城市72个,样本数量792,控制组城市158个,样本数量1 738。数据来源包括《中国统计年鉴》《中国城市统计年鉴》、各地国民经济与社会发展统计公报、国泰安CSMAR数据库和EPS数据库,部分缺失数据使用Stata 17进行线性插值补齐。变量描述性统计如表 2所示。
| 表 2 统计性描述 |
观察表 2可知,新质生产力均值为0.018,标准差为0.035,说明样本城市新质生产力水平整体较低,且最小值0.004,最大值0.693,不同城市水平差距较大。试点虚拟变量均值0.172,说明总体样本中处于实验组的数据占总体数据比重为17.2%。
三、实证分析 (一) 基准回归结果实证验证国家级大数据综合试验区试点政策对地区新质生产力赋能效应。进行基准回归之前,方差膨胀因子检验(VIF)统计量6.45,小于10,证明变量选取不存在严重多重共线性。随后Hausman检验结果统计量173.06,通过1%显著性水平检验,证明采用固定效应模型能较好修正模型偏误。基准回归结果汇报见表 3,列(1)为未加入任何控制变量的回归结果,可以发现回归结果系数值0.017,通过1%显著性检验。列(2)为加入控制变量后的回归结果,回归系数值相对减少,具体为0.005,在1%显著性水平下显著。列(3)和列(4)为依次控制个体和时间固定效应回归结果,列(4)回归结果系数值趋于稳定,具体为0.01,通过1%显著性检验,证明本文假设1成立。观察列(4)控制变量回归结果,经济发展水平、产业结构、教育水平、金融发展水平与人口规模均在不同程度下显著。其中,金融发展水平系数为-0.011,可能的原因是城市金融行业发展虽能为新质生产力要素发展提供资金支持,但金融行业的过度扩张也可能导致资产价格过高,引导资金流向虚拟经济,挤压实体经济发展空间。
| 表 3 基准回归结果 |
使用双重差分法探究政策实施效应需通过平行趋势检验[41-42],即若未施行试点政策,实验组和控制组结果变量随时间变化趋势不会导致系统性偏误[43]。绘制90%置信区间下试点政策平行趋势检验结果,具体如图 1所示。从图中可以看出,在试点政策前各地区结果变量未出现较大差异,出现缓慢增加趋势。自政策实施当年,政策效应出现明显增加趋势,初步说明平行趋势假设成立。政策实施后期效应明显提升,企业建立数据采集系统,在实践中不断优化数据应用模式,培养数字人才支撑力,政策赋能的城市新质生产力水平经“厚积薄发”出现明显增长态势。
|
图 1 平行趋势检验 |
准自然实验前提假设其他因素对分组变量影响为随机分配,为验证政策冲击对实验组城市影响具备随机性,进行安慰剂检验。具体原理为:在总体样本中依据试点政策城市数量,随机逐年抽取相同数量城市500次作为“伪实验组”,检验回归结果系数是否显著。将安慰剂检验回归结果所得到500个估计系数与对应p值汇报在图 2。从图中可以发现,回归系数值落在0值附近且符合正态分布,基准回归结果系数值0.01位于正态分布右侧高尾位置,即基准回归结果不是随机产生,证明试点政策有效性。
|
图 2 安慰剂检验 |
偏误系数可解释为误差项与解释变量的相关性,即Corr(vi, xi)与Corr(xi, ciβc)的比值,使得偏误系数的具体度量值可以衡量遗漏在误差项中的变量对政策效应的因果关系识别影响程度。具体而言,敏感性分析可以衡量控制变量是否尽可能控制影响政策效应的其他混淆因素,检验结果见表 4。其中βxL指在误差项与解释变量存在相关性的强度范围内,估计出的自变量对应系数的最小值,同理βxH为最大值[44]。可得系数估计结果对遗漏变量问题不敏感,即证明未遗漏重要影响变量。
| 表 4 敏感性分析 |
PSM使用平均处理效应(ATT)反映匹配后实验组和控制组的自变量对因变量影响程度,即国家级大数据综合试验区政策效应对城市新质生产力水平的净影响效应。将实验组城市与控制组城市分别进行半径匹配和核函数匹配,结果见表 5。
| 表 5 稳健性检验 |
研究期内存在其他政策可能对新质生产力孕育产生影响,从而高估大数据综合试验区试点政策效应。加入宽带中国和智慧城市试点政策控制变量,以增加实证结果可信度。其中宽带中国政策旨在推进宽带网络的建设和改造,在城市地区利用光纤到户、光纤到楼等手段,实现宽带网络的无缝覆盖;智慧城市政策旨在利用新一代信息技术推动城市管理和服务的智能化。考虑到宽带网络是大数据传输和处理的基础,智慧城市政策中的信息技术应用可能与大数据应用场景重叠,因此需要控制该政策可能带来的影响。将宽带中国和智慧城市政策试点地区虚拟变量在政策发布后赋值为1,否则为0。回归结果如表 5所示。可见在排除其他政策干扰后,大数据综合试验区试点政策效应仍在1%显著性水平下显著,系数值分别为0.011和0.01。
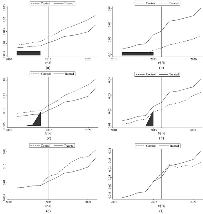
6. 合成控制双重差分(SDID)传统双重差分法通过设置实验组与控制组进行模拟准自然实验,就政策试点时间顺序来看,可分为单一时点和多时点双重差分,其中多时点双重差分也称交错DID或渐近DID。交错DID中一个重要潜在问题是异质性处理效应识别,即同一处理政策对不同个体产生效果存在差异[45-46]。此时双向固定效应模型估计量存在潜在偏误,估计效应不是受处理个体的平均处理效应,而是组别与时间处理效应的加权平均[47-48]。合成控制双重差分(SDID)通过选择个体和时间权重,确保加权时期接近估算反事实时期,以平均个体的平均处理效应[49]。图 3分别给出了双重差分法、合成控制双重差分法和合成控制法政策效应示意图,图(a)和(b)为双重差分法、图(c)和(d)为合成控制双重差分法,图(e)和(f)为合成控制法。可以发现不同试点时间对地区新质生产力均存在正向赋能效果,但存在处理效应差异,且合成控制双重差分法实验组和控制组效应差距明显变小。试点政策效应依赖当地产业结构、基础设施建设和科技创新水平。2015年贵州省贵阳市首先启动大数据综合试验区试点,寻求将大数据与传统产业、农业和服务业相融合的路径,贵州省政策效应趋势图虽存在上升趋势,但较控制组趋势不明显。2016年第二批试点地区名单发布,借助贵州省大数据综合试验区发展经验,第二批试点地区政策赋能新质生产力效应显著高于同时期控制组。
|
图 3 政策效应 |
为分析试点政策对新质生产力不同维度赋能效应,从科技生产力、绿色生产力和数字生产力三种角度进行分维度回归,表 6汇报详细检验结果。可以发现,三个维度回归系数均显著为正,系数值分别为0.015、0.01和0.01,即试点政策对科技生产力赋能效应最大,对绿色生产力和数字生产力赋能效应大致相同。可能是由于试点政策引导投资,企业利用数字化技术孕育以共享经济为代表的新型商业运营模式,通过大数据挖掘纾解信息不对称带来的资源配置效率低下,企业间“信息孤岛”问题得到有效处理。以大数据与生产领域融合,促进设计与生产部门间智能制造与网络协同模式发展,实现产品研发从经验导向转向数据支撑,提高创新适用度[50]。
| 表 6 维度异质性 |
由于中国现阶段地域发展不平衡,不同地区经济水平和科研创新能力以及企业对大数据技术应用程度和接受程度存在差异,故以我国东部、中部和西部分组进行地域异质性检验。同时,长江经济带是我国工业分布最密集区域之一,产业门类多、链条完整,在电子信息制造业和软件与信息技术服务业中影响力持续上升,持续促进传统产业数字化转型,推进城市管理和服务的智能化,提高城市竞争力,以样本城市是否属于长江经济带分组进行异质性分析。两种地域特征异质性视角检验结果见表 7。
| 表 7 地域特征异质性 |
大数据技术应用促使传统产业通过技术革新实现数字化转型,同时催生出新兴产业。以数字化、网络化、智能化的新技术促进新产业、新业态和新模式涌现,推动产业结构优化转型。人力资本水平提升,尤其是数字化产业领域的专业人才,对新质生产力发展具有重要作用,优化人力资本结构,提高人力资本水平是激活新质生产力的关键手段。数字基础设施是支撑新质生产力发展的物质基础,包括数据中心、宽带网络、智能传感器等,为数据采集、存储、处理和分析提供必要的硬件支持。新质生产力的发展推动产业结构优化,产业结构变革又要求人力资本水平提升,数字基础设施为产业结构优化和人力资本水平提供支撑。故从产业结构、人力资本和数字基础设施三种视角出发,进行经济特征异质性分析,具体检验结果见表 8。
| 表 8 经济特征异质性 |
表 8列(1)和列(2)汇报不同产业结构下的政策效应,其中产业结构以第三产业增加值占GDP比重与第二产业增加值占GDP比重的比值表示,以中位数分组进行回归。列(1)为低产业结构分组,回归结果未通过显著性水平检验;列(2)为高产业结构分组,回归系数0.025,通过1%显著性水平检验。可能是因为低产业结构城市尚处在数字化转型早期阶段,尚未充分应用大数据技术,对数字化转型需求感知不强烈,因此在政策效应方面呈现不够显著的特点。
以人力资本指标的中位数进行分组,列(3)和列(4)汇报人力资本异质性分组回归结果,其中人力资本用每万人中在校大学生人数代表。高人力资本组回归结果在1%显著性水平下为正值,具体系数值为0.025。低人力资本组回归结果为-0.002,通过5%显著性检验。可能的原因是新质生产力涉及新领域,技术含量高,地区人才储备影响试点政策落地推行效果,高人力资本组拥有高附加值和高技术含量的产业结构,在电子信息技术、战略性新兴产业和量子信息等前瞻性未来产业中拥有较强适应性与科研创新能力,能够充分发挥科技创新在新质生产力形成中的主导作用。大数据技术更新迭代速度快,对劳动者技能要求较高,低人力资本地区劳动者缺乏数字技能和信息素养,大数据技术应用和创新模式难以充分发挥赋能作用。
数字基础设施作为新质生产力重要支撑,为数据收集与应用提供基础平台。不同地区、行业和企业在数字基础设施方面的异质性,导致数据资源积累和技术应用能力存在差异,影响大数据应用和价值释放,进而影响新质生产力水平提升。将电信业务总量代表城市基础设施情况,以基础设施水平中位数进行分组,回归结果见表 8列(5)和列(6)。可以发现,高基础设施组回归结果显著为正,系数值0.014,通过1%显著性水平检验。数据是训练模型和优化算法的关键,企业无法获得足够数据,影响产品市场定位和产品策略调整。低基础设施水平组政策赋能效应不足,数据储存和计算能力不足制约创新速度和质量。
四、机制检验新质生产力孕育与经济社会数字技术进步紧密联系,换言之,数字技术即生产力跃迁至新质生产力的关键构成要素。前文实证检验表明,国家级大数据综合试验区试点政策赋能新质生产力。进一步思考,大数据和人工智能技术帮助企业理解市场需求和客户需求,优化研发流程,提高研发效率,为企业和研究机构提供创新平台。这种平台提供大量消费者行为、市场趋势和竞争对手信息,指导企业进行产品开发和创新,从而促使企业增加R&D经费支出。随着企业不断增加研发支出,推出新技术和新产品,整个产业结构随之优化升级。高新技术产业发展促进经济模式转变,基于数字平台优化商业模式,企业实现可持续韧性创新[51],增强企业适应外部风险能力,为地区发展高层次新质生产力提供有力支持。
为检验国家级大数据试验区试点政策拉动企业科技研发经费投入增加,进而赋能新质生产力的作用机制,设计三重差分模型进行机制效应检验[52-53],具体公式如式(2)所示。
| $ \text { productivity }_{i \mathrm{t}}=\alpha+\beta_0 \text { treat }_i \times \text { post }_{\mathrm{t}} \times M_{i, \mathrm{t}}+\beta_1 X_{i, c, \mathrm{t}}+\mu_j+\varphi_{\mathrm{t}}+\varepsilon_{i \mathrm{t}} $ | (2) |
其中:Mi, t为调节变量,即科技研发(RD);其余变量与上文含义相同。
表 9汇报机制检验回归结果,其中列(1)为科技研发机制检验结果,列(2)为基准回归结果以供对比。可以发现,科技研发机制作用在大数据综合试验区试点政策地区调节效应更为明显,系数值为0.022,通过1%显著性水平检验。未试点地区系数值相对较小,具体为0.013。可能的原因是试点区域吸引高技能人才、高科技企业和研究机构,形成创新聚集效应,促进知识交流和技术扩散。大数据技术在产业内产生网络外部性,增强企业间连接和协同。不仅如此,试点政策向市场发送信号,吸引投资者关注,从而增加企业研发资金来源,有效促进科技研发,进而赋能新质生产力发展。
| 表 9 机制检验 |
探究国家级大数据综合试验区试点政策是否有效赋能新质生产力提升,以2011—2021年230个地级市面板数据为样本,采用准自然实验方法,利用多期双重差分模型评估大数据综合试验区试点政策净效应。研究结果表明:第一,国家级大数据综合试验区试点政策赋能新质生产力提升,且该结论在系列稳健性检验下依旧成立;第二,维度异质性表明试点政策有效促进科技生产力、绿色生产力和数字生产力提升,且政策赋能科技生产力维度效果更为明显;第三,区域特征异质性分析表明经济发达城市政策赋能效应显著,高水平产业结构、人力资本和数字基础设施城市政策效应突出;第四,机制分析结果表明科技研发支出对试点政策赋能新质生产力提升起正向调节作用。
(二) 政策建议根据以上结论,提出如下政策建议。
第一,依据新质生产力子维度优化试点政策驱动数据要素渠道。针对科技生产力,设计科技创新基金,支持企业展开技术研发和转化,鼓励跨领域合作,加速科技成果向市场转化。与此同时,建立技术转化和成果应用率评估机制,确保科技创新成果落实。针对绿色生产力,推动传统产业向绿色化方向发展,提供税收优惠,引导企业增加环保投入。建立绿色技术示范基地,为企业提供绿色技术示范应用和培训基地,对不符合环保标准的企业进行处罚。针对数字生产力,举办数字技术展览会、研讨会和工作会,推动共享数字化转型经验和资源。投资数据中心、云计算和人工智能等战略新兴企业,构建稳定可靠的数字设施基础保障体系。
第二,针对地区产业结构异质性,有的放矢推进大数据综合试验区改革。立足现有产业,着眼未来发展,在推动传统产业升级转型基础上,根据技术创新方向布局未来产业,调整产业朝科技突破前沿领域改革。加快对传统产业进行数字化和智能化升级,加强企业绿色生产和节能减排,推动新技术、新模式应用,鼓励企业端形成高技术附加值、技术密集型上下游产业链。促进教育链、人才链和产业链深度融合,加快形成新质生产力所需人才培养模式,提升基础学科与前沿学科教育质量,鼓励支持创新型人才培养。
第三,政策实施环节充分发挥地方政府引导和企业模范带头作用。节能环保、绿色可持续发展是新质生产力形成必经之路,以绿色技术驱动产业发展,走资源节约、生态友好的发展之路。做好新质生产力支撑的制度环境保障,进一步发挥大数据综合试验区试点政策赋能的制度优势,加快布局新兴智能产业和环保产业。加强大数据综合试验区协调联动,推动跨区域、跨部门、跨行业的数据资源共享和流通,激发数据资源创新价值,促进数据驱动的产业升级转型。
| [1] |
张林, 蒲清平. 新质生产力的内涵特征、理论创新与价值意蕴[J]. 重庆大学学报(社会科学版), 2023(6): 137-148. DOI:10.11835/j.issn.1008-5831.pj.2023.10.001 |
| [2] |
魏崇辉. 新质生产力的基本意涵、历史演进与实践路径[J]. 理论与改革, 2023(6): 25-38. |
| [3] |
高帆. "新质生产力" 的提出逻辑、多维内涵及时代意义[J]. 政治经济学评论, 2023(6): 127-145. |
| [4] |
胡莹. 新质生产力的内涵、特点及路径探析[J]. 新疆师范大学学报(哲学社会科学版), 2024(5): 36-45, 2. |
| [5] |
周文, 许凌云. 论新质生产力: 内涵特征与重要着力点[J]. 改革, 2023(10): 1-13. |
| [6] |
蒲清平, 向往. 新质生产力的内涵特征、内在逻辑和实现途径: 推进中国式现代化的新动能[J]. 新疆师范大学学报(哲学社会科学版), 2024(1): 77-85. |
| [7] |
石建勋, 徐玲. 加快形成新质生产力的重大战略意义及实现路径研究[J]. 财经问题研究, 2024(1): 3-12. |
| [8] |
令小雄, 谢何源, 妥亮, 等. 新质生产力的三重向度: 时空向度、结构向度、科技向度[J]. 新疆师范大学学报(哲学社会科学版), 2024(1): 67-76. |
| [9] |
任保平, 王子月. 数字新质生产力推动经济高质量发展的逻辑与路径[J]. 湘潭大学学报(哲学社会科学版), 2023(6): 23-30. |
| [10] |
苏锦旗, 唐诗瑶, 张营营. 国家级大数据综合试验区能否促进区域经济高质量发展: 基于试点区政策的准自然实验[J]. 现代财经(天津财经大学学报), 2023(10): 56-73. |
| [11] |
刘超, 张庆雯, 聂心容. 激励性政策规制推动中国数字经济高质量发展机制研究[J]. 亚太经济, 2023(5): 98-113. |
| [12] |
耿伟, 王筱依, 王鑫源. 国家级大数据综合试验区与FDI流入: 基于数量和质量的视角[J]. 国际经贸探索, 2023(1): 19-35. |
| [13] |
张修凡, 范德成. 数字经济发展赋能我国低碳经济转型研究: 基于国家级大数据综合试验区的分析[J]. 科技进步与对策, 2023(19): 118-128. |
| [14] |
徐林, 侯林岐, 程广斌. 国家级大数据综合试验区创新效应研究[J]. 科技进步与对策, 2022(20): 101-111. |
| [15] |
王晓红, 李娜. 数字技术发展、产学研合作与企业创新能力: 基于国家级大数据综合试验区的分析[J]. 科技管理研究, 2022(17): 1-8. |
| [16] |
程云洁, 段鑫. 数字经济能促进城市减霾降碳吗: 基于八大国家级大数据试验区的准自然实证分析[J]. 软科学, 2024(1): 8-15. |
| [17] |
常皓亮, 金碚, 薛飞. 大数据战略对电力消费碳排放的影响: 基于国家级大数据综合试验区的准自然实验[J]. 经济与管理研究, 2023(5): 93-109. |
| [18] |
贾若祥, 王继源, 窦红涛. 以新质生产力推动区域高质量发展[J]. 改革, 2024(3): 38-47. |
| [19] |
刘志彪, 凌永辉, 孙瑞东. 新质生产力下产业发展方向与战略: 以江苏为例[J]. 南京社会科学, 2023(11): 59-66. |
| [20] |
支宇鹏, 卢潇潇. 国家大数据综合试验区设立与城市创业活跃度: 基于284个城市的经验证据[J]. 中国流通经济, 2023(3): 84-96. |
| [21] |
JOHNSON J S, FRIEND S B, LEE H S. Big data facilitation, utilization, and monetization: Exploring the 3Vs in a new product development process[J]. Journal of Product Innovation Management, 2017, 34(5): 640-658. DOI:10.1111/jpim.12397 |
| [22] |
CHEN W, SRINIVASAN S. Going digital: Implications for firm value and performance[J]. Review of Accounting Studies, 2024, 29(2): 1619-1665. DOI:10.1007/s11142-023-09753-0 |
| [23] |
吴海军, 郭琎. 数据要素赋能制造业转型升级[J]. 宏观经济管理, 2023(2): 35-41, 49. |
| [24] |
杜传忠. 新质生产力形成发展的强大动力[J]. 人民论坛, 2023(21): 26-30. |
| [25] |
胡莹, 方太坤. 再论新质生产力的内涵特征与形成路径: 以马克思生产力理论为视角[J]. 浙江工商大学学报, 2024(2): 1-13. |
| [26] |
黄群慧, 盛方富. 新质生产力系统: 要素特质、结构承载与功能取向[J]. 改革, 2024(2): 15-24. |
| [27] |
米加宁, 李大宇, 董昌其. 算力驱动的新质生产力: 本质特征、基础逻辑与国家治理现代化[J]. 公共管理学报, 2024(2): 1-14, 170. |
| [28] |
徐野, 田聪, 刘满凤, 等. 数据要素对经济增长的影响效应研究[J]. 统计与决策, 2024(6): 121-125. |
| [29] |
GLAESER E L, KERR S P, KERR W R. Entrepreneurship and urban growth: An empirical assessment with historical mines[J]. Review of Economics and Statistics, 2015, 97(2): 498-520. DOI:10.1162/REST_a_00456 |
| [30] |
刘明. 大数据综合试验区对企业创新的影响研究: 来自中国上市公司的经验证据[J]. 云南大学学报(社会科学版), 2024(1): 79-91. |
| [31] |
黄群慧, 杨虎涛. 中国制造业比重"内外差" 现象及其"去工业化" 涵义[J]. 中国工业经济, 2022(3): 20-37. |
| [32] |
于翔, 牛彪, 苑泽明. 数据资产、人力资本升级与企业价值[J]. 中南财经政法大学学报, 2024(2): 109-122. |
| [33] |
ACEMOGLU D, RESTREPO P. The race between man and machine: Implications of technology for growth, factor shares, and employment[J]. American Economic Review, 2018, 108(6): 1488-1542. DOI:10.1257/aer.20160696 |
| [34] |
惠宁, 薛瑞宏. 加快建设数字基础设施着力提高全要素生产率[J]. 西北大学学报(哲学社会科学版), 2023(1): 36-55. |
| [35] |
仲伟俊. 新型基础设施建设、数字技术创新"增量提质" 与制造业产业链自主可控能力[J]. 新疆社会科学, 2024(2): 55-67. |
| [36] |
许文立. 双重差分法的最新理论进展与经验研究新趋势[J]. 广东社会科学, 2023(5): 51-62. |
| [37] |
卢江, 郭子昂, 王煜萍. 新质生产力发展水平、区域差异与提升路径[J]. 重庆大学学报(社会科学版), 2024(3): 1-17. DOI:10.11835/j.issn.1008-5831.jg.2024.03.002 |
| [38] |
卢江, 郭子昂. 技术变迁、平均利润率与劳动生产率: 基于中国2006—2020年290个城市面板数据的实证研究[J]. 上海经济研究, 2023(4): 72-83. |
| [39] |
杨玉琪, 王小华. 数字化赋能与城市经济高质量发展: 基于国家级大数据综合试验区的准自然实验[J]. 经济问题探索, 2023(12): 105-123. |
| [40] |
刘家旗, 薛飞, 茹少峰. 人工智能技术对城市经济韧性的影响研究[J/OL]. 软科学, 2024: 1-12. https://link.cnki.net/urlid/51.1268.G3.20231214.1612.010.
|
| [41] |
BECK T, LEVINE R, LEVKOV A. Big bad banks? the winners and losers from bank deregulation in the United States[J]. The Journal of Finance, 2010, 65(5): 1637-1667. DOI:10.1111/j.1540-6261.2010.01589.x |
| [42] |
ROTHBARD S, ETHERIDGE J C, MURRAY E J. A tutorial on applying the difference-in-differences method to health data[J/OL]. Current Epidemiology Reports, 2023. https://doi.org/10.1007/s40471-023-00327-x.
|
| [43] |
BERTRAND M, DUFLO E, MULLAINATHAN S. How much should we trust differences-in-differences estimates?[J]. The Quarterly Journal of Economics, 2004, 119(1): 249-275. DOI:10.1162/003355304772839588 |
| [44] |
ROSENBAUM P R, RUBIN D B. Reducing bias in observational studies using subclassification on the propensity score[J]. Journal of the American Statistical Association, 1984, 79(387): 516-524. DOI:10.1080/01621459.1984.10478078 |
| [45] |
刘冲, 沙学康, 张妍. 交错双重差分: 处理效应异质性与估计方法选择[J]. 数量经济技术经济研究, 2022(9): 177-204. |
| [46] |
王鹏超, 韩立彬. 多时点双重差分法的潜在问题与解决措施[J]. 东北财经大学学报, 2023(2): 27-39. |
| [47] |
DE CHAISEMARTIN C, D'HAULTFŒUILLE X. Two-way fixed effects estimators with heterogeneous treatment effects[J]. American Economic Review, 2020, 110(9): 2964-2996. DOI:10.1257/aer.20181169 |
| [48] |
GOODMAN-BACON A. Difference-in-differences with variation in treatment timing[J]. Journal of Econometrics, 2021, 225(2): 254-277. DOI:10.1016/j.jeconom.2021.03.014 |
| [49] |
ARKHANGELSKY D, ATHEY S, HIRSHBERG D A, et al. Synthetic difference-in-differences[J]. American Economic Review, 2021, 111(12): 4088-4118. DOI:10.1257/aer.20190159 |
| [50] |
丁志帆. 数字经济驱动经济高质量发展的机制研究: 一个理论分析框架[J]. 现代经济探讨, 2020(1): 85-92. |
| [51] |
侯光文, 刘青青. 数字化情境下如何激活企业创新韧性: 稳定性与灵活性二元视角[J/OL]. 科技进步与对策, 2024: 1-9. https://link.cnki.net/urlid/42.1224.G3.20231227.0945.008.
|
| [52] |
邓仲良. 人口疏解政策和劳动力流动: 基于一个自然实验研究[J]. 中国人民大学学报, 2023(4): 52-66. |
| [53] |
WOOLDRIDGE J M. Econometric analysis of cross section and panel data[M]. Cambridge, Mass.: MIT Press, 2010.
|
2024, Vol. 30

