发展新质生产力要突破旧生产力格局在空间上的限制。大量文献从家庭消费决策、地区间价格水平等为数字经济、数字平台突破区域经济发展的空间限制提供了证据[1-3]。然而企业在这一过程中发挥的作用却始终不被文献重视。究其原因包括:一则,系统性的企业层面定价数据难以获得。虽然部分研究利用电商数据或大型超市数据捕捉了数字应用带来的定价策略变化[4-6],但这类推断难以代表数字时代所有企业的系统回应。其二,数字技术应用程度难以刻画。文献当中通过捕捉企业是否公布邮箱、是否建有官方微博、是否建立公司网站,以及企业年报中数字相关词汇的出现频次等来捕捉企业的数字化发展程度[7-8],然而不同刻画方式的悬殊会影响估计结论,并且由自选择、反向因果带来的内生性问题也严重干扰结论与推断。
作为生产与流通的关键主体,企业可以通过优化自身选址和调整合作企业(供应商+客户)的空间布局来影响商品供给价格,进而影响市场整合进度。因此,即便系统性的定价策略无法获取,从自身选址和合作企业空间选择的调整上也能够捕捉到企业的定价策略。一部分研究揭示了数字技术对企业选址的积极影响[9]。但相比企业的选址调整,优化合作企业的空间布局更能节省成本,并在一定程度上帮助企业通过空间延伸产业链来获得规模与网络优势。因此,相比重新选址,合作企业的空间选择更能反映企业的定价策略。由此产生新的问题是,既然已有文献揭示了数字技术对市场整合有推动作用,那么这种推动作用如何体现在企业经济活动的空间分布上?数字技术能否推动企业将产业链条向外地延伸?其中的作用机制是什么?
理论上,基于在信息收集、处理上的规模优势和网络优势,数字技术能够帮助企业探索更低成本的货源和挖掘更广阔的潜在市场,从而实现企业在全国范围内的资源整合和市场拓展,突破旧发展格局当中由行政壁垒造成的空间限制[10-11]。此外,数字技术与人工智能、数字平台的搭配与应用进一步提高信息处理效率,帮助企业节省交易成本,并在面向市场的技术创新上发挥积极作用[12-13]。因此,对上述问题的回答不仅可以揭示新发展格局下链上企业互动关系的新变化,厘清数字技术在全国统一大市场建设过程中扮演的角色,对采用新理念、新工具突破旧的生产力格局也能有一定的政策启示。
本文以“宽带中国”试点政策作为政策冲击,结合2007至2022年沪深两市A股上市公司的经验数据,设计准自然实验来克服变量测度难题以及由此带来的内生性问题,从链上企业的互动关系来提供数字技术突破空间限制中的关键证据。本文的边际贡献包括:第一,利用链上企业的空间分布来揭示企业向其他区域拓展产业链的影响因素与机制,为理解全国统一大市场建设提供新视角;第二,通过准自然实验设计来识别出数字技术在突破经济活动空间限制的关键机制与作用渠道,尽可能明晰数字技术赋能市场化建设的途径。
一、文献回顾与理论假说 (一). 文献回顾现有研究分别从供给端和消费端探索数字技术在市场整合与统一大市场建设中的作用。供给端的研究往往认为数字技术发展不仅能够缩小地区之间的数字鸿沟,也可以通过构建线上市场的竞争空间,并外溢引导线上—线下市场竞争,来突破旧生产力格局中的市场壁垒[2-3, 14-15]。数字技术一方面可以节省搜寻、匹配的市场交易成本,推动商品与要素跨地区流动[16];另一方面还可以利用网络经济特性来加剧地区之间的竞争效应,从而均衡推动地区间商品、要素价格趋于一致。除数字技术本身存在的信息优势、网络特性之外,与之充分结合的互联网交易平台、智能应用、大数据应用等,也在一定程度上强化线上企业之间的市场竞争,促成线上—线下市场的共同整合[1, 4]。此外,数字技术还可以通过拓宽信贷融资渠道,提升创新绩效等途径推进地区间的创新合作、异地投资[9, 17-19],打破原有生产力格局中的空间限制。
在需求端,部分文献从家庭消费决策为数字技术突破空间限制提供了证据,认为利用居民消费带动商品跨地区流转,是打破空间限制、推动市场整合的重要动因[6]。数字技术能够通过消费授信、支付便利等渠道直接推动消费扩张[20],还可以深化生产、消费终端和流通的分工水平来间接促进消费[21],通过跨地区的消费选择来促进市场整合。
供给、需求端的现有观点多从数字技术特征、功能来为跨地区之间要素与商品市场整合提供解释,却忽视这一过程中最关键的参与主体——企业所发挥的作用,使得从这类文献并不能获得数字技术打破空间限制完整的证据链条。事实上,要素与商品流动都与企业的空间决策有关。这种空间决策一方面关系到企业如何选址,另一方面则和生产链条上合作企业的选择有关。一旦确定了选址,那么如何选择合作伙伴的地理分布则成为影响市场整合的关键。
(二). 理论假说为了增加收入、降低风险,企业积极寻求更加广阔的市场。然而,地理隔阂与信息障碍致使产业链发展更多地呈现出本地化特征。加上改革开放以来高度的地方分权催生的以省级行政区为单位的地方保护主义[22],进一步强化了地理隔阂对企业经济活动本地化的推动作用。数字技术的应用能够帮助企业克服信息不对称,并且降低由地理隔阂导致的要素与商品搜寻—匹配时面临的交易成本。
首先,数字技术发展不仅提高内部的信息交流效率,降低内部决策成本[23],人工智能、大数据、云计算等数字技术的应用也优化了企业信息获取与处理能力[12],帮助企业及时获得市场信息,提高企业市场行为中的搜寻—匹配效率。其次,数字技术发展改善的信息环境和条件,帮助企业克服由地理隔阂带来的交易成本。一则,企业对大数据、人工智能等数字技术的应用加快了信息的扩散速度,扩大传播的范围和影响力[24],从而改善企业内外沟通的信息环境[25-29]。第二,企业运用数字技术可以低成本、多维度地收集供应商及客户信息,在提高搜寻和匹配精准度的同时减少变更合作关系时面临的转换成本。在传统的产业链环境下,考虑到更换合作企业引发的转换成本, 企业会倾向于形成单一的合作捆绑关系[24]。数字技术在信息处理上的优势能帮助企业抓住新的市场机会,减少更换合作企业引起的转换成本[30]。此外,数字技术提供的良好的信息环境,还能够帮助企业有效降低监督成本。基于以上分析提出假设1,以备下文检验。
假设1:数字技术通过降低企业交易成本来帮助企业突破经济本地化,将经济活动向外延伸。
产品竞争力是决定供应商和客户选择的重要因素[31],数字技术的应用有助于企业更好地定位市场需求、提高生产效率、促进产品创新,进而通过提高产品竞争力来突破空间限制。第一,利用数据分析、人工智能和机器学习等技术,企业能更快地识别市场需求、预测趋势,从而加速新产品开发周期。同时更好地理解消费者喜好,有针对性地设计创新产品。第二,连带的数字化转型可以提高企业创新能力,提升全要素生产率[32-33]。数字技术可以帮助企业实现生产线的自动化和智能化,让企业实现生产过程的精细化管理和实时监控,不仅提高了生产效率,也确保了产品质量的稳定性。第三,数字技术提供的先进的设计工具与软件,帮助企业快速设计、测试和优化新产品,加速产品开发并提高设计质量;数字技术嵌入企业研发、设计与制造环节,推动企业产品创新能力的“跃迁”[13]。由此提出如下备验假设。
假设2:数字技术通过增强企业产品竞争力来帮助企业突破本地化,将经济活动向外延伸。
二、模型与数据 (一). 模型设定从2013年颁布《“宽带中国”战略及实施方案》开始,我国在2014、2015、2016年先后遴选了117个城市(群)作为“宽带中国”试点城市。数字技术需要以网络基础设施作为载体,其发展程度依赖于宽带网络的建设和运营效率[9]。因此选择该试点政策来设计准自然实验,能够表征数字技术的推广应用水平。设置多时点DID模型如下:
| $ \text { Localization }_{i \mathrm{t}}=\alpha_0+\alpha_1 \mathrm{BDC}_{i \mathrm{t}}+\mathit \lambda \boldsymbol{ \Gamma}+\text { Localization }_i^0 \times \text { year }+ \text { industry }+ \text { province }+ \text { city }+\varepsilon_{i\mathrm{t}} $ | (1) |
式中,Localizationit表示在t年企业i经济活动的本地化水平,利用和企业i同属一个省份的合作企业数量进行衡量,回归时分别包括采购活动的本地化水平(Localization_s)和销售活动的本地化水平(Localization_c)。BDCit是政策变量,表示企业i的注册地在t年是否纳入了“宽带中国”的政策试点,是取值1,否则取值0。Γ 是控制变量向量集。industry、province、city分别表示年份、行业、省份、城市虚拟变量,εit是随机扰动项。考虑到企业初始值时间趋势对结果的干扰,回归时控制了企业样本初期的经济本地化Localizationi0与年份的交乘项。
机制检验时则在模型(1)的基础上将被解释变量替换成机制变量,然后进行2SLS估计。此外还借鉴Acemoglu等[34]的做法,在模型(1)的基础上引入机制变量进行渠道识别。考虑到企业所在省份的经济发展水平(pgdp)、流通节点城市(nod)的差异,以及企业对产业链的依赖程度(chaindep)、链条上纵向分工水平(vertical)等会对数字技术的作用形成影响,为此在模型(1)的基础上加入这类变量X(pgdp,nod,chaindep,vertical)与多时点政策变量BDCit的交乘项,设置模型(2)来检验这类因素带来的异质性影响。
| $ \text { Localization }_{i \mathrm{t}}=\alpha_0+\alpha_1 \mathrm{BDC}_{i \mathrm{t}}+\alpha_2 \mathrm{BDC}_{i \mathrm{t}} \times X+\lambda \boldsymbol{\Gamma}+\text { Localization }_i^0 \times \text { year+industry }+ \text { province }+ \text { city }+\varepsilon_{i \mathrm{t}} $ | (2) |
由于并非所有上市公司都披露合作企业信息,即便披露也仅按信息披露建议公布了前五大供应商与客户名单,因此本文仅使用有披露合作企业的非平衡样本来进行检验。其中,Localization_s用同在一个省份的供应商企业j的数量来衡量,即
控制变量的选取上,参考已有文献[35-37],分别控制以下因素:(1)包括企业规模(size)、企业自上市以来经营时长(age)的个体特征;(2)衡量经营运转与经营绩效的市净率(pb)、托宾Q值(Tobinq)和现金流比率(cashflow);(3)衡量企业链条上的特征以及与合作企业之间的联系,包括纵向一体化程度(lgvas)、前五大供应商采购总额占比(t5suplpart)和前五大客户销售总额占比(t5cusoirt)。控制变量及其测度方式见表 1。
| 表 1 控制变量的选取与测度 |
数据来源于中国研究数据服务平台(CNRDS)和国泰安(CSMAR)数据库。从表 2的描述性统计能够发现,Localization_s均值高出Localization_c平均水平40.42%,说明对于样本企业而言,销售市场相对在省外,原料与中间产品省内供货较多。
| 表 2 变量描述性统计 |
表 3汇报了模型(1)的估计结果。其中,列(1)至列(3)是对采购活动经济本地化的估计结果,列(4)至列(6)是对销售活动本地化的估计结果。从回归结果来看,“宽带中国”显著推动企业到省外寻找供货源与销售渠道。列(3)和列(6)的结果说明,在控制其他条件时,“宽带中国”政策推动企业前五大供货商中本省企业从1.487个减少到1个,减少32.75%,本省客户企业从1.059个减少到0.8个,降幅24.45%。如果将合作企业数量转换成交易金额,则上述结果可以解读为:“宽带中国”政策使企业与省内供应商平均采购金额比重从12.37%下降至8.319%(=(12.37%/1.487)×1),平均采购额减少4个百分点;省内客户平均销售金额占比从8.094%下降至6.114%(=(8.094%/1.059)×0.8),降低1.98个百分点。
| 表 3 基准回归结果 |
以上估计结果表明“宽带中国”这一数字技术对突破以省份行政区为界的空间限制有积极作用,并对采购活动的促进作用大于销售活动。可能的解释是:第一,长期以来上游企业相比于下游企业的垄断能力更强[38-39],因此向上游企业拓展市场业务比下游更难。第二,样本期间包含交通基础设施在内的硬件完善促使企业提高数字化水平[40], 进而帮助企业向外拓展销路,但对供给端的影响相对较小[41]。以上结果支持了理论假说。
(二). 稳健性检验1.平行趋势检验
前文借鉴混合截面数据的处理方法进行了检验,然而这一设计能否满足处理组与对照组之间的平行趋势?借鉴黄炜等[42]的做法,根据城市进入“宽带中国”试点的时间设置政策冲击前、后的政策虚拟变量,构建模型(3)的动态双重差分模型,从中观察处理组和控制组是否拥有相似的趋势,以此确保任何效应的变化是由政策引起,而非由基线差异造成。
| $ \begin{aligned} \text { Localization }_{i\mathrm{t}}= & \alpha+\beta^{\text {precut }}\left[D_i \times I\left(t-T_D<-3\right)\right]+\sum\limits_{-3}^{-1} \beta^{\text {pre }}\left[D_i \times I\left(t-T_D=s\right)\right]+\sum\limits_0^2 \beta^{\text {post }}\left[D_i \times I\left(t-T_D=s\right)\right]+ \\ & \beta^{\text {posteut }}\left[D_i \times I\left(t-T_D>2\right)\right]+\lambda \boldsymbol{\Gamma}+\text { localization }_{\mathrm{i}}^0 \times \text { year+industry }+ \text { province }+ \text { city }+\varepsilon_{i \mathrm{t}} \end{aligned} $ | (3) |
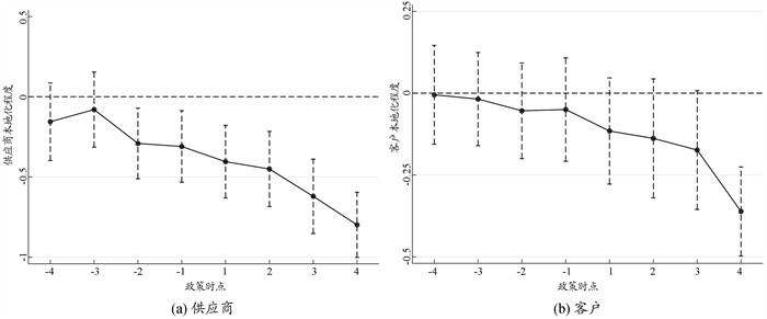
式中:Di=1表示企业i为处理组,否则为控制组;I(·)是示性函数,TD是“宽带中国”政策当期,t-TD是距离政策当期的相对时间,其中s=-1为基期,其余变量设置与模型(1)相同。若回归系数βprecut、βpre不显著异于0,βpost、βpostcut显著异于0,则通过平行趋势检验。检验结果见图 1。在政策实施前,企业采购行为和销售行为的本地化在两个组别中不存在显著差异,但在政策实施后处理组经济本地化均明显下降,表明“宽带中国”对企业跨地区选择合作企业有促进作用。
|
图 1 平行趋势检验 |
2.安慰剂检验
进一步利用安慰剂检验来排除其他随机性因素的干扰。做法是随机抽取123个城市作为处理组,剩余城市为控制组,并随机为处理组城市设定政策实施年份,对新样本构建500次“伪政策虚拟变量”后带入模型(1)重新估计,结果见如图 2。“伪政策虚拟变量”回归系数均值接近于0,估计系数接近于正态分布,且在10%的水平上不显著,从而排除其他随机因素对结果的干扰。
|
图 2 安慰剂检验 |
3.剔除变量测度误差的干扰
基准估计结果可能受到测度误差的影响:一是经济本地化仅仅根据本省企业数量进行测度,并未考虑企业间业务量大小的影响;二是测度误差来自解释变量。虽然“宽带中国”政策影响地方的数字技术发展,但政策虚拟变量并不能完全捕捉企业层面的数字技术的发展程度。对于上述测度误差采取的处理是:其一,利用与本省合作企业之间的往来业务量(采购量或销售量)占比测度企业经济活动的本地化程度;其二,借鉴袁淳等[36]的处理,利用MD&A数字化词频数(MD&A)和年报数字化词频数(NBT)分别测度企业的数字技术水平。根据上述两种测度方法得到的估计结果见表 4。列(1)和列(4)分别是利用本省供应商、客户业务量占比测度并替代被解释变量的估计结果,列(2)、列(5)是利用MD&A数字化词频数的连续变量替代政策虚拟变量的估计结果,列(3)、列(6)是利用NBT替代政策虚拟变量得到的估计结果。可以发现,变换解释变量、被解释变量的测度方式并不改变基准估计结论。
| 表 4 剔除变量测度误差干扰的估计结果 |
4. PSM-DID估计
由于“宽带中国”试点城市并非随机选择的结果。因此有必要利用对样本进行匹配,然后再利用准自然设计来进行检验。具体做法是,先利用卡尺近邻匹配(1 ∶2)将处理组与控制组进行匹配,再根据双重差分方法估计处理效应。PSM-DID的优点在于能够处理因果效应的内生性和选择性偏误,减少了由于处理效应与其他因素之间的关联性导致的估计偏误。图 3展示了供应商、客户数据匹配前后的核密度图,结果表明处理效果显著。
|
图 3 卡尺近邻匹配前后的核密度图 |
表 5中展示了利用卡尺近邻匹配(1 : 2)后的回归结果,可以发现估计结果仍然稳健。无论是系数大小、符号还是显著性水平,都与基准估计结果相差不大。
| 表 5 PSM-DID估计结果 |
5.改变样本范围与区间
考虑到直辖市、省会城市和副省级计划单列市在省域经济活动中的特殊性,为此在基准估计样本基础上将上述三类城市剔除。此外,考虑到2019年底暴发的新冠疫情产生的冲击,在基准估计的样本上剔除掉2020年以来的样本。表 6列(1)、列(3)是剔除城市样本之后的估计结果,列(2)、列(4)是只保留2019年以前样本估计的结果。系数与基准估计结果保持一致。
| 表 6 改变样本范围和区间的估计结果 |
6.内生性处理
准自然实验设计虽然解决了由自选择和变量遗漏带来的内生性问题,但并不能完全解决变量之间反向因果带来的内生性问题。体现在本研究中为:企业为了向外扩大市场,会增加对数字技术的需求,从而推动数字技术产品和服务的创新和发展。为此,参照袁淳等[36]的做法,利用1984年邮电业务总量与上一年互联网用户人数的交乘项(telinternet)作为工具变量,来解决潜在内生性引起的估计偏差。表 7报告了工具变量的回归结果。其中,第一阶段结果显示telinternet系数均显著为正,且“弱工具变量检验”的F统计量显著均大于临界值10。第二阶段回归结果显示,BDC的回归系数依然在1%的水平上显著为负,同时“过度识别检验”的LM统计量均显著大于临界值,说明不存在过度识别问题。在缓解了反向因果造成的内生性问题之后,BDC的系数仍然显著为负,因此有理由相信基准估计结果的稳健性。
| 表 7 工具变量两阶段的估计结果 |
7.排除其他竞争性解释
与“宽带中国”同一时期的政策冲击还包括“国家智慧城市”试点和“国家创新型城市”试点政策。两个试点政策和“宽带中国”的政策目标上虽然存在差异,但在政策实践中均会对数字技术及经济本地化产生影响。为排除两个全国性试点政策对估计结果的干扰,分别根据各批次试点名单在模型(1)的基础上引入企业所在城市当年是否进入“国家智慧城市”的政策虚拟变量(zhcs),以及是否进入“国家创新型城市”名单的政策虚拟变量(cxcs)。表 8的估计结果表明即便控制住样本期间的竞争性的试点政策,BDC的作用仍然显著为负,基准估计结果稳健。
| 表 8 排除其他竞争性解释的估计结果 |
结合前文假设,主要从交易成本和产品竞争力两方面检验数字技术何以推动企业打破经济本地化的机制。具体做法是:(1)按照2SLS的估计原理,先对交易成本(lgtran)、产品竞争力(lgpatent)进行估计,然后再利用lgtran、lgpatent的预测值对Localization_s和Localization_c进行估计。(2)以表 3第(3)、(6)列的基准估计结果为参照,在模型(1)的基础上分别引入lgtran、lgpatent进行渠道识别检验。交易成本(lgtran)的测度借鉴了石大千等[43]、吴海民等[44]的做法,利用销售费用、管理费用与财务费用之和的对数来衡量。三大期间费用发生在采购、销售和内部决策环节,多为企业的非生产性支出,较易受业务招待、高管在职消费以及地方保护主义和潜在寻租行为的影响,因此能够代理企业拓展经济活动时面临的内、外交易成本[45]。期间费用越大,则表示交易成本越高。创新不仅能够推动企业提高生产率,同时也是产品竞争力的主要来源。考虑到创新表现多与研发产出有关,为此利用企业的申请专利数加1再取对数来代理产品竞争力(lgpatent)。
2SLS估计的结果见表 9,其中列(1)至列(5)是对采购活动本地化的估计结果,列(6)至列(10)是对销售活动本地化的估计结果。被解释变量为lgtran和lgpatent时是第一阶段的估计结果,剩余列是第二阶段的估计结果。
| 表 9 机制检验结果 |
从列(1)、列(6)可以发现,数字技术显著节省了采购活动与销售活动的交易成本,进一步帮助企业扩大供应商和客户的选择范围,将经济活动向外省延伸。列(2)、列(7)的结果验证了数字技术推动企业加大研发创新,在此基础上突破经济活动受到的来自地理隔阂、行政壁垒的限制。当将机制变量的预测值同时带入第二阶段进行估计时,lgtran、lgpatent的估计系数变化并不大,但显著性明显提高,说明数字技术发展在交易成本节约和核心竞争力提升两条路径上同时存在,彼此之间对突破经济活动本地化的作用互不干扰。表 10是利用渠道检验以进一步佐证机制检验的结果。其中列(1)、列(5)是基准估计结果,其余列是引入作用渠道的估计结果。对照不难发现,当分别引入lgtran、lgpatent之后,核心变量BDC的系数明显变小,而lgtran、lgpatent的系数均显著。当同时纳入lgtran、lgpatent之后仍然不改变渠道检验的结果。这说明“宽带中国”试点政策促进的数字技术发展,能够通过节省企业经济活动的交易成本和提升自身的核心竞争力,来突破采购与销售活动面临的空间限制。
| 表 10 渠道检验的估计结果 |
1.经济发展水平的异质性影响
不同的经济发展阶段影响着数字技术的发展水平,从而对企业经济活动的空间布局也会造成影响。为此根据各省份人均生产总值均值设置虚拟变量(pgdp),将高于均值的设置为1,否则为0,构建多时点政策变量BDC与地区人均生产总值的交互项,然后带入模型(2)进行估计。表 11中列(1)、列(6)报告了回归结果。可以发现,经济发展水平越高,数字技术突破企业经济活动本地化的作用越大。此外还按照区域经济的发展梯度,设置东部(east)、中部(mid)和西部(west)的虚拟变量,将其与核心变量交乘进行异质性检验,估计结果分别见表 11列(2)至(4)、列(7)至(9)。从系数符号和大小上判断,数字技术冲击能够促进企业降低经济活动的本地化程度,推动企业向省外拓展业务,并且总体上对采购活动的效果大于销售活动,因此基准估计结果仍然成立。但对比不难发现,这种促进作用主要发生在东部和西部地区,在中部只对采购活动向外省拓展业务有显著影响。中部的效果差异可能与中部六省在联通全国东—西区域和南—北区域中的枢纽地位有关。数字技术对采购活动本地化的削弱效果西部大于东部,但对销售活动本地化的作用则东部大于西部。这其中可能与西部面临着由物理距离以及相对低效的物流行业产生的较高的运输成本有关。
| 表 11 区位特征异质性的估计结果 |
2.流通节点城市的异质性影响
流通节点城市具有较强集聚、辐射等功能,在流通网络中处于重要的枢纽地位。因此,企业是否处在流通节点城市也会影响经济活动地理分布。为此依据2015年商务部等10部门印发的《全国流通节点城市布局规划(2015—2020年)》,设置企业所在城市是否属于流通节点城市的虚拟变量nod,将其与BDC交乘后引入模型(2)进行估计。回归结果见表 11列(5)和列(10)。可以发现,处在流通节点城市的企业更易利用节点城市的地理、交通优势,将采购活动和销售活动向外省延伸。
3.企业产业链依赖度的异质性影响
当企业之间的产业链依赖度越来越高时,一旦某个环节出现问题会对整个产业链造成连锁反应。因此,数字技术带来的影响也会随企业对产业链的依赖程度不同而发生改变。为此设置产业链依赖度高与低的虚拟变量chaindep与BDC进行交乘,然后代入模型(2)进行估计。产业链依赖度主要利用企业向五大供应商(客户)采购(销售)金额的集中度进行测度,高于50%视为产业链(供应链、客户链)依赖度高的企业,否则产业链依赖度低。表 12中列(1)、列(3)报告了估计结果,可以发现较高的产业链依赖度可以增强数字技术突破经济活动本地化的作用。
| 表 12 产业链特征异质性的估计结果 |
4.纵向一体化水平的异质性影响
纵向一体化能够有效规避不确定性、降低交易成本,进而提升公司价值[36]。那么对于纵向一体化水平较高的企业而言,数字技术对经济活动地理分布的影响是否会更强?为了探究这一问题的答案,利用价值增值法(VAS)度量企业的纵向一体化水平,在此基础上根据纵向一体化的样本均值设置企业是否拥有较高纵向一体化水平的虚拟变量(vertical),将其与BDC交乘再代入模型(2)进行估计。价值增值法是通过计算企业所在产业链上的增加值占销售收入的份额来测算企业的纵向一体化水平,增加值份额越高,则纵向一体化水平越高[35]。回归结果见表 12中列(2)、列(4)。可以发现,纵向一体化水平高的企业,更倾向于将采购活动和销售活动向外省延伸。
5.行业异质性
考虑到不同行业对突破地理隔阂与地方保护的需求并不完全一致,为此采取两个方面的做法来检验行业之间的异质性作用:首先按照《国民经济行业分类》设置第一产业(one)、第二产业(two)和第三产业(three)的虚拟变量,将其与BDC进行交乘,然后带入模型(2)进行估计,所得结果见表 13列(1)至列(6);其次,参照鲁桐和党印[46]的做法,将样本企业区分为技术密集型(technology)、劳动密集型(labor)和资本密集型(capital)企业,然后分别构建类型虚拟变量,在与BDC进行交乘之后带入模型(2)进行估计,所得结果见表 13列(7)至列(12)。结果表明,三产受到的影响远低于一产和二产,这和三产相比一、二产更依赖于本地资源与市场有关。而在行业的要素密集度的特征上,数字技术对技术密集型企业延伸合作空间的作用比其他两类行业要小,一方面是由于这类行业包括了数字技术相关产业,本身不太受地理隔阂的限制;另一方面则与这类行业更侧重于投入更多的人力资本而非实物性的生产要素有关,而人力资本受到的空间限制要比其他要素小得多。
| 表 13 行业异质性的估计结果 |
利用“宽带中国”的政策冲击设置准自然实验,从合作企业的空间分布的视角,为数字新业态赋能全国统一大市场建设提供了新证据。研究结果表明,“宽带中国”政策试点推动企业前五大供货商中本省企业减少32.75%,本省客户企业降低24.45%,推动省内企业平均采购额占比下降4个百分点,省内企业平均销售额占比减少1.98个百分点。在作用机制上,“宽带中国”提升的数字技术水平不仅可以降低搜寻、匹配、议价、监督等交易成本,还可以增加产品的竞争力来突破旧生产格局中的空间限制。当然,数字技术的积极作用随城市经济发展水平、地理区位、行业与产业链特征的差异而存在异质性。
作为调整生产关系的重要部分,建设全国统一大市场能够从信息提供、供求引导、激励分配等多方面推进新质生产力发展。上述发现能够为全国统一大市场建设的政策实践提供如下启示:第一,抓好数实深度融合建设统一大市场。作为新兴的经济形态,数字经济具有开放、共享、打破传统时空限制的特点,大力发展数字经济,推动数字技术与实体经济的深度融合,应该作为推进全国统一大市场建设的重要抓手。第二,要不断推进数字基础设施建设,完善数字基础设施体系和数据要素的相关制度,以此赋能企业优化生产、流通与销售的空间布局,突破旧生产力格局中微观主体面临的空间限制。
| [1] |
寇宗来, 李三希. 线上线下厂商竞争: 理论和政策分析[J]. 世界经济, 2018(6): 173-192. |
| [2] |
尹振东, 龚雅娴, 石明明. 数字化转型与线上线下动态竞争: 消费者信息的视角[J]. 经济研究, 2022(9): 192-208. |
| [3] |
戴翔, 马皓巍, 金碚. 数字化转型与资源优化配置: 兼论对统一大市场建设的可能作用[J]. 中国人民大学学报, 2024(1): 72-85. DOI:10.3969/j.issn.1000-5420.2024.01.008 |
| [4] |
马述忠, 房超. 线下市场分割是否促进了企业线上销售: 对中国电子商务扩张的一种解释[J]. 经济研究, 2020(7): 123-139. |
| [5] |
孙震, 刘健平, 刘涛雄. 跨平台竞争与平台市场分割: 基于中国线上市场价格离散的证据[J]. 中国工业经济, 2021(6): 118-136. DOI:10.3969/j.issn.1006-480X.2021.06.007 |
| [6] |
张昊. 非对称竞争下的电商动态定价策略[J]. 经济研究, 2023(2): 158-174. |
| [7] |
孙浦阳, 张靖佳, 姜小雨. 电子商务、搜寻成本与消费价格变化[J]. 经济研究, 2017(7): 139-154. |
| [8] |
施炳展, 李建桐. 互联网是否促进了分工: 来自中国制造业企业的证据[J]. 管理世界, 2020(4): 130-149. DOI:10.3969/j.issn.1002-5502.2020.04.013 |
| [9] |
赵涛, 张智, 梁上坤. 数字经济、创业活跃度与高质量发展: 来自中国城市的经验证据[J]. 管理世界, 2020(10): 65-76. DOI:10.3969/j.issn.1002-5502.2020.10.006 |
| [10] |
李万利, 刘虎春, 龙志能, 等. 企业数字化转型与供应链地理分布[J]. 数量经济技术经济研究, 2023(8): 90-110. |
| [11] |
耿勇, 向晓建, 徐飞. 数字化转型能否打破地理距离约束: 来自企业供应链地理分布的证据[J]. 经济管理, 2024(3): 165-185. |
| [12] |
MCGUIRE T, MANYIKA J, CHUI M. Why big data is the new competitive advantage[J]. Ivey Business Journal, 2012, 76(4): 1-4. |
| [13] |
赵振. "互联网+"跨界经营: 创造性破坏视角[J]. 中国工业经济, 2015(10): 146-160. |
| [14] |
赵春明, 班元浩, 李宏兵, 等. 虚拟集聚能否促进城市出口产品质量升级[J]. 经济管理, 2022(7): 23-41. |
| [15] |
王康, 赵蕊, 苏盖美. 数字化如何助力全国统一大市场建设: 基于企业资本跨地区流动视角[J]. 中国经济学, 2023(2): 46-72, 352-353. |
| [16] |
曹春方, 张婷婷, 范子英. 地区偏袒下的市场整合[J]. 经济研究, 2017(12): 91-104. |
| [17] |
宋华, 韩思齐, 刘文诣. 数字技术如何构建供应链金融网络信任关系?[J]. 管理世界, 2022(3): 182-200. |
| [18] |
李雪松, 党琳, 赵宸宇. 数字化转型、融入全球创新网络与创新绩效[J]. 中国工业经济, 2022(10): 43-61. |
| [19] |
张鑫和, 岳书敬, 赖晓冰. 数字技术发展对企业异地投资的促进效应与内在机制[J]. 中南大学学报(社会科学版), 2023(5): 123-137. |
| [20] |
张勋, 杨桐, 汪晨, 等. 数字金融发展与居民消费增长: 理论与中国实践[J]. 管理世界, 2020(11): 48-63. |
| [21] |
马香品. 数字经济时代的居民消费变革: 趋势、特征、机理与模式[J]. 财经科学, 2020(1): 120-132. |
| [22] |
周黎安. 晋升博弈中政府官员的激励与合作: 兼论我国地方保护主义和重复建设问题长期存在的原因[J]. 经济研究, 2004(6): 33-40. |
| [23] |
陈伟光, 裴丹, 钟列炀. 数字经济助推全国统一大市场建设的理论逻辑、治理难题与应对策略[J]. 改革, 2022(12): 44-56. |
| [24] |
翟华云, 刘易斯. 数字化转型能提高企业议价能力吗: 基于信息搜寻与客户转换成本视角[J]. 中南财经政法大学学报, 2023(6): 29-41. |
| [25] |
BAYO-MORIONES A, BILLÓN M, LERA-LÓPEZ F. Perceived performance effects of ICT in manufacturing SMEs[J]. Industrial Management & Data Systems, 2013, 113(1): 117-135. |
| [26] |
KROFT K, POPE D G. Does online search crowd out traditional search and improve matching efficiency? Evidence from craigslist[J]. Journal of Labor Economics, 2014, 32(2): 259-303. |
| [27] |
GOLDFARB A, TUCKER C. Digital economics[J]. Journal of Economic Literature, 2019, 57(1): 3-43. |
| [28] |
MIKALEF P, PATELI A. Information technology-enabled dynamic capabilities and their indirect effect on competitive performance: Findings from PLS-SEM and fsQCA[J]. Journal of Business Research, 2017, 70: 1-16. |
| [29] |
胡青. 企业数字化转型的机制与绩效[J]. 浙江学刊, 2020(2): 146-154. |
| [30] |
陈剑, 黄朔, 刘运辉. 从赋能到使能: 数字化环境下的企业运营管理[J]. 管理世界, 2020(2): 117-128, 222. |
| [31] |
李姝, 李丹, 田马飞, 等. 技术创新降低了企业对大客户的依赖吗[J]. 南开管理评论, 2021(5): 26-39. |
| [32] |
CHOU Y C, CHUANG H, SHAO B B. The impacts of information technology on total factor productivity: A look at externalities and innovations[J]. International Journal of Production Economics, 2014, 158: 290-299. |
| [33] |
赵宸宇, 王文春, 李雪松. 数字化转型如何影响企业全要素生产率[J]. 财贸经济, 2021(7): 114-129. |
| [34] |
ACEMOGLU D, JOHNSON S, ROBINSON J, et al. Institutional causes, macroeconomic symptoms: Volatility, crises and growth[J]. Journal of Monetary Economics, 2003, 50(1): 49-123. |
| [35] |
范子英, 彭飞. "营改增"的减税效应和分工效应: 基于产业互联的视角[J]. 经济研究, 2017(2): 82-95. |
| [36] |
袁淳, 耿春晓, 孙健, 等. 不确定性冲击下纵向一体化与企业价值: 来自新冠疫情的自然实验证据[J]. 经济学(季刊), 2022(2): 633-652. |
| [37] |
CHEN C, DASGUPTA S, HUYNH T D, et al. Product market competition and corporate relocations: Evidence from the supply chain[J]. Management Science, 2023, 69(9): 5147-5173. |
| [38] |
刘瑞明, 石磊. 上游垄断、非对称竞争与社会福利: 兼论大中型国有企业利润的性质[J]. 经济研究, 2011(12): 86-96. |
| [39] |
李胜旗, 毛其淋. 制造业上游垄断与企业出口国内附加值: 来自中国的经验证据[J]. 中国工业经济, 2017(3): 101-119. |
| [40] |
毛宁, 孙伟增, 杨运杰, 等. 交通基础设施建设与企业数字化转型: 以中国高速铁路为例的实证研究[J]. 数量经济技术经济研究, 2022(10): 47-67. |
| [41] |
赵云鹏, 胡晴晴, 吉小东, 等. 交通基础设施建设对区域市场化的影响研究[J]. 中国软科学, 2024(7): 98-109. |
| [42] |
黄炜, 张子尧, 刘安然. 从双重差分法到事件研究法[J]. 产业经济评论, 2022(2): 17-36. |
| [43] |
石大千, 李格, 刘建江. 信息化冲击、交易成本与企业TFP: 基于国家智慧城市建设的自然实验[J]. 财贸经济, 2020(3): 117-130. |
| [44] |
吴海民, 吴淑娟, 陈辉. 城市文明、交易成本与企业"第四利润源": 基于全国文明城市与民营上市公司核匹配倍差法的证据[J]. 中国工业经济, 2015(7): 114-129. |
| [45] |
万华林, 陈信元. 治理环境、企业寻租与交易成本: 基于中国上市公司非生产性支出的经验证据[J]. 经济学(季刊), 2010(2): 553-570. |
| [46] |
鲁桐, 党印. 公司治理与技术创新: 分行业比较[J]. 经济研究, 2014(6): 115-128. |
2024, Vol. 30

