土木建筑与环境工程  2014, Vol. 36 Issue (5): 111-118   PDF    
钢筋混凝土受弯构件变形凝聚法分析
周建民, 潘邢华, 陈硕, 张帆    
同济大学 土木工程学院, 上海 200092
收稿日期:2014-02-09
基金项目:国家“十二五”科技支撑计划课题(2012BAJ06B01-01)
作者简介:周建民(1961-), 男, 教授, 博士, 主要从事混凝土结构研究, (E-mail)tjzhou2008@163.com
摘要:传统钢筋混凝土非线性分析大多采用以连续介质力学为基础的非线性有限元方法,侧重数学模型的描述,难以体现开裂截面局部转角和塑性铰等宏观变形特征。从物理模型的观点出发,提出能够反映宏观变形特征的变形凝聚法。在一维弹性问题分析的基础上,提出钢筋混凝土受弯构件基于变形凝聚概念的三阶段分析方法,按平均裂缝间距划分单元,与物理模型相吻合,且计算效率高。编制程序对同济大学预应力研究所近期完成的高强钢筋混凝土受弯构件系列试验进行了模拟,试验结果与程序计算结果吻合良好,表明该新方法是合理可行的。
关键词钢筋混凝土受弯构件    变形凝聚法    宏观变形特征    物理模型    非线性分析    
Analysis on Reinforced Concrete Flexural Members Using Deformation Condensation Method
Zhou Jianmin, Pan Xinghua, Chen Shuo, Zhang Fan    
School of Civil Engineering, Tongji University, Shanghai 200092, P. R. China
Received: 2014-02-09
Abstract: Traditional nonlinear analysis of RC structures usually adopts nonlinear FEM based on continuum mechanics, and it is hard to reflect macroscopic deformation characteristic, such as local rotation in crack sections and plastic hinge of failure stage. From the perspective of physical model, a new deformation condensation method is developed. The analysis of RC flexural members in the 1-D elastic problem involve three stages based on the concept of deformation condensation. RC flexural members were divided into several elements according to average crack spacing to get numerical model consistent with the physical model with higher computational efficiency tests of RC flexural members reinforced with high strength rebars conducted by Institute of Prestressed Structures in Tongji University, were simulated and the simulation results agreed well with the experimental data indicating that this novel method is applicable.
Key Words: RC flexural members    deformation condensation method    macroscopic deformation characteristic    physical model    nonlinear analysis    

钢筋混凝土受弯构件在荷载作用下的受力过程是渐进的破坏过程,其力学行为由连续介质向非连续介质转化。带裂缝工作阶段,构件的弯曲变形主要集中在各裂缝局部区域,即开裂截面的局部转角;破坏阶段,构件的弯曲变形主要集中于主裂缝局部区域(塑性铰)。局部化变形或破坏机制源于混凝土材料的非均匀性。传统钢筋混凝土构件或结构非线性分析方法大多建立在以连续介质力学为基础的非线性有限元方法上[1-3]。构成钢筋混凝土结构的有限元模型主要有3种方式:整体式、组合式和分离式。整体式模型把钢筋弥散于整个单元中,把单元视为连续介质材料;组合式模型以截面分层条带模型为代表,在构件分析中采用分段曲率积分法,结构分析中采用杆系有限元分析方法;分离式模型把结构离散为混凝土单元、钢筋单元和联结单元,进行二维平面或三维实体有限元分析。

传统有限元方法是连续介质力学的范畴,侧重数学模型的描述,单元之间用节点连接,认为结构的位移是连续的,变形则分布在单元内部,某种程度上忽视了混凝土结构的宏观变形特征,在反映开裂截面的集中转角和裂缝间距等概念上是有很大困难的。从宏观试验现象抽象出物理模型,推导弹性问题变形凝聚法(Deformation Condensation Method,DCM)分析的原理,进而对钢筋混凝土受弯构件的非线性分析作一些尝试与探索。

需要说明的是,变形凝聚法在弹性问题分析中的力学概念与刚体弹簧模型是相似的,但基本原理推导途径不同。刚体弹簧模型(Rigid Body Spring Model,RBSM)最早由日本东京大学Kawai教授在1976年提出[4]。在刚体弹簧模型的研究与应用方面,国内外一些学者也做了不少工作。Kawai等[5-6]进行了平面问题和结构的地震响应分析。Hamadi等[8]将RBSM用于分析预制预应力混凝土梁的受力性能。钱令希等[8-10]从数学的角度出发给出了刚体弹簧模型的数学基础和有限元列式,证明了其解的存在及唯一性,并据此编制了静力分析、热应力分析及安定性分析程序,取得了较好的计算结果。张建海等[11]采用刚体弹簧元分析边坡、坝基、坝肩等结构物在地震波作用下的动力稳定性。卓家寿等[12]从力学和数学两个角度阐明了刚体弹簧元法的机理,导出了界面应力的一般公式,根据哈密顿原理,推导了刚体弹簧元分析结构动力响应的计算公式。王怀亮等[13]把刚体弹簧元法应用于全级配混凝土本构行为研究,将混凝土细观上看成是由骨料、硬化水泥砂浆及其两者之间的粘结带组成的三相非均匀复合材料,通过数值模拟,研究全级配混凝土的破坏过程及其宏观力学响应特性。

1 变形凝聚法的基本原理
1.1 基本概念

从物理模型的观点出发,把结构离散为若干刚性单元,以单元形心处的刚体位移为基本未知量,变形全部集中在单元之间的交界面上,进而对离散后的非连续力学系统进行求解。变形凝聚法最终形成整体刚度矩阵的带宽和体积均小于传统有限元方法,计算量比传统有限元小。

从固体力学的三大基本方程(平衡方程、几何方程和物理方程)出发推证一维弹性问题变形凝聚法分析的基本原理,在此基础上进行钢筋混凝土受弯构件的非线性分析。

1.2 一维弹性问题的分析方法
1.2.1 基本假定

1)  单元变形凝聚到两边交界面上,单元视为刚体;2) 以单元形心处的刚体位移作为基本未知量;3) 小变形假设,不考虑几何非线性。

1.2.2 单元划分

以简支梁为例,阐述一维弹性问题的单元划分方法。如图 1所示,一根简支梁长度为L,等间距划分为ABCD共4个刚性单元。2、3和4交界面为单元与单元之间的交界面,该类交界面凝聚其左右单元一半的变形;1和5交界面为单元与边界之间的交界面,该类交界面凝聚边界单元一半的变形和支座变形。

图 1 单元划分示意图

1.2.3 单元分析

1) 单元平衡方程  单元交界面内力与单元形心外力的关系由单元平衡静力方程表示。如图 2所示,对单元取隔离体分析。单元形心外力的符号规定:弯矩顺时针转为正,水平力沿X轴正向为正,竖向力沿Y轴正方向为正;单元交界面内力的符号规定:弯矩使单元底部受拉为正,剪力使单元顺时针转动为正,轴力使单元受拉为正。由平衡条件可以列出单元静力平衡方程

$ \mathit{\boldsymbol{a}} \cdot \mathit{\boldsymbol{s}} + \mathit{\boldsymbol{p}} = 0 $ (1)
图 2 单元平衡示意图

式中

$ \begin{array}{l} \mathit{\boldsymbol{a = }}\left[{\begin{array}{*{20}{c}} {-1}&0&0&1&0&0\\ 0&1&{L/2}&0&{-1}&{L/2}\\ 0&0&1&0&0&{-1} \end{array}} \right], 称为单元静力平衡矩阵;\\ \mathit{\boldsymbol{p}} = {\left[{{N_{{\rm{ext, i}}}}{M_{{\rm{ext, i}}}}{Q_{{\rm{ext, i}}}}} \right]^{\rm{T}}}, 单元形心外力列阵;\\ \mathit{\boldsymbol{s}} = {\left[{{N_i}{M_i}{Q_i}{N_{i + 1}}{M_{i + 1}}{Q_{i + 1}}} \right]^{\rm{T}}}, 单元交界面内力列阵。\end{array} $

2) 单元几何方程  单元几何方程表示单元形心位移与单元交界面位移的关系。单元的初始位形和发生刚体位移以后的位形如图 3所示。单元形心位移和单元交界面位移的符号分别与单元形心外力与单元交界面内力的符号规定一致。单元几何方程可以表示为:

$ \mathit{\boldsymbol{g}} \cdot \mathit{\boldsymbol{z}} + \mathit{\boldsymbol{d}} = 0 $ (2)
图 3 单元形心位移_缝变形关系示意图

式中:g为单元几何矩阵,由二重性定理容易证明g=aTδ=[μiθiwiμi+1θi+1wi+1]T,为单元交界面位移列阵;z=[μrig, iθrig, iwrig, i]T,为单元形心位移列阵。

3) 单元物理方程  单元的物理方程表征单元交界面内力同单元交界面变形的关系。根据材料力学可以列出单元的物理方程:

$ \mathit{\boldsymbol{b}} \cdot \mathit{\boldsymbol{s}} = \mathit{\boldsymbol{\delta }} $ (3)

式中:

$ \begin{array}{l} \mathit{\boldsymbol{b}} = {\rm{diag}}\left( {\frac{L}{{2EA}}, \frac{L}{{2EI}}, \frac{{\kappa L}}{{2GA}}, \frac{L}{{2EA}}, \frac{L}{{2EI}}, \frac{{\kappa L}}{{2GA}}} \right), 称为单元交界面柔度矩阵;\\ \mathit{\boldsymbol{s}} = {\left[{{N_i}{M_i}{Q_i}{N_{i + 1}}{M_{i + 1}}{Q_{i + 1}}} \right]^{\rm{T}}}, 称为单元交界面内力列阵;\\ \mathit{\boldsymbol{\delta }} = {\left[{\Delta {\mu _i}\Delta {\theta _i}\Delta {w_i}\Delta {\mu _{i + 1}}\Delta {\theta _{i + 1}}\Delta {w_{i + 1}}} \right]^{\rm{T}}}, 称为单元交界面变形列阵。\end{array} $

单元交界面柔度矩阵各元素的物理意义:$\frac{L}{{2EA}}$为拉压柔度系数,${\frac{L}{{2EI}}}$为弯曲柔度系数,${\frac{{\kappa L}}{{2GA}}}$为剪切柔度系数。其中E, G, κ分别单元弹性模量、剪切模量和截面剪切形状系数,A, I, L分别为截面面积、截面惯性矩和单元长度。

1.2.4 整体组装分析

在单元分析的基础上,进行整体组装,可以得到结构的静力平衡方程(4)、几何方程(5)和物理方程(6)。

$ \mathit{\boldsymbol{A}} \cdot \mathit{\boldsymbol{S}} + \mathit{\boldsymbol{P}} = 0 $ (4)
$ \mathit{\boldsymbol{G}} \cdot \mathit{\boldsymbol{Z}} + \mathit{\boldsymbol{ \boldsymbol{\varDelta} }} = 0 $ (5)
$ \mathit{\boldsymbol{B}} \cdot \mathit{\boldsymbol{S}} = \mathit{\boldsymbol{ \boldsymbol{\varDelta} }} $ (6)

式中:AGB分别为结构整体组装的静力平衡矩阵、几何矩阵和交界面柔度矩阵,由二重性定理容易证明G=ATSΔ分别为结构整体组装的交界面内力列阵及交界面变形列阵;PZ分别为结构整体组装的形心外力列阵和位移列阵。

需要说明的是,结构的静力平衡矩阵A是以结构各单元形心外力编号为行号,以结构交界面内力编号为列号组装而得。结构交界面柔度矩阵B是以结构交界面内力编号为行号和列号组装而得。

联立以上三大方程,可得到结构形心外力与位移的关系,即最终求解的线性方程组(7)。通过修改交界面柔度矩阵B中相应元素来处理边界条件,详见文献[14]

$ \mathit{\boldsymbol{P = }} - \mathit{\boldsymbol{A}} \cdot \mathit{\boldsymbol{S}} = \mathit{\boldsymbol{A}} \cdot {\mathit{\boldsymbol{B}}^{ - 1}} \cdot {\mathit{\boldsymbol{A}}^{\rm{T}}} \cdot \mathit{\boldsymbol{Z}} = \mathit{\boldsymbol{K}} \cdot \mathit{\boldsymbol{Z}} $ (7)

其中K=A·B-1·AT为结构的总刚矩阵。

1.2.5 弹性分析程序编制和验证

按照上文阐述的基本原理,运用MATLAB软件编制一维弹性问题分析程序,图 4~5给出了程序的流程图。采用弹性分析程序对多种算例进行了计算和并用ANSYS程序验证。算例分析表明该方法计算量小,收敛速度快。限于篇幅,仅给出简支梁算例。简支梁跨度10 m,跨中作用竖向集中力P=10 kN;矩形截面尺寸:宽0.1 m,高0.2 m;材料性质:弹性模量E=2.0×1011 N/m2,剪切模量G=0.4E,矩形截面剪切形状系数取1.2。计算结果如图 6所示,可以看出,随着单元划分数目的增加,跨中挠度迅速收敛于ANSYS解,体现出该方法计算量小,收敛速度快。

图 4 一维弹性问题分析程序流程图

图 5 solveDCM求解子程序

图 6 简支梁挠度图

1.3 钢筋混凝土受弯构件的分析方法
1.3.1 三阶段分析过程及缝柔度系数

由于混凝土材料的非均匀性,实际构件的裂缝分布规律(裂缝宽度、裂缝间距等)具有明显的随机性。考虑到本文目的是计算构件的宏观累积变形(挠度),而非裂缝宽度等局部变形,我们不考虑裂缝分布规律随机性对宏观累计变形的影响。即同我国混凝土结构设计规范采用平均曲率计算纯弯段刚度一样,按照平均裂缝间距把钢筋混凝土受弯构件划分成若干刚性单元,单元交界面比拟为“缝”,单元的变形全部集中在缝上发生。具体分析过程及缝柔度系数(弯曲柔度系数)的确定方法阐述如下:

1) 弹性阶段:构件尚未开裂,缝为虚缝,凝聚单元弹性变形,虚缝弹性柔度系数为:

$ {f_{\rm{e}}} = \frac{{{L_{{\rm{cr}}}}{\varphi _{{\rm{cr}}}}}}{{{M_{{\rm{cr}}}}}} $ (8)

式中:φcr, Lcr, Mcr分别为开裂曲率、平均裂缝间距,开裂弯矩。平均裂缝间距Lcr可按国家现行混凝土结构设计规范计算,Lcr=1.9c+0.08deq/ρte,具体参数含义详见文献[20]。

2) 带裂缝工作阶段:构件裂缝出齐后,随着荷载增加,裂缝宽度逐渐增大。裂缝作为薄弱区域集中了显著的转角变形,体现了变形局部集中的特点。本文分析中实质需要的是缝内力与缝变形之间的关系,对于弯曲变形而言即M-θ关系,近期澳大利亚学者对此也有类似的认识和研究[15-18]。直接寻求开裂截面(实缝)的M-θ非线性关系是困难的,开裂截面的转角是客观存在的现象,而开裂截面的曲率是虚拟的。本文对传统弯矩曲率M-φ关系进行适当处理来讨论这一问题。

图 7所示,对截面开裂后的曲率进行分解,同时考虑对实缝塑性曲率及单元曲率分布不均匀性进行修正,实缝转角可表示为:

$ \begin{array}{l} \theta = {\theta _{\rm{e}}} = {\theta _{\rm{p}}}\\ = {\varphi _{\rm{e}}} \cdot {L_{{\rm{cr}}}} + {k_1} \cdot {k_2} \cdot {\varphi _{\rm{p}}} \cdot {L_{{\rm{cr}}}}\\ = {\varphi _{\rm{e}}} \cdot {L_{{\rm{cr}}}} + k \cdot {\varphi _{\rm{p}}} \cdot {L_{{\rm{cr}}}} \end{array} $ (9)
图 7 曲率分解及单元曲率分布示意图

式中:k1, k2分别为实缝塑性曲率修正系数和单元曲率分布不均匀系数;k为实缝塑性柔度综合修正系数。

因而实缝柔度系数可以表示为:

$ \begin{array}{l} f = \frac{\theta }{M} = \frac{{{\theta _{\rm{e}}} + {\theta _{\rm{p}}}}}{M}\\ = \frac{{{\varphi _{\rm{e}}} \cdot {L_{{\rm{cr}}}}}}{M} + k\frac{{{\varphi _{\rm{p}}} \cdot {L_{{\rm{cr}}}}}}{M}\\ = {f_{\rm{e}}} + k \cdot {f_{\rm{p}}} \end{array} $ (10)

式中:${f_{\rm{e}}} = \frac{{{L_{{\rm{cr}}}}{\varphi _{\rm{e}}}}}{M} = \frac{{{L_{{\rm{cr}}}}{\varphi _{{\rm{cr}}}}}}{{{M_{{\rm{cr}}}}}}$,称为虚缝弹性柔度系数;

$ {f_{\rm{p}}} = \frac{{{\varphi _{\rm{p}}}{L_{{\rm{cr}}}}}}{M} = \frac{{\left( {\varphi - {\varphi _{\rm{e}}}} \right){L_{{\rm{cr}}}}}}{M} = \frac{{\varphi {L_{{\rm{cr}}}}}}{M} - {f_{\rm{e}}},称为实缝塑性柔度系数。$

3) 破坏阶段:当实缝弯矩大于屈服弯矩时,塑性铰产生,构件大部分非弹性变形集中在纯弯段塑性铰局部区域。纯弯段塑性铰的出现位置是随机的,本文假定塑性铰出现在构件中间缝处。塑性铰柔度系数为:

$ {f_{{\rm{hinge}}}} = {f_{\rm{e}}} + {k_{{\rm{hinge}}}} \cdot {f_{\rm{p}}} $ (11)

式中:khinge为塑性铰塑性柔度修正系数;fefp分别为虚缝弹性柔度系数和塑性铰塑性柔度系数。

1.3.2 相关系数的取值方法

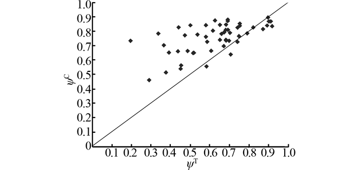
实缝塑性柔度综合修正系数反映单元虚拟曲率分布形状,亦即受拉刚化(Tension Stiffening)效应。该系数受很多因素影响,主要有配筋率,钢筋工作应力,钢筋与混凝土的粘结滑移特性等。从理论上推导修正系数的计算公式是困难的。从简单实用的角度出发,对课题组以往试验梁、板在带裂缝工作阶段各荷载工况下跨中挠度试验值与程序计算值的比值统计分析,计算不同修正系数取值下,比值的均值,标准差和变异系数,从而选取最优的修正系数。经计算分析,实缝塑性柔度综合修正系数对板类构件取0.8;对梁构件取1.0。梁与板同为受弯构件,修正系数的差异主要是由于钢筋受拉刚化效应不同造成的。钢筋应变不均匀系数ψ反映裂缝间混凝土参与受拉的程度。根据板的实测挠度和平均裂缝宽度反推得到不均匀系数实测值ψT,由公式ψ=1.1-0.65ftk/(ρteσsk)得到不均匀系数计算值ψC,两者对比如图 8所示。经统计分析,ψT/ψC的均值为0.83,变异系数0.22。ψ计算公式主要是由梁的试验结果得到的,而板的钢筋应变不均匀系数实测值小于该公式计算值,这表明该公式低估了板中钢筋的受拉刚化效应。事实上,板配筋率比梁低且钢筋直径小,钢筋在板中的受拉刚化作用比梁中更显著,相关规程[19]也考虑到这一点,对板类受弯构件的ψ计算公式进行了调整。上述分析表明,板中钢筋的受拉刚化效应比在梁中更为显著,从而也证实了梁与板塑性柔度综合修正系数取值的合理性。对于塑性铰塑性柔度修正系数,类似的,本文根据破坏阶段的试验数据分析取为3,能较好的预测该阶段的构件荷载与变形响应。

图 8 钢筋应变不均匀系数实测值与计算值对比

1.3.3 程序编制

编制钢筋混凝土受弯构件变形凝聚法分析程序,其核心求解子程序与弹性分析程序一致。逐级施加荷载,采用全量法(割线刚度法)进行分析。弯矩转角关系由截面弯矩曲率关系间接得到。截面弯矩曲率关系由截面分层条带法编制程序计算,其基本原理可参考相关文献,此处不再赘述。钢筋混凝土受弯构件变形凝聚法分析程序框图如图 9所示。

图 9 钢筋混凝土受弯构件基于变形凝聚概念的分析程序框图

截面弯矩曲率关系需要选取合适的材料本构关系。混凝土单轴受压本构关系选用文献[20]附录C给出的混凝土单轴受压应力应变曲线。混凝土单轴受拉本构关系采用文献[3]中的曲线直线模型。CRB550钢筋是一种没有明显屈服点的硬钢,采用双斜线模型。热轧带肋钢筋本构关系采用理想弹塑性本构模型。预应力钢绞线的本构关系采用文献[14]定义的三折线模型。本构关系中材料力学性能指标均采用实测平均值。

2 试验验证
2.1 高强钢筋混凝土受弯构件试验概况

为了验证基于变形凝聚概念的分析方法,本文对同济大学预应力研究所近期完成的高强钢筋混凝土受弯构件试验进行模拟。主要有高强钢筋混凝土板[21]、高强钢筋混凝土梁[22],配高强钢筋的后张有粘结预应力混凝土梁[23]等试件类型。各类试件参数明细表详见表 1~3

表 1 高强钢筋混凝土板试件参数明细表

表 2 高强钢筋混凝土梁试件参数明细表

表 3 配高强钢筋的后张有粘结预应力混凝土梁试件参数明细表

2.2 试验结果与程序计算结果对比

运用本文编制程序对同济大学预应力研究所完成的高强钢筋混凝土受弯构件试验进行计算模拟。以JL1为例,其平均裂缝间距计算值141.92 mm。程序计算中,采用试件长度除以计算平均裂缝间距,取整后得到单元划分数目为32个,其余构件算例亦类似处理。图 1011分别给出了JL1的实际裂缝分布和单元划分示意图,可以看出变形凝聚法单元划分方式能较好的符合实际物理模型。采用变形凝聚法计算得到的荷载挠度曲线,无论是在弹性阶段,还是构件开裂后的弹塑性阶段,均与试验荷载挠度曲线吻合良好。限于篇幅,图 12仅给出部分试件的计算结果。

图 10 JL1实际裂缝分布图

图 11 JL1单元划分示意图

图 12 部分板和梁试件的荷载—位移曲线

3 结论

提出了一种概念新颖的方法—变形凝聚法,并尝试用于钢筋混凝土受弯构件的非线性分析。变形凝聚法思想独特,物理概念清晰,结构的作用效应(变形和内力)计算比较精确和方便,与传统有限元相比计算量更小,能更为客观地刻画出宏观试验现象表现出的物理模型。编制了非线性分析程序,对钢筋混凝土受弯构件试验进行了模拟,试验结果与程序计算结果吻合良好,表明该方法的合理性与准确性。在构件分析层次上进行初步探索,对框架结构及平面问题的分析还有待于今后进一步研究。

参考文献
[1] 朱伯龙, 董振祥. 钢筋混凝土非线性分析[M]. 上海: 同济大学出版社, 1984.
[2] 吕西林, 金国芳, 吴晓涵. 钢筋混凝土结构非线性有限元分析理论与应用[M]. 上海: 同济大学出版社, 1997.
[3] 顾祥林, 孙飞飞. 混凝土结构的计算机仿真[M]. 上海: 同济大学出版社, 2002.
[4] Kawai T. New discrete models and their application to seismic response analysis of structure[J]. Nuclear Engineering and Design, 1978, 48: 207–229. DOI:10.1016/0029-5493(78)90217-0
[5] Tadahiko K W, Kazou K D. New beam and plate bending elements in finite element analysis[J]. Seisan Kenkyu, 1976, 28(9): 409–412.
[6] Tadahiko K W, Yutaka T. A new elements in finite element in discrete analysis of plane strain problems[J]. Seisan Kenkyu, 1977, 29(4): 204–207.
[7] Hamadi Z, Yasuo K, Michihiro T, e tc. Application of rigid bodies-spring model to precast structure reinforced with steel fiber[J]. Jourmal of Structural Engineering(JSCE), 1999, 45: 303–310.
[8] 钱令希, 张雄. 结构分析中的刚体有限元法[J]. 计算结构力学及其应用, 1991, 8(1): 2–14.
Qian L X, Zhang X. Rigid body finite element method in structural analysis[J]. Couputational Structural Mechanics and Applications, 1991, 8(1): 2–14. (in Chinese)
[9] Zhang X, Qian L X. Rigid finite element and limit analysis[J]. Acta Mechanica Sinica, 1993, 9(2): 156–162. DOI:10.1007/BF02487495
[10] Qian L X, Zhang X. Rigid finite element and its applications in engineering[J]. Acta Mechanica Sinica, 1995, 11(1): 44–50. DOI:10.1007/BF02487183
[11] 张建海, 范景伟, 何江达. 用刚体弹簧元法求解边坡、坝基动力安全系数[J]. 岩石力学与工程学报, 1999, 18(4): 387–391.
Zhan J H, Fan J W, He j D. Dymanic safety evaluation of slopes or dam foundations using rigid body-spring element method[J]. Chinese Journal of Rock Mechanics and Engineering, 1999, 18(4): 387–391. (in Chinese)
[12] 卓家寿, 赵宁. 不连续介质静、动力分析的刚体-弹簧元法[J]. 河海大学学报, 1993, 21(5): 34–43.
Zhou J S, Zhao N. Piecewise rigid body-interface spring method for problems of discontimuous medium[J]. Journal of Hohai University, 1993, 21(5): 34–43. (in Chinese)
[13] 王怀亮, 宋玉普, 王宝庭. 用刚体弹簧元法研究全级配混凝土力学性能[J]. 大连理工大学学报, 2006, 46(Sup): 105–117.
Wang H L, Song Y P, Wang B T. Numerical simulation of mechanical behavior of fully-graded concrete based on rigid body spring model[J]. Journal of Dalian Univerisity of Technology, 2006, 46(Sup): 105–117. (in Chinese)
[14] 潘邢华. 钢筋混凝土结构变形凝聚法分析[D]. 上海: 同济大学, 2013.
[15] Deric J O, Matthew H, Mohamed A M S, e tc. Our obsession with curvature in RC beam modeling[J]. Advances in Structural Engineering, 2011, 14(3): 391–404. DOI:10.1260/1369-4332.14.3.391
[16] Visintin P, Oehlers D J, Wu C, et al. A mechanics solution for hinges in RC beams with multiple cracks[J]. Engineering Structures, 2012, 36: 61–69. DOI:10.1016/j.engstruct.2011.11.028
[17] Rahimah M, Deric J. Oehlers M S. Mohamed A. Discrete rotation deflection of reinforced concrete beams at serviceability[J]. Structure and Buildings, 2013, 166(SB3): 111–124.
[18] Matthew H, Deric J O, Mohamed A, et al. Rigid body moment_rotation mechanism for reinforced concrete beam hinges[J]. Engineering Structure, 2009, 31: 1032–1041. DOI:10.1016/j.engstruct.2008.12.016
[19] JGJ 95-2011冷轧带肋钢筋混凝土结构技术规程[S]. 北京: 中国建筑工业出版社, 2011.
[20] GB 50010-2010混凝土结构设计规范[S]. 北京: 中国建筑工业出版社, 2010.
[21] 周建民, 王晓锋, 顾万黎, 等. 高强钢筋混凝土板抗弯性能的试验研究和分析[J]. 力学季刊, 2011, 32(4): 626–633.
Zhou J M, Wang X F, Gu W L, et al. Experimental and theoretical research on flexural behavior of RC slab with high-strength bars[J]. Chinese Quarterly of Mechanics, 2011, 32(4): 626–633. (in Chinese)
[22] 周建民, 陈硕, 王晓锋, 等. 高强钢筋混凝土梁短期变形计算方法研究[J]. 同济大学学报, 2013, 41(4): 503–509.
Zhou J M, Chen S, Wang X F, et al. Calculation methods of short-term deformation of concrete beams with high strength steel bars[J]. Journal of Tongji University, 2013, 41(4): 503–509. (in Chinese)
[23] 杜毛毛, 苏小卒, 赵勇. 配500MPa钢筋后张有粘结预应力混凝土梁受弯试验[J]. 沈阳建筑大学学报, 2009, 25(2): 211–216.
Du M M, Su X Z, Zhao Y. Flexural test of post-tensioned bonded prestressed concrete beams with 500MPa steel bars[J]. Journal of Shenyang Jianzhu University, 2009, 25(2): 211–216. (in Chinese)