土木建筑与环境工程  2015, Vol. 37 Issue (2): 60-66   PDF    
饱水对岩溶灰岩力学性质与纵波波速的影响
郭佳奇, 徐子龙, 李宏飞    
河南理工大学 土木工程学院,河南 焦作 454003
收稿日期:2014-10-20
基金项目:国家自然科学基金(50978018);河南理工大学博士基金(B2012-016)
作者简介:郭佳奇(1981-),男,博士,主要从事隧道与地下工程研究,(E-mail)gjq519@163.com
摘要:为研究饱水对岩溶灰岩力学性质和纵波波速的影响,进行自然和饱水状态下岩样的力学性能和弹性波测试。试验结果表明:饱水对岩溶灰岩的单轴抗拉强度、抗拉强度和弹性模量有明显的软化作用,饱水状态试样的峰值应变和泊松比整体上大于自然状态的对应值;岩溶灰岩试样在饱水条件下的纵波波速均明显高于自然状态下的纵波波速,试样的单轴抗压强度和抗拉强度与纵波波速具有较高的线性相关性。基于目前的研究现状,阐述了研究成果在隧道与周边高压充填隐伏溶腔间防突岩层稳定性评价及最小防突厚度确定中的应用。
关键词岩溶灰岩    饱水    单轴抗拉强度    抗拉强度    纵波波速    
Influence of water-saturated state on mechanical properties and longitudinal wave velocity of karst limestone
Guo Jiaqi, Xu Zilong, Li Hongfei    
School of Civil Engineering, Henan Polytechnic University, Jiaozuo 454003, Henan, P. R. China
Received: 2014-10-20
Foundation item: National Natural Science Foundation of China (No. 50978018);Doctoral Foundation of Henan Polytechnic University (No. B2012-016)
Author brief: Guo Jiaqi (1981-), PhD, main research interest:tunnel and underground engineering, (E-mail)gjq519@163.com.
Abstract: In order to investigate the influence of saturation on mechanical properties and longitudinal wave velocity of karst limestone, the experiment to on the mechanical property and the elastic wave velocity of karst limestone under natural and saturated condition was conducted. The results are as follows: Saturation has a significant influence on the softening of uniaxial compressive strength, tensile strength and elastic modulus of karst limestone, and peak strain and poisson's ratio of saturated sample are larger than corresponding values of natural specimen on the whole.The longitudinal wave velocity of water-saturated sample is significantly higher than that under natural condition, and the uniaxial compressive strength and tensile strength of specimen under two condition have a significant linear relationship with elastic wave velocity. Based on the current studies, he results are used to assess the stability of rock pillar between tunnel and concealed karst cave with high pressurized water, and calculate the minimum anti-inrush thickness.
Key Words: Karst limestone    saturation    uniaxial compressive strength    tensile strength    longitudinal wave velocity    

中国在西南地区修建的长大岩溶隧道越来越多,突水涌泥等已成为该地区隧道修建过程中多发的岩溶Karst limestone; saturation; uniaxial compressive strength; tensile strength; longitudinal wave velocity地质灾害形式[1-2]。渝怀线圆梁山隧道和宜万线马鹿箐隧道、大支坪隧道等发生数次大规模的突水突泥工程灾害,给工程施工造成了不利影响[3]。其中,高压富水充填型隐伏溶腔引起的突水突泥因其事发突然、难以防范,危害性极大,已成为岩溶区隧道施工和后期运营中一个需要高度关注的问题,隧道与周边高压充填隐伏溶腔间防突岩层的稳定是避免上述突水类型发生的核心所在。在施工等多种扰动和高水压耦合作用下防突层的稳定性评价和最小防突厚度的确定涉及到隧道力学、水力学、爆破工程和岩石力学等多门专业知识,其中防突岩层力学性质的研究是重要的基础性工作。就岩溶区灰岩的基本力学性质,研究人员已开展了广泛的研究,李苍松等[4]以遂渝铁路桐子林隧道内所采取的试样为例开展了岩溶灰岩的物理力学性质试验,以及扫描电镜试验、岩相鉴定和声发射。李奎[5]研究了嘉陵江组岩溶灰岩的力学性质及变形规律,并分析了声发射事件和灰岩破坏过程之间的关系。石祥峰[6]对取自贵州玉三高速公路青溪大桥区域的岩溶灰岩开展了单、三轴压缩试验,分析了岩样的力学指标和变形特征。武尚等[7]通过三轴试验对重庆武隆地区二叠系灰岩的屈服强度、峰值强度、残余强度与围压的关系进行了探讨。郭佳奇等[8]基于试验结果从能量角度对自然和饱水状态下岩溶灰岩损伤破坏过程中的能量特征进行试验分析;Palchik[9]对以色列不同地区的干燥可溶性灰岩的力学参数分布范围进行了研究。这些研究多是在干燥或自然状态下开展的,而隧道与隐伏溶腔间岩体在突水前往往处于饱和状态,故非常有必要开展饱水对岩溶灰岩力学性质影响的研究。另岩溶区隧道在役期间防突岩层在列车荷载等作用下的劣化过程分析及其稳定性演化评价常需借助对岩石水环境变化具有良好反映的声波参数完成。

笔者对取自宜万铁路沿线具有代表性的5处地质单元的岩溶灰岩试样开展了单轴压缩试验、巴西劈裂试验及超声波试验,探讨饱水对岩溶灰岩弹性波速与力学性质影响,重点就两种状态下岩溶灰岩的力学参数变化、纵波波速特征、纵波波速与试样强度关系进行分析。

1 试验方法与设备
1.1 试验设备与试样加工

1) 试验设备:单轴压缩试验和巴西劈裂试验均在中国科学院武汉岩土力学研究所研制的RMT-150B型岩石力学多功能试验系统进行。超声波试验通过TUA2000A型超声波无损检测分析仪开展,该分析仪是一种内带微处理器的智能化测量仪器,仪器的全部操作都处于其控制管理之下;测量值、处理结果、状态信息都可以在该检测仪的显像管上显示出来,采用的是一种近似于人机交互的工作方式。该分析仪频响范围为1~5 000 kHz,声时量程为9 999.9 μs,声时分辨率为0.1 μs,声速量程为9.999 km/s。

2) 试样采集与加工:试样取自宜万线5处分布有高风险岩溶隧道的地质单元,A组试样取自宜万线龙麟宫隧道出口DK232+498.5处;B组试样取自宜万线云雾山隧道Ⅰ线DK245+680处;C组试样取自宜万线鲁竹坝隧道Ⅱ线DK205+134溶腔附近;D组试样取自宜万线野三关隧道Ⅰ线DK124+565处;E组试样取自宜万线大支坪隧道Ⅱ线DK132+950处。在现场取芯出后立即予以编号、且进行岩芯鉴别和密封处理,利用特制的岩芯木箱将所取试样运送至试样制备实验室,严格按照《铁路工程岩石试验规程》(TB 10115-98)采用DQ-4B型岩石自动切割机与SHM-200B型双面自动磨石机对岩样进行加工制备,加工好的部分试样如图 1所示。单轴压缩试验和超声波试验所用试样尺寸为直径×高度=50 mm×100 mm,巴西劈裂试验所用试样直径为50 mm,高度为直径的0.77~0.98倍。试样饱和方法采用自由浸水法。加工完成的岩样用油性笔按取样地点统一编号,取自不同地点的5组试样分别用A、B、C、D、E表示、其中每组试样的前3个为自然状态试样,如A1~A3,后3个为饱水状态试样,如A4~A6。

图 1 岩溶灰岩试样 Fig. 1 Sample of karst limestone

1.2 试验方法

单轴压缩试验以试样轴向变形为控制标准进行加载,轴向位移加载标准设定为0.002 mm/s,轴向1 000 kN传感器量测试样轴向受荷值,测量精度3‰ F.S.。RMT-150B型岩石力学多功能试验系统中单轴压缩试样的变形测试方法,如图 2所示。图 2中轴向5 mm位移传感器(精度1.5‰ F.S.)通过轴向位移传感器夹持架固定在传感器固定板上用以测试试件的轴向压缩变形;因单轴压缩试验中未根据测量垂直油缸行程的行程传感器的结果推算试样轴向变形,同时轴向位移传感器接触的垫块伸出端并未受力,因此,图 3给出的试件轴向应力应变关系曲线中的轴向应变为岩石自身的变形。图 2中两个量程为2.5 mm的水平向位移传感器(精度1.5‰ F.S.)通过横向安装座将传感器固定于安装板上,用以测试试样的横向膨胀变形。因即使同一地点取样的同组试件在力学性质个方面也会存在差异性,按标准[10]要求每组试样在自然含水状态和饱水状态下各进行3次试验,共进行了5组30次试验。

图 2 试验中岩样变形测试方法 Fig. 2 Testing method for specimen deformation

图 3 岩溶灰岩试样应力与应变关系曲线 Fig. 3 Relationship curve between axial stress and axial strain for karst limestone

巴西劈裂试验按行程加载方式进行试验控制,行程控制速度为0.01 mm/s,垂向100 kN传感器测量岩样垂向力,50 mm传感器记录试件径向压缩变形。自然和饱水状态共进行5组30次试验。

岩样超声波试验采用TUA2000A型超声波无损检测分析仪开展,纵波测试时将涂好黄油的发射换能器和接收换能器对准试件中心压密,双手将换能器压紧,然后用直达波法对试件进行纵波检测,共进行自然和饱水状态下30次试验。

2 试验结果与分析
2.1 单轴压缩试验结果与分析

自然和饱水状态下5组岩溶灰岩试样在单轴压缩试验条件下的轴向应力轴向应变的关系曲线见图 3

图 3知,宜万线典型地质单元的岩溶灰岩试样虽然单轴抗压强度及轴向变形特征存在差异性,但5组试样的轴向应力应变关系曲线基本类似,具有典型岩样室内单轴压缩试验应力应变曲线的一般形态,依据单轴试验结果可将岩溶灰岩的单轴压缩全过程曲线大致分为压密阶段、弹性变形阶段、过渡阶段和脆-半脆性破坏4个阶段。饱水对岩溶灰岩试样的应力应变曲线影响显著,自然状态试样应力应变曲线峰前整体呈塑弹性的上凹型,而饱水时曲线峰前段整体近似呈塑弹塑性的S型。单轴压缩试验试样的总应变分布在0.21%~0.525%之间,依据Hoek和Wood以试样总变形为分类标准将岩石分为脆性材料和延性或韧性材料的研究结论[11],取自宜万铁路沿线5处地质单元的岩溶灰岩在单轴压缩条件下表现出十分明显的脆性特征。

当前常借助弹性梁板模型评估隧道与周边高压充填隐伏溶腔间防突岩层稳定性或计算岩层最小防突厚度,该方法仅能就隧道顶部、底部及侧部的隐伏溶腔进行讨论,且大尺度溶腔与中小尺度溶腔的力学模型完全相同。针对隧道与中小尺度隐伏溶腔间岩层简化为弹性梁板的不尽合理,文献[3]采用Schwarz交替法结合格里菲斯强度准则建立了防突岩层稳定分析方法。众所周知,格里菲斯强度理论较适合于压拉强度差别显著的脆性材料。根据自然和饱水状态下岩溶灰岩应力应变关系的分析结果及3.2节的研究,应用格里菲斯强度准则判定岩层的稳定性是合理的。

图 3和试验数据可得出,在单轴压缩时饱水对岩石的峰值强度有明显软化作用,以A组试样为例分析,该组试样自然状态下峰值强度为120.6~129.2 MPa,变化幅度为6.7%,平均值为125.1 MPa,饱水后峰值强度为96.2~106.2 MPa,变化幅度为9.4%,平均值为101.2 MPa,试样的似软化系数(饱水状态试样峰值强度平均值与自然状态试样峰值强度平均值的比值)为0.81。自然状态试样的峰值应变为0.346%~0.467%,平均值为0.402%,饱水状态下为0.381%~0.432%,平均值为0.404%,饱和试样的峰值应变大于自然状态试样的峰值应变。其他几组岩样的峰值强度和峰值应变具有类似的特征,限于篇幅不再讨论。

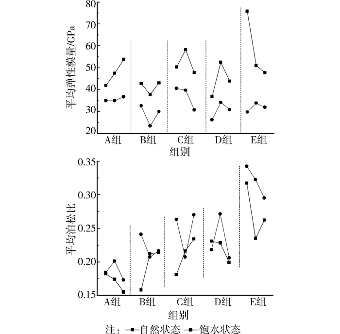
饱水除对岩溶灰岩的单轴抗压强度和峰值应变有不同程度的影响外,对试样的变形参数(平均弹性模量、平均泊松比)也有相当程度的影响,见图 4。图中两种状态下岩溶灰岩试样平均弹性模量和平均泊松比的取值,按照规范《工程岩体试验方法标准》(GB/T 50266-2013)推荐方法计算得到,即试样平均弹性模量为轴向应力与轴向应变关系曲线上直线段终点相对起点的轴向应力增量与轴向应变增量的比值;试样平均泊松比为轴向应力与轴向应变关系曲线上直线段终点相对起点的横向应变增量与轴向应变增量的比值。

图 4 自然状态和饱和状态灰岩弹性参数比较 Fig. 4 Comparison of elastic parameters of natural and saturated condition

图 4知,水对岩溶灰岩试样的平均弹性模量和平均泊松比均有不同的影响,各组自然状态试样的平均弹性模量明显较饱和状态试样的平均弹性模量大,饱水状态试样的平均泊松比整体上大于自然状态试样的值。以C组试样为例,该组自然状态试样的平均弹性模量为47.72~58.14 GPa,平均为52.05 GPa,饱水时平均弹性模量为30.69~40.51 GPa,平均值为36.96 GPa,降低系数(饱和状态试样平均弹性模量平均值与自然状态试样平均弹性模量平均值之比)为0.71,表明水饱和后试样的承载和抗变形能力下降。自然状态试样平均泊松比为0.181~0.234,平均值为0.210,饱水状态下平均泊松比0.207~0.270,平均值0.247,降低系数为1.176,表明水饱和试样岩样的环向变形比轴向变形更为敏感。A组试样平均弹性模量降低系数为0.74,平均泊松比降低系数为1.092;B组试样平均弹性模量降低系数为0.72,平均泊松比降低系数为1.136;D组试样平均弹性模量降低系数为0.68,平均泊松比降低系数为1.056;E组试样平均弹性模量降低系数为0.55,平均泊松比降低系数为1.178。5组试样平均弹性模量和平均泊松比的降低系数虽差异较小,但仍反映出试样单轴抗压强度和变形参数降低系数之间的关联性,即强度较高的试样,水对其变形参数的软化作用较弱。

李利平、莫阳春等[12-13]建立了隧道与周边大尺度富水隐伏溶腔间防突岩层失稳的突变模型,基于该模型进行防突层稳定性分析或计算其最小安全厚度时需事先确定岩层的平均弹性模量。岩层相对完整时,可直接取用饱水岩溶灰岩的平均弹性模量试验值,否则需利用试验确定的饱水完整试样的单轴抗压强度、模数比(MR)、岩体扰动参数(D)和地质强度指标(GSI)计算岩体的弹性模量[14]。针对隧道前伏承压溶腔易诱发突水涌泥的情况,郭佳奇[3]根据Reissner厚板理论建立了基于拉破坏的岩墙稳定性判据,并给出了最小安全厚度计算公式,该判据需知岩墙岩体平均泊松比、溶腔水压、抗拉强度等参数。岩墙岩体相对完整时,可直接取用饱水岩溶灰岩的平均泊松比试验值,否则需利用饱水完整灰岩试样的平均泊松比、平均弹性模量、岩墙岩体的平均弹性模量和裂隙密度参数(χ)计算岩体的平均泊松比[15]

2.2 巴西劈裂试验结果与分析

试样抗拉强度采用巴西劈裂法测定。表 1给出了自然和饱水状态下5组岩溶灰岩试样巴西劈裂试验的结果。表 1RT为抗拉强度,KT为抗拉强度的似软化系数(饱水状态下试样劈裂强度平均值与自然状态下试样劈裂强度平均值的比值),且该栏中括弧内数值为该组岩样在单轴压缩条件下的似软化系数。据表 1可知,水饱和后5组岩溶灰岩试样的抗拉强度均表现出一定程度的降低。以E组试样为例说明,该组试样自然状态下抗拉强度为3.706~5.132 MPa,变化幅度为27.78%,平均值为4.412 MPa。饱水后试样抗拉强度为2.786~3.158 MPa,变化幅度为11.77%,平均强度为2.992 MPa,抗拉强度的似软化系数为0.678。由表 1知,巴西劈裂试验条件下岩溶灰岩的似软化系数整体上小于单轴压缩条件下的似软化系数,这与文献[16]的研究结论不同,原因有二,该文献的结论是基于花岗岩、细砂岩、凝灰岩等岩石的试验结果得到的,可能并不适于岩溶灰岩,另外,也有可能是岩溶灰岩从干燥到自然含水状态变化时,单轴压缩强度减小幅度较巴西劈裂试验测得的抗拉强度减小幅度大,有待通过进一步的试验研究予以分析验证。

表 1 自然和饱水状态试样巴西劈裂试验结果 Table 1 Brazilian test results of limestone under two states

表 1知,用于自然和饱水状态巴西劈裂试验的试样厚径比大小不一致,因此,有必要就厚径比对抗拉强度的影响程度进行评估。以A组岩溶灰岩试样为例,依据邓华锋等[17]的研究结论,自然和饱水状态试样厚径比不同带来的差异为7.25%,而由试验结果知饱水状态和厚径比不同造成的综合差异为31.79%,厚径比导致的差异约为总差异的22.81%,B组试样厚径比导致的差异约为总差异的19.66%,C组为0.54%、D组为1.45%、E组为0.47%,故可认为表 1中每组两种状态试样抗拉强度的差异主要由含水状态不同引起的。

岩石抗压强度与抗拉强度的比值,即压拉比具有重要的工程应用价值,结合3.1节的试验结果可计算5组岩溶灰岩试样在自然含水状态和饱水状态下的压拉比,自然含水状态时试样压拉比分布范围为16.509~20.478,变化幅度为19.38%,平均值为17.931,饱水状态试样压拉比的分布范围为15.684~19.578,变化幅度19.89%,平均值为17.802,自然状态下岩样的平均压拉比略大于饱水试样的平均压拉比。由上述分析知,试验用岩溶灰岩试样的压拉比符合文献[18]和[19]所述的大多数岩石压拉比的分布范围。

当前,无论采用数值方法或解析方法评估隧道与高压富水溶腔间防突岩层(或岩墙)的稳定性或计算其最小安全厚度,岩层的抗拉强度均是不可或缺的重要力学参数。当防突岩层(或岩墙)岩体相对完整时,可直接取用表 1中所列的饱水状态试样的抗拉强度,否则需借助Hoek给出的破碎岩体抗拉强度计算公式,由本节确定的饱水完整灰岩试样的抗拉强度、2.1节确定的饱水完整试样的单轴抗压强度、Hoek-Brown常数mb(需借助饱水完整试样的单轴抗压强度确定)和s计算得到。

2.3 超声波试验结果与分析

自然和饱水状态下5组试样共30次纵波测试试验的测试结果见图 5

图 5 岩溶灰岩自然和饱水状态下纵波波速及其平均值 Fig. 5 Vp of karst limestone and its mean value under natural and saturated condition

图 5可以看出,5组试样在饱水条件下的纵波波速均明显均明显高于同组自然状态下的纵波波速,究其原因是试样饱水后水溶液取代了岩样裂隙中的空气,弹性波可通过岩石颗粒与水介质的组合体进行传播,绕射现象减少,这样等同于弹性波通过岩样时“路程”变短,宏观上表现为弹性波速的增大。A组试样的纵波波速从自然状态下的平均值4 865 m/s增至饱水条件下的平均值5 183.3 m/s,平均相对增量6.54%,B组试样从自然状态下的平均值4 499 m/s增至饱水条件下的平均值5 064 m/s,平均相对增量12.56%,C组试样从自然状态下的平均值5 018 m/s增至饱水条件下的平均值5 279 m/s,平均相对增量5.21%,D组试样从自然含水状态下的平均值4 347.7 m/s增至饱水状态条件下的弹性波速平均值4 753.3 m/s,平均相对增量9.33%,E组试样从自然状态下的平均值4 321.3 m/s增至饱水条件下的平均值4 772.3 m/s,平均相对增量10.44%,自然状态下纵波波速高者,饱水后纵波波速增量较小,而波速低者,饱水后波速增量却相对较大。

就超声波试验用的岩溶灰岩试样而言,饱水后A、B两组试样的纵波波速的分散性下降,以A组试样为例,自然状态下弹性波速的方差为23 608.67,饱水后弹性波速的方差为8 233.556,离散性明显下降,而C、D、E 3组试样饱水后纵波波速的分散性反而增强,C、D两组试样为小幅度增强,但E组试样分散性增加幅度比较大。

声波速度的大小在很大程度上取决于岩石试样的孔隙度和软硬程度[20]。而岩石的单轴抗压强度和抗拉强度是试样软硬程度的直接体现,试验的试样强度与纵波波速的关系见图 6

图 6 试样强度与纵波波速的相关性 Fig. 6 Correlation between rock strength and Vp

图 6知,岩溶灰岩试样单轴抗压强度和抗拉强度与纵波波速具有较高的线性相关性,岩样强度随纵波波速的增大而增大,符合通常认为的强度高的岩样纵波波速大的结论,这也是利用弹性波波速预测岩石或岩体强度的原因。自然和饱水状态下岩样单轴抗压强度与纵波波速的回归关系线的斜率大于抗拉强度与纵波波速的回归关系线的斜率,即相同纵波波速增量下,岩样单轴抗压强度的增量大于抗拉强度增量,说明试样单轴抗压强度对纵波波速的敏感性更强。从自然和饱水状态下试样单轴抗压强度和抗拉强度与纵波波速的回归关系式的相关系数来看,相同状态下岩样单轴抗压强度与纵波波速的线性相关性更高一些。

3 结论

1) 单轴压缩时自然状态试样应力应变曲线峰前整体呈塑弹性的上凹型,而饱水时峰前整体近似呈塑弹塑性的S型。饱水对岩石的峰值强度和弹性模量有明显的软化作用,饱水状态试样的峰值应变和泊松比整体上大于自然状态试样的值。

2) 水饱和后岩溶灰岩试样的抗拉强度均表现出一定程度的降低,巴西劈裂试验条件下岩溶灰岩的似软化系数整体上小于单轴压缩条件下的似软化系数。

3) 试样在饱水条件下的纵波波速均明显均明显高于自然状态下的纵波波速,自然状态下纵波波速高者,饱水后纵波波速增量较小,而纵波波速低者,饱水后波速增量却相对较大。岩溶灰岩试样单轴抗压强度和抗拉强度与纵波波速具有较高的线性相关性,但单轴抗压强度与纵波波速的线性相关性更高一些。

4) 饱水状态下岩溶灰岩力学性质的研究是防突岩层稳定性评价和最小防突厚度计算的重要基础和前提。基于当前的研究成果,阐述了试验结果的工程应用。

参考文献
[1] 宋战平.隐伏溶洞对隧道围岩-支护结构稳定性的影响研究[D].西安:西安理工大学, 2006. http://mall.cnki.net/magazine/Article/YSLX200606035.htm
[2] 丁浩, 彭振华, 程崇国. 通渝隧道涌水突泥灾害的处治[J]. 隧道建设, 2005, 25(Sup1) : 42–43.
Ding H, Peng Z H, Cheng C G. Treating of water inrush and mud burst in Tongyu tunnel[J]. Tunnel Construction, 2005, 25(Sup1) : 42–43. (in Chinese)
[3] 郭佳奇.岩溶隧道防突厚度及突水机制研究[D].北京交通大学, 2011. http://cdmd.cnki.com.cn/Article/CDMD-10004-1011102617.htm
[4] 李苍松, 廖烟开, 谷婷. 岩溶围岩力学特性试验的初步研究[J]. 地下空间与工程学报, 2007, 3(7) : 1358–1362.
Li C S, Liao Y K, Gu T. Preliminary study on mechanical property tests for karst rock[J]. Chinese Journal of Underground Space and Engineering, 2007, 3(7) : 1358–1362. (in Chinese)
[5] 李奎.隧道岩溶围岩力学特性的初步研究[D].成都:西南交通大学, 2005. http://cdmd.cnki.com.cn/Article/CDMD-10613-2005110533.htm
[6] 石祥锋.岩溶区桩基荷载下隐伏溶洞顶板稳定性研究[D].武汉:中国科学院武汉岩土力学研究所, 2005. http://cdmd.cnki.com.cn/Article/CDMD-80005-2006194653.htm
[7] 武尚, 刘佑荣, 李世佳. 三轴压缩条件下灰岩力学特性试验机力学模型研究[J]. 长江科学院院报, 2013, 30(3) : 30–34.
Wu S, Liu Y R, Li S J. Test and models of the mechanical properties of limestone under triaxial compression[J]. Journal of Yangtze River Scientific Research Institute, 2013, 30(3) : 30–34. (in Chinese)
[8] 郭佳奇, 刘希亮, 乔春生. 自然与饱水状态下岩溶灰岩力学性质及能量机制试验研究[J]. 岩石力学与工程学报, 2014, 33(2) : 296–308.
Guo J Q, Liu X L, Qiao C S. Experimental study of mechanical properties and energy mechanism of karst limestone under natural and saturated states[J]. Chinese Journal of Rock Mechanics and Engineering, 2014, 33(2) : 296–308. (in Chinese)
[9] Palchik V. On the ratios between elastic modulus and uniaxial compressive strength of heterogeneous carbonate rocks[J]. Rock Mechanics and Rock Engineering, 2011, 44(1) : 121–128. DOI:10.1007/s00603-010-0112-7
[10] 中华人民共和国国家标准编写组. GB/T 50266-99工程岩体试验方法标准[S].北京:中国计划出版社, 1999.
[11] Hoek E, Wood D. Modified Hoek-Brown failure criterion for jointed rock masses [C]//Proc.ISRM.Symposium:Eurock'92, Chester, England, 202-214, 1992.
[12] 李利平.高风险岩溶隧道突水灾变演化机理及其应用研究[D].济南:山东大学, 2009. http://cdmd.cnki.com.cn/Article/CDMD-10422-2009248642.htm
[13] 莫阳春.高水压充填型岩溶隧道稳定性研究[D].成都:西南交通大学, 2009. http://cdmd.cnki.com.cn/Article/CDMD-10613-2010115711.htm
[14] 江学良, 曹平, 杨慧, 等. 水平应力与裂隙密度对顶板安全厚度的影响[J]. 中南大学学报:自然科学版, 2009, 40(1) : 211–216.
Jiang X L, Cao P, Yang H, et al. Effect of horizontal stress and rock crack density on roof safety thickness of underground area[J]. Journal of Central South University: Science and Technology, 2009, 40(1) : 211–216. (in Chinese)
[15] Hoek E, Brown E T. Practical estimates of rock mass strength[J]. Internal Journal of Rock Mechanics and Mining Science, 1997, 34(8) : 1165–1186. DOI:10.1016/S1365-1609(97)80069-X
[16] 尤明庆, 苏承东. 平台巴西圆盘劈裂和岩石抗拉强度的试验研究[J]. 岩石力学与工程学报, 2004, 23(18) : 3106–3112.
You M Q, Su C D. Experimental study on split test with flattened disk and tensile strength of rock[J]. Chinese Journal of Rock Mechanics and Engineering, 2004, 23(18) : 3106–3112. (in Chinese)
[17] 邓华锋, 李建林, 朱敏, 等. 圆盘厚径比对岩石劈裂抗拉强度影响的试验研究[J]. 岩石力学与工程学报, 2012, 31(4) : 792–798.
Deng H F, Li J L, Zhu M, et al. Research on effect of disc thickness-to-diameter ratio on splitting tensile strength of rock[J]. Chinese Journal of Rock Mechanics and Engineering, 2012, 31(4) : 792–798. (in Chinese)
[18] Okubo F, Fukui K. Complete stress-strain curves for various rock types in uniaxial tension[J]. International Journal of Rock Mechanics and Mining Sciences & Geomechanics Abstracts, 1996, 33(6) : 549–556.
[19] 尤明庆. 关于"硬岩巴西劈裂法试验误差影响率分析"的讨论[J]. 岩土工程学报, 2008, 30(4) : 621–622.
You M Q. Discussion on "Analysis of influence on errors in brazilian test of hard rock"[J]. Chinese Journal of Geotechnical Engineering, 2008, 30(4) : 621–622. (in Chinese)
[20] 陈旭, 俞缙, 李宏, 等. 不同岩性及含水率的岩石声波传播规律试验研究[J]. 岩土力学, 2013, 34(9) : 2527–2533.
Chen X, Yu J, Li H, et al. Experimental study of propagation characteristics of acoustic wave in rocks with different lithologies and water contents[J]. Rock and Soil Mechanics, 2013, 34(9) : 2527–2533. (in Chinese)