土木建筑与环境工程  2015, Vol. 37 Issue (6): 78-86   PDF    
河道淤泥气泡混合土微观构造及力学性质相关性
章培培1, 顾欢达1, 陈冬青2    
1. 苏州科技学院 土木工程学院,江苏 苏州 215011;
2. 苏州市恒正工程质量检测有限公司,江苏 苏州 215134
收稿日期:2015-07-23
基金项目:国家自然科学基金(51378327)
作者简介:章培培(1991-),女,主要从事软土地基处理技术及原理研究,(E-mail)zppwodeshijie@163.com
顾欢达(通信作者),男,教授,博士,(E-mail)ghdgx@163.com
摘要:基于河道淤泥气泡混合土(FMLSS)的微观构造特征,通过微观构造观察和分析,评价了FMLSS的强度特性和破坏机理。试验结果表明,保持FMLSS含水量一定,随着气泡掺入量的增加,FMLSS的内部平均等效孔径和气孔面积百分比含量呈线性增大趋势、而随着水泥掺入量的增加呈减小趋势;随着气泡掺入量的增加,FMLSS的气孔大小分布的均匀性降低,气孔平均等效孔径增大。试验结果还表明,FMLSS的强度发挥及破坏机理与FMLSS的气孔分布的均匀性以及等效孔径等微观构造参数存在明显的相关性。
关键词气泡混合土    数字图像技术    等效孔径    微观结构    无侧限抗压强度    
Correlation analysis of microscopic structure and the mechanical properties about foamed mixture lightweight soil using river sludge
Zhang Peipei1, Gu Huanda1, Chen Dongqing2    
1. Department of Civil Engineering, University of Science and Technology of Suzhou, Suzhou 215011, Jiangsu, P.R.China;
2. Suzhou Hengzheng Engineering Quality Test Co., Ltd, Suzhou 215134, Jiangsu, P.R.China
Received: 2015-07-23
Foundation item: National Natural Science Foundation of China (No.51378327)
Author brief: Zhang Peipei (1991-), main interest: the soft soil foundation treatment technology and principle, (E-mail)zppwodeshijie@163.com.
Gu Huanda (corresponding author), professor, PhD, (E-mail)ghdgx@163.com.
Abstract: Based on the characteristics of microstructure of foamed mixture lightweight soil using river sludge (FMLSS), the strength properties and failure mechanism of FMLSS are studied. The results show that when water content of FMLSS is constant, with the increase of bubble incorporation internal average equivalent aperture, the percentage of porosity area of FMLSS present linear increasing trend, while all of them decrease with the increase of cement incorporation. With the increase of bubble incorporation, the size uniformity of pore in FMLSS reduces, while improve with the increase of cement incorporation. The strength of FMLSS has obvious correlations with the microscopic parameters of FMLSS such as the equivalent aperture and uniformity of pore distribution. The results provided basis for the study of the strength of FMLSS and the mechanism of the damage.
Key Words: foamed mixture lightweight soil    digital image technology    equivalent aperture    microstructure    unconfined compressive strength    

中国幅员广大,尤其南方地区河湖众多,每年河道淤泥产量大。对于河道淤泥的处理方式,从以前单一用于农作物肥料和废弃堆积到现在的综合有效利用,例如对其进行轻质化处理,再将其作为实际工程中的填筑材料,既能解决废弃淤泥的存放问题,同时又提供了一种新型的建筑材料,既降低生产成本、提高经济效益,对环境治理与保护也有很好的效果,可以有效促进河道淤泥的再生资源化利用。

河道淤泥具有含水量大、压缩性高、强度低等特性,一般很难直接应用于工程实际中。顾欢达等[1]探讨了河道淤泥再生资源化利用的可能性及方式,评价了处理后作为填土材料的可行性, 并对河道淤泥进行了轻质化处理。通过对河道淤泥添加起泡剂、固化剂,调整配比和养护龄期等因素制备了比重在0.591~1.124 g/cm3之间、强度在300~800 kPa之间变化的气泡混合轻质土[2]。或是加其他轻质材料可满足强度要求的轻质土[3]。同时,Kikuchi等[4]针对气泡混合土的渗透性进行了分析。

对河道淤泥进行气泡混合化处理,可以达到有效利用河道淤泥,利用其密度小、强度高、具有流动性等特征,可以用于软基处理、空洞填充及狭窄区域施工等比较特殊的工程领域,具有良好的适用性。经处理后的河道淤泥可用于海港和机场的建设[5]、桥梁路基过渡区的土壤中、路基的填充材料以及稳定土的垫层材料[6-7]。由于气泡混合土具有轻质性,高流动性,强度可调节等特点,可减轻路基的自重,从而降低了地基附加应力和地基沉降量,也更易满足所需的地基承载力条件,相对于未处理的河道淤泥而言,可不用再做地基处理,降低了工程成本,提高了社会效益。气泡混合土还具有隔热保温、渗透性小、低蠕变、抗冻融与耐久性良好等特点。

将河道淤泥作为原料土进行轻质化处理制成气泡混合土,主要是将河道淤泥、固化剂及气泡根据设定的配合条件进行混合形成轻质土材料,在保持一定的强度与刚度条件下,通过混入气泡形成一种轻质多孔性材料。根据材料构造特征,其强度发挥及在荷载条件下的变形特性必然与混入气泡后在土体内部形成的微孔构造特征相关。对于轻质土的力学性质已有了一定的研究[8-9],而岩石的微观结构特征与其力学行为有着很大的相关性[10], 李红英等[11]也从材料的微观结构探究了其耐久性以及振动对早期强度的影响[12],因此认为土体的微观结构与力学性质同样存在着一定的相关性。因此,要了解气泡混合土的强度发挥及破坏机理,掌握土体内部微孔结构构造特性如微孔数量、孔径尺寸、孔径分布等参数与气泡混合土强度发挥与变形的相关性十分重要[13-14]

为了对土体内部的微孔构造特性进行定量化分析,在研究中采用数字图像分析技术对土体内部的微孔构造特征进行数值化处理,结合物理及强度试验对河道淤泥气泡混合土的强度发挥与破坏机理进行分析,为河道淤泥气泡混合土的工程应用建立一定的理论基础。通过图像处理统计分析得出土体的微观结构参数,并与其工程力学性质相结合分析[15]。尤其是对气泡混合土的特殊面比如薄弱面、破坏面[16]等的分析,其微观结构的变化与强度和变形特性更明显。Liu等[17]对土中砂粒SEM图像进行了特征分析,姬凤玲等[18]在对轻质混合土的微观结构试验过程中,解释了轻质混合土的强度及变形机理。

1 试验方法
1.1 试验原料及配比设计

该试验原料来自苏州某河道清淤的淤泥质土,经室内实验得出基本物理参数指标,可判断该淤泥质土属于流塑状的粉质黏土,且颗粒级配良好。

为了研究河道淤泥气泡混合土的微观结构对力学性质的影响,且经过反复试验,结合管文[19]研究孔结构对泡沫混凝土性能的影响,对微观结构影响较大的两个因素即是气泡掺入量及水泥掺入量。因此,制备了如表 1的试验配合设计。

表 1 试验配比设计 Table 1 Test mix design

由于掺入气泡的体积大小难以测量,因此,所有组成材料的配比均以河道淤泥的干土质量为标准。水泥掺入量即表示掺入水泥的质量与试样干土质量的比值;气泡掺入量即表示为掺入气泡的质量与试样干土质量的比值。含水量指掺入水之后包含原料土中的水的质量与试样干土质量的比值。

1.2 试样制备

试样的制备主要包括原料土、水泥、水及气泡的掺入。制样之前,原料土经4.75 mm方格网过筛,去除杂质。然后掺水解泥,再掺入水泥搅匀,试验使用32.5#普通硅酸盐水泥,最后根据设定的配合条件加入气泡。气泡生成使用动物蛋白类复配型发泡剂自制气泡。搅拌均匀后制样,制样时采用直径38 mm、高76 mm的模具,并将调配完成的气泡混合土分3层装入模具,且每个配比的试样至少有3个平行样。密封后放在标准养护条件下养护24 h后取出脱模,继续养护至设定的试验龄期。

1.3 试验方法
1.3.1 密度试验及强度试验

为测定其密度,对每个配比制成的3个试样称量其质量M1M2M3,测得平均密度ρ

$ \rho = M/V $ (1)

式中:V是试样平均体积,cm3M为试样平均质量,g;当满足任何两个试样的密度差Δρ < 1%,即可认为制成的试样比较均匀,可用于后续试验。

强度试验主要是采用无侧限抗压强度仪,试验中轴向应变速率约为1 mm/min。

1.3.2 数字图像分析方法

数字图像分析主要包括以下几个方面内容:1)  利用数字摄像设备对土体界面进行图像摄取并对图像进行初步处理;2)  利用图像分析软件对图像上显示的微孔构造特征进行数字化处理并提取反映微孔构造特征的物理参数;3)  根据提取的物理参数进行定量化处理与分析。数字图像摄取利用高分辨率α-6000型SONY相机拍摄,再利用ImageJ数字图像软件对数字图像进行处理, 提取反映微孔构造特征的参数并进行分析。为了便于对比分析,拍摄时将摄相机镜头固定在距拍摄界面50 cm位置,同时, 用标尺标定一定单位尺度,再利用图像分析软件将标定的单位尺度换算为像素值并设为图像单位尺度,进而可以对图像中的微孔尺度进行数字化分析处理。根据白光红等[20]对Image J的研究应用,利用图像分析软件能从图像中提取研究对象的面积、尺寸以及轮廓。图 1图 2为土体界面图像及经二值化处理后的图像,在此基础上可进一步对土体内部的微孔特征进行数字化处理分析。如在设定的区域范围内提取微孔总面积、不同尺度微孔百分比、单个微孔面积及微孔数量等参数。对气泡混合土的气孔结构进行粒度分析[21]

图 1 原始图像 Fig. 1 Original picture

图 2 二值化处理后图像 Fig. 2 Binarization image

2 数字图像特征参数的定义

河道淤泥气泡混合土的强度和变形特性与土体内部的微观结构特征有密切的关系。实际上,气泡混合土内部微观构造决定了土体的宏观力学与物理性质。气泡混合土内部微孔构造特征受多种因素影响,如原料土性质、固化剂类型、配合条件、发泡剂类型及发泡倍率、试样制作工艺等。在不同因素影响下成型后的气泡混合土内部微孔构造特征会呈现不同的特征,从而影响其强度发挥及变形规律。为了揭示不同的微孔构造特征对气泡混合土物理力学性质的影响,利用数字图像分析技术可以比较明确地对气泡混合土内部的微孔构造特征进行定量化处理分析,从而有助于进一步揭示河道淤泥气泡混合土的强度发挥特性及破坏机理。

2.1 图像数字化处理

经二值化处理后的图像显示的为不规则微孔图形,为方便分析对比,对单个微孔按圆形进行简化处理,将单个微孔面积换算为等效圆孔,其直径记为等效孔径。对所有微孔的等效孔径取平均值记为平均孔径。等效孔径的换算公式为

$ D = {\left( {\frac{{4 \cdot A}}{\pi }} \right)^{0.5}} $ (2)

式中:D为等效孔径,mm;A为微孔总面积,mm2

为便于对土体内部微孔特征进行定量分析,将根据上式计算得到的等效孔径按大小进行分类统计,从而确定不同尺度微孔的分布特征参数并据此定义土体内部的微孔分布特征。

2.2 数字图像特征参数

根据统计得到的微孔等效孔径分布数据,可以建立反映不同孔径微孔的分布曲线,如图 3所示,以图像中小于(或大于)某孔径的微孔数量占该图像中总微孔数量的累计百分比为纵坐标,微孔的等效孔径为横坐标,在单对数坐标上可以绘制出微孔等效孔径分布曲线。由分布曲线的坡度(即陡峭程度)可判断土体内部中微孔分布的均匀程度。若曲线较陡,表示孔径分布比较均匀,反之,曲线平缓,则孔径大小相差较大,微孔孔径分布不均匀。

图 3 微孔等效孔径分布曲线 Fig. 3 Pore size distribution curve

基于气泡混合土的微观构造特征,微孔孔径分布均匀,则表明发泡后气泡相对比较稳定,成型后的气泡混合土材质相对比较均匀,在荷载条件下有利于强度发挥及抵抗变形;而微孔孔径分布不均的情况下,在较大孔径附近的土骨架容易受到削弱,在荷载作用下较易从这些薄弱部位发生破坏,从而使得土体强度降低、变形增大。因此,微孔孔径分布特征与土体强度、变形等力学性质应存在明显的相关关系。

为了定量反映微孔孔径分布特征,可以根据微孔分布曲线建立反映微孔分布均匀情况的特征参数:定义微孔孔径分布不均匀系数Cu及曲率系数Cc

$ {C_{\rm{u}}} = \frac{{{d_{60}}}}{{{d_{10}}}} $ (3)
$ {C_{\rm{c}}} = \frac{{d_{30}^2}}{{{d_{10}} \cdot {d_{60}}}} $ (4)

式中:d60d30d10分别为小于某孔径的微孔数量百分比含量60%、30%及10%对应的孔径,分别称为限制孔径、中值孔径和有效孔径。不均匀系数Cu反映不同孔径微孔的分布范围,即微孔孔径分布的均匀程度。Cu越大,表示微孔孔径分布范围越大,微孔孔径分布不均匀。曲率系数Cc描述累计曲线分布的整体形态,反映了限制孔径d60与有效孔径d10之间各孔径的分布情况。图 4显示为两种不同气泡混合条件下的微孔孔径分布曲线,根据测试数据计算不均匀系数后可以看出,Cu值较大的情况下分布曲线比较平缓,而Cu值较小时曲线比较陡峭,即代表土体内部孔径分布比较均匀。由此可知,通过图像特征参数Cu值可以定量地反映土体内气孔孔径分布的均匀程度。

图 4 气孔累计曲线对比 Fig. 4 Comparison of cumulative porosity curves

为了进一步把握土体内部大小微孔孔径的尺度,将土体中各种不同大小孔径的微孔按等效孔径为0.05和0.2 mm分成小孔径、中孔径和大孔径3种,划分孔径的分界尺寸(0.05和0.2 mm)称为界限孔径。根据等效孔径的大小可以定义反映孔径尺度大小的特征参数,定义大小孔径数量比S

$ S = \frac{{{N_{0.2}}}}{{{N_{0.05}}}} $ (5)

式中:N0.2N0.05分别表示图像中等效孔径大于0.2 mm的气孔数量和小于0.05 mm的气孔数量。显然,大孔径微孔数量越多,S值越大;S值越小,则表明土体内部主要以孔径较小的微孔为主,相对土体的材质比较均匀,受荷载后的力学性质较好。

3 河道淤泥气泡混合土微观构造特征
3.1 等效孔径特性

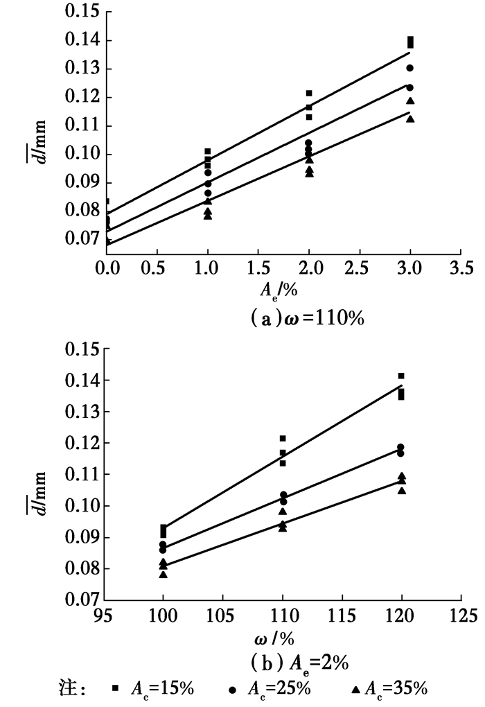
图 5(a)可以看出,在一定的水泥含量下,随着混入气泡含量的增加土体内部平均等效孔径基本呈线性增大。说明随着气泡混入量的增加,土体内不仅微孔数量增加,大孔径微孔的比例也相应增大。当气泡混入量从1%提高到2%,增大1倍的情况下,平均等效孔径增大约10%程度。图中Ac定义为水泥掺入比,Ae为气泡混合比。

图 5 特征参数的变化 Fig. 5 Change of feature parameters

图 5(b)所示的是气泡混入量保持在2%不变,改变含水量时微观结构的变化规律。很明显可以看出含水量越高,气泡混合土中大微孔的数量越多,当含水量增加10%,在水泥产量为15%的情况下,平均等效孔径增大20%左右,在水泥掺量为25%和35%时,平均等效孔径增大12%左右。说明含水量越高,平均等效孔径越大,且当水泥掺量较低时,平均等效孔径的大小随含水量的增加而增加的越快。

由于平均孔径的增大意味着土骨架体积的缩小,在荷载作用下必然引起土体强度下降、变形增大,实际工程中在满足土体密度及强度条件下,应尽量控制气泡的混入量。另外,在气泡混入量一定的情况下,水泥掺入量越大,微孔平均等效孔径越小。水泥的混入在养护过程中要发生水化、结晶、硬凝反应,在固体颗粒表面生成的水化物对土体内部的微小孔隙存在一定的填充效应,因此,随着水泥掺入量的增大,土骨架体积增大、强度及刚度提高的同时,微孔的数量及等效孔径也会相应减小,从而有利于提高土体的强度与刚度,实际工程中可以利用此特性通过调整水泥掺入量调整气泡混合土的密度及强度以满足工程要求。

3.2 微孔孔径分布特性

在原料土含水量为110%,水泥掺入量为25%,气泡掺入量分别为0、1%、2%、3%的条件下,河道淤泥气泡混合土微孔孔径分布曲线如图 6所示。从等效孔径分布曲线可以看出,在不同的气泡混入量情况下,等效孔径分布曲线的形态基本相同,大部分微孔孔径集中在0.02~0.2 mm范围内。随着气泡混合量的增大,分布曲线总体上向左侧移动,说明随着气泡混合量的增大,大孔径微孔数量增多,其趋势与图 5显示的结果是一致的,使得气泡混合土在密度减小的同时,由数量较多的大尺度微孔引起的土体强度下降及变形增大将会更加明显。

图 6 气孔分布曲线对比 Fig. 6 Comparison of stomatal distribution curve

根据图 7显示的结果可以看出,大小微孔数量比随气泡混入量和含水量的增加而增加,而且成非线性状态。当气泡混合量超过1%或者是含水量超过110%以后,大小微孔数量增大更加明显。说明随着气泡混合量和含水量的增大,会促使大尺度微孔的数量明显增加,如前所述,大尺度微孔数量的增加,会使得土骨架体积减小,并在土体内部形成相对薄弱的部位,使混合土的强度与刚度下降;随着水泥掺入量的提高,不仅使土体内部平均等效孔径减小,而且大小微孔数量比也会降低。因此,水泥掺入比的提高,不仅会提高土骨架的强度与刚度,同时也会使得土体内部微孔孔径分布趋于均匀化。因此,实际工程中,通过适当提高作为固化材料的水泥掺入量,对于改善河道淤泥气泡混合土的力学性质具有比较明显的效果。

图 7 大小气孔数量比的变化 Fig. 7 Change of the quantity of the size of the stoma

含水量与气泡混入量对微孔分布的影响关系很类似,且气泡混合土的力学性质及存在状态受含水量的影响较大,在实际工程应用选择较为合适的含水量尤为重要,在该研究中,取含水量较为适中的状态,所以,在以下关于微孔分布特征的研究以调整气泡混入量和水泥掺量为主要依据,保持含水量为110%,总结归纳其特性。

进一步根据前述所定义的反映微孔孔径分布均匀性的特征参数对河道淤泥气泡混合土的微观构造特征进行分析,基于前述微孔孔径分布曲线的均匀性分析,当土体内微孔孔径分布能同时满足Cu < 5.0和Cc=1.1~1.4的条件时,可认为土体内微孔孔径分布比较均匀,属于有利于土体强度发挥及抵抗变形的比较理想微孔分布状态。根据图 8图 9所显示的气泡混合量与均匀性特征参数的关系,微孔分布均匀性与气泡混合量及水泥掺入量相关,为了获得比较理想均匀的微观构造,可通过调整气泡混合量及水泥掺入量使得河道淤泥气泡混合土体内部微孔构造处于比较均匀的状态。

图 8 不均匀系数的变化 Fig. 8 The change of uneven coefficient

图 9 曲率系数的变化 Fig. 9 Variation of curvature coefficient

例如,对于水泥含量为15%的河道淤泥气泡混合土,为满足Cu < 5的条件,气泡混合量应控制在约1.25%以下,而要满足Cc < 1.4的条件,则气泡混合量不宜超过约0.75%,据此,可以推断对于水泥掺入量为15%的河道淤泥气泡混合土,为了获得比较均匀的微孔构造状态,气泡混合量不宜超过0.75%;而对于水泥掺入量为25%的河道淤泥气泡混合土,要满足Cu < 5的条件,则气泡混合量不宜超过约2.25%,若要满足Cc=1.1~1.4的条件,气泡混合量应控制在0~2.5%范围内,按同时满足两个条件考虑,对于水泥掺入量为25%的河道淤泥气泡混合土,气泡混合量控制在0~2.25%范围内时,都可以获得比较均匀的微观构造状态。在实际设计与施工过程中,还应考虑密度、强度等要求,在上述范围内选择合理的气泡混合量。

4 微观构造特征与强度的相关性分析
4.1 微孔孔径特性与强度的相关性

根据前述微观构造分析可知,微孔孔径大小会影响土骨架结构强度进而影响气泡混合土的强度,尤其是大孔径微孔数量对气泡混合土的强度产生直接影响,大孔径微孔数量越多,对土骨架的削弱作用更加明显,从而对气泡混合土的强度影响越大。图 10所示的结果显示,河道淤泥气泡混合土的抗压强度随大小孔径数量比的增大而减小,而且水泥掺入量越大,这种趋势更加明显。这是由于水泥掺入量高,土骨架强度也随之提高,大孔径微孔的存在对土骨架强度的削弱影响更加明显。从图中同样可以发现,水泥掺入量减少,不仅使河道淤泥气泡混合土的强度降低,大小孔径数量比的变化范围也增大,说明对于水泥掺入量比较少的气泡混合土,强度降低不仅与土骨架强度降低有关,而且与大孔径微孔数量增大有关。同时,图 10中曲线还表示随着箭头方向气泡掺入量不断增加,变化范围在0~3%。由此可见,随着气泡掺入量的增加,大小气孔数量比S逐渐增大,且气泡混合土的强度呈缓慢衰减趋势。

图 10 qu-S的关系 Fig. 10 Relationship between qu and S

进一步考察强度试验前后的大小孔径数量比的变化情况(图 11),与强度试验前的大小孔径数量比相比,试验后S值降低,说明土样受到荷载作用后,大孔径微孔首先受到破坏,相应的大孔径微孔数量减小使得S值降低,该现象进一步说明在土样受到压缩后首先从大孔径微孔开始破坏,大孔径微孔数量是影响气泡混合土强度的主要因素。而且随着气泡混合量的增大,试验后大孔径微孔减少的现象更加明显,这是由于气泡混合量大,产生的大孔径微孔数量也相应增加,破坏后大孔径微孔消失的数量也同样增加。

图 11 S-Ae的关系 Fig. 11 relationship between S and Ae

强度试验后除了大孔径微孔数量减小外,图 12的结果显示,压缩试验后微孔总面积比试验前明显减小。以上结果表明,在压缩试验过程中,气泡混合土内部微孔构造在外荷载作用下,大孔径微孔发生破坏,大孔径微孔受挤迫后形成单个或多个小孔径微孔,也可能直接消失,其余中小孔径微孔也有受压缩后孔径缩小或消失的可能。最终导致压缩试验后孔径尺度及微孔面积明显减小,此结果说明对于气泡混合土而言,土体内部存在的微孔特征及分布是影响气泡混合土强度发挥的重要因素。

图 12 试验前后的对比 Fig. 12 Comparison of before and after experiments

4.2 微孔分布特征与强度的相关性

除了微孔孔径尺度对气泡混合轻质土的强度产生影响外,土体内部的微孔孔径分布特征即微孔孔径分布的均匀性对气泡混合轻质土的强度发挥产生明显影响。根据前述,土体内部的微孔孔径分布特征可以利用微孔孔径分布曲线及对应的孔径分布特征参数进行描述。为了说明土体内部微孔孔径分布特征对气泡混合土强度发挥的影响,图 13反映了不同微孔孔径分布特征参数Cu值对河道淤泥气泡混合土强度发挥的影响。根据试验结果可以看出:1) 随着微孔孔径分布不均匀系数Cu值的增大,即微孔孔径分布均匀性下降,总体上河道淤泥气泡混合土的强度呈下降趋势;2) 虽然水泥掺入量的提高可以增大河道淤泥气泡混合土的强度,但随着微孔孔径不均匀程度的降低,与低水泥掺入量的气泡混合土相比,强度下降更加明显,说明微孔孔径分布的均匀性对强度较高的土体影响更明显。

图 13 qu-Cu的关系 Fig. 13 The relationship between σ and qu and Cu

以上结果表明,在实际工程中为了提高河道淤泥气泡混合土的强度及刚度,应从发泡剂材料的稳泡性、发泡倍率等指标控制生成微泡的均匀性,从而有利于提高河道淤泥气泡混合土的品质。

另一方面,可以从强度试验前后土体内部微孔孔径分布变化,进一步根据微孔孔径分布特征变化考虑河道淤泥气泡混合土的破坏机理。图 14反映了同一配比试样强度试验前后土体内部微孔孔径分布的变化情况。根据图示结果可以发现:1) 强度试验后微孔孔径分布曲线整体向右侧移动,说明压缩试验后土体内部的平均等效孔径减小;2) 对比强度试验前后的不均匀系数Cu值,分别为4.46和3.42,压缩试验后土体内部微孔孔径分布不均匀系数减小。

图 14 试验前后气孔分布对比 Fig. 14 Comparison of porosity distribution before and after the experimen

上述结果表明:在压缩试验过程中较大孔径微孔受挤迫后先于较小孔径微孔发生破裂或缩小分解为较小孔径的微孔,使得压缩试验后整体平均等效孔径减小、孔径分布均匀性提高;结合前述微孔孔径尺度对强度发挥的影响分析,对于河道淤泥气泡混合土,土体内部较大孔径微孔的孔径尺度及数量、微孔孔径分布的均匀性是影响河道淤泥气泡混合土的重要因素,尤其是对于相对强度比较高的土体影响更加明显。因此,通过选择稳泡性较好、发泡倍率适当的发泡剂材料,以及通过采用合理的成型工艺,在成型过程中减小对土体的挠动,减小大孔径微孔数量及提高微孔孔径分布的均匀性,是提高河道淤泥气泡混合土质量的重要因素。

5 结论

1) 利用数字图像分析方法可以对河道淤泥气泡混合土的微观构造特征进行定性及定量分析,利用其微观构造特征与力学性质的相关性,可有效揭示河道淤泥气泡混合土的强度发挥特征及破坏机理。

2) 随着水泥掺入量的提高,由于团粒化效应及水化物的填充作用,不仅使得土体内部微孔孔径减小、孔径分布均匀化,同时提高土骨架的强度与刚度,从而使得河道淤泥气泡混合土的强度与刚度明显提高。

3) 较大微孔孔径尺度及数量、微孔孔径分布的均匀性是影响河道淤泥气泡混合土力学性质的重要因素,尤其是对于相对强度比较高的土体,影响更加明显。实际工程中,除了根据对土体的密度、强度要求选择合理的配合条件外,应尽可能从发泡剂性质指标选择、气泡混合土成型施工工艺、减小对土体挠动等多个方面采取合理措施,减小土体内部较大微孔孔径尺度及数量、提高微孔孔径分布均匀性以提高河道淤泥气泡混合土的质量。

参考文献
[1] 顾欢达, 顾熙. 河道淤泥的有效利用方式及其物性探讨[J]. 环境科学学报, 2002, 22(4) : 454–458.
Gu H D, Gu X. The approach to effective utilization of river sludge and engineering properties[J]. Acta Scientiae Circumstantiae, 2002, 22(4) : 454–458. (in Chinese)
[2] 何国杰, 丁振洲, 郑颖人. 气泡混合轻质土的研制及其性能[J]. 地下空间与工程学报, 2009, 5(1) : 18–22.
He G J, Ding Z Z, Zheng Y R. Preparation of bubble mixed light soil and its properties[J]. Chinese Journal of Underground Space and Engineering, 2009, 5(1) : 18–22. (in Chinese)
[3] 加藤俊昭, 大野睦夫, 長坂勇二.廃棄発泡スチロール破砕片を用いた軽量盛土の施工[C]//第26回土质工学研究发表会, 1991:49-50.
[4] Kikuchi Y, Nagatome T, Otani J. Visualization of permeability phenomena in lightweight treated soil mixed with air foam using micro-focus X-ray CT scanner[J]. American Society of Civil Engineers, 2006 : 1–6.
[5] Takashi T, Minsoo K.Use of lightweight treated soil method in seaport and airport construction project [C]//Proceedings of the International Workshop on Lightweight Geo-materials, Tokyo, Japan, 2002:215-228.
[6] Puppala A J, Chittoori B, Yenigalla R, et al. Settlement mitigation using light weight fill embankment system[J]. American Society of Civil Engineers, 2013, 3 : 3–7.
[7] Suchida T, Takeuchi D, Okamura T, et al.Development of lightweight fill from dredgings, environmental geotechnics [C]//Balkema A.Proceedings of the Second International Congress on Environmental Geotechnics. Rotterdam:Springer, 1996:415-420.
[8] Yajima J, Mydin S H. Mechanical properties of the unsaturated foam composite light-weight soil[J]. American Society of Civil Engineers, 2006, 4 : 2–6.
[9] 例えば, 浜野正光, 今井五郎, 等.発泡ビーズを混合した軽量安定処理土の力学特性[C]//第27回土質工学研究発表会演講集.1992:2515-2518.
[10] 冯文凯, 黄润秋, 许强. 岩石的微观结构特征与其力学行为启示[J]. 水土保持研究, 2009, 16(6) : 26–28.
Feng W K, Huang R Q, Xu Q. The enlightenment of microstructure characteristic and mechanical behavior of rock[J]. Research of Soil and Water Conservation, 2009, 16(6) : 26–28. (in Chinese)
[11] 李红英, 俞新, 王风霞. 从材料微观结构探究混凝土结构耐久性[J]. 建筑技术开发, 2013, 40(6) : 29–31.
Li H Y, Yu X, Wang F X. From microstructure of material to understand the durability of concrete structure[J]. Building Technique Development, 2013, 40(6) : 29–31. (in Chinese)
[12] Oh K S, Kim T H. Evaluation of the effect of induced vibration on early age lightweight air-trapped soil[J]. International of Civil Engineering, 2013, 11(2B) : 141–149.
[13] 周晖, 房营光, 曾铖. 广州饱和软土固结过程微孔隙变化的试验分析[J]. 岩土力学, 2010, 31(Sup1) : 138–144.
Zhou H, Fang Y G, Zeng C. Experimental analysis of micropore change of Guangzhou saturated soft soil in consolidation process[J]. Rock and Soil Mechanics, 2010, 31(Sup1) : 138–144. (in Chinese)
[14] Karsanina M V, Gerke K M, Skvortsova E B, et al. Universal spatial correlation functions for describing and reconstructing soil microstructure[J]. PloS one, 2015, 10(5) : e0126515. DOI:10.1371/journal.pone.0126515
[15] 施爱勇, 徐金明, 李德明. 软土扫描电子显微镜图像的微观参数特征分析[J]. 水文地质工程地质, 2013, 40(3) : 69–73,109.
Shi A Y, Xu J M, Li D M. Soft soil of scanning electron microscope image analysis of characteristics of microscopic parameters[J]. Hydrogeology & Engineering Geology, 2013, 40(3) : 69–73,109. (in Chinese)
[16] 周翠英, 牟春梅. 软土破裂面的微观结构特征与强度的关系[J]. 岩土工程学报, 2005, 27(10) : 1136–1141.
Zhou C Y, Mou C M. Relationship between micro-structural characters of fracture surfaceand strength of soft clay[J]. Chinese Journal of Geotechnical Engineering, 2005, 27(10) : 1136–1141. (in Chinese)
[17] Liu C, Shi B, Zhou J, et al. Quantification and characterization of microporosity by image processing, geometric measurement and statistical methods:Application on SEM images of clay materials[J]. Applied Clay Science, 2011, 54(1) : 97–106. DOI:10.1016/j.clay.2011.07.022
[18] 姬凤玲, 吕擎峰, 马殿光. 聚苯乙烯轻质混合土强度变形特性的微观试验研究[J]. 兰州大学学报:自然科学版, 2007, 43(1) : 19–23.
Ji F L, Lyu Q F, Ma D G. Expanded poly styrol lightweight soil strength deformation characteristics of microscopic test research[J]. Journal of Lanzhou University:Natural Science, 2007, 43(1) : 19–23. (in Chinese)
[19] 管文. 孔结构对泡沫混凝土性能影响的研究[J]. 墙材革新与建筑节能, 2011(4) : 23–26.
Guan W. Effect of pore structure on the performance of foamed concrete[J]. Wall Materials Innovation & Energy Saving in Buildings, 2011(4) : 23–26. (in Chinese)
[20] 白光红, 张义荣, 刘弋菊, 等. ImageJ图象处理软件在测量玉米子粒大小中的应用[J]. 玉米科学, 2009, 17(1) : 147–151.
Bai G H, Zhang Y R, Liu Y J, et al. Application of ImageJ analysis software in measuring kermel size of maize seed[J]. Journal of Maize Sciences, 2009, 17(1) : 147–151. (in Chinese)
[21] 倪寿亮. 粒度分析方法及应用[J]. 广东化工, 2011, 38(2) : 223–224,227.
Ni S L. Particle size analysis method and its application[J]. Guangdong Chemical Industry, 2011, 38(2) : 223–224,227. (in Chinese)