土木建筑与环境工程  2017, Vol. 39 Issue (4): 1-5   PDF    
办公建筑中空调形式对室内外PM2.5浓度相关性的影响
郑洁, 张雨, 姚大军, 黄育华    
重庆大学 城市建设与环境工程学院, 重庆 400045
收稿日期:2016-12-25
基金项目:国家重点研发计划(2016YFC0700705)
作者简介:郑洁(1960-), 女, 教授, 主要从事建筑室内环境研究, (E-mail)jz187@cqu.edu.cn
摘要:室外PM2.5可通过新风及围护结构缝隙渗透至室内,室外PM2.5较高时尤为明显,结果导致室内空气中的PM2.5浓度上升。为了研究空调形式对室内外PM2.5浓度相关性的影响,在2015年夏季对重庆某办公建筑中采用不同空调形式的室内外PM2.5浓度进行了实测。实测结果发现:集中式空调、分体式空调和非空调房间室内外PM2.5浓度比变化范围分别为0.59~0.76、0.47~0.76、0.71~0.91。室内外PM2.5浓度相关性系数的排序为:集中式空调环境(0.94)>非空调环境(0.92)>分体式空调环境(0.77),研究结果表明,办公建筑的空调形式,对室内外PM2.5浓度的相关性有影响。
关键词PM2.5    空调形式    线性拟合    相关性系数    办公建筑    
Influence of air conditioning form on the correlation of indoor and outdoor PM2.5 concentration in office building
Zheng Jie, Zhang Yu, Yao Dajun, Huang Yuhua    
Faculty of Urban Construction and Environmental Engineering, Chongqing University, Chongqing 400045, P. R. China
Received: 2016-12-25
Foundation item: China National Key R & D Program(No. 2016YFC0700705)
Author brief: Zheng Jie (1960-), professor, main research interest: indoor environment, (E-mail)jz187@cqu.edu.cn.
Abstract: Outdoor PM2.5 could penetrate through fresh air and the wall gap into the room especially when outdoor PM2.5 is particularly high, which lead to the rapid rise in the indoor PM2.5 concentration. To determine the influence of the air conditioning system form on the indoor and outdoor PM2.5 concentration, the PM2.5 concentration in the room with different air conditioning forms is measured in the summer of 2015, which is in an office building in Chongqing. The measured results show that: the range of the indoor and outdoor PM2.5 concentration ratio is 0.59~0.76, 0.47~0.76, and 0.71~0.91, respectively when the air conditioning system is. The relationship of indoor and outdoor PM2.5 concentration correlation coefficient is centralized air conditioning environment(0.94) >non air conditioning environment (0.92) > decentralized air conditioning environment (0.77).The results show that air conditioning form in office building has the effect of on indoor PM2.5 concentration.
Key Words: fine particle matter (PM2.5)    air conditioning form    linear fitting    correlation coefficient    office building    

人们平均每天约有21个小时在室内度过[1]。对上班族而言,办公室是除了住宅以外停留时间最长的场所,因此,为了保证室内人员的健康,有必要对办公建筑室内空气污染物进行研究。室内空气中污染物主要有PM2.5、甲醛、苯、TVOCs等[2],其中,对人体伤害最大的是PM2.5颗粒物[3], 不同于其他污染物, 室内PM2.5主要源自室外,并受室内外众多因素的影响[4, 5]。目前,学者们针对室内外PM2.5浓度的关系进行了大量的研究,但绝大部分集中于自然通风或者窗户关闭状态下建筑室内外PM2.5浓度的数值关系[6-9]。其中,Nakorn等[10]和VS等[11]对自然通风条件下室内外PM2.5浓度进行实测,得到室内外PM2.5浓度有相同的时变规律;赵力等[12]以自然通风下的办公建筑为例,分别对冬、夏季室内外的PM2.5质量浓度进行了实测,发现冬季室内外PM2.5浓度和I/O比值均高于夏季;樊越胜等[13]根据所建立的质量平衡方程对西安市某办公建筑室内PM2.5浓度进行了理论分析,并结合实测探讨了室内外PM2.5浓度变化特征。上述研究主要在自然通风条件展开,非自然通风条件下的研究主要涉及到窗式空调、顶板毛细管辐射末端+独立新风空调系统、新风机等[14-16],但目前仍缺乏关于空调形式对室内外PM2.5浓度相关性影响的研究。

本文针对重庆地区常年高湿度的气候条件,实测了某办公建筑内的3间办公室室内外PM2.5浓度,其中3间办公室分别采用了集中式、分体式和自然通风3种空调形式,探讨了不同空调形式对其相关性的影响。

1 材料与方法
1.1 实验方案
1.1.1 采样时间和地点

选择重庆市沙坪坝区的某5层办公楼为研究对象,于2015年7—8月对位于第2层采用不同空调形式的3间办公室室内外PM2.5浓度进行了30 d的监测。被测房间平面布置如图 1,面积均为30 m2(4 200 mm×7 200 mm),室内人数和物品布置基本相同。A办公室的顶板上均匀布置两个送风口(200 mm×200 mm),气流组织形式为上送下回,送风速度为1.35 m/s,送风量为400 m3/h, 其中新风量为60 m3/h,新风经过G4级粗效过滤之后送入室内;B办公室中有一台分体热泵型落地式房间空调器,循环风量为400 m3/h,房间内未设置有专门的新风和排风装置;C办公室在测试期间空调不开启,门关闭但窗户开启。测试时,A、B办公室室内温度控制在26 ℃左右。

图 1 测试办公室的平面布置图 Fig. 1 Testing room layout chart

1.1.2 测试仪器和方法

采用HY-1000B智能大流量TSP采样器和HY-1000型PM2.5切割器对室内外PM2.5浓度进行检测,其主要技术参数见表 1

表 1 PM2.5测量仪器主要技术参数 Table 1 The main technical parameters of PM2.5 testing equipment

按照《室内空气质量标准》(GB/T 18883—2002) 相关规定布置测点,室内外测点均离地面1.5 m, 具体见图 2。选择在无雨、无持续风向的天气进行测试,采样时段为第一天的15:00至次日的11:00(共计20 h),通过现场调查发现,在12:00—2:00时间段,人员流动和食物散发味道会影响测试结果,因而采样避开了该时段。最后,对采样前后的滤膜进行称重,得到PM2.5日均浓度值。

图 2 室内外测点平面布置图 Fig. 2 Arrangement of measuring points schematic diagram

1.2 数据处理

相关分析用于定量判断不同因素间关系的密切程度,其中, Pearson相关是颗粒物研究领域常用的一种较为简单的方法,样本的Pearson相关系数R定义式为

$ R = \frac{{\sum\limits_{i = 1}^n {\left( {{x_i}-\bar x} \right)\left( {{y_i}-\bar y} \right)} }}{{\sqrt {\sum\limits_{i = 1}^n {{{\left( {{x_i}-\bar x} \right)}^2}} } \cdot \sum\limits_{i = 1}^n {{{\left( {{y_i} - \bar y} \right)}^2}} }} $

式中:xiyi(i=1, 2, 3…)为样本值;xy为样本均值。

相关系数取值为0≤|R|≤1,R的绝对值越接近1,变量XY之间的线性相关程度越大;一般地,当R>0.8表示两变量之间具有较强的线性关系;当R<0.3时,表示两变量之间的线性关系较弱。

2 结果与分析
2.1 室内外PM2.5日均浓度分析

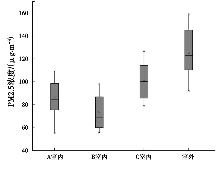
图 3为集中式空调办公室A、分体式空调办公室B、非空调办公室C和室外环境的PM2.5日均浓度变化方差图。PM2.5日均浓度变化范围依次为55.3~109.4、55.9~98.3、79.2~126.6、92.3~159.3 μg/m3,平均值±标准偏差分别为(86.3 ±14.4)、(74.0 ±14.2)、(100.8±15.6)、(125.3±19.9) μg/m3。显然,无论室内采用何种空调系统,室外PM2.5日均浓度平均值远远高于室内。

图 3 办公室室内、外PM2.5浓度方差图 Fig. 3 Office indoor and external PM2.5 concentration variance map

不同空调形式下室内外PM2.5日均浓度差和I/O比变化情况分别如图 45所示,由图 4知,A、B、C办公室的室内外PM2.5日均浓度差存在显著差异,其平均值分别为38.7、51.3、24.6 μg/m3,最大值分别为52.5、79.6、40.6 μg/m3。从图 5可知,集中式空调办公室A的室内外PM2.5的I/O比在0.59~0.76之间(平均值为0.69),分体式空调办公室B室内外PM2.5的I/O比在0.47~0.76之间(平均值为0.59),非空调办公室C室内外PM2.5的I/O比在0.71~0.91之间(平均值为0.81)。

图 4 室内外PM2.5日均浓度差 Fig. 4 Indoor and outdoor PM2.5 average daily

图 5 办公室内外PM2.5日均浓度I/O比 Fig. 5 Office indoor and outdoor PM2.5 average daily concentration of I/O

从上述的数据分析中可得,室内采用不同的空调系统形式会造成室内外PM2.5日均浓度差和I/O比的差异,其中,非空调办公室的室内外PM2.5日均浓度差和I/O比最大,集中空调办公室次之,分体式空调办公室最小。非空调状态下,窗户开启室内外空气交换较多,室内颗粒物的主要来源是室外环境中的PM2.5,并随浓度变化而变化;集中式空调系统在运行时,引入的室外新风经粗效过滤,空气中的细颗粒物并未得到有效的滤除,因此,室内外PM2.5浓度差较小,I/O比较大;分体式空调运行时,室内空气不断地循环,室外空气只能通过门窗等围护结构的渗透作用进入室内,从而使室内外PM2.5日均浓度差值变化范围较宽,I/O比的波动也较大。

2.2 室内外PM2.5日均浓度相关性分析

在确定了空调形式对室内外PM2.5日均浓度会产生影响的基础上,根据实测的数据分别得到集中式空调、分体式空调和非空调环境下室内外PM2.5日均浓度相关系数,并利用origin数据处理软件对不同空调形式下办公室室内外PM2.5日均浓度进行了线性拟合,所得结果见图 6

图 6 不同空调形式下的室内外PM2.5浓度拟合曲线 Fig. 6 Fitting curves of indoor and outdoor PM2.5 concentration under different air condition

图 6(a)可知,整个测试期间,集中式空调办公室的室内外PM2.5日均浓度间的相关系数为ρ1=0.94(ρ>0.8) 表明两者间存在较好的线性关系;对室内外PM2.5日均浓度进行线性拟合,其线性拟合度R2=0.89,拟合方程为y=0.68x+0.845 8,表明在室内无明显室内污染源的情况下,集中空调办公室的室内PM2.5颗粒物主要来源于室外环境。

分体式空调环境下的室内外PM2.5日均浓度相关系数ρ2=0.77(0.8>ρ>0.3), 表明二者间具有线性关系。图 6(b)为分体式空调环境下办公室室内外PM2.5日均浓度的拟合曲线,拟合方程式y=0.55x+5.044,线性拟合度R2=0.59。分体式空调系统在一定程度上将室内外环境分隔成了两个相对独立的环境,室外空气只能经过围护结构的渗透作用进入室内,但室内的PM2.5颗粒物浓度仍受到室外PM2.5浓度的影响。

非空调下的办公室室内外PM2.5日均浓度相关系数ρ3=0.92(ρ>0.8),表明该状态下的室内外PM2.5浓度存在较强的线性相关关系,线性拟合曲线如图 6(c)所示,拟合得到曲线方程y=0.72x+10.709,线性拟合度R2=0.84。对于非空调办公室,室内外换气量大,室外环境中的PM2.5颗粒物成为了室内PM2.5的主要来源,与集中式空调环境不同之处在于,室内外PM2.5浓度的交换过程同时还受到室外环境中的温度、湿度、风速等因素的影响[4],因此,室内外PM2.5浓度的相关系数集中空调环境下的ρ1略大于非空调环境下的ρ3

3 结论

1) 测试期间,办公室A、B、C和室外PM2.5日均浓度的变化范围分别为55.3~109.4、55.9~98.3、79.2~126.6、92.3~159.3 μg/m3,平均值±标准偏差分别为(86.3±14.4)、(74.0±14.2)、(100.8±15.6)、(125.3±19.9) μg/m3;室内外PM2.5的I/O比分别处在0.59~0.76(平均值为0.69)、0.47~0.76(平均值为0.59) 和0.71~0.91(平均值为0.81) 间。

2) 针对文中采用特定气流组织形式的集中式空调、分体式空调和非空调环境下的办公室,室内外PM2.5日均浓度相关系数分别为0.94、0.77和0.92,表明无论采用何种空调形式,室内外PM2.5日均浓度均存在显著的相关性。其中,集中式空调环境下相关性最显著,非空调的自然通风状态次之,采用分体式空调线性关系最弱。

3) 在既定的室内气流组织形式下,房间所采用的空调形式会影响室内外空气的交换,对应的室内外PM2.5日均浓度相关性也不同,而不论采用何种空调形式,室内外PM2.5浓度之间均存在不同程度的相关关系。

参考文献
[1] DUAN X L. Exposure factors handbook of chinese pollution[M]. Beijing: China Environment Press, 2013.
[2] 陈雪华. 室内空气主要污染物及其健康效应[J]. 中国卫生工程学, 2014, 13(2): 170–173.
CHEN X H. Indoor air pollution and its health effects[J]. Chinese Health Engineering, 2014, 13(2): 170–173. (in Chinese)
[3] CHAK K, CHAN X, H Y. Air pollution in mega cities in China[J]. Atoms Environ ment, 2008, 42(1): 1–42. DOI:10.1016/j.atmosenv.2007.09.003
[4] CHEN C, ZHAO B. Review of relationship between indoor and outdoor particles:I/O ratio, infiltration factor and penetration factor[J]. Atmos Environ ment, 2011, 45(2): 275–288. DOI:10.1016/j.atmosenv.2010.09.048
[5] 王珊, 修天阳, 孙杨, 等. 1960—2012年西安地区雾霾日数与气象因素变化规律分析[J]. 环境科学学报, 2014, 34(1): 19–26.
WANG S, XIU T Y, SUN Y, et al. The changes of mist and haze days and meteorological element during 1960-2012 in Xi'an[J]. Acta Scientiae Circumstantiae, 2014, 34(1): 19–26. (in Chinese)
[6] 艾丽艳, 张桂斌, 张金艳, 等. 北京市朝阳区室内外空气中细颗粒物污染状况分析及相关性研究[J]. 中华预防医学杂志, 2015, 49(8): 279–281.
AI L Y, ZHANG G B, ZHANG J Y, et al. Analysis and study of the relationship between indoor and outdoor air pollution PM2.5 in Chaoyang District of Beijing[J]. Chinese Journal of Preventive Medicine, 2015, 49(8): 279–281. (in Chinese)
[7] MARTIN B, PALVAR, NICOLAS G. Fine particles in four different indoor environments[J]. Indoor and Built Environment, 2002, 11(4): 184–190. DOI:10.1177/1420326X0201100402
[6] DIAPOULIA E, CHALOULAKOUB A, KOUTRAKISC P. Estimating the concentration of indoor particles of outdoor origin: A review[J]. Air Waste Management Association, 2013, 63(10): 1113–1129. DOI:10.1080/10962247.2013.791649
[7] LI Z, CHAO C, PING W, et al. Influence of atmospheric fine particulate matter (PM2.5) pollution on indoor environment during winter in Beijing[J]. Building and Eneironment, 2015, 87: 283–291. DOI:10.1016/j.buildenv.2015.02.008
[8] MASSEY D, KULSHRESTHA A, MASIH J, et al. Seasonal trends of PM10, PM 5.0, PM2.5 and PM1.0 in indoor and outdoor environments of residential homes located in North-Central India[J]. Building and Environment, 2012, 47: 223–231. DOI:10.1016/j.buildenv.2011.07.018
[9] YANG H, MENG Q, YI L C, et al. Influences of ambient air PM2.5 concentration and meteorological condition on the indoor PM2.5 concentrations in a residential apartment in Beijing using a new approach[J]. Environmental Pollution, 2015, 205: 307–314. DOI:10.1016/j.envpol.2015.04.026
[10] NAKORN T, PATCHARAWADEE K, CHANAWAT N, et al. Indoor/outdoor relationships of size-resolved particle concentrations in naturally ventilated school environments[J]. Building and Environment, 2009, 44: 188–197. DOI:10.1016/j.buildenv.2008.02.007
[11] V S C, S M, SHIVA N. Impact of outdoor meteorology on indoor PM10, PM2.5 and PM1 concentrations in a naturally ventilated classroom[J]. Urban Climate, 2014, 10: 77–91. DOI:10.1016/j.uclim.2014.10.001
[12] 赵力, 陈超, 王平, 等. 北京市某办公建筑夏冬季室内外PM2.5浓度变化特征[J]. 建筑科学, 2015, 31(4): 33–39.
ZHAO L, CHEN C, WANG P, et al. Characteristics of change of PM2.5 mass concentration indoors and outdoors in an office building in Beijing in summer and winter[J]. Building Science, 2015, 31(4): 33–39. (in Chinese)
[13] 樊越胜, 谢伟, 李路野, 等. 西安市某办公建筑室内外颗粒物浓度变化特征分析[J]. 建筑科学, 2013, 29(8): 39–44.
FAN Y S, XIE W, LI L Y, et al. Feature analysis of changes of indoor and outdoor particulate matter concentration of a certain office building of Xi'an[J]. Building Science, 2013, 29(8): 39–44. (in Chinese)
[14] CHRISTOPHER Y C, KELVIN K.W. Residential indoor PM10 and PM2.5 in Hong Kong and the elemental composition[J]. Atmospheric Environment, 2002, 36(2): 265–277. DOI:10.1016/S1352-2310(01)00411-3
[15] 严红亮, 张少凡, 卜根. 南京地区民用住宅室内外PM2. 5数据实测研究与相关性分析[C]//2015全国通风技术学术年会论文集, 2015: 154-157.
YAN H L, ZHANG S F, BO G. Measurement and correlation analysis of indoor and outdoor PM2.5 data of residential buildings in Nanjing[C]//Proceedings of the National Symposium on Ventilation Technology, 2015:154-157. (in Chinese)
[16] 黄衍, 李旻雯, 李景广. 教室内新风机开启情况下空气质量评价[J]. 通风与室内空气污染控制, 2015: 237–243.
HUANG Y, LI M W, LI J G. Research on the air quality in the classroom with fresh air systems[J]. Ventilation and Indoor Air Pollution Control, 2015: 237–243. (in Chinese)
    办公建筑中空调形式对室内外PM2.5浓度相关性的影响
    郑洁, 张雨, 姚大军, 黄育华