土木与环境工程学报  2021, Vol. 43 Issue (4): 118-131   doi: 10.11835/j.issn.2096-6717.2021.023   PDF    
造纸污泥的资源化综合利用研究现状与展望
郭康鹰 , 高宝玉 , 岳钦艳     
山东大学 环境科学与工程学院, 山东 青岛 266237
摘要:造纸污泥处理难度大、处置费用高,造纸污泥的处理处置是影响造纸行业可持续发展的一大难题。造纸污泥传统的处理处置方法主要是填埋法和焚烧法,但这两种方式都存在对环境造成二次污染的隐患,开发高效环保的污泥处置方式成为亟待解决的环境问题。众多学者致力于造纸污泥的资源化综合利用研究,以造纸污泥为原材料进行厌氧发酵、好氧堆肥及生产建筑材料等。鉴于造纸污泥中生物质含量丰富,利用造纸污泥中的生物质为原材料,通过一定的改性方法制备出不同的水处理功能材料,实现"以废治废"的目标,不仅符合可持续发展的环保理念,还能为造纸污泥的资源化综合利用提供一种新的思路。综述了造纸污泥的来源、特点、处理处置方式、资源化综合利用的研究现状、造纸污泥中纤维素类物质资源化的研究现状与展望,以期为造纸行业的良性发展提供一定的理论支撑。
关键词造纸污泥    处理处置    资源化综合利用    生物质基功能材料    造纸污泥基功能材料    
Research status and prospect of the comprehensive utilization of paper mill sludge
GUO Kangying , GAO Baoyu , YUE Qinyan     
School of Environmental Science and Engineering, Shandong University, Qingdao 266237, Shandong, P. R. China
Abstract: Paper mill sludge is difficult to be treated with the high disposal cost, which limits the sustainable development of papermaking industry. The traditional disposal methods are mainly landfill and incineration, however, landfill and incineration will cause secondary pollution to the environment. Therefore, developing environmentally-friendly disposal methods is a key issue for paper mill sludge disposal. Many scholars focused on the comprehensive utilization of papermaking sludge, such as anaerobic fermentation, aerobic composting and production of building materials. Based on the rich biomass content in paper mill sludge, developing paper mill sludge-based functional materials by certain modification methods for water treatment can achieve the goal of "treating waste with waste". It not only conforms to the environmental protection concept of sustainable development, but also provides a new idea for the comprehensive utilization of paper mill sludge. This paper reviewed the sources, properties, disposal methods and comprehensive utilization of paper mill sludge, research status and prospect of the utilization of cellulosic substances in papermaking sludge. This paper aims to provide some theoretical support for the sustainable development of the paper industry.
Keywords: paper mill sludge    disposal method    comprehensive utilization    biomass-based functional materials    paper mill sludge-based materials    

中国是造纸大国,目前,大多数造纸厂的造纸原料以木浆为主。木桨造纸过程中产生大量成分复杂的废水,在《制浆造纸工业水污染物排放标准》(GB 3544—2008)颁布后,废水处理要求越来越高,而污泥产生量越来越大[1]。造纸污泥一般分为一级初沉池污泥、二级生物污泥和三级化学絮凝污泥,其中,约70%的造纸污泥属于一级初沉池污泥[2]。据相关统计,每生产1 t纸,将产生100~500 kg干污泥,通常情况下,根据造纸厂的类型和生产率,干污泥的年产量约3 000~22 000 t[3-4]。中国造纸污泥的平均年产量约1 500万t,是同等规模市政污水处理厂的5~10倍[5]。大多数造纸污泥经过脱水处理后,会通过填埋、焚烧或者堆肥工艺进行处理处置[6-7]。但这些处理处置方法存在诸多不足,如:填埋构筑物占用大量土地,如果处理不当会产生渗滤液污染土壤;焚烧法虽然可以实现污泥减量化的目的,但焚烧过程中会产生二噁英、灰尘等有害物质污染大气;堆肥工艺耗时长、散发恶臭并且容易招致蚊蝇等[8-11]。木浆造纸污泥中生物质含量丰富,重金属含量很低,是一种宝贵的有机质资源[12-13]。因此,将木浆造纸污泥进行资源化综合利用具有十分重要的现实意义和推广应用价值。

近年来,利用生物质作为可再生原料生产水处理功能材料受到了愈来愈多研究者的关注,大量生物质基水处理功能材料应运而生[14-17]。生物质具有毒性低、原料来源广、易生物降解、价格低等优点[18-20]。利用造纸污泥中的生物质为原材料,通过化学改性可制备出不同类型的新型生物质基功能材料并应用于水及废水处理中,这既可实现废物资源的综合利用,又可降低水处理材料的制备和应用成本,提高水及废水的处理效果,是实现造纸污泥资源化综合利用的一种新的思路。笔者主要综述造纸污泥的来源、特点、传统处理处置方法、资源化综合利用的研究现状、生物质基功能材料及造纸污泥基功能材料的研究现状,并展望未来研究方向,以期为造纸行业的良性发展以及社会经济的可持续发展提供一定的理论依据。

1 造纸污泥的来源及特性

造纸污泥来源于制浆造纸厂废水处理工艺中的初沉池污泥、生物处理过程中产生的生物污泥以及某些深度处理过程中产生的化学絮凝污泥[21-22]。其中,初沉池污泥约占70%,生物污泥和化学污泥约占30%[7]。初沉池污泥颗粒细小,易脱水,主要包括废水处理中脱除的碳酸盐、纤维、填料及一些筛选废渣等细渣;生物污泥是指废水经活性污泥法等生物处理单元处理后的剩余污泥,具有亲水性强、含水量大、无机物含量低、过滤性能差等特点;化学絮凝污泥是某些处理厂对造纸废水进行深度处理过程中产生的絮凝沉淀,具有颗粒细小、难降解的有机物浓度高、过滤性能极差等特点[1, 23]。据相关统计,每处理1 t造纸厂废水就会产生1 350 kg含水量约80%的造纸污泥,是同等规模市政污水处理厂的5~10倍[24-26]。在日本和美国,造纸污泥的年产量分别为3×106、8×106 t,而中国造纸行业固体废物的年产量高达3×107 t,其中,造纸污泥占1.5×107 t[27]。造纸污泥排放量大、成分复杂、含水量高、固形物含量低、处理难度大、处置费用高。

在中国,造纸原料大多数以木浆为主,在造纸废水处理过程中产生大量木浆造纸污泥。木浆造纸污泥中生物质含量丰富,主要是纤维素、半纤维素及木质素,重金属含量很低,是一种宝贵的有机质资源。纤维素是一种由β-1、β-4糖苷键连接的纤维二糖线性多糖聚合物。纤维素链之间通过氢键和范德华力相互连接,使微纤维具有较高的拉伸强度[28]。微纤维通过半纤维素相互连接,并被木质素复合物覆盖,这些特殊而复杂的结构使纤维素能够抵抗化学和生物攻击。半纤维素聚合物是由己糖、戊糖和酸形成的无规则、无定形的、具有支链结构的杂多糖。木质素是一种芳香醇类聚合物,是由β-O-4、β-β、β-5、β-1、4-O-5等不同形式的单元间键合在一起形成的异构的、高度交联的天然大分子物质[29]。木质素通过在纤维素和半纤维素之间形成交联,起到水泥刚性三维结构的作用[30]。半纤维素的短支链可以结合微纤维与木质素相互作用形成的网络结构,形成刚性纤维素-半纤维素-木质素基质。

以山东省日照市某造纸厂初沉池的造纸污泥为例,其有机质含量为69.9%、灰分含量为30.1%、污泥pH值为7.11±0.50[31]。造纸污泥中的金属元素主要是Al、Fe、Ca、Na和Mg,重金属含量很低,该污泥样品的全金属分析如表 1所示。

表 1 造纸污泥中的金属元素及其含量 Table 1 Total analysis of heavy metals in papermill sludge

2 造纸污泥的处理处置方式

目前,制浆造纸工业产生的固体废物大多数采用焚烧或填埋法方式进行处理处置,其中填埋法应用更广泛。但是,造纸污泥排放量大并且含水量高,进行焚烧和填埋的过程中操作难度大且花费高,因此,在焚烧和填埋前需要对造纸污泥进行脱水减量处理。

2.1 污泥脱水

造纸污泥中的水分为游离水、结合水和胞腔水3种形式(如图 1所示),其中最难脱除的是结合水和胞腔水[32]。重力沉降法可以有效地脱除游离水;过滤离心法可以脱除结晶水;而胞内水通常需要通过干燥蒸发等方法去除,处理难度大且能耗高。

图 1 污泥中的水分分布[32] Fig. 1 Water distribution of sludge[32]

污泥脱水一般分为以下步骤[21]:1)通过重力沉降法使污泥自然下沉,待固液分离后将上清液回流至污水进水口进行集中处理,从而达到污泥增稠的目的。2)采用化学法或加热法进行污泥调理,其中以化学调理法最为常用。通过添加无机混凝剂、有机高分子絮凝剂或者两者的复配体系使污泥颗粒絮凝形成较大的絮状物,从而脱稳聚沉。加热法是同时通过加热、加压以及投加化学药剂来改善污泥的析水性能的一种污泥调理方法,可以有效地脱除胞腔水。但是,由于操作过程中能耗大,目前没有大规模应用。3)化学调理后的污泥通过机械法对其进行进一步脱水处理,一般包括离心法、过滤法、压滤法或者3种方法的任意组合。离心机、真空过滤机和带式压榨过滤机是目前最常用的机械脱水设备。其中,离心机适用于无机污泥脱水处理;真空过滤机适用于含纤维的初沉池污泥脱水处理;而带式压滤机适用于有机污泥、无机污泥和混合污泥的脱水处理。污泥脱水后的脱水液一般回流至污水进水口与原水进行统一处理,图 2为某造纸厂废水处理的工艺流程图。

图 2 废水处理工艺流程[33] Fig. 2 Process flow of wastewater treatment

污泥调理是污泥脱水的关键步骤,目前,众多学者致力于研究有效的污泥调理方法,从而提高污泥的脱水性能。Niu等[34]分别采用FeCl3和聚合氯化铝(PAC)对市政污泥进行化学调理,两种无机混凝剂通过电中和作用、吸附架桥作用和压缩双电层作用达到降低污泥含水量的目的。Wei等[18]通过醚化反应制备了一种阳离子型改性淀粉,并将其与FeCl3复配用于污泥脱水。结果表明,FeCl3能有效地压缩胞外聚合物中的类蛋白组分;淀粉基絮凝剂与胞外聚合物中的多糖组分具有相似的结构,因此,其不仅可以压缩类蛋白组分,还对多糖组分具有良好的亲和力。Zhang等[35]采用芬顿氧化法进行污泥调理,当pH < 3.0时,氧化效率较高,但随着pH值的增加,氧化效率逐渐降低。Zhang等[36]研究发现过氧乙酸能有效地降低滤饼的含水率,同时破坏胞外聚合物中的蛋白质,促进结合水的释放。污泥成分复杂且多变,为了提高污泥脱水性能,需要根据不同污泥的理化性质和动态特征,定向研发高效的污泥调理方法。分析不同调理工艺对污泥脱水性能和流变特性的影响,实现有机污染物的削减与强化脱水效果的耦合,具有十分重要的现实意义。

2.2 污泥焚烧法

焚烧法能破坏污泥中的一切有机物,有效杀死病原微生物和细菌,可以实现污泥减量化和无害化的目的,是目前常用的污泥最终处置方式[37]。目前常用的污泥焚烧炉包括回旋式焚烧炉、回转窑焚烧炉(独立回转窑焚烧炉、水泥窑)及流化床焚烧炉(独立流化床焚烧炉、循环流化床锅炉掺烧)[38]。在发达国家,污泥焚烧法应用较为广泛,不同国家污泥处理方式的占比情况如表 2所示。

表 2 主要发达国家不同污泥处理方式占比[39] Table 2 Proportion of different sludge treatment methods in major developed countries[39]

但是造纸污泥中固形物含量较低,因此,其燃烧热值较低,部分污泥甚至没有燃烧热值。为了提高造纸污泥的燃烧热值,降低处理能耗,一般在焚烧前会将造纸污泥与备料废渣(树皮、木屑等)等辅助材料混合后再送入焚烧炉。虽然污泥焚烧可以有效地减小污泥体积并且回收热量,但是仍然可能存在严重腐蚀焚烧炉、降低焚烧炉的焚烧能力、增加烟气体积、运行成本高等缺点[40]。此外,污泥焚烧过程中会产生大量灰尘、烟气和少量诸如二噁英等有害气体,对大气造成二次污染[39, 41]。污泥焚烧产生的烟气需要经过进一步的处理,达到《生活垃圾焚烧污染控制标准》(GB 18485)[42]。因此,造纸污泥处理处置过程中,焚烧法并非最有效的处理工艺,其大规模应用受到了诸多限制,但是对于固形物含量高的造纸污泥,焚烧法不失为一种有前景的终端处置方式。

2.3 污泥填埋法

填埋法是造纸污泥处理处置工艺中投资费用和维护费用最低的一种最终处置方式,是目前较为成熟的一种污泥处理处置方法[43]。在希腊、意大利等发达国家卫生填埋是最主要的一种污泥处置方式[44]。一般在填埋前,造纸污泥会先经过脱水处理,当其固形物含量达到20%~30%时再对其进行填埋[21]。填埋前,根据《固体废物浸出毒性浸出方法醋酸缓冲溶液法》(HJ/T 300—2007)测定浸出液中危害物质的质量浓度,当其质量浓度低于限值时才可以进行填埋处理[45]。危害成分的质量浓度限值列于表 3中。

表 3 浸出液污染物质量浓度限值[45] Table 3 Mass concentration limit of pollutants in leaching solution

在填埋过程中,沥滤水和径流水的收集及处理是个不容忽视的问题,并且,填埋后还应对沥滤水和径流水的水质进行定期监控。目前,填埋法是污泥最终处置的一种主要方式,但是存在占地面积大、基建投资高、沥滤液毒性大、操作不当会对土壤造成二次污染等问题。

3 造纸污泥的资源化综合利用现状

目前,传统的污泥处理处置方式如果操作不当,都存在对环境造成二次污染的隐患,因此,造纸污泥的无害化和资源化处理成为亟待解决的关键问题。绝大多数固体废物并非不能利用的真正意义上的废物,大多数废物属于放错了地方的资源。因此,开发出合理的固体废物资源化综合利用的技术具有极大的现实意义和推广应用价值。目前常见的造纸污泥的资源化综合利用方式有厌氧发酵产沼气、好氧堆肥及生产建筑材料等。

3.1 厌氧发酵

造纸污泥中含有丰富的有机质,在隔绝氧气的情况下,可以利用专性或兼性厌氧菌将污泥中的有机物分解转化成甲烷、二氧化碳以及硫化氢等气体。厌氧发酵的主要产物是沼气,沼气为可燃性气体,是一种极具应用前景的清洁能源。沼气的发热量为37 660 kJ/m3,1 kg有机质的沼气产量可达200~300 L[40]。厌氧发酵主要分为4个阶段,依次为水解阶段、酸性发酵阶段、产氢产乙酸阶段和产甲烷阶段[1]。有机物的厌氧发酵过程如图 3所示[46]。厌氧发酵的速率及效率受到诸多因素的影响,如:发酵温度、污泥龄、有机负荷、搅拌和混合速率、营养成分和C/N比、重金属含量等。其中,根据发酵温度的不同,厌氧发酵分为常温发酵、中温发酵和高温发酵3种。随着发酵温度的升高,产气率提高,污泥滞留时间短,目前最常用的为中温厌氧发酵。

图 3 有机物厌氧消化四阶段理论[46] Fig. 3 Four-stage theory of anaerobic digestion of organic matter

造纸污泥中的生物质主要为纤维素、半纤维素和木质素。纤维素、半纤维素和木质素在造纸污泥中相互作用,形成了具有三维刚性结构的复合体,所以在厌氧消化过程中水解缓慢,限制了厌氧消化的速率,导致污泥停留时间较长。因此,造纸污泥进行厌氧发酵前一般会先进行预处理,通过超声破碎、碱预处理、高级氧化预处理等方法破坏生物质的刚性结构,同时打破细胞壁和细胞膜,加速水解过程,提高厌氧菌与有机质的接触反应速率,从而提高污泥中有机物的降解率[41]

在厌氧消化过程中会产生厌氧污泥消化液,该液体包括厌氧消化池产生的上清液及污泥脱水过程中产生的脱水液[47]。污泥消化液虽然水量不大,但具有有机物浓度高、氨氮以及磷酸盐浓度高等特点[48]。如果将污泥消化液直接回流至生物处理单元进行集中处理,会增加生物处理单元的运行负荷。因此,对污泥消化液进行单独处理具有极其重要的现实意义。目前,对污泥消化液的处理方法主要分为物化法和生化法两种。其中,物化法包括吹脱法[49]、混凝沉淀法[50]及离子交换法[51]等;生物处理方法包括短程硝化反硝化技术[52]、同步硝化反硝化技术及厌氧氨氧化技术等[53]

3.2 堆肥技术

造纸污泥中含有丰富的有机质以及钾、钙、镁、铁、锌等植物营养成分,因此,利用造纸污泥为原料,通过堆肥技术进行发酵,可以生产有机肥,实现造纸污泥资源化综合利用的目的。在堆肥过程中,好氧嗜温菌和嗜热菌在适宜的温度及pH值条件下将污泥中的有机物转化成稳定的有机质,并且可以凭借堆肥过程中的高温杀死有害微生物和病原菌。根据需氧量,堆肥可以分为好氧堆肥和厌氧堆肥两种,一般常说的堆肥是指好氧堆肥技术。好氧堆肥过程包括前处理、一次发酵、二次发酵、后处理、脱臭、储存几个过程,堆肥工艺流程给如图 4所示[46]。堆肥过程受C/N比、C/P比、污泥含水率、温度、供氧情况、pH值、堆肥原料尺寸等因素的影响。造纸污泥结构致密,容易结块,因此在堆肥前一般会加入膨松剂和调理剂来改善其堆肥效率。

图 4 好氧堆肥工艺流程示意图[46] Fig. 4 Process flow diagram of aerobic composting

3.3 生产建筑材料

制浆造纸工业产生的废物,如石灰污泥、脱墨污泥、原生污泥、废纸纤维污泥等,经干燥处理或焚烧后的残渣可用作水泥基建筑材料、混凝土生产中的隔热材料以及烧砖材料等[54]

造纸污泥中的灰分主要有碳酸钙、二氧化硅和氧化铝,经高温煅烧后形成高活性材料,可以用作水泥添加剂,目前已有大量研究报道了相关内容。Adesanya等[55]以磨细的高炉矿渣为主要前驱体,对造纸污泥废渣进行了改性,设计了一种单组分地质聚合物水泥;并且研究了造纸污泥的含量对水泥的机械强度、热稳定性、凝结时间和耐久性的影响。Malaiskiene等[56]分析了造纸厂初沉池污泥对水泥浆体及砂浆性能的影响。

混凝土是由细集料、粗集料与随时间硬化的胶结料粘结而成的复合材料。Wong等[57]研究了造纸污泥灰粉末作为混凝土抗水外加剂或表面防水涂料的可行性;试验中,水/灰比为0.38,固化至28 d,在50 ℃下干燥至恒定质量即为目标产物。Bui等[58]研究了含再生混凝土粗骨料和工业副产物的再生混凝土的力学性能和耐久性,其中,工业副产物包括造纸污泥灰、粉煤灰、硅灰和偏高岭土。

此外,造纸污泥也可作为原材料用于烧制黏土砖。Yaras[59]研究了造纸污泥和碳化污泥对黏土砖的物理、力学和热学性能的影响;烧砖过程中,造纸污泥占15%,碳化污泥占30%,烧制温度分别为1 000、1 100 ℃。Kizinievi等[60]配置出了造纸污泥含量为5%~20%的黏土混合物,分别在900、1 000 ℃下灼烧,烧制出具有不同性质的黏土砖;并且分析了造纸污泥对黏土砖的物理力学性能、显微结构和抗冻融性能的影响。

综合上述文献发现,其他国家利用造纸污泥生产建筑材料的研究及实践较为广泛,中国还处于起步阶段,与其他国家相比,还有广阔的上升空间。随着人们环保意识的不断增高,利用造纸污泥为原料生产建筑材料越来越受到关注。

4 造纸污泥中纤维素类物质资源化

造纸污泥中含有大量生物质,主要包括纤维素、半纤维素和木质素。这些生物质如果被有效地回收利用可以为造纸污泥的资源化综合利用提供一种新的思路。目前,已有大量研究报道了纤维素基、半纤维素基及木质素基功能材料的研发及在水处理领域的应用,分析了生物质基水处理材料的制备及应用的可行性。

4.1 纤维素基水处理材料的研究进展

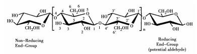
纤维素是通过β-1, 4-糖苷键连接纤维二糖而形成的高分子的线性均聚物[61],其结构式如图 5所示。纤维素是自然界中最丰富的生物质资源,具有安全、可再生、可生物降解及疏水等特点。纤维素的葡萄糖单元上具有丰富的羟基,可以通过醚化、酯化、接枝共聚及交联等反应对其进行功能化改性,制备不同类型的有机高分子絮凝剂、吸附剂及其他功能材料[62]

图 5 纤维素的结构式[71] Fig. 5 Structural formula of cellulose

目前,以纤维素为原材料,通过某种改性方法制备系列高效的纤维素基有机高分子絮凝剂的研究已有大量的相关报道。Liu等[63]以竹浆纤维素为原材料,通过自由基接枝共聚反应,将聚丙烯酰胺接枝到纤维素的主链上,制备出了一种环保高效的纤维素基有机高分子絮凝剂(BPC-g-PAM),在高岭土悬浊液处理中,浊度去除率可以达到98%。Zhu等[64]研究了上述BPC-g-PAM与不同的无机混凝剂复配处理表面活性剂制造厂产生的废水时的应用性能,结果表明,BPC-g-PAM与铁盐混凝剂复配时对表面活性剂制造厂废水具有良好的处理效果。Zhu等[65]采用一步合成法制备了一种二羧基纤维素基絮凝剂,目标产品对高岭土悬浊液和造纸废水均具有良好的絮凝效果。Feng等[66]在水浴加热的条件下,使羧甲基化纤维素和丙烯酰胺发生共聚反应,制备出了一种高效的纤维素基絮凝剂,在染料废水处理中,目标产物的浊度去除率高达99%。Kono等[67]将羟甲基纤维素钠与2, 3-环氧丙基三甲基氯化铵反应,制备出了阳离子取代度为0.24~1.06、羟甲基取代度为0.6的两性纤维素基絮凝剂,目标产品对高岭土悬浊液具有良好的处理效果。

纤维素不仅可以用于制备高效的有机高分子絮凝剂,在吸附材料研发领域也展现出了巨大的潜力。Tang等[68]以天然柚皮为原材料,采用H2O2直接热氧化法制备出了一种高长径比和高密度的纤维素基吸附剂;目标产品对孔雀绿和Cu (Ⅱ)的吸附量分别为530、74.2 mg/g。Xue等[69]通过使微晶纤维素与端氨基超支化聚合物发生交联反应制备了一种超支化纤维素基吸附剂,目标产物能在2 min内完全去除低浓度的Cr(Ⅵ)(1.02 mg/L)。Misra等[70]通过γ辐射一步合成法,将4-乙烯基苯磺酸钠接枝到纤维素上,在室温下合成了一种低成本的纤维素基阴离子型吸附剂,目标产物对碱性红-29染料的吸附量可达320 mg/g。

综上所述,纤维素基水处理功能材料种类丰富、性能各异且高效环保,利用纤维素为原料制备水处理功能材料不仅具有极大的可行性,还具有一定的现实意义和应用前景。

4.2 半纤维素基水处理材料的研究进展

半纤维素聚合物是一种由己糖、戊糖和酸形成的杂多糖,具有支链结构。半纤维素具有粘合性、稳定性、乳化性和成膜性等特点,是生物质基功能材料的良好载体。

目前,众多学者致力于半纤维素在高吸水性水凝胶研发领域的研究。Chen等[72]从碱性过氧化氢机械浆废液中提取半纤维素,以丙烯酸/丙烯酰胺为共聚单体,通过自由基聚合反应制备出了多种具有三维网状结构的温度/pH敏感型水凝胶,目标产物在25 ℃、pH=6.0的条件下,6 d后仍保留79.46%的含水率,证明其具有较高的保水性能。许梦杰等[73]从玉米芯中提取半纤维素,使其在碱性条件下适度水解并与丙烯酰胺发生接枝共聚反应,然后引入具有pH响应性的聚丙烯酸,制备出一种共聚物;接下来,使共聚物与聚乙烯醇混合,在戊二醛的交联作用下制备出一种半纤维素基水凝胶。Wen等[74]采用简单的一步合成法,在环氧氯丙烷的作用下,将端羧基苯胺五聚体结合到半纤维素网络中,制备出了具有导电性的半纤维素基水凝胶。赵璐婷等[75]以玉米芯中的半纤维素为原材料,通过自由基引发接枝共聚反应和原位共沉淀法制备出了一种半纤维素基磁性水凝胶,经研究,目标产品具有超顺磁性,对亚甲基蓝具有良好的吸附效果,去除率可达97%。

半纤维素由于其羟基易于改性,在造纸助剂、食品添加剂、食品包装膜、增稠剂、乳化剂、凝胶剂、粘合剂和吸附剂等方面也有着广阔的应用前景[76]。在水处理功能材料研发领域,已有大量研究报道了半纤维素在吸附剂制备方面的研究现状。Mohammadabadi等[77]采用硫酸化学分馏法,在超声波的作用下从大麦秸秆中提取半纤维素,然后将提取的半纤维素与海藻酸钠混合,采用凝胶固化法制备出了一种半纤维素基吸附剂,目标产物对Pb2+最大吸附量可达277.78 mg/g。Gautam等[78]从华山松针叶中提取半纤维素,采用高碘酸盐氧化法和乙酰化法合成了一种半纤维素基吸附剂,该吸附剂经16次循环后对孔雀绿的吸附总量为1 293.38 g/g。

目前,半纤维素大多数用于制备水凝胶以及吸附剂,其中,水凝胶的应用更为广泛。半纤维素基水凝胶具有生物相容性、可降解性、比表面积大等优点,被广泛地应用于水及废水吸附净化领域[79]。但是,关于半纤维素在新型混凝剂、絮凝剂及其他水处理功能材料研发领域的应用还鲜有报道。

4.3 木质素基水处理材料的研究进展

木质素在自然界中含量丰富,是一种开发和应用前景较为广阔的可再生资源[80]。据统计,造纸行业每年可产生大约5 000万t的木质素,但是大部分随废水的排放而排出,有90%以上的木质素被当作废弃物处置,造成了资源的大量浪费[81]

木质素是一种芳香族高分子聚合物,具有大量的活性官能团,包括芳香基、酚羟基、醇羟基、羧基、羰基等,其结构式如图 6所示。基于此结构特征,木质素可以通过还原、氧化、磺化和接枝共聚等反应对其进行改性,增加其水溶性,制备一系列木质素基有机高分子絮凝剂[82]。Wang等[83]以木质素磺酸钠为原材料,在短波长紫外光的引发下,使其与2-甲基丙烯酰氧乙基三甲基氯化铵溶液发生接枝共聚反应,制备了系列具有不同性能的木质素基有机高分子絮凝剂,目标产品对染料、高岭土和大肠杆菌悬浮液具有良好的去除效果。Chen等[84]首先合成了氯封端的阳离子聚丙烯酰胺线性预聚物,然后通过氯与木质素分子中的酚羟基发生反应将阳离子型聚丙烯酰胺接枝到酶水解后的木质素上,制备出了一种木质素基阳离子型有机高分子絮凝剂,目标产物在水中会自组装成章鱼状的纳米球。Fang等[85]通过Mannich反应将二甲胺、丙酮和甲醛接枝到羟甲基化木质素上,制备出了一种木质素基阳离子型聚电解质,目标产物对酸性黑、活性红和直接黑均具有良好的去除效果,色度去除效果能达95%以上。

图 6 木质素前体及其单体单元[82] Fig. 6 Lignin precursors and their monomer units

此外,木质素还可以用于制备高效的吸附材料。Shi等[86]通过交联酶解木质素基体和支化聚乙烯亚胺,制备了一种木质素基吸附剂,该吸附剂对Cr(Ⅵ)具有较高的吸附容量和选择性,在318 K、pH=2.0的情况下其吸附容量高达898.2 mg/g。Wu等[87]在超声波的作用下,使用Fe(NO3)3和Zn(NO3)2对碱木素进行磁化处理,烘干后在600 ℃下灼烧2 h,制备出了一种具有良好吸附性能的木质素基磁性活性炭,吸附实验表明,目标产品对对氨基苯胂酸有较高的吸附能力。

综上所述,木质素结构复杂、化学活性高,对其进行功能化改性制备水处理功能材料具有极大的可行性。木质素作为一种可再生原料,其功能化改性和应用不仅节约了水处理药剂的研发成本,还实现了水及废水的高效处理,符合可持续发展的环保理念。

4.4 造纸污泥基水处理材料的研究现状与展望

基于纤维素基、半纤维素基及木质素基水处理功能材料的研发及应用的相关报道,利用造纸污泥中的生物质为原料,对其进行改性制备一系列具有不同功能特性的水处理材料具有极大的可行性及应用前景。

目前,已有部分研究报道了造纸污泥基催化材料、吸附材料及有机高分子絮凝剂的制备及在不同水及废水处理中的应用。Zhang等[88]以造纸污泥为原料,采用热解法制备了铁、氮、硫共掺杂碳纳米管/纳米多孔复合材料,该复合材料对氧化还原反应具有良好的催化活性。Guan等[89]采用物化活化法,将造纸污泥废弃物烧制为具有高比表面积的活性炭基吸附剂,目标产品对Cr(Ⅵ)具有良好的吸附性能,最高吸附量达54.04 mg/g。Li等[90]以造纸污泥为原料,采用水蒸气物理活化法制备了活性炭,目标产物对亚甲基蓝的吸附量可达130.69 mg/g。Rong等[91]采用酸碱法从造纸污泥中提取木质素,在过硫酸钾的引发下,将丙烯酰胺接枝到木质素上,制备出一种非离子型有机高分子絮凝剂。目标产品与硫酸铝或PAC复配用于处理模拟地表水时具有良好的助凝效果。Li等[92-94]通过接枝共聚法将丙烯酰胺和二甲基二烯丙基氯化铵接枝到造纸污泥中的碱木素上,制备出了一种阳离子型有机高分子絮凝剂,目标产品与PAC复配使用时对模拟地表水、模拟染料废水及小清河实际水样均具有良好的处理效果。已有研究[31, 95]以造纸污泥中的木质素为原材料,采用接枝共聚法和醚化法对其进行化学改性,引入甲基丙烯酰氧乙基三甲基氯化铵或2,3-环氧丙基三甲基氯化铵阳离子单体,制备出了一系列具有不同分子构型、分子量和电荷密度的造纸污泥基阳离子型有机高分子絮凝剂。在不同类型的模拟染料废水及实际印染废水处理中测试了上述系列目标产品的絮凝脱色性能,最高脱色率可达95%以上。此外,Feng等[96]分别以造纸污泥中的木质素和市售木质素(分析纯)为原材料,采用相同的接枝方法和物料比制备出了造纸污泥基有机高分子絮凝剂和商业级木质素基有机高分子絮凝剂。对比研究上述两种絮凝剂在不同模拟染料废水中的絮凝脱色性能,结果表明两者的絮凝脱色行为相似,这初步说明造纸污泥中的木质素用于制备水处理药剂具有极大的应用前景。

然而,目前关于造纸污泥基水处理材料的研究还停留在初级阶段,产品种类比较单一。对于造纸污泥中生物质的利用率、残渣的处理处置、产品的多元化及产品安全性等方面的研究还鲜有报道。明确造纸污泥的物化性质,开发出合理多元的造纸污泥基功能材料的制备及应用途径,是实现造纸污泥资源化综合利用的一种新思路,不仅可以促进造纸行业的良性发展,还有利于环境保护和社会经济的可持续发展。

5 结论

造纸污泥排放量大、成分复杂且含水量高,处理难度大、处置费用高,是制约造纸行业良性发展的一大难题。目前,大多数造纸污泥最终的处理处置方法是填埋法或焚烧法,其中填埋法的应用更广法。但是,由于造纸污泥含水量较高,对其进行填埋或焚烧前都需要进行脱水处理。传统的污泥处置方法可能对土壤或大气造成二次污染,众多学者致力于造纸污泥的资源化综合利用的研究。常见的造纸污泥资源化综合利用的方法包括厌氧发酵、好氧堆肥或生产建筑材料等。造纸污泥中生物质含量丰富,主要包括纤维素、半纤维素及木质素,是一种宝贵的有机质资源。已有大量文献报道了生物质基功能材料的研发及在水处理领域的应用,分析了生物质基水处理功能材料的制备及应用的可行性。因此,利用造纸污泥中的生物质为原材料,通过一定改性方法制备出不同的水处理功能材料,可以为造纸污泥的资源化综合利用提供一种新的思路。笔者综述了造纸污泥的来源、特点、处理处置方式、资源化综合利用的研究现状,并展望未来研究方向,以期为造纸污泥的资源化综合利用提供一定的理论依据。

参考文献
[1]
汪苹, 宋云, 冯旭东, 等. 造纸废渣资源综合利用[M]. 北京: 化学工业出版社, 2018.
WANG P, SONG Y, FENG X D. Comprehensive utilization of papermaking waste resources[M]. Beijing: Chemical Industry Press, 2018. (in Chinese)
[2]
COIMBRA R N, PANIAGUA S, ESCAPA C, et al. Combustion of primary and secondary pulp mill sludge and their respective blends with coal: A thermogravimetric assessment[J]. Renewable Energy, 2015, 83: 1050-1058. DOI:10.1016/j.renene.2015.05.046
[3]
MONTE M C, FUENTE E, BLANCO A, et al. Waste management from pulp and paper production in the European Union[J]. Waste Management, 2009, 29(1): 293-308. DOI:10.1016/j.wasman.2008.02.002
[4]
NGUYEN L H, VAN H T, CHU T H H, et al. Paper waste sludge-derived hydrochar modified by iron (Ⅲ) chloride for enhancement of ammonium adsorption: An adsorption mechanism study[J]. Environmental Technology & Innovation, 2020, 101223.
[5]
CHEN M X, ZHENG Y, ZHOU X M, et al. Recycling of paper sludge powder for achieving sustainable and energy-saving building materials[J]. Construction and Building Materials, 2019, 229: 116874. DOI:10.1016/j.conbuildmat.2019.116874
[6]
NGUYEN L H, VAN H T, NGUYEN Q T, et al. Paper waste sludge derived-hydrochar modified by iron (Ⅲ) chloride for effective removal of Cr(Ⅵ) from aqueous solution: Kinetic and isotherm studies[J]. Journal of Water Process Engineering, 2021, 39: 101877. DOI:10.1016/j.jwpe.2020.101877
[7]
MEYER T, AMIN P, ALLEN D G, et al. Dewatering of pulp and paper mill biosludge and primary sludge[J]. Journal of Environmental Chemical Engineering, 2018, 6(5): 6317-6321. DOI:10.1016/j.jece.2018.09.037
[8]
SETHUPATHY A, SIVASHANMUGAM P. Amelioration of methane production efficiency of paper industry waste sludge through hydrolytic enzymes assisted with poly3hydroxybutyrate[J]. Energy, 2021, 214: 119083. DOI:10.1016/j.energy.2020.119083
[9]
CHEW J W, POOVANESHVARAN S, MOHD HASAN M R, et al. Microscopic analysis and mechanical properties of Recycled Paper Mill Sludge modified asphalt mixture using granite and limestone aggregates[J]. Construction and Building Materials, 2020, 243: 118172. DOI:10.1016/j.conbuildmat.2020.118172
[10]
ZHANG W H, WU J, WENG L Y, et al. Understanding the role of cellulose fiber on the dewaterability of simulated pulp and paper mill sludge[J]. Science of the Total Environment, 2020, 702: 134376. DOI:10.1016/j.scitotenv.2019.134376
[11]
WANG W W, HOU Y, HUANG W F, et al. Alkali lignin and sodium lignosulfonate additives promote the formation of humic substances during paper mill sludge composting[J]. Bioresource Technology, 2021, 320: 124361. DOI:10.1016/j.biortech.2020.124361
[12]
TAWALBEH M, RAJANGAM A S, SALAMEH T, et al. Characterization of paper mill sludge as a renewable feedstock for sustainable hydrogen and biofuels production[J]. International Journal of Hydrogen Energy, 2021, 46(6): 4761-4775. DOI:10.1016/j.ijhydene.2020.02.166
[13]
KAUR R, TYAGI R D, ZHANG X L. Review on pulp and paper activated sludge pretreatment, inhibitory effects and detoxification strategies for biovalorization[J]. Environmental Research, 2020, 182: 109094. DOI:10.1016/j.envres.2019.109094
[14]
RAZA S, ZHANG J Y, ALI I, et al. Recent trends in the development of biomass-based polymers from renewable resources and their environmental applications[J]. Journal of the Taiwan Institute of Chemical Engineers, 2020, 115: 293-303. DOI:10.1016/j.jtice.2020.10.013
[15]
MA X C, YANG Y H, WU Q D, et al. Underlying mechanism of CO2 uptake onto biomass-based porous carbons: Do adsorbents capture CO2 chiefly through narrow micropores[J]. Fuel, 2020, 282: 118727. DOI:10.1016/j.fuel.2020.118727
[16]
ZHANG Y J, CHEN H L, WANG S J, et al. Regulatory pore structure of biomass-based carbon for supercapacitor applications[J]. Microporous and Mesoporous Materials, 2020, 297: 110032. DOI:10.1016/j.micromeso.2020.110032
[17]
HASAN A, FATEHI P. Cationic kraft lignin-acrylamide copolymer as a flocculant for clay suspensions: 2) Charge density effect[J]. Separation and Purification Technology, 2019, 210: 963-972. DOI:10.1016/j.seppur.2018.08.067
[18]
WEI H, REN J, LI A M, et al. Sludge dewaterability of a starch-based flocculant and its combined usage with ferric chloride[J]. Chemical Engineering Journal, 2018, 349: 737-747. DOI:10.1016/j.cej.2018.05.151
[19]
DANISH, WANG Z H. Does biomass energy consumption help to control environmental pollution? Evidence from BRICS countries[J]. Science of the Total Environment, 2019, 670: 1075-1083. DOI:10.1016/j.scitotenv.2019.03.268
[20]
SAM D K, SAM E K, DURAIRAJ A, et al. Synthesis of biomass-based carbon aerogels in energy and sustainability[J]. Carbohydrate Research, 2020, 491: 107986. DOI:10.1016/j.carres.2020.107986
[21]
曹邦威. 制浆造纸工业的环境治理[M]. 北京: 中国轻工业出版社, 2008.
CAO B W. Environmental management of pulp and paper industry[M]. Beijing: China Light Industry Press, 2008. (in Chinese)
[22]
王春华. 造纸固体废弃物的性质与资源化利用[J]. 造纸装备及材料, 2017, 46(1): 22-23.
WANG C H. The nature of the solid waste and recycling use in pulp and papermaking industry[J]. Papermaking Equipment & Materials, 2017, 46(1): 22-23. (in Chinese) DOI:10.3969/j.issn.1672-3066.2017.01.009
[23]
刘琳, 张安龙, 罗清, 等. 造纸固体废弃物的性质与资源化利用[J]. 中国造纸, 2015, 34(6): 52-58.
LIU L, ZHANG A L, LUO Q, et al. Properties and utilization of solid wastes of paper mills[J]. China Pulp & Paper, 2015, 34(6): 52-58. (in Chinese)
[24]
SHEN J, SONG Z Q, QIAN X R, et al. Carbohydrate-based fillers and pigments for papermaking: A review[J]. Carbohydrate Polymers, 2011, 85(1): 17-22. DOI:10.1016/j.carbpol.2011.02.026
[25]
陈芳. 造纸污泥综合利用技术方案[J]. 科技信息, 2014(11): 262.
CHEN F. Technical scheme for comprehensive utilization of papermaking sludge[J]. Science & Technology Information, 2014(11): 262. (in Chinese) DOI:10.3969/j.issn.1001-9960.2014.11.200
[26]
张荣伟. 造纸污泥及其资源化利用的进展[J]. 纸和造纸, 2015, 34(6): 69-74.
ZHANG R W. Progress of papermaking sludge resource utilization[J]. Paper and Paper Making, 2015, 34(6): 69-74. (in Chinese)
[27]
李瑞华. 造纸污泥基阳离子型絮凝剂的研究[D]. 济南: 山东大学, 2018.
LI R H. Study of cationic papermaking sludge-based flocculant[D]. Jinan: Shandong University, 2018. (in Chinese)
[28]
SASAKI C, WANAKA M, TAKAGI H, et al. Evaluation of epoxy resins synthesized from steam-exploded bamboo lignin[J]. Industrial Crops and Products, 2013, 43: 757-761. DOI:10.1016/j.indcrop.2012.08.018
[29]
VELUCHAMY C, KALAMDHAD A S. Enhancement of hydrolysis of lignocellulose waste pulp and paper mill sludge through different heating processes on thermal pretreatment[J]. Journal of Cleaner Production, 2017, 168: 219-226. DOI:10.1016/j.jclepro.2017.09.040
[30]
PALMQVIST E, HAHN-HÄGERDAL B. Fermentation of lignocellulosic hydrolysates.II: Inhibitors and mechanisms of inhibition[J]. Bioresource Technology, 2000, 74(1): 25-33. DOI:10.1016/S0960-8524(99)00161-3
[31]
GUO K Y, GAO B Y, PAN J W, et al. Effects of charge density and molecular weight of papermaking sludge-based flocculant on its decolorization efficiencies[J]. Science of the Total Environment, 2020, 723: 138136. DOI:10.1016/j.scitotenv.2020.138136
[32]
CAO B D, ZHANG T, ZHANG W J, et al. Enhanced technology based for sewage sludge deep dewatering: A critical review[J]. Water Research, 2021, 189: 116650. DOI:10.1016/j.watres.2020.116650
[33]
叱干勇. 废纸造纸废水处理与回用工程实例[J]. 工业用水与废水, 2020, 51(5): 62-64.
CHI G Y. A project example of treatment and reuse of wastewater from waste paper papermaking[J]. Industrial Water & Wastewater, 2020, 51(5): 62-64. (in Chinese) DOI:10.3969/j.issn.1009-2455.2020.05.014
[34]
NIU M Q, ZHANG W J, WANG D S, et al. Correlation of physicochemical properties and sludge dewaterability under chemical conditioning using inorganic coagulants[J]. Bioresource Technology, 2013, 144: 337-343. DOI:10.1016/j.biortech.2013.06.126
[35]
ZHANG W J, YANG P, YANG X Y, et al. Insights into the respective role of acidification and oxidation for enhancing anaerobic digested sludge dewatering performance with Fenton process[J]. Bioresource Technology, 2015, 181: 247-253. DOI:10.1016/j.biortech.2015.01.003
[36]
ZHANG W J, CAO B D, WANG D S, et al. Variations in distribution and composition of extracellular polymeric substances (EPS) of biological sludge under potassium ferrate conditioning: Effects of pH and ferrate dosage[J]. Biochemical Engineering Journal, 2016, 106: 37-47. DOI:10.1016/j.bej.2015.11.004
[37]
生骏, 胡维杰. 半干污泥焚烧工程设计分析及探讨[J]. 中国给水排水, 2020, 36(6): 45-49.
SHENG J, HU W J. Analysis and discussion on semi-dry municipal sludge incineration project design[J]. China Water & Wastewater, 2020, 36(6): 45-49. (in Chinese)
[38]
刘玉坤, 管志云. 市政污泥干化焚烧技术分析[J]. 节能与环保, 2020(6): 48-50.
LIU Y K, GUAN Z Y. Analysis of municipal sludge drying and incineration technology[J]. Energy Conservation and Environmental Protection, 2020(6): 48-50. (in Chinese)
[39]
唐付芸. 我国污泥焚烧处理现状[J]. 区域治理, 2019(51): 58-60.
TANG F Y. Current situation of sludge incineration in China[J]. Regional Governance, 2019(51): 58-60. (in Chinese) DOI:10.3969/j.issn.2096-4595.2019.51.022
[40]
赵由才, 牛冬杰, 柴晓利, 等. 固体废物处理与资源化[M]. 3版. 北京: 化学工业出版社, 2019.
ZHAO Y C, NIU D J, CHAI X L. Solid waste treatment and resource utilization[M]. Beijing: Chemical Industry Press, 2019. (in Chinese)
[41]
汪苹, 宋云, 冯旭东. 造纸工业"三废"资源综合利用技术[M]. 北京: 化学工业出版社, 2015.
WANG P, SONG Y, FENG X D. Comprehensive utilization technology of "three wastes" resources in paper industry[M]. Beijing: Chemical Industry Press, 2015. (in Chinese)
[42]
甄广印, 赵由才. 城市污泥强化深度脱水资源化利用及卫生填埋末端处置关键技术研究[M]. 上海: 同济大学出版社, 2017.
ZHEN G Y, ZHAO Y C. Study on the key technologies of intensive deep dewatering and resource utilization of municipal sludge and end treatment of sanitary landfill[M]. Shanghai: Tongji University Press, 2017. (in Chinese)
[43]
白慧玲. 城市污泥处置与利用综述[J]. 山西建筑, 2008, 34(20): 180-181.
BAI H L. On the management and utility of city sludge[J]. Shanxi Architecture, 2008, 34(20): 180-181. (in Chinese) DOI:10.3969/j.issn.1009-6825.2008.20.111
[44]
杨怡, 陈金锥, 张智, 等. 珠海市污水处理厂污泥处理处置探讨[J]. 给水排水, 2007, 33(3): 37-41.
YANG Y, CHEN J Z, ZHANG Z, et al. On sludge disposal in Zhuhai Wastewater Treatment Plant[J]. Water & Wastewater Engineering, 2007, 33(3): 37-41. (in Chinese) DOI:10.3969/j.issn.1002-8471.2007.03.010
[45]
王冰, 洪世杰, 陈云臻, 等. 造纸污泥成分特性分析及处置措施探讨[J]. 漯河职业技术学院学报, 2020, 19(5): 32-34.
WANG B, HONG S J, CHEN Y Z, et al. Analysis of composition characteristics of papermaking sludge and discussion on disposal measures[J]. Journal of Luohe Vocational Technology College, 2020, 19(5): 32-34. (in Chinese)
[46]
汪魏, 王智娟, 关清卿, 等. 造纸污泥特性及高值资源化利用研究进展[J]. 造纸科学与技术, 2020, 39(3): 24-34.
WANG W, WANG Z J, GUAN Q Q, et al. Research progress on characteristics of papermaking sludge and its high-value resources utilization[J]. Paper Science & Technology, 2020, 39(3): 24-34. (in Chinese)
[47]
EK M, BERGSTRÖM R, BJURHEM J E, et al. Concentration of nutrients from urine and reject water from anaerobically digested sludge[J]. Water Science and Technology, 2006, 54(11/12): 437-444.
[48]
VAN LOOSDRECHT M C M, SALEM S. Biological treatment of sludge digester liquids[J]. Water Science and Technology, 2006, 53(12): 11-20. DOI:10.2166/wst.2006.401
[49]
陈建. 吹脱法处理垃圾渗滤液中高浓度氨氮的主要影响因素[J]. 环境科学与管理, 2012, 37(4): 128-131.
CHEN J. Main disposal influencing factors of high concentration ammonia nitrogen in landfill leachate by air stripping method[J]. Environmental Science and Management, 2012, 37(4): 128-131. (in Chinese) DOI:10.3969/j.issn.1673-1212.2012.04.032
[50]
张轶凡, 徐博, 张博文, 等. 混凝技术处理厌氧消化污泥脱水液试验研究[J]. 天津工业大学学报, 2020, 39(4): 59-65.
ZHANG Y F, XU B, ZHANG B W, et al. Experimental study on coagulation treatment of anaerobic digestion sludge dewatering solution[J]. Journal of Tianjin Polytechnic University, 2020, 39(4): 59-65. (in Chinese) DOI:10.3969/j.issn.1671-024x.2020.04.010
[51]
ZHOU L, BOYD C E. Total ammonia nitrogen removal from aqueous solutions by the natural zeolite, mordenite: A laboratory test and experimental study[J]. Aquaculture, 2014, 432: 252-257. DOI:10.1016/j.aquaculture.2014.05.019
[52]
缪新年, 程诚, 朱琳, 等. 短程硝化和反硝化除磷耦合工艺研究进展[J]. 水处理技术, 2020, 46(12): 12-16, 24.
MIAO X N, CHENG C, ZHU L, et al. Research progress on the coupling process of short-cut nitrification and denitrification for phosphorus removal[J]. Technology of Water Treatment, 2020, 46(12): 12-16, 24. (in Chinese)
[53]
张源. 污水生物脱氮工艺技术的研究与应用[J]. 生物化工, 2020, 6(6): 117-120, 125.
ZHANG Y. Progress of research and application of biological nitrogen removal technology in wastewater[J]. Biological Chemical Engineering, 2020, 6(6): 117-120, 125. (in Chinese)
[54]
VASHISTHA P, KUMAR V, SINGH S K, et al. Valorization of paper mill lime sludge via application in building construction materials: A review[J]. Construction and Building Materials, 2019, 211: 371-382. DOI:10.1016/j.conbuildmat.2019.03.085
[55]
ADESANYA E, OHENOJA K, LUUKKONEN T, et al. One-part geopolymer cement from slag and pretreated paper sludge[J]. Journal of Cleaner Production, 2018, 185: 168-175. DOI:10.1016/j.jclepro.2018.03.007
[56]
MALAISKIENE J, KIZINIEVIC O, KIZINIEVIC V, et al. The impact of primary sludge from paper industry on the properties of hardened cement paste and mortar[J]. Construction and Building Materials, 2018, 172: 553-561. DOI:10.1016/j.conbuildmat.2018.04.011
[57]
WONG H S, BARAKAT R, ALHILALI A, et al. Hydrophobic concrete using waste paper sludge ash[J]. Cement and Concrete Research, 2015, 70: 9-20. DOI:10.1016/j.cemconres.2015.01.005
[58]
BUI N K, SATOMI T, TAKAHASHI H. Influence of industrial by-products and waste paper sludge ash on properties of recycled aggregate concrete[J]. Journal of Cleaner Production, 2019, 214: 403-418. DOI:10.1016/j.jclepro.2018.12.325
[59]
YARAS A. Combined effects of paper mill sludge and carbonation sludge on characteristics of fired clay bricks[J]. Construction and Building Materials, 2020, 249: 118722. DOI:10.1016/j.conbuildmat.2020.118722
[60]
KIZINIEVIČ O, KIZINIEVIČ V, MALAIŠKIENE Ė J, et al. Analysis of the effect of paper sludge on the properties, microstructure and frost resistance of clay bricks[J]. Construction and Building Materials, 2018, 169: 689-696. DOI:10.1016/j.conbuildmat.2018.03.024
[61]
ZHANG Z J, FANG Z H, XIANG Y Y, et al. Cellulose-based material in lithium-sulfur batteries: A review[J]. Carbohydrate Polymers, 2021, 255: 117469. DOI:10.1016/j.carbpol.2020.117469
[62]
黎晶雪, 陈善帅, 马帅帅, 等. 纤维素基先进功能材料的制备及其应用[J]. 功能材料, 2020, 51(8): 8039-8047.
LI J X, CHEN S S, MA S S, et al. Preparation and application of cellulose-based advanced functional materials[J]. Journal of Functional Materials, 2020, 51(8): 8039-8047. (in Chinese)
[63]
LIU H Y, YANG X G, ZHANG Y, et al. Flocculation characteristics of polyacrylamide grafted cellulose from Phyllostachys heterocycla: An efficient and eco-friendly flocculant[J]. Water Research, 2014, 59: 165-171. DOI:10.1016/j.watres.2014.04.022
[64]
ZHU H C, ZHANG Y, YANG X G, et al. Polyacrylamide grafted cellulose as an eco-friendly flocculant: Key factors optimization of flocculation to surfactant effluent[J]. Carbohydrate Polymers, 2016, 135: 145-152. DOI:10.1016/j.carbpol.2015.08.049
[65]
ZHU H C, ZHANG Y, YANG X G, et al. One-step green synthesis of non-hazardous dicarboxyl cellulose flocculant and its flocculation activity evaluation[J]. Journal of Hazardous Materials, 2015, 296: 1-8. DOI:10.1016/j.jhazmat.2015.04.029
[66]
FENG X, WAN J J, DENG J C, et al. Preparation of acrylamide and carboxymethyl cellulose graft copolymers and the effect of molecular weight on the flocculation properties in simulated dyeing wastewater under different pH conditions[J]. International Journal of Biological Macromolecules, 2020, 155: 1142-1156. DOI:10.1016/j.ijbiomac.2019.11.081
[67]
KONO H, KUSUMOTO R. Preparation, structural characterization, and flocculation ability of amphoteric cellulose[J]. Reactive and Functional Polymers, 2014, 82: 111-119. DOI:10.1016/j.reactfunctpolym.2014.06.009
[68]
TANG F, YU H Y, YASSIN HUSSAIN ABDALKARIM S, et al. Green acid-free hydrolysis of wasted pomelo peel to produce carboxylated cellulose nanofibers with super absorption/flocculation ability for environmental remediation materials[J]. Chemical Engineering Journal, 2020, 395: 125070. DOI:10.1016/j.cej.2020.125070
[69]
XUE F, HE H, ZHOU H, et al. Structural design of a cellulose-based hyperbranched adsorbent for the rapid and complete removal of Cr(Ⅵ) from water[J]. Chemical Engineering Journal, 2020, 128037.
[70]
MISRA N, RAWAT S, GOEL N K, et al. Radiation grafted cellulose fabric as reusable anionic adsorbent: A novel strategy for potential large-scale dye wastewater remediation[J]. Carbohydrate Polymers, 2020, 249: 116902. DOI:10.1016/j.carbpol.2020.116902
[71]
PETER Z. Order in cellulosics: Historical review of crystal structure research on cellulose[J]. Carbohydrate Polymers, 2021, 254: 117417. DOI:10.1016/j.carbpol.2020.117417
[72]
CHEN T, LIU H T, DONG C H, et al. Synthesis and characterization of temperature/pH dual sensitive hemicellulose-based hydrogels from eucalyptus APMP waste liquor[J]. Carbohydrate Polymers, 2020, 247: 116717. DOI:10.1016/j.carbpol.2020.116717
[73]
许孟杰, 李卫兵, 周雪松. 半纤维素基pH响应性水凝胶的制备及其药物控释研究[J]. 中国造纸, 2019, 38(4): 23-29.
XU M J, LI W B, ZHOU X S. Preparation of hemicelluloses-based pH sensitive hydrogel and its application in controlled drug release[J]. China Pulp & Paper, 2019, 38(4): 23-29. (in Chinese)
[74]
WEN J Y, YANG J Y, WANG W Y, et al. Synthesis of hemicellulose hydrogels with tunable conductivity and swelling behavior through facile one-pot reaction[J]. International Journal of Biological Macromolecules, 2020, 154: 1528-1536. DOI:10.1016/j.ijbiomac.2019.11.035
[75]
赵璐婷, 张健, 李娜, 等. 半纤维素基磁性水凝胶的制备及其对染料吸附性能的研究[J]. 材料工程, 2020, 48(11): 85-91.
ZHAO L T, ZHANG J, LI N, et al. Preparation of hemicellulose-based magnetic hydrogel and its adsorption properties for dye[J]. Journal of Materials Engineering, 2020, 48(11): 85-91. (in Chinese) DOI:10.11868/j.issn.1001-4381.2019.000076
[76]
LIU X W, LUAN S, LI W. Utilization of waste hemicelluloses lye for superabsorbent hydrogel synthesis[J]. International Journal of Biological Macromolecules, 2019, 132: 954-962. DOI:10.1016/j.ijbiomac.2019.04.041
[77]
MOHAMMADABADI S I, JAVANBAKHT V. Ultrasonic assisted hydrolysis of barley straw biowastes into construction of a novel hemicellulose-based adsorbent and its adsorption properties for Pb2+ ions from aqueous solutions[J]. Renewable Energy, 2020, 161: 893-906. DOI:10.1016/j.renene.2020.07.021
[78]
GAUTAM D, KUMARI S, RAM B, et al. A new hemicellulose-based adsorbent for malachite green[J]. Journal of Environmental Chemical Engineering, 2018, 6(4): 3889-3897. DOI:10.1016/j.jece.2018.05.029
[79]
温敬运, 邱晓宇, 李明飞, 等. 半纤维素基水凝胶制备及应用研究进展[J]. 材料工程, 2020, 48(2): 1-10.
WEN J Y, QIU X Y, LI M F, et al. Research progress in preparation and application of hemicellulose-based hydrogels[J]. Journal of Materials Engineering, 2020, 48(2): 1-10. (in Chinese)
[80]
LETTNER M, HESSER F, HEDELER B, et al. Barriers and incentives for the use of lignin-based resins: Results of a comparative importance performance analysis[J]. Journal of Cleaner Production, 2020, 256: 120520. DOI:10.1016/j.jclepro.2020.120520
[81]
秋增昌, 王海毅. 木质素的应用研究现状与进展[J]. 西南造纸, 2004(3): 29-33.
QIU Z C, WANG H Y. Application and research status and progress of lignin[J]. Southwest Pulp and Paper, 2004(3): 29-33. (in Chinese)
[82]
WANG B, WANG S F, LAM S S, et al. A review on production of lignin-basedflocculants: Sustainable feedstock and low carbon footprint applications[J]. Renewable and Sustainable Energy Reviews, 2020, 134: 110384. DOI:10.1016/j.rser.2020.110384
[83]
WANG B, WANG H M, SUN D, et al. Chemosynthesis, characterization and application of lignin-basedflocculants with tunable performance prepared by short-wavelength ultraviolet initiation[J]. Industrial Crops and Products, 2020, 157: 112897. DOI:10.1016/j.indcrop.2020.112897
[84]
CHEN N, LIU W F, HUANG J H, et al. Preparation of octopus-like lignin-grafted cationic polyacrylamide flocculant and its application for water flocculation[J]. International Journal of Biological Macromolecules, 2020, 146: 9-17. DOI:10.1016/j.ijbiomac.2019.12.245
[85]
FANG R, CHENG X S, XU X R. Synthesis of lignin-base cationic flocculant and its application in removing anionic azo-dyes from simulated wastewater[J]. Bioresource Technology, 2010, 101(19): 7323-7329. DOI:10.1016/j.biortech.2010.04.094
[86]
SHI X X, QIAO Y Y, AN X X, et al. High-capacity adsorption of Cr(Ⅵ) by lignin-based composite: Characterization, performance and mechanism[J]. International Journal of Biological Macromolecules, 2020, 159: 839-849. DOI:10.1016/j.ijbiomac.2020.05.130
[87]
WU Q, YE X X, LV Y, et al. Lignin-based magnetic activated carbon for p-arsanilic acid removal: Applications and absorption mechanisms[J]. Chemosphere, 2020, 258: 127276. DOI:10.1016/j.chemosphere.2020.127276
[88]
ZHANG B F, CHEN R L, YANG Z F, et al. Melamine-assisted synthesis of paper mill sludge-based carbon nanotube/nanoporous carbon nanocomposite for enhanced electrocatalytic oxygen reduction activity[J]. International Journal of Hydrogen Energy, 2019, 44(59): 31094-31103. DOI:10.1016/j.ijhydene.2019.10.045
[89]
GUAN Q Q, GAO K X, NING P, et al. Value-added utilization of paper sludge: Preparing activated carbon for efficient adsorption of Cr(Ⅵ) and further hydrogenation of furfural[J]. Science of the Total Environment, 2020, 741: 140265. DOI:10.1016/j.scitotenv.2020.140265
[90]
LI W H, YUE Q Y, GAO B Y, et al. Preparation of sludge-based activated carbon made from paper mill sewage sludge by steam activation for dye wastewater treatment[J]. Desalination, 2011, 278(1/2/3): 179-185.
[91]
RONG H Y, GAO B Y, DONG M, et al. Characterization of size, strength and structure of aluminum-polymer dual-coagulant flocs under different pH and hydraulic conditions[J]. Journal of Hazardous Materials, 2013, 252/253: 330-337. DOI:10.1016/j.jhazmat.2013.03.011
[92]
LI R H, GAO B Y, GUO K Y, et al. Effects of papermaking sludge-based polymer on coagulation behavior in the disperse and reactive dyes wastewater treatment[J]. Bioresource Technology, 2017, 240: 59-67. DOI:10.1016/j.biortech.2017.02.088
[93]
LI R H, GAO B Y, GUO K Y, et al. Floc structural characteristics of ferrum-polymer dual-coagulant for treatment of synthetic dyes wastewater: Effect of solution pH, hardness and ionic strength[J]. RSC Advances, 2016, 6(97): 94851-94858. DOI:10.1039/C6RA22460A
[94]
LI R H, GAO B Y, WANG W, et al. Floc properties and membrane fouling in coagulation/ultrafiltration process for the treatment of Xiaoqing River: The role of polymeric aluminum-polymer dual-coagulants[J]. Chemosphere, 2020, 243: 125391. DOI:10.1016/j.chemosphere.2019.125391
[95]
GUO K Y, GAO Y, GAO B Y, et al. Structure-activity relationships of the papermill sludge-based flocculants in different dye wastewater treatment[J]. Journal of Cleaner Production, 2020, 266: 121944. DOI:10.1016/j.jclepro.2020.121944
[96]
FENG Q Y, GAO B Y, YUE Q Y, et al. Flocculation performance of papermaking sludge-based flocculants in different dye wastewater treatment: Comparison with commercial lignin and coagulants[J]. Chemosphere, 2021, 262: 128416. DOI:10.1016/j.chemosphere.2020.128416