土木与环境工程学报  2021, Vol. 43 Issue (6): 103-112   doi: 10.11835/j.issn.2096-6717.2020.127   PDF    
邻近高耸建筑对小区风环境的影响试验研究
沈炼 1,2,3, 唐春朝 1, 韩艳 1, 汪阔 1, 李春光 1, 蔡春声 1     
1. 长沙学院 土木工程学院, 长沙 410022;
2. 长沙理工大学 桥梁工程安全控制教育部重点实验室, 长沙 410076;
3. 湖南大学 土木工程学院, 长沙 410082
摘要:风环境是评价人居生活质量好坏的重要指标,随着国民经济的快速发展,越来越多的高耸楼宇应运而生,这些楼宇会较大程度地改变已有小区的风环境,给小区居民正常生活带来困扰,而当前对该问题的针对性研究还十分匮乏。以长沙通用时代国际社区为研究背景,利用大尺度风洞(10 m×3 m×21 m)对新增高耸建筑后的小区风环境进行了全方位、多工况试验研究,并基于超越概率法对有无新增高耸建筑小区风环境舒适度与危险度进行定量评估。结果表明:城市小区平均风剖面与湍流度剖面指数值要远高于规范值,表明城市小区具有较大的地表粗糙度。新增高耸建筑会显著改变其邻近区域风环境,如高耸建筑对通用时代小区100、200、300 m范围内平均风速分别造成了25%、6%和2%的加速作用,在增加高耸建筑后小区风环境舒适度与危险度超越概率最大值分别增加了2倍和6倍。
关键词高耸建筑    风环境    超越概率    风洞试验    风场分布    
Experimental study on urban wind environment influenced by adjacent high-rise building
SHEN Lian 1,2,3, TANG Chunchao 1, HAN Yan 1, WANG Kuo 1, LI Chunguang 1, CAI Chunsheng 1     
1. School of Civil Engineering, Changsha University, Changsha 410022, P. R. China;
2. School of Civil Engineering, Changsha University of Science & Technology, Changsha 410076, P. R. China;
3. School of Civil Engineering, Hunan University, Changsha 410082, P. R. China
Abstract: Urban wind environment is an important index to evaluate the quality of human life. In recent years, with the rapid development of the economy, more and more new high-rise buildings have been built and greatly changed the existing residential wind environment. It leads a great trouble to the normal life of the residents in the community. However, the target researches focus on this problem are still very scarce. In this paper, the Tongyong Shidai community is chosen as the case study, and all-round and multi-condition experimental study on the residential wind environment influenced by high-rise building is analyzed by large scale wind tunnel (10 m×3 m×32 m). Meanwhile, exceeding probability method is used to quantitatively evaluate comfort degree and risk degree of the residential area with or without new high-rise buildings. The results show that the profile index values for average wind profiles and turbulence profiles are much higher than the values of standard, which indicates that urban area has greater surface roughness. The added high-rise buildings will significantly change the wind environment of the adjacent areas. When the high-rise building is added, the average wind speed in current community within 100, 200, 300 m is increased by 25%, 6% and 2%, respectively. The maximum value of the wind environment comfort and risk exceeding probability is increased by two times and six times, respectively.
Keywords: high-rise building    wind environment    exceeding probability    wind tunnel test    wind field characteristic    

近年来,随着经济的快速发展,城市化进程不断加快,建设用地紧张的问题愈发凸显,越来越多的高层建筑应运而生。这些高层建筑周围气流易产生下冲、绕流、涡旋、穿堂等现象,从而引发人行高度风环境不舒适性问题[1]。目前对城市建筑风环境研究的主要手段有现场实测、风洞试验和数值模拟。现场实测最能直接反映建筑周围的风场分布,但由于测试周期长,耗费大量人力物力,从而得不到广泛应用。数值模拟可以精确显示流场的详细信息,受到了越来越多学者的青睐[2-5],但不足的是,数值模拟因计算参数较多,其计算结果的正确性有待商榷,往往需要风洞试验对其进行验证。近年来,风洞试验由于具有实施方便、试验条件可控等优点,在风工程领域得到了广泛的应用,如关吉平等[6]利用风洞试验对群体风环境干扰效应做了研究,得到了高层建筑尾流区域风场的分布特性;Ricci等[7]基于风洞试验得到了意大利文化区街道峡谷内城市边界层的演变过程;金海等[8]、王成刚等[9]、刘立创[10]分别通过风洞试验对高层建筑行人高度风环境进行了研究,并对周围的风环境舒适度进行了定量评估。这些试验研究得到了宝贵的试验数据,可为日后数值模拟提供借鉴。但不足的是,这些研究主要针对单体建筑或理想排列建筑群,对实际小区新增高耸建筑后的风环境研究还相对较少,加上现有小区风洞试验研究采用的风洞尺寸一般相对较小,风洞壁与建筑模型相互影响,且当前大多试验只模拟了小区核心位置,并没考虑小区外围建筑的边界效应,故很难精确、全面地捕捉小区流场信息。

当获取小区流场信息后,需对其风环境进行评估,目前学者们还未达成统一的标准和规范,常见的评估方法主要有风速比评估法、相对舒适度评估法和超越阀值概率评估法。风速比评估法由于缺乏对行人感受的考虑,存在明显的局限性。相对舒适度法[11]则是以人的舒适性需求为出发点,通过人对风的不舒适程度以及不舒适发生的次数进行分级,其不足是人为主观性因素太大,具有一定的不确定性。近年来,超越概率评估方法由于可同时考虑不舒适性、危险度的阀值风速,得到了广泛应用,如陈勇等[12]基于超越概率方法对不同评估标准进行比较,得到了各个标准的相对宽严程度;李朝等[3]基于超越概率对开敞式大跨空间建筑进行了分析;陈伏彬等[13]利用该方法对城市综合体进行了研究,取得了较好结果。虽然超越概率近年来多次运用在小区风环境的评估当中,但利用超越概率方法分析高耸建筑影响的针对性分析还未曾报道。笔者针对当前试验研究的不足,以长沙通用时代小区为研究对象,利用大尺度风洞(10 m×3 m×21 m)对有无高耸建筑的小区风环境进行全方位、多工况试验研究,从而揭示小区人行高度风场、竖向风剖面与湍流度剖面的分布规律,并结合当地气象资料利用超越概率方法对有无高耸建筑的小区风环境进行定量评估,相关研究结论可供日后小区规划设计参考。

1 风洞试验介绍
1.1 大气边界层风洞

试验在长沙理工大学风工程与风环境研究中心进行,如图 1所示,试验风洞尺寸为10 m×3 m×21 m,风速范围在1.0~18.0 m/s可调,且风机具有可变的扇叶角度,确保了低风速稳定,转盘直径为5.0 m,风洞还安装了二维移侧架系统,可在风洞横向及竖向移动风速探头。

图 1 风洞实验室 Fig. 1 Wind tunnel laboratory

1.2 风速测量仪器

在水平方向,采用欧文探针测量人行高度风场,探针结构如图 2所示。其中探头直径15 mm,在探头中心开槽,槽中心穿插一根直径1 m中空钢针(A端),开槽处下端布置另一根直径1 mm的中空钢针(B端)。根据欧文探针原理可知,风速与A、B端的压差成正比关系。

$ U_{h}=a+b \sqrt{p_{\mathrm{B}}-p_{\mathrm{A}}} $ (1)
图 2 欧文探针 Fig. 2 Irwin probe diagram

其中:pApB分别为探头两端的风压;ab为探头的标定系数;Uh为距离底面标高h处(即A端)的风速;h对应实际2 m高度处。

试验前需对探针进行标定,特制了一5 mm厚的钢板,通过钻孔固定探针,每个相邻孔位间距为12 cm,如图 3所示。标定时,采用眼镜蛇风速仪测量探头顶部风速,在4、6、8、10、12 m/s风速来流下测得探针风速与压差的关系,如图 4所示。通过分析发现探针拟合系数均大于0.99,说明风速与压差具有很好的线性关系。风压测量采用PSI DTC Initium型电子压力扫描阀,测量精度为0.06%,采样频率350 Hz,试验过程中采样时间为1 min。

图 3 欧文探针标定图 Fig. 3 Calibration of Irwin probe

图 4 探针标定系数 Fig. 4 Calibration coefficients of probe

竖向风速测量采用澳大利亚TFI公司的Cobra探头(眼镜蛇风速仪),该探头能够同时测量uvw三向压力或风速时程,风速测量误差小于3%,采样频率500 Hz,采样时间为1 min。

1.3 试验模型及测点布置

试验对象位于长沙市,其航拍图如图 5(a)所示,试验过程中,为消除周边建筑对小区风场的边界效应,模拟了小区外围600 m半径范围内的周边建筑,缩尺比为1∶250,阻塞率小于5%,高耸建筑V立方大厦150 m(模型高0.6 m),位于小区正北方,如图 5(b)所示。试验过程中布置了多个欧文探针,覆盖了室外开阔区域、广场、人行道等场所,欧文探针布置如图 5(c)所示。

图 5 长沙通用时代小区 Fig. 5 Changsha Tongyong Shidai community

利用尖劈、粗糙元、横杆模拟出C类地貌,试验参考高度为1.6 m,风速为8 m/s,入口平均风速和湍流度的表达式分别为

$ U=8 \cdot\left(\frac{z}{1.6}\right)^{0.22} $ (2)
$ I=0.23 \cdot\left(\frac{z}{0.04}\right)^{-0.22} $ (3)

式中:z为离地高度,模拟的风速剖面和湍流度剖面如图 6所示。试验过程中,模拟了16个风向角,间隔22.5°,风向角通过旋转转盘实现,其中0°、90°、180°和270°分别代表北风、西风、南风和东风,如图 7(a)所示。

图 6 风洞试验入口参数 Fig. 6 Wind tunnel test entrance parameters

图 7 监测点布置图 Fig. 7 Layout of monitoring points

试验过程中,在小区内部布置了64个欧文探针,对小区人行高度风场进行实时监测,监测点位如图 7(b)所示。同时,对0°,90°,180°和270°风向角作用下小区内部关键点位进行风剖面和湍流度剖面监测,具体监测位置如图 7(c)所示。

1.4 试验工况

为获取V立方大厦对小区风环境的影响,对有无V立方大厦的人行高度风进行了多工况试验分析,并对典型工况下小区内部关键点风剖面与湍流度剖面进行了详细研究,各工况汇总如表 1所示。

表 1 模拟工况汇总 Table 1 Summary of simulation conditions

2 试验结果及分析

分别对上述工况进行试验,获取了不同工况下监测点所在位置的风速时程,取平均后得到小区人行高度风场、竖直风剖面和湍流度剖面的详细分布。

2.1 风速整体分布

研究显示,在大雷诺数作用下,流场的分布不随入口风速的变化而变化,即在对应某一风向下建筑物周围流场是相对固定的,定义风速比MVR为

$ \mathrm{MVR}=\frac{V_{i}}{V_{0}} $ (4)

式中:Vii号测点行人高度平均风速大小;V0为实际高度未受建筑干扰的来流平均风速。

通过风洞试验得到不同风向作用下小区行人高度风速,限于篇幅,展示了0°、90°、180°、270°风向下的风速比云图,如图 8所示。由于小区内高楼错综复杂,各楼栋之间又有相互干扰,使得内部流场十分复杂。如0°风向角下,9栋(如图 7(c)所示)西侧、6栋周围以及13栋东侧风速都出现了明显的加速效应,其原因是这几栋建筑在来流风向前方并无高大密集建筑遮挡,在高层建筑侧边形成了加速效应。从图中还可以看出,在有V立方情况下,1栋左侧出现了明显加速效应,说明V立方的建成改变了其周围风环境。90°风向角下,“峡谷效应”明显,主要由于西侧周边建筑呈平行式排列且相对较高,构成了一道人工的“街道峡谷”,风汇合在街道导致风速加大,出现局部强风,如图 8(b)(f)所示。180°风向下,小区6栋、13栋转角区域也出现加速效应,但在9栋和11栋背风面出现了明显的低风速区,风速比接近于0。在270°风向角下,由于建筑迎风面积大,导致小区内整体风速较小。整体而言,在有V立方时,小区1栋所在区域风速比出现了显著提升,说明V立方在一定程度改变了附近区域风环境。

图 8 不同风向作用下小区人行高度风场分布云图 Fig. 8 Contours of wind field distribution of pedestrian height in different wind directions

2.2 人行高度风环境

试验过程中,对大厦周围300 m区域范围内有无V立方的小区风环境进行了详细对比分析,如图 9所示。图中不同颜色表示不同区域范围的测点,其中,黑色、红色和蓝色分别代表 0~100 m、100~200 m、200~300 m区域范围,落在虚线右下角区域的测点表示有高耸建筑时该测点区域风速大于无高耸建筑,落在虚线左上角区域则相反。从图 9中可以发现,在0°风向角下,由于来流方向前面并无密集建筑,小区内风速普遍较大,此时V立方位于小区正北方,影响最为明显,在V立方附近100 m范围内多处出现加速效应。在90°和270°风向角时,小区位于V立方侧边,对小区内的人行高度风影响较小。在180°时,V立方大厦在小区的尾流区域,大于100 m位置风场不受V立方影响。总体而言,新增V立方后,在0~100 m范围内人行高度风场具有较大改变,且大部分测点风速在有V立方时明显大于无V立方时。

图 9 人行高度归一化平均风速比较 Fig. 9 Comparison of normalized average wind speed of pedestrian height

为定量了解V立方大厦对小区人行高度风场的影响范围,引入均方根误差(RMSE)评估有无V立方大厦小区人行高度风场偏差,RMSE定义为

$ \mathrm{RMSE}=\sqrt{\frac{1}{N} \sum\limits_{i=1}^{N}\left(a_{i}-b_{i}\right)^{2}} $ (5)

式中:aibi分别为工况A、B每一点的无量纲风速比;N为监测点数目。4个风向角作用下, 不同范围均方根偏差如表 2所示,从表 2可以发现,300 m范围内所有测点的RMSE值在0.2左右,说明V立方对小区人行高度风场产生了较大影响,通过分析4个风向下RMSE值与距离的关系发现,随着距离的增大,V立方对周边的影响逐渐减小。

表 2 不同范围风速比均方根误差 Table 2 RMSE of wind speed ratio in different range

V立方建筑位于小区正北侧,0°风向时,小区风场受V立方影响最为显著,对图 9(a)中3种不同距离散点图分别进行线性拟合,发现100、200、300 m范围内的拟合值分别为0.75、0.94、0.98,说明高耸建筑对小区100、200、300 m范围内平均风速造成了25%、6%和2%的加速作用。

2.3 风剖面

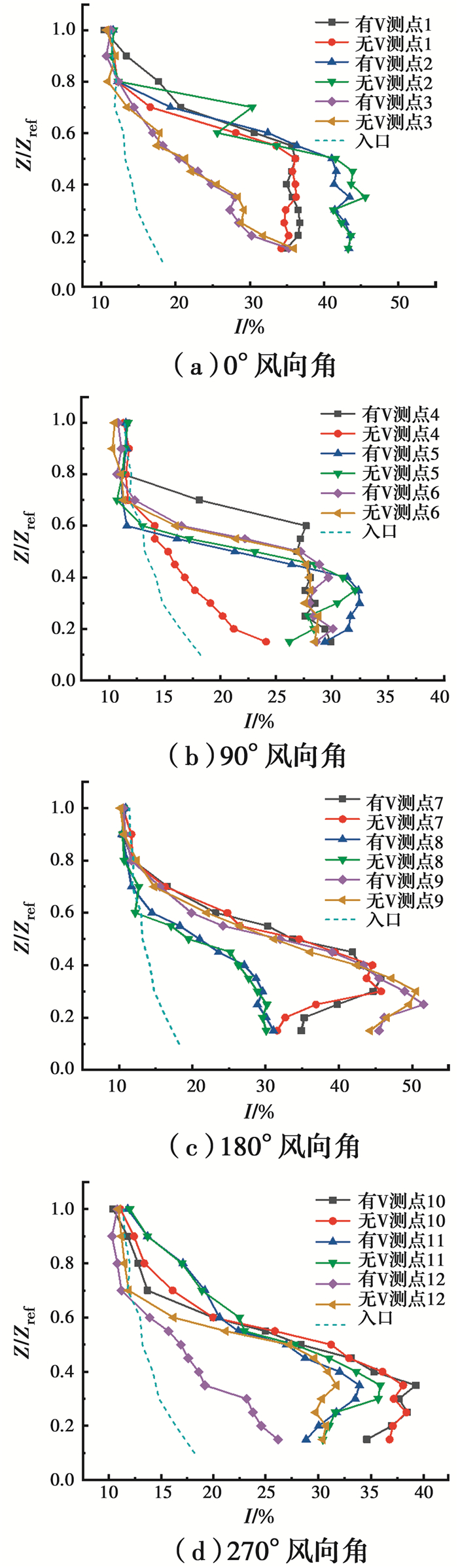
在竖直方向,对小区内部典型区域的风剖面进行了详细探讨,给出了不同来流风向下测点(见图 7(c))的无量纲平均风速剖面,如图 10所示。对每个测点风剖面指数进行拟合,拟合值如表 3所示,从表中可以发现,各测点风剖面指数均大于C类地貌风剖面指数,说明城市冠层相比规范的C类地表具有更大的地表粗糙度,由于测点4和测点12距离V立方较近,其风剖面指数受建筑影响较大,其余点离V立方相对较远,风剖面指数无明显变化。从图 10中可以发现,在0.4 m(实际100 m)高度以下,风速受地面及建筑物影响,其值要小于入口风速,说明地表粗糙度对风场产生了拖曳作用。当高度达到0.6 m后,风剖面指数的规律性逐渐明显, 并渐渐与入口风速重合。在0°风向下,由于V立方对来流的阻挡作用,1、2号测点的风速剖面略小于无V立方的情况;测点3由于距V立方相对较远,风剖面曲线与无V立方情况基本重合。在90°风向下,测点4变化最大,因为它处于V立方的背风侧且紧邻V立方;在180°风向下,由于V立方大厦与邻近建筑共同产生的狭管效应,测点8风速明显大于其他测点,类似现象也在270°风向下测点12出现。

图 10 不同风向角风剖面图 Fig. 10 Wind profile of different wind directions

表 3 风剖面指数拟合值 Table 3 Fitting value of wind profile index

2.4 湍流度剖面

湍流强度也是风环境舒适度评价的重要影响指标,其定义为湍流脉动风速均方根与平均风速的比值,反映了风速随时间变化的程度。试验过程中,对上述12个测点的湍流度剖面进行监测,如图 11所示。从图中可以发现,在0.8 m(200 m)以下,各测点的湍流度剖面远高于入口湍流度剖面,再次验证了城市冠层具有较大的地表粗糙度。图中大部分测点最大湍流度一般出现在0.35~0.4 m位置处,该高度与小区建筑平均高度接近,说明小区建筑顶部造成的剪切流区域是高湍流形成的主要原因。同样,对测点的湍流度剖面进行指数拟合,如表 4所示。从表中可以发现,湍流度剖面衰减值要远大于规范值,说明了规范所描述的湍流度剖面并不适用于建筑高密的城市小区,对其湍流度拟合值分析发现,4号与12号点相差较大,其余位置由于与V立方相隔较远,其值无明显变化。

图 11 不同风向角湍流度剖面图 Fig. 11 Profile of turbulence at different wind directions

表 4 湍流度剖面指数拟合值 Table 4 Fitting value of turbulence profile index

3 小区风环境超越概率评估
3.1 评价指标及方法

行人高度风环境超越概率评估主要包括舒适性与安全度评价[14]。评估风舒适度时取等效风速阈值和峰值因子分别为VTHR=6 m/s和g=1;评估风危险度时,取等效风速阈值和峰值因子分别为VTHR=20 m/s和g=3。风速阈值主要用来界定人的不舒适和危险,而不舒适与危险的“度”则由可接受概率大小来评判,考虑阵风的等效风速阀值判断形式为

$ V_{\mathrm{g}}=V+g \delta_{V}>V_{\mathrm{THR}} $ (6)

其中:V为行人高度平均风速;g为峰值因子;δV为脉动风速标准差;Vg为行人高度等效风速;VTHR为不舒适或危险阈值风速。

利用超越阀值概率方法对小区风环境进行评估时,不仅需要知道建筑周边的流场分布,还需要知道当地常年的风速、风向概率分布函数。研究发现[15],近地面某高度处各风向角下的风速均可以采用Weibull双参数分布形式进行表述,对于给定风向θi下的超越概率计算表达式可表示为

$ P_{\theta_{i}}\left(V_{\mathrm{g}}>V_{\mathrm{THR}}\right)=A_{\theta_{i}} \cdot \exp \left[-\left(\frac{V_{\mathrm{THR}}}{C_{\theta_{i}}}\right) K_{\theta_{i}}\right] $ (7)

式中:Pθiθi风向风速超过VTHR的超越概率;Aθiθi风向的发生频率;Cθiθi风向风速概率分布函数的尺度参数;Kθiθi风向风速概率分布函数的形状参数。通过分析长沙地区常年逐时风速、风向统计资料,得到了长沙城区16个风向角作用下的Weibull分布参数,如表 5所示。

表 5 气象观测资料的统计和威布尔参数估计结果 Table 5 The statistics and Weibull parameters estimation of meteorological data

3.2 小区风环境评估

建筑周边的流场分布一般采用风速比表示,评估过程中采用2.1节所述风速比。由于试验建筑场地类别为C类地表,而气象监测站的风速为B类地表,因此,试验入口10 m高度风速与观测站10 m高度的风速存在一个转换系数,可表示为

$ V_{10}^{\mathrm{B}}=V_{10}^{\mathrm{C}} \cdot\left(\frac{400}{10}\right)^{0.22} \cdot\left(\frac{350}{10}\right)^{-0.16}=1.275 \cdot V_{10}^{\mathrm{C}} $ (8)

其中:B类梯度风高度为350 m,粗糙度指数为0.16;C类梯度风高度为400 m,粗糙度指数为0.22。故建筑物场地中风速阈值VTHR与观测站的风速VO, i, THR的关系为

$ V_{\mathrm{O}, i, \mathrm{THR}}=\frac{1.275 \cdot V_{\mathrm{THR}}}{R_{i}} $ (9)

将式(9)代入式(7)中,并就各风向下等效风速超越舒适度或危险度阈值的概率求和,即可得到全风向该区域风速超越阀值概率,如式(10)所示。

$ P_{\theta}\left(V_{g}>V_{\mathrm{THR}}\right)=\sum\limits_{i=1}^{16} A_{\theta_{i}} \cdot \exp \left[-\left(\frac{V_{\mathrm{O}, i, \mathrm{THR}}}{C_{\theta_{i}}}\right) K_{\theta_{i}}\right] $ (10)

基于上述理论对小区域测点进行超越概率分析,得到各测点全风向下行人不舒适和危险阀值风速超越概率云图,如图 12所示。

图 12 各监测点超越概率云图 Fig. 12 Contours of exceedance probability of each monitoring point

采用Bottema评估标准对其风环境舒适度进行评定,标准规定:对于快步而言,当超越概率低于10%为优,10%~20%为中,大于20%为差。由图 12(a)(b)可以看出,该小区的大部分区域行人风舒适度等级为优,在小区西侧和东南侧部分区域风舒适度等级为中,主要原因是这些位置房屋相对较高,其楼栋朝向与长沙地区盛行风速一致。同时,在图 12中还可发现,有V立方时,在V立方后侧超越概率值出现了明显提升,其值达23%,评级为差,主要原因是V立方与1栋之间形成“峡谷效应”,说明此区域不宜人类活动。在评估危险度时,Bottema标准规定,超越概率只要大于0.05%就有一定危险,从图 12(c)中可以看到,在有V立方情况下,测点3超越危险阈值风速概率为0.06%,说明该区域有一定危险,这也与风舒适度评估结果相对应。在小区的其他区域,有无V立方危险度超越概率最大值分别为0.013 8%和0.019 1%,远小于下限概率0.05%,说明该小区其他区域不存在危险性。同时,为定量获取高耸建筑对风环境的影响,对小区内64个测点的舒适度超越概率和危险度超越概率进行统计分析,其结果如图 13所示。从图中可以发现,离V立方较近的1、2、3、15、16号测点,由于V立方的建成,使得该区域出现了廊道效应,恶化了其风环境,离V立方较远区域风环境好坏无明显变化。

图 13 各监测点超越概率 Fig. 13 Exceedance probability of each monitoring point

4 结论

基于大尺度风洞试验研究了高耸建筑对其周边小区风环境的影响,获取了小区内部风场的详细分布,并基于超越概率对小区行人高度风环境舒适性和危险度进行定量评估,获得以下结论:

1) 基于大尺度风洞试验消除了风洞壁对模型风场的挤压作用,在考虑外围建筑对小区风场的边界效应后获取了小区内部流场的详细分布。研究显示,小区建筑对平均风场产生了拖曳作用,其内部风场脉动剧烈,风剖面与湍流度剖面指数值均大于规范值,表明城市小区具有更大的地表粗糙度。

2) 通过对有无高耸建筑作用下的小区平均风场分析发现,新增高耸建筑会显著改变其邻近区域风环境,如高耸建筑对通用时代小区100、200、300 m范围内平均风速分别造成了25%、6%和2%的加速作用。

3) 通过对小区人行高度风环境进行超越概率评估发现,新增高耸建筑较大程度改变了其附近区域风环境舒适度与危险度,如在增加高耸建筑后通用时代小区风环境舒适度与危险度超越概率最大值分别增加了2倍和6倍。

参考文献
[1]
PENWARDEN A D, WISE A F E. Wind environment around buildings [M]. HMSO, 1975.
[2]
BLOCKEN B, JANSSEN W D, VAN HOOFF T. CFD simulation for pedestrian wind comfort and wind safety in urban areas: General decision framework and case study for the Eindhoven University campus[J]. Environmental Modelling & Software, 2012, 30: 15-34.
[3]
李朝, 肖仪清, 滕军, 等. 基于超越阈值概率的行人风环境数值评估[J]. 工程力学, 2012, 29(12): 15-21.
LI C, XIAO Y Q, TENG J, et al. Numerical evaluation of pedestrian wind environment using threshold exceedance probability approach[J]. Engineering Mechanics, 2012, 29(12): 15-21. (in Chinese) DOI:10.6052/j.issn.1000-4750.2011.03.0106
[4]
高炜文, 傅继阳, 徐安, 等. 群体高层建筑风效应的数值模拟[J]. 广州大学学报(自然科学版), 2013, 12(6): 42-48.
GAO W W, FU J Y, XU A, et al. Numerical simulation of wind effects on groups of high-rise buildings[J]. Journal of Guangzhou University (Natural Science Edition), 2013, 12(6): 42-48. (in Chinese)
[5]
李峥嵘, 赵晋鹏, 赵群, 等. 不同风向作用下的建筑群风环境研究[J]. 暖通空调, 2018, 48(8): 81-85.
LI Z R, ZHAO J P, ZHAO Q, et al. Wind environment around building complex under different wind directions[J]. Heating Ventilating & Air Conditioning, 2018, 48(8): 81-85. (in Chinese)
[6]
关吉平, 陈伟, 朱乐东. 建筑群风环境干扰效应研究[J]. 结构工程师, 2010, 26(3): 82-88.
GUAN J P, CHEN W, ZHU L D. Study of interference effects on wind environment around buildings[J]. Structural Engineers, 2010, 26(3): 82-88. (in Chinese) DOI:10.3969/j.issn.1005-0159.2010.03.014
[7]
RICCI A, BURLANDO M, FREDA A, et al. Wind tunnel measurements of the urban boundary layer development over a historical district in Italy[J]. Building and Environment, 2017, 111: 192-206. DOI:10.1016/j.buildenv.2016.10.016
[8]
金海, 杨立国, 陈凯. 北京某商业中心行人风环境的风洞试验研究[J]. 北京大学学报(自然科学版), 2015, 51(4): 613-619.
JIN H, YANG L G, CHEN K. Wind tunnel investigation on the pedestrian wind environment around high-rise buildings[J]. Acta Scientiarum Naturalium Universitatis Pekinensis, 2015, 51(4): 613-619. (in Chinese)
[9]
王成刚, 罗峰, 王咏薇, 等. 高密度建筑群及超高建筑物对风环境影响的风洞试验[J]. 大气科学学报, 2016, 39(1): 133-139.
WANG C G, LUO F, WANG Y W, et al. Experimental study of the impact of high-density building clusters and high-rise building on the wind environment[J]. Transactions of Atmospheric Sciences, 2016, 39(1): 133-139. (in Chinese)
[10]
刘立创. 某居住区行人高度风环境的风洞试验研究[D]. 广州: 华南理工大学, 2014.
LIU L C. Wind tunnel test research of a residential area of the pedestrian level wind environment [D] Guangzhou: South China University of Technology, 2014. (in Chinese)
[11]
DAVENPORT A G. An approach to human comfort criteria for environmental wind conditions [C]//Colloquium on Building Climatology, Stockholm, 1972.
[12]
陈勇, 王旭, 楼文娟, 等. 超越概率阈值风环境评价标准分析[J]. 华中科技大学学报(自然科学版), 2011, 39(10): 103-107.
CHEN Y, WANG X, LOU W J, et al. Analysis of criteria for wind-environment assessment using threshold of probability of exceedance[J]. Journal of Huazhong University of Science and Technology (Nature Science), 2011, 39(10): 103-107. (in Chinese)
[13]
陈伏彬, 李秋胜, 吴立. 基于超越阈值概率的城市综合体行人高度风环境试验研究[J]. 工程力学, 2015, 32(10): 169-176.
CHEN F B, LI Q S, WU L. Study on pedestrian level wind environment of HOPSCA using threshold of probability of exceedance[J]. Engineering Mechanics, 2015, 32(10): 169-176. (in Chinese) DOI:10.6052/j.issn.1000-4750.2014.09.0751
[14]
BOTTEMA M. A method for optimisation of wind discomfort criteria[J]. Building and Environment, 2000, 35(1): 1-18. DOI:10.1016/S0360-1323(98)00065-1
[15]
BU Z, KATO S, ISHIDA Y, et al. New criteria for assessing local wind environment at pedestrian level based on exceedance probability analysis[J]. Building and Environment, 2009, 44(7): 1501-1508. DOI:10.1016/j.buildenv.2008.08.002
[16]
全涌, 陈泂翔, 杨淳, 等. 大型中心城市平均风速剖面特性的风洞试验[J]. 同济大学学报(自然科学版), 2020, 48(2): 185-190.
QUAN Y, CHEN J X, YANG C, et al. Wind tunnel experiments of the mean wind profile characteristics over a large central city[J]. Journal of Tongji University (Natural Science), 2020, 48(2): 185-190. (in Chinese)
[17]
建筑工程风洞试验方法标准: JGJ/T 338—2014[S]. 北京: 中国建筑工业出版社, 2015.
Standard for wind tunnel test of buildings and structures: JGJ/T 338-2014[S]. Beijing: China Architecture & Building Press, 2015. (in Chinese)