土木与环境工程学报  2021, Vol. 43 Issue (6): 165-171   doi: 10.11835/j.issn.2096-6717.2021.070   PDF    
Fe(Ⅱ)活化亚硫酸盐降解卡马西平的动力学及机制研究
李阳 , 关小红 , 董红钰     
同济大学 环境科学与工程学院, 上海 200092
摘要:高级氧化技术是去除水中新型有机污染物的重要方法之一。研究Fe(Ⅱ)活化亚硫酸盐(Fe(Ⅱ)/亚硫酸盐)体系降解卡马西平(CBZ)的动力学及体系中活性氧化物种对CBZ降解的贡献。结果表明:当亚硫酸盐浓度由0.20 mmol/L增加至0.50 mmol/L时,反应20 min时Fe(Ⅱ)亚硫酸盐体系对CBZ的去除率不断增加,而进一步增加亚硫酸盐浓度时,卡马西平的去除率不再进一步增加。当反应初始pH值为3.0~7.0时,Fe(Ⅱ)/亚硫酸盐体系均可降解CBZ,在初始pH值为5.0时,此体系对CBZ的去除率最高,反应平衡时CBZ的去除率达87.3%。此外,铁盐中SO42-和Cl-对Fe(Ⅱ)/亚硫酸盐体系降解CBZ基本无影响。综合电子顺磁共振检测及淬灭剂实验的结果可知,Fe(Ⅱ)/亚硫酸盐体系中所产生的活性氧化物种包括硫酸根自由基(SO4-·)、羟基自由基(HO·)和过一硫酸根自由基(SO5-·),它们均对卡马西平的降解起贡献作用,其中SO4-·和HO·起主要贡献作用。
关键词亚铁    亚硫酸盐    硫酸根自由基    羟基自由基    新型有机污染物    卡马西平    
Kinetics and mechanism of carbamazepine degradation through activating sulfite by Fe(Ⅱ)
LI Yang , GUAN Xiaohong , DONG Hongyu     
College of Environment Science and Engineering, Tongji University, Shanghai 200092, P. R. China
Abstract: Advanced oxidation processes (AOPs) are one of the important methods to remove emerging organic contaminants in water. In this study, we investigated the degradation kinetics of carbamazepine (CBZ) during the activation of sulfite by Fe(Ⅱ) (Fe(Ⅱ)/sulfite system) and the contribution of reactive oxidative species to the degradation of CBZ in this process. The research results showed that the removal of CBZ at 20 min in the Fe(Ⅱ)/sulfite system increased with the concentration of sulfite increasing from 0.20 mmol/L to 0.50 mmol/L, while the removal of carbamazepine did not further increase with further increasing the sulfite concentration. CBZ could be degraded in the Fe(Ⅱ)/sulfite system over the initial pH (pHini) range of 3.0~7.0. The removal of CBZ at pHini 5.0 was the highest and was 87.3% at equilibrium. In addition, SO42- and Cl- in the Fe(Ⅱ) salt had no influence on the degradation of CBZ in the Fe(Ⅱ)/sulfite system. The results of electron paramagnetic resonance and quenching experiments showed that the reactive oxidative species in the Fe(Ⅱ)/sulfite system included sulfate radical (SO4-·), hydroxyl radical (HO·) and peroxymonosulfate radical (SO5-·), contributing to the degradation of CBZ, and the degradation of CBZ was mainly contributed by SO4-· and HO·.
Keywords: ferrous    sulfite    sulfate radical    hydroxyl radical    emerging organic contaminants    carbamazepine    

近年来,随着经济社会的快速发展,人工合成有机化合物的种类每年以惊人的速度增加,在这些有机化合物的生产、运输、使用及废弃过程中,人们的不当行为造成它们进入自然水体,导致大量的水源水受到新型有机污染物(Emerging organic contaminants,EOCs)的污染[1-2]。其中,卡马西平(carbamazepine,CBZ)是一种典型的抗癫痫药物,是水环境中最常见的EOCs之一[3-5]。全世界CBZ的年平均消耗量巨大,高达1 014 t[6],所消耗的CBZ大部分被排放到天然水体中。这些EOCs在水中的浓度低、种类多、性质复杂,传统的污水处理工艺及常规饮用水处理工艺难以将其去除。因此,为保障水环境安全,高级氧化技术越来越多地被引入到水污染物控制工艺中[7-8]

基于羟基自由基(HO·)和硫酸根自由基(SO4-·)的高级氧化技术是现有最主要的两类高级氧化技术。与HO·相比,SO4-·的氧化还原电位(2.5~3.1 V)更高[9]、适用pH值范围较宽(pH 2.0~8.0)[10]及氧化选择性更高,其与常见有机污染物的二级反应速率常数高达105~109 L/(mol·s)[9]。SO4-·的半衰期为30~40 μs,高于HO·的半衰期(低于1 μs),因此,SO4-·可更好地与水中的EOCs接触,从而发生反应[11]。另外,与HO·相比,SO4-·氧化EOCs时受水中背景物质如碱度和天然有机物的影响相对较小,使得其有效利用率更高[12]。因此,基于SO4-·的高级氧化技术受到广泛关注。

SO4-·主要是通过活化过二硫酸盐(PDS,S2O82-)和过一硫酸盐(PMS,HSO5-),使其过氧键断裂而产生。然而,过硫酸盐(PDS和PMS)成本高、具有慢性毒性,被活化产生SO4-·去除EOCs时,当EOCs被去除后,水中仍然残留较多的过硫酸盐,导致二次污染[13]。所以,研究者们开始关注将亚硫酸盐作为产生SO4-·的前驱物的可能性。与过硫酸盐相比,亚硫酸盐的成本更低、毒性更低。亚硫酸盐被活化产生SO4-·氧化污染物后,水中的亚硫酸盐无残留。常见活化亚硫酸盐的方法主要包括光活化、电活化和过渡金属(Fe(Ⅲ)、Fe(Ⅱ)、Co(Ⅱ)、Ce(Ⅳ)、Mn(Ⅱ)、MnO4-、FeO42-和Cr2O72-等)活化[14]。其中,Fe(Ⅱ)因为价格低廉、环境友好且安全无毒,是最常用的亚硫酸盐活化剂之一。已有研究者报道了Fe(Ⅱ)活化亚硫酸盐(Fe(Ⅱ)/亚硫酸盐体系)对水中酸性橙、双氯芬酸及氯霉素的去除效能[15-19]。然而,这些研究主要通过醇类(如甲醇和叔丁醇)的淬灭实验间接鉴定Fe(Ⅱ)/亚硫酸盐体系中产生的活性氧化物种,并没能直接检测到此体系中活性氧化物种的产生。

笔者以CBZ为目标污染物,考察不同亚硫酸盐浓度、Fe(Ⅱ)浓度和初始pH值条件下Fe(Ⅱ)/亚硫酸盐体系降解卡马西平的动力学,并采用电子顺磁共振光谱(EPR)检测和醇类(甲醇和叔丁醇)淬灭实验鉴定此体系中活性氧化物种的产生,以更加深入地理解Fe(Ⅱ)/亚硫酸盐体系的作用机制,为此体系在EOCs处理方面提供理论支撑。

1 材料与方法
1.1 材料和仪器
1.1.1 主要材料

七水合硫酸亚铁(分析纯)、甲酸(色谱纯)和乙腈(色谱纯)购于阿拉丁生物科技有限公司。亚硫酸钠、CBZ、叔丁醇、甲醇、氢氧化钠(NaOH)、硫酸(H2SO4)、氯化钠、氯化亚铁和硫代硫酸钠均为分析纯,购于国药集团化学试剂有限公司。5, 5-二甲基-1-吡咯啉-N-氧化物(DMPO、GC)购于同仁化学研究所。实验过程中,所有药品均未进行进一步纯化,并采用电阻率为18.2 MΩ·cm的Milli-Q超纯水配制储备溶液。

1.1.2 主要仪器

雷磁pH计(PHS-3C,上海精密科学仪器有限公司);超高效液相色谱仪(ACQUITY UPLC H-Class,美国waters公司);电子顺磁共振波谱仪(EMX plus 10/12,德国布鲁克公司);磁力搅拌器(78型,常州国华实验仪器厂);电子分析天平(T-214,Denver instrument factory);超纯水制备系统(Milli-Q Reference A+System,美国Millipore公司)。

1.2 实验方法

实验在室温、容量为250 mL的敞口烧杯中进行。主要步骤为:先将Fe(Ⅱ)与CBZ混合物配制成100 mL的溶液,使用H2SO4或NaOH调节溶液pH值至特定值,加入一定体积的亚硫酸钠(亚硫酸钠母液pH值已被调节至相同的pH值),立即计时,并在既定的时刻取样,将样品直接加入烧杯中,烧杯中已经提前加入100 μL硫代硫酸钠作为淬灭剂,然后将完全淬灭的样品用0.22 μm的醋酸纤维滤膜进行过滤,使用超高效液相色谱法测定CBZ的浓度。

为确保实验数据的可信性,所有实验均进行了平行实验。

1.3 分析方法

采用配有紫外-可见光检测器的超高效液相色谱仪(UPLC)测定CBZ的浓度。该UPLC使用BEH C18柱(2.1 mm×100 mm,1.7 μm),柱温(35±1)℃。在检测CBZ过程中,所使用的流动相种类及比例为水(含有1‰的甲酸)∶乙腈=50∶50,检测波长为286 nm,流速为0.22 mL/min。

采用电子顺磁共振(EPR)波谱仪分析Fe(Ⅱ)/亚硫酸盐体系中自由基种类。首先,在特定pH值条件下将亚硫酸钠溶液与Fe(Ⅱ)溶液混合反应,在相应时刻取样后,将样品立即加入到含有一定量DMPO的1 mL离心管中迅速混合。用毛细石英管吸取液体后,将毛细管放入EPR的谐振腔中进行检测。EPR仪器的运行参数为:中心场强3 350 Gs;扫频宽度100 Gs;波功率1.0 mW;调谐幅度0.30 Gs;扫描时间41.96 s。

2 结果与讨论
2.1 亚硫酸钠浓度和Fe(Ⅱ)浓度对Fe(Ⅱ)/亚硫酸盐体系降解CBZ动力学的影响

图 1为初始pH值为3.0时不同亚硫酸钠浓度和Fe(Ⅱ)浓度条件下Fe(Ⅱ)/亚硫酸盐体系降解CBZ的动力学。如图 1(a)所示,固定Fe(Ⅱ)浓度为0.10 mmol/L,当亚硫酸钠浓度由0.20 mmol/L增至1.0 mmol/L时,反应时间20 min时,Fe(Ⅱ)/亚硫酸盐体系对CBZ的去除率由65.0%增至76.0%,而当亚硫酸钠的浓度进一步增至1.5 mmol/L时,反应时间20 min时CBZ的去除率降至73.0%。这是因为过量的亚硫酸钠可与CBZ竞争Fe(Ⅱ)/亚硫酸盐体系中所产生的活性氧化物种。由图 1(b)可以看出,固定亚硫酸钠浓度为0.50 mmol/L,当Fe(Ⅱ)浓度分别为0.010、0.050、0.10 mmol/L时,反应时间为20 min时,Fe(Ⅱ)/亚硫酸盐体系对CBZ的去除率分别为63.7%、76.4%和74.2%。由此说明,Fe(Ⅱ)/亚硫酸盐体系对CBZ的去除情况与Fe(Ⅱ)浓度有关。需要注意的是,在相同条件下,单独Fe(Ⅱ)、Fe(Ⅲ)或亚硫酸盐对CBZ无降解作用[20]。综上,Fe(Ⅱ)/亚硫酸盐体系对CBZ的降解源于Fe(Ⅱ)与亚硫酸盐反应所产生的活性氧化物种。

图 1 亚硫酸钠浓度和Fe(Ⅱ)浓度对Fe(Ⅱ)/亚硫酸盐体系降解CBZ动力学的影响 Fig. 1 Influence of sodium sulfite concentration and Fe(Ⅱ) concentration on the kinetics of CBZ degradation in the Fe(Ⅱ)/sulfite system

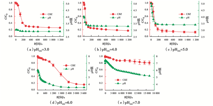
2.2 初始pH值对Fe(Ⅱ)/亚硫酸盐体系降解CBZ动力学的影响

当初始pH(pHini) >7.0时,Fe(Ⅱ)以Fe(OH)3的形式沉淀下来。当pHini<3.0时, 溶液中的亚硫酸盐主要以亚硫酸的形式存在,其反应活性低于亚硫酸氢根和亚硫酸根。因此,探究pHini为3.0~7.0条件下Fe(Ⅱ)/亚硫酸盐体系降解CBZ的效能。不同初始pH(pHini)条件下Fe(Ⅱ)/亚硫酸盐体系降解CBZ的动力学以及反应过程中溶液pH值的变化情况如图 2所示。由图 2可以看出,pHini为3.0~7.0条件下,Fe(Ⅱ)/亚硫酸盐体系对CBZ的去除随着反应时间的增加不断增加,到一定的反应时间不再继续增加,达到平衡。相应地,溶液的pH值随着反应时间的增加而不断减小,达到一定的时间逐渐稳定,即Fe(Ⅱ)/亚硫酸盐体系中生成的氢离子浓度逐渐增加,达到一定时间时,氢离子的浓度逐渐稳定。因此,Fe(Ⅱ)/亚硫酸盐体系对CBZ的降解伴随着氢离子浓度的增加,即卡马西平的降解与溶液pH值的降低随时间的变化规律相一致。pHini值对Fe(Ⅱ)/亚硫酸盐体系降解CBZ具有重要影响。当pHini为3.0、4.0及5.0时,Fe(Ⅱ)/亚硫酸盐体系对CBZ的降解均在反应20 min内达到平衡,反应时间为20 min时,Fe(Ⅱ)/亚硫酸盐体系对CBZ的去除率分别74.2%、82.9%和87.3%。pHini为4.0时,CBZ的降解速率高于pHini为3.0和5.0时CBZ的降解速率。然而,当pHini为6.0和7.0时,Fe(Ⅱ)/亚硫酸盐体系对CBZ的降解速率和去除率显著低于初始pH值3.0~5.0时。pHini为6.0时,Fe(Ⅱ)/亚硫酸盐体系对CBZ的降解在反应时间1 h内达到平衡,此时CBZ的去除率为83.9%。pHini为7.0时,Fe(Ⅱ)/亚硫酸盐体系对CBZ的降解在反应时间4.5 h内达到平衡,此时CBZ的去除率仅为19.0%。由此可以看出,酸性条件下Fe(Ⅱ)/亚硫酸盐体系对CBZ具有较好的降解效果。

图 2 不同初始pH值时Fe(Ⅱ)/亚硫酸盐体系降解CBZ动力学及反应过程中pH值的变化 Fig. 2 Kinetics of CBZ degradation and changes in pH during CBZ removal in Fe(Ⅱ)/sulfite system at different pHini

2.3 铁盐中SO42-和Cl-对Fe(Ⅱ)/亚硫酸盐体系降解CBZ的影响

为了进一步探究铁盐阴离子对Fe(Ⅱ)/亚硫酸盐体系降解CBZ的影响,考察了Fe(Ⅱ)分别以硫酸亚铁(FeSO4)和氯化亚铁(FeCl2)形式存在条件下Fe(Ⅱ)/亚硫酸盐体系降解CBZ的动力学情况。如图 3所示,FeSO4/亚硫酸盐体系降解CBZ的动力学曲线与FeCl2/亚硫酸盐体系降解CBZ的动力学曲线基本无差别。由此说明,铁盐中SO42-和Cl-对Fe(Ⅱ)/亚硫酸盐体系降解CBZ几乎无影响。

图 3 铁盐阴离子对Fe(Ⅱ)/亚硫酸盐体系降解CBZ的影响 Fig. 3 Effect of anion on the kinetics of CBZ degradation in the Fe(Ⅱ)/sulfite system

2.4 Fe(Ⅱ)/亚硫酸盐体系中活性氧化物种的生成情况

为了直接检测Fe(Ⅱ)/亚硫酸盐体系中所产生的自由基,当Fe(Ⅱ)与亚硫酸钠反应270 s时,向反应溶液中加入DMPO后进行检测,EPR谱图如图 4所示。Fe(Ⅱ)/亚硫酸盐体系中出现了含有4个特征峰的EPR谱图,其超精细耦合常数为αNβ-H=14.8 G,与文献[21]中报道的DMPO-HO·加合物的EPR谱图相一致。然而,并没有观察到DMPO-SO4-·加合物的EPR谱图,这并不能说明Fe(Ⅱ)/ 亚硫酸盐体系中无SO4-·。这是因为DMPO-SO4-·加合物易与水或者氢氧根离子发生亲核反应生成DMPO-HO·加合物[22-23],DMPO-SO4-·加合物在水中的半衰期只有95 s,而DMPO-HO·加合物的半衰期高达2.6 h[22, 24]。由此说明,DMPO-HO·加合物的产生不仅源于HO·与DMPO加合反应,还可能源于DMPO-SO4-·加合物的转化。研究表明,Fe(Ⅱ)/亚硫酸盐体系中自由基的产生机理为:Fe(Ⅱ)首先与亚硫酸盐形成Fe(Ⅱ)-亚硫酸盐络合物,Fe(Ⅱ)-亚硫酸盐络合物被氧气(O2)氧化生成Fe(Ⅲ)-亚硫酸盐络合物,Fe(Ⅲ)-亚硫酸盐络合物进一步生成Fe(Ⅱ)和亚硫酸根自由基(SO3-·),所生成SO3-·迅速与O2发生反应,生成过一硫酸根自由基(SO5-·),所生成的SO5-·与亚硫酸盐可以通过两个路径发生反应,分别生成过一硫酸根和(SO4-·)[25]。结合Fe(Ⅱ)/亚硫酸盐体系的EPR谱图(图 4),可以得出Fe(Ⅱ)/亚硫酸盐体系中产生了SO4-·。为了进一步明确Fe(Ⅱ)/亚硫酸盐体系是否产生HO·,考察此体系对HO·的探针化合物硝基苯(NB)的去除情况。在pHini为3.0时,Fe(Ⅱ)、亚硫酸钠和NB的浓度分别为0.10、0.50、0.005 0 mmol/L,反应时间为20 min时Fe(Ⅱ)/亚硫酸盐体系对NB的去除率达16.3%。由此说明Fe(Ⅱ)/亚硫酸盐体系产生了HO·。综上,Fe(Ⅱ)/亚硫酸盐体系产生了具有强氧化能力的SO4-·和HO·

图 4 Fe(Ⅱ)/亚硫酸盐体系的EPR谱图 Fig. 4 EPR spectrum obtained in the Fe(Ⅱ)/sulfite system

为探究Fe(Ⅱ)/亚硫酸盐体系中活性氧化物种对CBZ降解的贡献,分别考察甲醇和叔丁醇对此体系降解CBZ的影响。该方法是基于体系中产生的自由基物种与特定醇之间的反应性和反应速率的差异:HO·与甲醇的二级反应速率常数(7.8×108~1.0×109 L/(mol·s))比SO4-·与甲醇的二级反应速率常数(2.0×106~2.5×107 L/(mol·s))[9, 26]高一到两个数量级,而叔丁醇与HO·的二级反应速率常数(3.8×108~7.6×108 L/(mol·s))是叔丁醇与SO4-·的二级反应速率常数(4.0×105~9.1×105 L/(mol·s))的近1 000倍[9, 26]。同时,SO5-·与醇类的反应活性较低,它们之间的二级反应速率常数低于1×103 L/(mol·s)[9]。因此,可以根据甲醇和叔丁醇,对Fe(Ⅱ)/亚硫酸盐体系降解CBZ的抑制程度的不同来判断体系中产生的自由基物种。如图 5所示,加入过量的甲醇或叔丁醇均对Fe(Ⅱ)/亚硫酸钠体系降解CBZ具有显著抑制作用,且浓度相同的条件下甲醇对CBZ降解的抑制作用高于叔丁醇,说明SO4-·和HO·均对Fe(Ⅱ)/亚硫酸钠体系降解CBZ做出了贡献。同时,由于加入的过量甲醇和叔丁醇均未完全抑制Fe(Ⅱ)/亚硫酸钠体系对CBZ的降解,说明其他活性氧化物种对Fe(Ⅱ)/亚硫酸钠体系降解CBZ也做出了贡献,由Fe(Ⅱ)/亚硫酸盐体系中自由基的产生机理可知,该自由基为SO5-·。需要注意的是,SO3-·对CBZ无降解作用[20, 27]。综上,Fe(Ⅱ)/亚硫酸钠体系中产生的SO4-·、HO·和SO5-·均对CBZ的降解具有贡献作用。

图 5 甲醇(MeOH)和叔丁醇(TBA)对Fe(Ⅱ)/亚硫酸盐体系去除CBZ的影响 Fig. 5 Influence of methanol (MeOH) and tert-butanol (TBA) on the CBZ removal in the Fe(Ⅱ)/sulfite system

根据ck值来比较SO4-·和HO·对CBZ降解的贡献,其中,c是指所降解目标污染物(或淬灭剂)的浓度,k是指SO4-·和HO·与目标污染物(或淬灭剂)的二级反应速率常数。100 mmol/L的甲醇与HO·反应的ck值是5 μmol/L的CBZ与HO·反应的ck值的约1 773~2 273倍,100 mmol/L的甲醇与SO4-·反应的ck值是5 μmol/L的CBZ与SO4-·反应的ck值的约21~261倍,说明100 mmol/L甲醇足够淬灭Fe(Ⅱ)/亚硫酸盐体系中SO4-·和HO·的作用。因此,根据100 mmol/L甲醇对Fe(Ⅱ)/亚硫酸盐体系降解CBZ的抑制作用可以得出SO4-·和HO·对CBZ氧化的贡献,即Fe(Ⅱ)/亚硫酸盐体系中SO4-·和HO·对CBZ氧化的贡献为77.32%,相应的Fe(Ⅱ)/亚硫酸盐体系中SO5-·对CBZ氧化的贡献为22.67%。10 mmol/L的叔丁醇与HO·反应ck值是5 μmmol/L的CBZ与HO·反应的ck值约86~173倍,因此,10 mmol/L叔丁醇足够淬灭Fe(Ⅱ)/亚硫酸盐体系中HO·的作用。而10 mmol/L的叔丁醇与SO4-·反应的ck值仅是5 μmol/L的CBZ与SO4-·反应的ck值的约1.05~2.4倍,这说明10 mmol/L叔丁醇不能淬灭Fe(Ⅱ)/亚硫酸盐体系中SO4-·的作用。因此,10 mmol/L的叔丁醇能够用来区分Fe(Ⅱ)/亚硫酸盐体系中SO4-·和HO·对CBZ氧化的贡献。因此,可以得到Fe(Ⅱ)/亚硫酸盐体系中SO4-·、HO·和SO5-·对CBZ降解的贡献分别为28.30%、49.02%和22.67%。这些结果说明HO·和SO4-·是Fe(Ⅱ)/亚硫酸盐体系降解CBZ的主要活性氧化剂,而SO5-·对CBZ的氧化也有重要贡献。

3 结论

根据Fe(Ⅱ)/亚硫酸钠体系中亚硫酸钠浓度和Fe(Ⅱ)浓度、初始pH及铁盐阴离子对CBZ降解动力学的影响及利用EPR检测和淬灭剂实验对Fe(Ⅱ)/亚硫酸钠体系降解CBZ过程中产生的活性氧化物种的分析结果,可得到以下结论:

1) Fe(Ⅱ)/亚硫酸钠体系对CBZ的降解动力学与亚硫酸钠和Fe(Ⅱ)的浓度有关,适量的亚硫酸钠和Fe(Ⅱ)有利于CBZ的去除,而过量的亚硫酸钠会与CBZ竞争Fe(Ⅱ)/亚硫酸盐体系中所产生的活性氧化物种,导致CBZ去除率降低。

2) 酸性条件下Fe(Ⅱ)/亚硫酸盐体系对CBZ具有较好的降解效果。pHini为5.0时,反应平衡时Fe(Ⅱ)/亚硫酸盐体系对CBZ的去除率最高。

3) 铁盐中SO42-和Cl-对Fe(Ⅱ)/亚硫酸盐体系降解CBZ基本无影响。

4) EPR检测及淬灭剂实验表明,Fe(Ⅱ)/亚硫酸钠体系中产生的活性氧化物种包括SO4-·、HO·和SO5-·,它们均对CBZ的降解起贡献作用,其中SO4-·和HO·起主要贡献。

参考文献
[1]
汪琪, 张梦佳, 陈洪斌. 水环境中药物类PPCPs的赋存及处理技术进展[J]. 净水技术, 2020, 39(1): 43-51.
WANG Q, ZHANG M J, CHEN H B. Review on occurrence and treatment technology of PPCPs in water environment[J]. Water Purification Technology, 2020, 39(1): 43-51. (in Chinese)
[2]
杨先海, 刘会会, 刘济宁, 等. 国外环境内分泌干扰物管控现状及我国的对策[J]. 生态与农村环境学报, 2018, 34(2): 104-113.
YANG X H, LIU H H, LIU J N, et al. Status quo of management of endocrine disrupting chemicals in abroad and corresponding strategies for China[J]. Journal of Ecology and Rural Environment, 2018, 34(2): 104-113. (in Chinese)
[3]
YUAN X, LI S Y, HU J T, et al. Experiments and numerical simulation on the degradation processes of carbamazepine and triclosan in surface water: A case study for the Shahe Stream, South China[J]. Science of the Total Environment, 2019, 655: 1125-1138. DOI:10.1016/j.scitotenv.2018.11.290
[4]
ANDREOZZI R, MAROTTA R, PINTO G, et al. Carbamazepine in water: Persistence in the environment, ozonation treatment and preliminary assessment on algal toxicity[J]. Water Research, 2002, 36(11): 2869-2877. DOI:10.1016/S0043-1354(01)00500-0
[5]
KLAVARIOTI M, MANTZAVINOS D, KASSINOS D. Removal of residual pharmaceuticals from aqueous systems by advanced oxidation processes[J]. Environment International, 2009, 35(2): 402-417. DOI:10.1016/j.envint.2008.07.009
[6]
ZHANG Y J, GEISSEN S U, GAL C. Carbamazepine and diclofenac: Removal in wastewater treatment plants and occurrence in water bodies[J]. Chemosphere, 2008, 73(8): 1151-1161. DOI:10.1016/j.chemosphere.2008.07.086
[7]
王超, 姚淑美, 彭叶平, 等. 高级氧化法处理抗生素废水研究进展[J]. 化工环保, 2018, 38(2): 135-140.
WANG C, YAO S M, PENG Y P, et al. Research progresses on treatment of antibiotics wastewater by advanced oxidation process[J]. Environmental Protection of Chemical Industry, 2018, 38(2): 135-140. (in Chinese) DOI:10.3969/j.issn.1006-1878.2018.02.002
[8]
赵霞, Bakhrom Ismoilov, 李亚斌, 等. 污水高级氧化技术的研究现状及其新进展[J]. 水处理技术, 2018, 44(4): 7-10, 16.
ZHAO X, BAKHROM I, LI Y B, et al. Research status and new progress of advanced oxidation technology for wastewater treatment[J]. Technology of Water Treatment, 2018, 44(4): 7-10, 16. (in Chinese)
[9]
NETA P, HUIE R E, ROSS A B. Rate constants for reactions of inorganic radicals in aqueous solution[J]. Journal of Physical and Chemical Reference Data, 1988, 17(3): 1027-1284. DOI:10.1063/1.555808
[10]
ANIPSITAKIS G P, DIONYSIOU D D. Degradation of organic contaminants in water with sulfate radicals generated by the conjunction of peroxymonosulfate with cobalt[J]. Environmental Science & Technology, 2003, 37(20): 4790-4797.
[11]
OLMEZ-HANCI T, ARSLAN-ALATON I. Comparison of sulfate and hydroxyl radical based advanced oxidation of phenol[J]. Chemical Engineering Journal, 2013, 224: 10-16. DOI:10.1016/j.cej.2012.11.007
[12]
LUTZE H V, BIRCHER S, RAPP I, et al. Degradation of chlorotriazine pesticides by sulfate radicals and the influence of organic matter[J]. Environmental Science & Technology, 2015, 49(3): 1673-1680.
[13]
赵文莉, 王广智, 弋凡, 等. 过硫酸盐活化技术的研究进展[J]. 现代化工, 2018, 38(7): 53-56.
ZHAO W L, WANG G Z, YI F, et al. Research progress on persulfate activation technology[J]. Modern Chemical Industry, 2018, 38(7): 53-56. (in Chinese)
[14]
ZHOU D N, CHEN L, LI J J, et al. Transition metal catalyzed sulfite auto-oxidation systems for oxidative decontamination in waters: A state-of-the-art minireview[J]. Chemical Engineering Journal, 2018, 346: 726-738. DOI:10.1016/j.cej.2018.04.016
[15]
CHEN L, PENG X Z, LIU J H, et al. Decolorization of orange Ⅱ in aqueous solution by an Fe(Ⅱ)/sulfite system: Replacement of persulfate[J]. Industrial & Engineering Chemistry Research, 2012, 51(42): 13632-13638.
[16]
ZHANG L, CHEN L, XIAO M, et al. Enhanced decolorization of orange Ⅱ solutions by the Fe(Ⅱ)-sulfite system under xenon lamp irradiation[J]. Industrial & Engineering Chemistry Research, 2013, 52(30): 10089-10094.
[17]
ZHOU D N, CHEN L, ZHANG C B, et al. A novel photochemical system of ferrous sulfite complex: Kinetics and mechanisms of rapid decolorization of acid orange 7 in aqueous solutions[J]. Water Research, 2014, 57: 87-95. DOI:10.1016/j.watres.2014.03.016
[18]
WANG H B, WANG S X, LIU Y Q, et al. Degradation of diclofenac by Fe(Ⅱ)-activated bisulfite: Kinetics, mechanism and transformation products[J]. Chemosphere, 2019, 237: 124518. DOI:10.1016/j.chemosphere.2019.124518
[19]
CHEN X Y, MIAO W, YANG Y L, et al. Aeration-assisted sulfite activation with ferrous for enhanced chloramphenicol degradation[J]. Chemosphere, 2020, 238: 124599. DOI:10.1016/j.chemosphere.2019.124599
[20]
DONG H Y, WEI G F, YIN D Q, et al. Mechanistic insight into the generation of reactive oxygen species in sulfite activation with Fe(Ⅲ) for contaminants degradation[J]. Journal of Hazardous Materials, 2020, 384: 121497. DOI:10.1016/j.jhazmat.2019.121497
[21]
ZAMORA P L, VILLAMENA F A. Theoretical and experimental studies of the spin trapping of inorganic radicals by 5, 5-dimethyl-1-pyrroline N-oxide (DMPO). 3. sulfur dioxide, sulfite, and sulfate radical anions[J]. The Journal of Physical Chemistry A, 2012, 116(26): 7210-7218. DOI:10.1021/jp3039169
[22]
DAVIES M J, GILBERT B C, STELL J K, et al. Nucleophilic substitution reactions of spin adducts. Implications for the correct identification of reaction intermediates by EPR/spin trapping[J]. Journal of the Chemical Society, Perkin Transactions 2, 1992(3): 333. DOI:10.1039/p29920000333
[23]
TIMMINS G S, LIU K J, BECHARA E J H, et al. Trapping of free radicals with directin vivo EPR detection: A comparison of 5, 5-dimethyl-1-pyrroline-N-oxide and 5-diethoxyphosphoryl-5-methyl-1-pyrroline-N-oxide as spin traps for HO· and SO4-·[J]. Free Radical Biology and Medicine, 1999, 27(3/4): 329-333.
[24]
FINKELSTEIN E, ROSEN G M, RAUCKMAN E J. Spin trapping of superoxide and hydroxyl radical: Practical aspects[J]. Archives of Biochemistry and Biophysics, 1980, 200(1): 1-16. DOI:10.1016/0003-9861(80)90323-9
[25]
ZHANG Y, ZHOU J T, LI C Y, et al. Reaction kinetics and mechanism of iron(Ⅱ)-induced catalytic oxidation of sulfur(Ⅳ) during wet desulfurization[J]. Industrial & Engineering Chemistry Research, 2012, 51(3): 1158-1165.
[26]
BUXTON G V, GREENSTOCK C L, HELMAN W P, et al. Critical review of rate constants for reactions of hydrated electrons, hydrogen atoms and hydroxyl radicals (HO·/·O-in aqueous solution[J]. Journal of Physical and Chemical Reference Data, 1988, 17(2): 513-886. DOI:10.1063/1.555805
[27]
DONG H Y, CHEN J, FENG L Y, et al. Degradation of organic contaminants through activating bisulfite by cerium(Ⅳ): A sulfate radical-predominant oxidation process[J]. Chemical Engineering Journal, 2019, 357: 328-336. DOI:10.1016/j.cej.2018.09.024