土木与环境工程学报  2022, Vol. 44 Issue (5): 118-127   doi: 10.11835/j.issn.2096-6717.2020.201   PDF    
不同瓣型荞麦壳加筋黄土的强度特性
雷胜友 , 文晓灿     
长安大学 公路学院,西安 710064
摘要:为了探索植物壳生态加筋土的强度特性,进行了荞麦壳加筋黄土的剪切试验研究。首先,进行了荞麦壳和黄土的基本性质试验,然后,将荞麦壳分瓣,按一定的干土质量比将分瓣好的荞麦壳添加到配好的湿土中,击实成样,进行直剪试验。试验结果表明:荞麦壳加筋黄土的剪应力-剪切位移曲线的变化规律与素土相似; 荞麦壳加筋后土的强度有明显提高,最大提高23%;加筋后土的内摩擦角有很大提高,最大提高了6.13°,而黏聚力则有不同程度降低,其降低值不超过8 kPa; 只有当荞麦壳的加筋率大于某百分比时,荞麦壳加筋土的强度才大于素土,该百分比与荞麦壳的分瓣情况有关。对于荞麦壳加筋材料,存在一个界限加筋率,当加筋率小于界限加筋率时,荞麦壳起作用所需的剪切位移基本上随垂直压力而增大,当加筋率大于界限加筋率时,荞麦壳起作用所需的剪切位移随垂直压力的增大而减小,该界限值也与荞麦壳的分瓣情况有关。比较而言,天然荞麦壳和两瓣型荞麦壳作为加筋材料更合适。
关键词生态加筋土    荞麦壳    瓣型    包裹作用    分隔作用    内摩擦角    
Experimental study on the strength characteristics of reinforced loess with different petal-shaped buckwheat husks
LEI Shengyou , WEN Xiaocan     
Highway School, Chang'an University, Xi'an 710064, P.R. China
Abstract: In order to explore the strength characteristics of ecologically reinforced soil with plant shells, the authors conducted a series shear test study on the loess reinforced with different petal-shaped buckwheat husks. First, we carried out the tests on the basic properties of buckwheat husks and loess, and then divided the buckwheat husks, added the divided the buckwheat husks to the soil according to a certain mass ratio of buckwheat husks to dry soil, compacted them into specimens, and carried out direct shear tests. The research results showed that the change law of shear stress-shear displacement curve of buckwheat husk reinforced loess is basically the similar to that of plain soil. The strength of the soil reinforced with buckwheat husks has been significantly improved, with a maximum increase of 23%. In terms of strength indicators, the main manifestation is that after reinforcement, the angle of internal friction of the soil has been greatly improved, with the maximum increase of 6.13°, while the cohesion has decreased to varying degrees, but the decrease is not much, within 8 kPa. It was also found that when the addition rate of buckwheat husk is greater than a certain percentage, the strength of buckwheat husk reinforced soil is greater than that of plain soil, and the percentage was related to the splitting of buckwheat husk. When the buckwheat husk is used as a reinforced material, there is a limit reinforcement rate. When the reinforcement rate is less than the limit reinforcement rate, the shear displacement required for the buckwheat husk to function generally increases with the increase of the vertical pressure.When the reinforcement ratio is greater than the limit reinforcement ratio, the shear displacement required for the buckwheat husk to function roughly decreases with the increase of the vertical pressure, the limit value is also related to the splitting of the buckwheat husk.In comparison, natural buckwheat husks and two-petal buckwheat husks are more suitable as reinforcing materials.
Keywords: ecological reinforced soil    buckwheat husk    petal type    wrapping    separation    angle of internal friction    

自法国工程师发明加筋土以来,土工加筋技术因具有多种优点而风靡全球。然而,随着人们环保意识的进一步加强,绿色环保、低碳经济的生态建筑日益成为人们期盼的生活家园,而生态加筋土工程则是其中一项重要的基础设施。随着城市化建设的进一步推进,广大的农村逐步城市化,生态加筋土工程的修筑会日益增多,需求量会逐步加大,其应用前景非常广阔。

历史上的生态加筋土工程最早可追溯到秦代,例如,古长城西段就是用姜石、草根、荆条等加土夯实而成,又如,剑门关的土桥也属生态加筋工程。时至今日,这些古代的生态加筋土工程仍然焕发着勃勃生机。在现代化的今天,生态加筋土工程更多,如草皮护坡、植物根须加固土坡、草皮防风固沙等。土的强度问题一直是世界上研究的热点问题,加筋土也不例外[1-8]。在生态加筋土强度的研究方面,既有针对坡面浅层植草加固土现场取样进行的室内试验[9],也有针对狗尾草草根加筋粉质黏土[10]、地毯草根系加筋褐色黏土[11]、刺槐根系加筋黄土[12]等室内制样,进行的剪切试验。所有研究都表明,植物根须对被加固土体提供了附加围压作用,表现为加固后土体强度的提高。近几年,也有不少学者进行了麦秸秆加筋土的强度特性研究[13-14],研究表明,加筋后土的黏聚力提高了。

中国每年有大量的麦壳、稻壳、荞麦壳、花生壳等植物壳被丢弃,甚至焚烧,造成环境污染。如果变废为宝,将这些绿色的天然材料用于土木工程建设,形成荞麦壳加筋土基、麦壳加筋土路堤、稻壳加筋土挡墙等,既对土体起到了加筋作用,又可充分利用这些农产品废弃物,两全其美,也为实现装配式路基工程寻找到一条新的途径。但目前关于植物壳加筋土的研究还开展得不多,尤其是这些植物壳能否作为加筋材料以及作为加筋材料添加后土体强度提高的程度,关于这方面的研究较少,甚至还是空白;由于这些壳的特殊结构,对所形成的加筋土与传统加筋土的不同之处也鲜有报道。为此,笔者以荞麦壳为例,进行植物壳类加筋土的剪切试验研究,旨在揭示荞麦壳加筋黄土的应力-变形及强度特性,拓宽加筋材料的来源范围,为植物壳类加筋土的工程应用积累规律性资料。

1 试验材料、试样制备及试验方法

试验用土取自长安大学南院家属区基坑开挖出来的黄土(见图 1(a)),风干黄土的含水率为6.02%,比重为2.72,液限WL为30.10%,塑限WP为20.93%。进行轻型击实试验,击实试验成果为:最大干密度ρd max=1.741 g/cm3,最优含水量Wopt=18.9%。试验采用最优含水量配土,压实系数取0.95,击实成样,试样尺寸为φ6.18 cm×2 cm。在直剪仪中进行快剪试验。

图 1 试验所用材料 Fig. 1 Materials used in the test

加筋材料取自陕北某地的荞麦,经脱壳后形成荞麦壳(见图 1(b)),即为天然荞麦壳,含有少量的壳屑以及不完整荞麦壳等,颜色呈咖啡色。完整的荞麦壳为三瓣,质地坚硬,近似呈微开状或封闭状。外观尺寸为:长度5~6.5 mm,平均长度5.77 mm;宽、高大致相等,尺寸3.5~6 mm,平均值4.636 mm。壳的厚度0.11~0.269 mm,平均厚度约0.158 mm。

用于研究的荞麦壳多孔介质混合材料在自然松散状态下密度为0.115 2 g/cm3(按一个环刀容积计算,环刀容积为59.992 cm3),经室内剪切试验测定,摩阻系数tan φ为0.389 1,相应的内摩擦角φ为21.26°,黏聚力c为8.246 kPa;在试样上、下垫上多层滤纸,经测定,摩阻系数tan φ为0.371 8,相应的内摩擦角φ为20.40°,黏聚力c为13.656 kPa;按两个环刀容积的荞麦壳质量计算,其密度为0.109 8 g/cm3,在试样上、下垫上经过预压的硬纸片,经测定,其摩阻系数tan φ为0.337 2,相应的内摩擦角φ为18.63°,黏聚力为9.07 kPa。

如果考虑荞麦壳松散介质的抗拉强度,按c×cot φ计算,则可以粗略估算出荞麦壳散体介质的抗拉强度分别为21.194、36.72、26.904 kPa; 若按2c×tan(45°-φ/2)计算,则可粗略估算出在极限状态下荞麦壳散体介质的抗拉强度分别为11.280、18.982、13.027 kPa。可以看出,按前一种方法估算出的荞麦壳散体的抗拉强度值很大,按极限状态估算出的值又偏小,前者的值基本上是后者的两倍。对于前一种方法,主要是在受拉状态下荞麦壳松散介质的强度线不是直线,按直线型计算,则结果偏大。

由于单个荞麦壳几何上的特殊性,以目前的试验条件,还无法进行荞麦壳材质的抗拉强度试验。但对于土力学研究而言,重点关注的是剪切强度,故在研究中关注更多的是荞麦壳多孔介质粒团的宏观效果,所以,荞麦壳散体的剪切强度是研究的重点。

荞麦壳属易燃物,故一般与湿土搅拌在一起,经夯实形成土工构筑物。在内蒙古等地,就是将植物壳与含一定水量的湿土拌和,填埋在挖好的基坑内,夯实之后即形成建筑地基。古长城西段以及剑门关的土桥经千年而不垮,也说明在干旱环境下,埋在土内的植物壳与外界环境相隔离,避免了氧化、老化等问题,不会发生腐烂变质,所以,作为加筋材料,荞麦壳不需要做防腐处理,只要做好防排水即可。在现代化的土木工程施工过程中,一般采用机械拌和填料。如果将荞麦壳与土一起采用机械拌和,形成的荞麦壳加筋土是均匀的。如果将荞麦壳作为加筋材料,用于支挡结构、装配式路基的工业化快速施工,必将显示出广阔的应用前景。

笔者除了给土中添加天然荞麦壳外,还添加了不同瓣型的荞麦壳,即通过手工方法将荞麦壳掰成2瓣、1瓣,形成2瓣型、1瓣型荞麦壳(见图 1(c)),同时,将2瓣、1瓣按2∶1的数量比混合成“2瓣+1瓣”型荞麦壳,以观察不同瓣型荞麦壳的加筋效果。

将荞麦壳按干土质量的0.1%~2.0%添加到配好的湿土中,混合均匀后,击实成样,立即进行快剪试验。

2 试验结果及分析

试验结果主要反映为以下关系曲线:

1) 黄土的剪应力-剪切位移关系曲线。

2) 天然荞麦壳加筋土的剪应力-剪切位移关系曲线。

3) 相对于素土,加筋土强度提高的百分比随垂直压力变化的关系曲线。

4) 加筋材料起作用所需的剪切位移随垂直压力变化的关系曲线。

5) 加筋土的强度指标随加筋率的变化关系曲线。

2.1 荞麦壳加筋土的剪切应力-剪切位移曲线及强度提高的百分比

图 2所示的黄土的剪应力-剪切位移曲线可以看出,以垂直压力相区分,剪应力-剪切位移曲线层次分明,随着垂直压力的增大,每条曲线逐次升高,由应变软化型逐渐变化为应变硬化型。其中,在开始阶段,垂直压力为50 kPa的剪应力-剪切位移曲线,随着剪切位移的增加剪应力增加较快,随后剪应力增加较慢,并逐渐达到最大值(约为63.5 kPa),随后又下降,最终趋于一个确定的残余值(约为51.1 kPa),整个曲线表现为明显的应变软化型。垂直压力为100 kPa的剪应力-剪切位移曲线与前者稍有不同,达到峰值(约为88.5 kPa)后稍有下降,曲线为弱应变软化型。垂直压力为200、300 kPa的曲线表现与前两者完全不同,曲线经过快速发展阶段后,随着剪切位移的发展,剪应力均有缓慢增大,未出现应力峰值,曲线表现为应变硬化型。

图 2 黄土的剪应力-剪切位移曲线 Fig. 2 Shear stress-shear displacement curve of loess

对于加筋土,现以加筋率为1.5%的天然荞麦壳加筋土的剪应力-剪切位移曲线为例进行分析,如图 3所示。由图 3可以看出,荞麦壳加筋黄土的剪应力-剪切位移曲线的发展规律与素土基本相同,但加筋土的剪应力比对应的素土有明显提高,其强度提高的百分比R分别为:50 kPa:11.6%;100 kPa:13.6%;200 kPa:19.1%;300 kPa:17.8%。若以加筋率相区分,将以上数据对绘成曲线,如图 4所示。由图 4可以看出,在垂直压力为200 kPa处,加筋率为1.3%时的强度提高最大,提高的百分比约为22%,其次是加筋率为0.8%和1.5%。垂直压力为50 kPa,加筋率为0.1%、0.3%、0.6%时,加筋土的强度均低于素土;加筋率大于0.6%时,加筋土的强度才大于素土;在其他垂直压力下,当加筋率为0.1%、0.3%时,加筋后强度提高的百分率均小于5%,当加筋率大于0.6%时,加筋的效果才比较显著,加筋土的强度较素土提高很多。

图 3 天然荞麦壳加筋黄土的剪切应力-剪切位移曲线(m=1.5%) Fig. 3 Shear stress-shear displacement curve of natural buckwheat hull reinforced loess

图 4 天然荞麦壳加筋土强度提高的百分比与垂直压力的关系曲线 Fig. 4 Relationship curve between the percentage of strength increase of natural buckwheat hull reinforced soil and vertical pressure

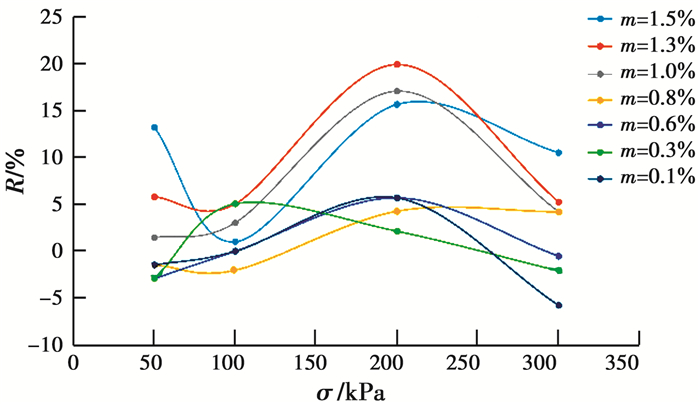
图 5可以看出,2瓣型荞麦壳加筋土强度提高的百分率随垂直压力的变化规律与天然荞麦壳加筋土类似。通过数值对比可以发现,仅在垂直压力为50、100 kPa、加筋率为0.1%和0.3%的情形下,加筋土的强度低于素土,其余情况下,加筋土的强度皆大于素土。纵观全图,可以看出,垂直压力100 kPa处成为大部分曲线的谷底点,而垂直压力200 kPa处则成为大部分曲线的峰值点;加筋率为1.5%时,加筋土强度提高最大,约为23%,加筋率为1.3%时次之。当加筋率为1.5%、1.3%、0.6%时,3条曲线都没有峰值点,说明随着垂直压力的进一步增大,加筋土的强度还会不断增大。从提高的百分比看,2瓣型荞麦壳的加筋效果要比天然荞麦壳稍好些。

图 5 2瓣型荞麦壳加筋土强度提高的百分比与垂直压力的关系 Fig. 5 The relationship curve between the percentage increase of the strength of the 2-petal buckwheat hull reinforced soil and the vertical pressure

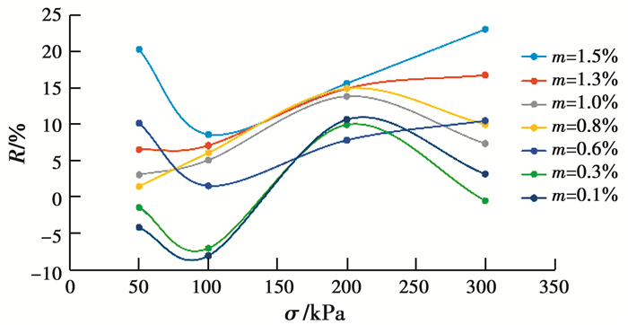
图 6可以看出,对于“1瓣+2瓣”型荞麦壳加筋土,所有曲线峰值点都在200 kPa处,加筋率为1.5%时,加筋土强度提高最多,提高的百分比约为18.4%;当垂直压力为50、100、300 kPa,加筋率为0.1%、0.3%时,以及垂直压力为100 kPa,加筋率为0.6%、0.8%时,加筋土的强度都低于素土;而当加筋率大于0.8%时,加筋土的强度才大于素土。

图 6 “1瓣+2瓣”型荞麦壳加筋土强度提高的百分比与垂直压力的关系 Fig. 6 Relationship between the percentage increase of "1 petal + 2 petal" buckwheat hull reinforced soil strength and vertical pressure

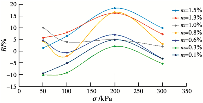
图 7可以看出,对于1瓣型荞麦壳加筋土,从加筋土强度提高的百分比看,只有当加筋率大于0.8%的情况下,加筋土的强度才大于素土,曲线的峰值在垂直压力为200 kPa处;加筋率为1.3%时,加筋土强度提高的百分比最大,约为20%。当垂直压力为50、100 kPa、加筋率为0.1%、0.3%、0.6%、0.8%,以及垂直压力为300 kPa、加筋率为0.1%、0.3%、0.6%时,加筋土的强度都低于素土。

图 7 1瓣型荞麦壳加筋土强度提高的百分比与垂直压力的关系 Fig. 7 Relationship between the percentage increase of the strength of 1 petal buckwheat hull reinforced soil and vertical pressure

进一步分析可以发现:对于天然荞麦壳加筋土和2瓣型荞麦壳加筋土,当加筋率大于0.6%时,加筋土的强度大于素土,加筋的效果才比较明显。当加筋率为1.3%时,天然型荞麦壳加筋土强度提高最大,约22%;当加筋率为1.5%时,2瓣型荞麦壳加筋土的强度提高最大,约23%。对于“1瓣+2瓣”型荞麦壳加筋土和1瓣型荞麦壳加筋土,当加筋率大于1.0%时,加筋土的强度才大于素土,加筋的效果才比较明显。当加筋率为1.5%时,“1瓣+2瓣”型荞麦壳加筋土强度提高最大,约18.4%;当加筋率为1.3%时,1瓣型荞麦壳加筋土强度提高最大,约20%。

由此可见,可以将加筋材料可分为两大组,即天然荞麦壳和2瓣型荞麦壳为一组,1瓣型荞麦壳和“1瓣+2瓣”型荞麦壳为另一组,前一组的加筋效果要好于后一组。在同一组中,2瓣型荞麦壳与天然荞麦壳的加筋效果几乎不相上下,1瓣型荞麦壳稍好于“1瓣+2瓣”型荞麦壳。

2.2 加筋材料开始起作用的剪切位移

将加筋土的剪应力-剪切位移曲线与素土的剪应力-剪切位移曲线绘制在一起,如图 8所示。从图 8可以看出,当垂直压力为200 kPa时,加筋土和素土的应力变形曲线都表现为明显的应变硬化型。在开始阶段,加筋土的应力变形曲线与素土重合,当剪切位移大于0.275 mm后,两条曲线不再重合,加筋土的应力变形曲线在素土之上,表明加筋后土体的强度提高了。两条曲线分叉处对应的剪切位移称为加筋材料开始起作用的剪切位移,用Lcr表示,Lcr的意义在于,大于该剪切位移时,加筋材料才起作用,加筋土的剪切应力才大于素土。

图 8 加筋土与素土剪切应力-剪切位移曲线比较(σ=200 kPa) Fig. 8 Comparison of shear stress-shear displacement curve between reinforced soil and plain soil

统计4种瓣型荞麦壳加筋土的Lcr值,得到Lcr随垂直压力变化的关系曲线,如图 9所示。

图 9 加筋材料开始起作用的剪切位移与垂直压力的关系曲线 Fig. 9 The relationship between the shear displacement required for the reinforced material to take effect and the vertical pressure

图 9(a)可以看出,当加筋率为0.1%时,除个别点变化异常外,曲线的变化规律大致为:加筋材料起作用所需的剪切位移随着垂直压力的增大而增大,说明在垂直压力较小时,加筋材料起作用较早些,而在垂直压力较大时,加筋材料起作用较晚。换句话说,当垂直压力较小时,较小的剪切变形即可使加筋材料发挥加筋作用,并显示出加筋效果,而当垂直压力较大时,则需要较大的剪切变形才能使加筋材料发挥加筋作用。由此可见,垂直压力越大,加筋材料起作用所需的剪切位移越大。

图 9(b)可以看出,当加筋率为0.3%时,对于“1瓣+2瓣”型和2瓣型荞麦壳加筋土,曲线的变化规律均为,垂直压力越大,加筋起作用所需的剪切位移越大。对于天然荞麦壳加筋土,曲线表现为垂直压力越大,加筋起作用所需的剪切位移越小。除垂直压力为100 kPa处异常外,1瓣型荞麦壳加筋土曲线的变化规律同天然荞麦壳加筋土相似。

图 9(c)可知,当加筋率为0.6%时,对于天然荞麦壳和“1瓣+2瓣”型荞麦壳加筋土,其曲线的变化规律为:垂直压力越大,加筋起作用所需的剪切位移越大;对于1瓣型荞麦壳加筋土,曲线的表现形式出两头大、中间小,100 kPa处为曲线的最低点。当垂直压力大于100 kPa后,随着垂直压力的增大,加筋起作用所需的剪切位移增大。而对于2瓣型荞麦壳加筋土,其曲线的表现形式与1瓣型荞麦壳加筋土相同,只是最低点在200 kPa处。

图 9(d)可以看出,当加筋率为0.8%时,对于1瓣型荞麦壳加筋土,曲线的变化规律为,垂直压力越大,加筋起作用所需的剪切位移越大;对于天然荞麦壳和“1瓣+2瓣”型荞麦壳加筋土,曲线表现出两头大、中间小的特点,即除了垂直压力为50 kPa处的剪切位移较大外,曲线大致表现为垂直压力越大,加筋起作用所需的剪切位移越大;对于2瓣型荞麦壳加筋土,其曲线的变化特点与天然荞麦壳加筋土类似,只是曲线随垂直压力的变化更平缓些。

图 9(e)可知,当加筋率为1%时,对于2瓣型和1瓣型荞麦壳加筋土,曲线表现出两头大、中间小的特点,即除了垂直压力为50 kPa处的剪切位移较大外,曲线大致表现为,垂直压力越大,加筋起作用所需的剪切位移越大;对于天然荞麦壳和“1瓣+2瓣”型荞麦壳加筋土,其曲线的变化特点为,垂直压力为50 kPa处所需要的剪切位移最大,100 kPa处成为曲线的最低点,200 kPa处成为曲线的峰值点,随后曲线下降。

图 9(f)所示,当加筋率为1.3%时,所有曲线皆表现为在50 kPa处所需的剪切位移最大。对于天然荞麦壳和“1瓣+2瓣”型荞麦壳加筋土,当垂直压力大于100 kPa后,曲线的变化规律为:垂直压力越大,加筋起作用所需的剪切位移越大;对于2瓣型和1瓣型荞麦壳加筋土,曲线的变化特点为,随着垂直压力的增大,加筋发挥作用所需的剪切位移一直减小。

图 9(g)所示,当加筋率为1.5%时,对于天然型荞麦壳加筋土,其曲线的变化规律为,垂直压力越大,加筋起作用所需剪切位移越大;对于1瓣型荞麦壳加筋土,曲线除了在100 kPa处跳跃外,总体表现为,随着垂直压力的增大,加筋发挥作用所需的剪切位移一直减小。

对于“1瓣+2瓣”型和2瓣型荞麦壳加筋土,其曲线的变化规律同天然型荞麦壳加筋土正好相反,即垂直压力越大,加筋起作用所需的剪切位移越小,而2瓣型荞麦壳加筋土的曲线变化相对比较缓和。

当加筋率为2%时,最终只制成了天然荞麦壳加筋土样。从图 9(h)可以看出,曲线的变化特点为,在50 kPa处所需的剪切位移最大,随着垂直压力的增大,加筋起作用所需的剪切位移减小,当垂直压力达到200 kPa时,所需的剪切位移达到最小值,随着垂直压力的增大,所需剪切位移增大。曲线总的变化规律为,垂直压力越大,加筋起作用所需的剪切位移越小。

由此可见,当加筋材料为天然荞麦壳,加筋率小于2%时,除了垂直压力较小时,加筋起作用所需的剪切位移较大外,大部分曲线大致规律为,垂直压力越大,加筋起作用所需的剪切位移越大,当加筋率为2%时,曲线的发展规律虽然较复杂,但总体趋势是,随着垂直压力的增大,加筋起作用所需的剪切位移在减小,可见加筋率2%是分界点。当荞麦壳为其他瓣型时,也按分界点加筋率将曲线分为两种不同的变化形式,其分界点加筋率分别为,“1瓣+2瓣”型1.3%;2瓣型和1瓣型1%。

2.3 荞麦壳加筋土的强度指标随加筋率的变化规律

所得荞麦壳加筋土的强度指标皆为表观强度指标,该强度指标随加筋率m的变化规律如图 10所示。从图 10(a)可以看出,天然荞麦壳加筋土的内摩擦角随着加筋率的增大而增大,近似呈直线变化,其变化关系可表示为

${\varphi _{\rm{r}}} = 397.67m + 25.831$ (1)
图 10 天然型荞麦壳加筋土的强度指标随加筋率的变化关系曲线 Fig. 10 The curve of the change of strength index of natural buckwheat hull reinforced soil with reinforcement rate

图 10(b)可以看出,在加筋率较大或较小时,黏聚力较大,最大值约为50 kPa,加筋率居于中间值时,则黏聚力较小,最小值约为41 kPa。天然荞麦壳加筋土的黏聚力随着加筋率的增大近似呈抛物线形,可写成

${c_{\rm{r}}} = 137826{m^2} - 1875.2m + 47.809$ (2)

图 11(a)可以看出,2瓣型荞麦壳加筋土的内摩擦角随着加筋率的增大而增大,近似呈直线变化,可表示成

${\varphi _{\rm{r}}} = 302.08m + 26.37$ (3)
图 11 2瓣型荞麦壳加筋土的强度指标随加筋率的变化关系曲线 Fig. 11 The curve of the change of strength index of 2-petal buckwheat hull reinforced soil with reinforcement rate

图 11(b)可以看出,随着加筋率的增长,2瓣型荞麦壳加筋土的黏聚力在45 kPa附近上下小幅波动,近似呈高次多项式的变化关系。

图 12(a)可以看出,1瓣型荞麦壳加筋土的内摩擦角随着加筋率的增大而增大,近似呈直线变化,可表示成

${\varphi _{\rm{r}}} = 263.38m + 24.622$ (4)
图 12 1瓣型荞麦壳加筋土的强度指标随加筋率的变化关系曲线 Fig. 12 The curve of the change of strength index of 1-petal buckwheat hull reinforced soil with reinforcement rate

图 12(b)可以看出,随着加筋率的增加,1瓣型荞麦壳加筋土的黏聚力基本围绕着50 kPa上下小幅波动,曲线表现为两头稍高,中间略低的形式,其变化关系可近似地表示成四次多项式形式。

图 13(a)可以看出,随着加筋率的增大,“1瓣+2瓣”型荞麦壳加筋土的内摩擦角表现为,加筋率较大或较小时,内摩擦角值较大,加筋率居于中间值时,则内摩擦角值较小,其最小值大约为24.5°,内摩擦角随加筋率的变化关系可近似表示成

${\varphi _{\rm{r}}} = 49737{m^2} - 541.94m + 26.176$ (5)
图 13 “1瓣+2瓣”型荞麦壳加筋土的强度指标随加筋率的变化关系曲线 Fig. 13 The curve of the of change of strength index of "1 petal + 2 petal" buckwheat hull reinforced soil with reinforcement rate

图 13(b)可以看出,在加筋率为0.2%时,“1瓣+2瓣”型荞麦壳加筋土的黏聚力最小,约为41 kPa,在加筋率为0.9%时,其值最大,约为57 kPa。其黏聚力随着加筋率的变化关系可近似表示成四次多项式形式。

研究中土的压实度为0.95,实际构筑物填筑完成后,随着土体的进一步压缩(即非饱和土的固结)变形,土体的压实度会超过0.95,根据以往的研究经验,土体的强度还会进一步提高,这样,加筋土的强度指标也会进一步增大。当填土体的高度进一步增大时,其法向应力也会进一步增大,加筋土的强度指标也会发生变化,因此,所得加筋土的强度指标的变化规律仅适用于研究所采用的法向应力,当法向应力超出该试验范围时,强度指标如何变化,尚需进一步研究。

2.4 荞麦壳加筋土作用机理分析

加筋材料发挥作用需要一定的变形发生,由于土、筋两种材料模量的不同,才使得筋-土界面产生切向作用。当垂直压力较小时,进行直剪试验,试样的实际密度相对较小,土-筋界面上的摩阻作用较小,需要较大的剪切位移才能使加筋起作用;当垂直压力增大时,试样的实际密度相对较大,则加筋发挥作用需要的剪切位移就较小;当垂直压力进一步增大时,素土试样发生剪切破坏则需要更大的剪切变形,也只有在这种情况下,才能体现出加筋的作用,所以,垂直压力较大时,加筋起作用需要的剪切位移也较大。

当荞麦壳的添加率大于某百分比时,由于荞麦壳致密、坚硬,添加荞麦壳后,土体的密度进一步增大,当垂直压力较小时,需要一定的剪切位移才能使加筋起作用,当垂直压力进一步增大,土体密度也显著增大,则加筋起作用所需的剪切位移就较小。

由于天然荞麦壳绝大部分为3瓣型,2瓣荞麦壳呈开口的瓢状,如果将这两类荞麦壳添加到配好的湿土中,则荞麦壳内充满配好的湿土,形成内包土体的荞麦壳,即荞麦壳大颗粒体;对于2瓣荞麦壳,虽然也填满湿土,但有一个面为填土面,这样就形成瓢状荞麦壳包裹土体,也是一个大颗粒体。当荞麦壳为1瓣时,则有微弯的凹面,所包裹的湿土很少,形成扁窄状荞麦壳黏结体,也为大颗粒体。当荞麦壳为2瓣和1瓣混合型时,形成的大颗粒体既有扁窄状荞麦壳粘结体,也有瓢状荞麦壳包裹土体。

将荞麦壳添加在配好的湿土中,相当于给土中添加了粗颗粒土,土的内摩擦角增大。粗颗粒的粒径愈大,则土的内摩擦角越大,粗颗粒的添加量越大,土的内摩擦角增加越多。由于天然荞麦壳对土的包裹作用,分隔了土体,使得土体不完整,添加天然荞麦壳后,土的黏聚力就会减少很多,包裹作用越强,分隔作用也越强。添加荞麦壳后,土的内摩擦角增加越多,黏聚力减少也越多,几乎呈此长彼消的态势。相应地,添加2瓣荞麦壳后,这种态势比添加天然荞麦壳弱一些,1瓣荞麦壳后就更弱。添加1瓣和2瓣混合状荞麦壳的态势介于2瓣荞麦壳和1瓣荞麦壳的态势之间。

3 结论

1) 通过直接剪切试验,发现荞麦壳加筋黄土的剪应力-剪切位移曲线的变化规律与素土基本相同。

2) 当荞麦壳的添加率大于某一百分比时,荞麦壳加筋土的强度才大于素土,该百分比与荞麦壳的分瓣情况有关。

3) 采用荞麦壳加筋后,土的强度最大提高了23%,主要表现为土的内摩擦角的提高,最大提高了6.13°,但黏聚力几乎都有不同程度的降低,降低幅度不大,在8 kPa以内。

4) 对于荞麦壳加筋材料,存在一个界限加筋率,当加筋率小于界限加筋率时,荞麦壳起作用所需的剪切位移随垂直压力的增大而增大,当加筋率大于界限加筋率时,荞麦壳起作用所需的剪切位移随垂直压力的增大而减小,该界限值与荞麦壳的分瓣情况有关。

5) 综合考虑,认为天然荞麦壳和两瓣型荞麦壳都可作为生态加筋材料。

与其他植物壳类一样,荞麦壳与土混合可用于支挡结构、加筋地基、装配式路基的工业化快速施工,也可与其他植物壳、秸秆、芒混合搭配,用于文物的修复,如修复泥菩萨、泥观音、泥塑制品等。

由于试验结果的离散性较大,影响因素较多,今后还需进一步提高试验的精度。

参考文献
[1]
GRAY D H, AL-REFEAI T. Behavior of fabric-versus fiber-reinforced sand[J]. Journal of Geotechnical Engineering, 1986, 112(8): 804-820. DOI:10.1061/(ASCE)0733-9410(1986)112:8(804)
[2]
SHEWBRIDGE S E, SITAR N. Deformation characteristics of reinforced sand in direct shear[J]. Journal of Geotechnical Engineering, 1989, 115(8): 1134-1147. DOI:10.1061/(ASCE)0733-9410(1989)115:8(1134)
[3]
孙遇祺, 熊正洪, 邓荣基. 粘性加筋土若干问题的研究[J]. 兰州铁道学院学报, 1986, 5(2): 1-15.
SUN Y Q, XIONG Z H, DENG R J. Some problems on the reinforced clay[J]. Journal of Lanzhou Railway College, 1986, 5(2): 1-15. (in Chinese)
[4]
吴雄志, 赵乃茹. 加筋土强度模型与应力-应变特性研究[J]. 岩土工程学报, 1992, 14(Sup1): 80-87.
WU X Z, ZHAO N R. Strength model and stress-strain behavior of reinforced soil[J]. Chinese Journal of Geotechnical Engineering, 1992, 14(Sup1): 80-87. (in Chinese)
[5]
张孟喜, 赵岗飞, 魏伟, 等. 轴对称条件下水平-竖向加筋黏性土的强度分析[J]. 土木工程学报, 2010, 43(8): 115-120.
ZHANG M X, ZHAO G F, WEI W, et al. Strength analysis of frictional failure of cohesive soil reinforced with horizontal-vertical inclusions under axisymmetric condition[J]. China Civil Engineering Journal, 2010, 43(8): 115-120. (in Chinese)
[6]
雷胜友, 陈辉. 不同筋材和布筋形式对加筋土强度影响的试验研究[J]. 西南大学学报(自然科学版), 2013, 35(8): 122-127.
LEI S Y, CHEN H. Experimental investigation of the effects of diffferent reinforcement materials and reinforcement distribution modes on the strength of reinforced loess[J]. Journal of Southwest University (Natural Science Edition), 2013, 35(8): 122-127. (in Chinese)
[7]
李丽华, 余长道. 废旧轮胎加筋土性能试验研究[J]. 长江科学院院报, 2019, 36(11): 1-6.
LI L H, YU C D. Properties of soil reinforced by waste tire[J]. Journal of Yangtze River Scientific Research Institute, 2019, 36(11): 1-6. (in Chinese) DOI:10.11988/ckyyb.20190233
[8]
陈建峰, 王兴涛, 曾岳, 等. 土工织物散体桩桩体大三轴试验研究[J]. 岩土工程学报, 2017, 39(12): 2212-2218.
CHEN J F, WANG X T, ZENG Y, et al. Large triaxial compression tests on geosynthetic-encased granular columns[J]. Chinese Journal of Geotechnical Engineering, 2017, 39(12): 2212-2218. (in Chinese) DOI:10.11779/CJGE201712009
[9]
周锡九, 赵晓峰. 坡面植草防护的浅层加固作用[J]. 北方交通大学学报, 1995, 19(2): 143-146.
ZHOU X J, ZHAO X F. Reinforcement action of slope protection with herbage at shallow layer[J]. Journal of Northern Jiaotong University, 1995, 19(2): 143-146. (in Chinese)
[10]
陈昌富, 刘怀星, 李亚平. 草根加筋土的室内三轴试验研究[J]. 岩土力学, 2007, 28(10): 2041-2045.
CHEN C F, LIU H X, LI Y P. Study on grassroots-reinforced soil by laboratory triaxial test[J]. Rock and Soil Mechanics, 2007, 28(10): 2041-2045. (in Chinese) DOI:10.3969/j.issn.1000-7598.2007.10.006
[11]
王元战, 刘旭菲, 张智凯. 草根加筋土渗透性和强度试验研究[J]. 防灾减灾工程学报, 2017, 37(1): 140-147.
WANG Y Z, LIU X F, ZHANG Z K. Experimental research on permeability and strength of grassroots-reinforced soil[J]. Journal of Disaster Prevention and Mitigation Engineering, 2017, 37(1): 140-147. (in Chinese)
[12]
刘秀萍, 陈丽华, 宋维峰. 林木根系与黄土复合体的三轴试验[J]. 林业科学, 2007, 43(5): 54-58.
LIU X P, CHEN L H, SONG W F. Triaxial tests on root-soil composite[J]. Scientia Silvae Sinicae, 2007, 43(5): 54-58. (in Chinese)
[13]
魏丽, 柴寿喜, 蔡宏洲, 等. 麦秸秆的筋土摩擦性能及加筋作用[J]. 土木建筑与环境工程, 2018, 40(6): 53-59.
WEI L, CHAI S X, CAI H Z, et al. Frictional characteristics of wheat straw in saline soil and evaluation of reinforcing effect[J]. Journal of Civil, Architectural & Environmental Engineering, 2018, 40(6): 53-59. (in Chinese)
[14]
郝建斌, 魏兴梅, 姚婕, 等. 麦秸秆加筋土的强度特性及细观结构分析[J]. 同济大学学报(自然科学版), 2019, 47(6): 764-768, 831.
HAO J B, WEI X M, YAO J. Strength characteristics and mesostructure of wheat straw reinforced soil[J]. Journal of Tongji University (Natural Science), 2019, 47(6): 764-768, 831. (in Chinese)