酒店建筑客房往往有大面积的窗,导致建筑冷、热负荷增加,遮阳系统设计应被视为节能建筑设计的关键问题。为提高建筑表皮的性能,将遮阳系统的采光、得热、节能进行综合设计的需求越来越高。酒店建筑在运行过程中往往只考虑空调系统等主动技术的控制问题,而且用户缺少主动调控意识。遮阳系统作为被动技术在运行过程中往往效果不好甚至造成反效果,因此,遮阳系统的智能控制变得尤为重要。近年来动态遮阳系统的应用越来越广泛,良好的遮阳控制策略会根据室内外环境变化做出反应,以降低能耗并提高环境舒适度。
基于规则的控制(RBC, rule based control)是遮阳系统控制的常规方法和行业标准。RBC基于“IF(条件)-THEN(动作)”规则,并将专家知识引入控制回路[1],RBC严格依赖于规则和相关参数的正确选择[2]。关于控制策略和模式的现有研究中,Karlsen等[3]开发了一种基于室内外环境的RBC遮阳控制策略,实验表明该自动遮阳系统可在建筑能耗和建筑光热环境之间达到最佳的平衡。Liu等[4]开发的是包括遮阳、自然通风、夜间降温的智能玻璃幕墙控制策略,模拟结果显示该幕墙和静态玻璃幕墙相比减少60%的建筑能耗。Shen等[5]比较了7种采光和照明的控制策略,包括独立的照明系统和照明采光集成系统,结果显示遮阳系统和照明系统的集成控制可以显著提高光环境舒适度并减少建筑能耗。Nielsen等[6]模拟了固定遮阳、可调遮阳和自动遮阳3种遮阳形式,结果显示自动遮阳系统在大多数情况下会使建筑能耗降低,并对光环境有显著改善。国内对遮阳控制策略的研究较少,且中国不同气候区差异很大,针对中国不同气候区遮阳控制策略差异的研究更少。
笔者以南向酒店客房为研究对象,对中国2个典型气候区下60种遮阳RBC控制策略进行模拟,为减少建筑能耗、提高室内光热舒适度,优化遮阳策略及遮阳设计形式,最终得出不同优化目标下的最佳控制策略。
1 评价参数 1.1 能耗由窗户遮阳引起的建筑能耗主要为制冷能耗、供热能耗以及照明能耗,窗户无遮阳时可以带来更多的太阳能,减少冬季的供暖需求,同时有利于建筑采光以减少照明能耗,但会增加制冷能耗导致建筑过热,合理的遮阳系统需要平衡这3部分能耗。中国寒冷地区与夏热冬暖地区能耗组成不同,需结合气候特点选择不同的遮阳控制策略。
1.2 光舒适评价光环境不舒适的预测模型主要针对眩光,这些预测模型包括日光眩光概率(DGP, daylight glare probability)[7],日光眩光指数(DGI, daylight glare index)[8-9],统一眩光评级(UGR, unified glare rating)[10],视觉舒适概率(VCP, visual comfort probability)[11]和CIE眩光指数(CGI, CIE glare index)[12]。其中日光眩光指数DGI和日光眩光概率DGP是专门为由窗口带来的日光不舒适眩光而开发的模型[13], 是被最广泛接受的预测来自大尺寸光源不舒适眩光的模型。NS-EN[14]中规定室内工作场所可接受眩光指数边界值为22。不同眩光指数下的眩光程度[15]如表 1所示。
| 表 1 不同眩光指数下的眩光程度 Table 1 Glare degree under different glare indices |
天然采光可以减少对人工照明需求,且能提高工作效率。Nabil等[16]在广泛的文献回顾后发现,天然采光照度在100~2 000 lx范围内是有利的。国际照明委员会CIE(Commission Internationale de L’Eclairage)给出了欧洲一些研究结果的平均值, 即照度与不满意百分比的关系曲线,在2 000 lx以下时照度越高越满意。
1.3 热舒适应用最广泛的热舒适度评价模型是Fanger提出的PMV(predicted mean vote)模型[17]。PMV模型基于人体热平衡,建立人体热感觉与物理环境参数之间的关系,它可以预测酒店客房中暴露于中等热环境的大量人群的热舒适程度。Comfen模型中将其量化为预测满意人群的百分比。
2 研究方法使用Comfen模拟软件对酒店客房的遮阳控制策略进行量化研究,分析不同气候区条件下对遮阳控制策略选择的差异。Comfen是针对立面开窗性能的模拟软件,采用EnergPlus为计算内核,Grynning等[18]已验证该软件的可靠性。研究模拟分析了建筑能耗及光、热舒适度,选择寒冷地区的典型城市北京及夏热冬暖地区的广州为研究对象,研究了3种遮阳设计形式(内遮阳、外遮阳和中置遮阳),10种控制策略和2种遮阳方式(固定遮阳、动态遮阳),为减少模拟时间,选择单个房间作为研究样本,模拟酒店房间内的制冷、供热、照明能耗、总能耗及热舒适度、光舒适度等环境参数。
2.1 模型基本设置房间模型为普通城市经济型酒店南向的单个客房,如图 1所示,房间进深6 m,开间4 m,房间净高3 m。房间设置2扇窗,每扇窗户高2 m,宽1.5 m,窗台高0.2 m,距侧墙0.4 m。窗墙比为0.5。
|
图 1 模型几何尺寸示意图(单位:m) Fig. 1 Geometric dimension diagram of model |
根据《公共建筑节能设计标准》(GB50189—2015)[19],寒冷地区外墙的传热系数≤0.5 W/(m2·K),北京选择传热系数为0.35 W/(m2·K)的外墙;夏热冬暖地区外墙的传热系数≤0.8 W/(m2·K),广州选择传热系数为0.59 W/(m2·K)的外墙。对于窗墙比在0.4~0.5的外窗,寒冷地区传热系数≤2.2 W/(m2·K),太阳得热系数≤0.43;夏热冬暖地区传热系数≤2.7 W/(m2·K),太阳得热系数≤0.35。统一选用传热系数为1.65 W/(m2·K),太阳得热系数为0.299的窗户。
照明能耗设置为10 W/m2,设备能耗设置为6 W/m2,室内人员为2人。
2.2 模拟设定点根据模拟软件默认值,酒店客房的制冷温度设定点为24 ℃,供热温度设定点为21 ℃。照明系统有自动连续调光功能,当传感器照度低于538 lx,会打开人工照明,传感器位置如图 2所示,照度传感器1控制靠近外立面占地面积75%的主要采光区,放置在2/3此区域的房间深度处,距外墙3 m;传感器2控制剩余的25%的辅助空间,放在此区域的中心位置,距外墙5.25 m。传感器均布置在距地面0.76 m处。人员、照明和设备的时间表亦为软件默认值,酒店客房分为工作日和节假日2种时间表[20]。
|
图 2 照度传感器位置示意图(单位:m) Fig. 2 Illumination sensor position diagram |
研究中内遮阳(in)、外遮阳(ex)、中置遮阳(be)3种遮阳形式,均为水平百叶遮阳帘,导热系数为0.90 W/(m·K),遮阳角度可以从0°~180°变化,百叶板的间距为20 mm,厚度为1 mm,中置遮阳百叶板宽度为10 mm,内、外遮阳宽度为25 mm。
软件提供20种预定义的控制策略,可以通过设置太阳辐照度、眩光指数、温度设定点等来设定每种控制策略。选择其中10种控制策略进行模拟对比,如表 2所示。
| 表 2 控制策略 Table 2 Control strategies |
策略1~4是为了控制室内得热,减少制冷能耗;策略5、6是为提高光舒适度、避免眩光;策略7~10是通过区分制冷季和供暖季,供暖季减少夜间的能量损失,减少制热能耗,制冷季控制室内得热,减少制冷能耗。
为研究可变遮阳角度的影响,每种控制策略还可以设定百叶角度是否可变。其中a为百叶角度固定,开启遮阳时,百叶固定在设定的角度(45°);b为百叶角度可变,开启遮阳时,通过调整百叶角度使遮阳效果达到最优,阻挡最多的太阳辐射,每个模拟时间步长(15 min)调整一次遮阳角度,来阻挡直接太阳辐射进入室内。
下文将对控制策略用代号的方式表示,由遮阳形式、控制策略、遮阳角度是否可变3部分组成,如ex-1a表示选择控制策略1(室外温度高于26 ℃时有遮阳)的固定外遮阳。
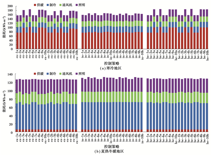
3 结果分析 3.1 节能模拟得出每种情况的照明能耗、制冷能耗、供暖能耗、风扇能耗和总能耗。运行风扇的能源需求与制冷需求相关,可将其看作制冷能耗的一部分。
从图 3可以看出,寒冷地区比夏热冬暖地区有更大的能源需求,寒冷地区供热能耗是总能耗的最主要因素,其次是制冷能耗;夏热冬暖地区制冷能耗占总能耗的比重最大,其次是照明能耗。不同控制策略能耗有所不同,一般趋势是遮阳率越高,供热能耗和照明能耗越大,而制冷能耗越低。寒冷地区比夏热冬暖地区的能耗变化大。在寒冷地区,遮阳控制策略对供热能耗的影响最大,是总能耗的最主要影响因素,且供热能耗越高,照明能耗越高,所以总能耗变化幅度较大。在夏热冬暖地区,由于夏热冬暖地区总能耗的两大影响因素是制冷能耗和照明能耗,当遮阳率高时,可使制冷能耗降低,但照明能耗相对较高,导致总能耗趋于平稳。
|
图 3 不同控制策略的能耗 Fig. 3 Energy consumption of different control strategies |
寒冷地区策略1、2、4、6、7总能耗较低,且内遮阳能耗普遍较低。寒冷地区总能耗和供热能耗正相关性强,通过遮阳控制减少供热能耗是降低全年总能耗的关键。总的来说:寒冷地区遮阳率越低,总能耗越低;夏热冬暖地区不同控制策略间能耗差别不大,而不同遮阳形式对能耗的影响明显,外遮阳能耗最低,其次是中置遮阳,和寒冷地区相反,夏热冬暖地区内遮阳能耗最大。
寒冷地区的外遮阳和内遮阳,可变遮阳(B)能耗略低于固定遮阳(A)能耗;夏热冬暖地区,可变遮阳(B)能耗略高于固定遮阳(A)能耗。
没有遮阳的情况供热能耗及照明能耗均是最低的,而制冷能耗会相应增加,在这2个气候区,与其他带有控制策略的窗户相比,无遮阳情况的总能耗均相对较低。
寒冷地区在没有任何遮阳措施的情况下,建筑的总能耗是157.87 KWh/m2。比全年无遮阳的情况能耗低的策略有ex-1a、ex-7b、ex-7a、ex-4a、ex-1b、ex-4b、in-7b、in-7a。能耗最低的前6个遮阳形式均是外遮阳,这是由于合理的遮阳控制策略可以使冬季室内获得充足的太阳得热,且外遮阳在阻挡夏季太阳得热方面效果最佳,这些策略不仅能保证供暖季室内获得足够的太阳能,还能降低夏季制冷能耗。与无遮阳情况相比,策略(be-5b,固定中置遮阳,太阳辐射强度高于100 W/m2时有遮阳)增加能耗18.3%,策略(ex-1a,固定外遮阳,室外温度高于26℃时有遮阳)减少能耗0.5%,不同控制策略对建筑能耗的影响相差18.8%。
夏热冬暖地区在没有任何遮阳措施的情况下,建筑的总能耗是127.43 KWh/m2。所有外遮阳形式的控制策略均比全年无遮阳的情况能耗低,而内遮阳和中置遮阳均比全年无遮阳的情况能耗高。与无遮阳情况相比,策略in-3a(固定外遮阳,制冷季有遮阳)增加能耗3.8%,策略ex-10a(固定外遮阳,夜间有遮阳/制冷季白天在太阳辐射高于100 W/m2时有遮阳)减少能耗1.3%,不同控制策略对建筑能耗的影响相差5.1%。3.2舒适
3.2.1 热舒适度图 4为2个气候区控制策略的热舒适度,横坐标为控制策略,纵坐标为全年平均预测热环境满意人群的百分比。
|
图 4 不同控制策略的热舒适度 Fig. 4 Thermal comfort of different control strategies |
由于酒店客房为空调房间,在冬夏空调季室内温度超出空调设定点时即开启设备制冷、制热,所以热舒适度均较高;由于不同遮阳控制策略只在过渡季对热舒适有较大影响,全年平均后会拉平舒适度的差异,所以不同控制策略热舒适度的差异较小。
寒冷地区:策略1、2、4、6、7的热环境满意度较高,另外同一策略中内遮阳的舒适度更高。舒适度最高的控制策略是in-10b(可变内遮阳,夜间有遮阳/制冷季白天在太阳辐射高于100 W/m2时有遮阳),满意率为89.31%,舒适度最低的控制策略是ex-5a(固定外遮阳,太阳辐射强度高于100 W/m2时有遮阳),满意率为87.83%,对热环境满意率的影响差别不大,无遮阳情况的舒适度满意率为89.09%。不同控制策略对热舒适度的影响相差1.48%。
夏热冬暖:策略3的热环境满意度较高,另外同一策略中内遮阳和外遮阳比中置遮阳的舒适度更高。舒适度最高的控制策略是in-3a(固定外遮阳,制冷季有遮阳),满意率为91.61%,舒适度最低的是控制策略2、6、7,满意率为91.36%,对热环境满意率的影响差别不大,无遮阳情况的舒适度满意率也是91.36%。不同控制策略对热舒适度的影响相差0.25%。
整体来说,寒冷地区和夏热冬暖地区不同控制策略的热舒适度变化规律呈相反趋势,对于寒冷地区热舒适度较高的控制策略,在夏热冬暖地区的热舒适度则相对较低。夏热冬暖地区比寒冷地区的整体热舒适度更高。
3.2.2 光舒适度模拟结果显示,窗墙比为0.5的酒店客房所有时间眩光指数均在22以下,所以无需考虑眩光的影响,仅用照度在100~2 000 lx的小时数评价光舒适度。将整个房间平面分成10×10个点,传感器布置在0.76 m高度处,每1个小时计算1次这100个点的照度值,从而统计出房间各个位置照度在100~2 000 lx的小时数。图 5横坐标为控制策略,纵坐标为光舒适满意度百分比。
|
图 5 不同控制策略的光舒适度 Fig. 5 Light comfort of different control strategies |
寒冷地区由于出现眩光而导致光舒适度降低的情况较少,所以寒冷地区光舒适和能耗的变化规律类似,遮阳率越低,平均照度值越高,照度出现在100~2 000 lx的小时数也相对越高。策略2、6、7的照度值是最舒适的,也是平均照度值最高的。照度在100~2 000 lx的小时数最多的是策略ex-2a,ex-2b,ex-6a,ex-6b,ex-7b,in-2a,in-6a,in-7a,时间及空间占有比率为62.91%,全年无遮阳情况仅次于以上策略,时间几乎相同,100~2 000 lx小时数最少的是be-8a,时间及空间占有比率为23.78%。可以看出,不同控制策略对采光的影响较大,对光舒适度的影响相差39.13%。
夏热冬暖地区和寒冷地区相同,策略2、6、7是照度在100~2 000 lx的小时数最多的,也是平均照度值最高的,时间及空间占有比率为55.61%,与全年无遮阳情况时间相同,100~2 000 lx小时数最少的是be-8a,时间及空间占有比率为10.04%。不同控制策略对光舒适度的影响相差45.57%。同一控制策略,动态遮阳(B)优于固定遮阳(A)。
整体来说,不同控制策略光舒适度的变化规律一致,若某种控制策略在寒冷地区的光舒适度较高,在夏热冬暖地区光舒适度也同样较高。寒冷地区比夏热冬暖地区的整体光舒适度更高。
3.3 优化不同控制策略及窗户类型有不同的优缺点,如有些控制策略能耗较低,但舒适性较差。为了比较不同控制策略,综合考虑能耗及光热舒适度,得出最优的控制策略,首先需要统一各自的量纲,对原始数据进行标准化处理,使各目标函数处于统一数量级,便于综合评价。现定义每种控制策略的能耗指数、热舒适度指数及光舒适度指数,从而可以得到整体性能指标,将能耗和舒适度的所有性能参数集成到一起。采用min-max标准化法(min-max normalization)对原始数据进行线性变换,各参数的指数结果值为0~1,转换函数表达式为
| $ I_{i}=\frac{x_{i}-x_{\min }}{x_{\max }-x_{\min }}, $ | (1) |
式中:Ii为参数指数值;xi为原始数据;xmax为样本数据的最大值;xmin为样本数据的最小值。根据式(1),能耗指数值越小越好,舒适度指数值则是越大越好,为统一趋势,使所有性能参数的指数值均为越低越好,将舒适度指数的标准化处理方法改为1-x,即不满意率。最终能耗指数(Ii-energy)及舒适度指数(Ii-comfort)的函数表达式为
| $ I_{i-\mathrm{energy}}=\frac{x_{i}-x_{\min }}{x_{\max }-x_{\min }}, $ | (2) |
| $ I_{i-\text { comfort }}=\frac{x_{i}-x_{\max }}{x_{\min }-x_{\max }^{\circ}}。$ | (3) |
将每个控制策略的坐标点投影到两两目标指数所组成的二维平面上,根据能耗和舒适度不同的重要性定义比重来选择策略,可以看出不同控制策略在3个目标指数之间的相关性(见图 6)。
|
图 6 不同控制策略标准化处理散点图 Fig. 6 Standardized processing of scatter plots for different control strategies |
由图 6可以看出,寒冷地区3个目标指数之间基本均呈正相关,其中能耗指数和热舒适指数之间的正相关性最为明显。夏热冬暖地区能耗指数和热舒适度指数之间呈抛物线关系,光舒适度指数和热舒适度指数之间以及能耗指数与光舒适度指数之间均无相关性。由于不同遮阳策略对热舒适的影响较小,若将能耗、热舒适、光舒适的重要程度定为1∶0∶1的比重,只考虑能耗及光舒适度,则寒冷地区最优控制策略为ex-7b(0.00, 0.13, 0.00),夏热冬暖地区最优控制策略为2、6、7(0.25, 1.00, 0.00)。
若将能耗、热舒适、光舒适的重要程度定为1∶1∶1的比重,图 7显示控制策略综合指数排序,指数越小越好。
|
图 7 不同控制策略标准化处理堆积折线图 Fig. 7 Standardized processing of stacking polygon diagram for different control strategies |
综合考虑能耗及舒适度,寒冷地区策略2、6、7明显优于其他策略,首先这3个策略的光舒适程度是最高的,而能耗指数与热舒适指数与其呈正相关,也相对较小。其中寒冷地区综合指数最低的是in-7b(0.02, 0.07, 0.00),即供暖季夜间关遮阳,减小热损失;白天遮阳全开。策略7外遮阳的能耗更低,但热舒适指数较高,内遮阳综合指数最低。综合考虑能耗及舒适度,夏热冬暖地区外遮阳的综合指数明显优于其他遮阳形式,由于外遮阳的能耗明显低于其他遮阳方式,而目标指数之间无相关性,光和热舒适度在不同遮阳形式中分布均匀。其中综合指数最低的是ex-10b(0.05, 0.28, 0.36),即夜间关遮阳;太阳辐射强度高且在制冷季时白天关遮阳。结果显示合适的控制策略,动态遮阳会优于固定遮阳。
不同评判标准下,寒冷地区及夏热冬暖地区的最优控制策略如表 3所示。
| 表 3 最优控制策略汇总 Table 3 summary of optimal control strategy |
1) 不同控制策略对建筑能耗的影响,寒冷地区相差18.8%,夏热冬暖地区相差5.1%;对热舒适度的影响,寒冷地区相差1.48%,夏热冬暖地区相差0.25%;对光舒适度的影响,寒冷地区相差39.13%,夏热冬暖地区相差45.57%。不同控制策略对光舒适度的影响最大,其次是能耗,由于模拟对象为空调建筑,对热舒适度影响最小。
2) 控制策略对寒冷地区能耗的影响更明显;而遮阳形式对夏热冬暖地区能耗的影响更明显。2个气候区均是外遮阳的能耗较低,寒冷地区能耗最低的前6个遮阳形式均是外遮阳,外遮阳形式配合合理的遮阳控制策略可以最大程度降低建筑能耗;夏热冬暖地区所有外遮阳形式的控制策略均比全年无遮阳的情况能耗低,而内遮阳和中置遮阳均比全年无遮阳的情况能耗高。
3) 寒冷地区和夏热冬暖地区不同控制策略的热舒适度变化规律呈相反趋势,夏热冬暖地区的整体热舒适度更高;2个气候区不同控制策略光舒适度的变化规律一致,寒冷地区的整体光舒适度更高。
4) 动态遮阳相对固定遮阳的优势主要体现在对光舒适度的影响上。
5) 寒冷地区能耗及光热舒适度这3个目标指数之间均呈正相关,寒冷地区可直接选择策略7(即供暖季夜间关遮阳,减小热损失;白天遮阳全开),这一策略可同时保证能耗较低且光热舒适度较高,而夏热冬暖地区目标指数间相关性较低,需根据不同的优化目标选择相应控制策略。
6) 在这2个气候区,与其他有遮阳的窗户相比,无遮阳情况的总能耗、光热舒适度及综合优化指数均不是最差的,所以选择不恰当的遮阳控制策略及设计形式还不如不设遮阳。
| [1] |
Psomas T, Fiorentini M, Kokogiannakis G, et al. Ventilative cooling through automated window opening control systems to address thermal discomfort risk during the summer period: Framework, simulation and parametric analysis[J]. Energy and Buildings, 2017, 153: 18-30. DOI:10.1016/j.enbuild.2017.07.088 |
| [2] |
Schulze T, Eicker U. Controlled natural ventilation for energy efficient buildings[J]. Energy and Buildings, 2013, 56: 221-232. DOI:10.1016/j.enbuild.2012.07.044 |
| [3] |
Karlsen L, Heiselberg P, Bryn I, et al. Solar shading control strategy for office buildings in cold climate[J]. Energy and Buildings, 2016, 118: 316-328. DOI:10.1016/j.enbuild.2016.03.014 |
| [4] |
Liu M Z, Wittchen K B, Heiselberg P K. Control strategies for intelligent glazed façade and their influence on energy and comfort performance of office buildings in Denmark[J]. Applied Energy, 2015, 145: 43-51. DOI:10.1016/j.apenergy.2015.02.003 |
| [5] |
Shen E, Hu J, Patel M. Energy and visual comfort analysis of lighting and daylight control strategies[J]. Building and Environment, 2014, 78(8): 155-170. |
| [6] |
Nielsen M V, Svendsen S, Jensen L B. Quantifying the potential of automated dynamic solar shading in office buildings through integrated simulations of energy and daylight[J]. Solar Energy, 2011, 85(5): 757-768. DOI:10.1016/j.solener.2011.01.010 |
| [7] |
Wienold J, Christoffersen J. Evaluation methods and development of a new glare prediction model for daylight environments with the use of CCD cameras[J]. Energy and Buildings, 2006, 38(7): 743-757. DOI:10.1016/j.enbuild.2006.03.017 |
| [8] |
Hopkinson R G. Glare from daylighting in buildings[J]. Applied Ergonomics, 1972, 3(4): 206-215. DOI:10.1016/0003-6870(72)90102-0 |
| [9] |
中华人民共和国建设部. GB/T 50033-2013建筑采光设计标准[S]. 北京: 中国建筑工业出版社, 2013. Ministry of Construction of the People's Republic of China. GB/T 50033-2013 Building lighting design standard[S]. Beijing: China Architecture& Building Press, 2013. (in Chinese) |
| [10] |
Bedocs L, Einhorn H D, Fischer D, et al. Discomfort glare in interior lighting[R]. Paris: CIE, 1995.
|
| [11] |
IESNA. The IESNA lighting handbook[M]. New York: IESNA, 2000.
|
| [12] |
Einhorn H D. Discomfort glare: a formula to bridge differences[J]. Lighting Research & Technology, 1979, 11(2): 90-94. |
| [13] |
Suk J Y, Schiler M, Kensek K. Investigation of existing discomfort glare indices using human subject study data[J]. Building and Environment, 2017, 113: 121-130. DOI:10.1016/j.buildenv.2016.09.018 |
| [14] |
Standards B. Light and lighting-lighting of work places-part 1: indoor work places[S]. Brussels, 2011.
|
| [15] |
Jakubiec J, Reinhart C. The 'adaptive zone'-A concept for assessing discomfort glare throughout daylit spaces[J]. Lighting Research & Technology, 2012, 44(2): 149-170. |
| [16] |
Nabil A, Mardaljevic J. Useful daylight illuminances: a replacement for daylight factors[J]. Energy and Buildings, 2006, 38(7): 905-913. DOI:10.1016/j.enbuild.2006.03.013 |
| [17] |
Fanger P O. Calculation of thermal comfort, introduction of a basic comfort equation[J]. Ashrae Transactions, 1967, 73(2): 1-20. |
| [18] |
Grynning S, Time B, Matusiak B. Solar shading control strategies in cold climates-heating, cooling demand and daylight availability in office spaces[J]. Solar Energy, 2014, 107: 182-194. DOI:10.1016/j.solener.2014.06.007 |
| [19] |
中华人民共和国建设部. GB 50189-2015公共建筑节能设计标准[S]. 北京: 中国建筑工业出版社, 2015. Ministry of Construction of the People's Republic of China. GB 50189-2015 Standard for energy conservation design of public buildings[S]. Beijing: China Architecture & Building Press, 2015. (in Chinese) |
| [20] |
Robin M, Mehry Y, Charlie C, et al. Comfen 5: Program description: a pc program for calculating the heating and cooling energy use of windows in commercial buildings[EB/OL]. (2019-03-15)[2019-3-28]. https://windows.lbl.gov/sites/default/files/software/Comfen/COMFEN5UserManual.pdf.
|
2021, Vol. 44


