2. 中国科学院物理研究所 北京国家凝聚态物理 重点实验室, 北京 100190;
3. 中国科学院大学, 北京 100049
2. Beijing National Laboratory for Condensed Matter Physics, Key Laboratory of Soft Matter Physics, Institute of Physics, Chinese Academy of Sciences, Beijing 100190, P. R. China;
3. University of Chinese Academy of Sciences, Beijing 100049, P. R. China
根据中国第六次人口普查和第二次全国残疾人抽样调查,中国有1 263万视障人士,中国是世界上盲人人数最多的国家[2]。盲人的信息无障碍交流,是一项不容忽视的民生问题,历年来受到政府的高度关注[3],目前市面上的盲文显示装置信息量少、成本高,无法满足盲人群体的阅读需求。研制出大幅面、低成本的盲文显示器具有重要意义[4-7]。
电流变液具有响应迅速,固、液两态转换可逆性好等特点,是微阀门的良好介质[8-9];可直接通过电压信号实现阀门压力和流量的控制,为实现大面幅、低成本盲文显示器提供了可能性[10]。目前在电流变液微阀门的研究上已取得丰硕的成果[11],但是适用于盲文显示器的极少,为此笔者研究了电流变液微阀门的稳定性,并对影响盲文显示器工作状态与影响盲人阅读体验的盲文刷新速率进行相关研究[12]。文中通过建立用于盲文显示器的电流变液阀门的数学模型,仿真分析阀门关键参数的影响规律。
1 数学模型建立文中所用的盲文显示器实验装置如图 1所示,通过对系统功能划分,将整套装置可简化为如图 2所示的功能模块框架图;盲文显示器主要由凸点显示模块、阀门阵列模块、液压模块、电控模块、驱动模块5个部分组成。
|
图 1 盲文显示器实验装置图 Fig. 1 Braille display device |
|
图 2 功能模块框架图 Fig. 2 Functional module block diagram |
阀门阵列及盲文显示层结构如图 3所示。盲文凸点工作流程为:当电极不施加电压时,微阀门处于非工作状态,即电流变液在微阀门内处于零场状态时,如图中红色箭头所示,电流变液在两层微阀门阵列中自由流动,盲文凸点处于可上下运动状态;当电极施加一定的电压,电流变微阀门处于工作状态时,电流变液在两电极所形成的电场作用下发生变性,微阀门起到阻止电流变液通过的作用,盲文凸点不动作。
|
图 3 阀门阵列及盲文显示层示意图 Fig. 3 Valve array and braille display layer |
电流变微阀门阵列是影响整套系统工作状态最重要的部分。根据中国盲文标准规定,盲文点距应在2.2~2.8 mm之间[13],因此微阀门的设计对整套系统工作状态稳定性起到关键性的作用。
矩型截面流道微阀门是电流变微阀门的一种主要形式,其结构如图 4所示,阀门主要结构参数为阀门间隙d、阀门长度l及阀门宽度w、阀门流量Q。
|
图 4 矩形截面流道示意图 Fig. 4 Rectangular section flow channel |
Pi与Po分别为阀门入口和阀门出口压力,阀门压力差为
| $ P=P_{i}-P_{o}。$ | (1) |
文中重点关注电流变液流经阀门所需要的流动压差Pflow以及阀门的静态压差Pstatic,通过理论计算可以得到二者的数学模型为[14]
| $ P_{\mathrm{flow}}=\frac{12 \mu l Q}{w d^{3}}, $ | (2) |
| $ P_{\text {static }}=2 \tau_{\mathrm{ERF}} \frac{l}{d}, $ | (3) |
式中:μ为流体粘度;τERF为电流变液剪切应力。
在式(2)中,可以得到流动压差Pflow与流道长度l、流量Q成正比,与阀门宽度w、阀门间隙d的三次方成反比;在式(3)中,可以得到静态压差Pstatic与所使用液体的剪切应力成正比,与阀门间隙成反比,并且与阀门内的介质特性直接相关。
2 模型分析与讨论文中以极性分子型电流变液特性举例,并对模型进行讨论以及微阀门各个参数的选择,不同的微阀门介质只需将模型中的对应参数进行替换即可。
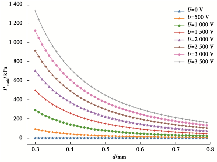
根据极性分子型电流变液所测得的相关属性,在阀门两端施加不同大小的电压U时,电流变液的剪切应力τERF也会随之改变。通过理论分析,结果如图 5所示,当阀门间隙d恒定时,随着施加电压U的增大,阀门静态压差ΔPstatic也随之增大。设微阀门流道长度l为恒值,当U=0 V时,Pstatic会保持一个较小的值线性增长,且增长的趋势极为平缓;Pstatic会随着施加电压U的增大而增大,但由于电流变液的耐压限制,施加电压U应控制在所选介质耐压值之内。
|
图 5 静态压差与阀门间隙关系图 Fig. 5 Diagram of static differential pressure and valve clearance |
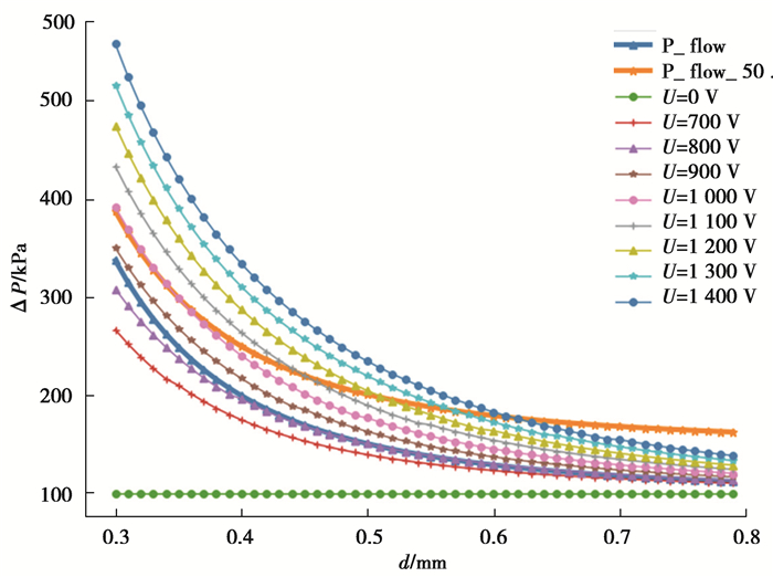
为了满足盲文显示器的工作稳定性,微阀门的静态压差应大于动态压差,即Pstatic>Pflow,如图 6所示,通过理论分析计算,对于所使用的这款极性分子型电流变液而言,当施加电压U>800 V时,满足盲文显示器的稳定性需求,但实际设计上,应该留出一定的裕量,文中留出50 kPa的裕量后,施加电压U>1 000 V,且阀门间隙d < 0.4 mm时,能满足稳定性需求。故为了保证微阀门可以长期稳定工作,施加电压U应大于1 000 V,且施加电压U越大,临界工作点越靠右,阀门间隙d的控制范围越广,但由于施加电压过大,所需的开关控制器件体积越大,盲文显示器的便携性下降,不利于盲人的使用。若微阀门在相同条件下可以提供更高的剪切应力,那么在相同施加电压下,临界工作点将右移,提升系统可控性。
|
图 6 静态压差与动态压差关系图 Fig. 6 Diagram of static and dynamic differential pressure |
除了满足微阀门工作稳定性之外,盲文凸点的刷新速率,还应该满足盲人的实际应用需求。根据盲文显示国家标准[11],通过对盲人盲文阅读速度的实际调研,盲文显示器显示速率的应满足4次/s,即每个凸点一个工作周期所用时间应在250 ms之内,并且单个凸点工作过程中,对相邻的凸点,不能有任何影响。
根据矩型截面泊肃叶公式为
| $ R=\frac{12 \mu l}{w d^{3}}, $ | (4) |
设微阀门流道机械放大倍数ξ为
| $ \xi=\frac{l}{d}。$ | (5) |
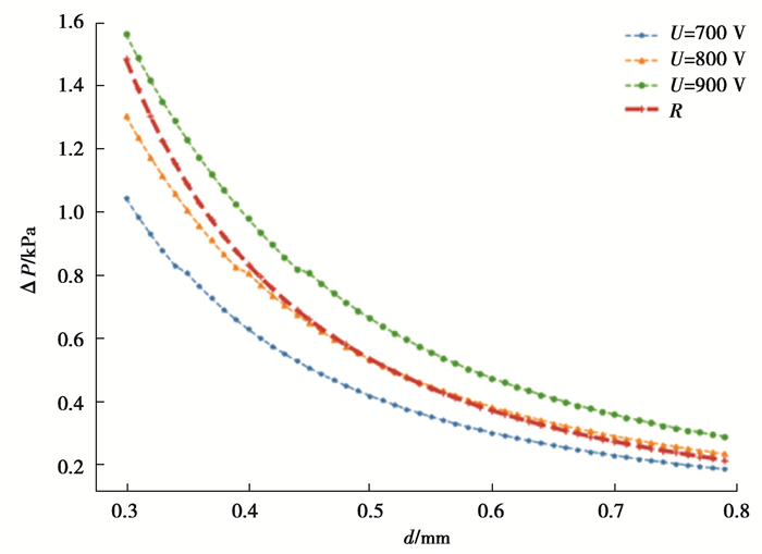
为了满足盲文显示器刷新速率的要求,如图 7所示,当微阀门机械放大倍数ξ一定时,微阀门流阻R会随着阀门间隙d的增大而减小,根据层流阻力计算公式ΔP=Q·R,阀门流动压差ΔPflow也会随着降低,更加有利于微阀门的控制,但阀门间隙d越大,在相同的电场下,微阀门两端所需的施加电压U也越大,盲文显示器体积随之增大,盲文显示器的便携性下降,故阀门间隙d应选择在一定的范围之内。若使用的微阀门介质的流体粘度μ更低,层流阻力将会随之降低,所需阀门静态压差ΔPstatic也会随之降低,临界工作点右移,微阀门间隙d的可控区间会随之增大,可以提升整套系统的可控性。
|
图 7 层流阻力与阀门间隙关系图 Fig. 7 Laminar resistance and valve clearance diagram |
电流变微阀门的参数选择,影响着阀门的工作稳定性,及阀门流量。对用于盲文显示器的矩型截面的电流变液微阀门,其阀门间隙参数选择的临界点会随着微阀门施加电压的升高而增大,因此施加电压及阀门间隙的选择,是阀门设计中需要着重考虑的设计参数。根据文中提供的模型选择的微阀门结构参数,可以供同类应用参考。
| [1] |
World Health Organization. Blindness and vision impairment[EB/OL]. (2021-07-15)https://www.who.int/news-room/fact-sheets/detail/blindness-and-visual-impairment.
|
| [2] |
中国残疾人联合会2010年底残疾人总数与不同残疾程度人数汇总[EB/OL]. http://www.cdpf.org.cn/sjzx/cjrgk/201206/t20120626_387581.shtml, 2010.
|
| [3] |
Afshar A, Hosseini M S, Behzadfar E. Numerical study of the agglomerates dispersion behavior in shear and elongational flow fields in viscous media using Population Balance Modeling(PBM)[J]. Scientia Iranica, 2014, 21(6): 2107-2115. |
| [4] |
Poulek V, Musil J, Valvoda V, et al. Electro-rheology[J]. Journal of Physics D Applied Physics, 1988(12): 1661-1677. |
| [5] |
Rajagopal K R, Ruzicka M. Mathematical modeling of electrorheological materials[J]. Continuum Mechanics & Thermodynamics, 2001, 13(1): 59-78. |
| [6] |
Ivlev A V, Morfill G E, Thomas H M, et al. First observation of electrorheological plasmas[J]. Physical Review Letters, 2008, 100(9): 095003. DOI:10.1103/PhysRevLett.100.095003 |
| [7] |
Gow C J, Zukoski C.F IV. The electrorheological properties of polyaniline suspensions[J]. Journal of Colloid and Interface Science, 1990, 136(1): 175-188. DOI:10.1016/0021-9797(90)90088-6 |
| [8] |
吴昶, 牛蕊, 苏在滨, 等. 电流变液研究新进展[J]. 中国新通信, 2020, 22(4): 235. Wu C, Niu R, Su Z B, et al. New advances in current electrorheological fluids research[J]. China New Telecommunications, 2020, 22(4): 235. (in Chinese) |
| [9] |
徐志超, 伍罕, 张萌颖, 等. 电流变液研究进展[J]. 科学通报, 2017, 62(21): 2358-2371. Xu Z C, Wu H, Zhang M Y, et al. The research progress of electrorheological fluids[J]. Chinese Science Bulletin, 2017, 62(21): 2358-2371. (in Chinese) |
| [10] |
涂福泉, 刘小双, 毛阳, 等. 电流变液的研究现状及其应用进展[J]. 材料导报, 2014, 28(11): 66-68, 88. Tu F Q, Liu X S, Mao Y, et al. Recent progress and application of electrorheological fluids[J]. Materials Review, 2014, 28(11): 66-68, 88. (in Chinese) |
| [11] |
Freyer H, Breitfeld A, Ulrich S, et al. Electrorheological microvalves[M]. UK: WIT Press, 2014.
|
| [12] |
Niu X Z, Wen W J, Lee Y K. Micro valves using nanoparticle-based giant electrorheological fluid[C]//The 13th International Conference on Solid-State Sensors, Actuators and Microsystems, 2005. Digest of Technical Papers. TRANSDUCERS '05. June 5-9, 2005, Seoul, Korea (South). IEEE, 2005: 652-655.
|
| [13] |
徐鲁宁, 李宇飞, 韩立, 等. 电流变液微阀门加工公差带选择与盲文凸点显示关系[J]. 湘潭大学自然科学学报, 2018, 40(5): 30-33. Xu L N, Li Y F, Han L, et al. Relations of displaying Braille dots in a right way and the selection of tolerances in manufacturing ER valves[J]. Natural Science Journal of Xiangtan University, 2018, 40(5): 30-33. (in Chinese) |
| [14] |
中华人民共和国国家质量监督检验检疫总局, 中国国家标准化管理委员会. 中华人民共和国推荐性国家标准: 中国盲文GB/T 15720—2008[S]. 北京: 中国标准出版社, 2009. General Administration of Quality Supervision, Inspection and Quarantine of the People's Republic of China, Standardization Administration of the People's Republic of China. National Standard (Recommended) of the People's Republic of China: Chinese Braille. GB/T 15720—2008[S]. Beijing: Standards Press of China, 2009. (in Chinese) |
| [15] |
Huang J Y, Dou S L, Xu L N, et al. Modeling of refreshing rate and its parametric analysis of a multi-lines Braille display using electrorheological valves matrix[C]//2020 IEEE International Conference on Power, Intelligent Computing and Systems (ICPICS). July 28-30, 2020, Shenyang, China. IEEE, 2020: 388-391.
|
2022, Vol. 45


