2. 中国汽车工程研究院股份有限公司, 重庆 401122
2. China Automotive Engineering Research Institute CO., LTD., Chongqing 401122, P. R. China
机动车保有量的持续增长给中国环境带来了巨大压力。研究表明,大气中的氮氧化物、颗粒物等污染物主要来源于汽车尾气排放,尤其是在城市区域[1-2]。为有效防治机动车尾气排放,改善环境质量,中国生态环境部于2016年12月发布了《轻型汽车污染物排放限值及测量方法(中国第六阶段)》排放法规。该法规不仅新采用了WLTC(world light-duty test cycle)测试循环, 提高了污染物排放达标的要求,还要求车辆进行实际行驶排放(real driving emission, RDE)试验,进一步提高车辆排放测试结果的可靠性和真实性[3-4]。
RDE试验采用便捷式车载排放测试系统(portable emissions measurement systems, PEMS),可在车辆行驶于实际道路的过程中对其污染物排放进行实时监测、分析,这无疑有利于得到更符合车辆真实情况的排放结果[5-6]。为此,国内外学者已经开展了大量RDE试验,但绝大部分都仅仅分析了车辆在非冷启动阶段的排放特征。宋彬等[7]研究了行驶动力学参数对RDE试验非冷启动行程排放结果的影响。邹杰等[8]利用PEMS分析了路线的累积正海拔增量对RDE试验结果的影响。Costagliola等[9]和Suarez-Bertoa等[10]都对RDE试验边界条件与非冷启动阶段污染物排放的关系进行了研究。目前国内外学者主要关注轻型车的非冷启动排放,而对RDE试验中的冷启动排放研究较少。
由于车辆冷启动期间的发动机、润滑系统和尾气后处理系统的温度尚未达到正常水平,其污染物排放往往非常严重。现有研究发现在实验室标准循环下冷启动阶段的污染物排放比热机状态下的排放高11~15倍[11-12]。因此,在RDE试验中考虑冷启动排放有较大的实际意义。欧洲的RDE法规已经走在前列,在其2017年发布的欧六Package 3中要求将RDE试验的冷启动排放纳入市区和全行程排放中计算评估[13]。在此背景下,近几年已有学者开始利用PEMS对冷启动排放展开研究。Faria等[14]研究发现RDE试验中冷启动工况的燃油消耗和污染物排放都显著高于非冷启动工况。Varella等[15]重点研究了冷启动工况的燃油消耗和NOx排放,发现初始环境温度对两者有一定影响但并不具备明显的相关性。Dimaratos等[16]的研究表明冷启动阶段的CO、NOx和PN排放是RDE试验的市区总排放主要来源。Du等[17]从评估方法、发动机启动时热状态以及环境温度几个角度探究RDE试验下冷启动排放的影响因素。在相关研究中,国内外学者主要关注的是温度因素对冷启动排放的影响,缺少从RDE法规角度考虑冷启动试验边界条件(如环境条件、行程动力学状态等)对试验结果的影响,以此确定可实施的冷启动试验程序。中国国六法规正逐步在全国范围内实施,有关下一步排放法规的修订也在持续推进,将冷启动排放纳入RDE试验中评估是未来法规发展的必然趋势。
为探究轻型汽油车在RDE试验中的冷启动排放特征,笔者利用PEMS对1辆轻型汽油车进行了共计8次RDE试验,分析其冷启动阶段污染物(CO、CO2、NOx、PN)排放特征及排放结果产生差异的原因。
1 试验方案 1.1 试验车辆试验选用1辆满足国六a阶段法规要求的轻型自动挡汽油车,发动机排量为2.0 L,最大功率为151 kW,燃油标号为92号汽油,采用涡轮增压和缸内直喷技术,喷油控制策略为闭环控制,并配备有三效催化转化器和汽油机颗粒物捕捉器作为尾气后处理装置,整车整备质量为1 935 kg,进行本试验前已行驶里程11 596 km。
1.2 测试设备车载排放测试设备安装布置如图 1所示,选用日本HORIBA公司生产的OBS-ONE便携式排放测试系统,其测试模块主要分为两大板块:气体污染物分析仪(HORIBA-GS)和颗粒物实时测量系统(HORIBA-PN),分别测量机动车尾气气态污染物和颗粒物的浓度。同时,利用全球定位系统(GPS)获取车速、经度、纬度和海拔高度信息,环境温度和湿度信息由气象站监测,车载诊断(OBD)提供发动机转速、冷却液温度等发动机运转参数。
|
1.OBS-ONE主单元;2.电池;3.GPS;4.气象站;5.控制计算机;6.OBD通讯连接;7.排气流量计 图 1 车载排放测试设备安装布置示意图 Fig. 1 The installation layout of PEMS equipment |
所有RDE试验均在重庆市进行,在渝北区和江津区选取了4条路线,具体试验路线见图 2。此外,表 1展示了4条路线的道路坡度信息,表中“平缓路段占比”统计的为道路坡度在±1%范围内行驶的里程在相应路段总行驶里程中的占比;“上坡路段占比”和“下坡路段占比”统计的分别为道路坡度大于1%和小于-1%的行驶里程在相应路段总行驶里程中的占比。所选的试验路线均覆盖了市区、市郊和高速3种路段,并确保每条路线的市区、市郊和高速路段的行驶距离超过16 km,试验总行驶时长均保持在90~120 min。
|
图 2 试验路线 Fig. 2 Experimental routes |
| 表 1 试验路线信息 Table 1 Information of the experimental routes |
测试步骤严格按照国六法规相关要求执行,每条路线完成2次RDE试验,共计8次试验。每次试验前车辆都经过了12 h以上的浸车处理,确保发动机润滑油、冷却液和尾气后处理装置的温度与环境温度达到一致。此外,所有试验均从市区开始,依次行驶于市区、市郊及高速3种道路,其中市区行驶车速低于60 km/h,市郊行驶车速在60 km/h和90 km/h之间,高速路段车速大于90 km/h但低于120 km/h。每次试验都记录了试验车辆在冷启动、市区、市郊和高速工况下行驶的测试数据。车辆在4条路线的行驶工况信息以及试验过程中的大气压力变化如图 3所示。
|
图 3 行驶工况及测试过程大气压力变化图 Fig. 3 Speed-time profile of the four routes and change of atmospheric pressure during tests |
对于冷启动持续时段,国六法规采用时间和发动机冷却液温度两条并行判别标准,即车辆初次启动发动机后的300 s内为冷启动阶段;或以冷却液温度达到70 ℃作为冷启动结束的标志,但前提是冷却液温度达到70 ℃的时间不超过发动机初次启动后300 s。将8次RDE试验按照1~8进行编号,试验的冷启动行程信息如表 2所示。T0为初始冷却液温度,Tend为冷启动判断结束时冷却液温度,P为冷启动行程的平均大气压力。
| 表 2 8次RDE试验冷启动行程信息 Table 2 The cold-start trip information of eight RDE tests |
国六RDE法规目前只要求记录冷启动阶段的排放数据,而在最终的市区和全行程排放量计算过程中需将其剔除(即不考虑冷启动排放)。此外,国六法规规定采用移动平均窗口法计算污染物排放因子(单位行驶里程的排放量),但有研究表明采用移动平均窗口法处理包含冷启动的RDE试验数据并不合理[17],笔者在研究中也发现移动平均窗口法无法准确得到冷启动排放因子。因此,在后续分析中没有采用移动平均窗口法计算冷启动以及市区的排放因子,而是参照欧六RDE法规Package 4中的办法对包含冷启动的瞬时排放数据进行直接累积平均得到污染物的排放因子,如式(1)所示。
| $ E_{\varphi, k}=\frac{\sum_{i=1}^{k} M_{\varphi, i}}{D_{k}}, $ | (1) |
式中:Eφ, k为污染物排放因子,下标φ表示污染物排放类别(CO、CO2、NOx、PN),下标k指代路段(市区或全行程);Mφ, i为污染物瞬时质量排放, i=1, 2, …, k;Dk为市区或全行程的行驶距离。
鉴于冷启动排放最终是被纳入RDE的市区和全行程中进行评估,研究中将冷启动行程的瞬时质量排放累积后除以市区或全行程行驶距离得到冷启动排放因子,以此来量化冷启动排放对市区或全行程排放因子的贡献,冷启动排放因子计算式为
| $ E_{\varphi, c}=\frac{\sum_{i=1}^{c} M_{\varphi, i}}{D_{k}}, $ | (2) |
式中Eφ, c为冷启动污染物排放因子,下标c指代冷启动行程。
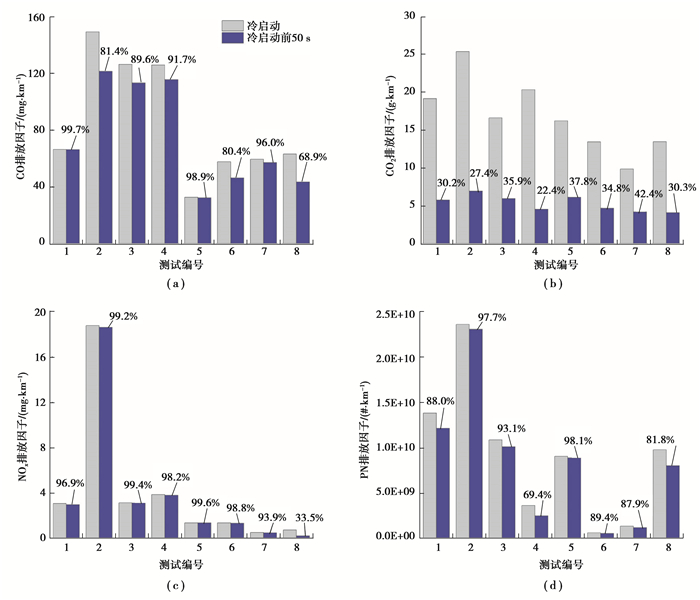
3 试验结果 3.1 冷启动污染物排放结果采用累积平均法计算得到市区和冷启动行程的CO、CO2、NOx及PN排放因子如图 4所示。此外,图 4还以百分数的形式展示了冷启动行程的污染物排放在整个市区行程排放中的占比。由图可见,冷启动排放在市区排放中占有相当大的比重,其中,8次试验冷启动行程的CO排放在各自市区CO排放中的占比平均达到了28.3%,其最高占比达到51.5%。冷启动行程的NOx排放平均占比高达31.9%,PN排放平均占比更高达39.8%。而冷启动行程的CO2排放在市区排放的占比明显低于CO、NOx和PN排放,最高占比仅为9.1%。由此说明,虽然冷启动持续时间短(不到300 s),但期间污染物排放极高,冷启动排放必定是未来传统燃油车排放控制的重点,因而在RDE试验中考虑冷启动排放有较大的实际意义。
|
图 4 市区(含冷启动)行程与冷启动行程的污染物排放结果对比 Fig. 4 Comparison of pollutant emission results between the urban trips (including cold-start) and cold-start trips |
此外,从图 4还可以看出,8次试验冷启动污染物排放因子变化范围很大,尤其是CO、NOx和PN排放,在RDE试验中考虑冷启动排放势必会进一步降低试验的可重复性和评估结果的一致性。因此,有必要对冷启动排放差异产生的原因加以研究。
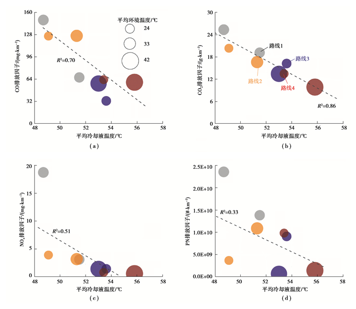
3.2 冷启动排放影响因素 3.2.1 温度因素图 5为8次试验冷启动污染物排放因子随冷启动阶段的平均冷却液温度变化关系图,此外,图中还以气泡直径表示冷启动阶段的平均环境温度,以气泡颜色区分试验路线,从而可综合考虑平均冷却液温度、环境温度以及试验路线对冷启动排放因子的影响。每条路线完成了2次试验,故一共有8个、4种颜色不同的气泡。由图 5可知,冷启动CO2和CO排放因子都与平均冷却液温度表现出良好的负相关性,但NOx和PN排放与平均冷却液温度没有明显的相关性。从气泡大小来看,所有污染物排放高的气泡其直径时大时小,并无明显的规律,说明平均环境温度对冷启动排放因子影响有限,这可能是由于本文的试验环境温度均在20 ℃以上,环境温度变化对冷启动排放的影响不明显;此外,从气泡颜色分布来看,同一颜色的气泡对应的污染物排放因子有高有低,说明试验路线也不是冷启动排放因子产生差异的主要原因。
|
图 5 冷启动污染物排放随平均冷却液温度和环境温度变化关系 Fig. 5 ollutant emission of cold-start with average coolant temperature and ambient temperature |
车辆冷启动阶段的平均冷却液温度主要与初始冷却液温度(通常与环境温度一致)及发动机的运转情况有关,低温环境会影响平均冷却液温度、尾气后处理系统的起燃时间并延长冷启动持续时间,因而会对冷启动排放产生影响[18]。而当前RDE法规的温度边界条件(普通条件0~30 ℃;扩展条件-7~0 ℃或30~35 ℃)对于开展冷启动试验可能过于宽泛。
3.2.2 行程动力学因素图 6为8次试验冷启动污染物排放因子随冷启动行程的平均车速变化关系图,此外,图中还以气泡直径表示冷启动行程的动力学参数RPA(相对正加速度,图中用aRPA表示),以气泡颜色区分试验路线。由图可知,冷启动NOx、PN排放因子与平均车速有较强的正相关性,CO2排放也与平均车速具有一定的正相关性,而CO排放则与平均车速无明显相关性。从气泡大小来看,同一颜色的气泡较大者其污染物排放普遍较高,但从8次试验结果来看,冷启动污染物排放因子与气泡大小并无一致的规律,这说明冷启动全程的RPA无法反映其污染物排放的变化。同理,分析图 7也无法得到冷启动污染物排放因子随v·apos[95](车速与正向加速度乘积按升序排序的第95个百分位)变化的规律。
|
图 6 冷启动污染物排放随平均车速和RPA变化关系 Fig. 6 Pollutant emissions of cold-start with average vehicle speed and RPA |
|
图 7 冷启动污染物排放随平均车速和v·apos[95]变化关系 Fig. 7 Pollutant emissions of cold-start with average vehicle speed and v·apos[95] |
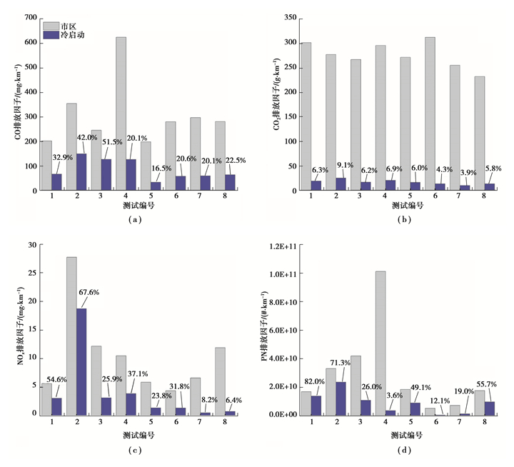
鉴于在冷启动全程中无法看出冷启动排放因子随动力学参数RPA和v·apos[95]的变化规律,笔者在研究中发现冷启动的污染物排放主要集中在其初始阶段,故深入至冷启动前50 s的时间段,计算出冷启动前50 s的污染物排放对市区排放的贡献(即冷启动前50 s排放因子),并与冷启动全程的排放因子进行对比,得到结果如图 8所示。由图可知,冷启动前50 s的CO、NOx和PN排放在整个冷启动行程中占有极高的比重,其中,8次试验冷启动前50 s的CO排放在各自冷启动全程的CO排放中的占比平均达到88.3%,前50 s的NOx排放和PN排放占比也平均分别达到89.9%和88.2%。而与CO、NOx和PN排放相比,冷启动前50 s的CO2排放在冷启动全程排放中的占比相对较低,最高仅占42.4%。这说明不同污染物对冷启动的敏感程度有较大区别,CO、NOx和PN排放对冷启动过程极为敏感,而CO2排放的敏感程度则远小于前三者。
|
图 8 冷启动全程与冷启动前50 s的污染物排放结果对比 Fig. 8 Comparison of pollutant emission results between total cold-start trips and the first 50 seconds of cold-start |
另外,通过对比图 8中8次试验冷启动前50 s的CO排放因子可知,前50 s排放因子的差异是产生冷启动全程CO排放因子差异的主要原因。同理,冷启动全程的NOx以及PN排放因子的差异也分别是前50 s NOx和PN排放因子差异造成。为此,笔者统计了8次试验冷启动前50 s内的污染物瞬态排放,并以v·apos(车速与正向加速度的乘积)表征车辆瞬时动力学状态,研究它们之间的关系。
图 9为冷启动阶段前50 s的CO、NOx和PN瞬时排放与瞬时v·apos对比图。图中可见,在最开始20 s内,8次试验都出现了CO排放的瞬时排放尖峰,这是由于发动机的冷启动采用了浓混合气,燃料燃烧不充分。但2号试验的瞬时排放峰值明显高于其余7次试验,这与2号试验在7~13 s期间出现了瞬时v·apos尖峰密切相关。同理,在最开始的20 s内,2号试验出现的显著高于其余7次试验的瞬时NOx和PN排放尖峰,也是因其出现了瞬时v·apos尖峰。这些异常的排放尖峰也正是2号试验冷启动行程的CO、NOx和PN排放因子高于其余7次试验的主要原因。然而,在20 s之后出现的v·apos尖峰对污染物瞬时排放的影响逐渐减小,如2号试验在21~28 s、34~46 s出现v·apos尖峰的位置,也相应出现了CO、NOx排放尖峰,但这些排放尖峰的峰值都明显低于其在7~13 s的排放峰值。此外,3号试验在21~30 s、37~42 s出现的v·apos尖峰与对应出现的CO、NOx和PN瞬时排放尖峰的关系也展现出了类似规律。这种现象与发动机缸体、润滑系统以及尾气后处理系统温度的逐渐升高密切相关。由此可解释在3.2小节中讨论的冷启动排放因子与冷启动全行程的动力学参数(RPA和v·apos[95])相关性不明显的原因,因为冷启动初始阶段(如冷启动前50 s内)与冷启动非初始阶段(如冷启动50 s之后)的污染物排放受车辆行驶动力学状态的影响有本质区别,冷启动初始阶段的排放受动力学因素的影响大,尤其是最开始的20 s。而与之相比,非初始阶段的排放受动力学因素的影响则小很多。采用冷启动全行程动力学参数不能完全反映冷启动初期动力学特征,故无法找到其与冷启动排放因子的联系。这也说明在RDE试验中必须对冷启动初期的行驶动力学参数加以严格限定,而不是单一规定冷启动全行程的行驶车速、动力学参数(如RPA和v·apos[95])等,这样才能最大程度确保包含冷启动排放的RDE试验程序的客观性与规范性。
|
图 9 冷启动前50 s污染物瞬时排放与瞬时v·apos对比 Fig. 9 Comparison of instantaneous pollutant emissions and instantaneous v·apos in the first 50 seconds of cold-start |
1) 实际行驶排放(RDE)试验中冷启动排放对市区排放的贡献较大,尤其是冷启动初始阶段(如冷启动的前50 s)的排放。冷启动阶段的CO、NOx和PN排放在市区排放中的占比分别高达28.3%,31.9%和39.8%,冷启动阶段的CO2排放的平均占比也达到了5.8%。因此在RDE试验中考虑冷启动排放有较大的实际意义。
2) 冷启动试验结果不具有重复性,不同RDE试验中冷启动CO、NOx和PN排放结果可能出现较大差别。从冷启动全程来看,CO和CO2排放因子都与平均冷却液温度表现出较强的相关性;而NOx和PN排放因子与平均冷却液温度的相关性不明显。此外,冷启动NOx和PN排放因子与冷启动阶段的平均车速存在强相关性,CO2排放因子也与平均车速具有较强的相关性,而CO排放因子与平均车速的相关性不明显。
3) 冷启动全行程的RPA和v·apos[95]不能很好反映污染物排放因子的变化,但冷启动初始阶段的CO、NOx和PN排放尖峰的出现都与v·apos变化密切相关,尤其在车辆启动后最开始20 s,CO、NOx和PN排放受v·apos的影响较大。
4) 文中试验所涉及的环境温度均在20 ℃以上,而低温环境对冷启动排放的影响不可忽视,当前RDE法规的温度边界条件对于开展冷启动试验可能过于宽泛,相关研究有待进一步深入。
当前国六RDE排放法规中尚未考虑冷启动排放,为了更加真实、全面地评价车辆实际行驶污染物排放,将冷启动排放纳入市区和全行程排放中评估是十分必要的。但冷启动的试验结果重复性差,故在包含冷启动排放的RDE试验程序修订过程中,需要充分考虑试验边界条件(如环境温度、动力学参数)对冷启动排放的影响,尤其要对冷启动初始阶段(如冷启动的前50 s)的动力学参数进行严格限定,以便在考虑冷启动排放的同时保证RDE试验结果具有良好的一致性。
| [1] |
European Environment Agency. Emissions of air pollutants from transport[EB/OL]. Copenhagen, Denmark, 2018[2021-02-04]. https://www.eea.europa.eu/data-and-maps/indicators/transport-emissions-of-air-pollutants-8/transport-emissions-of-air-pollutants-6.
|
| [2] |
Hooftman N, Messagie M, van Mierlo J, et al. A review of the European passenger car regulations - Real driving emissions vs local air quality[J]. Renewable and Sustainable Energy Reviews, 2018, 86: 1-21. DOI:10.1016/j.rser.2018.01.012 |
| [3] |
Vlachos T G, Bonnel P, Perujo A, et al. In-use emissions testing with portable emissions measurement systems (PEMS) in the current and future European vehicle emissions legislation: overview, underlying principles and expected benefits[J]. SAE International Journal of Commercial Vehicles, 2014, 7(1): 199-215. DOI:10.4271/2014-01-1549 |
| [4] |
Triantafyllopoulos G, Dimaratos A, Ntziachristos L, et al. A study on the CO2 and NOx emissions performance of Euro 6 diesel vehicles under various chassis dynamometer and on-road conditions including latest regulatory provisions[J]. Science of the Total Environment, 2019, 666: 337-346. DOI:10.1016/j.scitotenv.2019.02.144 |
| [5] |
May J, Bosteels D, Favre C. An assessment of emissions from light-duty vehicles using PEMS and chassis dynamometer testing[J]. SAE International Journal of Engines, 2014, 7(3): 1326-1335. DOI:10.4271/2014-01-1581 |
| [6] |
Khan T, Frey H C. Comparison of real-world and certification emission rates for light duty gasoline vehicles[J]. Science of the Total Environment, 2018, 622/623: 790-800. DOI:10.1016/j.scitotenv.2017.10.286 |
| [7] |
宋彬, 葛蕴珊, 尹航, 等. 行驶动力学参数对RDE实验结果的影响研究[J]. 汽车工程, 2018, 40(4): 389-395, 442. Song B, Ge Y S, Yin H, et al. A study on the effects of driving dynamics parameters on the results of RDE test[J]. Automotive Engineering, 2018, 40(4): 389-395, 442. (in Chinese) |
| [8] |
邹杰, 杜宝程, 岳大俊, 等. 累计正海拔增量对轻型汽油车实际行驶排放试验的影响[J]. 重庆大学学报, 2021, 44(12): 43-53. Zou J, Du B C, Yue D J, et al. Impact of cumulative positive elevation gain on real driving emission test of light-duty gasoline vehicle[J]. Journal of Chongqing University, 2021, 44(12): 43-53. (in Chinese) |
| [9] |
Costagliola M A, Costabile M, Prati M V. Impact of road grade on real driving emissions from two Euro 5 diesel vehicles[J]. Applied Energy, 2018, 231: 586-593. DOI:10.1016/j.apenergy.2018.09.108 |
| [10] |
Suarez-Bertoa R, Valverde V, Clairotte M, et al. On-road emissions of passenger cars beyond the boundary conditions of the real-driving emissions test[J]. Environmental Research, 2019, 176: 108572. DOI:10.1016/j.envres.2019.108572 |
| [11] |
Clairotte M, Adam T W, Zardini A A, et al. Effects of low temperature on the cold start gaseous emissions from light duty vehicles fuelled by ethanol-blended gasoline[J]. Applied Energy, 2013, 102: 44-54. DOI:10.1016/j.apenergy.2012.08.010 |
| [12] |
Dardiotis C, Martini G, Marotta A, et al. Low-temperature cold-start gaseous emissions of late technology passenger cars[J]. Applied Energy, 2013, 111: 468-478. DOI:10.1016/j.apenergy.2013.04.093 |
| [13] |
European Commission. Commission Regulation (EU) 2017/1154 of 7 June 2017 amending Regulation (EU) 2017/1151 supplementing Regulation (EC) No 715/2007 of the European Parliament and of the Council on type-approval of motor vehicles with respect to emissions from light passenger and commercial vehicles (Euro 5 and Euro 6) and on access to vehicle repair and maintenance information, amending Directive 2007/46/EC of the European Parliament and of the Council, Commission Regulation (EC) No 692/2008 and Commission Regulation (EU) No 1230/2012 and repealing Regulation (EC) No 692/2008 and Directive 2007/46/EC of the European Parliament and of the Council as regards real-driving emissions from light passenger and commercial vehicles (Euro 6)[S]. Official Journal of the European Union, 2017.
|
| [14] |
Faria M V, Varella R A, Duarte G O, et al. Engine cold start analysis using naturalistic driving data: city level impacts on local pollutants emissions and energy consumption[J]. Science of the Total Environment, 2018, 630: 544-559. DOI:10.1016/j.scitotenv.2018.02.232 |
| [15] |
Varella R A, Duarte G, Baptista P, et al. Analysis of the influence of outdoor temperature in vehicle cold-start operation following EU real driving emission test procedure[J]. SAE International Journal of Commercial Vehicles, 2017, 10(2): 596-697. DOI:10.4271/2017-24-0140 |
| [16] |
Dimaratos A, Toumasatos Z, Triantafyllopoulos G, et al. Real-world gaseous and particle emissions of a Bi-fuel gasoline/CNG Euro 6 passenger car[J]. Transportation Research Part D: Transport and Environment, 2020, 82: 102307. DOI:10.1016/j.trd.2020.102307 |
| [17] |
Du B C, Zhang L, Geng Y T, et al. Testing and evaluation of cold-start emissions in a real driving emissions test[J]. Transportation Research Part D: Transport and Environment, 2020, 86: 102447. DOI:10.1016/j.trd.2020.102447 |
| [18] |
Suarez-Bertoa R, Astorga C. Impact of cold temperature on Euro 6 passenger car emissions[J]. Environmental Pollution, 2018, 234: 318-329. DOI:10.1016/j.envpol.2017.10.096 |
2022, Vol. 45


