新时代网络科技的不断发展,使得信息化早已成为新的生产力和发展方向,并深度涉猎当下各个领域的发展。科普工作是提高公众科学文化素质的重要举措,社区科普已然成为科普实践的重要组成部分。在信息化背景下,当前在城镇社区开展的社区科普工作在各方面都取得了新进展和突破。因此,“理解互联网时代的‘人’,把握互联网时代的传播规律,加速对传统科普的革新,加快推进科普信息化是互联网时代对科普提出的明确要求。”[1]走入城镇社区调研了解居民对社区科普工作的需求度和满意度,分析当前城镇社区居民科普需求的现状,以及城镇社区居民对社区现有科普内容和科普渠道的满意度情况,深度探索信息化背景下社区居民对科普的潜在需求和社区科普工作发展中出现的问题,以寻求更好的供给来满足公众科普的需要。
一、问卷设计 (一)问卷设计理念及原则 1. 问卷设计理念本文主要以贝罗的传播模式与马斯洛需求层次理论作为研究的理论基础。
早在1960年,传播学家贝罗就在《传播的过程》一书中提出“四要素”模型。他认为,传播过程应包括信源、信息、通道、接受者四个基本要素,并且唯有当四个要素共同作用时,才能达到良好的传播效果。因此,本次问卷设计,以接受者为主要参与对象,重点突出群众对科普内容和科普渠道的需求度和满意度的调查,旨在更全面地探究信息化背景下城镇社区科学传播中存在的问题。
马斯洛需求层次理论是美国心理学家亚伯拉罕·马斯洛1943年在《人类激励理论》一文中提出的,是人本主义科学的理论之一。书中将人类需求像阶梯一样从低到高按层次分为五种,分别是生理需求、安全需求、社交需求、尊重需求和自我实现需求。在此基础上问卷设计将居民对科普内容的需求从低到高分为三个层次,即生存层面、生活层面和发展层面,以探索居民的科普需要层次。
2. 问卷设计原则问卷调查是目前科学研究广泛采用的调查方式,本课题调查问卷设计遵循目的性原则、逻辑性原则、通俗性原则、明确性原则和非诱导性原则。采用简洁明了的形式将问卷分为三个小板块,设计了16个问题,其中为全面收集信息设有3个多选题,每一个问题都不可或缺,以求全方位了解城镇社区居民对科普的需求度和满意度。
(二)问卷设计指标体系问卷以“信息化背景下城镇社区居民对科普的需求度及满意度”为研究假设进行指标设计。将“基本问题”“需求度”和“满意度”三个设为一级指标,并在此基础上分别构建二级指标,作为问卷的指标体系。整个指标构建框架如图 1所示:
|
图 1 调查指标设计 |
总之,通过多角度和多层次相结合、横向和纵向相结合的方法来设计问卷调查指标,以更全面、更深入地调查信息化背景下城镇社区居民对科普的需求度及满意度,得到更真实有效的现状分析,最终提出更具针对性的意见和建议。
二、社区居民科普需求度及满意度现状调查结果 (一)调查方式及调查对象基本情况 1. 问卷调查的基本情况调查主要采取问卷方法,通过线上线下随机抽样来发放问卷。线上问卷的发放,即通过各个社区的业主微信群、QQ群等平台及网络发放问卷;线下则主要走进社区,采取问卷和访谈相结合的方式,以重庆为样本分区域进行了调查,其中回收问卷800份,有效问卷775份。
2. 调查对象的基本情况在一级指标“基本情况”下设置的二级指标分别是:性别、年龄、文化程度。有效回收的775份问卷中,在被调查者的性别构成方面(如图 2),男性填答者占样本总数的39.87%,女性填答者占样本总数的60.13%;在被调查者的年龄构成方面(如图 3),25岁以下的被调查者占总数的47.36%,25岁以上的被调查者占总数的52.64%;在被调查者的文化构成方面(如图 4),大专、高职学历以下的的被调查者占总数的25.8%;大学本科及以上学历的被调查者占总数的74.19%。
|
图 2 性别构成(%) |
|
图 3 年龄构成(%) |
|
图 4 学历构成(%) |
重要性是相对于需求来说的,当人们内心需求强烈时,便认为其重要。在调查中发现(如图 5),高达98.2%的被调查者认为社区科普工作重要(包括一般重要、比较重要以及非常重要),仅有1.8%的被调查者认为社区科普工作不重要(包括比较不重要和不重要)。由此可见,在思想意识层面,社区科普工作的重要性在城镇社区居民的心中不言而喻,他们对社区科普具有很大的需求。
|
图 5 社区科普工作重要性 |
为了进一步探索城镇居民重视科普工作的动机,问卷从原因和目的两个方面设计问题来反映居民参加社区科普的需求。从数据统计得出(如图 6、图 7):一方面,城镇居民接受科普信息主要出于解决实际问题,如80.9%的被调查者希望通过社区科普“了解衣食住行中的科学,让生活更加健康、便捷”,这种外在性的动机占据了主要部分,是城镇社区居民参与科普的主要原因;另一方面,有44.77%的被调查者选择了兴趣爱好,内在兴趣成为居民参与社区科普新的动力增长点。
|
图 6 参加社区科普活动的主要原因 |
|
图 7 参加社区科普的益处 |
总之,根据调查城镇社区居民参与社区科普的原因和目的,了解到由于内在和外在动力机制的双重影响,大多数城镇居民认为科普工作具有一定的重要性。因此在开展社区科普的过程中,既要满足居民的外在动机,也要满足居民的内心需求。
2. 科普内容的需求现状(1) 关注内容丰富多样,生存类主题仍然是重点。基于美国心理学家马斯洛提出的需要层次理论,设计居民对科普内容方面的需求度调研方式。将居民对科普内容的需求从低到高分为三个层次:一是生存层面,包括食品安全、医疗卫生、急救复苏、应急避险、家庭用电用气安全及气候与环境;二是生活层面,包括营养膳食、心理健康、科学原理、节能环保及权威辟谣;三是发展层面,包括信息科技、航空航天、人文地理及科学艺术。
在调查中,问到城镇社区居民“期望通过社区信息化平台了解的科普话题”时(如图 8),超过半数以上的城镇社区居民均期望获得生存类即与自身生存息息相关的科普信息,尤其是“食品安全”类信息以72.13%的比率高居15类科普话题榜首。并且,“营养膳食”“心理健康”为主的生活类信息分别位于15类科普话题中的第三和第四位,且超过50%的被调查者对这两个科普话题感兴趣。此外,居民对“信息科技”等发展类话题也有所关注。由此可知,生活水平上升后,城镇居民对科普内容的需求日趋丰富,对各类科普话题都有所需要,但在众多话题之中,生存类话题仍是居民所关注的热点和焦点。
|
图 8 期望通过社区科普信息化平台了解的科普主题 |
(2) 不同群体对科普内容的需求有所不同。群体是由两个或更多相互作用和相互影响的个体组成的。特定的群体具有该群体一定共同或相似的特点、需求等等。因此,在社区居民对科普内容的整体需求下,不同的群体对科普内容需求的侧重点也有所不同。
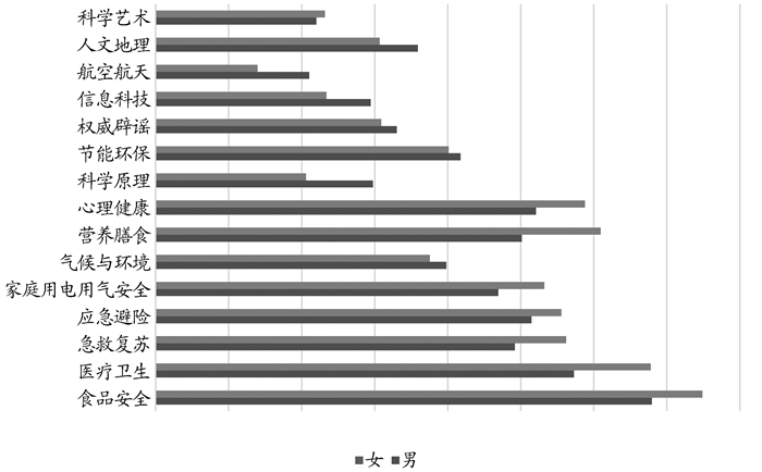
其一,性别不同,需求不同。根据图 9显示,男性居民相较女性而言更感兴趣的话题有:航空航天、信息科技、科学原理、人文地理、权威辟谣、节能环保以及气候与环境等科普内容,基本属于生活类和发展类的话题,且大部分与社会发展紧密相关。女性则更关注食品安全、医疗卫生、急救复苏、应急避险、家庭用电用气安全、营养膳食、心理健康以及科学艺术等科普内容,属于与自身更息息相关的生存类话题。简言之,男女所关注的科普内容有所侧重,男性似乎更有“忧天”情怀,而女性更多是“虑己”。
|
图 9 男女关注的科普内容对比图 |
其二,年龄不同,需求不同。各个年龄阶层对科普话题的关注也所有不同,可以比较清楚地看出(如图 10):第一,随着年龄的增长,城镇居民对食品安全、营养膳食以及医疗卫生等方面的关注越来越多,对生存类主题的需求程度更为强烈;第二,25-44岁年龄阶段的群体,他们可能逐渐承担起家庭的重任,对科普的认知更多源于生活,对家用电器等方面的关注较集中;第三,24岁及以下的青年群体由于处在身心发展的阶段,对心理健康、科学原理、权威辟谣的关注更多,普遍更关心发展类话题。
|
图 10 各年龄阶层关注的科普内容折线图 |
(1) 社区居民重视科普渠道的建设。社区科普工作的开展离不开科普渠道,科普渠道依托于科普设施。根据问卷数据统计表明(图 11),绝大部分社区居民表示社区需要科普设施:43.87%的被调查者认为非常需要科普设施,38.58%的被调查者认为科普设施比较需要。
|
图 11 城镇社区居民对社区科普设施的需要程度 |
(2) 城镇社区居民对信息化科普渠道更为青睐。根据文献资料和现实经验,将科普渠道罗列为以下10种,分别是:网络移动端(手机、平板)、科普电子屏、上网PC端(电脑)、楼宇电视、电视频道、广播、社区科普活动、社区科普宣传栏、图书报刊、与人交流。根据数据显示(如图 12),城镇社区居民期望获取科普知识的渠道,按比例依次为:网络移动端(手机、平板)、科普电子屏、上网PC端(电脑)、楼宇电视、电视频道、社区科普活动、社区宣传栏、图书报刊、广播、与人交流等。
|
图 12 城镇社区居民期望获取科普知识的渠道 |
在城镇社区居民期待的社区科普渠道中(如图 12),排名前三的科普渠道分别是移动(手机、平板)网络、科普电子屏、上网PC端(电脑)。这三种途径都是基于数字化、智能化的信息化技术手段。就比率来说,信息化科普渠道远高于其他科普渠道的比率。而社区宣传栏、图书报刊、广播、与人交流等传统渠道相对需求较少。由此可知,在互联网普及的形势下,信息化技术丰富了科普受众获取信息的渠道,信息化的科普渠道更为人们所期待。
(三)城镇社区居民关于科普满意度的现状分析 1. 城镇社区居民对科普满意度的总体情况在设计调查问卷时,期望通过了解城镇居民科普信息的获取程度来衡量其对社区科普内容的满意度。根据调查问卷数据显示(如图 13),接近一半的被调查者认为现有渠道只能满足0%-40%科普知识的获取,且只有6.16%的受访者认为目前可以满足其81%-100%科普知识的了解需要。这表明,从现有科普渠道上接受科普知识,受调查的城镇社区居民总体是认可的,但满意度不高,仍有需要改进和革新的地方。
|
图 13 现有科普渠道接受科普知识的程度 |
调查中,谈及城镇居民对现有科普传播内容的态度时(如图 14),多数社区居民给予了正面的评价,这说明社区科普工作取得了一定的成效。但值得注意的是,33.63%的被调查者对于目前接受的科普内容并不满意,且就单项指标来看,虽然总体比较满意,但社区居民对于社区工作者传播的科普内容在科学性、真实性、时效性、趣味性、丰富性上都认为还具有很大的提升空间。
|
图 14 社区居民对现有科普传播内容的态度 |
数据显示(如图 15),从总体上看,就城镇社区居民对现有科普渠道的满意度而言,非常满意和比较满意的人数占被调查者总数的31.48%;而一般满意、不太满意和不满意的人数占被调查者总数的68.52%。这说明,尽管在科普渠道十分多样化的形势下,现有科普渠道仍未能完全满足社区居民对科普渠道的需求。
|
图 15 社区居民对现有科普渠道的满意程度 |
为了进一步了解城镇居民对科普渠道的需求,将城镇社区居民期待获取科普知识的渠道比率和现在获取科普知识的渠道比率之间算出差值(表 1),如数值越大,说明需求与供给的差异程度越高,也便意味着居民对此渠道的不满意程度越大。由此,可清楚看到,差值从高到低排列,依次是科普电子屏(21.29%)、楼宇电视(14.32%)、网络移动端(手机、平板)(14.06%)、上网PC端(电脑)(10.45%)、电视频道(6.97%)、社区科普活动(-0.39%)、广播(-0.77%)、图书报刊(-3.61%)、与人交流(-14.83%)、社区科普宣传栏(-27.87%)。由此可知,城镇居民对于信息化科普渠道期待比例与实际拥有的比例有较大差距,即社区居民对现有的信息化科普渠道不太满意,其中,科普电子屏、楼宇电视、网络移动端(手机、平板)的差距尤为突出。
| 表 1 社区居民期望科普渠道和现有科普渠道之间差值 |
随着经济的发展,人民在物质生活得到满足的同时,对精神生活也有了极大的追求。因此,人们对科普需求度越来越高的同时,社区科普工作在信息化科技浪潮下也得到了不断的完善和发展,更加满足了城镇居民的科普需求,并取得了一定成效。但随着城镇社区居民自身科学素养的不断提升,其对科普知识的需求越来越多,现有的科普工作仍不能很好地满足公众的需求。具体表现在:一方面,城镇社区科普内容供给的多样性、层次性和精准性欠缺;另一方面,城镇社区科普信息化渠道不够丰富。在城镇社区科普内容、科普渠道方面出现的供给侧和需求侧之间的差距,正是城镇社区科普信息化建设不足之处的体现。因此,不断加强和完善信息化背景下科普工作供给侧的建设,以满足城镇居民的科普需求,成为社区科普工作的重要任务。
三、信息化背景下创新城镇社区科普工作的有效途径“科普的公众需求状况是科普信息化的出发点,而对科普供给状况的革新是科普信息化的落脚点。”[2]因此,在了解城镇社区居民对科普的需求度以及满意度后,应进一步完善科普供给,补齐“短板”,以满足公众的需求。
(一)利用信息化平台,加强科普宣传教育根据中国互联网信息中心(CNNIC)最新发布的《第42次中国互联网络发展状况统计报告》,截至2018年6月,中国网民规模为8.02亿,互联网普及率达57.7%;其中,中国手机网民规模达7.88亿,网民中使用手机上网人群的占比达98.3%[3]。新时代科学技术日新月异,推动着时代的发展,而互联网早已融入居民生活的各个方面,发挥着巨大的潜在作用。
互联网技术的发展,深刻改变着传统行业,促使其更新换代,科普工作已实现了由传统科普向科普信息化的转变,科普信息化建设取得了巨大的成就。但问卷数据显示,有58.92%的被调查社区居民不知道科普中国、果壳网等这类科普新媒体。究其原因,从公众角度来看,一方面,可能是由于社区居民对网络新媒体不关注,没有浏览科普类的网站、订阅微信公众号等;另一方面,可能是社区居民“有心无力”,没有找到搜集这些信息的途径; 或者,由于网络“信息鱼龙混杂”“使得人们对网络上的科普信息半信半疑”[4],从而导致城镇居民产生了不信任的因素。从科普工作角度看,则表明科普工作并没有发挥好良好的传播和引导作用,以致出现公众“不知道”“找不到”或“不信任”科普新媒体的情况。
公众对科普的理解影响着其参与科普的热情和积极性,因此加大科普宣传力度尤为重要,要充分利用网页、微信公众号、APP等媒介,大力进行科学普及,加强科普宣传教育,以进一步提高公众的科学素质。
(二)运用信息化工具,实现科普内容供给的转换在传统科普中,传播科普内容往往是科普传播者选择传播的内容,然后通过一定的物质载体传播给受众。互联网的出现,使得城镇居民可以自主通过智能终端、光纤网络来获取海量信息的同时,社区科普也可以通过搜索引擎等技术来描画社区居民的科普搜索行为。因此,在这种背景下,社区科普要依靠信息化工具,将科普内容从广泛性向针对性转换,以此来满足居民的个性化需要。
一方面,在横向上,在进行社区科普工作时,要避免“眉毛胡子一把抓”,把科普知识笼统地传递给居民,而应重点宣传居民最感兴趣的科普内容,并兼顾把握居民感兴趣内容的发展趋势。另一方面,在纵向上,城镇社区科普工作要通过内容挖掘和用户管理技术,综合科普信息和用户数据,观察内容特征和用户行为间的潜在关联,利用大数据技术,及时、动态地追踪不同居民群体的科普需求,从而提供个性化的科普内容。
总之,在信息化背景下的社区科普工作中,要充分利用好信息化手段和功能,掌握最新的科普动态,尽可能地拓展科普内容,为社区居民提供优质、形式多样、针对性强的科普信息。
(三)推进信息化建设,实现科普渠道多样化“科学传播和普及渠道是科技传播与普及系统的基本要素,承担着承载和传递科技传播与普及内容要素的任务,发挥着连接传播者与受众的作用。”[5]随着信息化浪潮的推进,移动互联网等信息技术手段在科普信息传播中占据越来越重要的作用。中国科协最近发布的《中国第十次中国公民科学素质调查结果》的数据显示,在科技信息来源方面,互联网占比64.6%[6],进一步有力证明了互联网早已成为公众日常获取科技信息的主要渠道。并且,问卷数据分析表明,相较于传统渠道,社区科普信息化渠道成为城镇社区居民获取科普知识的期望途径。因此,在社区科普渠道应该向科普信息化渠道有所侧重,并完善信息化科普渠道,以满足城镇社区居民的期待。
拓展科普信息化渠道,不仅要利用先进的科技信息技术建设更全面更丰富的科普渠道,而且要发挥科普渠道更新速度快、形式丰富、针对性强的特点,真正为科普受众提供所需要的科普知识。例如,可大力推进智慧社区的建设。智慧社区作为一种社区管理的新模式,其基于数据家庭的数字内容平台,将成为社区科普的重要渠道。智慧社区利用基础数据库、云数据资源、数据搜索引擎,为社区居民提供智能化生活。建设更加注重数据运用的智慧社区,以及社区内部数据共享机制,可以极大地满足居民的科普需求。
随着现代通信技术的发展,各行业各领域信息化程度越来越高。要围绕人民所需要的推进科普工作的改革,社区科普工作是否能真正落到实处,要以社区居民的评判作为依据。虽然从调查的整体上看,城镇社区居民对当前科普内容、科普渠道的满意度相对较好,但在调查中仍然发现需求与供给的不对应关系问题。信息化背景下应更加强调科学传播,即要“借助传播学已经建立的结构功能方法,分析不同受众的接受意向和接受能力, 针对不同对象开展不同形式的科学传播活动”[7]。因此,在城镇社区的科普工作中需要在供给侧上不断创新和发展,以对信息化背景下城镇社区居民的科普需求给予更好的“回应”。
| [1] |
王康友, 谢小军, 周寂沫. 互联网时代的科学普及[J]. 科普研究, 2017, 12(5): 5-9. |
| [2] |
胡俊平, 钟琦, 王黎明. 信息化时代的科学普及[M]. 北京: 科学出版社, 2017.
|
| [3] |
中国互联网信息中心.第42次《中国互联网网络发展状况统计报告》[EB/OL].http://www.cac.gov.cn/2018-08/20/c_1123296882.htm
|
| [4] |
张培行, 顾佐佐, 黄莹, 等. 我国网络科普受众群体信息需求的差异性分析[J]. 电子商务, 2015(7): 40-41. DOI:10.3969/j.issn.1009-6108.2015.07.020 |
| [5] |
任福君, 翟杰全. 科技传播与普及概论[M]. 北京: 中国科学技术出版社, 2014.
|
| [6] |
中国发展网.第十次中国公民科学素质调查结果[EB/OL].http://cxzg.chinadevelopment.com.cn/cxcy/2018/0919/1355727.shtml
|
| [7] |
吴国盛. 科学的历程[M]. 长沙: 湖南科学技术出版社, 2013.
|
2019, Vol. 28

