2. 重庆大学 管理科学与房地产学院, 重庆 400045;
3. 莱顿大学 环境科学研究所, 荷兰 莱顿 2300RA
2. School of Management Science and Real Estate, Chongqing University, Chongqing 400045, P. R. China;
3. Institute of Environmental Sciences, Leiden University, Leiden 2300RA, the Netherlands
为加快推进教育现代化,实现教育强国战略,习近平总书记在2018年全国教育大会上强调与阐释了教师在教育事业发展和人才培养过程中的重要性。作为人类灵魂工程师的教师不仅是人才培养的主体,更是教育教学实践、研究与改革的主体与对象,其认知、态度、行为直接决定教育教学改革成效[1]。然而,在教学实践中教师参与教学改革的主动性及其参与效果均不显著,这也制约了教育教学改革与发展的进程[2-3]。有关制约教师教学改革行为的学术研究成果较为分散,主要体现在3个方面:1)社会实践需要视角,现代工程实践的复杂性需要多学科知识交叉融合,单个教师很难完成课程教学任务[4],这不仅对教师提出了新的要求与标准,也对教师主动参与教学改革提出挑战;2)组织认同视角,许多学校重点关注教育教学改革而忽略专任教师发展[5],忽视教师在教学改革中的角色与地位[6],导致教师参与教学改革的积极性降低,教学改革成效不显著;3)绩效考核视角,在项目和论文决定晋升的制度环境下,教师普遍产生“重科研、轻教学”的态度(尤其是青年教师),教学改革让不少教师感到力不从心[7]。上述研究成果为探寻教师参与高校教学改革的动力机制提供重要支撑,但缺乏从高校教师自身考察其行为意愿的影响因素及作用机制,不利于系统掌握教学改革意愿的驱动力及作用机理。高校教师教学改革不仅是一种行为决策,更是一种行为意愿表达,鉴于此,结合高校教学改革政策背景和教学改革现状,采用计划行为理论(TPB),探究高校教师教学改革行为意愿的影响因子及其驱动机制,为教师教学改革与教育事业发展提供理论参考。
一、理论基础与研究假设 (一)计划行为理论美国心理学教授Icek Ajzen在1991年公开发表期刊论文《The Theory of Planned Behavior》,提出计划行为理论(TPB)并得到广泛应用,TPB理论将行为意愿(Intention)作为理解和解释人类社会行为的重要指标,也为预测人类行为提供了重要的研究逻辑框架,即行为的动机来自于人们对其行为后果的理性评价及感知的行为可控性。TPB理论指出,行为意愿受到态度(Attitude)、主观规范(Subjective Norms)和知觉行为控制(Perceived Behavioral Control)三个因素的影响,行为意愿是行为的关键变量,知觉行为控制变量也在一定程度上解释人类行为[8]。在TPB理论广泛应用的同时也引起学者的反思,初始的理论假设存在不完全的可能性,对行为意愿产生影响的因素不限于态度、主观规范和知觉行为控制,致使行为意愿和行为的理解与解释不充分[9]。在此基础上,Dodor等[10](2009)基于TPB调查研究学校提供电子商务教育的意愿。对于组织行为,每个组织代表一个独立的管理决策实体,基于TPB解释组织行为机理,用于治理组织行为[11]。杨留花和诸大建[12](2018)在TPB框架中引入后果感知和制度感知,研究用户规范停放共享单车行为意愿的影响因素。上述应用成果也可为采用TPB框架解释高校教师教学改革行为机理提供借鉴。
(二)模型构建高校教师教学改革行为是教师主体为宣讲教学理念、实现教育目标和提升教学效果,综合考察系统整体因素进行决策并表现相应行为,而行为意愿是教师主体决策的最终结果。TPB理论集成了影响行为的内外部因素,从行为与意愿间的关系视角来探索、解释和预测主体行为,这与高校教师教学改革行为的基本内涵相匹配。基于此,以计划行为理论为研究框架,探索高校教师态度、主观规范、知觉行为控制和行为意愿之间的作用关系。同时,引入职业认同拓展计划行为理论,研究高校教师参与教学改革行为的影响因素及各因素间的作用关系。
计划行为理论认为,行为意愿(高校教师教学改革行为意愿)与知觉行为控制直接影响行为(高校教师教学改革行为),同时,高校教师态度、主观规范和知觉行为控制直接作用于主体行为意愿。基于计划行为理论,在中国教育教学政策情境下,引入职业认同这个解释变量,探究其对教学改革行为意愿的影响。行为意愿反映未来预期行为,对实际行为的测量应滞后于行为意愿一段时间[12]。因而,研究重点在于引入职业认同拓展TPB理论,并解释高校教师教学改革行为意愿影响因素间的逻辑关系。
(三)研究假设1.态度与行为意愿
态度是个体对事物的评价和喜恶的感受或评估,是对客体采取某种行为的倾向[13]。在本研究情境下,参与教学改革的态度是指高校教师对教学改革行为的认知评价和情感表达。行为意愿反映行为主体在特定约束条件下发生某种特定行为而自愿付出的努力程度,也认为此时处于行为真实发生的准备状态[8]。张红涛和王二平[14](2007)研究态度与行为意愿的关系时发现,态度能显著影响行为意愿。基于以上论述,提出研究假设
H1:教学改革态度正向影响高校教师教学改革行为意愿。
2.主观规范与行为意愿
主观规范是指行为主体对其他利益相关者所表现的行为认知,主要表现为其他关键利益相关者对行为主体决策带来的外部压力,这些外部压力对主体行为意愿的决策具有实质性影响[8]。来自于所属组织的决策压力、其他利益相关者压力以及内外部竞争者压力等也会影响主体行为意愿[15],比如,学校的科研成果指标或绩效考核压力影响教师进行教学改革的信心与意愿[7]。基于以上论述,提出研究假设
H2:主观规范正向影响教师教学改革的行为意愿。
3.知觉行为控制与行为意愿
知觉行为控制指行为主体对执行既定行为难易程度的研判或看法[8],主要体现为自我效能和控制程度,前者是指行为主体对实施预期行为所需特殊能力的信心,后者是指行为主体对完成预期行为所需特殊资源的控制力。高校教学改革是一个系统工程,不仅涉及多个利益主体(如学校部门、学院和其他教师),而且需要教学改革投入(如教师资源、资金投入)。对于教学改革,其显著效果不是一蹴而就的,需要一个长期的过程,而以绩效或结果为导向的学校管理部门很难把资源配置给预期进行教学改革的专职教师,导致教师缺少资源支持而丧失教学改革信心和意愿。基于此,提出研究假设
H3:知觉行为控制正向作用于教师教学改革行为意愿。
4.职业认同、态度与行为意愿
职业认同(Professional Identity)决定个体工作态度,影响个体对自我的认知和对职业价值的感知[16-17]。教师职业认同是教师对其职业及内化的职业角色的积极认知、体验和行为倾向的综合体,其职业认同水平显著影响教师的教学效果、对学生的态度、工作投入和工作满意度或职业幸福感[18-19]。此外,教师在其角色预期的调适中改变自己的角色行为,进而影响其工作投入、职业态度和行为决策[18-20]。基于此,提出研究假设
H4a:职业认同正向影响教师教学改革态度。
H4b:职业认同正向影响教师教学改革的行为意愿。
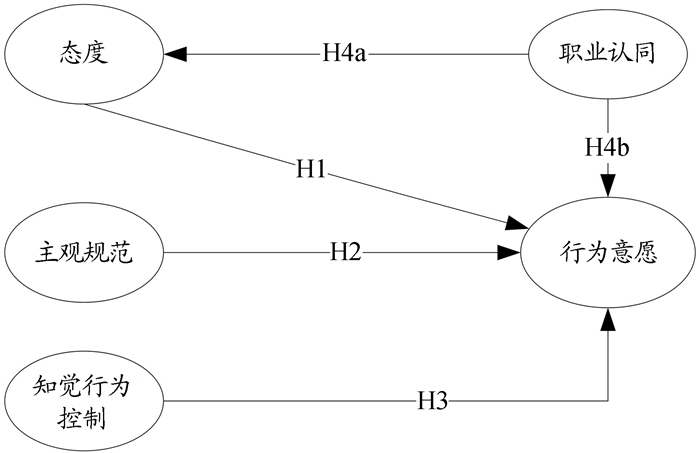
基于理论基础与研究假设,构建研究的逻辑框架,如图 1所示。
|
图 1 基于TPB的高校教师教学改革行为研究框架 |
研究所需数据很难从公开资料中获取,且变量测量困难,因此采用问卷调查方法。为确保变量测量的可靠性和有效性,对知觉行为控制、态度、职业认同和主观规范等测量指标最大程度地采用国内外已有量表及研究成果,再结合研究对象、研究目标和研究主题等适当修改。考虑到研究对象是高等学校教师,研究内容涉及教学方法、模式或理念等,因此,调查对象锁定为高等学校的专职专业教师。
采用五分制Likert表设计问卷的测量题项,其中1~5代表从非常不同意到非常同意,且程度依次递增。为保证问卷设计的完整、合理和有效,课题组对15位教育领域的专任教师(主持国家级或省部级教育学课题的教师,或持续发表教育科学高水平学术论文的教师)进行试调研。根据反馈信息,课题组反复讨论、调整问卷结构与内容,形成最终的正式问卷(见表 1)。
| 表 1 问卷量表 |
为保证问卷调查的有效性和调查工作的可操作性,以河南省高校为研究对象,从高等院校官方网站筛选专任教师,通过电话采访、微信、实地调查等途径发放问卷。本次调查共发放问卷2 159份,回收有效问卷526份,回复率为24.36%。
在526份有效问卷样本中,男性教师占比53%,女性占比47%;教授职称占比21%,副教授职称占比47%,中级及以下职称占比32%;青年教师①(男教师不超过35岁,女教师不超过40岁)占比43%,具有博士学位的教师占比54.78%。作为负责人承担国家级、省部级、厅级教育教改科研项目的教师比例是30.19%,第一作者或通讯作者发表教育教改论文并被检索收录(SCIE/SSCI/EI/CSCD/CSSCI检索)的教师比例是27.93%,获得国家级、省部级、厅级的教学技能竞赛奖项、教学名师、示范教师和教学成果奖励的教师人数占比为31%,采用微信、翻转课堂等形式进行课程教学改革的教师人数占比39.14%。
① 青年教师的划分主要是参考《2018年度国家自然科学基金项目指南》中青年科学基金项目的年龄范围,男性未满35周岁,女性未满40周岁。
三、模型运算与结果讨论 (一)问卷的信度和效度分析运用SPSS软件和问卷调查数据对测量量表进行信度与效度分析,回收的有效调研数据整体Cronbach’s Alpha值及每个测量指标的Cronbach’s Alpha值均大于0.7,表明问卷调查数据的可信度较高[12]。此外,测量指标的效度KMO值均大于0.65,这也表明问卷调查数据的效度较好[12]。
(二)研究假设的检验与分析1.基础模型的运算与结果分析
运用结构方程模型(SEM模型)探索态度、知觉行为控制、主观规范、职业认同和主体行为意愿之间的内在关系和作用路径。运用Amos22.0软件对基础模型进行拟合度运算,结果显示:模型χ2/df是2.105(数值不超过3),CFI和GFI分别是0.919和0.903(这两个参数均大于0.9),RMSEA是0.046(小于0.08),表明模型整体拟合度较好。
模型运算结果如图 2所示,展示了5个潜在变量之间的结构关系和作用路径系数,所有的作用路径系数均在10%的显著性水平下显著,这表明5个理论假设在样本数据下均得到了检验。同时,也说明在教育教学改革背景下,新增变量(职业认同)对态度和行为意愿的作用关系获得了有力的支持。在图 2展示的变量结构关系中,态度和知觉行为控制的直接效应最为显著,充分说明态度和知觉行为控制是促使高校教师改革行为意愿的最关键要素,主观规范的直接效应次之。此外,对于职业认同,其显著效应进一步说明高校教师职业认同越高,他(她)们越愿意进行教育教学改革。
|
图 2 基础假设模型SEM运行结果 注:“*”“ **”“ * **”分别表示显著性水平为p < 0.1,p < 0.05,p < 0.01 |
此外,从测量变量对潜在变量的总效应视角,职业认同对高校教师教学改革行为意愿的总效应0.596(0.377+0.511×0.428)时影响最显著,其次是教师态度(0.511),充分说明教师职业认同对教师行为意愿与决策具有重要作用,职业认同水平越高越有利于引导高校教师教学改革行为。SEM模型运行结果也反映了态度的中介效应,职业认同通过态度对行为意愿的中介作用在5%的显著性水平下显著,中介效应占总效应的比重是36.74%。
2.分组模型结果分析
考虑到青年教师群体和非青年教师群体(这里主要指超过青年教师年龄范围的在编在岗教师)的教学经历、受教育背景和经济特征差异,尤其是当前的高校教师绩效考核情景,青年教师与非青年教师的教育教学态度与行为意愿存在差异(青年教师普遍有“重科研、轻教学”的态度[7]),基于此,进一步对两个群体分组探究。从模型拟合结果来看,模型χ2/df分别是2.379、1.837(均小于3),CFI分别是0.972、0.943(均大于0.9),GFI分别是0.931、0.908(均大于0.9),RMSEA分别是0.071、0.068(小于0.08),表明模型整体拟合度较好,反映假设模型与数据的拟合程度可以接受。
由青年教师群体和非青年教师群体所估计的模型(模型A和模型B,见表 2)路径系数与基础模型的预测方向基本一致,但是研究假设的支持结果存在差异。
| 表 2 分组模型检验结果 |
(1) 青年教师模型(模型A)中行为态度对高校教师教学改革行为意愿影响的直接效应较高,而非青年教师模型(模型B)中的行为态度与高校教师教学改革行为意愿之间的关系并不显著。主要因为非青年教师在经济、职称、社会地位等方面已取得一定的成绩,重点关注自己感兴趣的领域或工作。此外,在访谈中,一部分高级职称的教师认为“教学改革是青年教师的工作任务,也是锻炼青年教师的重要途径,而‘我们’主要分享经验与理论指导”。
(2) 非青年教师模型(模型B)中,主观规范对高校教师教学改革行为意愿的影响作用较为显著,而在青年教师模型(模型A)中两者之间并无显著关系。相对于非青年教师群体,青年教师群体受到绩效考核压力、经济压力和职称压力,重点关注科研项目资助状况和高水平期刊论文发表数量,受到绩效考核的影响难以投入精力进行教学改革。因此,主观规范变量在非青年教师模型(模型B)中对高校教师教学改革行为意愿具有更好的解释力和预测力。
对比分析青年教师模型(模型A)和非青年教师模型(模型B),结果表明,青年教师和非青年教师样本群体具有不同的外部压力(如职称评定、经济条件),从而使高校教师教学改革行为意愿的形成机理存在一定差异,此发现对高校的教学管理与制度设计具有启示性作用。
(三)结果讨论与建议文章的目的在于探究高校教师教学改革行为意愿的影响因素及其作用机理。以计划行为理论为逻辑框架,构筑了拓展计划行为理论模型,利用问卷调查数据对高校教师教学改革行为意愿TPB模型进行了实证检验。结果表明:TPB理论框架构建的要素交互关系,以及基于此理论新增的研究假设均得到了样本数据的检验。
(1) 教师态度对其教学改革行为意愿具有显著的正向作用,充分说明高校教师对教学改革这一事件的认识和评价对其行为意愿产生重要的影响。因而,一方面,在教职工理论学习和教师培训中应凸显教育教学改革的重要内容,强调教学改革对教学效果提升、教学价值创造或行为主体自身目标实现的重要性,也尽可能在专业培养方案或课程教学大纲中明确任课教师教学改革的责任义务,从正式规范层面强化高校教师对教育教学改革的认知与评估;另一方面,对于高等院校中获得国家级、省部级或厅级的教学名师(或示范教师),尽可能详细介绍其教学改革的方式方法与态度、教学效果改进机制、教学理念与课程内容逻辑融合路径等内容,尤其是教学改革立意到执行全过程的关键事件,从而传播教学改革的必要性和重要性,让更多教师从心理上接受并认可教育教学改革,引导并改善教师群体的行为态度。
此外,由图 2可知,职业认同是态度的重要解释变量,二者之间的标准化路径系数是0.428。这预示着在不考虑其他因素的条件下,职业认同改变1个单位,行为态度将改变0.428个单位。职业认同也直接促进高校教师教学改革的行为意愿,说明强化教师的职业认同能增进教师教学改革的行为意愿。
(2) 主观规范对教师教学改革行为意愿具有显著的正向影响,外部环境因素影响其教学改革行为意愿。由图 2可知,主观规范和行为意愿之间的标准化路径系数是0.301,说明在不考虑其他因素的条件下,主观规范改变1个单位,行为态度将改变0.301个单位。教学改革的目的是为了优化教学方式方法,提高课堂效率和教学效果,不仅是课程教师的责任义务,更是教学团队、教研室、学院甚至学校的重点工作内容。教学改革的系统性与课程的关联性催生了教师教学改革的社会压力,主要是来自学校、制度、同事的压力。在学校层面,教学效果是重点考核对象,学校结合课堂学习效果、课程教学评价结果和教学督导评论,综合评估任课教师的教学绩效,给任课教师带来教学压力的同时也产生教学改革的动力,因此,学校层面的教学效果考核压力可进一步促进教学改革。在制度层面,教学改革应遵循教育教学规律,综合反映国家教育制度、学校教育规章、专业培养大纲等制度内容,要求任课教师系统掌握教育规律和教学原理,考察特定课程的关联性,兼顾教育教学制度的规范性,这些制度因素引发的外部压力也进一步强化教育改革的重要性、系统性和复杂性。在同事方面,主要是课程内容的关联性,需要任课教师加强关联课程的研讨,厘清专业知识逻辑结构,掌握特定课程知识结构与关联课程教学改革的关联,这些任务超越了单科教师的行为范围,为任课教师投入专用性资源进行教学改革的行为决策带来了外部压力,进一步要求教师协调好关联课程教师关系,平衡课程内容关联性产生的压力。
(3) 知觉行为控制对教师教学改革行为意愿的影响是显著的正向作用。由图 2可知,知觉行为控制和行为意愿之间的标准化路径系数是0.465,说明在不考虑其他因素的条件下,主观规范改变1个单位,行为态度将改变0.465个单位。根据Ajzen[8-9](1991, 2011)对知觉行为控制的阐释,知觉行为控制不仅反映教师教学改革的信心,而且表明了教师主体对所需资源的控制能力,自信和资源的可获得性能推进教师教学改革行为。因此,一方面,上级主管部门、学校学院或课程关联教师应理解与认可特定课程教师的素质、能力和信心,积极引导与支持教师的教学策略与教学改革行为,增进教师的自我效能;另一方面,教学管理逻辑应从结果导向转向集成过程控制与绩效管理的柔性制度安排,优化教师教学改革能力,强化教师资源可得性。
(4) 对比分析青年教师群体和非青年教师群体的教学改革行为意愿预测模型,各个预测因子的作用效果存在差异:一是主观规范对青年教师群体的教学改革行为意愿缺乏预测能力,青年教师由于绩效考核的压力难以投入精力进行教学改革,教学改革压力对青年教师的驱动力较弱;二是态度能很好地预测非青年教师群体的教学改革行为意愿,主要因为非青年教师在经济、职称、社会地位等方面已取得一定的成绩,工作导向转为兴趣导向。
四、结语在计划行为理论的基础上,引入教师主体的职业认同变量,构筑高校教师教学改革TPB拓展模型,利用问卷调查和结构方程模型揭示高校教师的态度、主观规范、知觉行为控制、职业认同与其教学改革行为意愿之间的交互关系与作用机理。主要研究结论是:1)验证了计划行为理论对教师教学改革行为研究的适用性,为教师教学行为研究提供了一个有效的研究工具。同时,引入职业认同拓展TPB理论模型,进一步阐释教师教学改革行为意愿影响因素的作用机理。2)高校教师教学改革行为意愿受系统内部与外部因素的交互影响,尤其是职业认同和态度因素。这不仅表明教师在教学改革行为评估中的重要地位,同时结合教师主体的职业认同水平调节自身的行为态度。3)从外部环境视角,主观规范的正向显著水平表明了教学改革系统性和课程内容关联性对教师教学改革压力的积极作用,不仅体现了学校、制度和同事在教学管理中的重要性,也要求教师主体开展教学改革必须综合考虑教育规律、教学原理和课程关联。
| [1] |
操太圣, 卢乃桂. 抗拒与合作:课程改革情境下的教师改变[J]. 课程·教材·教法, 2003, 23(1): 71-75. |
| [2] |
王务均, 王洪才. 高校研究性教学改革的逻辑源起与深化路径——基于知识生产模式转型的推进框架[J]. 教育发展研究, 2018(1): 61-68. |
| [3] |
张桂平, 廖建桥. 科研考核压力对高校教师非伦理行为的影响研究[J]. 管理学报, 2014, 11(3): 360-366. DOI:10.3969/j.issn.1672-884x.2014.03.007 |
| [4] |
林健. 如何理解和解决复杂工程问题——基于《华盛顿协议》的界定和要求[J]. 高等工程教育研究, 2016(5): 17-26. |
| [5] |
曾文婕. 教学改革的中国逻辑[J]. 全球教育展望, 2018, 47(8): 3-8. DOI:10.3969/j.issn.1009-9670.2018.08.001 |
| [6] |
张侨平, 林智中, 黄毅英. 课程改革中的教师参与[J]. 全球教育展望, 2012, 41(6): 39-46. |
| [7] |
朱长江, 郭艾, 杨立洪. 面向理工科创新型人才培养的"四步进阶"大学数学教学改革[J]. 中国大学教学, 2018(3): 33-36. DOI:10.3969/j.issn.1005-0450.2018.03.008 |
| [8] |
Ajzen I. The theory of planned behavior[J]. Organizational Behavior and Human Decision Processes, 1991, 50(2): 179-211. DOI:10.1016/0749-5978(91)90020-T |
| [9] |
Ajzen I. The theory of planned behaviour:Reactions and reflections[J]. Psychology and Health, 2011, 26(9): 1113-1127. DOI:10.1080/08870446.2011.613995 |
| [10] |
Dodor J B K, Rana D S. Investigating business schools intentions about offering e-commerce education using an extended theory of planned behavior[J]. Decision Sciences Journal of Innovative Education, 2009, 7(1): 195-220. DOI:10.1111/j.1540-4609.2008.00213.x |
| [11] |
Gavetti G, Greve H R, Levinthal D A, et al. The behavioral theory of the firm:Assessment and prospects[J]. Academy of Management Annals, 2012, 6(1): 1-40. DOI:10.5465/19416520.2012.656841 |
| [12] |
杨留花, 诸大建. 扩展计划行为理论框架下共享单车规范停放行为意向的影响因素分析[J]. 中国人口·资源与环境, 2018, 28(4): 125-133. |
| [13] |
Hill R J, Fishbein M, Ajzen I. Belief, attitude, intention and behavior:An introduction to theory and research[J]. Contemporary Sociology, 1977, 6(2): 244. DOI:10.2307/2065853 |
| [14] |
张红涛, 王二平. 态度与行为关系研究现状及发展趋势[J]. 心理科学进展, 2007, 15(1): 163-168. |
| [15] |
Wan C, Shen Q, Choi S. The moderating effect of subjective norm in predicting intention to use urban green spaces:A study of Hong Kong[J]. Sustainable Cities and Society, 2018, 37: 288-297. DOI:10.1016/j.scs.2017.11.022 |
| [16] |
Nixon J. Professional identity and the restructuring of higher education[J]. Studies in Higher Education, 1996, 21(1): 5-16. DOI:10.1080/03075079612331381417 |
| [17] |
Pratt M G, Rockmann K W, Kaufmann J B. Constructing professional identity:The role of work and identity learning cycles in the customization of identity among medical residents[J]. Academy of Management Journal, 2006, 49(2): 235-262. DOI:10.5465/amj.2006.20786060 |
| [18] |
Beijaard D, Meijer P C, Verloop N. Reconsidering research on teachers' professional identity[J]. Teaching and Teacher Education, 2004, 20(2): 107-128. DOI:10.1016/j.tate.2003.07.001 |
| [19] |
魏淑华, 宋广文, 张大均. 不同职业认同水平教师对职业生活事件的社会认知加工特征[J]. 心理发展与教育, 2017, 33(1): 45-55. |
| [20] |
虞力宏, 汤国杰, 高可清. 高校体育教师职业认同与工作投入的关系研究[J]. 中国体育科技, 2011, 47(6): 136-141. DOI:10.3969/j.issn.1002-9826.2011.06.023 |
2020, Vol. 29

