2. 光辉城市(重庆)科技有限公司, 重庆 400030
2. Sheencity(Chongqing) Technology Co., Ltd, Chongqing 400030, P. R. China
空间复杂性的表达是建筑设计中的一大挑战。对于建筑领域的学生和设计师而言,设计简单的空间或建筑均依赖于良好的空间认知及想象能力[1]。随着数字技术的发展,建筑设计教学也逐渐由二维模式向三维模式转变[2]。除CAD、SU、3DMAX和BIM等三维模型的运用外,建筑设计类专业还常用小规模实体模型[3],但实体模型因成本及时间的限制,不利于在教学中大量应用。传统的二维图像和三维模型对提升学生空间认知能力的影响有限,动画和模型并不能完美表现建筑空间和提供建筑空间真实的尺度感受[4]。
VR(Virtual Reality)是以计算机技术为核心,结合相关科学技术,在视、听、触感等方面生成与真实环境高度近似的数字化环境,用户借助必要的装备与数字化环境中的对象进行交互作用、相互影响,可以产生亲临真实环境的感受和体验[5]。VR技术的3I特征(沉浸-交互-想象:Immersion-Interaction-Imagination)使之成为有效的建筑设计工具之一。VR技术将带来一场全新的建筑学空间认知革命,建筑空间需要体验,在体验中能更清晰地认知空间,VR是理解物质空间的新方法。VR的多维可交互表现与表达更直观,三维空间信息传递减少信息的衰减,提高沟通交流的效率,学生在VR体验中能更好地认知空间,不再为难以想象的剖面发愁。VR在一定程度上解决传统建筑设计过程中的空间认知困境,VR技术作为新技术促进建筑设计思维逻辑与理论方法的迭代更新,可为建筑类专业教学提供新的思路,VR的交互能帮助学生理解构造原理部分的内容,且学生可通过自主设计空间的方式在VR中亲身体验自己的设计。
近年来,越来越多的高校重视VR在建筑学上的应用,部分高校已建立VR建筑实验室及实训基地,为建筑学专业学生开启新的认识空间技术手段。文章以建筑设计领域的学生为研究对象,设计二维手绘、三维SU建模和VR设计3种方式的教学实验。教学实验选用的是光辉城市公司开发的VR建筑设计工具Mars软件,Mars从2017年发布至今,已成为国内建筑业最受欢迎的“3D/VR”技术软件之一。文章旨在通过VR设计方式研究提升学生空间认知能力,探究VR设计与二维手绘、三维SU建模教学模式的差异及可行性。
一、VR在建筑教学领域的研究现状部分国外学者针对VR技术在空间认知方面的运用进行了研究。Werner和Schindler[6]研究了空间参考系架构不对齐对空间记忆、空间认知和建筑设计工作的影响。Kuliga[7]等研究表明,VR可作为实证研究工具,在建筑研究和实践中开展可行性研究及入住前建筑评估。Fogarty[8]等研究发现,虚拟现实可帮助学生理解结构工程中复杂的空间布局。Messner[9]等指出VR技术最显著的优势是让学生在全尺寸(1 :1)的虚拟空间内获得“存在感”和真实感,增强空间认知学习能力。Schneider[10]等研究了VR应用于建筑教育的潜力,在早期设计阶段为学生提供使用者视角体验。多数学者的研究表明,VR技术对空间认知具有一定积极影响,但在VR设计方式与传统设计方式的对比实践研究方面存在不足。
伴随VR热潮,国内的部分机构和高校开展了VR技术在教育领域的应用研究。杜颖[11]认为VR教学能提高学生的听课效率,对学校、教师、家长和学生具有积极影响(如图 1)。VR的沉浸感优势可以让设计者身临其境全方位审视设计效果,契合可视化学科设计和图像化教学[12-13],而且利用VR技术能帮助学生将二维图纸三维实物化[14-15]。陆海燕[16]等研究BIM与VR技术在土木工程施工教学中的应用,发现通过VR沉浸式体验,学生不但体验虚拟现实中的场景,而且能发现施工方案的优点与不足。张杰[17]等设计虚拟仿真软件以复原斗拱搭建的过程,将新型教育技术应用于古建筑教育领域。将VR技术运用于建筑教学可以呈现建筑物的立体化信息,学生易于通过自身与信息环境的相互作用来获取知识和技能,升级传统“以教促学”的建筑教学方式[18]。
|
图 1 VR教育对学校、教师、家长、学生的积极影响 |
VR设计方法所带来的设计方式变革,可以媲美CAD问世所产生的影响。相比国外VR技术在教育领域的应用和研究,国内仍处于探索阶段。目前,VR技术在建筑类的教学研究未考虑VR技术对学生空间认知和设计能力的影响。尤其在二维模式、三维建模和VR设计3种不同模式下,关于学生空间认知能力的量化研究相对较少,且缺乏系统性及完整性。
二、实验方案设计(一)实验方案
实验总体设计如图 2所示。针对2D、3D(SU)、VR 3种建筑设计模式,统计和测量学生在不同模式下设计的书报亭面积、窗地比和空间大小,并结合问卷和访谈方式,调查记录学生对不同设计方式的差异评价和选择偏好等感受评价。根据实验结果对比分析3种设计方式教学实验后学生空间认知能力的变化。
|
图 2 实验总体设计图 |
(二)实验参与对象
此次实验以重庆建筑工程职业学院建筑专业一年级的26名学生为对象,参加实验的学生基本上掌握画法几何、建筑制图和计算机辅助技术(CAD)等基础知识,但未系统学习建筑设计的专业课。因学生存在较大的个体差异,实验各阶段的参与对象为同一班级学生,为避免不同教学方式对学生学习能力的影响,选取同一教师团队进行指导。
(三)实验任务
实验任务标准化。考虑到实验难度和可行性,将任务设定为固定空间的建筑设计。为提高实验数据的真实性,选取不易从网上获取空间尺寸的书报亭作为实验任务。以书报亭空间为例,要求学生设计一个符合人体工程学的最优尺寸。实验分为4个阶段:
(1) 实验前初步空间认知测试,问卷调查和访谈。要求学生在10 min内独立完成问卷。
(2) 2D手绘模式测试,采用传统图纸进行方案设计。要求学生以1 :50的比例画出理想的书报亭平面图、正立面图、与立面图垂直的剖面图、轴测图,并在内部放置一个开放式货架。
(3) 3D建模测试,采用三维建模软件Sketch Up进行设计。要求学生搭建一个理想的书报亭,在内部放置一个开放式货架,其余细节自由发挥。
(4) VR设计测试,采用VR设计工具Mars辅助设计。要求学生在VR端进行组装与编辑,设计一个理想的书报亭,测量其面宽、进深、净高及开窗面积。同时,要求学生将上一阶段搭建的SU模型导入Mars进行VR体验,让学生在虚拟环境中体验其用SU设计的书报亭空间大小、开窗比例和材质等。
在各个阶段实验结束后,统计3种不同设计方式下的书报亭平面面积(x, y)、空间层高(z)、空间大小(x, y, z)和窗地面积比4个变量。在实验每个阶段作问卷调查和深入访谈,考察和统计学生在使用不同设计方式前后建筑空间认知能力和设计能力的变化。各阶段问卷及访谈问题设置如表 1所示。
| 表 1 实验问题设置 |
筛选26份实验数据,过滤异常和无效数据,最终得到有效样本数量21份。采用比较研究方法描述样本的特征、行为分析,比较频数分布情况,逐个分析各测试阶段单一变量(平面面积、净高、空间大小、采光)的变化情况,对比分析各组分布特点。
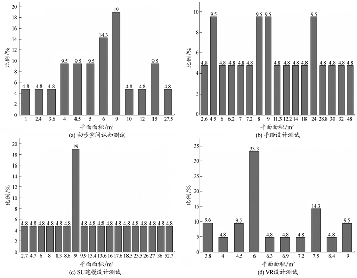
(一)平面面积
根据人体工程学设计理论,满足人体基本需求的书报亭标准平面面积为3~6 m2[19]。结果表明,VR设计一定程度上提高了学生实际设计时对空间平面的认知能力,具体结果如图 3所示。在初步空间测试、手绘设计测试、SU建模设计测试及VR设计测试4种不同模式下,学生设计的书报亭平面面积在标准面积范围的占比分别为47.6%、14.3%、9.6%和57.3%。如图 3(a)所示,由于对空间认知的偏差,约有42.9%的学生初步空间认知测试时高估面积,其中,认为面积为9 m2的学生人数最多,而在经过手绘设计测试后,高估面积的学生上升至80.9%,认为面积为8 m2、9 m2和24 m2的学生最多。在SU建模设计测试过程中,90.4%的学生设计出的面积超出标准范围,在经过VR设计测试后,面积超出标准范围的学生下降至42.7%。从实验结果来看,对于设计基础薄弱的学生来说,各阶段的实验中普遍存在高估报亭平面面积的现象。但从整体上看,VR设计相较于手绘设计和SU设计的书报亭平面面积更符合人体基本需求的设计标准。
|
图 3 不同阶段测试下书报亭平面面积结果 |
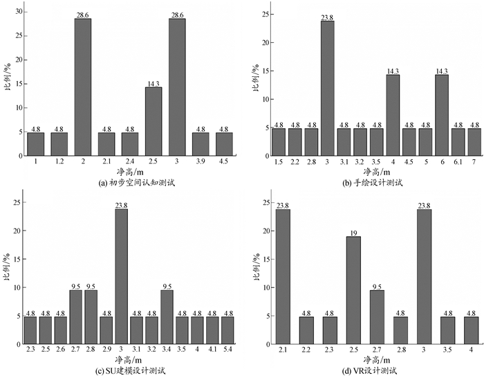
(二)净高
满足人体基本需求的书报亭标准净高为2.1~3.0 m[19],而根据实验结果,VR设计比认知测试、手绘设计和SU设计的书报亭净高更符合人体基本需求的设计标准,较大程度提高了学生实际设计时对空间高度的认知能力,结果如图 4所示。在4种不同模式下,学生设计的书报亭净高在标准净高范围内的占比分别为52.5%、33.4%、62.0%和90.5%。同样,在每种模式测试下,大部分学生都会高估书报亭净高,但对于手绘设计测试、SU建模设计测试及VR设计测试而言,学生的总体空间认知能力逐渐提升。
|
图 4 不同阶段测试下书报亭净高结果 |
(三)空间采光
满足人体基本需求的书报亭标准窗地比一般来说大于或等于0.25[20]。研究表明,VR设计模式下书报亭的窗地比相较于其他两种设计模式更加合理,在空间采光设计上更具优势,如图 5所示。在不同模式测试下,学生设计的书报亭窗地面积比在0.25及以上的占比分别为57.2%、62.3%、66.9%、76.4%,这说明在4种模式测试下,学生对书报亭窗地面积比的总体把控能力逐渐提升。
|
图 5 不同阶段测试下书报亭窗地面积比结果 |
(四)空间大小综合分析
为探究VR设计对学生空间认知和设计能力的影响,利用三维散点图进行综合分析。其中,x为面宽,y为进深,z为净高;Ai(i=1, 2…21)点为学生设计的实验数据,Bj(j=1, 2…8)点代表满足人体需求的基本书报亭空间的标准大小范围,M点是标准范围值构成的立方体的体心。通过比较Ai点落在Bj点所构成的立方体内或附近的数量衡量学生的空间认知和设计能力。通过计算空间点Ai与M的距离总和L来直观比较不同设计方式对学生空间认知能力的影响。计算公式如式1所示。
| $ L = \mathop \sum \limits_{i = 1}^{21} \sqrt {{{\left( {{x_i} - {x_M}} \right)}^2} + {{\left( {{y_i} - {y_M}} \right)}^2} + {{\left( {{z_i} - {z_M}} \right)}^2}} $ | (1) |
根据图 6及表 2中不同阶段测试下书报亭空间大小综合分析的结果,VR设计模式对学生的空间认知能力有一定的提升效果,手绘设计和SU建模设计的效果相当。从图 6中可以直观看出VR设计模式下的测试结果更多在标准大小范围附近波动。测试空间点Ai与标准范围中间点M的距离总和L4<L1<L3<L2,也就是说VR设计测试得到的空间数据与实验题目的要求(满足人体基本需求的书报亭最小尺寸)偏差最小。由此可见,建筑设计类专业的教学过程中,VR设计方式相较于手绘及SU设计方式能显著提高学生的空间认知能力。
|
图 6 不同阶段测试下书报亭空间大小综合分析结果 |
| 表 2 Ai点到M点的距离总和 |
在VR设计测试实验后,要求学生将自己搭建的SU模型导入Mars中进行VR体验。大多数学生反馈在VR体验自己搭建的书报亭SU模型后,直观发现其中存在的问题与不足,VR设计方式加强了自己对空间的认知和对建筑设计的体会。
实验测试后的问卷调查和访谈结果也进一步证实了VR设计模式对建筑设计课程的促进作用。学生普遍认为VR设计方式更加吸引人,增加了学习兴趣和动力,而且可在VR虚拟环境中自如行走,把自身作为比例尺,衡量空间的尺度,设计的同时能直观看到虚拟的设计效果。总的来说,VR弥补和完善了建筑设计类专业学生的空间认知缺陷,培养学生的空间想象力和设计能力,也为建筑教育者解决了一系列的教学难题。
四、结语以重庆建工学院建筑专业一年级学生为例,设计了手绘设计、SU建模设计和VR设计3种模式的教学实验,研究学生在不同设计模式下空间认知能力的变化。通过实验探索了VR技术与建筑设计教学相结合的设计过程,明确VR设计的优势,特别是在提升学生空间认知方面,研究结果如下:
(1) VR设计方式提高了学生的建筑空间认知能力和设计能力。VR对空间形体的直观呈现培养了学生对复杂空间关系的认知能力;VR实时的形体表达提高学生对空间想象和表达的协调度及效率;VR辅助功能表述想象、形体、空间关系、感觉,培养学生语言和空间之间的转化能力;VR空间体验使学生感知并记忆不同情况下的空间体量值,培养学生空间感知的精确度。
(2) VR沉浸式的设计相较于传统模式2D和3D-SU设计存在很多优势。最基本的优势是虚拟环境带来的视觉冲击提升学生的学习兴趣、设计能力及听课效率,对学生空间能力的培养也有极大的促进作用,提升学生设计表达力。VR技术帮助教师传授设计知识,辅助学生表现设计想法,在交互过程中可以帮助学生发现设计作品中的问题,总结经验,提升设计相关的综合能力。
VR技术在建筑设计教学领域有很好的应用前景,把VR技术运用于建筑设计类专业教学是建筑设计教学对信息时代的适应,也是建筑教学领域发展的需要。
| [1] |
唐任杰.建筑专业学生空间能力测评及培养研究[D].北京: 清华大学, 2011.
|
| [2] |
徐辉. 建筑制图教学中学生空间想象力的培养[J]. 科技信息, 2008(28): 613. DOI:10.3969/j.issn.1001-9960.2008.28.493 |
| [3] |
沈禾.现代建筑设计的典型形式流程解析[D].南京: 东南大学, 2005.
|
| [4] |
汤众. 复杂空间认知研究中的虚拟现实技术应用[J]. 实验室研究与探索, 2007, 26(9): 9-11. DOI:10.3969/j.issn.1006-7167.2007.09.003 |
| [5] |
赵沁平. 虚拟现实综述[J]. 中国科学:信息科学, 2009, 39(1): 2-46. |
| [6] |
Werner S, Schindler L E. The role of spatial reference frames in architecture:Misalignment impairs way-finding performance[J]. Environment and Behavior, 2004, 36(4): 461-482. |
| [7] |
Kuliga S F, Thrash T, Dalton R C, et al. Virtual reality as an empirical research tool-Exploring user experience in a real building and a corresponding virtual model[J]. Computers, Environment and Urban Systems, 2015, 54: 363-375. DOI:10.1016/j.compenvurbsys.2015.09.006 |
| [8] |
Fogarty J, McCormick J, El-Tawil S. Improving student understanding of complex spatial arrangements with virtual reality[J]. Journal of Professional Issues in Engineering Education and Practice, 2017, 144(2): 04017013. |
| [9] |
Messner J I, Yerrapathruni S C M, Baratta A J, et al.Using virtual reality to improve construction engineering education[C]//American Society for Engineering Education Annual Conference & Exposition, 2003.
|
| [10] |
Schneider S, Kuliga S, Hölscher C, et al.Educating Architecture Students to Design Buildings from the Inside Out[C]//Proceedings of the 9th International Space Syntax Symposium, Seoul, Korea, 2013.
|
| [11] |
杜颖. VR+教育:可视化学习的未来[M]. 北京: 清华大学出版社, 2018.
|
| [12] |
罗小华. 虚拟现实技术应用于建筑设计类课程教学初探[J]. 高等建筑教育, 2009, 18(6): 146-149. |
| [13] |
王莉, 杨明辉. 虚拟现实时代:智能革命如何改变商业和生活[M]. 北京: 机械工业出版社, 2016.
|
| [14] |
张卫, 向遥. 虚拟全景在建筑教学中的应用研究与实现[J]. 高等建筑教育, 2005, 14(2): 96-98. |
| [15] |
许晓莉.房屋建筑虚拟教学系统的设计与实现[D].成都: 四川师范大学, 2011.
|
| [16] |
陆海燕, 鲍文博, 宁宝宽, 等. BIM与VR技术在土木工程施工教学改革中的探索与实践[J]. 高等建筑教育, 2018, 27(5): 127-131. |
| [17] |
张杰, 陈恒鑫, 王家辉. 虚拟现实技术在中国古建筑教育的应用——斗拱文化体验式教学软件的设计与实现[J]. 高等建筑教育, 2018, 28(4): 139-146. |
| [18] |
董春华, 赵昆明, 胡建平, 等. 虚拟现实技术在建筑类课程教学中的研究与应用[J]. 中国轻工教育, 2015(4): 93-96. |
| [19] |
刘涛, 周唯. 人体工程学[M]. 北京: 中国轻工业出版社, 2017.
|
| [20] |
杨柳, 朱新荣, 刘大龙, 等. 建筑物理[M]. 北京: 中国建材工业出版社, 2014.
|
2020, Vol. 29

