2024, 46(6):1-8. DOI: 10.11835/j.issn.2096-6717.2022.091
摘要:针对不同的实际工程,开展不同应力路径的试验来研究岩体的力学特性是解决实际问题的关键。为研究粉砂岩在围压循环卸-加载特殊应力路径下的力学特征,采用MTS815岩石力学测试系统开展不同轴力水平下分级循环卸-加载围压试验,研究不同轴力水平下轴、环向塑性应变及弹性模量的演化特征,并结合耗散能量的计算,分析能量演化与试件变形破坏之间的关系。结果表明:随着循环次数的增加,滞回环向应变增大方向移动,卸-加围压下应力-应变曲线逐渐闭合,滞回环间距整体表现为由“疏”到“密”的变化特征;单一变量时,围压卸载等级越低弹性模量越低,轴力水平越低弹性模量越高,弹性模量受轴力水平和围压卸载等级两种参量共同作用;单次循环中环向塑性应变在数值上总是大于对应的轴向塑性应变,循环卸-加围压特殊应力路径下,高轴力水平下岩石抵抗塑性变形的能力要强于低轴力水平;岩石破坏最终所耗散的总能量与轴力水平一定程度上呈线性正相关。
2024, 46(6):9-15. DOI: 10.11835/j.issn.2096-6717.2022.103
摘要:为了探究木质素对新乡地区弱膨胀土的作用效果,通过室内试验、ESEM(环境扫描电子显微镜)试验研究了不同掺量木质素改良新乡地区弱膨胀土的物理性质及力学特性,对不同掺量改良土体微观结构特征及其孔隙形态特征进行定性描述与量化表征,并基于XRD(X射线衍射)试验结果探讨了改良土体中矿物成分的变化,从而揭示木质素与土体间的相互作用机理。试验结果表明:采用木质素改良膨胀土时,3%木质素抑制膨胀土膨胀性效果最好,且此时土体抗压强度最高,超过最优掺量后,土体抗压强度反而降低。土体中孔隙结构复杂,孔隙排列混乱无秩序、定向性较差,木质素胶结物可以填充土体孔隙使其微观结构更加密实。木质素在膨胀土中起胶结作用,并不能与膨胀土反应生成新的矿物成分,与土作用时稳定性较好,属于物理改良。木质素作为一种高效、环保的改良剂,可有效改善膨胀土的基本工程特性,值得深入研究。
2024, 46(6):16-22. DOI: 10.11835/j.issn.2096-6717.2022.089
摘要:碳化作用是影响水泥固化重金属污染土耐久性的一个重要因素,为探明长期服役过程中碳化作用下固化污染土强度特性的演化规律,人工配制铅污染土,采用水泥固化处理后进行碳化试验,分析碳化作用和压实度对固化土无侧限抗压强度的影响规律,并通过扫描电镜和压汞试验分析碳化作用对微观矿物形态和微观孔隙结构的影响。结果表明:碳化作用下固化铅污染土的无侧限抗压强度降低,15%水泥掺入量的固化土强度降低44%~45%,这是碳化反应产物填充效应增强和土颗粒间胶结作用减弱共同作用的结果;固化土强度与孔隙率具有很好的幂函数关系,揭示了填充作用对固化土强度的影响;碳化作用下固化铅污染土中观察到较多结晶状态良好的碳化反应产物CaCO3,固化土总的孔隙体积减小,小于0.01 μm的凝胶孔和0.01~0.1 μm的小毛细孔所占比例减少,0.1~10 μm的大毛细孔和大于10 μm的大孔隙所占比例增加。
2024, 46(6):23-30. DOI: 10.11835/j.issn.2096-6717.2022.080
摘要:在电化学法加固中,注浆试剂种类一直是主要研究课题之一。化学试剂的注入对土体电动特性存在一定影响,主要影响因素为注浆溶液的阳离子种类、离子浓度、离子价位、离子半径等,土体的电动特性改变对电渗加固效果的影响不可忽视。因此,为研究注浆试剂中的阳离子半径对电化学法加固软土地基效果的影响,以同价位不同半径的二价金属离子Ca2+、Mg2+、Cu2+为研究对象,进行电渗固结试验研究。对试验过程中的电流、排水量、电渗透系数变化及试验后的含水率与抗剪强度分布进行分析,并结合扫描电镜(SEM),深入探究阳离子半径对电化学加固效果的影响。结果表明:在电化学法中,提高注入试剂中阳离子的离子半径,电渗过程中的电流、排水量、排水速率、电渗透系数及处理后的土体抗剪强度均有明显提升,其中,钙离子的离子半径最大,加固效果最好,试验后的土体SEM微观图像也表明,钙离子处理后土体密实度更高。
2024, 46(6):31-43. DOI: 10.11835/j.issn.2096-6717.2022.090
摘要:随着对地质聚合物研究的不断深入,将其作为固化剂应用于土壤固化领域的研究受到了广泛关注。地质聚合物作为一种新兴的土壤固化剂,是一种以富硅铝酸盐矿物为前驱体,在碱激发剂作用下形成的绿色无机胶凝材料,具有力学性能良好、耐久性优异以及低碳环保等优点,能够有效克服水泥/石灰等传统土壤固化剂能耗高、污染大以及耐久性差等缺点,被普遍认为是传统土壤固化剂的理想替代品。为明确地质聚合物对土壤的加固机理和增强效果,回顾近年来地质聚合物固化土的研究进展,介绍地质聚合物固化土的反应机理,详述不同因素对地质聚合物固化土无侧限抗压强度和抗剪强度等力学性能的影响,讨论地质聚合物固化土在冻融循环、干湿循环以及化学离子侵蚀等作用下的耐久性,并对地质聚合物固化土技术未来发展方向进行展望。
2024, 46(6):44-50. DOI: 10.11835/j.issn.2096-6717.2023.057
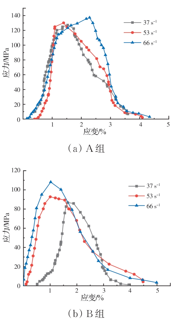
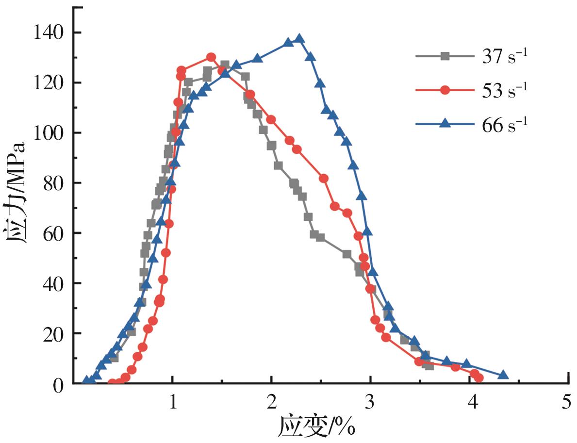
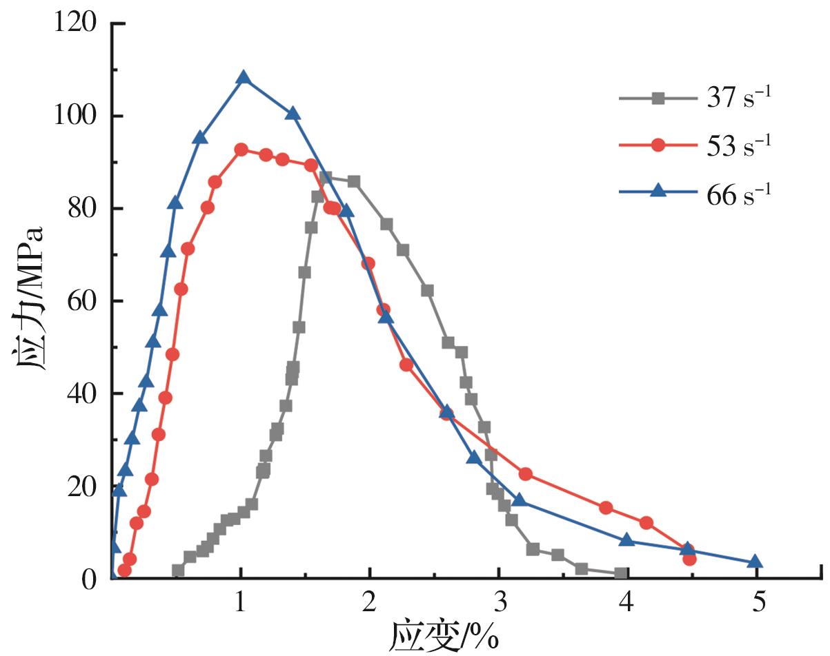
摘要:化学腐蚀可以对岩体力学性能产生劣化作用,实际工程中的岩体也往往面临钻爆开挖、机械破岩等动态冲击荷载,而岩体的破坏本质上是能量的吸收与耗散过程,研究化学腐蚀后岩体承受冲击荷载作用时的能量演化具有重要的现实意义。利用分离式霍普金森压杆(SHPB)测试系统对两种不同pH值(3和5)的KHSO4溶液浸泡后的花岗岩试样进行动态冲击试验,设定腐蚀时间为30、60 d,另设一组无腐蚀过程的原状试样作为对照,考察0.15 MPa气室压力下酸性环境腐蚀后花岗岩的能量演化效应,得到试样的动态应力-应变曲线、峰值应力、峰值应变、能量吸收率随环境pH值和腐蚀时间的变化规律。结果表明,随着溶液pH值的降低和腐蚀时间的增长,动态应力-应变曲线的非线性段被压缩,峰值应力和峰值应变都在降低。在pH值为3的溶液中腐蚀60 d后,试样的能量吸收率从37.39%上升到52.11%,表明随着化学腐蚀的增强,花岗岩强度降低,变形能力变差,应力波在其内部传播时消耗掉了更多的能量,试样更易破坏。
ASGHAR Aamir , 苏立君 , 赵波 , NIAZ Abrar , ULLAH Faheem
2024, 46(6):51-69. DOI: 10.11835/j.issn.2096-6717.2023.131
摘要:滑坡是山区公路安全运行的重要威胁,开展滑坡灾害评估尤为重要,尤其是深切峡谷区域的公路滑坡。以巴基斯坦北部Muzaffarabad-Mansehra公路沿线某大型滑坡为研究对象,采用野外调查、遥感分析、地貌解译、地球物理探勘和运动学分析等多种调查手段,进行滑坡的失稳特征、触发机理、地下结构特征和边坡稳定评估等研究,结果表明:滑坡发生在Hazara地层中,该地层以顺层斜坡为主,容易发生翘曲变形等破坏,属于滑坡易发地层。地球物理探勘表明:滑坡体内部存在多个不同深度和厚度的复杂结构,低电阻率区(0.325~1 350 Ω·m)以松散、饱水的堆积体为主,高电阻率区域(1 510~26 092 Ω·m)与覆盖层有关,包括冲积层、巨石和干板岩碎片等。地震反射层分析结果表明,在高度饱和的覆盖层、改造区块和表层风化层内,P波速度较低(400~1 800 m/s);而下垫层散布着高密度岩石碎片和大块巨石,P波速度为3 000~5 000 m/s。两种地球物理探勘结果均表明滑坡体内有一条延伸30 m深的破碎带,这是触发滑坡的重要因素。滑坡顶部的滑动面在深度25~30 m处,主体处的滑动面深度在45 m处。运动学分析表明:锲形体失稳是公路滑坡的主要破坏模式。研究结果表明,采用综合技术分析滑坡灾害的潜在机制可以有效减轻此类灾害带来的相关风险。
2024, 46(6):70-79. DOI: 10.11835/j.issn.2096-6717.2024.007
摘要:矿山边坡稳定性是影响矿山开采的重大安全生产难题,安全的环境是进行矿山开采的重要前提,因此,开展矿山边坡稳定性分析,对矿山的安全生产具有重要的指导意义。以重庆皇华石灰岩矿山边坡为例进行数值建模分析,首先利用无人机倾斜摄影得到矿山边坡几何形状并识别出岩体结构面,基于摄影识别结果建立三维地质模型,然后采用有限元强度折减法对边坡进行数值计算,对比分析天然工况及暴雨工况下矿山边坡稳定性,揭示降雨作用对于边坡稳定性的影响规律。结果表明,暴雨工况下边坡变形和应变比天然工况下的更大,安全系数更小;暴雨工况下的变形和应变分别比天然工况高30%、40%~60%,安全系数减小了5%~7%,数值模拟结果基本合理;该矿山边坡稳定性较高,整体滑移破坏的可能性较低,但需防范局部块体掉落的风险,还需要进一步研究是否需要进行局部边坡加固。研究结果验证了现场调查、室内试验、三维模型判定、二维剖面重点分析的综合研究方法对岩质边坡稳定性进行评价的适用性与可靠性。
2024, 46(6):80-88. DOI: 10.11835/j.issn.2096-6717.2022.102
摘要:针对目前深基坑承压水风险分析中分析方法单一、事前风险评估理论不足、施工全过程动态风险预测缺乏等问题,提出基于贝叶斯网络(Bayesian network,简称BN)的深基坑承压水风险分析方法,实现承压水风险事故的事前分析和施工全过程的动态风险评价。该方法从环境、设计、施工、管理等方面建立深基坑承压水风险评价指标体系,构建静态BN风险分析模型,完成了风险概率预测、事故因素诊断、致灾因子识别等事前风险评估内容;在此基础上,通过设定风险转移节点和观测节点,引入Noisy-Max假设,实现基于监测数据的动态BN施工全过程承压水动态风险分析预测;以江阴靖江长江隧道江北深基坑工程为例,分析确定工程的承压水风险等级,进一步明确相关风险因素,准确预测出该工程的动态风险变化。结果表明,该风险分析方法具有较高的适用性和合理性,能为深基坑施工安全提供切实的指导和帮助。
2024, 46(6):89-99. DOI: 10.11835/j.issn.2096-6717.2022.095
摘要:针对目前双模式盾构在复合地层土-岩交界面进行掘进模式转换过程中掘进面稳定性研究中存在的问题,采用空间离散技术构建双模式盾构在穿越土-岩交界面过程中开挖面前方岩土体的二维破坏机制,利用该破坏机制和极限分析上限定理推导得到极限状态下土舱压力的目标函数,通过优化计算得到盾构机在穿越土-岩交界面过程中维持开挖面稳定所需的土舱压力上限解,并讨论不同参数对土舱压力及开挖面前方岩土体破坏模式的影响。在此基础上,基于可靠度理论建立土舱压力的可靠度模型,并给出复合地层中容许可靠度下维持开挖面稳定性最小土舱压力的建议值。结果表明:盾构机在穿越土-岩交界面过程中维持开挖面稳定所需的土舱压力随着盾构机与土-岩交界面距离的减小而减小;开挖面前方岩土体的破坏范围随着界面倾角的增大而增大。
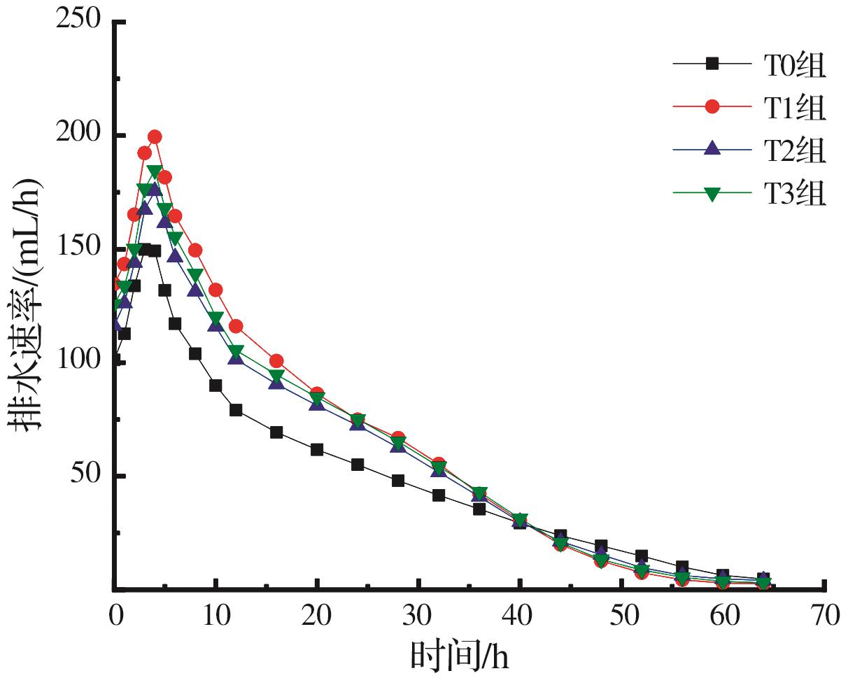
2024, 46(6):100-106. DOI: 10.11835/j.issn.2096-6717.2022.075
摘要:研究饱和黏性土中静压沉桩引起的桩土界面孔压增量及有效径向应力的变化规律对工程实践具有重要意义。利用自制的大比例模型试验系统,通过双壁开口和闭口管桩,实现了开口和闭口桩桩身表面嵌入式安装微型测试元件,得到了考虑孔压增量的桩土界面有效径向应力的变化规律。研究结果表明:入土深度越大,桩土界面孔压增量及有效径向应力越大,闭口桩桩土界面超孔压大于开口桩;桩身上部桩土界面超孔压和有效径向应力小于桩身下部;同一入土深度,随着桩身h/L的增加,桩土界面土压力存在侧压力“退化”的现象;特定试验条件下,闭口和开口桩桩土界面超孔压与上覆有效土体自重比值最大值分别是61.2%和52.1%,桩土界面有效径向应力是超孔压的3.76~5.46倍。桩土界面超孔压和有效径向应力与桩身h/L位置有关。
2024, 46(6):107-115. DOI: 10.11835/j.issn.2096-6717.2023.039
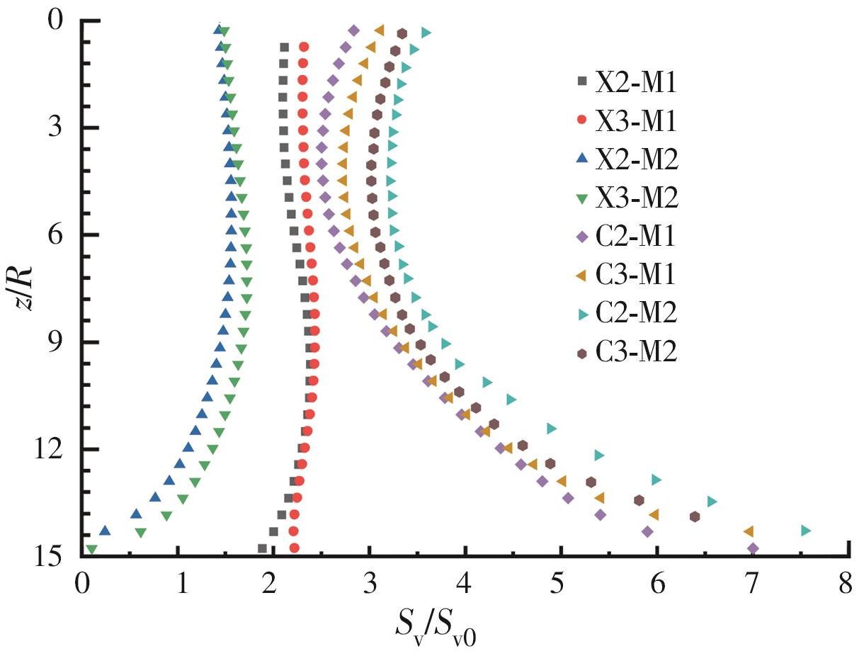
摘要:现浇X形混凝土桩(X-sectional cast-in-place concrete pile,简称XCC桩)作为一种非圆截面异形桩,利用等截面异形周边扩大原理,将圆弧正拱变成反拱,达到扩大截面周长、提高承载力的目的。XCC桩安装过程其实是一个挤土过程,群桩沉桩挤土效应与单桩相比较为复杂,关于XCC桩群桩挤土效应方面的研究较少,而XCC桩群桩沉桩挤土效应是研究XCC桩的重要课题。基于透明土试验,开展了XCC桩与圆形桩群桩沉桩贯入试验,通过粒子图像处理技术获取沉桩过程的位移场变化规律,研究不同桩型和不同沉桩顺序对群桩沉桩挤土效应的影响。试验结果表明:对于最后贯入桩背桩面土的位移,XCC桩贯入引起的位移会比圆形桩率先达到峰值,XCC桩和圆形桩在群桩沉桩贯入过程中都会产生明显的累积效应和遮拦效应,且XCC桩的遮拦效应要强于圆形桩。最后,给出了XCC桩和圆形桩在不同沉桩顺序条件下群桩遮拦效应的经验公式。
2024, 46(6):116-125. DOI: 10.11835/j.issn.2096-6717.2022.094
摘要:为得到满足可靠性要求的基桩最佳设计方案,在有效控制基桩沉降量的情况下,尽可能降低基桩造价。以中国尊大厦基桩为例,考虑土体极限阻力不确定性,采用非支配排序遗传算法-II(NSGA-II),针对种群中的个体进行非支配解选择排序和拥挤距离比较。将桩径和桩长视为优化设计变量,以基桩承载力的目标可靠指标作为约束条件,工程造价和单桩沉降量的最小值为目标函数,得到Pareto最优解集。该算法解决了传统多目标优化方法在缺乏经验的情况下优化效果不佳与速度慢的问题。采用基于熵权理论的TOPSIS法对Pareto最优解集中的每一个解进行赋权后,筛选出相对贴近度最大的方案。结果表明:最优方案在造价和单桩沉降量上均优于原设计方案,证明基桩优化设计方法具有可行性。
2024, 46(6):126-134. DOI: 10.11835/j.issn.2096-6717.2023.109
摘要:软土区过大堆载将造成邻近桥梁桩基产生明显偏位,对桥梁安全服役极为不利。结合某堆载致软土区桥墩偏移工程案例,考虑软土侧向变形时效性特征,开发软土固结-蠕变材料模型子程序,建立堆载-桩基-桥墩有限元模型,研究堆载作用下软土区桥墩-承台-桩基结构的时效性偏移特性,揭示桥墩-承台-桩基结构横向偏移机理,并针对现场条件提出有效合理纠偏措施。结果表明:随着堆载时间的延长,桩身响应沿深度分布发生显著变化,且堆载引发的软土时效性横向变形致使作用于桩侧的横向附加压力逐渐增大,但其沿深度的分布范围基本不变,并且主要分布在软弱土层深度范围内;基于桩身截面承载极限弯矩的评估,所研究桥墩各桩基仍处于安全状态,但应注意承台与桩基连接处以及软弱层与硬土层界面处的弯矩;提出的卸载+高压旋喷桩加固纠偏措施可以达到预期纠偏效果。
2024, 46(6):135-147. DOI: 10.11835/j.issn.2096-6717.2022.132
摘要:基于相关工程案例,对装配式桥墩的结构体系进行介绍;从结构受力性能、耐久性、施工便利性等角度,对不同类型装配式桥墩的优缺点进行分析比较。通过分析既有研究成果发现:既有研究大多集中于桥墩的抗震性能,涉及装配式RC桥墩的抗压、抗剪性能等研究较为少见,《公路装配式混凝土桥梁设计规范》(JTG/T 3365-05—2022)虽提出了装配式混凝土桥墩的结构计算方法,但尚未根据不同类型装配式桥墩的拼接构造特征提出相应的局部构造的极限承载力验算方法;《公路装配式混凝土桥梁设计规范》(JTG/T 3365-05—2022)、《公路装配式混凝土桥梁施工技术规范》(JTG/T 3654—2022)规定了部分类型装配式桥墩的构造要求、施工工艺,一些地方标准已涉及装配式桥墩的抗震设计、施工、验收等,可用于指导部分类型的装配式桥墩的设计与施工,但内容不全面。在此基础上提出装配式桥墩在结构设计、施工、质量管控等方面存在的不足以及今后的发展方向。
2024, 46(6):148-155. DOI: 10.11835/j.issn.2096-6717.2022.113
摘要:水泥(砂)浆在混凝土中起胶凝和润滑的双重作用,其用量随着混凝土流动性要求的提高而增大,已有研究发现浆体过多会导致混凝土的体积稳定性问题,环保绿色程度低,但骨料级配等因素对混凝土中浆体合理用量的影响研究尚不多见。在粗骨料低空隙率前提下固定粗骨料用量不变,调整砂浆用量来控制混凝土扩展度,研究骨料级配和砂浆流变特性对粗骨料包裹砂浆层厚度及用量的影响。试验结果表明:粗骨料的几何平均粒径增大,包裹砂浆层厚度单调增加,包裹砂浆用量会呈现先减小后增大的趋势,存在最优几何平均粒径;扩展度要求越高,包裹砂浆层厚度及包裹砂浆用量越大,最优几何粒径越小;当粗骨料级配不变时,包裹砂浆层厚度和包裹砂浆用量均随砂浆屈服应力和塑性黏度的增大而增大。
2024, 46(6):156-166. DOI: 10.11835/j.issn.2096-6717.2022.088
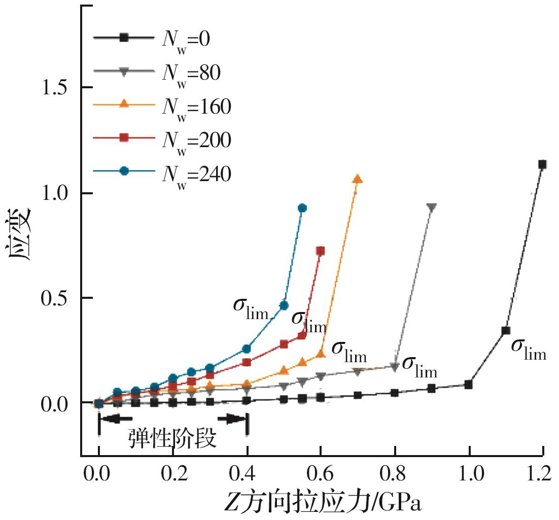
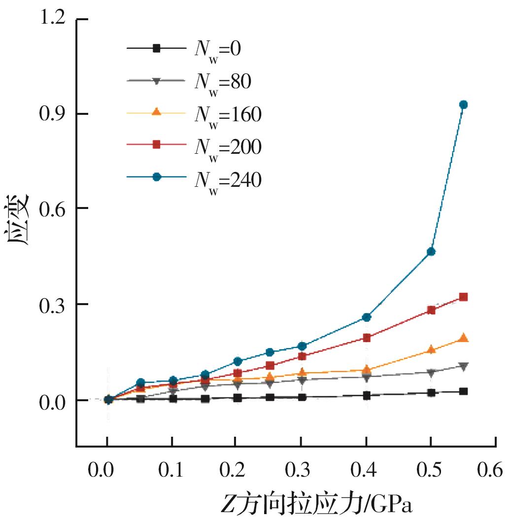
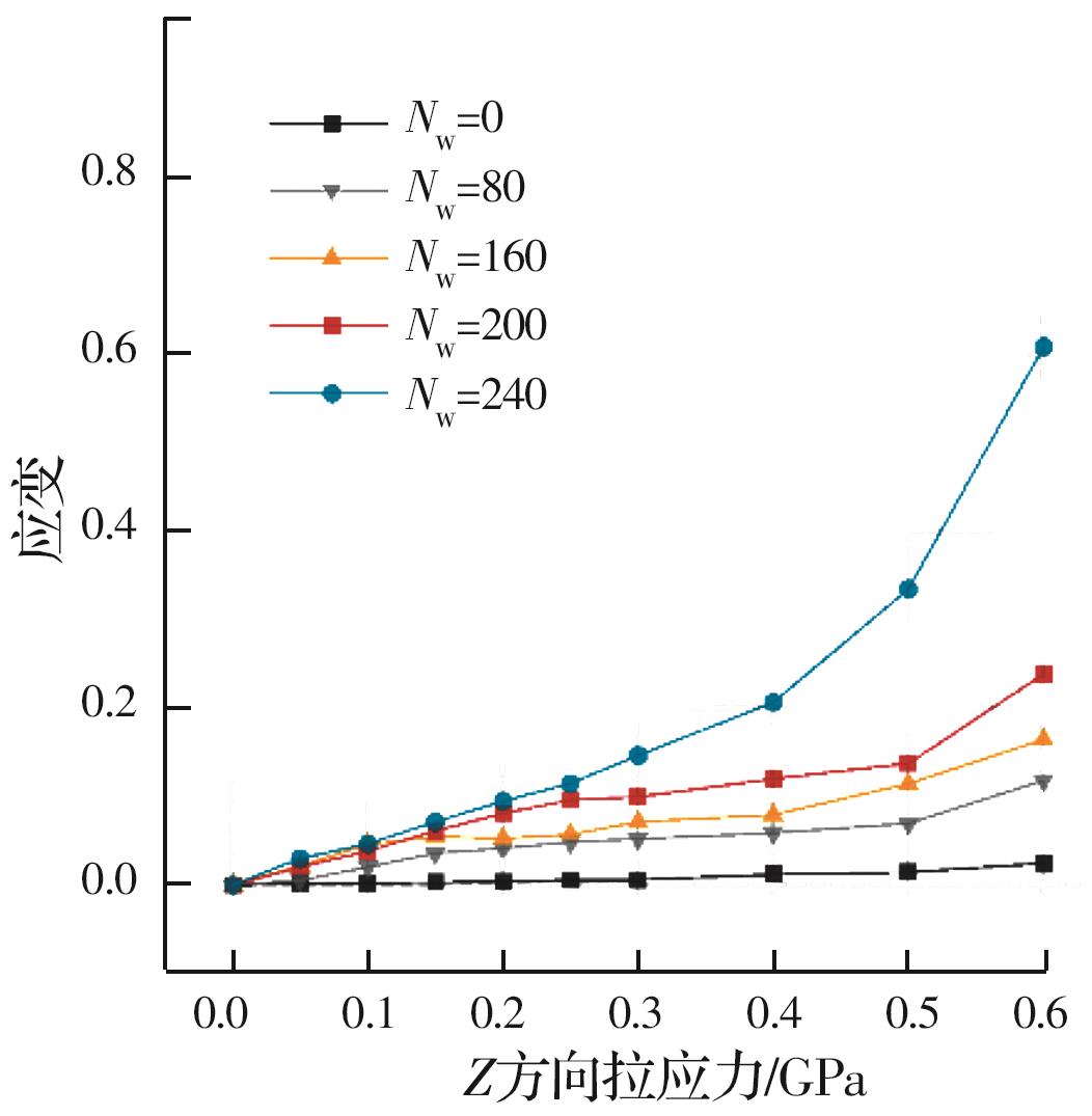
摘要:了解蒙脱石在拉伸状态下的力学行为在地球科学、岩土力学等领域至关重要,但现有理论和方法难以在小间距范围内预测其水化力学性质及关键机理。通过编写施加应力-计算应变Perl语言脚本,进行不同水化量蒙脱石拉伸应力下的分子动力学计算模拟与应力-应变分析,确定其不同应力阶段的力学特性、相互作用机制和微观结构演化。结果表明:蒙脱石内层水化对极限应力和拉伸模量的弱化效应明显,且在水化初期弱化幅度会更大;体积水化膨胀主要源于晶格长度c的线性增长。Z方向的拉伸模量远小于平面内,即应力对表面Z方向的力学行为影响最大,达到极限拉应力后,会出现整层分离的破坏现象;内层是大部分形变的主要原因,并且支配着蒙脱石的拉伸力学性能;Z方向拉应力主要造成晶格长度c和晶格角β的增大,而在X和Y方向拉应力下主要发生β的减小和增大。层电荷密度越高,结合水膜越密实,形成的氢键数目越多,体积和晶格长度c越小,抗拉力学性能也越强。
2024, 46(6):167-174. DOI: 10.11835/j.issn.2096-6717.2022.093
摘要:为研究橡胶粉改性聚乙烯纤维增强水泥基复合材料(PE-ECC)的物理力学性能,对掺入不同粒径橡胶粉的PE-ECC进行静力和抗冲击性能试验。通过分析橡胶粉PE-ECC的弹性模量、泊松比、立方体抗压强度、轴心抗压强度、劈裂抗拉强度和轴心抗拉强度,探讨不同橡胶粉粒径对PE-ECC基本力学性能的影响;利用分离式霍普金森压力杆进行橡胶粉PE-ECC的抗冲击性能试验,基于不同应变率下的动态应力-应变曲线,分析应变率对橡胶粉PE-ECC动态增长因子(DIF)、动态压缩强度和动态峰值应变的影响。结果表明:随着橡胶粉的加入,PE-ECC的各项物理力学性能均有一定程度下降;橡胶粉粒径为0.20~0.90 mm时,体积掺量为10%、橡胶粉粒径为0.30 mm的PE-ECC各项力学性能降幅最小,其立方体抗压强度、轴心抗压强度、弹性模量和动态抗压强度相对无橡胶粉PE-ECC分别减小了8.9%、15.6%、10.8%和23.4%;与无橡胶粉PE-ECC类似,橡胶粉PE-ECC的受拉应变硬化特征明显,掺入不同粒径(0.20~0.90 mm)橡胶粉的PE-ECC极限拉应变均稳定在4.6%左右。此外,橡胶粉粒径对PE-ECC动态峰值应变影响很小,随着冲击应变率的提高,橡胶粉PE-ECC的动态增长因子DIF和动态压缩强度呈逐渐增大趋势。
2024, 46(6):175-182. DOI: 10.11835/j.issn.2096-6717.2022.060
摘要:为提高混凝土的抗冲磨性能,研究粒状、针状、粉状橡胶对混凝土抗冲磨性能的影响,在粒状橡胶混凝土基础上掺入玄武岩纤维,研究纤维橡胶复合时混凝土的抗冲磨性能,结合SEM观察微观形貌,并分析其抗冲磨增强机理,运用分形维数表征混凝土磨损过程的形貌变化情况,并讨论分形维数与磨损程度的关系。结果表明:掺入15%的粒状、针状与粉状橡胶时,混凝土的抗冲磨强度分别提高了140.24%、157.96%、83.88%;当玄武岩纤维掺量为0.1%时,粒状橡胶混凝土抗冲磨强度提高了11.63%,纤维和橡胶能在不同层面上发挥作用,共同增强抗冲磨性能;混凝土磨损程度可用分形维数表征,随着时间的增加,混凝土磨损越严重,分形维数越大,得到了分形维数与质量损失率和体积损失率的关系,并建立了曲线方程。
2024, 46(6):183-191. DOI: 10.11835/j.issn.2096-6717.2022.077
摘要:为了更好地提高掺加表面处理污泥与建筑渣土高温烧结渣料磨细粉(简称磨细粉)的火山灰活性,研究了Ca(OH)2对掺加磨细粉硅酸盐水泥基材料的力学性能和重金属浸出规律的影响及机理,并通过XRD、SEM、BET、TG等微观测试技术分析材料的微细观结构特征。结果表明:Ca(OH)2掺量为磨细粉水泥基材料中胶凝材料总质量的0.6%~0.8%时,磨细粉水泥基材料力学性能较优,在60 d时抗折强度和抗压强度较基准组分别提高了11.0%和7.8%;微细观测试结果表明,少量的Ca(OH)2能增大磨细粉水泥基材料硬化浆体的比表面积,增加水化产物数量,提高硬化浆体结构密实性,但Ca(OH)2掺量超过胶凝材料总质量的0.8%之后,对磨细粉水泥基材料结构和性能则会产生负面效应。研究还发现,掺加占胶凝材料总质量0.8%的Ca(OH)2能有效降低磨细粉水泥基材料中有害重金属的浸出浓度,其中Cu、Ni、Zn浸出率比基准组分别降低了17.5%、13.0%、40.8%,可以确保磨细粉水泥基材料中有害重金属Cu、Ni、Zn和Cr的浸出值均低于《水泥窑协同处置固体废物技术规范》(GB/T 30760—2014)中规定的浸出浓度限值。
2024, 46(6):192-202. DOI: 10.11835/j.issn.2096-6717.2023.117
摘要:工业园区废水处理体系是减少废水污染物和提高园区水环境质量的重要设施。自然条件波动、废水进水冲击、污染物成分多样性和废水处理技术的复杂性导致工业园区废水处理系统的不确定性和复杂性。这些不确定性导致工业园区出水水质和运行成本的波动,以及后续受纳水体的环境生态风险。近年来,人工智能技术已成为降低废水处理复杂性和系统风险性的有力工具。通过对人工智能技术在废水处理中的应用进行文献计量分析,系统总结人工智能技术在工业园区废水处理监控、污染物去除、节能、管理和废水回用等5个方面的应用,并对典型人工智能技术适宜的应用场景、预测精度和应用局限性进行总结。最后,展望了在废水处理厂中利用人工智能技术的研究前沿和潜在方向,提出了人工智能在解决复杂实际应用中的污染物去除、成本降低、废水重复利用和管理等方面的现存难点。
2024, 46(6):203-212. DOI: 10.11835/j.issn.2096-6717.2023.049
摘要:当前的氮循环模式存在人工固氮/脱氮过程重复耗能、可持续性不佳的问题。针对氨氮的污染-资源双重属性特征,污水中氨氮的资源化处理技术亟须研发。在各种氨氮回收技术中,电化学技术具有反应快速、装备简单、操作便捷等优势,已经成为热门研究方向。综述电化学介导氨氮回收技术的研究与发展现状:围绕电化学系统中不同形态氨氮的迁移转化机制,主要介绍3种回收技术的主要原理,包括电驱迁移与界面吸附、阴极还原促进汽化和阳极氧化促进沉淀;进一步聚焦电极与膜材料对氨氮回收性能的强化作用,分析电容去离子与膜技术(基于阳离子交换膜、疏水透气膜、双级膜的工艺)的能效水平,指出多过程耦合的氨氮汽提技术在降低能耗与提升效率方面的良好前景;展望双碳背景下技术革新的内在需求,建议未来从系统高性能元件开发、能量削减与功能拓展/智慧化运行等方向推进电化学介导氨氮回收技术的高质量可持续发展。
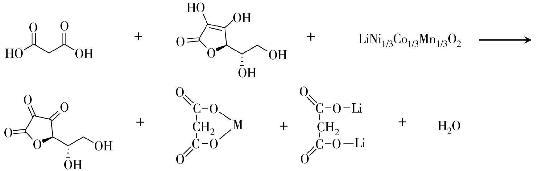
2024, 46(6):213-220. DOI: 10.11835/j.issn.2096-6717.2023.120
摘要:近年来,对锂离子电池的需求急剧增长,但正极中的诸多基本组成元素,如锂、钴、镍价格昂贵且对外进口依赖严重。目前,大多数湿法冶金浸出方法都是基于“无/有机酸+H2O2”体系,该方法存在环境污染、安全隐患和效率问题。提出一种新的环保、安全、高效的浸出工艺,以丙二酸和抗坏血酸为浸出剂和还原剂,最佳条件为:丙二酸浓度0.4 mol/L、抗坏血酸浓度0.2 mol/L、固液比30 g/L、浸出温度50 ℃、浸出时间50 min,在最佳条件下,锂、镍、钴、锰的浸出率均大于95%。动力学拟合验证结果表明,浸出过程符合“缩芯模型”,且表观活化能低于“有机酸+H2O2”的值;故抗坏血酸的加入能够有效促进丙二酸浸出正极材料中的有价金属,提高浸出效率;红外光谱、XRD结果表明,浸出过程中丙二酸与过渡金属的配位形式为C3H2O4M(M为过渡金属Ni、Co、Mn)。
2024, 46(6):221-230. DOI: 10.11835/j.issn.2096-6717.2023.110
摘要:作为生物传感器,微生物燃料电池已被广泛用于可同化有机碳(AOC)的检测,但溶液中溶解氧(DO)会抑制AOC信号的产生。构建两个相同的基于微生物电解池(MEC)的生物传感器,传感器以海洋沉积物为接种源,并在不同的阳极电位下运行,其阳极电位相对于Ag/AgCl标准电极分别为-300、+250 mV。在+250 mV正阳极电位条件下运行的MEC生物传感器阳极上电活性微生物群落主要包括: Shewanellaceae、 Pseudoalteromonadaceae和 Clostridiaceae,仅在负阳极电位MEC生物传感器中发现严格厌氧的 Desulfuromonadaceae、 Desulfobulbaceae和 Desulfobacteraceae菌群。与负阳极电位MEC生物传感器相比,正阳极电位MEC生物传感器表现出明显优势,如启动更快、最大电流产量显著提高、AOC检测限提高5倍以及对低溶解氧的高耐受性。提出的实时且经济的正阳极电位MEC生物传感器可以用于高盐度、低DO海水中AOC的检测。
您是本站第 4754718 访问者 
通信地址:重庆市沙坪坝区沙正街174号,重庆大学A区 邮编:400044
电话:023-65111322;023-65111863 E-mail:xuebao@cqu.edu.cn
版权所有:土木与环境工程学报(中英文) ® 2026 版权所有