2025, 47(4):1-9. DOI: 10.11835/j.issn.2096-6717.2023.064
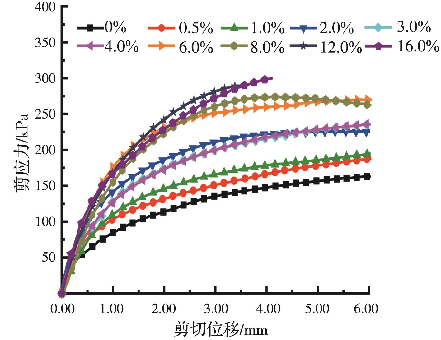
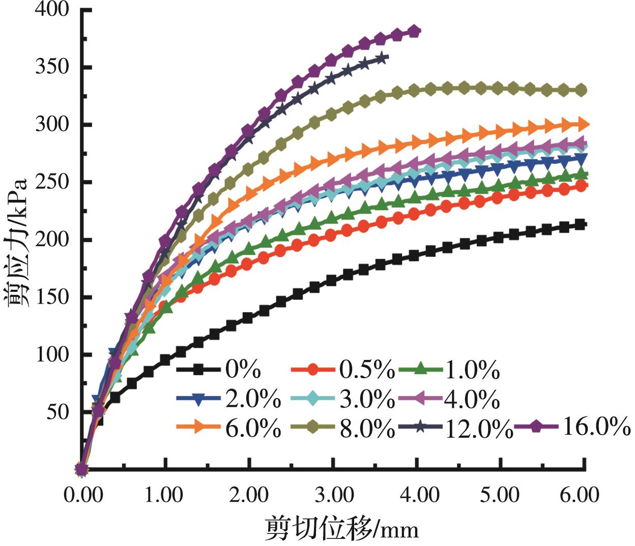
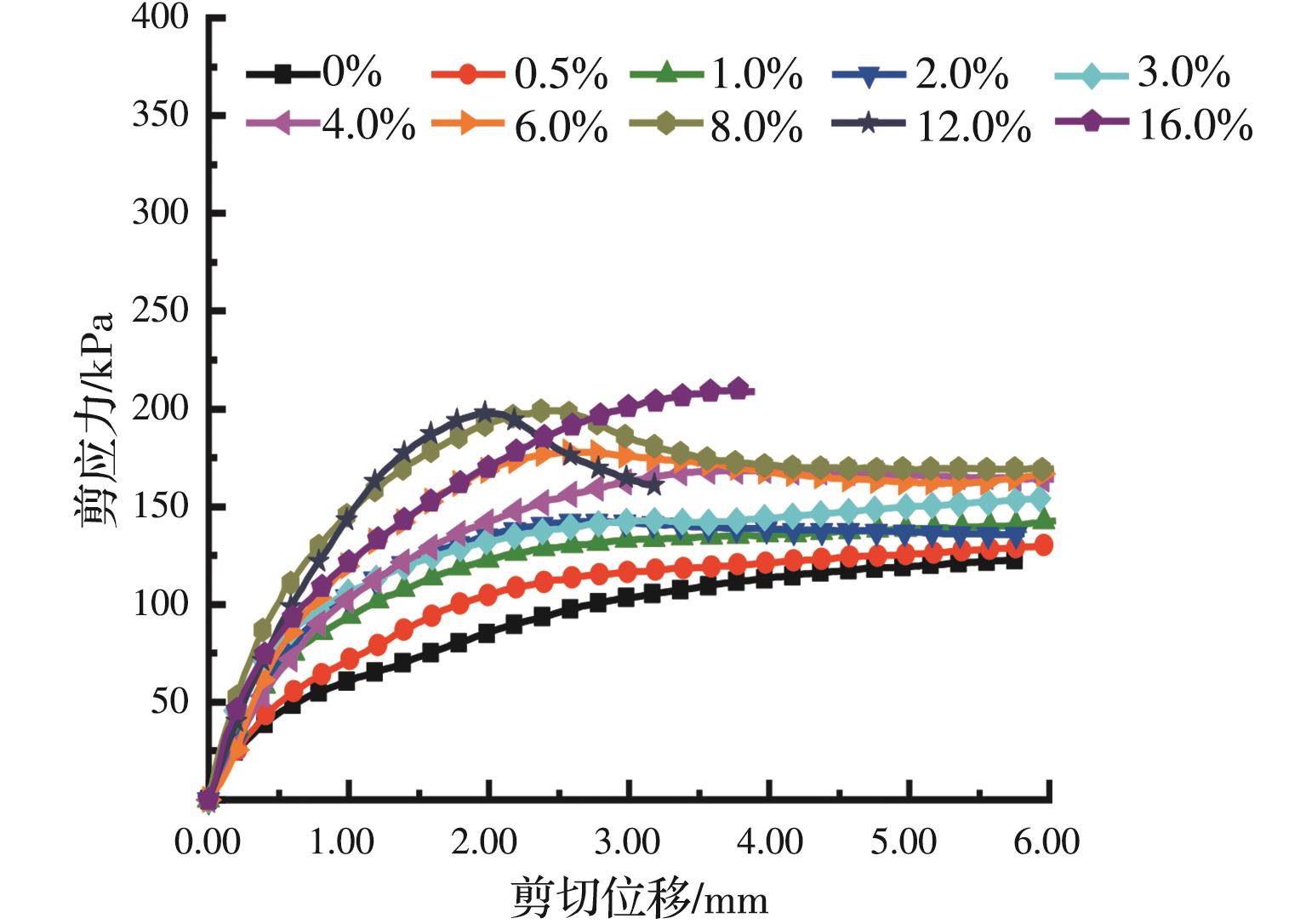
摘要:纤维含量是影响加筋土的重要参数,现有研究中纤维含量的取值范围一般较小,纤维含量较高的加筋土物理力学性能尚不清楚。为了研究较高纤维含量对稻草纤维加筋土的影响,设置10个纤维质量分数,采用直剪试验进行研究,探讨不同纤维含量对加筋土强度特性的影响,并通过扫描电镜(scanning electron microscope,SEM)试验和核磁共振(nuclear magnetic resonance,NMR)测试对纤维加筋土的微观结构特征进行分析。结果表明,加入纤维能有效提高土体的抗剪强度。纤维加筋土的增强机理与纤维含量有关,较低的纤维含量对土体孔隙率影响不大,加筋土以土骨架为基础;当纤维含量较高时,孔隙率明显增大,加筋土的主体结构将由土骨架和纤维骨架组成。
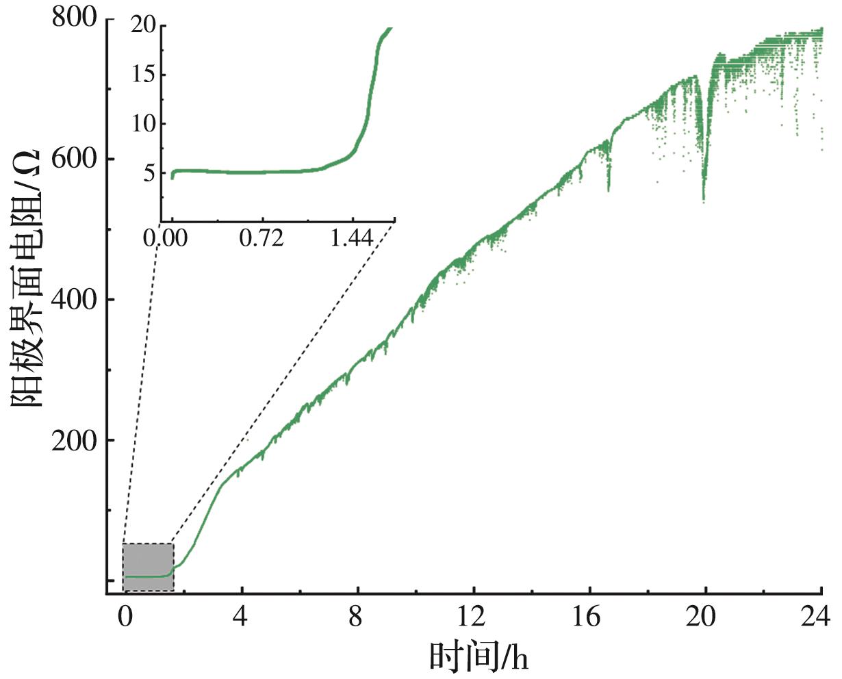
2025, 47(4):10-18. DOI: 10.11835/j.issn.2096-6717.2023.075
摘要:针对电渗加固软土地基能耗高、黏土-电极界面电势损失大的问题,从电化学反应角度出发,研究电极反应对界面电阻的影响。利用自行研制的一维电渗固结装置,开展电极材料和通电模式两大关键因素的室内试验,研究电动土工合成材料(EKG)、铁、铝和铜4种不同电极在持续通电条件下的黏土-电极界面电阻变化趋势,并研究间歇通电、反转通电两种优化通电策略的电化学作用机理。结果表明:电极反应改变了界面电化学特性,通过影响界面电阻进而影响电渗排水速率;界面电阻增长迅速是导致电渗高能耗的原因之一,阳极界面电阻受电极反应影响明显,长期通电情况下,电动土工合成材料电极阳极界面电阻较小,而在浓差电阻和表面膜阻的共同影响下,金属电极阳极界面电阻较大;采用优化通电模式有利于缓解界面极化现象,抑制界面电阻增长。
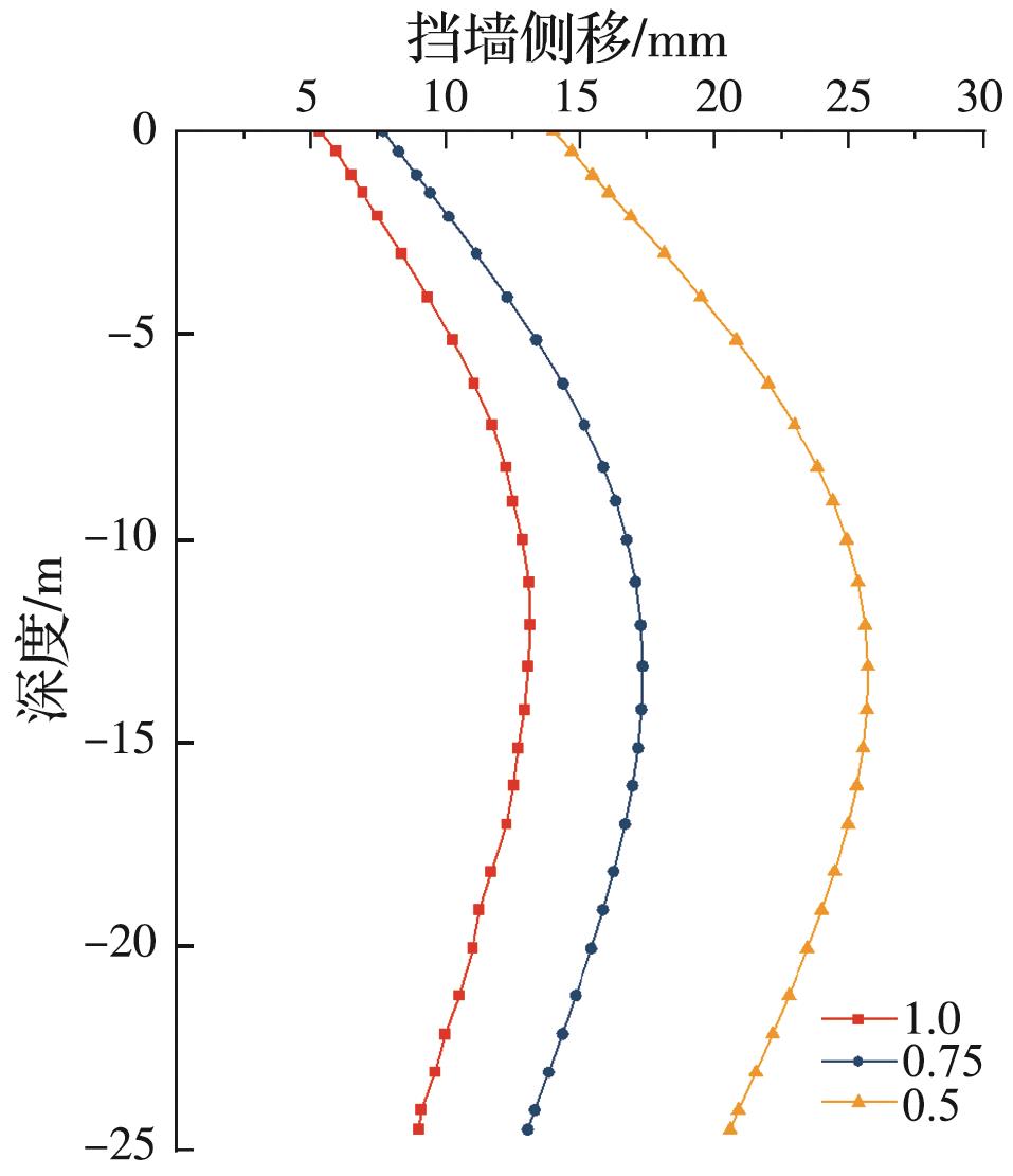
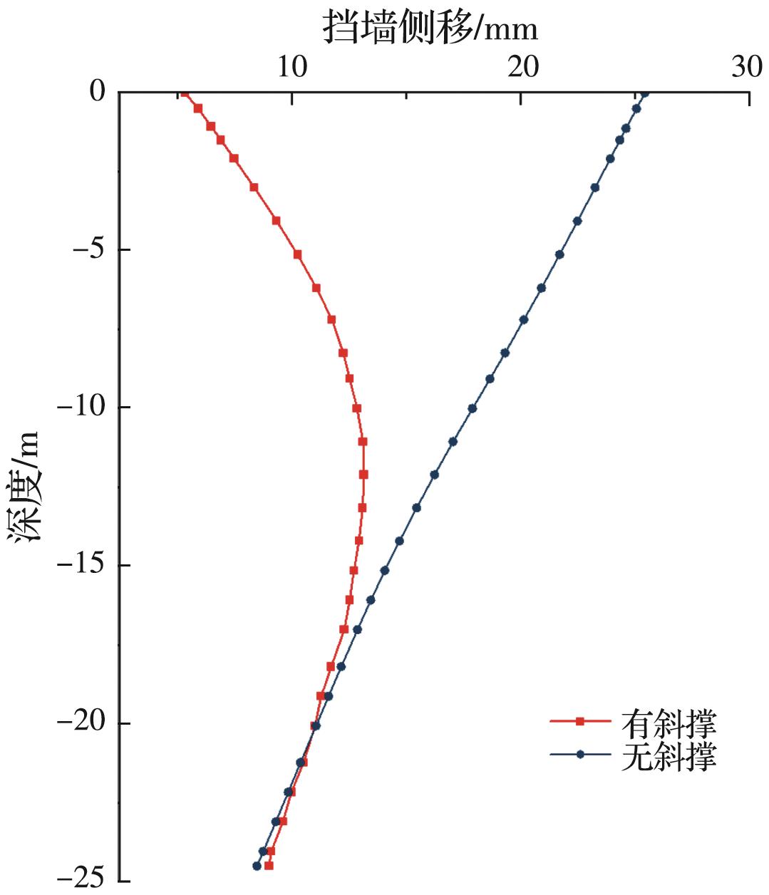
2025, 47(4):19-27. DOI: 10.11835/j.issn.2096-6717.2024.019
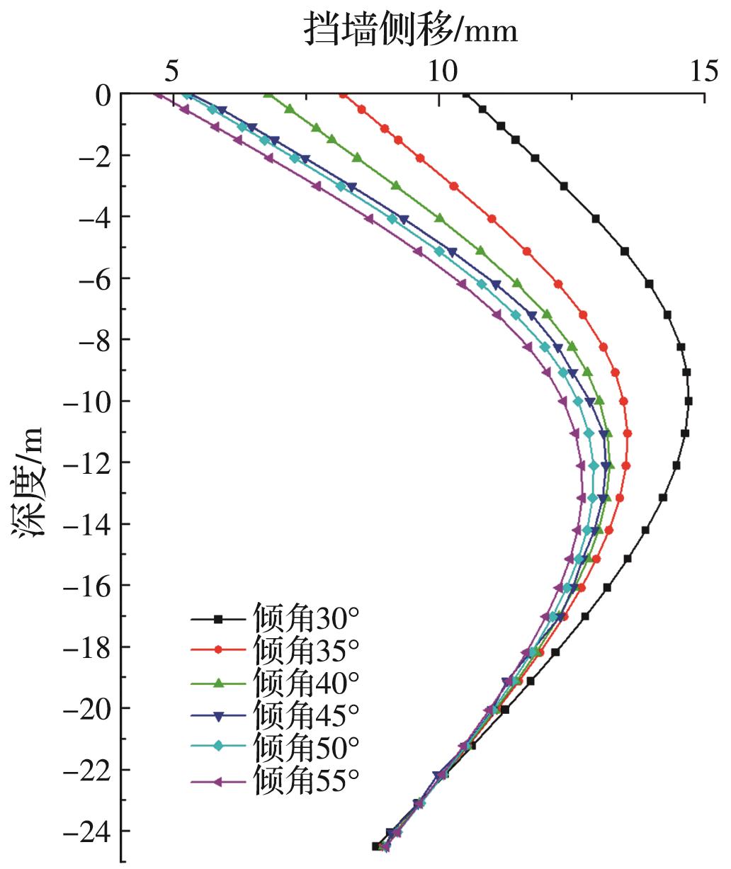
摘要:扩底承载式钢管混凝土斜支撑技术是一种新型基坑开挖支护技术,许多工程案例已经证实了其良好的支护性能,但目前还缺乏对该倾斜支撑功能机理的深入研究。通过有限元数值模拟建立应用扩底承载式斜撑基坑开挖的数值模型,利用监测数据验证模型的合理性。基于此模型探究扩底承载式斜撑在基坑开挖过程中的变形特性,通过分析不同工况时的挡墙变形、基底隆起量和地表沉降量得到土体刚度、土体强度、斜支撑的倾斜角度对扩底承载式斜撑支护性能的影响。结果表明:扩底斜撑对基坑开挖的土体与支护变形具有明显控制效果,能有效减小基坑的基底隆起、挡墙侧移和坑外地表沉降,且在软土地区的适用性更高;扩底斜撑倾斜角度的增加使支撑趋于横向受力,具有更高的承载力,有利于控制基坑开挖过程中土体和挡墙的变形,但会提高工程造价,需要根据具体工程情况以及对土体控制要求选择合适的倾斜角度。
2025, 47(4):28-36. DOI: 10.11835/j.issn.2096-6717.2023.072
摘要:注水与水下开挖是一种新型基坑开挖方法,用于解决基坑地下水与江河水有稳定联系时传统的坑外降水与坑内排水方法无法实施的问题。提出深基坑注水与水下开挖的设计计算方法,结合钢板桩围堰深基坑工程,制定注水与水下开挖方案,建立数值模型研究深基坑先降水形成旱地工作条件开挖、再注水进行水下开挖、水下浇筑封底混凝土后再降水时所对应的支护结构受力与变形规律,并对注水高度进行优化。结果表明:先降水形成旱地工作条件时最大降水深度取决于坑底土体抗流砂、管涌的稳定性,开挖深度从2 m增加至7 m时,支护结构水平位移增加了53.6%,坑底塑性隆起量的最大值逐渐增大至59.0 mm;再注水进行水下开挖时,增加注水高度能有效减小坑底土体的隆起变形及支护桩的水平位移,临界注水高度为9 m,注水高度超过该临界值后,其抑制坑底和支护桩变形的效果会减弱。封底混凝土厚度取决于其抗浮稳定性和强度,钢板桩嵌固深度取决于水下浇筑混凝土后再降水工况下支护结构的整体稳定性。
2025, 47(4):37-45. DOI: 10.11835/j.issn.2096-6717.2023.085
摘要:在自然营力的长期作用下,石窟寺及石刻类文化遗产极易受构造应力、裂隙扩张、雨水侵蚀等因素影响,产生严重的岩体失稳现象。以大足石刻石篆山摩崖造像为例,通过野外调查和室内试验手段,获取石刻区的工程地质条件及区域岩石的宏观力学特性,结合定性和定量方法分别评价倾倒式和滑移式两种主要破坏模式下危岩体的稳定性,并制定相应的抢险加固方案。计算结果表明,在考虑地震因素影响作用下,倾倒式和滑移式危岩体的稳定性安全系数分别为1.39和1.20。鉴于石窟区文物保存现状和游客参观服务的特殊性,采取“锚杆加固+条石砌筑+裂隙灌浆+做旧处理”综合性加固措施,通过位移和应力监测数据发现,加固后倾倒式和滑移式危岩体的变形量分别控制在3、6 mm范围内,验证了加固方案的有效性,并及时消除了石篆山摩崖造像重大险情,确保游客和文物安全。
2025, 47(4):46-57. DOI: 10.11835/j.issn.2096-6717.2024.023
摘要:路堤填土通常处于非饱和状态,降雨引起的雨水入渗会导致非饱和填土发生润湿,因而产生变形,从而导致路堤边坡发生变形。土工合成材料具有较高的抗拉强度,能减小路堤变形,并提高其稳定性。提出考虑非饱和土水-力耦合行为的本构模型,通过二次开发嵌入有限差分程序FLAC,根据加载和湿化路径的三轴试验数据对本构模型进行验证。利用验证的非饱和土本构模型模拟路堤填料,研究非饱和土加筋路堤在降雨条件下的湿化变形行为,并对比研究筋材对路堤湿化变形的影响。结果表明:筋材在未加筋区几乎不产生影响,但能有效减小加筋区土体单元的体积应变和剪应变。筋材对路堤中线附近未加筋区的顶面沉降几乎不产生影响,但能有效减小路肩处的顶面沉降和路堤边坡的侧向位移。筋材越长,对减小路堤的顶面沉降和路堤边坡的侧向位移效果越好,路堤内部的潜在破坏面距坡面越远。
2025, 47(4):58-65. DOI: 10.11835/j.issn.2096-6717.2023.087
摘要:提出以抗拉强度高、耐腐蚀的超高性能混凝土(UHPC)为腹板和底板,以钢筋混凝土(RC)为顶板的预应力RC-UHPC组合箱梁,并制作1根试件开展抗弯试验。分析试件的裂缝开展规律与破坏模式;采用有限元软件对试验进行模拟,通过对比有限元计算结果与试验数据验证有限元方法的计算精度,在此基础上建立19个有限元分析模型,分析不同参数对开裂弯矩的影响;采用相关规范及既有文献资料对预应力RC-UHPC组合箱梁的开裂弯矩与裂缝宽度进行计算。结果表明:试件加载至约33.3%极限荷载时出现第1条裂缝,之后荷载-挠度曲线逐渐趋于平缓;开裂弯矩受预应力筋张拉系数、预应力筋配筋率、UHPC抗拉强度影响较大。采用基于换算截面的开裂弯矩计算方法与DBJ 43/T 325—2017中的裂缝宽度计算方法,分别计算预应力RC-UHPC组合箱梁的开裂弯矩及裂缝宽度,计算值与试验值、有限元计算值吻合较好。
2025, 47(4):66-77. DOI: 10.11835/j.issn.2096-6717.2023.063
摘要:为研究U形钢-混凝土组合梁(U形钢组合梁)基于截面分类的外包钢板件宽厚比限值,对5根U形钢组合梁试件进行单调静力加载试验,分析不同外包钢腹板受压区高厚比及受压翼缘宽厚比情况下U形钢组合梁的破坏模式、荷载-位移曲线及塑性变形能力。试验结果表明,外包钢板件宽厚比对U形钢组合梁的屈曲变形和塑性变形能力有直接影响,所有试件在达到峰值承载力前均发生了局部屈曲,破坏模式为弯曲塑性破坏。有限元参数分析结果表明,外包钢腹板与受压翼缘之间的非线性行为相互影响,板件的屈曲时刻随着相邻板件宽厚比的增大而提前,增大外包钢板件宽厚比会降低U形钢组合梁的塑性发展程度。基于试验与有限元参数分析结果,提出U形钢组合梁的Ⅱ类截面(Class 2)外包钢板件宽厚比限值建议,并将提出的限值与规范限值进行对比分析,结果表明,该限值更符合U形钢组合梁的真实受力性能,可在一定程度上更加充分地发挥其结构优势。
2025, 47(4):78-87. DOI: 10.11835/j.issn.2096-6717.2024.125
摘要:耐候钢适用于高海拔寒区等严酷环境地区的桥梁建设,但当前耐候钢在高海拔寒区的耐腐蚀机制不明确。为探究高海拔寒区桥梁耐候钢的耐蚀机制,以典型桥梁耐候钢和普通钢为研究对象,针对典型的高海拔寒区环境,开展桥梁钢的原位腐蚀试验,以探究耐候钢在高海拔寒区应用的可行性。首先依据规范设计20个原位腐蚀试样,开展腐蚀周期为2、4、10、18、24个月的原位腐蚀试验;结合腐蚀失重数据、锈层宏观形貌、锈层微观形貌及元素沿锈层的分布规律,对耐候钢在高海拔寒区的耐蚀机制进行分析。结果表明:两种试件在康定大气环境下的腐蚀失厚量在腐蚀周期为10个月前基本一致;在腐蚀周期为24个月时,耐候钢的腐蚀失厚量比普通碳钢低约10%;耐候钢锈蚀产物中形成的针铁矿阻碍了氧气、水分等向锈层内聚集,阻止了其腐蚀;腐蚀过程中,Cr在耐候钢内锈层富集,导致内锈层在后续腐蚀中越发致密,进一步增强了耐腐蚀性能。
2025, 47(4):88-99. DOI: 10.11835/j.issn.2096-6717.2023.062
摘要:重复荷载和锈蚀共同作用会造成预应力混凝土(PC)构件疲劳损伤,降低其使用寿命。以钢绞线疲劳裂纹扩展尺寸、混凝土疲劳累积残余应变为损伤参数,综合考虑钢绞线疲劳裂纹扩展、界面锈蚀疲劳粘结退化及混凝土疲劳损伤的影响,提出考虑力筋残余应变的粘结滑移区不协调变形量化方法及锈蚀PC梁疲劳寿命预测方法。然后通过试验数据验证预测方法的合理性,并讨论不同预应力、锈蚀程度和应力水平作用下锈蚀PC梁界面疲劳粘结滑移情况。结果表明:提出的预测方法可有效预测界面滑移情况及锈蚀PC梁的疲劳寿命;预应力大小是影响锈蚀PC梁发生疲劳粘结滑移的重要参数,随着锈蚀率、应力水平的提高,构件易发生疲劳粘结滑移,而预应力的增大可有效减少界面疲劳粘结滑移的发生;在高应力水平下更严重的应变不协调会导致更大的残余滑移,滑移量曲线及其斜率随着应力水平的提高而整体抬升、变陡。
2025, 47(4):100-108. DOI: 10.11835/j.issn.2096-6717.2023.101
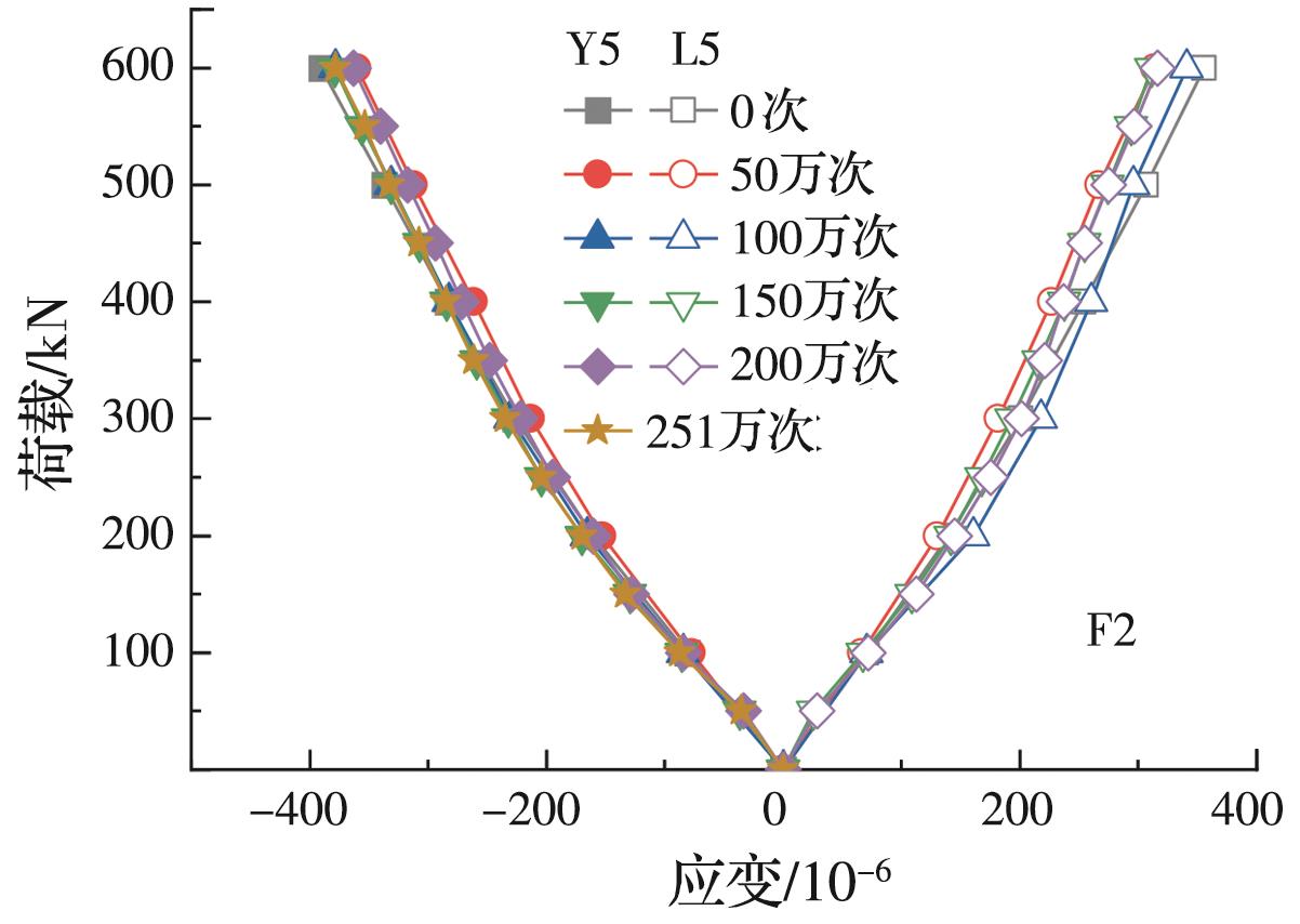
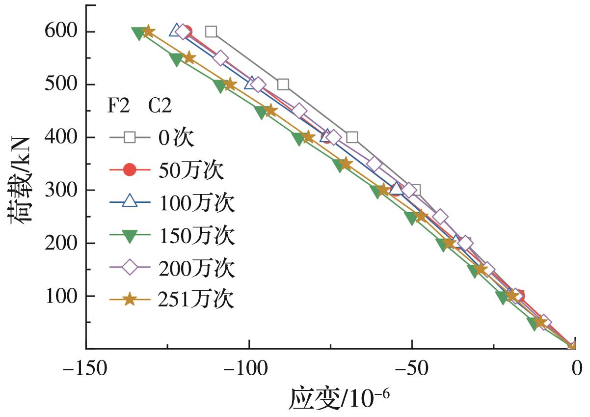
摘要:为研究钢桁腹-混凝土组合外接式节点的疲劳性能,并验证该结构应用于高速铁路桥梁的可靠性,设计制作了两个缩尺比为1∶3的节点模型并开展疲劳试验,研究组合外接式节点疲劳破坏模式、荷载-位移关系和荷载-应变曲线,观察不同应力幅作用下外接式节点疲劳受力特征。结果表明:在设计应力幅作用下,组合外接式节点疲劳寿命超过251万次,节点未破坏且刚度未减小,抗疲劳性能满足要求;在1.4倍设计应力幅作用下,节点实测疲劳寿命为140万次;外接式节点的疲劳破坏模式为受拉侧外露节点板的开裂,组合外接式节点疲劳性能的控制构造细节是外露节点板与加劲板之间的焊缝连接细节;疲劳裂纹引起节点板的应力重分布,裂纹上下节点板的应变最大减小了81%,裂纹附近节点板应变最大增加了33%;根据一点法所得S-N曲线,组合外接式节点对应于设计应力幅53.2 MPa作用下的疲劳寿命,为436万次,是设计寿命的2.18倍。
2025, 47(4):109-120. DOI: 10.11835/j.issn.2096-6717.2023.070
摘要:为推广直径10 mm以内的螺栓紧固件在钢-木组合结构中的应用,研究了螺栓的横向排数、直径和纵向间距对钢-木组合梁弯曲性能的影响。通过设计一种下部为工字钢梁、上部为木板、上下部由螺栓连接的组合梁,对8根试验梁进行三分点弯曲荷载试验,分别观察其破坏模式、跨中挠度变化、跨中截面应变和梁端部钢-木交界面滑移效应,分析不同螺栓参数对钢-木组合梁抗弯力学性能的影响。结果表明,钢-木组合梁的主要破坏模式为:组合梁跨中挠度达到跨度的1/27时,发生变形破坏;组合梁具有较大的抗弯承载力与位移延性系数,各试件钢-木交界面最大相对滑移为2~6 mm;螺栓布置参数中,螺栓纵向间距对组合梁跨中钢-木交界面的应变差影响最大,螺栓直径的影响较小;提出了钢-木组合梁螺栓面积比的概念,即螺栓总面积与木板受压面积的比值,随着螺栓面积比的增加,位移延性系数减小,但试件抗弯承载力明显增长,交界面最大滑移逐步减小。通过合理的螺栓面积比范围能快速计算出螺栓的用量范围,为此类钢-木组合梁的实际应用提供设计参考。
2025, 47(4):121-130. DOI: 10.11835/j.issn.2096-6717.2023.073
摘要:浮搁是传统木结构中柱脚的典型构造形式,在水平荷载作用下木柱易出现摇摆现象。木柱的摇摆行为表明浮搁柱脚节点具有半刚性特征,对木结构抵抗侧向荷载和维持整体稳定性具有重要作用。提出一种摇摆木柱柱脚节点的建模方法,通过在柱脚布置一排轴向弹簧,以模拟柱底-础石接触界面的受力状态。基于OpenSees平台建立对应数值模型,通过与精细化有限元模型及大量相关文献中的试验数据进行对比,验证该建模方法的有效性。同时,对影响该建模方法的部分因素进行分析,包括柱脚弹簧接触刚度、分布模式、弹簧数量及材料本构。结果表明,该建模方法对接触刚度相对不敏感,建议木柱计算受压深度为木柱半径,以确定各弹簧单元接触刚度;3种分布模式均适用于该建模方法,弹簧单元的数量应不少于10个;对于高轴压比木柱,在建模过程中应采用考虑弹簧单元进入塑性的ElasticPP材料结构。
2025, 47(4):131-139. DOI: 10.11835/j.issn.2096-6717.2023.065
摘要:为提升传统屈曲约束支撑的性能,特别是解决传统阻尼器在主震-余震型地震作用下发生断裂后无法为结构提供抗侧刚度和耗能能力的问题,提出一种新型两阶段屈曲约束支撑(two-stage buckling-restrained brace,TS-BRB)。TS-BRB的耗能单元由3个横截面沿纵向渐变的Q235钢板串联组成,中部的耗能段在地震中首先发挥耗能作用,若该段发生断裂,约束单元中的限位卡槽能够确保端部耗能段继续工作,从而使TS-BRB具备较传统BRB更高的耗能能力。TS-BRB的滑移距离通过调整限位卡槽的长度来限制,从而满足结构减震设计的使用需求。结果表明:该阻尼器的滞回曲线饱满,形状符合理论预期;TS-BRB具有明显的二阶段耗能特性,耗能单元的端部耗能段在中间耗能段断裂后能继续工作,断裂后的附加累计耗能为断裂前的138.41%。TS-BRB解决了传统BRB在断裂后随即失去承载和耗能能力的问题,能为结构提供更大的耗能储备。用ABAQUS建立实体单元数值模型,发现模拟与试验的滞回曲线吻合较好。
2025, 47(4):140-147. DOI: 10.11835/j.issn.2096-6717.2023.076
摘要:为了探究损伤混凝土梁的耐久性能退化规律,通过引入疲劳损伤因子和徐变损伤因子,建立含疲劳和徐变损伤混凝土梁保护层锈胀开裂后钢筋锈蚀深度的计算模型,并根据《混凝土结构耐久性设计标准》建立由锈胀裂缝宽度控制的耐久性极限状态方程。运用Monte-Carlo数值模拟方法计算6根混凝土试验梁在裂缝宽度限值范围内的可靠度;采用验算点法计算腐蚀电流密度、混凝土抗压强度、保护层厚度和钢筋直径等4项参数的灵敏度。结果表明:随着锈蚀时间的增加,可靠度从0.9下降到0.1,并且在60%疲劳寿命次数的循环荷载作用后,持荷时间增加3个月对梁的可靠度影响较小;保护层厚度的增加和钢筋直径的减小均能提高梁的可靠度,减缓结构可靠度在钢筋锈蚀前期的下降速度,8 mm的钢筋直径可以作为损伤混凝土梁耐久性设计的参照值;腐蚀电流密度、保护层厚度和钢筋直径3个参数的灵敏度较大,因此,这3个参数是耐久性极限状态可靠度的主要影响因素。
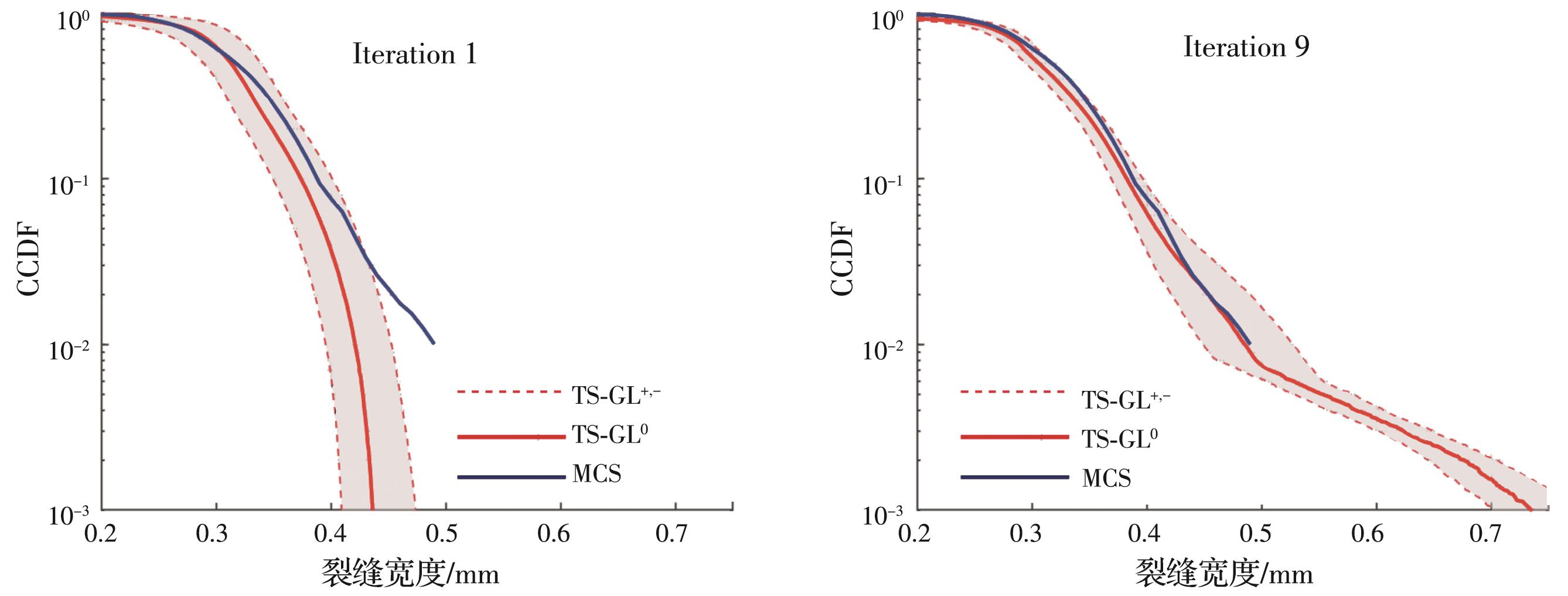
2025, 47(4):148-156. DOI: 10.11835/j.issn.2096-6717.2024.031
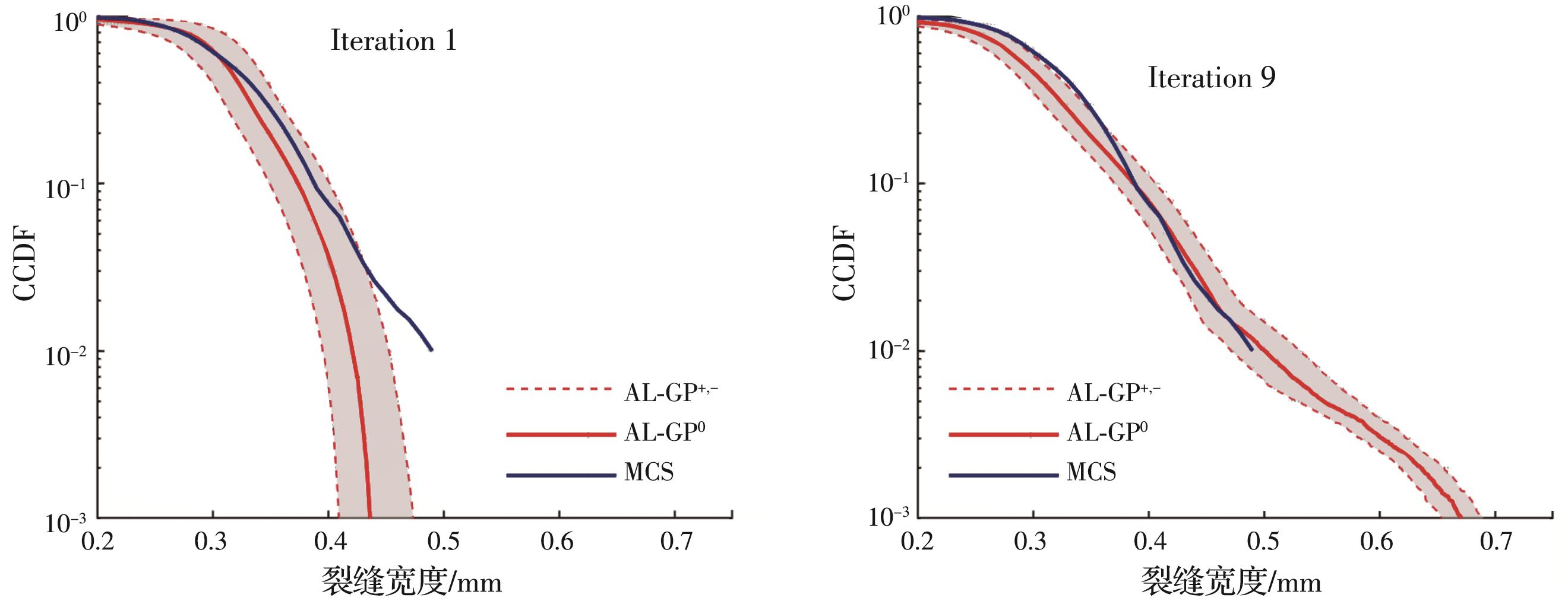
摘要:一些重大关键结构在服役期间会面临极端事件,由于极端事件发生的概率极低而可能被忽视,但如果发生将会导致严重损失。为了准确估计复杂结构的极小失效概率,提出一个能平衡极端事件发生概率计算精度和成本的方法。通过基于高斯代理模型的主动学习策略,构建能将训练点有效集中在单侧尾部的搜索函数,该函数更善于寻找分布函数加权后的误差最大区域,并重新投入新增训练点。为了验证算法的有效性,以结构开裂非线性分析为算例,将算法结果与MCS进行比较,估计的随机变量均值相对误差在10%左右,表明该方法能得到可接受的统计量结果;与AL-GP的结果进行对比,估计的随机变量误差期望降低了20%,表明在尾部的不确定性能更快降低。通过算例证明了算法对尾部的敏感性更高,适用于有潜在尾部风险的分布计算。
2025, 47(4):157-171. DOI: 10.11835/j.issn.2096-6717.2024.013
摘要:在电力供需不匹配的挑战下,需要对建筑实行柔性负荷调度以改善电网的协调性。气候变化造成日益增多的极端天气和气候活动,了解不同气候条件下柔性管理策略的效果至关重要。采用中国五大气候区代表城市的典型与极端天气数据,研究办公建筑在3种短期暖通空调管理策略下的柔性用能潜力,旨在发掘不同策略在中国不同地区及室外气候条件下的效果。结果表明,3种短期策略下,峰值负荷柔性与总能耗表现受室外气候条件影响;预冷及温度调节策略的峰值负荷降低率随户外温度升高呈线性下降;在极端气候条件下,峰值负荷出现时间较典型情况提前2 h以上,极端条件下的强烈太阳辐射可能导致峰值负荷降低率与室外温度的相关性降低,同时降低室内热舒适。
2025, 47(4):172-182. DOI: 10.11835/j.issn.2096-6717.2023.077
摘要:土木工程施工过程中温室气体排放集中且强度大,亟需监测和控制其环境绩效。然而,当前施工碳排放评估多在施工前或竣工后开展,很少关注施工过程中环境绩效监测问题。基于施工定额理论、物联感知技术及挣值管理模型,开发了挣得碳值管理(earned carbon value management,ECVM)碳绩效评估模型,用于评估项目施工过程中的碳排放绩效,提升施工场地碳排放管理的精度和效率。该模型将施工碳排放与工程完成量、资源消耗量关联,提出3个关键参数和4个关键指标。将模型应用于上海市某建筑主体工程项目,评估发现,在施工进行至第20天时,项目的碳排放偏差(emission variance,EV)为-105.46 kgCO2e,而施工进度(schedule variance,SV)偏差为-215 kgCO2e,表明当前施工进度延误,碳排放超出了配额值。然而,当施工进行至第30天时,项目的EV和SV分别为-2 603.18、555.39 kgCO2e,表明经过适度纠偏后,施工进度控制达到了良好的效果,但其碳排放仍然超出了配额值,还需进一步采取碳排放纠偏措施。案例表明,ECVM能在施工过程中分析施工进度与碳排放之间的关系,并根据碳排放绩效指标分析偏差产生的原因,提出针对性的纠偏措施,具有通用性,可用于任何施工项目的碳排放管理。
2025, 47(4):183-196. DOI: 10.11835/j.issn.2096-6717.2024.017
摘要:近年来,工业作业产生的粉尘颗粒带来的健康风险逐渐加重。大量研究表明,长期暴露于生产性粉尘颗粒中与劳动者患呼吸系统职业病有密切关联。明确工业建筑室内粉尘颗粒暴露与劳动者健康不良影响的关系,对科学评价工业建筑环境安全和保证劳动者健康具有重要意义。现阶段针对粉尘颗粒毒性和生物学效应的研究使人们对粉尘颗粒暴露研究的重点已从环境评价逐渐转变为以个体健康效应为指标的评价,然而,目前工业粉尘颗粒暴露与健康效应的关联尚未完全明晰,并且在工业场所接触不同种类和水平粉尘颗粒对健康效应的影响也有待阐明。从粉尘颗粒对呼吸系统健康可能造成的损伤、粉尘的暴露健康效应关联及健康风险评价3方面回顾了工业粉尘颗粒对健康影响研究的相关进展,明晰了暴露对健康的影响作用及目前基于暴露效应模型定量表征粉尘颗粒作用机制的理论缺失及有效生物标志物选取的迫切性,为未来科学保护劳动者身体健康、不同类型工业环境监测指南和开发控制改善手段提供参考。
2025, 47(4):197-207. DOI: 10.11835/j.issn.2096-6717.2024.030
摘要:在饮用水源受蓝藻水华影响期间,藻类代谢会产生大量藻类有机物(AOM),AOM易与氯消毒剂反应生成消毒副产物(DBPs),对供水水质和饮用水安全构成威胁。以紫外(UV)、真空紫外(VUV)、过硫酸盐(PS)和紫外/过硫酸盐(UV/PS)等工艺为对照组,探究真空紫外/过硫酸盐(VUV/PS)工艺去除AOM和减少DBPs生成的效能与机理。结果表明,VUV/PS工艺去除AOM的效能优于对照工艺,DOC和UV254的去除率分别达74.7%、70.7%,荧光有机物的去除率也超过82.2%。此外,AOM的去除效果随PS投加量的增加和溶液初始pH值的降低而增强。自由基探针实验进一步证实,VUV/PS工艺中的主要活性氧化物种(ROS)为羟基自由基和硫酸根自由基,测得二者的稳态浓度分别为4.78×10-13、1.51×10-11 mol/L。VUV/PS工艺通过VUV光解与ROS的氧化作用共同实现了AOM的高效去除,且VUV有效促进了ROS的生成与转化。在后续氯消毒过程中,经过VUV/PS处理的AOM所生成的DBPs总量及其理论毒性显著下降。VUV/PS工艺在富含AOM的水源水处理中有广阔的应用前景。
2025, 47(4):208-218. DOI: 10.11835/j.issn.2096-6717.2024.049
摘要:中国餐厨废油年产量超过500万t,其主要成分为脂肪酸甘油酯,通过合适的化学转化可制备成以脂肪烃类为主要组分的二代生物柴油(烃基生物柴油)。与传统酯基生物柴油(主要成分为脂肪酸甲酯或脂肪酸乙酯)相比,二代生物柴油可以任意比例与石化柴油混合使用,燃烧性能更佳。目前,以餐厨废油为原料制备二代生物柴油的研究主要包括加氢催化工艺和水热催化工艺。综述了两类工艺的反应机理和反应参数,着重介绍催化剂及载体选择、温度、气体等反应条件的研究与开发,总结各工艺的适用范围,为选择合适的工艺提供依据,并对两项工艺未来的发展方向提出展望:加氢催化工艺在商用上较为成熟,未来研究的重点在于提升催化剂的稳定性和工艺经济性;水热催化工艺作为能够原位产氢的新兴技术,未来应对绿色高效的水热催化剂及连续流水热反应进行深入研究,推动水热催化工艺的工业应用。
2025, 47(4):219-225. DOI: 10.11835/j.issn.2096-6717.2024.009
摘要:城市排水系统中沉积物的大量存在会导致管道堵塞和雨天溢流污染。超声波作为一种清洁的物理处理方法可能破坏沉积物的稳定性,从而在旱季去除沉积物,以维护下水道功能。为探寻超声技术用于实际清淤的可行性和最佳处理工况,设计正交实验探究超声清淤效果以及5个关键因素对超声清淤的影响。结果表明,超声处理后管道淤积大大改善,处理后沉积物的抗剪切力降低至对照组的26.4%~91.5%,管道沉积物中具有黏附作用的胞外聚合物(EPS)大量分解。相关性分析表明,EPS破坏是沉积物抗冲刷性能降低的重要原因。5个关键因素对超声清淤的影响程度排序为:超声电功率>探头距泥面距离>作用时间>沉积物厚度>超声频率。超声清淤的最优工况为:功率220 W、频率50 kHz、处理时间200 s、距离泥面3 cm。探究了清淤效果随沉积物厚度的变化情况,发现超声清淤对厚度不大于7 cm的沉积物有良好作用效果,超出该范围后明显衰减,并在此基础上进一步探究了超声作用后沉积物沿深度方向的性质变化情况。
2025, 47(4):226-233. DOI: 10.11835/j.issn.2096-6717.2024.026
摘要:排水清污分流是减少隧道施工污水排放的重要措施。隧道喷射混凝土在未稳定前的浸出物质会影响排水水质,研究其稳定过程中浸出物对水质的影响规律对实现清污分流的精准实施具有重要意义。通过静态及动态试验对混凝土浸出物组分及浸出规律进行系统研究,静态试验结果表明:与新浇筑混凝土接触后,水体中碱性物质的大量释放导致水质pH值迅速上升,是影响水质的重要污染因子;动态试验结果表明:混凝土养护时间、水固比(L/S)、混凝土与水体的接触面积等均对接触水样的水质有影响。混凝土养护时间小于3 d时,其内部的Ca(OH)2晶体未被C-S-H凝胶固化,容易持续析出,导致接触水样pH值超标;随着养护时间的增加,碱性物质的浸出率大幅降低,当养护时间达28 d时,浸出液的pH值降至9以下,可以满足污水综合排放要求。L/S较低时,浸出物质对水样的pH值和碱度影响较大,当L/S超过40∶1时,浸出物质对水样水质影响不显著。与水样的接触面积越大,混凝土中的碱性物质更易溶解析出,对水质的pH值和碱度影响更为显著。
马英建,方舟,程慧峰,苏彬,彭晓闯,聂小青,梁登钦,秦新皓,何斌
2025, 47(4):234-242. DOI: 10.11835/j.issn.2096-6717.2023.067
摘要:在工程建设中,废弃泥浆含水率极高,且对环境的影响极大,解决其脱水问题成为当前面临的主要难题。针对高含水率泥浆泥水分离问题,选择3种絮凝剂:氯化钙(CaCl2)、阴离子型聚丙烯酰胺(APAM)和聚合氯化铝(PAC),设计3因素4水平正交试验,采用综合平衡法,选取48 h脱水量和上清液pH值等指标,进行极差分析和方差分析,着重找出最佳复合絮凝剂组合。通过正交试验结果和SEM微观分析等对絮凝机理进行讨论。结果表明,将脱水量随时间变化曲线划分为高、中、低脱水区和快速脱水、慢速脱水阶段,则泥浆脱水速率整体呈减小趋势,其中高脱水区组在12 h时也具有较高的脱水量,即满足快速脱水的要求;3种絮凝剂存在一定的协同作用效果。通过正交试验的极差分析和方差分析发现,复合絮凝剂的最优组合为每100 g泥浆掺量为0.25 g CaCl2+0.12 g APAM+0.17 g PAC;根据机理分析,可将复合絮凝剂絮凝过程分为5个阶段:电中和阶段、架桥阶段、吸附成团阶段、网络沉降阶段和固化增强阶段。
2025, 47(4):243-244. DOI: 10.11835/j.issn.2096-6717.2024.130
摘要:
您是本站第 4754718 访问者 
通信地址:重庆市沙坪坝区沙正街174号,重庆大学A区 邮编:400044
电话:023-65111322;023-65111863 E-mail:xuebao@cqu.edu.cn
版权所有:土木与环境工程学报(中英文) ® 2026 版权所有