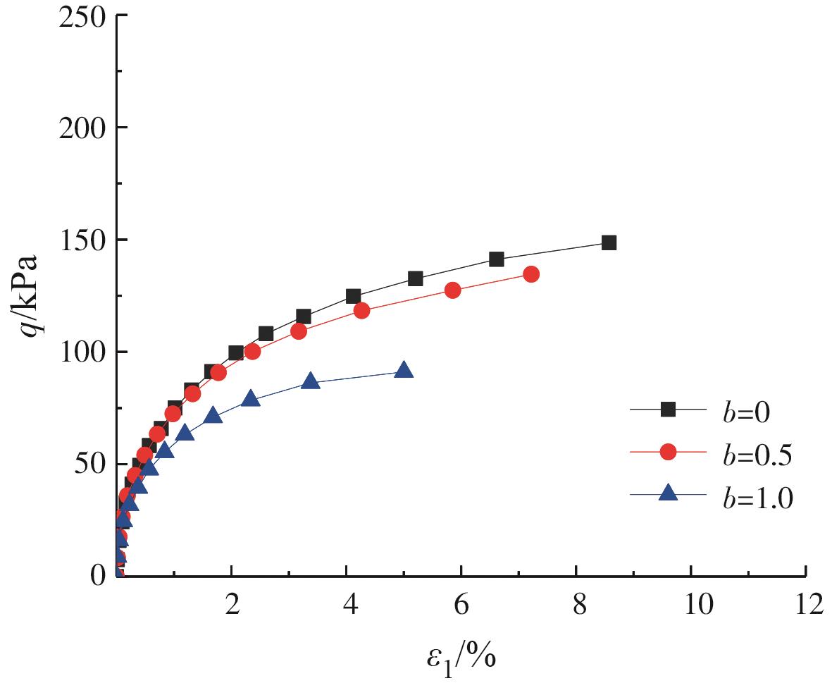
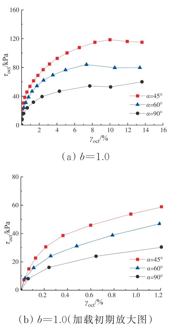
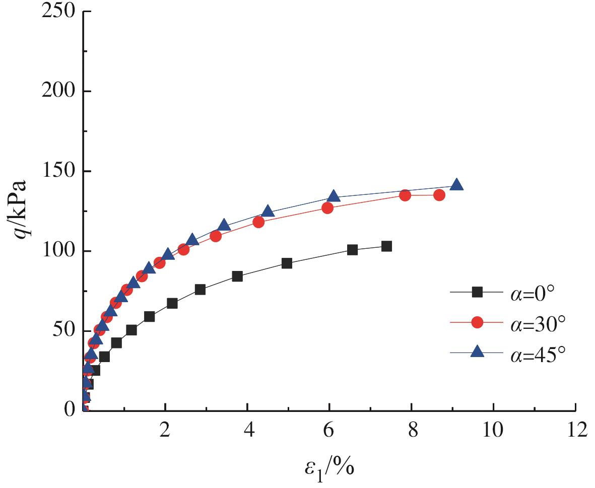
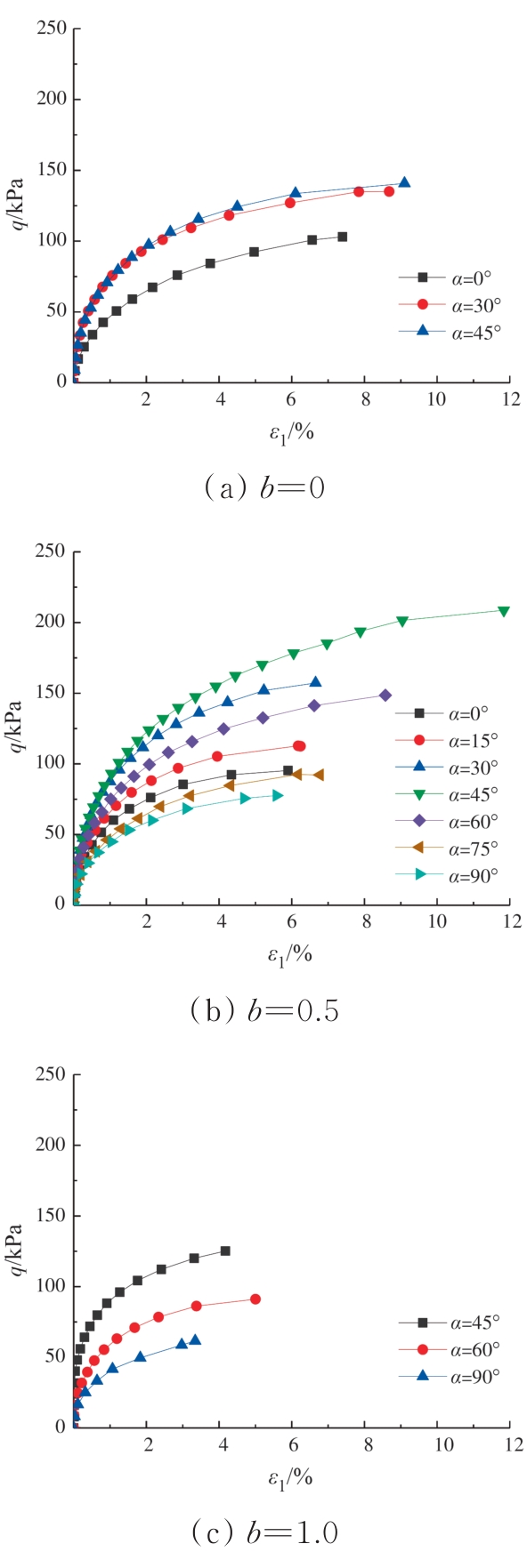
2025, 47(3):1-11. DOI: 10.11835/j.issn.2096-6717.2023.020
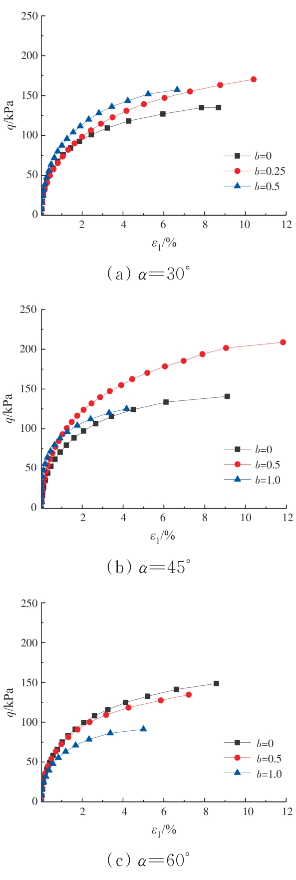
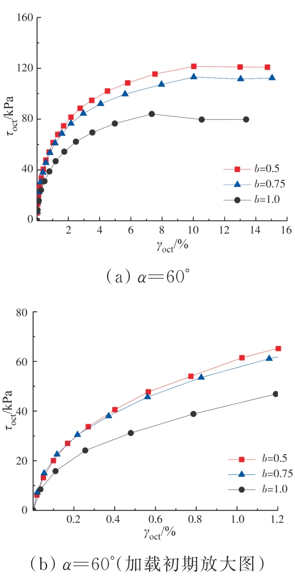
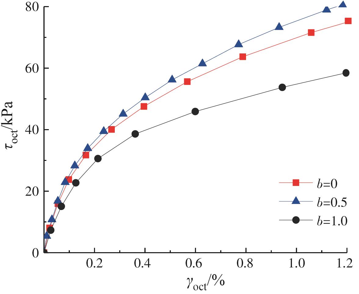
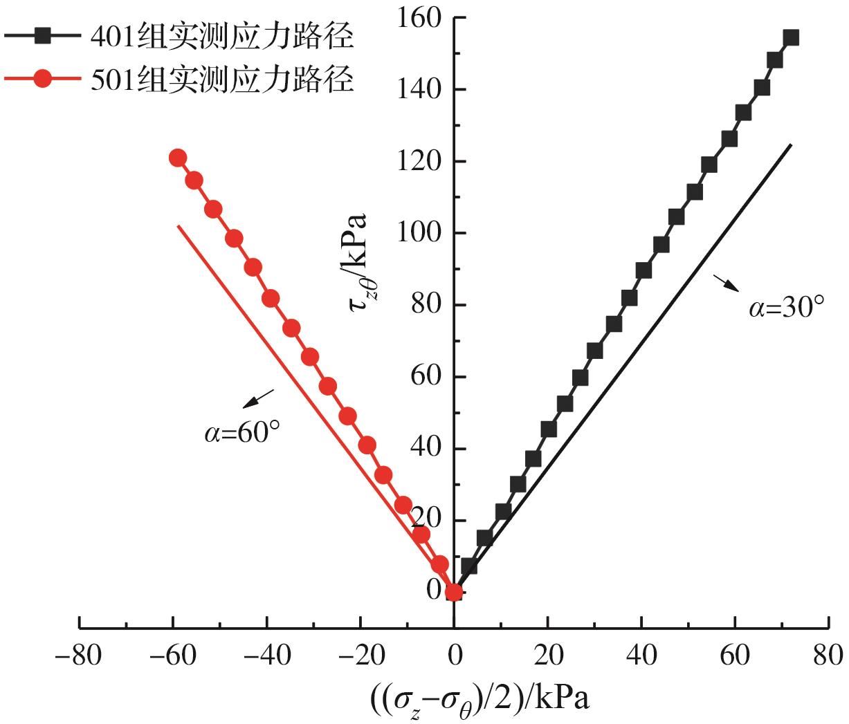
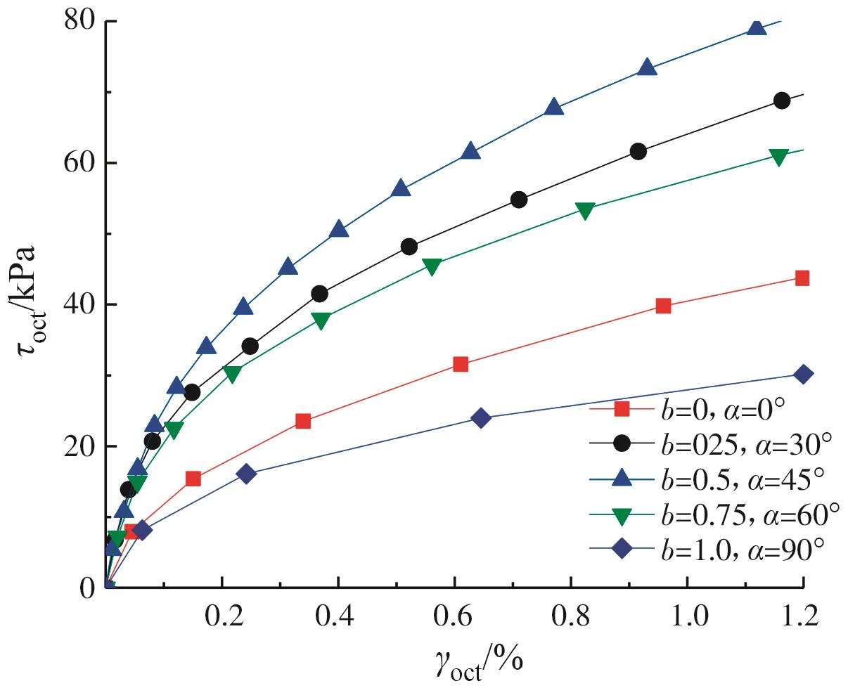
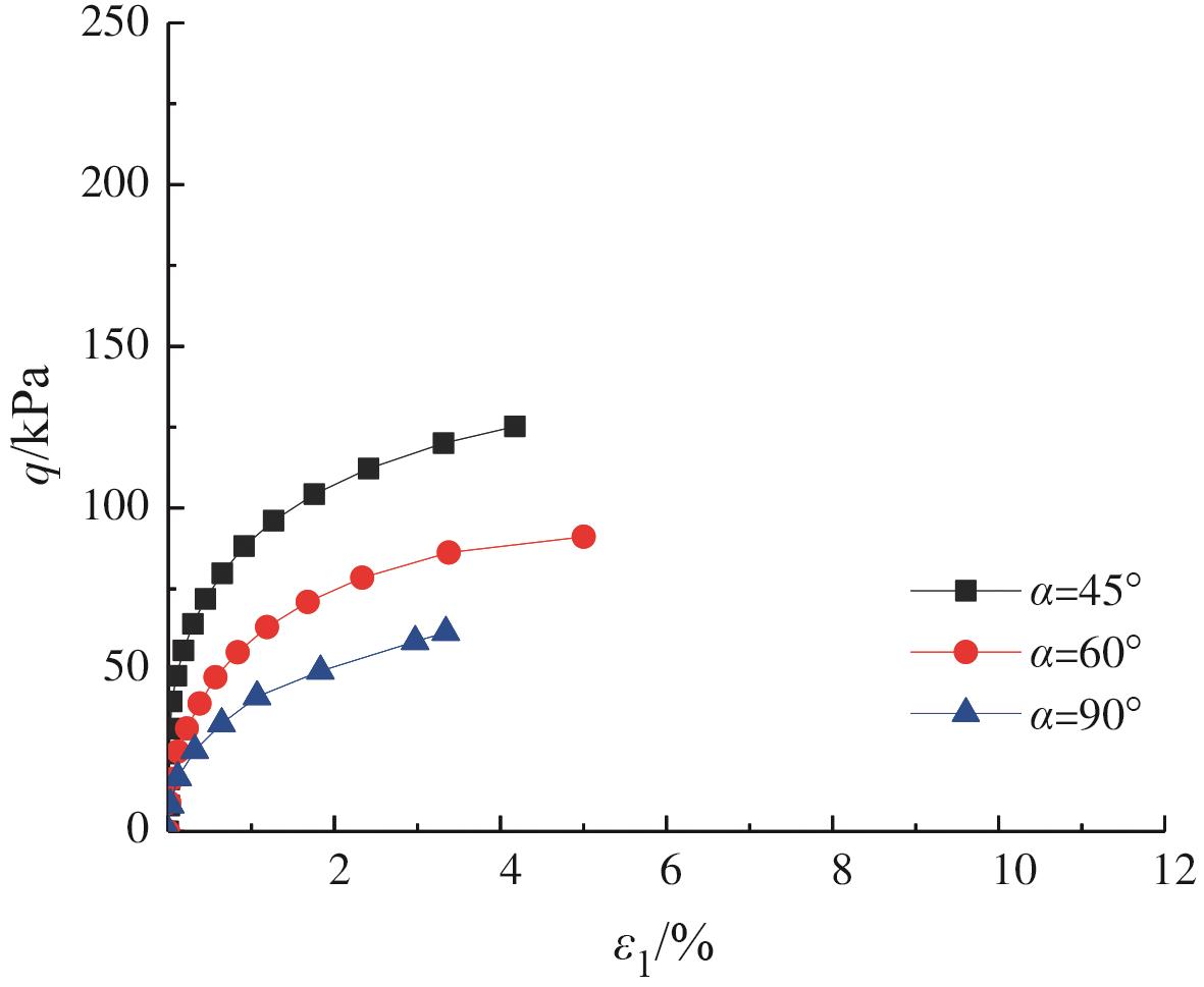
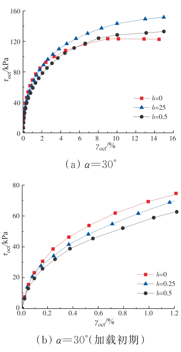
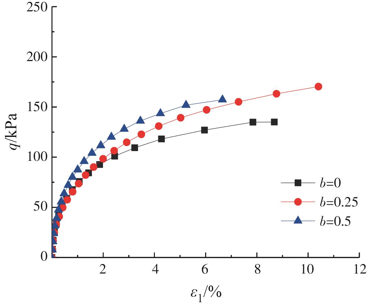
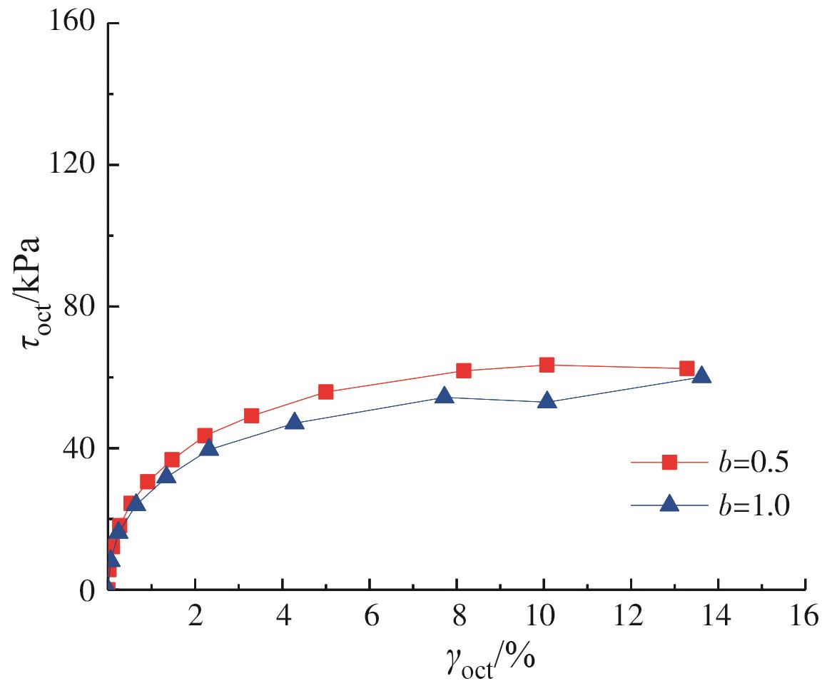
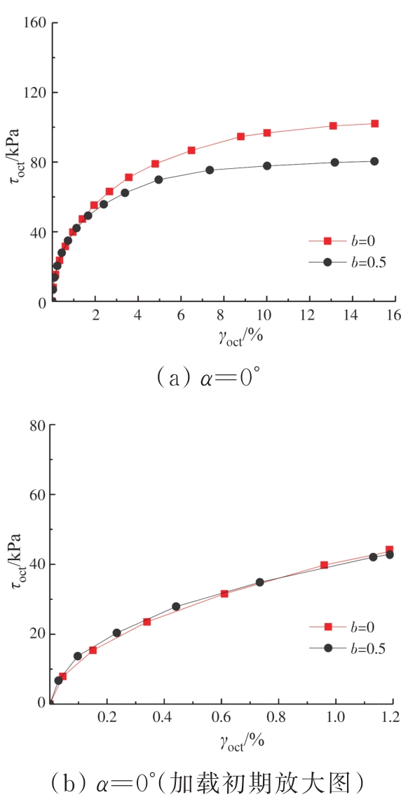
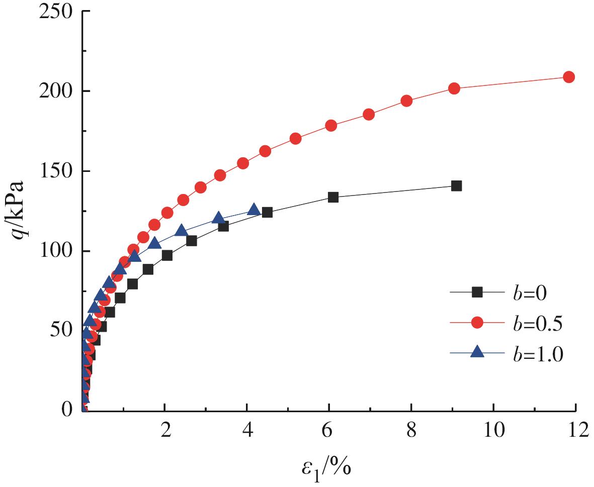
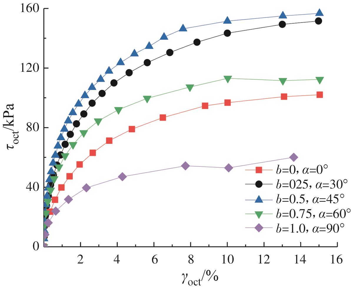
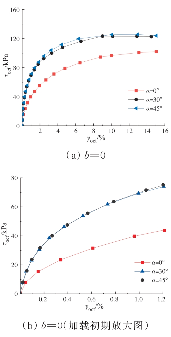
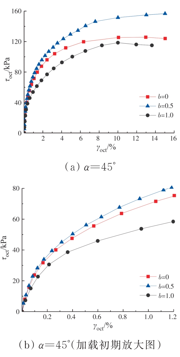
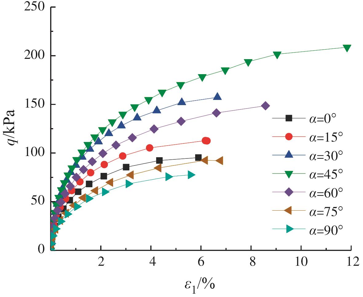
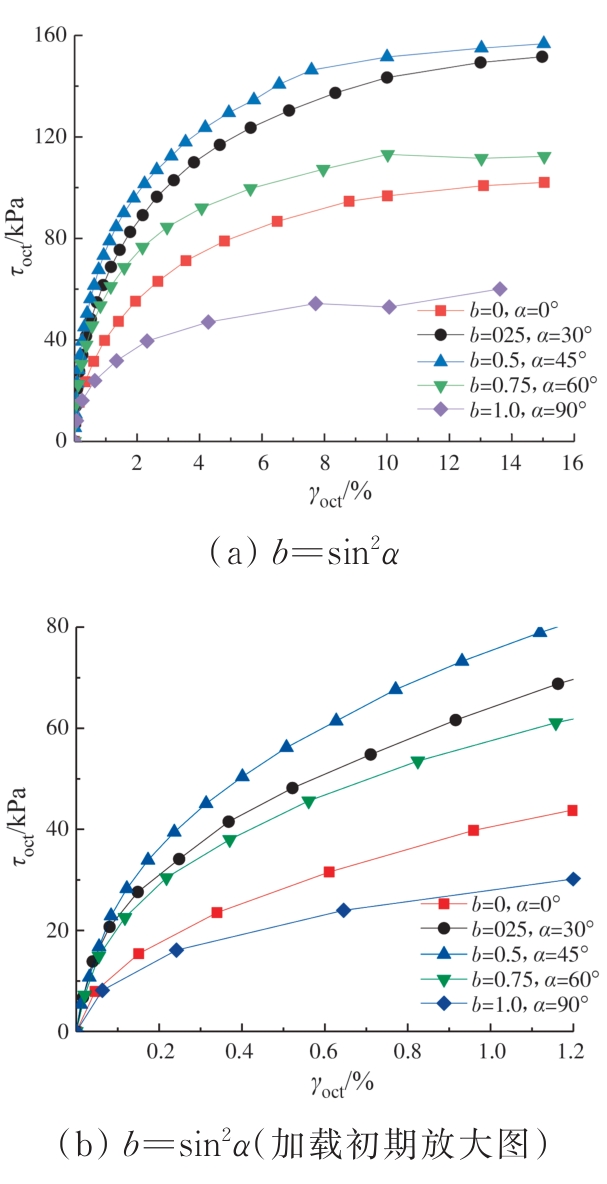
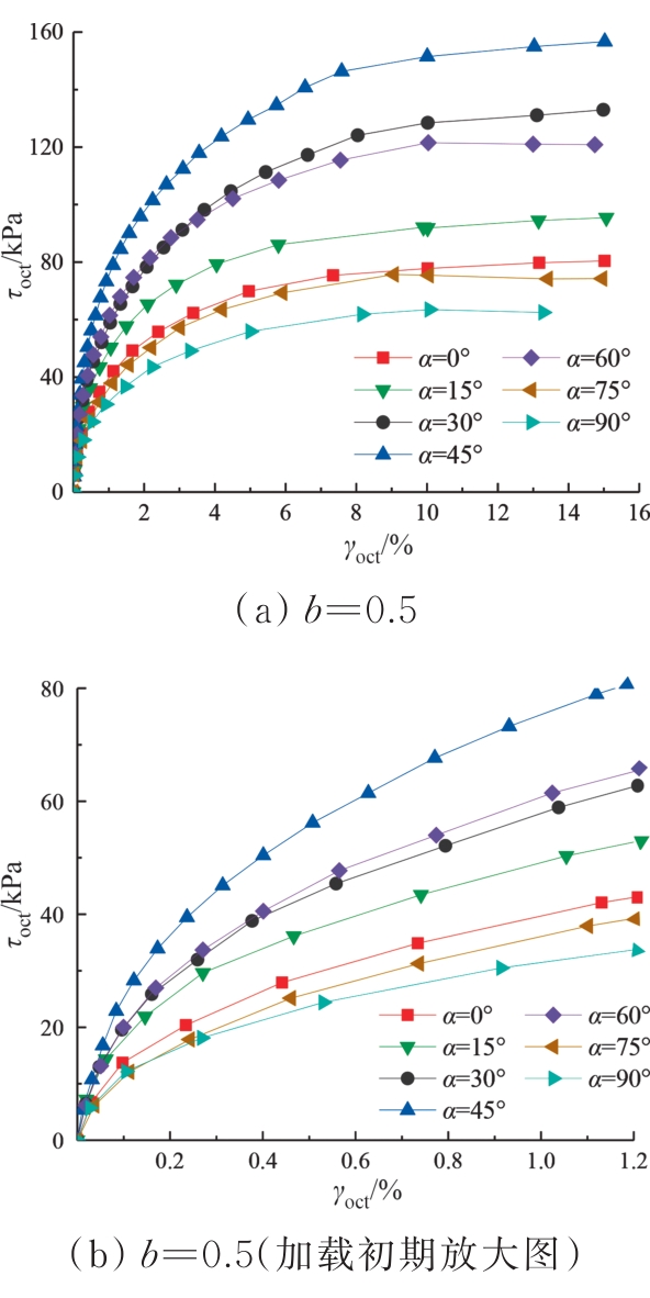
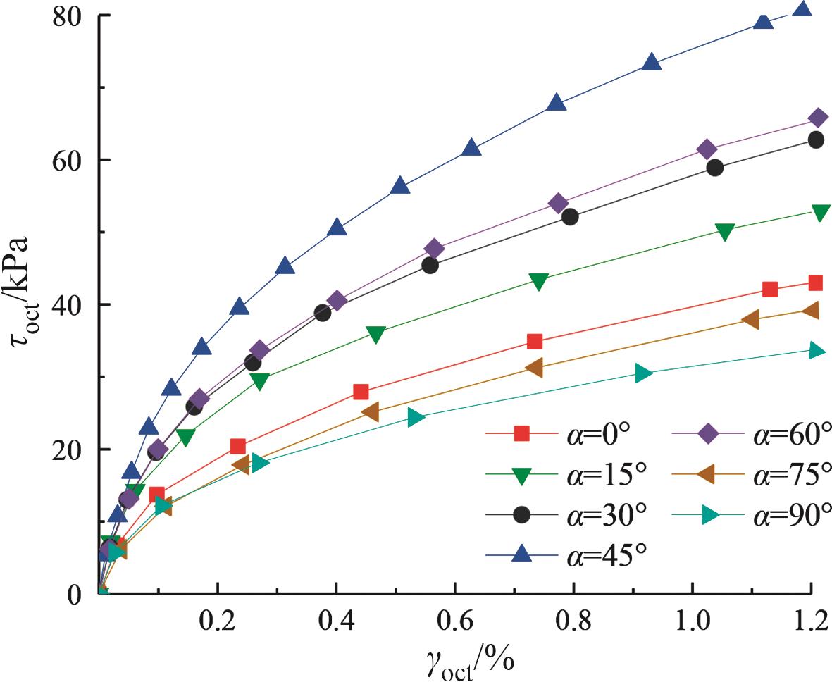
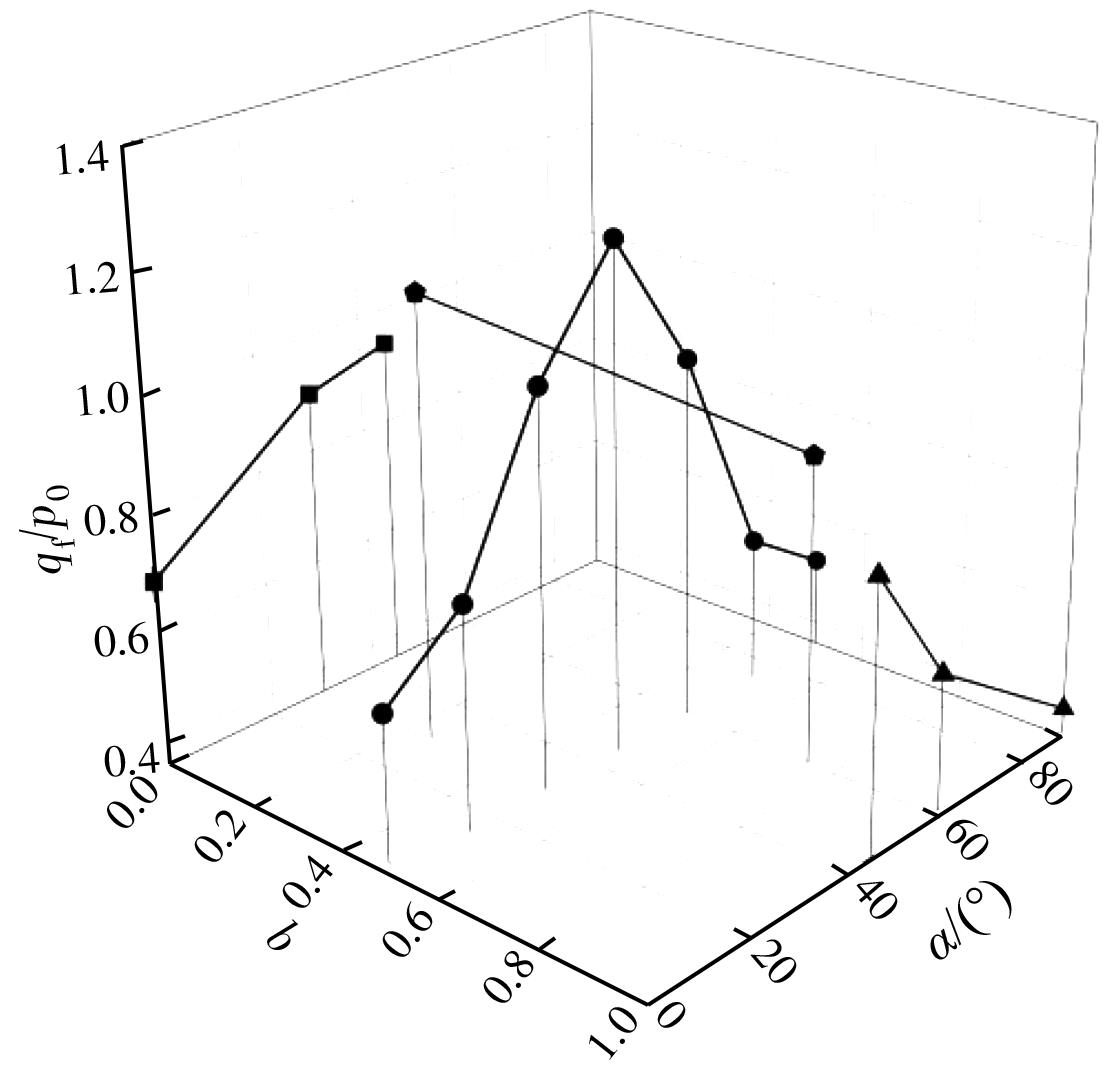
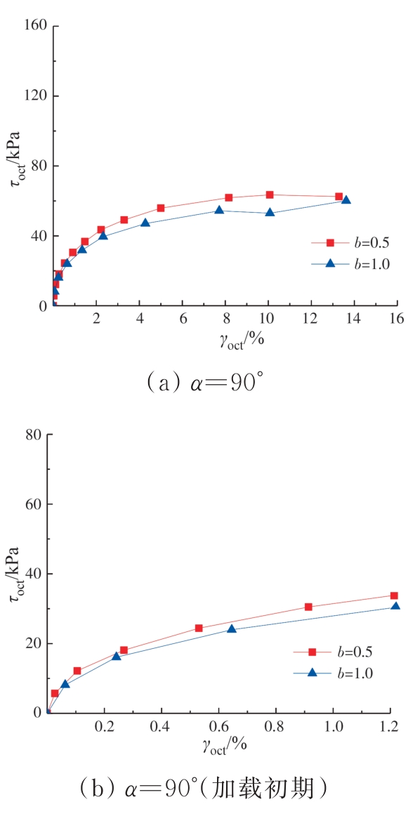
摘要:为探究黄泛区粉质土在复杂应力状态下的各向异性特征,利用GDS空心圆柱系统开展排水条件下固定大主应力方向的剪切试验,获得黄泛区粉质土在不同中主应力系数b和大主应力方向角α下的应力-应变关系和剪应力比关系,研究其各向异性特征。结果表明:黄泛区粉质土八面体应力-应变、剪应力-大主应变受大主应力方向角α和中主应力系数b的影响作用较大;粉质土表现出较强的各向异性特征,尤其在b=0.5和1.0时更为明显;试样的大主应变沿着α角发展为压缩状态,当α固定时,b值越大,试样对应的峰值剪应力较小,试样在b=0.5且α=45°时的峰值剪应力q和对应的ε1最大,相对于其他b值条件,当试样的b值固定在0、α固定在45°时,试样的平均峰值强度更大,这个规律对于α角也适用,且b=0.5、α=45°时的峰值剪应力比qf/p0最大。
2025, 47(3):12-20. DOI: 10.11835/j.issn.2096-6717.2023.033
摘要:颗粒直剪试验剪切带的发展规律和分布特征决定了颗粒体强度,但不易观测。采用自制的试验装置对透明聚碳酸酯颗粒进行直剪试验,基于光弹法原理,通过对颗粒剪切力学特性、应力链分布、位移场的观测,研究颗粒的力链发展过程、主接触角及剪切滑移面的发展规律,并在PFC2D离散元软件中进行模拟分析。结果表明:直剪过程中颗粒体系的力链分布存在应力屏蔽现象;颗粒体系的强力链、接触角及主应力方向发生了偏转,且偏转特征基本一致;颗粒在剪切过程中形成拱形剪切滑移面,与水平剪切面共同形成拱形滑移剪切区。拱形滑移区在剪切初期形成,且在整个剪切过程中一直持续。在剪切应力峰值时,拱形滑移区的高度与初始法向力成正比,厚度在(13~15)d50之间。拱形滑移区在应力残余阶段逐渐减小,趋于稳定状态,且不同初始法向力下的拱形滑移区在应力残余阶段的高度相差不大,厚度在(8~9)d50之间。
2025, 47(3):21-35. DOI: 10.11835/j.issn.2096-6717.2023.009
摘要:随着可再生能源和地源热泵技术的不断发展,浅层地热能的开发逐渐成为学者们重点研究的课题之一,但其理论研究远远落后于工程应用,尤其是土体在应力场和温度场复杂耦合作用下的力学机理研究尚不成熟。对于砂土、黏土、粉土等单一土体,学者们从温控试验和本构理论两方面展开研究,取得了一系列成果,对土体的热力学特性有一定认识。为了更全面深入地认识土体的热力学特性,使热本构模型在能源工程中更贴合实际地进行推广和应用,首先概述土体热力学性质的试验研究现状,随后,重点综述基于不同理论框架建立的土体热力学本构关系研究进展和现状,阐述热力学本构关系在实际工程中的应用,最后,针对目前存在的问题,提出进一步研究的建议,讨论并展望土体热力学本构关系的研究发展趋势。
2025, 47(3):36-40. DOI: 10.11835/j.issn.2096-6717.2023.022
摘要:砂土是一种常见的岩土工程材料,为满足工程对强度的需求以及绿色环保的理念,钢铁工业排放的固体废弃物粒化高炉矿粉(GGBS)可用作土体固化剂。以GGBS作为固化剂、氧化镁(MgO)作为激发剂,对砂土进行加固,通过无侧限抗压强度试验,分析不同养护龄期(3、7、14、28、56 d)、不同固化剂掺量(8%、10%、12%)、不同氧化镁掺量(0%、5%、10%、15%、20%、40%)对固化土强度发展规律的影响。结果表明:在相同固化剂掺量条件下,当养护龄期小于7 d时,固化剂掺量与试样的无侧限抗压强度没有明显关联;当养护龄期大于7 d时,固化剂掺量与强度呈明显正相关,龄期越长,砂土的无侧限抗压强度越高;固化剂掺量与砂土的无侧限抗压强度呈正相关;氧化镁掺量虽然能促进无侧限抗压强度的提升,但过量的氧化镁反而会抑制砂土无侧限抗压强度的提升。
2025, 47(3):41-48. DOI: 10.11835/j.issn.2096-6717.2024.018
摘要:在岩土工程应用中,砂土的小应变剪切模量Gmax是重要的力学参数。以人工玻璃砂替代天然砂土材料,结合多方向弯曲元测量进行MICP加固玻璃砂各向同性固结排水试验,探究MICP加固方法、弯曲元布置形式对玻璃砂水平面(GHH)和垂直平面(GHV和GVH)上剪切模量的影响。结果表明:不同方法加固玻璃砂的剪切波速VS、小应变刚度Gmax和刚度各向异性GHH/GHV发展规律不同。经MICP加固后,玻璃砂的Gmax均有提高,其中,“低pH一相法+注入反应液后直接反压”,Gmax提升最大,小应变刚度比(G
2025, 47(3):49-57. DOI: 10.11835/j.issn.2096-6717.2024.047
摘要:随着海洋事业的发展,海岸砂土保水成为岛礁生态恢复的重要技术环节。为研究黄原胶(XG)联合微生物诱导碳酸钙沉淀(MICP)技术对石英粉-钙质砂混合砂保水性中能的影响,通过黄原胶与MICP联合处理混合砂,探讨不同黄原胶和MICP浓度下固化混合砂的保水特性、体积变化特性、剪切波速变化特性和微观孔隙特性。试验结果表明,随着黄原胶含量和MICP浓度的增加,固化土的蓄水特性提升显著。与未处理砂土7 d产生72.59%的质量损失率相比,5% 2.0XG-MICP固化土的质量损失率仅13.1%,约降低81.95%。7 d试验时间内,XG-MICP固化土的体积变化率小于XG固化土,XG-MICP固化土具有更高的体积稳定性。随着黄原胶浓度的增加,XG固化土的剪切波传递时间延长,剪切波速降低。相较于XG固化土,受水分含量影响,XG-MICP固化土呈现更久的剪切波传递时间和更小的剪切波速,XG-MICP样品孔隙中呈现菱形的方解石沉淀。试验验证了用黄原胶联合MICP技术改善混合砂土蓄水性的可行性,可为海岸地区的砂土改良提供参考。
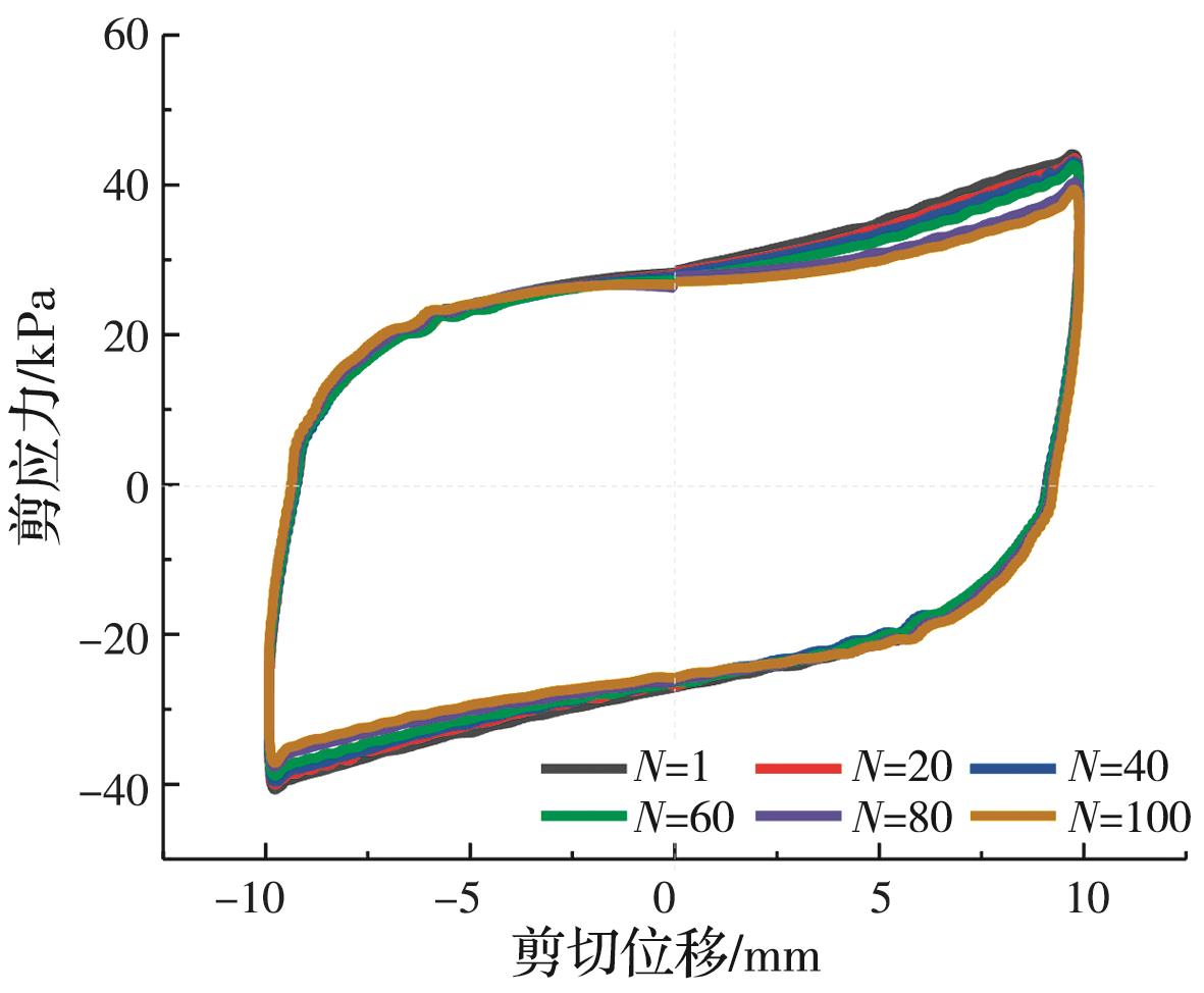
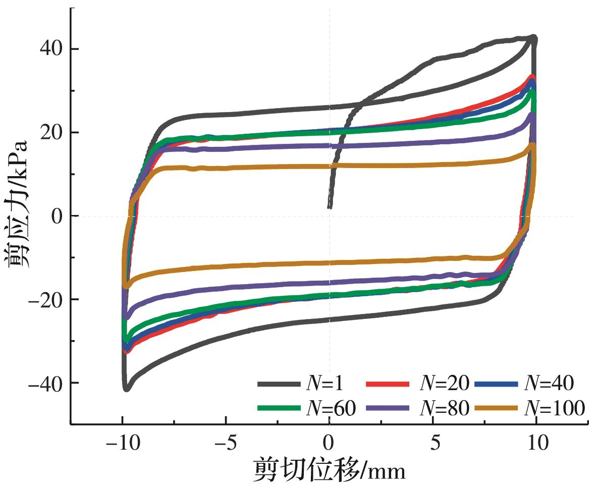
2025, 47(3):58-65. DOI: 10.11835/j.issn.2096-6717.2023.053
摘要:含水率对土工格栅加筋花岗岩残积土力学特性的影响较大,为研究不同含水率下花岗岩残积土-格栅界面的循环剪切特性,利用室内大型直剪仪开展循环剪切试验,分析4种含水率(13%、19%、25%、32%)、3种竖向应力(50、100、150 kPa)、4种剪切频率(0.2、0.5、1.0、2.0 Hz)和4种剪切幅值(5、10、15、20 mm)下筋土界面的剪应力-剪切位移曲线、抗剪强度、剪切刚度、体积应变。结果表明:含水率为32%时,土体饱和,筋土界面峰值剪应力和剪切刚度在循环剪切过程中先增加后降低,50、100、150 kPa竖向应力作用下峰值剪应力初始增幅分别为6.2%、22.3%、33.0%,表明竖向应力越大筋土界面初期增幅越大,而非饱和含水率下筋土界面呈现剪切软化的特征;不同竖向应力下筋土界面循环抗剪强度与含水率均呈负相关;筋土界面在循环剪切作用下发生剪缩,含水率为13%、19%、25%、32%时,筋土界面最终剪缩量分别为4.6、7.7、8.6、7.2 mm,表明剪缩量随着含水率的升高先增大后减小;各含水率下,筋土界面最大剪切刚度随剪切频率的升高先减小后增大,随剪切幅值的增大而减小,0.5 Hz的剪切频率对筋土界面剪切刚度的弱化作用最强。
2025, 47(3):66-78. DOI: 10.11835/j.issn.2096-6717.2024.042
摘要:在自然界的各种营力作用下,石窟寺病害严重,随着时间的推移,损伤程度不断加剧,因此,石窟寺的预防性保护问题日渐严峻。石窟寺的预防性保护研究方法主要为数值计算及现场监测,为确保数值计算的准确性,提出研究思路:利用石窟寺的三维激光扫描云图生成石窟寺的精细几何模型,准确反映石窟寺的复杂几何形状;利用H-B准则考虑风化、裂隙、节理等病害造成的岩体力学性能劣化,得到接近实际情况的岩石物理力学参数值,进而建立能较为真实地反映石窟边界条件、应力位移及可能破坏情况的精细化数值计算模型;结合强度折减法对石窟寺的稳定性进行分析,并结合岩体的纵波波速对岩体劣化后石窟的危险区域进行预测,建立预警系统,实现对石窟寺的预防性保护。以云冈石窟第9、10号洞窟为例,采用该方法进行系统性建模、受力分析和稳定性讨论。结果表明,现阶段洞窟整体呈稳定状态,部分区域存在应力集中;通过岩石强度劣化模拟对洞窟的潜在失稳风险区域进行预测,并建立以岩体纵波波速为评判依据的预警系统。
2025, 47(3):79-90. DOI: 10.11835/j.issn.2096-6717.2023.127
摘要:大足石刻北山佛湾诃利帝母造像具有极高的文化、历史、艺术价值,但风化严重,长久保存面临严峻挑战。为研究诃利帝母造像风化机理,对造像病害进行细致调查,在诃利帝母造像岩体表层收集风化尘土样品,进行X射线衍射(XRD)和离子色谱(IC)分析,测试其矿物组成和可溶盐的含量,通过气象和空气质量综合监测站对造像区域的空气温度、相对湿度、降雨量等气象参数和二氧化硫(SO2)、二氧化氮(NO2)、细颗粒物(PM2.5)、可吸入颗粒物(PM10)等大气污染物浓度进行长期监测。病害调查结果表明,尘土及粉化剥落是造像石质和彩绘的最主要危害。XRD分析表明,造像矿物成分以石英、斜长石、石膏为主,风化程度较大,在化学风化作用下,石膏等成分易受各种酸的作用而分解。IC分析表明,硫酸根离子(SO42-)、硝酸根离子(NO3-)和氯离子(Cl-)含量较高,其酸性腐蚀和盐析作用加速了造像矿物风化解体。环境监测结果表明,该区域处于70%~80%高湿范围内,空气温度受季节影响波动较大,夏季最高温度超40 ℃。温暖潮湿环境容易诱发石质文物风化,当温度波动伴随着湿度变化时,会进一步增加风化的风险。造像区域大气污染较严重,大气颗粒物是最主要的污染因子,颗粒物中的化学物质与SO2、NO2等酸性气态污染物加速了岩石表面矿物质的侵蚀。
2025, 47(3):91-101. DOI: 10.11835/j.issn.2096-6717.2024.008
摘要:目前外部荷载下能量桩群桩基础热-力学特性的研究主要针对竖向荷载,而对于水平荷载的影响考虑较少。为研究非对称加热、制冷条件下水平受荷能量桩群桩的变形特性,对2×2 能量桩群桩的单根桩开展加热、制冷工况下的模型试验并建立能量桩群桩三维有限元模型,将实测数据和数值模拟结果进行对比验证,再进行参数分析,研究能量桩群桩单根桩运行过程中桩体的热-力学响应。结果表明:数值模拟结果与试验结果较为吻合,弯矩主要分布在桩体上半部,其峰值和反弯点分别位于土表面以下0.23L1和0.8L1(L1为桩体有效埋置深度);桩身水平位移随深度的增大而减小。水平荷载对桩体变形特性影响更大,但温度的影响不可忽略。在加热和制冷阶段,随着温度升高和降低,能量桩的弯矩、位移均有增大趋势。与只受水平荷载时相比,在水平荷载与温度变化联合作用下,通水温度升高10、20 ℃能量桩的弯矩峰值Mmax增加幅度为23.36%、25.46%左右,桩顶水平位移增加幅度为20.59%、21.93%左右;通水温度降低10、20 ℃能量桩的弯矩峰值Mmax增加幅度为23.48%、24.39%左右,桩顶水平位移增加幅度为17.97%、21.27%左右。
2025, 47(3):102-112. DOI: 10.11835/j.issn.2096-6717.2023.054
摘要:岩爆突变失稳时刻的动力行为及其能量演化是揭示岩爆形成机制的关键。参考失稳理论和刚度理论设计岩爆-围岩组合体试样的三维离散元数值模型,并通过二次开发实现系统能量演化过程的可视化,模拟岩爆的抛掷现象,据此研究岩爆突变点处系统失稳的时序特征、自发性静动状态转换的动力学行为和系统能量演化之间的关联,探讨岩爆的动力灾变机制。结果表明:在岩爆突变点岩爆体到达峰值应力略早于围岩体,岩爆体峰值后自身的破裂软化形成了对围岩体的主动卸荷,使其应力由增变降;被卸荷的围岩体发生向岩爆体的快速回弹变形,并通过做功使自身储存的弹性能向岩爆体汇聚,两者的能量被岩爆体瞬间一并释放,引发块体的抛掷;在此过程中,两子系统相互作用形成的正反馈调节机制使破裂过程逐步加快,最终引发动态失稳。
2025, 47(3):113-125. DOI: 10.11835/j.issn.2096-6717.2023.084
摘要:为探究双线平行盾构隧道任意布置方式下施工引起的地表沉降规律,需建立相关理论预测模型。考虑地层土体损失率和收敛模式的影响,以圆形隧道为例,通过引入等效土体损失参数,以求得隧道收敛后的实际埋深,改进经典二维Peck模型。综合考虑隧道轴心连线与水平面夹角α、双线隧道半径(r1, r2)和隧道轴心间距D等3种主要影响因素,建立双线平行盾构隧道任意布置方式下施工引起的地表沉降预测模型,通过实际工程的现场监测结果和数值模拟结果验证预测模型的工程适用性,并对双线平行盾构隧道任意布置方式下施工引起地表沉降的主要影响因素进行分析。结果表明:预测模型可用于解决双线平行盾构隧道任意布置方式下施工引起的地表沉降问题,且满足20%的工程精度要求;地表沉降曲线从“V”形至“W”形间变化的临界参数值[α, r2/r1, D/H']为[60°, 2.0, 1.0],可据此初步判断地表沉降曲线形状并检验地表沉降计算结果的合理性,为类似隧道工程建设中的地表沉降变形预测及控制提供参考。
2025, 47(3):126-141. DOI: 10.11835/j.issn.2096-6717.2023.100
摘要:为探明小曲率半径盾构隧道施工引起的管片水平轴线偏移规律,预防管片错台破损等不良现象发生,基于修正的纵向等效连续化模型,考虑隧道收敛的椭圆化变形和曲线隧道的综合因素影响,通过构建小曲率半径条件下温克尔地基梁挠曲微分方程,建立小曲率半径盾构施工阶段管片水平轴线偏移预测模型,依托南昌市城市轨道交通3号线盾构隧道工程验证了预测模型的工程适用性。结果表明:管片拼装在6环以内时,预测模型的理论值与监测值、模拟值之间的最大误差分别为13.36%、25.68%,管片拼装在7~22环时,理论值与监测值、模拟值之间的最大误差分别为4.91%、8.95%,管片拼装在第30环时,理论值、模拟值和监测值分别达到-20.562、-22.370、-20.949 mm,且理论值与监测值之间的误差多小于5%,整体变化趋势基本保持一致,可有效解决小曲率半径条件下盾构隧道施工过程中管片水平轴线偏移量的计算问题。
2025, 47(3):142-150. DOI: 10.11835/j.issn.2096-6717.2023.068
摘要:为探究机制砂掺量对自密实轻骨料混凝土梁受弯性能的影响,设计制作了5根机制砂掺量分别为0%、30%、60%、80%、100%的自密实轻骨料混凝土梁,进行四点弯曲试验,研究不同机制砂掺量的自密实轻骨料混凝土梁在荷载作用下的挠度曲线、跨中挠度和裂缝分布形态,探究机制砂掺量对其开裂弯矩和受弯承载力的影响规律。结果表明:各试验梁截面平均应变符合平截面假定,荷载-挠度曲线基本相似。随着机制砂掺量的增加,自密实轻骨料混凝土梁产生次裂缝更多、裂缝分布更加均匀,在屈服前的同级荷载作用下,最大裂缝宽度减小;而跨中挠度和极限承载力在机制砂掺量为80%时达到最大,相较于全河砂自密实轻骨料混凝土梁,分别提高了16.13%和6.62%。采用轻骨料混凝土挠度计算公式得到的各试验梁挠度计算值与试验值有所差异。试验梁开裂弯矩采用规范公式计算,计算值与试验值差异较大。通过试验结果分析和受弯承载力计算,得出自密实轻骨料混凝土机制砂最优掺量为60%~80%。
2025, 47(3):151-161. DOI: 10.11835/j.issn.2096-6717.2023.059
摘要:针对粘贴FRP加固结构技术大量应用的背景,对长期持荷条件下加固混凝土梁FRP端部、中部混凝土裂缝附近界面应力的时变规律进行研究。建立分析FRP应变的有限元模型,通过模拟结果与实测结果的对比验证有限元法的适用性。考虑端部胶层溢出、结构二次受力情况,采用有限元法和解析法对FRP端部区域的时变应力进行分析;采用解析法对混凝土中部裂缝附近区域的时变应力进行分析。结果表明:混凝土徐变导致界面应力随时间增大,剥离破坏的风险增大;胶层蠕变导致应力随时间缓解,有助于避免剥离破坏,该结论对上述两个区域均适用,且不受胶层溢出、二次受力的影响。FRP端部区域时变应力的有限元结果与解析解结果吻合良好。
2025, 47(3):162-170. DOI: 10.11835/j.issn.2096-6717.2023.125
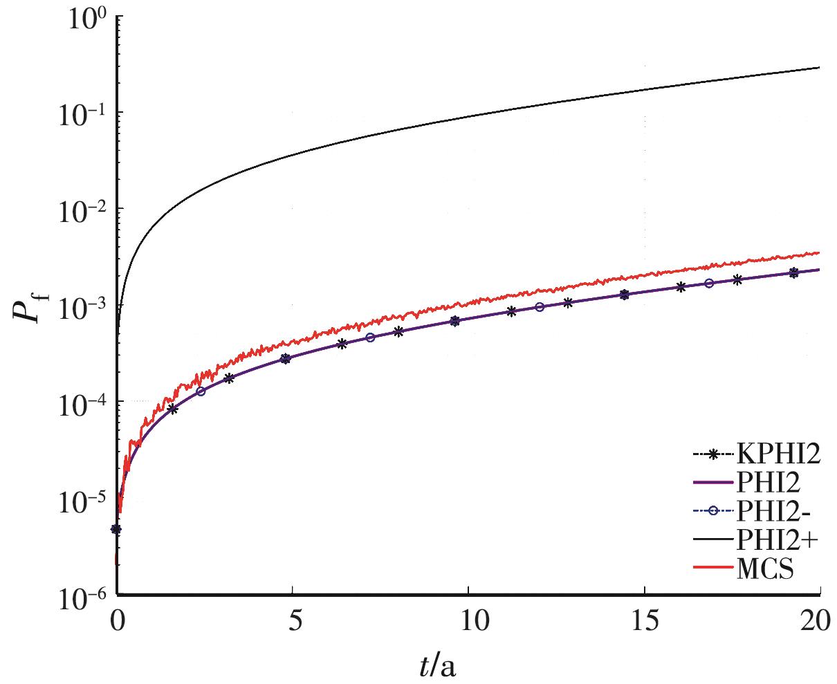
摘要:PHI2方法是进行结构时变可靠度分析的常用方法,而跨越率的求解是该方法的关键,为达到足够精度往往需要计算大量时刻处的跨越率,然而,对于具有复杂极限状态面的实际问题,计算每个时刻的跨越率可能非常耗时。为进一步提高PHI2方法的效率,引入3种策略改进跨越率的计算效率:首先,采用无Cholesky分解策略以减少随机变量数目,并给出与之对应的相关系数计算方法;其次,引入基于主动学习Kriging模型的改进一次可靠度(AK-FORM)方法,以高效计算各时刻的可靠指标;最后,利用降维方法将二维积分转化为一维积分,以改善计算性能。将上述3种改进策略与PHI2方法相结合,形成基于AK-FORM方法和降维方法的高效时变可靠度分析方法,即K-PHI2方法。与此同时,仅将无Cholesky分解策略与PHI2方法结合,形成PHI2-方法。数值算例和工程算例计算结果表明:提出的PHI2-、K-PHI2方法与PHI2方法一样具有高准确性,在精度上均优于PHI2+方法(一种基于PHI2的改进方法);相较于PHI2、PHI2+方法,PHI2-方法在效率上有一定提升,而K-PHI2方法在此基础上进一步提高了时变可靠度分析效率。
2025, 47(3):171-179. DOI: 10.11835/j.issn.2096-6717.2023.055
摘要:为研究双向荷载作用下组合剪力键的剪切性能,建立组合剪力键有限元模型,并结合试验进行验证;对比双向和单向推出荷载作用下组合剪力键的破坏形态,研究双向荷载与组合剪力键抗剪强度比的关系,量化混凝土强度和贯穿钢筋直径对组合剪力键抗剪强度的影响;揭示组合剪力键的剪切破坏机理,通过多变量回归分析,建立双向荷载作用下组合剪力键抗剪强度计算模型。结果表明:侧压荷载有效抑制了混凝土横向膨胀,混凝土板出现一条纵向主裂缝和少量横向微裂纹,单向推出荷载作用下,组合剪力键因混凝土板劈裂裂缝贯通而失效;侧压荷载能增加组合剪力键抗剪强度,但混凝土强度较高且贯穿钢筋直径较大时,双向荷载效应较小,抗剪强度比仅为1.05;双向荷载作用下,抗剪强度随混凝土强度和贯穿钢筋直径的增加而显著增加。
2025, 47(3):180-189. DOI: 10.11835/j.issn.2096-6717.2023.035
摘要:正交异性钢桥面板的焊缝处微裂纹萌生,初始焊接缺陷是影响该类构造细节疲劳性能的关键因素。为研究正交异性钢桥面板顶板与纵肋连接焊缝裂纹萌生与扩展的全寿命周期动态特性,基于断裂力学理论与ABAQUS-FRANC3D交互技术,研究焊缝埋藏缺陷至疲劳断裂全过程应力强度因子的动态演化特征,揭示裂纹的形状发展规律,分析敏感参数对裂纹扩展速率与疲劳寿命的影响,明确了疲劳裂纹的全寿命扩展行为,并通过钢桥面板足尺节段疲劳试验验证研究结果的可靠性。结果表明:钢桥面板疲劳裂纹扩展行为可分为3个阶段:即埋藏阶段、萌生阶段、扩展阶段,沿裂纹不同路径的埋藏萌生阶段与扩展阶段的应力强度因子分布正好相反;随着不断扩展,任意初始形状的埋藏裂纹形状都趋近于圆形,任意形状的表面裂纹形状逐渐扁平,合理解释了表面裂纹持续扩展至贯穿顶板时呈扁平形态;埋藏阶段的裂纹沿上表面的扩展速率较下表面增大了54%,裂纹从埋藏萌生阶段进入扩展阶段后向顶板方向扩展的速率较大;裂纹形态比、埋藏深度对萌生寿命影响较大,其中萌生寿命占疲劳总寿命的绝大部分。
2025, 47(3):190-200. DOI: 10.11835/j.issn.2096-6717.2023.051
摘要:受轨道不平顺影响,磁浮车辆运行时轨道梁动力系数具有明显的不确定性。为准确计算轨道梁动力系数,建立由磁浮车辆、简支梁桥、悬浮控制系统组成的中低速磁浮列车-桥梁竖向耦合振动模型;结合正交随机函数思想和数论选点理论,提出轨道不平顺降维模拟方法,使得对不平顺代表样本的模拟仅需两个随机变量;基于概率密度演化理论和等价极值原理,提出轨道梁动力可靠性评估方法,该方法能准确获取动力系统的概率密度函数、累积分布函数以及轨道梁的动力可靠度。以长沙中低速磁浮线路为例,通过现场实测结果和蒙特卡罗法的计算结果对比,验证了计算方法的可靠性;进一步探讨车速、车重和轨道不平顺粗糙度对轨道梁动力系数和可靠度的影响。结果表明:60~140 km/h车速范围内,轨道梁动力可靠度计算结果均为1;车体重量对轨道梁动力系数影响较小,但轨道不平顺粗糙度影响显著。总体而言,长沙中低速磁浮25 m简支梁桥动力性能良好,安全富余度较大。
2025, 47(3):201-209. DOI: 10.11835/j.issn.2096-6717.2024.022
摘要:以张力腿平台为基础的大跨度浮式悬索桥建设方案在高水深、软土质的环境中具有较好的应用前景。由于其基础刚度较弱,行车荷载可能会引发桥梁的剧烈振动,可以通过张力腿基础设计参数的调整削弱其影响,但目前对行车荷载作用下该新型大跨度浮式桥梁的研究较少,此类方案可行性与适用性亟需得到验证。利用有限元软件计算行车荷载作用下的大跨度浮式悬索桥模型响应,改变基础浮箱淹没深度、拉索倾角,采用模态分析方法研究在行车荷载作用下张力腿基础设计参数变化对结构响应的影响。结果表明:大跨度浮式悬索桥的淹没深度、拉索倾角参数调整主要改变前两阶振型,且对横向响应影响较大;加大浮式基础的淹没深度、增加倾斜布置的张力腿拉索均能有效减小其在行车荷载作用下的振动,其中,对拉索倾角在何种角度可以使行车荷载作用下的浮桥响应达到最小,则需要通过具体分析得出;在设计阶段需尽可能详尽考虑相关张力腿基础设计参数,以增加整个浮桥方案在行车荷载作用下的应用可行性与适用性。
2025, 47(3):210-217. DOI: 10.11835/j.issn.2096-6717.2023.046
摘要:地质聚合物是一种绿色低碳胶凝材料,研究其凝结过程对于工程应用具有重要意义。为了研究地质聚合物凝结的机理和规律,对比不同超声波方法的特点,采用超声透射法、超声反射法和超声导波法,对放置在特制装置中的5组不同矿粉比(矿渣:粉煤灰)的地质聚合物砂浆同时进行实时监测。通过分析不同方法得到的声波数据,利用各方法都适用的声波参数——能量接收比En对地质聚合物砂浆的初、终凝时间进行表征,并用贯入阻力法的结果进行验证。结果表明:地质聚合物砂浆的凝结速度会随着矿粉比的减小而变慢;透射法可以实现对砂浆的全程监测,其判定初凝时间的平均误差为7.9%,判定终凝时间的平均误差为6.6%;反射法判定砂浆初凝时间准确度高,其平均误差为2.8%;导波法可以全程监测凝结过程,其判定初凝时间的平均误差为3.3%,判定终凝时间的平均误差为2.5%。3种方法中,导波法更适用于监测地质聚合物砂浆的凝结过程。
2025, 47(3):218-228. DOI: 10.11835/j.issn.2096-6717.2024.025
摘要:富营养化是一个全球性问题,威胁着饮用水安全乃至整个生态系统平衡。水体中磷(以磷酸盐为主)的过量排放是引起富营养化的重要原因之一,控制水体中磷的浓度,特别是磷酸盐浓度,具有重要意义。锰基材料具有良好的磷酸盐去除潜力,但目前缺乏对其系统性的归纳,是一种没有得到重视的金属基材料。对锰基材料在磷酸盐去除领域的研究已经从单一的锰氧化物发展到混合金属氧化物和氢氧化物、金属-载体复合材料和层状双金属氢氧化物等,同时,电辅助吸附法、等离子体法等新兴方法的出现进一步强化了锰基材料去除磷酸盐的能力。综述了不同锰基材料去除磷酸盐的效果与机理,并对不同锰基材料去除磷酸盐的应用前景进行了评述;从提高pHpzc或加强静电效应的角度,分析总结了强化锰基材料去除磷酸盐的方法;基于现有研究内容,提出了现有研究的不足之处及未来的发展方向,以期为锰基材料去除磷酸盐的研究提供参考。
金玲,张洪玲,刘胜宇,ZHANG Hui,EDWARD Arens,丛沛桐,刘高源,高伟
2025, 47(3):229-241. DOI: 10.11835/j.issn.2096-6717.2024.028
摘要:为降低岭南地区农宅因围护结构霉变带来的安全和健康危害,在实地取样和正交实验的基础上研究温度和湿度对该地区优势菌生长的影响,并对培养基上霉菌的生长特性进行拟合优选分析,以期扩充建筑中优势霉菌生长特性数据库,为预测霉菌在波动温湿度条件下的生长风险提供理论支持。用刮擦法在岭南典型农宅获取霉斑样品,采用高通量测序法鉴定优势菌种类;在恒温培养箱中设置22、26、30 ℃和60%、70%、85%的温湿度组合,研究优势菌在马铃薯葡萄糖琼脂(Potato Dextrose Agar,简称PDA)培养基上的生长特性,并建立其随时间和温湿度变化的动力学模型;在人工气候室中设置26、30、34 ℃和50%、90%的环境温湿度组合,研究优势菌在常用建材上的生长特性。结果表明:岭南地区以大白灰为内饰面材料的农村住宅围护结构表面的优势菌属为枝孢霉Cladosporium、Neoderiesia和枝顶孢霉Acremonium;26 ℃是枝孢霉最容易生长繁殖的环境温度;木材和PDA上环境相对湿度越高,枝孢霉生长越快;Gompertz模型和响应面模型能较好地表征枝孢霉在培养基上的生长特性。
2025, 47(3):242-250. DOI: 10.11835/j.issn.2096-6717.2023.060
摘要:CO2的捕集与封存(CCS)是一种潜力巨大的减排措施。多孔生物炭含有丰富的多尺度孔隙结构,具有优异的CO2吸附性能。针对传统基于试验数据建立的CO2吸附预测模型存在的精度低、计算复杂等不足,采用梯度提升决策树(GBDT)、极端梯度增强算法(XGB)、轻型梯度增压机算法(LGBM)等机器学习方法对生物炭吸附CO2进行模型预测,并对预测结果进行对比分析。结果表明:影响CO2吸附量的前3个因素依次为生物炭的比表面积、C含量、O含量。3种算法均能有效预测生物炭对CO2的吸附性能。相比之下,LGBM的预测精度最高,达到94%;GBDT在异常样本数据处理方面有显著优势;而XGB对不同测试集变化的预测结果更加稳定。在设计生物炭吸附性能时,不应盲目追求过高的表面积。建议生物炭C含量优先选择83%~88%之间,O含量优先选择15%~18%之间。
您是本站第 4754718 访问者 
通信地址:重庆市沙坪坝区沙正街174号,重庆大学A区 邮编:400044
电话:023-65111322;023-65111863 E-mail:xuebao@cqu.edu.cn
版权所有:土木与环境工程学报(中英文) ® 2026 版权所有