2025, 47(6):1-12. DOI: 10.11835/j.issn.2096-6717.2024.065
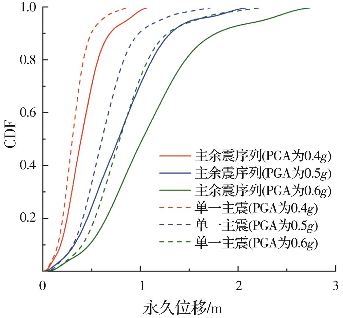
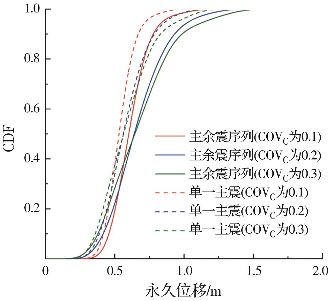
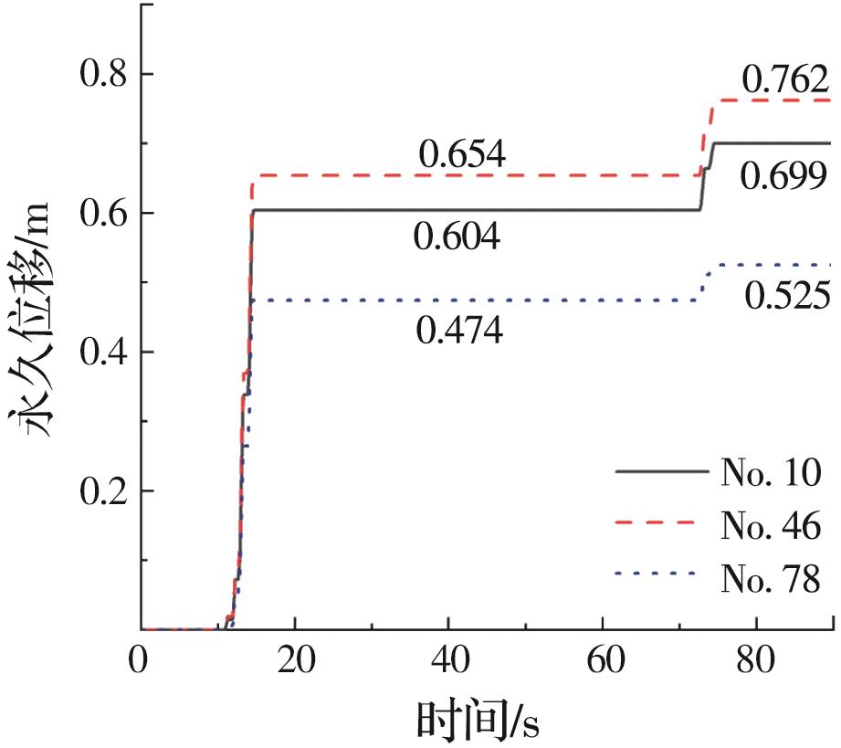
摘要:边坡在地震作用下的动力响应研究目前主要关注单一主震作用,而没有考虑余震的影响,且材料参数的空间变异性往往被忽略。考虑土体强度参数的空间变异性,提出一种基于Newmark方法和概率密度演化方法(PDEM)的可靠度分析框架来量化余震及空间变异性对边坡动力可靠度的影响。首先,将物理随机函数模型、Copula函数和窄带谐波群叠加方法相结合,生成主余震序列。此外,基于谱表示法生成随机场,并根据对应坐标将参数赋值到有限元模型中。然后,采用Newmark位移法批量计算主余震序列作用下考虑材料参数空间变异性的边坡永久位移,并通过位移均值分析黏聚力和摩擦角的变异系数(COVC和COVF)、余震和峰值加速度(PGA)对边坡永久位移的影响。最后,基于PDEM,从概率的角度解释变异系数(COV)和余震对边坡动力可靠度的影响。结果表明:随着COV的增大,边坡的永久位移均值呈逐渐增大趋势,相比之下,COVF对边坡的永久位移影响更明显;与单一主震相比,地震序列作用下边坡的位移均值更大;若忽略材料参数的空间变异性和余震的影响,将明显高估边坡的抗震性能。
2025, 47(6):13-20. DOI: 10.11835/j.issn.2096-6717.2025.055
摘要:现有边坡非概率可靠度方法中,采用凸集模型描述参数不确定性,仅能建立具有规则边界的不确定域,且其包络范围过大,针对该问题,提出一种基于多边凸集模型的边坡非概率可靠性分析方法。根据岩土参数样本数据的区间范围,基于二次响应面法和拉丁超立方抽样构建边坡的近似功能函数;同时建立传统区间模型和基于主成分分析方法的PCA(principal component analysis)区间模型,结合这两种模型构建多边凸集模型;采用HL-RF(Hasofer-Lind and Rackwitz-Fiessler)迭代算法识别极限状态函数的最可能失效点,并利用单纯形优化算法寻找极值点,根据距离比的非概率可靠性指标定义计算边坡的非概率可靠度,判断边坡的稳定性状态,通过算例分析验证了方法的可行性。与基于区间模型和椭球模型的边坡非概率可靠度方法相比,该方法与蒙特卡罗法的计算结果更吻合,随着抗剪强度参数变异性和相关性的增大,边坡的非概率可靠性指标减小。采用该方法分析边坡稳定性时,其判定结果与采用不同可靠度方法得到的判定结果一致。
2025, 47(6):21-31. DOI: 10.11835/j.issn.2096-6717.2025.041
摘要:准确地进行降雨作用下边坡稳定概率的分析需综合考虑降雨的随机性和土体参数的空间变异性,但现有研究通常仅考虑其中一种因素对边坡稳定性的影响。提出同时考虑两种因素作用的边坡稳定概率分析方法,采用Karhunen-Loève展开法模拟土体参数的空间变异性,利用有界随机级联模型模拟降雨随机性,将生成的降雨时间序列作为边坡的上边界条件,进行渗流和稳定性分析,进而采用拉丁超立方抽样(LHS)方法计算边坡失效概率。以江西省吉安市遂川县卷旋村滑坡为例进行分析研究,结果表明:同时考虑随机降雨和土体参数空间变异性所得边坡稳定概率分析结果与工程实际相符;边坡顶部梯田储水的持续下渗对边坡孔隙水压力的影响范围逐渐增大,而孔隙水压力的上升幅度逐渐减小,最终趋近于零;对比降雨入渗,降雨重分布对边坡稳定性的影响较小。
2025, 47(6):32-42. DOI: 10.11835/j.issn.2096-6717.2025.035
摘要:为了研究降雨条件下砾石形状对含砾花岗岩残积土边坡稳定性及变形破坏特征的影响,通过室内降雨边坡模型试验并结合CFD-DEM数值模拟,对比分析边坡的宏观竖向位移和变形破坏及湿润锋变化,考虑圆砾、卵砾、角砾3种砾石形状,分析位移场与滑动面的发展规律以及细观接触力链、配位数、组构各向异性。结果表明:含圆砾边坡安全系数最小,含角砾边坡安全系数最大;随着降雨时间从0 h增加到3 h,含圆砾、卵砾、角砾3种不同砾石形状的边坡安全系数分别下降40%、33%、32%,受降雨影响的程度从大到小依次为含圆砾、卵砾、角砾边坡;随着砾石长宽比和棱角度的增大,砾石的嵌固咬合作用逐渐增强,对应坡体依次出现圆弧形破坏、齿状弧形破坏、偏移形破坏3种破坏模式;边坡失稳破坏后,含圆砾、卵砾、角砾边坡的强接触力链在分布特征上表现为交织性、弱连续性、不均匀性;随着砾石长宽比和棱角度的增大,含圆砾、卵砾、角砾边坡内部的接触各向异性程度逐渐提高。
2025, 47(6):43-51. DOI: 10.11835/j.issn.2096-6717.2024.077
摘要:库水位变化和降雨联合作用下的边坡稳定分析通常采用确定性分析方法,然而岩土体参数具有天然的空间变异性,确定性分析方法无法准确评估边坡的稳定性。以白鹤滩库区黑水河岸坡为例,基于实测降雨和库水位数据,分析了1 a周期内库水位变化和降雨联合作用下的边坡稳定性。通过确定性分析确定3种最不利工况。在此基础上,进一步考虑有效黏聚力c′、有效内摩擦角φ′、饱和渗透系数ks的空间变异性,利用随机有限差分法(RFDM)对比平稳随机场和非平稳随机场对边坡可靠度分析结果的影响规律。结果表明,相较于降雨入渗,库水位涨落对边坡稳定性起关键性作用,最小安全系数出现在库水位快速下降期,且降雨和库水位的联合作用显著增大了边坡的失效概率和滑动体积。此外,在对边坡稳定性开展随机分析时,应当考虑岩土体参数随深度变化的特性,否则将低估边坡的稳定性。
2025, 47(6):52-62. DOI: 10.11835/j.issn.2096-6717.2023.152
摘要:库水位变化和降雨是影响三峡库区滑坡失稳破坏的主要因素,凉水井滑坡受库区试验性蓄水影响变形后发布预警,目前滑坡活动趋于稳定但变形机制仍不明确。结合凉水井滑坡近年来的监测数据,在考虑滑坡位移阶跃演进变化的基础上,利用多年库水位变化和降雨数据,建立滑坡的水力计算模型,研究库水位变动和降雨共同作用下滑坡的渗流场、稳定性和位移变化规律,探讨凉水井滑坡的内在变形机制。结果表明:滑坡前部和后部的渗流场分别主要受库水位和降雨影响,中部则受到两者的联合作用;滑坡稳定性系数随库水位涨落而呈周期性变化,降雨进一步降低了滑坡的整体稳定性;滑坡地表位移呈阶跃式上升趋势,库水位下降引起位移跃迁增长,库水位上升使位移变化趋于稳定。总体上,在库水位变动和降雨共同作用下,地下渗流场发生变化,引起水力条件改变,导致滑坡产生变形,目前滑坡变形主要集中在坡脚处,变形范围逐渐向后延伸,滑坡中后部变形稳定;库水位变化对滑坡变形影响较明显,在库水位变化速率较大的年份,应当注意加强对滑坡变形的预警监测。
2025, 47(6):63-74. DOI: 10.11835/j.issn.2096-6717.2025.025
摘要:绒辖曲位于喜马拉雅山脉南坡,区域地质构造活跃,冰湖、冰碛物丰富。叠加2015年尼泊尔Gorkha Ms 8.1强震影响,稳定性进一步降低。2021年6月15日该区域发生群发性泥石流后,尚未有针对此次泥石流物源活动规律的深入分析。利用灾前和灾后GF-1B、BJ-2、Planet遥感数据对泥石流物源进行解译,基于Landsat 5、Landsat 8、Sentinel-2遥感数据,通过计算归一化水体指数(
2025, 47(6):75-85. DOI: 10.11835/j.issn.2096-6717.2024.006
摘要:为研究冲击荷载作用下泥石流堆积体力学响应特征,采用堆积体土工试验、冲击荷载作用相似模型试验和数值模拟相结合的方法,研究圆柱弹体侵彻泥石流堆积体的加速度、速度、位移、应力等时程曲线以及弹体侵彻过程中的运动姿态、阻力和空腔特征演化规律。结果表明:弹体侵彻泥石流堆积体时,位移增加较快,随着弹体在泥石流堆积体中运动姿态的失稳,其减加速度逐渐增加,在弹体轴向与其运动方向垂直时,接触面最大,阻力达到最大值,负加速度也达到最大值。在弹体的侵彻过程中,弹体将泥石流堆积体向四周排开,形成大的空腔,弹体速度随之降低,位移增加趋于缓慢;随着时间的增加,弹体翻转,最后尾部向前,与泥石流堆积体接触面减小,阻力降低,加速度减小,速度相对减缓,位移曲线的曲率随着速度的减小而减小。
2025, 47(6):86-94. DOI: 10.11835/j.issn.2096-6717.2024.075
摘要:为进一步提升酶诱导碳酸钙沉淀(EICP)技术的固化效果,采用EICP联合高岭土对标准砂进行固化处理,设置高岭土掺量与养护时间两个试验变量,开展不同变量组合条件下固化砂的宏微观试验研究。结果表明:EICP联合高岭土固化砂的无侧限抗压强度随高岭土掺量与养护时间的增加持续提高,4%高岭土掺量、养护14 d的抗压强度为722.19 kPa,是纯EICP固化砂的13.15倍;碳酸钙沉淀率不会随着养护时间和高岭土掺量的增加持续提升,3%高岭土掺量、养护7 d的碳酸钙沉淀效率最高;随着高岭土掺量的增加,孔隙度先减小后增加,高岭土掺量为2%时,孔隙度最小;掺加高岭土前后固化砂的孔隙由以中孔为主(占比超过90%)转变为以小孔为主(占比80%左右),孔隙结构得到明显改善;EICP联合高岭土固化砂颗粒间沉积的碳酸钙晶体以球霰石为主,呈堆叠状填充于砂粒间隙并覆盖在砂粒表面,能显著提升砂粒间的胶结作用。
2025, 47(6):95-105. DOI: 10.11835/j.issn.2096-6717.2023.094
摘要:干缩开裂是潮湿环境考古遗址的典型病害,为探究三星堆祭祀区地表干缩开裂病害程度与土的性质的关联性,通过土的性质分析和病害量化表征评估,采用灰色关联度法分析土的性质相关的6项指标与裂隙发育程度、裂隙破坏程度两方面的关联度,探讨各项指标对病害程度的影响及机制,并分析通过干预土的性质实现病害防控的可行性。结果表明,土的性质相关指标与病害程度的关联度大小排序依次为:黏粒含量>黏土矿物含量>塑性指数>初始干密度>初始含水率、有机质含量。其中,黏粒含量、黏土矿物含量和塑性指数为影响病害发育的控制性指标,此类指标越大,病害程度越严重;初始干密度、初始含水率、有机质含量为影响病害发育的参考性指标,初始干密度越小,裂隙破坏程度相对越严重。通过土的性质干预仅能在一定程度上控制病害发育,例如通过提高初始干密度改变裂隙形态。
2025, 47(6):106-113. DOI: 10.11835/j.issn.2096-6717.2024.045
摘要:高应力水平下深部密实石英砂层中的静力触探原位试验或模型试验数据极少,难以建立静力触探试验结果与深部密实砂层工程性质间的相关性。进行高压标定罐试验,以砂雨法制备相对密实度为74%~91%的密实砂样,在0.5~2.0 MPa的高应力水平下开展标定罐中的静力触探试验。采用修正摩尔库伦本构模型描述高应力水平下密实石英砂的应力-应变响应,并纳入任意拉格朗日-欧拉大变形有限元方法,对静力触探试验进行数值模拟。这种大变形方法能有效避免锥尖周围土体网格的严重扭曲,保证计算收敛。数值模拟与标定罐试验结果基本吻合,证明了大变形分析的可靠性。总结试验和数值数据发现,锥尖贯入阻力是砂土相对密实度和所处应力水平的函数,且仍可采用低应力水平下函数表达的基本形式。进行充分数量的变动参数分析,拟合得到高应力水平下密实石英砂相对密实度预测公式中的参数,将公式预测结果与标定罐试验结果对比,发现预测效果较好,相对误差小于30%。
2025, 47(6):114-122. DOI: 10.11835/j.issn.2096-6717.2023.091
摘要:城市地铁修建过程中不可避免下穿既有市政管线,威胁管线安全。现有管线变形的预测理论多采用Winkler和Pasternak等弹性地基模型,无法考虑土体非线性变形特性。提出将既有刚性接头的市政管线视为非线性地基上的连续梁模型,进而建立管线非线性变形预测方法。首先,通过Peck经验公式和考虑先建隧道影响的修正Peck公式,分别计算单线和双线隧道下穿引起管线轴线处的地层位移;然后,建立管线变形的微分控制方程,通过有限差分法和牛顿迭代法得到管线的数值解;最后,通过与已有离心机试验和两个工程案例的监测结果对比,验证所提方法的合理性和适用性。结果表明:与常用弹性地基模型相比,所提方法计算结果与实测结果趋势更为接近;考虑平行双线隧道先后施工的影响后,该方法可以较好地预测双线隧道下穿引起的管线变形。
2025, 47(6):123-132. DOI: 10.11835/j.issn.2096-6717.2023.113
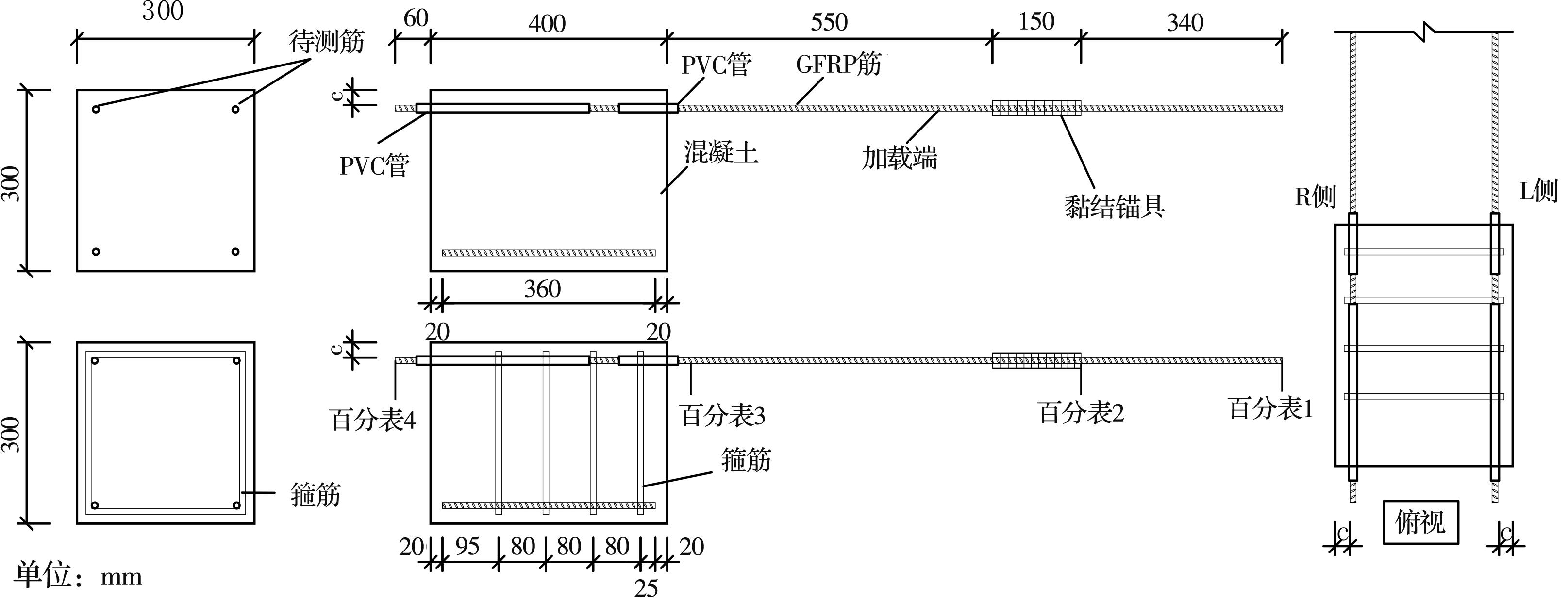
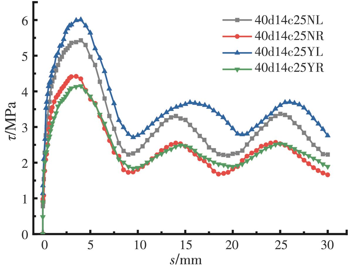
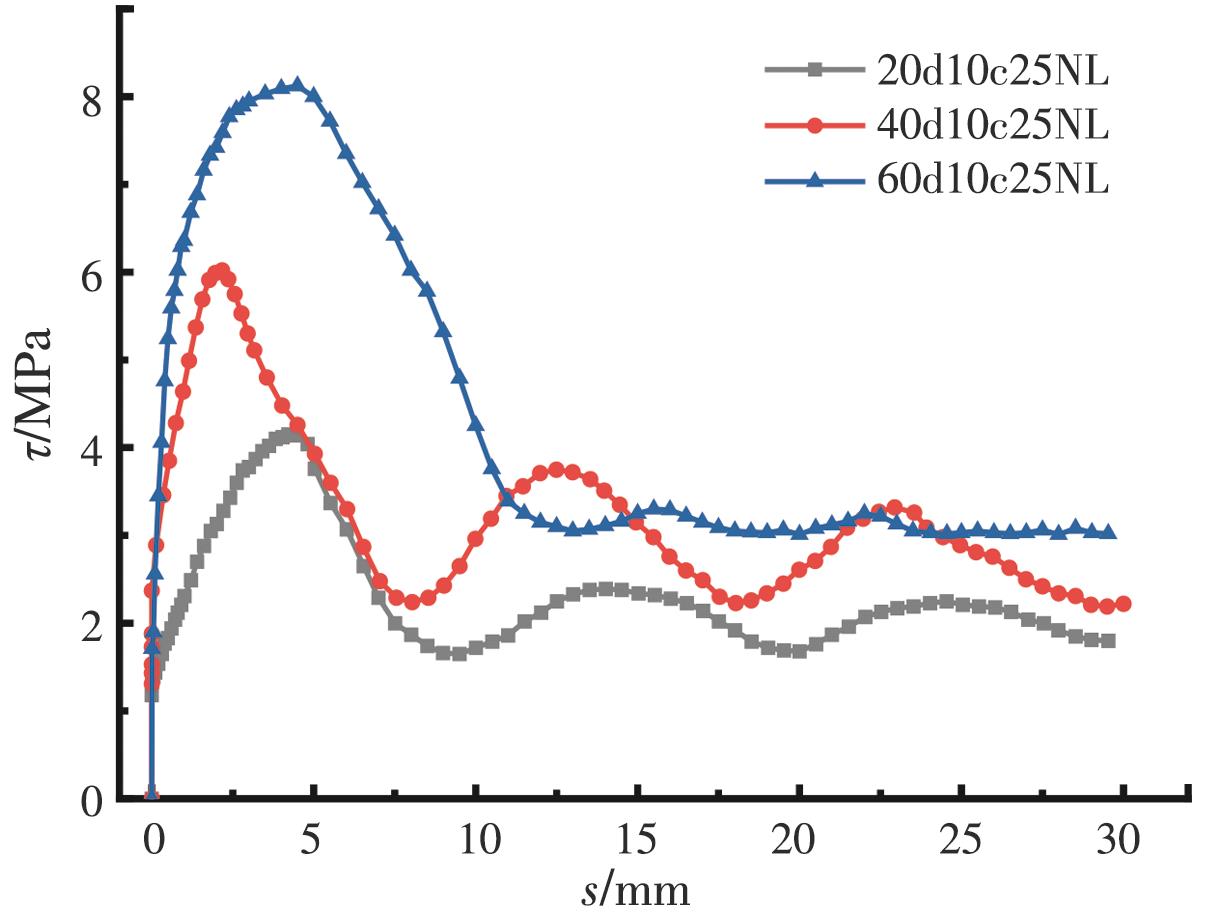
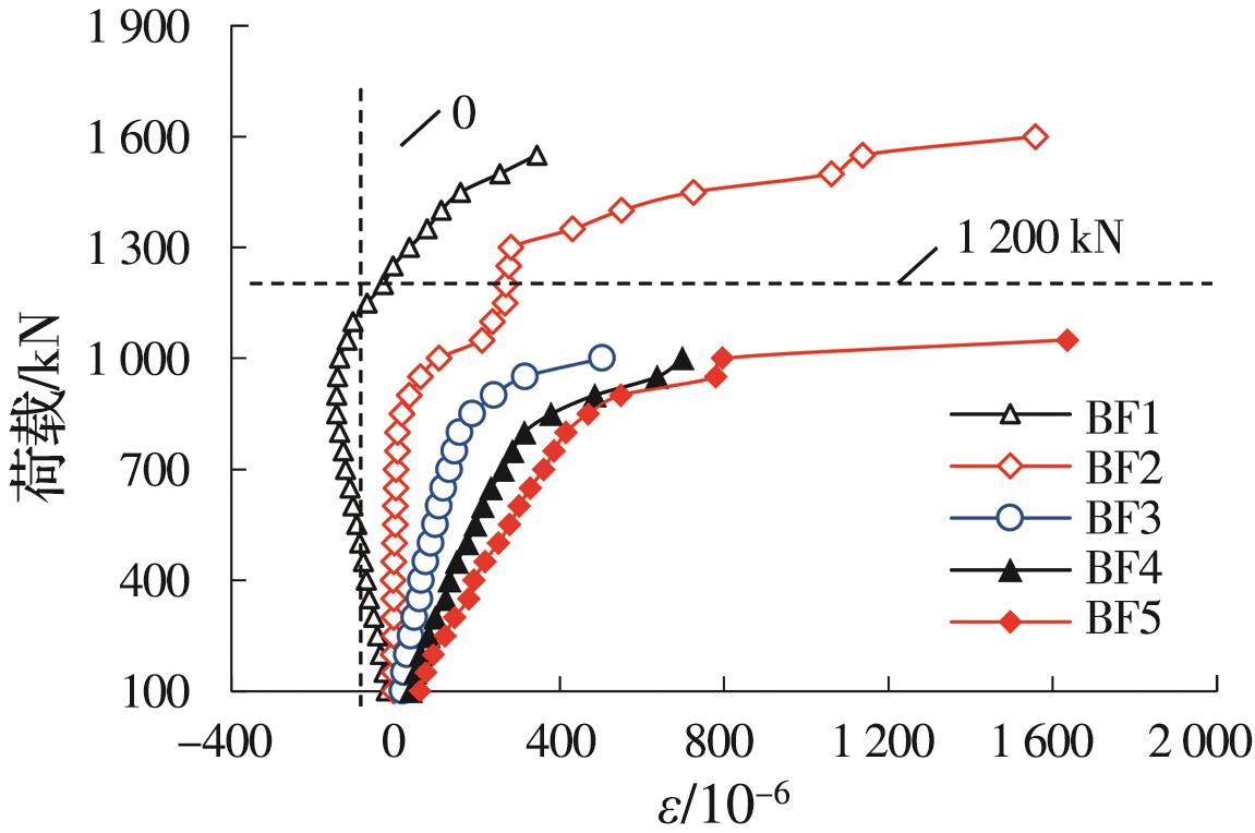
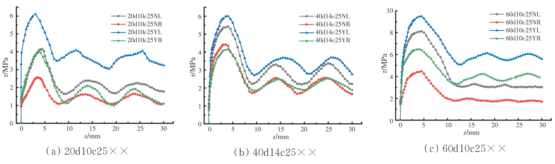
摘要:为研究GFRP(glass fiber reinforced polymer)带肋筋与混凝土之间的黏结性能并改进已有本构模型的实用性,制作14组试件进行梁端式试验,探讨混凝土强度、保护层厚度、配置箍筋以及GFRP带肋筋之间相互作用对黏结性能的影响。采用位移控制加载方式进行试验,测试并记录加载力、自由端滑移值和加载端滑移值,观察黏结界面的破坏情况,基于试验结果提出简化黏结-滑移本构模型的方法。结果表明:梁端式试验主要发生拔出破坏和劈裂破坏;黏结-滑移曲线的滑移值与肋间距有关,波峰间距基本与肋间距一致;混凝土强度和配置箍筋会影响黏结界面的破坏模式和损坏程度,进而影响黏结-滑移性能;增加保护层厚度对黏结-滑移性能的有利影响在一定范围内有效;二次拉拔试验结果表明,试件中GFRP带肋筋的黏结性能存在相互影响。黏结-滑移简化本构模型能较好地拟合试验数据,且进一步增强了实用性。
2025, 47(6):133-150. DOI: 10.11835/j.issn.2096-6717.2024.064
摘要:锈蚀箍筋约束混凝土的单轴受压性能是对多龄期钢筋混凝土(RC)结构进行弹塑性分析与抗震性能研究的基础,准确研究其劣化规律,对于多龄期RC结构耐久性能评估、剩余抗震能力预测和数值模拟等具有重要作用。从试验方法、抗压强度和应力-应变本构关系等方面综述锈蚀箍筋约束混凝土单轴受压性能研究现状;详细介绍不同的试验方法,并系统分析其优缺点和适用性;归纳总结锈蚀箍筋约束混凝土单轴抗压性能的影响因素、退化模型和单轴应力-应变本构关系模型;分析当前锈蚀箍筋约束混凝土单轴受压性能研究中存在的不足及研究趋势。既有研究成果表明,现阶段关于重复荷载作用下锈蚀箍筋约束混凝土单轴应力-应变本构关系的研究十分有限。最后,对现有研究中存在的不足及研究趋势进行了讨论。
2025, 47(6):151-167. DOI: 10.11835/j.issn.2096-6717.2023.103
摘要:为开发利用低风速、高切变地区的风资源,需增加风电机组的轮毂高度。目前工程应用的高塔架方案主要有3种,分别是全钢塔筒、全混凝土塔筒(全混塔筒)以及混凝土-钢混合塔筒(钢混塔筒)。首先,对比3种塔筒的技术特点发现,钢混塔筒兼具全钢塔筒与全混塔筒的优点,且能克服二者缺点,是应对高塔架挑战的优选方案。其次,围绕塔筒形式(倒角正方形、圆锥形、倒角三角形、腰形、正多边形及“自升式”),综述钢混塔筒技术的发展历程和研究现状,并将中国钢混塔筒技术发展归纳为3个发展阶段与3个技术流派。再次,介绍钢混塔筒的行业标准,概述现有提升其性能、优化成本、缩短施工周期及开展健康监测的关键技术研究。最后,总结钢混塔筒技术研究中存在的问题与挑战,包括结构统型、子模型分析技术、可靠性研究、老旧钢混塔筒的升级改造及超高钢混塔筒研究,为新产品开发提供借鉴与参考。钢混塔筒具有稳定性高、使用寿命长、建造成本低等特点,可满足大型风电机组的发展要求。
2025, 47(6):168-176. DOI: 10.11835/j.issn.2096-6717.2023.095
摘要:为探索吊装重量轻、施工便捷、耐久性强的新型组合箱梁,设计制作了以超高性能混凝土(UHPC)为腹板和底板、以普通混凝土(RC)为顶板的新型预应力RC-UHPC组合箱梁。开展受弯试验,探究试件的损伤机理和破坏模式;采用有限元软件对试验进行模拟,通过将有限元计算结果与试验数据进行对比,验证有限元方法的计算精度;在此基础上建立16个有限元分析模型,分析不同参数对抗弯承载力的影响。结果表明:试件破坏模式为适筋破坏,表现为受拉纵筋屈服及部分预应力筋断裂后纯弯段RC顶板被压碎;UHPC抗拉强度、预应力筋配筋率对抗弯承载力影响较大;试件腹板纵向应变在高度方向上基本符合平截面假定。结合理论分析,提出抗弯承载力计算公式,利用提出的公式对试验构件及有限元分析模型的抗弯承载力进行计算,公式计算值与试验值、有限元计算值之比分别为1.014、0.960,具有较高的计算精度。
2025, 47(6):177-184. DOI: 10.11835/j.issn.2096-6717.2023.126
摘要:为探究虚拟静载试验方法评定大跨径斜拉桥主梁刚度的可行性,以某大跨斜拉桥为研究对象,对其进行静载试验及环境激励桥梁模态测试试验,测量静载试验主梁跨中截面测点的静力挠度,基于Kriging插值方法对斜拉桥的实测振型进行模态扩展,预测斜拉桥主梁跨中截面在静载试验荷载作用下的模态挠度;设计满足加载效率的虚拟静载试验方案,计算虚拟静载下的挠度校验系数,评估斜拉桥主梁刚度。结果表明:环境激励桥梁模态测试试验可以准确获取桥梁振动信息;仅采用前4阶竖向模态参数即可准确预测斜拉桥的模态挠度,与实测静载挠度的相对误差小于10%,满足工程精度的要求;虚拟静载试验方法与实际静载试验所得挠度校验系数相近,评定结果均小于1.0,表明该斜拉桥主梁承载状况良好,验证了虚拟静载试验方法在正常交通下评定大跨斜拉桥主梁刚度的可行性。
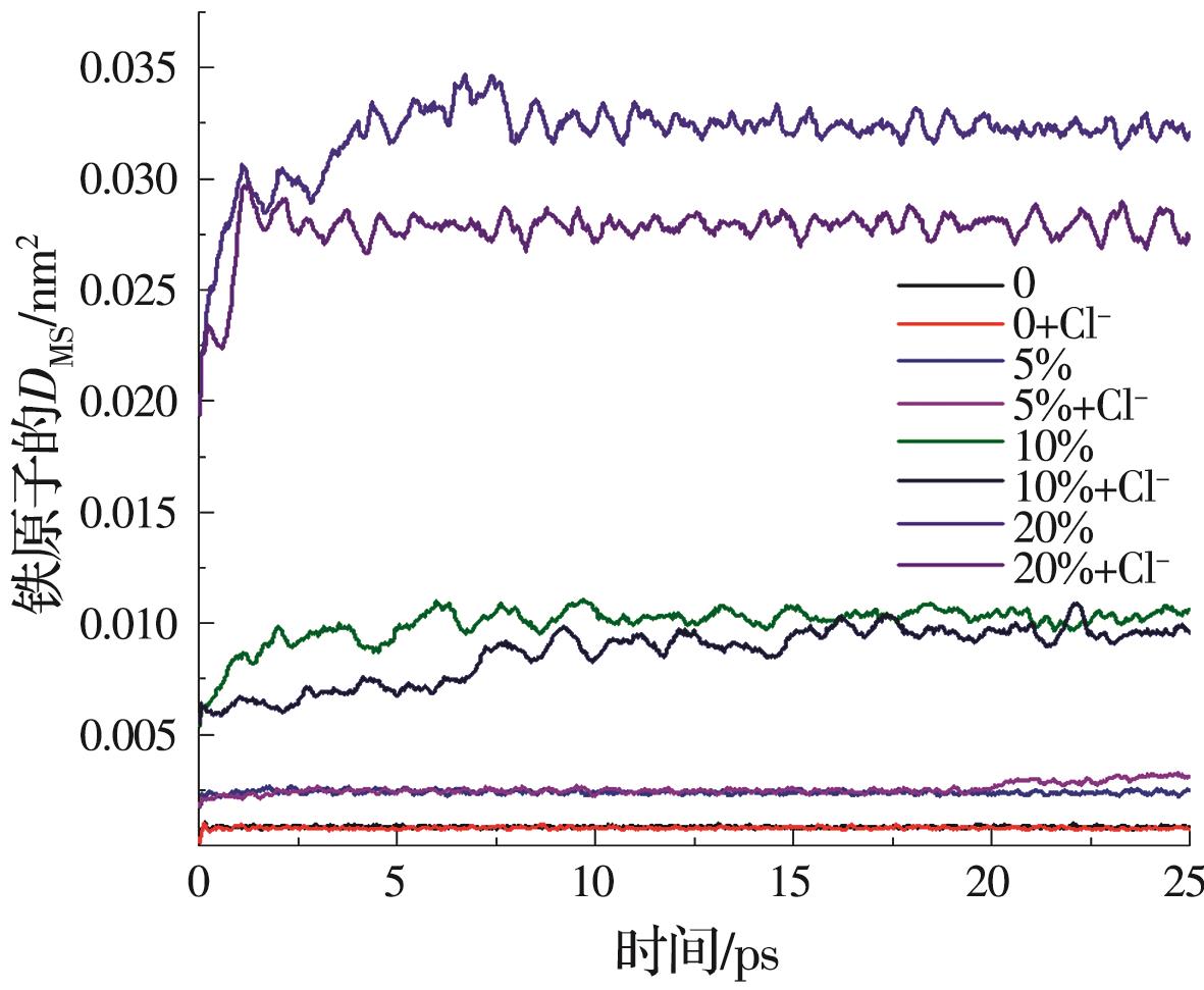
2025, 47(6):185-192. DOI: 10.11835/j.issn.2096-6717.2023.096
摘要:为了从微观层面揭示锚杆在复杂环境中的腐蚀破坏机理,将分子动力学方法引入锚杆的腐蚀研究中,借助Materials Studio软件建立分子动力学模型,并引入到Lammps软件中,进行分子动力学模拟,研究预应力锚杆在氯离子环境中的腐蚀特性,探究氯离子溶液与锚杆表面间的微观作用规律。结果表明:在预应力和氯离子的耦合作用下,铁基体能够吸收更多氧原子,加速氧原子与铁之间的结合以及锚杆的氧化腐蚀钝化;预应力的施加削弱了锚杆内部原子的束缚,使得铁原子的运动趋势增大,更容易与其他原子相结合;氯离子会增大铁原子与氧原子的作用强度,促进铁与氧的结合,且氯离子会随着预应力的增大逐渐活跃;随着预应力的增大,溶液中的氧原子由于更容易与铁发生反应形成稳定化学键,其运动特性逐渐减弱。氧化反应结束后,铁基体表面形成一层氧化膜,在氯化物溶液环境中,氧化层厚度明显增加,且预应力越大,氧化层越厚。
2025, 47(6):193-206. DOI: 10.11835/j.issn.2096-6717.2023.093
摘要:混凝土具有优良的力学性能和耐久性能,但常规养护方法难以解决其早龄期自收缩和开裂问题。内养护技术能有效改善混凝土内部湿度场,缓解其收缩开裂现象,提高耐久性。分析混凝土内养护机理、内养护作用对混凝土耐久性的影响发现:将预湿轻骨料或超强吸水聚合物掺入混凝土中能在骨料周围湿度降低时释放水分,填充混凝土内部的非饱和孔隙,增加孔隙溶液的弯月面半径,从而达到内养护的目的;内养护作用不仅能促进骨料周围水泥水化,提高骨料-浆体界面过渡区的密实度,还能缓解混凝土因自干燥产生的裂缝,提高其抗裂性能;同时,该作用能阻断侵蚀介质的传输路径,改善混凝土的渗透性,提升其抵御离子、气体等介质侵蚀的能力;内养护材料释水后,会在混凝土内部形成大量孔隙,这些孔隙能释放孔隙溶液结冰产生的膨胀压力,从而提高混凝土的抗冻性;此外,轻骨料的孔隙为膨胀凝胶的沉积提供空间,进而减少碱-骨料反应的发生。
2025, 47(6):207-213. DOI: 10.11835/j.issn.2096-6717.2023.104
摘要:针对燃煤渣的低活性、难处理等问题,以低碳环保的理念为核心,对燃煤渣基地聚物的制备工艺和煅烧效果进行研究。基于单因素试验探讨煅烧温度、激发剂掺量和液固比等对地聚物抗压强度的影响,得到了燃煤渣基地聚物的最佳配合比。利用X射线衍射(XRD)、傅里叶变换红外光谱(FTIR)和扫描电镜(SEM)等方法研究地聚物的水化产物和微观形貌,揭示煅烧过程和地聚合反应前后的矿物相变化,阐明其强度增强机理。通过以氧化钙为主、十二水磷酸三钠(TSPH)为辅的联合激发方式成功制备出28 d抗压强度达到34.5 MPa的地聚物。氧化钙提供的碱性环境、成核位点和TSPH提供的磷酸根都有助于促进燃煤渣中活性组分溶解和复杂凝胶相形成,这是地聚物抗压强度的重要来源。此外,在低于1 000 ℃的高温煅烧条件下,燃煤渣不具备像煤矸石、粉煤灰等固废的热活化性,高温煅烧反而会降低燃煤渣的化学反应活性。
2025, 47(6):214-223. DOI: 10.11835/j.issn.2096-6717.2024.059
摘要:作为公路建设的重要结构物之一,混凝土桥建设期产生的碳排放较高,因而亟须构建精度较高的碳排放测算模型,以助推其建设过程低碳化。将公路混凝土桥建设期碳排放来源划分为材料生产、材料运输、场外加工、现场施工4个部分,使用碳排放因子法计算某新建高速公路31座混凝土桥建设期的碳排放。通过碳排放特征及相关性分析发现,解释混凝土桥建设期碳排放的关键要素为桥梁长度、材料总重量、机械工作时间,Spearman相关系数分别为0.96、0.88、0.82,且3个要素之间存在共线性。将3个要素作为自变量,构建岭回归、Lasso回归及弹性网络回归模型以消除共线性的影响,发现Lasso回归模型碳排放测算精度最高,R2为0.976 2,将其作为混凝土桥建设期碳排放的测算模型。该模型可基于桥梁长度和材料总重量测算混凝土桥不同设计方案和建设方案的碳排放,为混凝土桥低碳方案设计及建设期减碳要素优化提供方法参考。
2025, 47(6):224-232. DOI: 10.11835/j.issn.2096-6717.2024.052
摘要:过滤是废水处理中常用的方法,根据过滤介质材料和性质的不同,可以分为4大类:微滤、超滤、纳滤和反渗透。基于微生物诱导碳酸钙沉淀(MICP)生物矿化过程制备一种新型多孔CaCO?微滤膜。首先,通过控制MICP矿化过程制备具有脲酶活性的CaCO?晶体颗粒;随后,利用二次微生物矿化将松散的碳酸钙颗粒进行胶结,从而形成具有一定机械强度的连续多孔固体CaCO?微滤膜。对细菌体、胞外蛋白质和多糖的过滤试验表明,MICP驱动的多孔CaCO?膜能高效去除大肠杆菌、布氏杆菌和活性污泥,去除率分别达到99.998%、99.983%和99.996%。与普通滤纸相比,该多孔CaCO?膜在去除胞外聚合物(EPS)方面表现出优越的性能。此外,基于MICP工艺制备的CaCO3微滤膜还展示了理想的孔隙空间、非堵塞特性和高渗透性。
2025, 47(6):233-244. DOI: 10.11835/j.issn.2096-6717.2024.051
摘要:剩余污泥是污水处理过程中产生的半固态副产物,其含水率达80%以上。现有的污泥处置及资源化方式通常要求其含水率在50%~70%之间,因此污泥脱水是其处置与资源化的重要前提。分析污泥中水分的结构与组成及剩余污泥脱水困难的原因,指出其瓶颈在于结合水和胞内水的有效脱除;阐述了物理法、化学法和生物法等常用预处理方法在强化污泥脱水中的作用效果及核心机制,重点阐述了絮凝剂及助滤剂等化学调理剂强化剩余污泥脱水的作用机制、脱水效果及组合工艺;论述了剩余污泥机械脱水设备的选型原则及适用范围;分析了剩余污泥脱水后用于制备肥料、建筑材料、生物炭、高价值产品等的资源化利用途径;提出了该方向未来需要解决的关键问题,为剩余污泥深度脱水及资源化的理论研究与技术应用提供参考。
您是本站第 4754718 访问者 
通信地址:重庆市沙坪坝区沙正街174号,重庆大学A区 邮编:400044
电话:023-65111322;023-65111863 E-mail:xuebao@cqu.edu.cn
版权所有:土木与环境工程学报(中英文) ® 2026 版权所有