2026, 48(2):1-7. DOI: 10.11835/j.issn.2096-6717.2024.116
摘要:基于自提取豆酶液诱导碳酸钙晶体沉积的岩土体改良技术具有经济、绿色、环境友好等诸多优点,但其较高的浊度易导致生物灌浆过程中发生生物堵塞现象,使得生物固化效果较差。采用含明矾的溶剂提取豆酶液,以降低其浊度;通过豆酶液提取试验、溶液试验、砂柱固化试验并结合宏微观测试,研究不同明矾含量对豆酶液浊度、脲酶活性及生物固化效果的影响。结果表明:添加适量的明矾(如100 g/L的豆粉添加3.0 g/L的明矾)能显著降低豆酶液的浊度,且不影响其脲酶活性,但过量的明矾会导致脲酶活性降低甚至丧失。降低豆酶液浊度有利于改善其生物固化的均匀性,但对所诱导沉积碳酸钙晶体的类型及结晶度并无明显影响。
2026, 48(2):8-18. DOI: 10.11835/j.issn.2096-6717.2024.014
摘要:为了研究在不过大提高耕植土强度的前提下大豆脲酶免CaCl2固化处理对铅、锌污染土修复后长期稳定性的影响,通过pH值、重金属离子浸出率和土壤重金属赋存形态等指标,探讨修复后污染土在干湿循环、冻融循环和酸雨淋滤等复杂环境下的长期稳定性。结果表明,与EICP固化处理的铅、锌污染土相比,经大豆脲酶免CaCl2固化处理后土体表面强度明显降低,渗透系数有所提高。随着干湿循环和冻融循环次数的增加,土体pH值下降缓慢但仍呈弱碱性,重金属浸出率的增长趋势变缓。在酸雨作用下,随着酸雨溶液pH值的增大,淋出液中Pb2+、Zn2+含量逐渐减少,且均满足规范对危险废弃物的处置要求。此外,不同类型的酸雨对修复土的影响也有所不同,在硫酸型酸雨作用下,修复土的稳定性优于硝酸型酸雨。
2026, 48(2):19-29. DOI: 10.11835/j.issn.2096-6717.2024.012
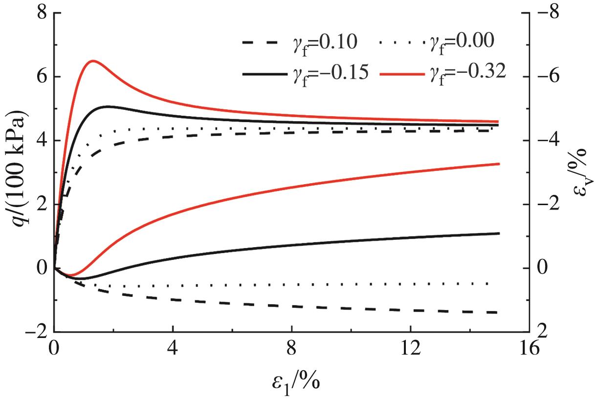
摘要:降雨侵蚀严重威胁土质边坡稳定,甚至诱发失稳破坏。联合黄麻纤维与微生物诱导碳酸钙沉淀技术开展黄土坡面生态加固,模拟降雨测试分析坡面抗侵蚀性能提升程度及影响因素,利用扫描电子显微镜和能量色散X射线光谱仪从微观角度分析减缓黄土坡面降雨侵蚀作用的机制,探究减缓黄土坡面降雨侵蚀的可行手段。结果表明:添加黄麻纤维有助于提升微生物矿化黄土抗降雨侵蚀性能,尤以中高含量中长尺寸纤维的提升效果最佳;经生物矿化处理的纤维加筋黄土能显著抵抗弱降雨(6 mm/h)侵蚀,亦能短期抵抗强降雨(45 mm/h)侵蚀;强降雨条件下,抗侵蚀性能随纤维掺量的增加而提升,但提升幅度逐步降低,最大抗侵蚀性能提升为64.2%;生物胶结硬壳层厚度随纤维长度和含量的增加而变薄,C2L5和C8L25之间厚度差达2.86倍。纤维加筋微生物矿化黄土表层存在两种胶结模式:碳酸钙晶体沉淀于粒间孔隙形成的“粒间填充”模式和碳酸钙借助纤维联结包裹土颗粒形成的“裹覆胶结”模式。
2026, 48(2):30-39. DOI: 10.11835/j.issn.2096-6717.2025.110
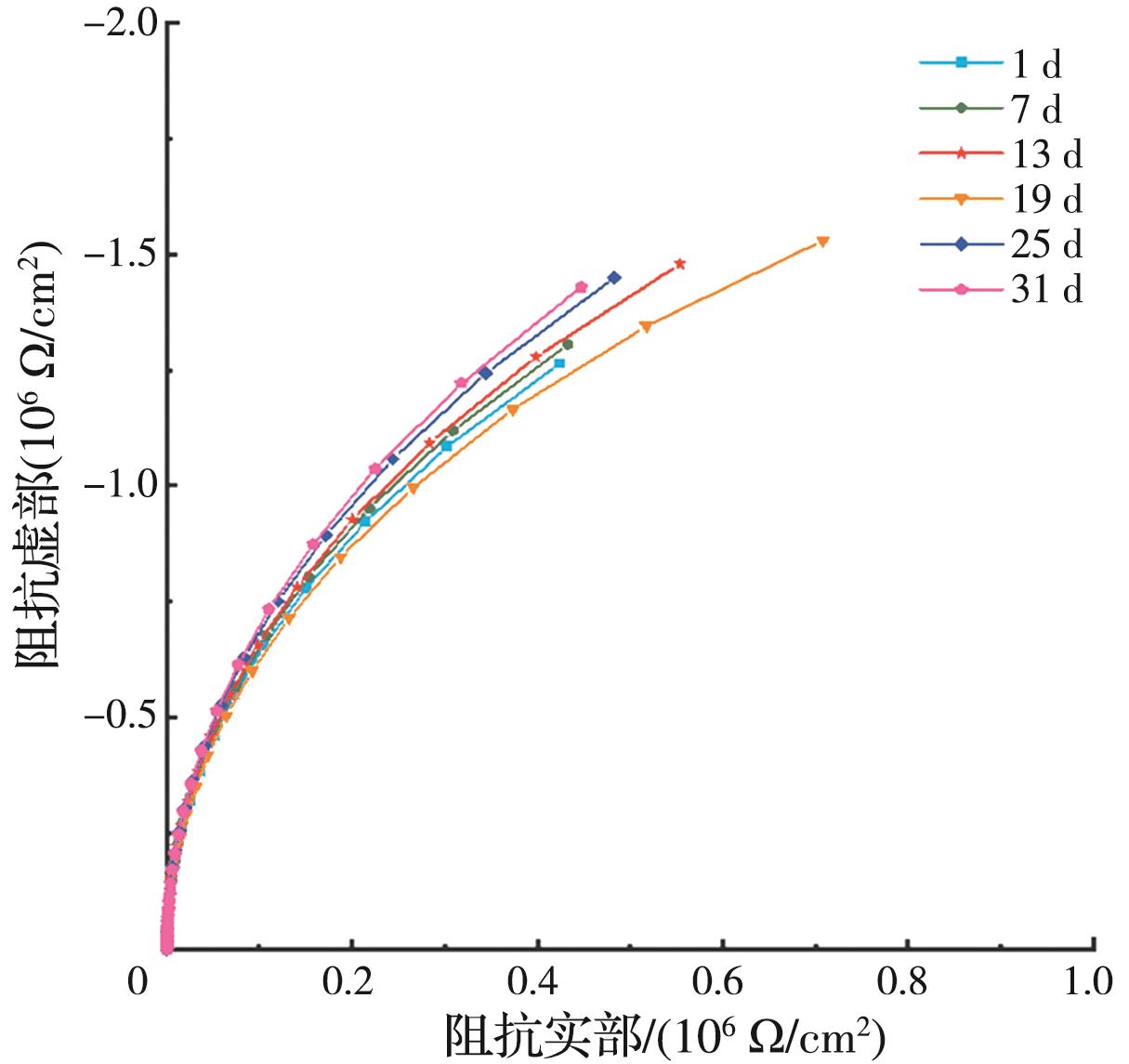
摘要:近年来,大足石刻千手观音造像贴金层出现局部劣化现象,对文物本体安全构成一定威胁。以分离自金箔表面的杂色曲霉菌(Aspergillus versicolor)和易脆毛霉菌(Mucor fragilis)两株优势菌株为研究对象,在实验室模拟条件下通过对pH值、开路电位、交流阻抗谱及极化曲线等参数监测,结合透射电子显微镜(TEM)和X射线能谱(EDS)分析,初步探究两株霉菌对金箔的腐蚀机制。结果表明,两株霉菌均显著加速了金箔腐蚀,导致表面金(Au)元素含量显著下降并伴随C、O、S元素富集。电化学测试发现,两株霉菌使腐蚀电位负移0.20~0.24 V,腐蚀电流密度提高近10倍,腐蚀效率分别为91.38%和88.91%。初步机制推断表明:霉菌代谢产生的有机酸(如柠檬酸和草酸)导致溶液快速酸化(pH值降至4.5~4.8),破坏钝化层;其胞外聚合物促进了生物膜形成,并可能通过吸附硫化物加剧界面反应。其中,杂色曲霉菌的片状腐蚀可能与其亲水性多糖生物膜增强了电解液渗透相关,而易脆毛霉菌的裂隙扩展可能源于糖化产物的微电池效应。
2026, 48(2):40-50. DOI: 10.11835/j.issn.2096-6717.2024.093
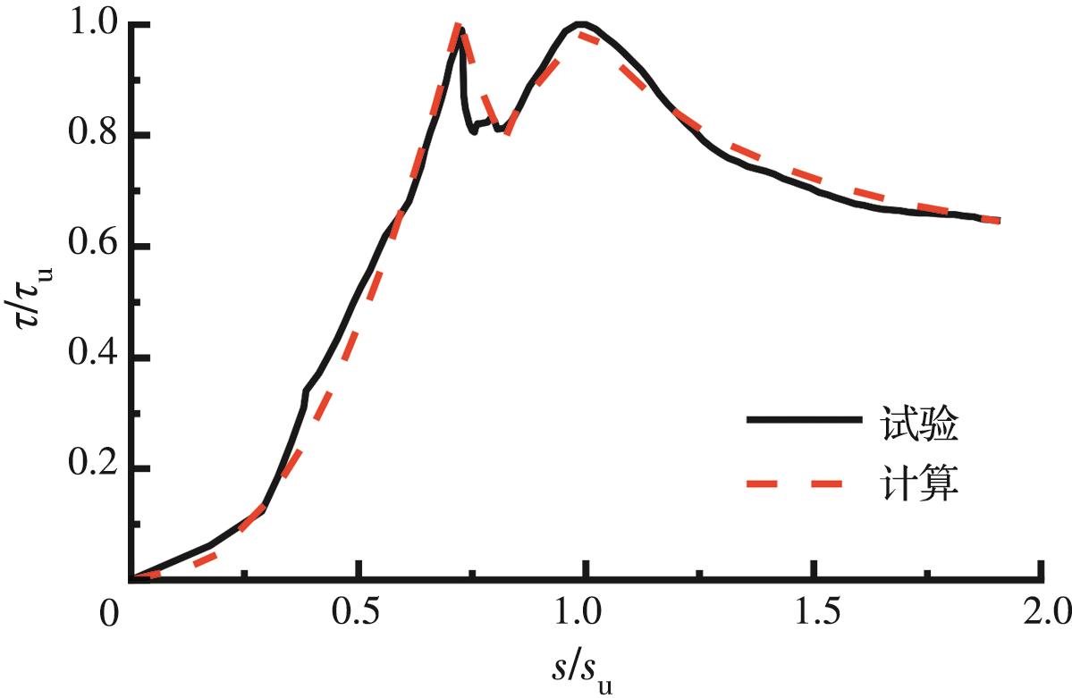
摘要:探究具有不同初始损伤的软硬互层岩体的力学性质,对于评估震后损伤岩体在周期性干湿循环交替环境下的稳定性极为关键。以变质砂岩和千枚岩互层岩体为研究对象,通过循环加卸载试验和干湿循环试验,制备具有不同初始损伤程度的试样,然后开展单轴压缩试验,分析不同初始损伤试样的变形破坏特征、裂纹演化过程、强度劣化规律,探究试样破坏的前兆特征,并从微观角度揭示试样的损伤劣化机制。结果表明:变形差异系数能量化试样表面不同区域的变形差异;穿晶裂纹和晶间裂纹的扩展贯穿整个加载过程,其破裂形式主要以张拉破裂为主,剪切破裂占比的增加会引起RA/AF值变异系数Cv的增大,当Cv增大至6.5时,试样临近破坏;试样的剪切破坏模式主要受岩体结构特征的控制,初始损伤则影响试样的破裂类型和裂纹的发育特征;初始损伤会引起弹性模量、抗压强度和破坏位移的下降;微裂纹的增多、颗粒间胶结作用的减弱是导致岩体宏观力学性能劣化的根本原因。
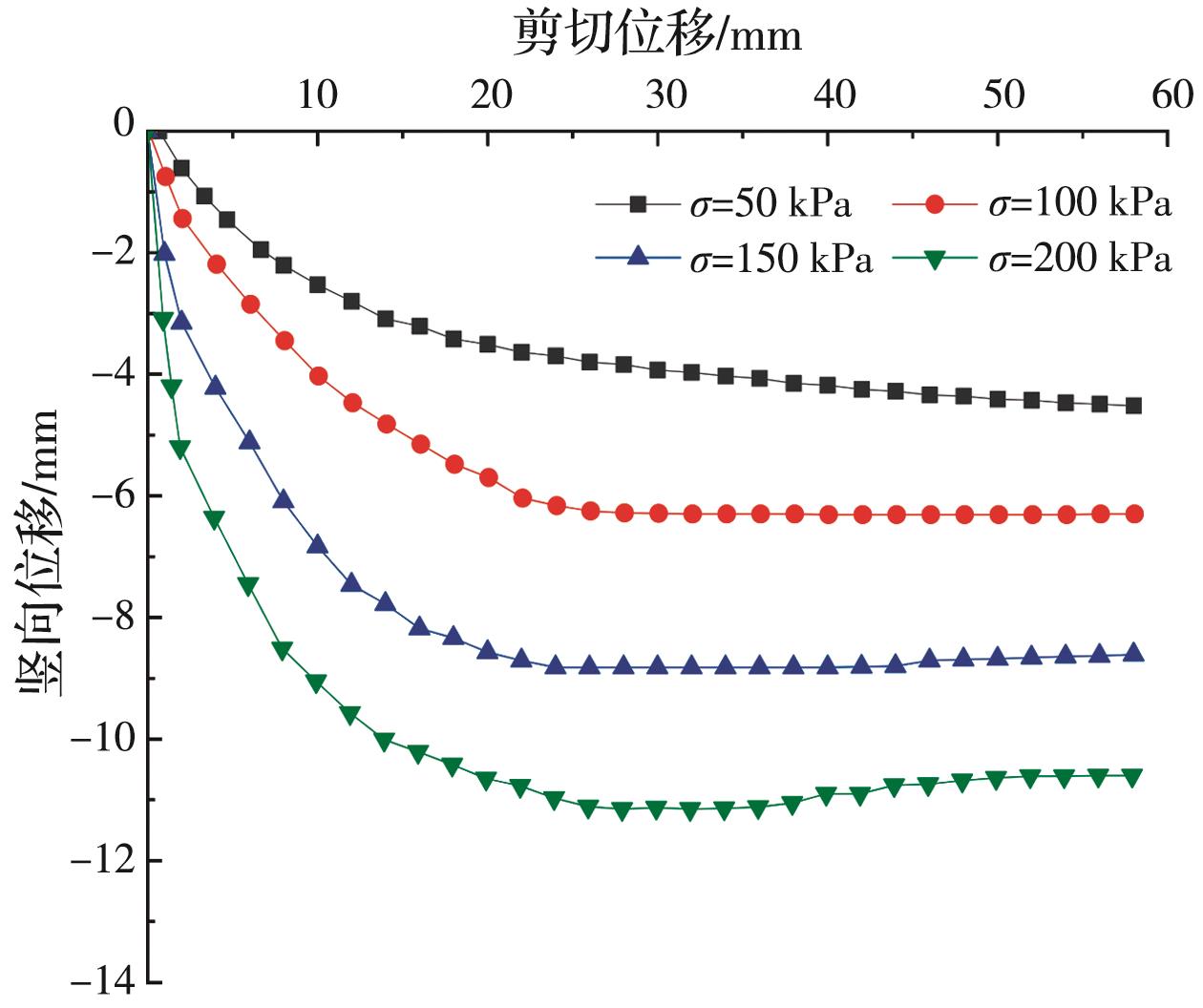
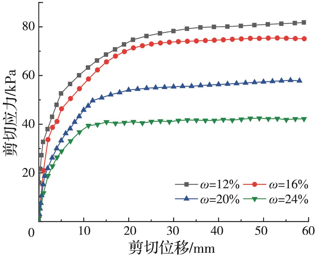
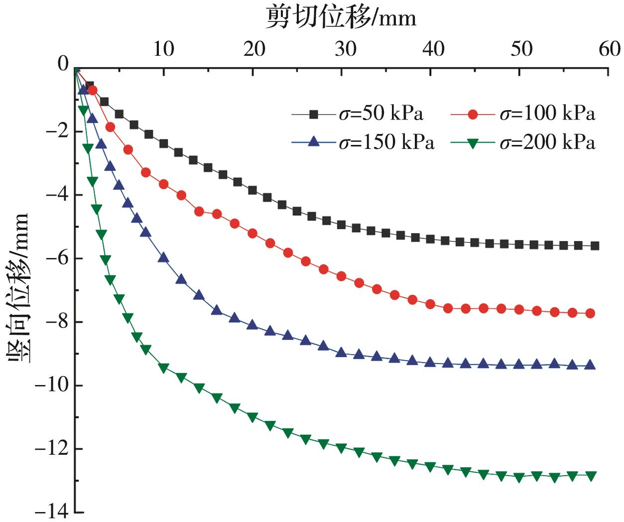
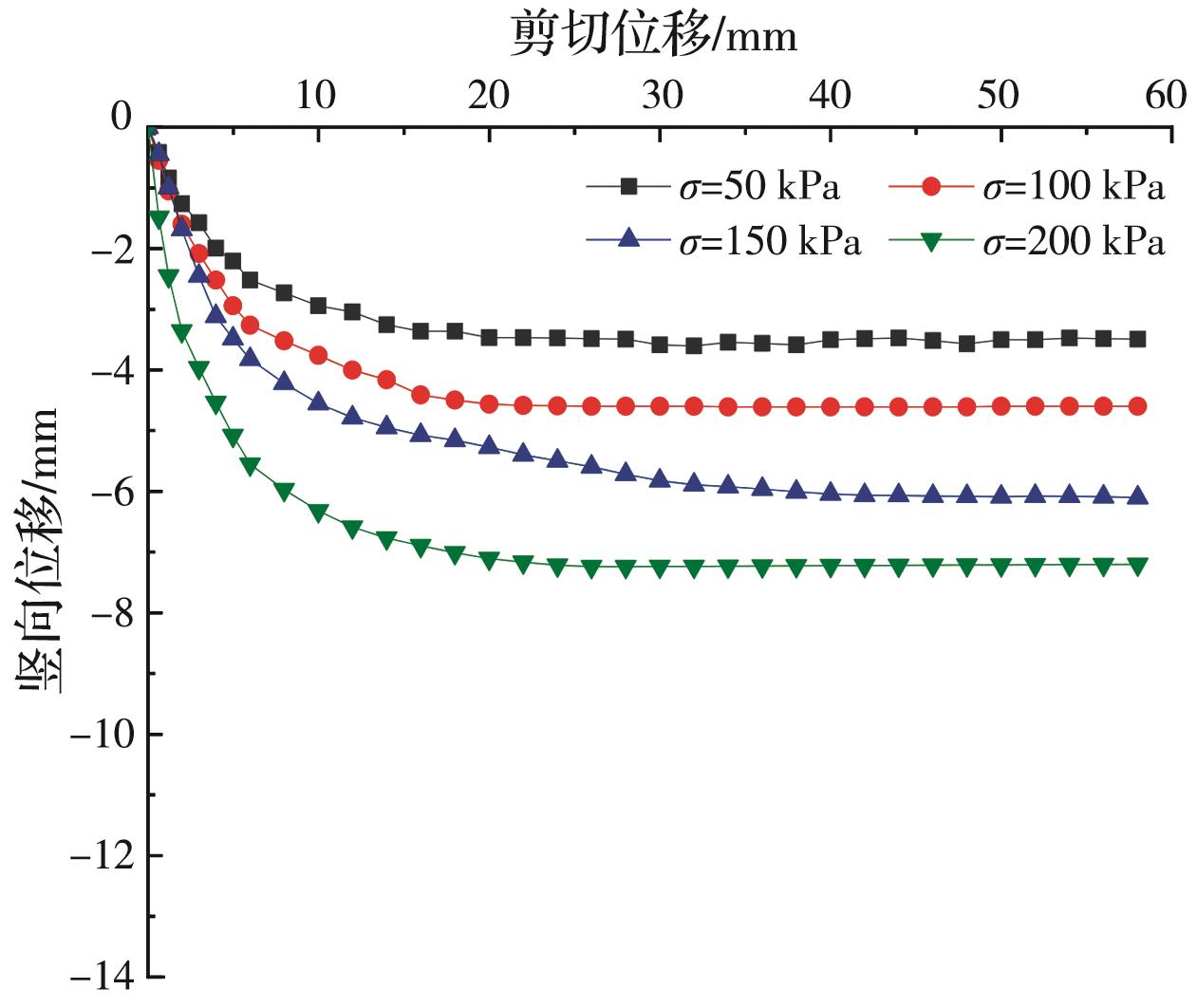
2026, 48(2):51-61. DOI: 10.11835/j.issn.2096-6717.2024.021
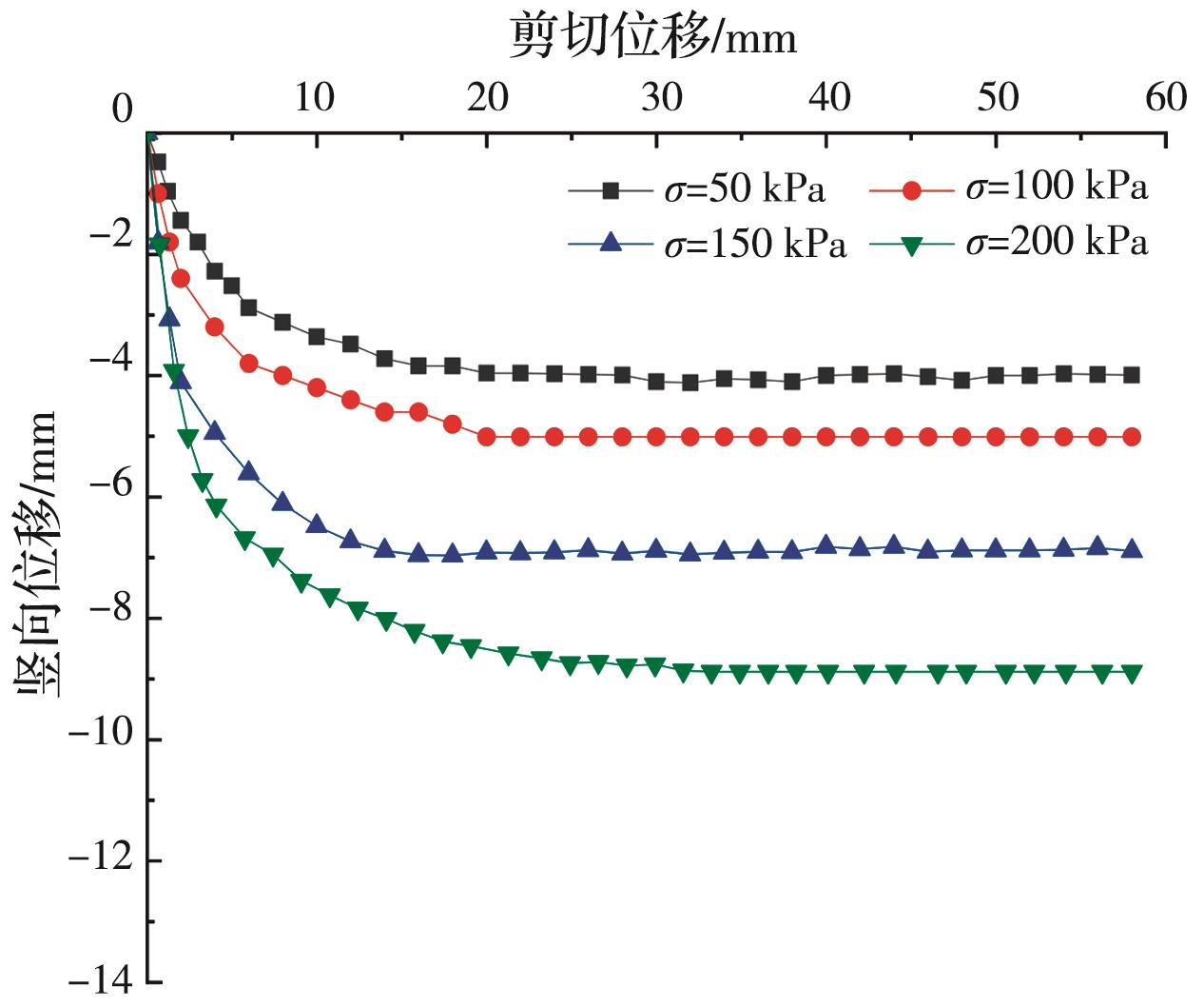
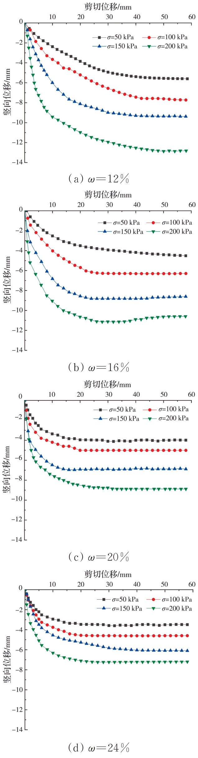
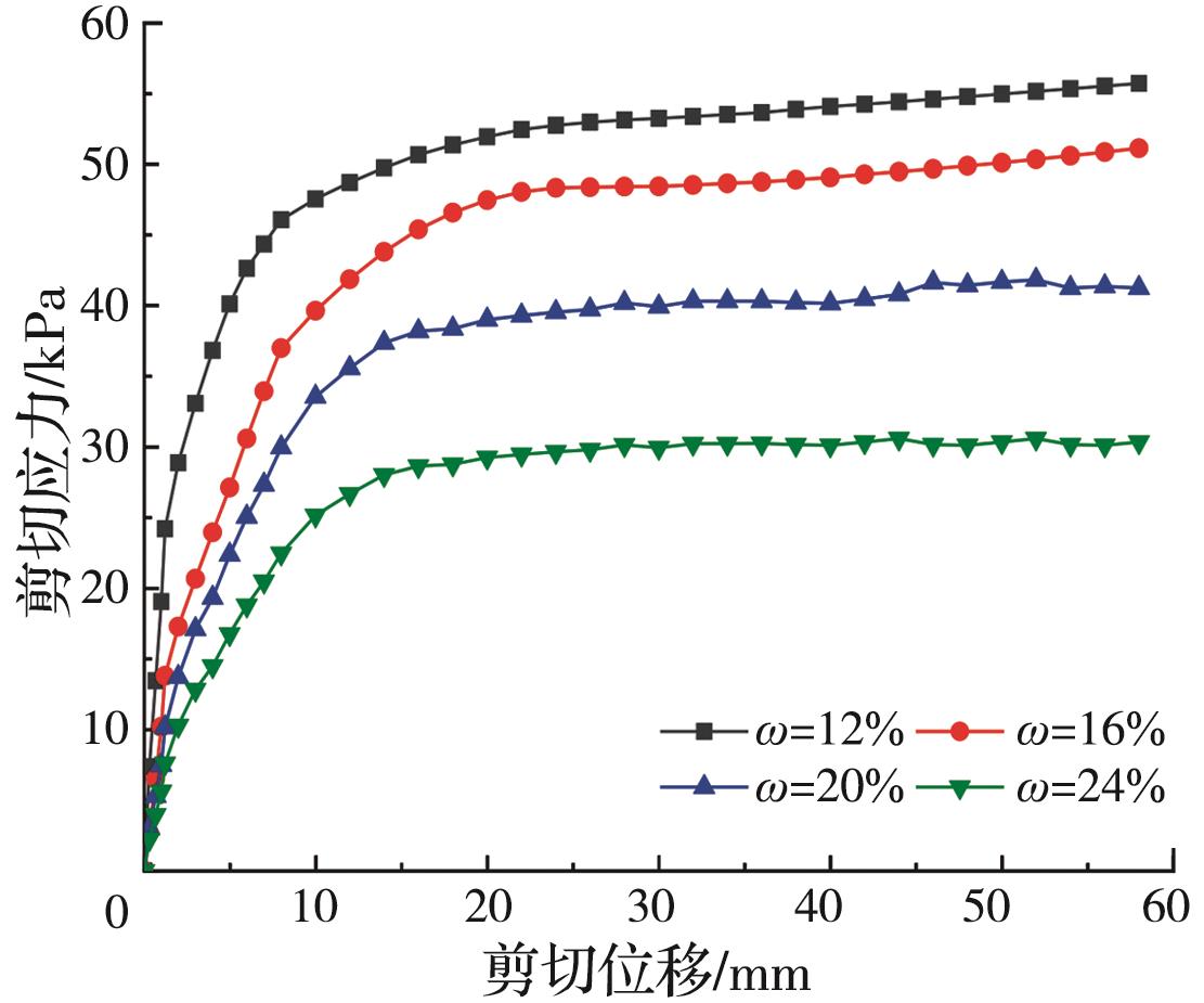
摘要:作为一种广泛分布于中国东南沿海地区的特殊土,花岗岩残积土的特性容易受到水的影响,从而诱发灾害。为研究花岗岩残积土-土工织物界面的剪切特性,通过室内大型直剪仪分析不同含水率(12%、16%、20%、24%)和不同竖向应力(50、100、150、200 kPa)等因素对界面抗剪强度参数的影响;建立离散元模型,揭示不同含水率条件下花岗岩残积土-土工织物界面在剪切过程中的细观机理。数值模拟揭示了剪切带的形态变化和颗粒的位移规律,由于中间织物的存在,上下盒力链无法贯通,不同含水率条件下法向、切向接触力的主方向相同;能量损耗主要发生在土与土颗粒的滑移中。
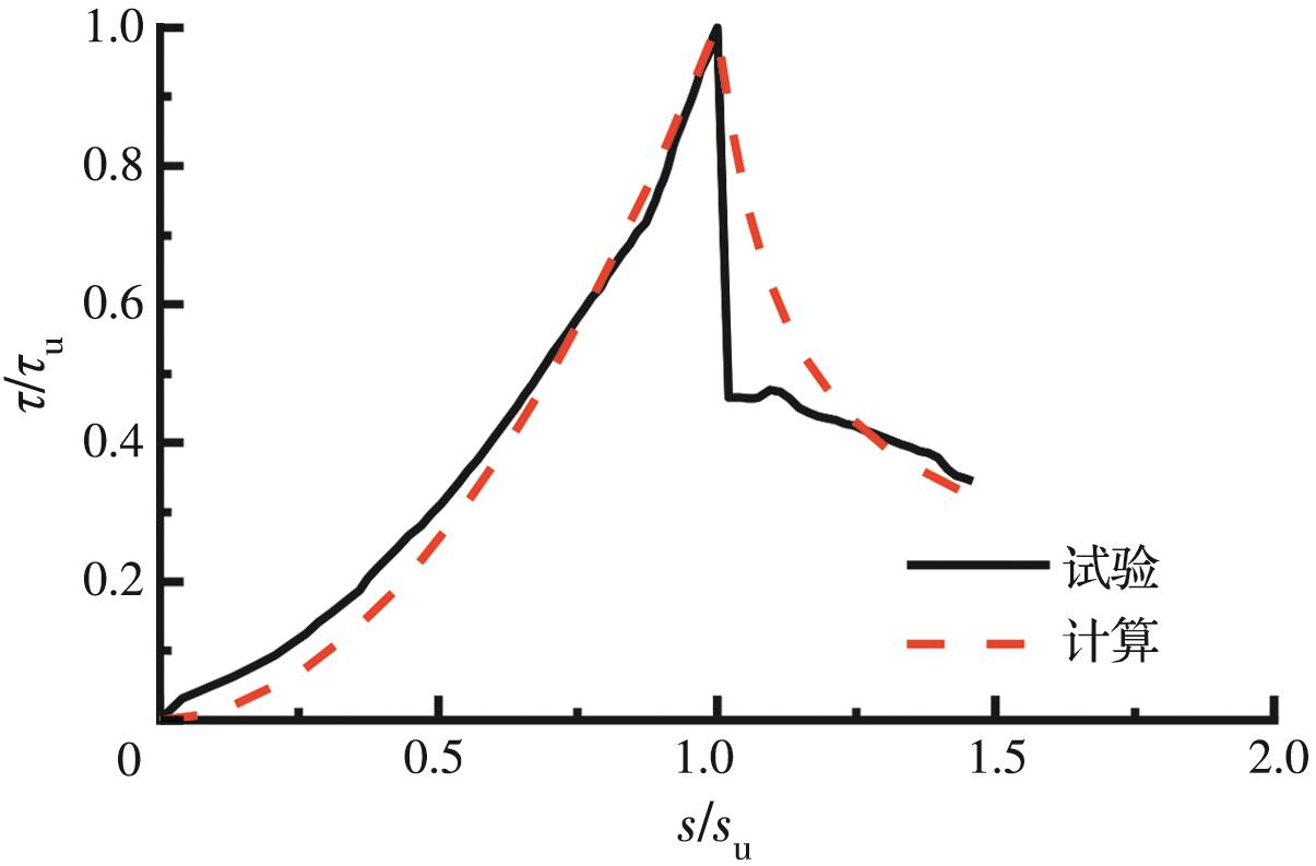
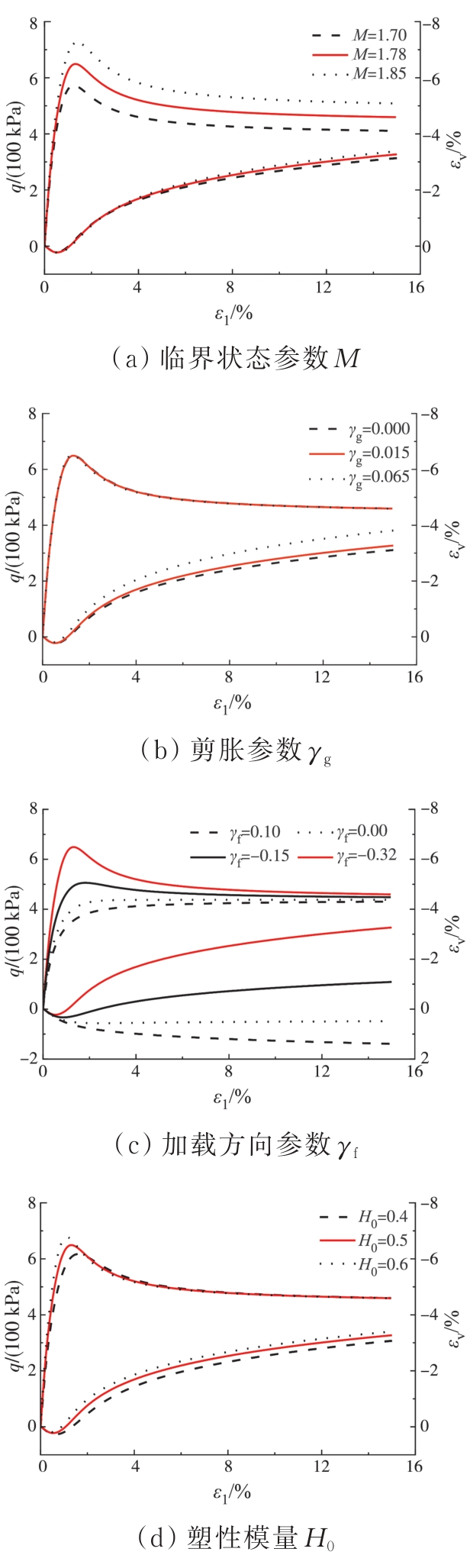
2026, 48(2):62-69. DOI: 10.11835/j.issn.2096-6717.2024.092
摘要:土工格栅对粗粒料的强度、变形特性有一定影响,准确地描述土工格栅加筋粗粒料在加载过程中的宏观力学行为具有重要意义。为研究能够合理描述其强度、变形特性的本构模型,以土工格栅加筋粗粒料室内三轴试验成果为基础,根据不同类型土工格栅加筋粗粒料的剪胀特性,以剑桥模型剪胀方程为基础,提出能够合理描述土工格栅加筋粗粒料剪胀、剪缩特性的非线性剪胀方程,通过与Rowe剪胀方程、剑桥模型剪胀方程进行比较,证明该方程在预测土工格栅加筋粗粒料剪胀特性方面具有优势。在此基础上,结合广义塑性模型理论,构造能够反映土工格栅加筋粗粒料变形和强度特性的弹塑性本构模型。模型共有6个参数,每个参数物理意义明确,均可通过室内三轴试验确定。最后,通过模拟多组不同围压下土工格栅加筋粗粒料室内三轴试验,验证了模型的合理性。结果表明,建立的模型总体上能够合理地描述不同类型土工格栅加筋粗粒料的复杂软化、硬化和剪胀、剪缩行为,可为相应工程提供有效的本构工具。
2026, 48(2):70-79. DOI: 10.11835/j.issn.2096-6717.2024.117
摘要:工业固废磷石膏能有效提升土体强度,但会增大土体脆性,而纤维加筋能改良土体的塑性,两种材料协同可形成互补。以陕西杨凌黄土为研究对象,通过无侧限抗压强度试验探究磷石膏改良黄土的最优掺量;基于最优掺量开展直剪试验,探究纤维加固磷石膏改良黄土的最优掺比;最后通过扫描电镜试验(SEM)探究磷石膏协同聚丙烯纤维改良黄土的微观机理。结果表明:单掺磷石膏改良加固黄土时,随着磷石膏质量占比的增大,改良后黄土的无侧限抗压强度先增大后减小,磷石膏掺入黄土的最优掺量为12%。基于磷石膏改良黄土的最优掺量掺入聚丙烯纤维发现,随着聚丙烯纤维掺量的增大,试样的峰值强度、黏聚力和残余强度均先增大后减小,内摩擦角持续增大;微观试验表明,磷石膏改良黄土和磷石膏协同聚丙烯纤维改良黄土均能增强土粒间的胶结作用,填充土粒间孔隙;聚丙烯纤维在黄土中会形成纤维团包裹土颗粒,从而为土粒提供拉应力,提升土样塑性。
2026, 48(2):80-89. DOI: 10.11835/j.issn.2096-6717.2024.005
摘要:将木质素用于土体改良是处置木质素的有效措施之一。为研究石灰-木质素共同改良黏土的效果,开展石灰-木质素改良黏土的共振柱试验,分析固结围压、石灰-木质素掺量对改良土动剪切模量特性的影响,并基于相对结构度方法提出改良土最大动剪切模量的表征模型。结果表明:随着围压的增加,石灰-木质素改良土的最大动剪切模量以及动剪切模量比提高;4%石灰+4%木质素改良土的最大动剪切模量与动剪切模量比均为最高,在300 kPa围压条件下,该改良土的最大动剪切模量较8%石灰改良土提高了17.3%,较纯土提高了185.4%;基于抗剪强度参数提出改良土的相对结构度计算方法,其中4%石灰+4%木质素改良土的相对结构度最大;在Hardin公式基础上引入相对结构度,建立改良土最大剪切模量的表征模型,该模型具有较好的准确性,可为评价石灰-木质素改良黏土的动剪切模量特性提供借鉴。
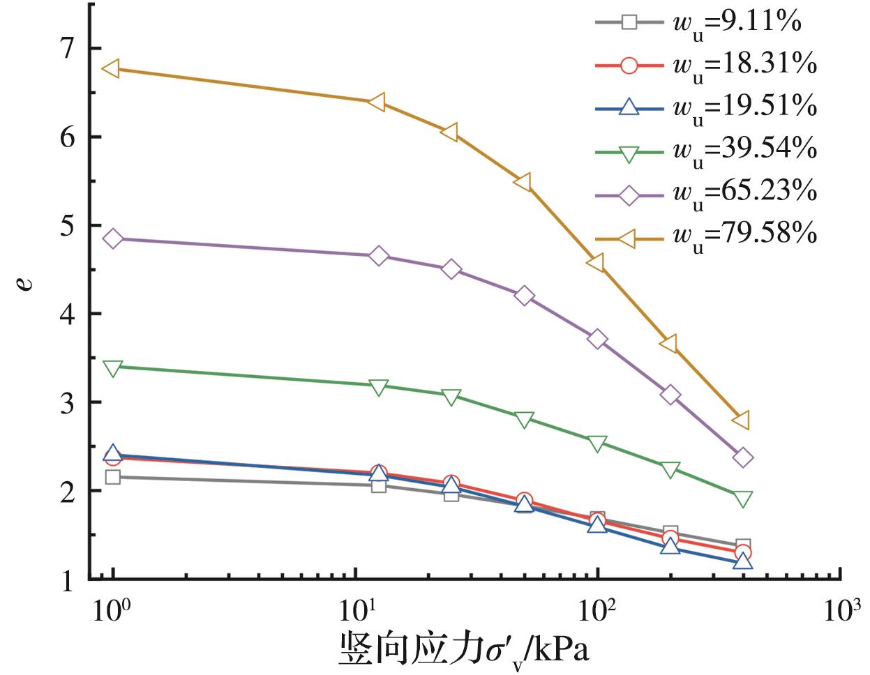
2026, 48(2):90-99. DOI: 10.11835/j.issn.2096-6717.2024.040
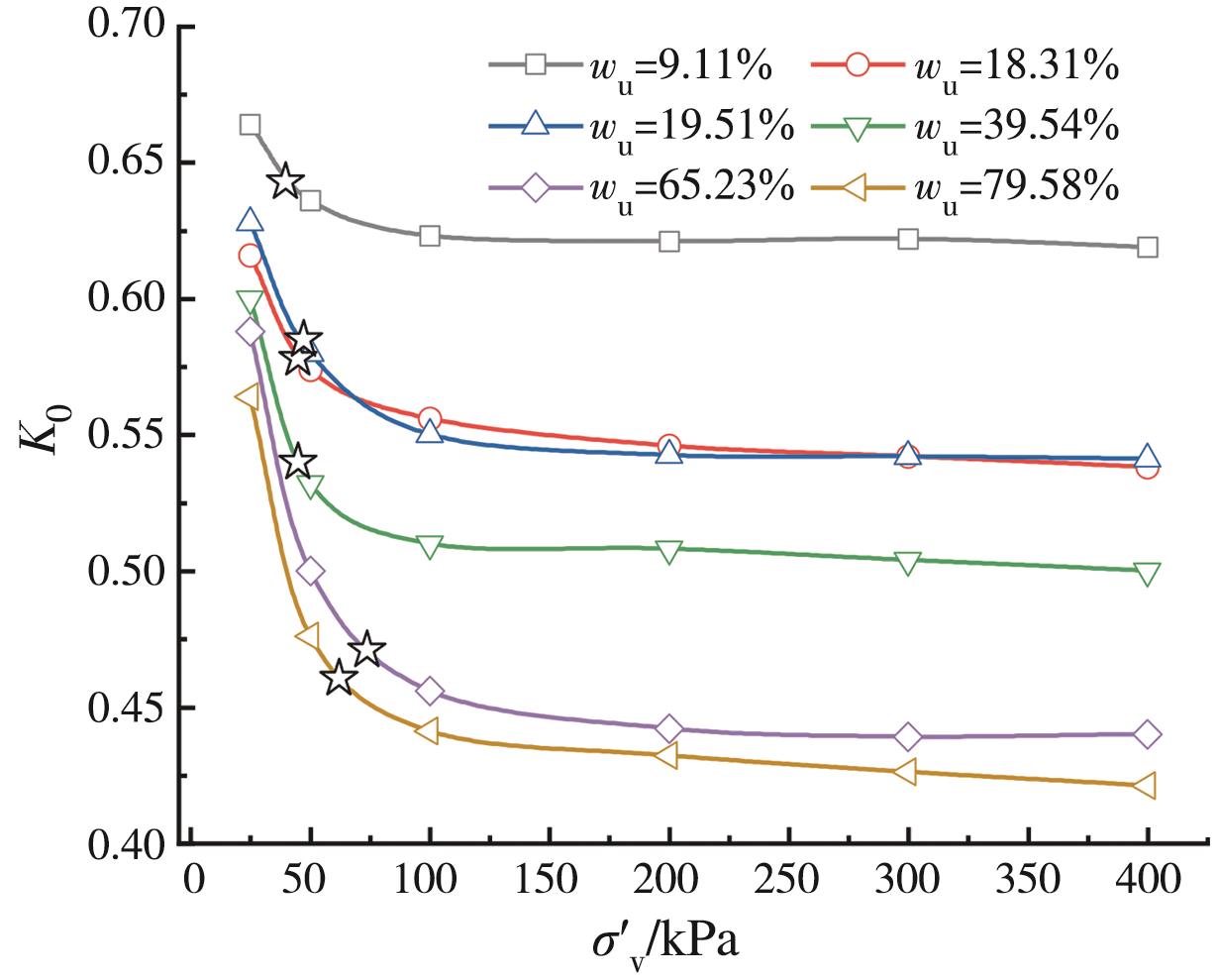
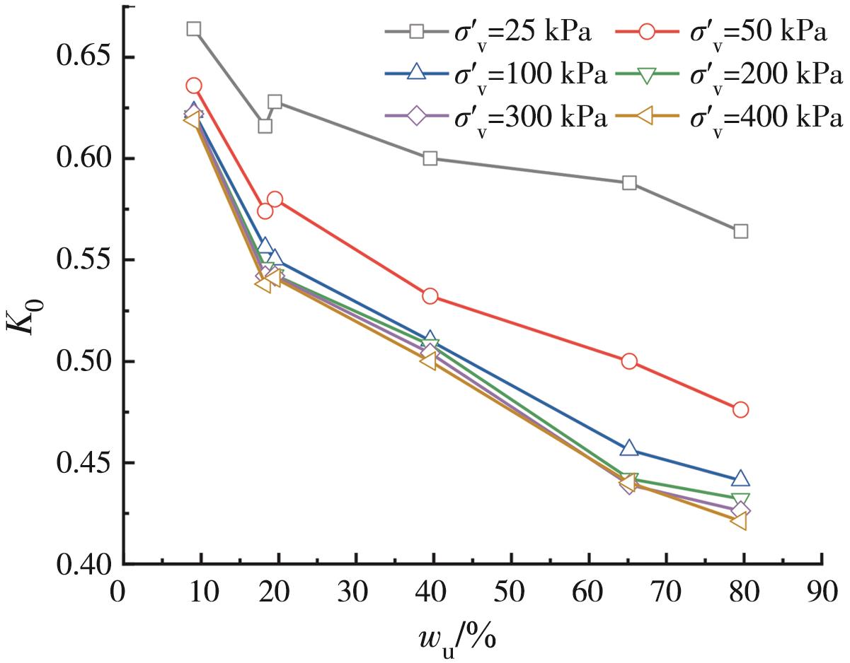
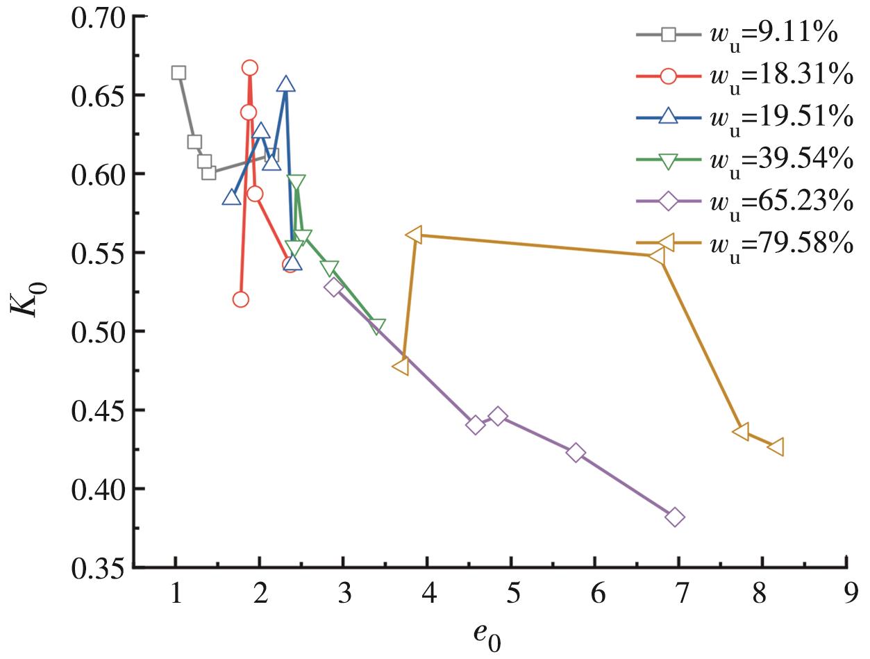
摘要:静止侧压力系数K0是解决岩土类工程问题的重要参数。为研究泥炭土K0的影响因素和作用机理,采用K0固结仪对昆明滇池泥炭土开展侧限压缩试验,系统分析了竖向应力、有机质含量和初始孔隙比对K0的影响规律,并从结构性角度探讨K0变化规律的形成机理。结果表明:重塑泥炭土的静止侧压力系数不是恒定常数,而是与竖向应力和有机质含量有关;加载时K0随竖向应力的增加而减小,最后趋于稳定,且在较低竖向应力下K0的减小趋势更显著;同一竖向应力下,有机质含量越大,K0越小,整个加载过程K0下降幅度越大;泥炭土结构性在加载过程中的动态变化是引起K0变化的根本原因,竖向应力和有机质通过影响其结构性进而影响K0,且两者间存在一定的耦合关系;重塑泥炭土稳定后K0值在0.42~0.6之间,低于无机黏土,并与有机质含量存在线性负相关,基于试验结果提出了相应的拟合关系式;初始孔隙比与K0值的关系较为离散。
2026, 48(2):100-110. DOI: 10.11835/j.issn.2096-6717.2024.089
摘要:流态固化土具有高流动性、自密实、强度可控等特点,可解决回填场地狭小、回填空间狭窄等填筑工程难题,其流态固化材料主要包括胶凝组分和流动组分,目前针对淤泥的流态固化胶凝材料和固化机理研究尚不充分。采用矿粉和水泥作为基础胶凝材料,通过单因素试验确定激发剂(生石灰和硅酸钠)的适宜掺量,借助Design Expert软件进行响应面分析,得到复合胶凝材料的优化配比;通过XRD和SEM试验得到固化淤泥的产物种类和微观结构,分析复合胶凝材料的固化机理。结果表明,复合胶凝材料(CCM)中水泥∶矿粉∶生石灰∶硅酸钠的优化配比为38∶42∶9.7∶6.5,采用CCM的流态固化淤泥的流动度和强度均优于仅采用水泥的流态固化淤泥。CCM固化淤泥的水化产物主要包括水化硅酸钙凝胶和钙矾石,水化产物包裹土颗粒并填充孔隙,显著提高了流态固化淤泥的强度。CCM的固化淤泥强度提高包括水化作用、碱激发火山灰反应、离子交换作用、微膨胀和填充作用等。
2026, 48(2):111-120. DOI: 10.11835/j.issn.2096-6717.2023.149
摘要:为了研究极端温度变化条件下加筋土挡墙内部温度场变化特性及规律,以乌鲁木齐市某加筋土挡墙工程为背景,基于Plaxis有限元模型,在考虑太阳辐射边界温度效应的基础上,开展加筋土挡墙内部温度场变化特性研究。结果表明:加筋土挡墙内部温度变化与外部环境温度起伏关系密切,其内部等温线近似于双曲线;挡墙内部距面板3.0~4.0 m、墙顶结构2.0 m的区域为温度敏感区,随着填料热物理参数的提高,墙内温度敏感区水平宽度也随之增加;加筋土挡墙内部的平均温度梯度变化量主要取决于外部温度的变化速率,但具有较高热物理参数的填料能有效减小墙内平均温度梯度;随着填料饱和度的增加,挡墙内部最大冻深线深度增大,当填料饱和度由0增长至0.2时,挡墙内部最大冻深增加幅度最大。
2026, 48(2):121-129. DOI: 10.11835/j.issn.2096-6717.2024.090
摘要:为研究非平衡堆载作用下地铁基坑降水开挖过程中不同特征剖面处地表沉降的空间效应特性,以南昌市某地铁车站基坑工程为背景,利用PLAXIS 3D建立三维数值模型进行模拟,模拟值与实测值吻合良好,验证了数值模拟的准确性。通过改变非平衡堆载大小和降水开挖工况,研究狭长基坑在分步降水开挖与一次性降水开挖情况下不同堆载作用对坑外地表沉降的影响规律,并进一步探讨坑外不同特征剖面地表沉降的空间效应特性。结果表明:受非平衡堆载影响,近堆载侧地表沉降大于远堆载侧;相较于一次性降水开挖工况,分步降水开挖工况下坑外各特征剖面处地表沉降值均更小;两种降水开挖工况下,非平衡堆载均弱化了近堆载侧地表沉降的空间效应,而对远堆载侧地表沉降空间效应的影响则相反,这与非平衡堆载和分段分层开挖的共同作用有关。
2026, 48(2):130-139. DOI: 10.11835/j.issn.2096-6717.2024.003
摘要:为分析盾构切桩过程中的动力响应特征,以南京地铁10号线盾构穿越群桩工程为背景,结合数值模拟和理论分析,求解盾构切桩冲击荷载诱发的动力响应。在刀盘上安装振动传感器,对盾构切桩刀盘动力响应进行监测。结果表明:当盾构以5 mm/min左右的推进速度低速切削钢筋混凝土桩基时,推力和扭矩变化较小,且由于桩基为圆柱形,切削断面缓慢增大,推力和扭矩表现出明显的滞后性,整个切桩过程中,推力和扭矩峰值约为初始值的1.3倍和1.25倍;数值模拟结果表明,在刀具多次切削作用下,钢筋切口表现为挤压-拉伸断裂,在冲击荷载作用下,刀盘轴承位置出现多个动力响应波峰,峰值接近0.6g;实测数据表明,在冲击荷载作用下,刀盘轴承位置振动加速度出现连续多次峰值,时间间隔约0.1 s,幅值接近0.5g,实测冲击响应波形与理论解高度相似,二者之间相互验证,该波形可作为多把刀具连续切削钢筋的典型特征;在整个切桩过程中,加速度响应有效值、峰值显著升高,最大强度约为切削黏土地层时的2倍,且在切桩完成后迅速掉落。
2026, 48(2):140-149. DOI: 10.11835/j.issn.2096-6717.2024.004
摘要:在新建地铁车站零距离下穿既有地铁区间隧道施工过程中,基坑的增层开挖导致既有桩基侧摩阻力下降,从而对桩基的承载力产生不利影响。目前,新建地铁车站增层开挖施工作用下既有桩基侧摩阻力的计算理论尚不成熟。以深圳地铁13号线公明广场站零距离下穿既有6号线项目为背景,采用Mindlin应力解推导增层开挖卸荷作用下既有桩基桩侧摩阻力的计算公式,研究新建地铁车站增层开挖过程中既有桩基侧摩阻力的变化规律。通过与数值模拟结果进行对比,验证理论计算方法的正确性,在此基础上获得参数变化对桩侧摩阻力和卸荷应力的影响规律。结果表明:既有桩侧摩阻力随增层开挖深度的增大而减小,侧壁卸荷应力与总卸荷应力的比值随增层开挖深度的增加而增大;桩侧摩阻力随增层开挖面积的增大而增大,侧壁卸荷应力与总卸荷应力的比值随增层开挖面积的增大而减小。在开挖深度较深、开挖面积较小或考虑边桩侧摩阻力时,需考虑侧壁卸荷应力的影响。
2026, 48(2):150-162. DOI: 10.11835/j.issn.2096-6717.2023.151
摘要:对钢筋混凝土结构状态进行监测是保障其性能水平的本质需求,相关领域的技术进步给这个传统方向带来了新的发展契机。对近年来钢筋混凝土结构中钢筋锈蚀监测和混凝土耐久性监测新技术进行综述。在钢筋锈蚀监测方面,综述了半电池及自然电位监测法、极化电阻技术、电流噪声评估法等化学监测方法和超声波监测法、物理成像技术、电磁学监测技术等物理监测技术以及基于人工智能的新监测方法;在混凝土状态与耐久性监测方面,综述了超声波监测、数字成像技术监测、损伤评价指标体系研究等基于混凝土自身劣化的监测技术和基于裂缝评估混凝土状态的监测技术以及基于人工智能的新技术;在传感器及信号处理技术方面,综述了光纤传感器和其他新型传感器技术在钢筋锈蚀监测和混凝土状态监测的最新研究进展。随着状态感知层前端技术的发展,人工智能技术的融入是未来钢筋混凝土结构状态监测跨学科发展的一个趋势。
2026, 48(2):163-171. DOI: 10.11835/j.issn.2096-6717.2023.154
摘要:为解决实际工程中带减振器斜拉索索力测试难度大、精度低的问题,提出一种基于IWPA-LKCNN-LSTM的带减振器斜拉索索力智能识别方法。对实际工程中的带减振器斜拉索开展动态响应试验,基于试验数据开发了一种可以智能化识别带减振器斜拉索索力的深度学习模型。模型以斜拉索索力、长度、线密度、频率和阶次作为特征输入,首先采用改进狼群算法(improved solf pack algorithm,IWPA)对LSTM神经网络中的超参数进行自适应寻优,然后利用LKCNN-LSTM(large convolutional kernel convolutional neural network-long and short-term memory)进行训练,从而实现对带减振器斜拉索索力的智能识别。训练后的网络在测试集上识别的索力值与实际索力值之间的平均误差为2.024%,均方误差值为0.099 4%,决定系数为0.980 6,索力误差均小于5%。与索力计算公式和其他机器学习算法对比结果表明,该方法可实现带减振器斜拉索索力的智能化精准识别,拥有广阔的应用前景。
2026, 48(2):172-179. DOI: 10.11835/j.issn.2096-6717.2024.016
摘要:为研究适用于下弦与撑杆改进构型张弦梁结构各杆件类型的损伤识别方法,降低无损伤杆件的误判率,提出一种基于结构模态的子构件曲率变化损伤识别指标,并通过对简支梁结构的分析证明该指标的有效性。采用有限元软件ANSYS建立下弦与撑杆改进构型张弦梁结构分析模型,通过减小杆件单元弹性模量的方式模拟杆件损伤;考虑到结构对称且复杂的特点,分别在跨中、1/4跨及近支座端杆件处设置单损伤、多损伤及小损伤程度的损伤工况,采用子构件改进的曲率绝对差指标和提出的基于结构模态的子构件曲率变化指标进行损伤识别对比分析。结果表明:基于结构模态的子构件曲率变化指标可实现结构单损伤、多损伤的精准定位,且对损伤程度较小的工况也非常敏感,可作为下弦与撑杆改进构型张弦梁结构损伤识别的有效方法。
2026, 48(2):180-189. DOI: 10.11835/j.issn.2096-6717.2023.150
摘要:在低光照环境下,被测结构表面自然纹理可见度和分辨率下降,进而影响结构动挠度视觉测量的精度,研究人员多采用LED标靶结合图像阈值法来解决。但在实际应用过程中,周围复杂的环境光线和不良天气会对结构动挠度视觉测量结果的准确性造成影响。为此,提出一种基于迭代Otsu法的桥梁结构动挠度视觉测量方法。该方法通过多次迭代求解光斑图像ROI区域前景阈值,配合光斑圆形度和帧间面积一致性约束,不断缩小灰度阈值范围,最终找到能有效分离图像前景光斑与背景的理想阈值,并结合灰度质心法准确计算出被测结构的动挠度变化。首先,介绍基于迭代Otsu法的图像阈值分割原理和结构动挠度计算流程;之后,通过一个悬臂梁试验验证所提方法在有强光和雾气干扰的低光照环境下识别结构动挠度的准确性。
2026, 48(2):190-198. DOI: 10.11835/j.issn.2096-6717.2024.041
摘要:提出一种可更换桥面板全装配钢-混组合梁,其桥面板采用胶接缝连接并配置可拆卸高强螺栓剪力键。为剖析不同接缝形式对全装配组合梁正弯矩区力学性能的影响机制,设计制备4片不同桥面板接缝形式的组合梁试件并完成静力加载试验,分析了各试件的破坏形式、承载力、延性、抗弯刚度、界面滑移等力学特征。结果表明:与现浇梁的弯曲破坏相比,全装配组合梁为弯剪破坏,且主裂缝位置出现在胶接缝附近,为混凝土的内聚破坏;直线形、阶梯形、企口形接缝梁的抗弯承载力较现浇梁分别降低了4.78%、2.07%、2.04%,桥面板以受压为主,使得接缝形式对接缝梁承载力的影响较小;有无接缝对组合梁整体延性影响较大,现浇梁延性系数较直线形、阶梯形、企口形接缝分别高出14.39%、34.87%、7.75%;接缝形式对组合梁整体弹性刚度影响不显著,接缝梁弹性刚度较现浇梁分别降低了0.55%、5.43%、2.06%;现浇梁的梁端部滑移量最大,全装配组合梁的最大滑移则出现在接缝附近;在不同接缝形式中,企口形接缝的强度和刚度表现最优。基于塑性理论提出了考虑高强螺栓连接件和胶接缝桥面板影响的全装配组合梁抗弯承载力计算式。
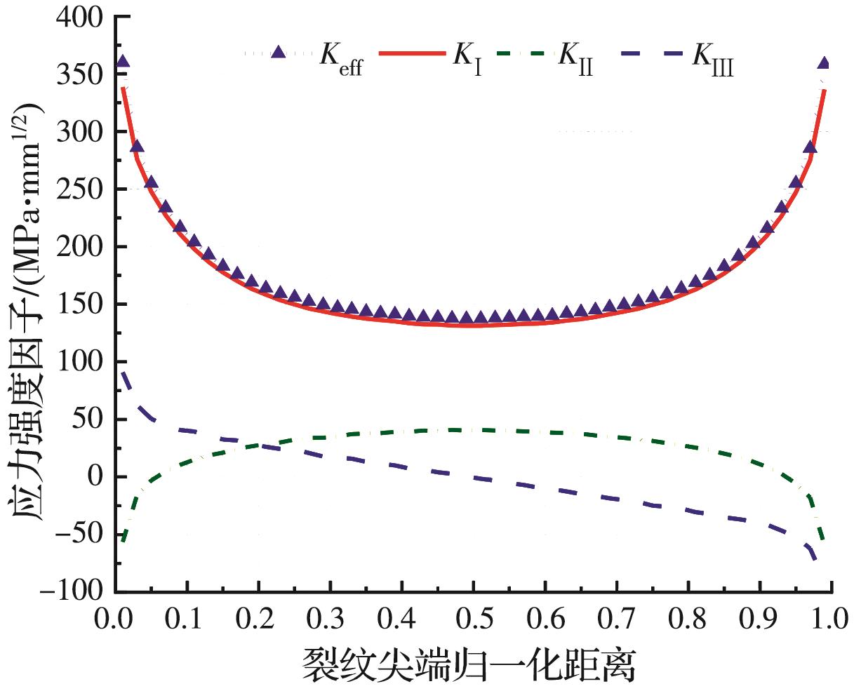
2026, 48(2):199-211. DOI: 10.11835/j.issn.2096-6717.2024.034
摘要:为研究沥青铺装层温度效应对正交异性钢桥面板焊接细节疲劳性能的作用机制,基于线弹性断裂力学理论,系统分析铺装层温度效应对焊接细节应力及顶板焊趾处疲劳裂纹尖端应力强度因子的影响规律,并基于XGBoost算法构建裂纹修正系数预测模型。结果表明:沥青铺装层厚度及其温度效应对钢桥面板焊接细节疲劳性能的影响不可忽略;高温情况下,顶板焊趾处的疲劳裂纹扩展速率较快,裂纹形态比对有效应力强度因子的影响更为显著,仅通过应力指标评估铺装层温度效应对钢桥面板焊接细节疲劳性能的影响存在安全隐患;顶板焊趾处的应力及裂纹尖端的有效应力强度因子与铺装层温度效应呈非线性相关;结合建立的裂纹修正系数预测模型,能有效预测疲劳裂纹尖端的有效应力强度因子,便于工程中快速评估温度影响下焊接细节的疲劳性能。
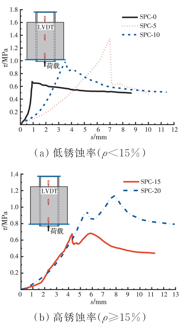
2026, 48(2):212-225. DOI: 10.11835/j.issn.2096-6717.2024.035
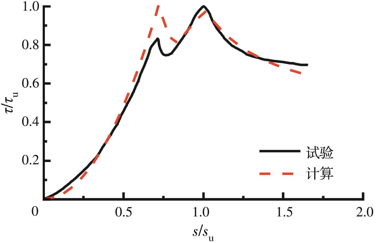
摘要:针对以H型钢作为骨架的无筋混凝土结构,制作锈蚀率分别为0、5%、10%、15%和20%的H型钢混凝土试件,开展推出试验,分析不同锈蚀程度下H型钢-混凝土界面的黏结应力-滑移关系,并提出一种通过测试混凝土表面的压缩位移获得钢-混凝土界面黏结应力分布的试验方法。基于试验观察提出化学黏结、微观机械黏结、宏观机械黏结和铁锈界面黏结4种微观机制,以解释锈蚀对H型钢混凝土黏结性能的影响。构建考虑锈蚀率影响的黏结应力-滑移本构关系模型,引入界面损伤参数,对不同锈蚀率下的界面损伤演化过程进行分析。结果表明:H型钢-混凝土界面的初始黏结刚度随着锈蚀率的增加而提高,但在达到峰值应力后,界面刚度的下降速率随锈蚀率的增加而加快;当H型钢锈蚀率较高(≥15%)时,界面黏结滑移曲线呈双峰值特征,即先上升后下降,然后再次上升,最终趋于下降;随着锈蚀率的增加,化学黏结和微观机械黏结的作用逐渐增强,而宏观机械黏结和铁锈界面黏结的作用则逐渐减弱;所建立的考虑锈蚀率影响的黏结应力-滑移本构关系表达式能较好地描述锈蚀H钢-混凝土界面的黏结特性;尽管锈蚀率的增加会加速界面刚度的减退,但对试件破坏时损伤程度的影响较为有限。
付建明,张丽娟,马一丹,齐永杰,刘士远,孟祥瑞,刘玉萍,田利
2026, 48(2):226-235. DOI: 10.11835/j.issn.2096-6717.2023.142
摘要:输电线路易受大风、覆冰等多种灾害的影响而发生破坏,严重威胁能源安全。目前对于输电线路风灾、冰灾的研究多集中于低海拔地区,而众多西电东送输电线路跨越广袤的高原地区,其中长横担输电塔占有较大比重。为了保障高海拔地区输电线路安全运行,依托某±800 kV特高压直流输电工程,建立长横担输电塔-线体系精细化模型,基于高海拔地区覆冰条件,分别建立输电塔和输电线的覆冰工况;考虑高海拔地区空气密度、地形地貌等环境因素的影响,对比分析了高、低海拔地区的风荷载特征;基于高海拔地区覆冰工况和风荷载特点,开展长横担输电塔-线体系的风振响应分析。结果表明,高海拔地区风剖面较为平缓,长横担输电塔-线体系横担处位移响应大于塔顶,冰-风荷载作用下结构最大位移响应均出现在横担端部中点处。
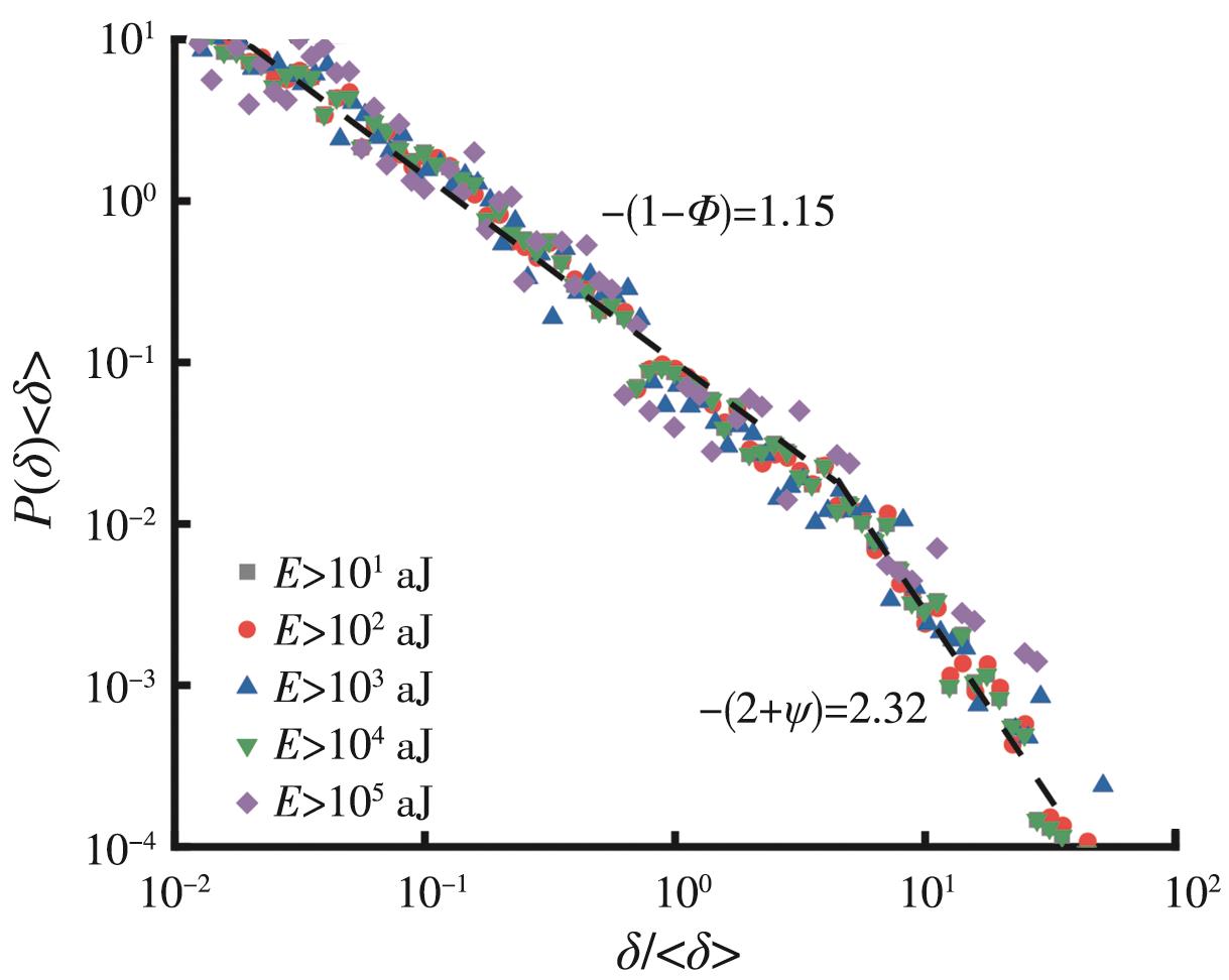
2026, 48(2):236-244. DOI: 10.11835/j.issn.2096-6717.2024.039
摘要:多孔介质材料破坏失效的雪崩特征与其破坏机制密切相关。为探究基于声发射统计的混凝土拉、压破坏过程中的雪崩特征,开展了混凝土单轴压缩和巴西劈裂试验,并监测加载过程中的声发射信号,对比分析声发射信号的幅值、绝对能量、持续时间、等候时间等参数的统计特征。结果表明:拉、压破坏下声发射能量最大值均分布在峰值应力附近,但劈裂过程中的信号数量远低于单轴压缩;b值均呈先增大后减小趋势,而劈裂破坏下的b值下降更早,变化幅度更大,说明大裂纹出现得更早,更容易破坏;拉、压破坏下的声发射绝对能量、幅值、持续时间的概率密度分布均符合幂律,但对应的雪崩指数值不同,这与破坏过程中的失效机制相关;劈裂破坏的绝对能量分布接近纯幂律分布,而单轴压缩破坏符合带阻尼的幂律分布,所对应的绝对能量指数值更大;不同时间段内单轴压缩和巴西劈裂破坏的能量指数值呈下降趋势,说明随着荷载的增加试件内部大能量信号占比增大;拉、压破坏下的等候时间概率密度分布较为接近,表现出稳定性,也说明统计规律的适用性。
您是本站第 4754718 访问者 
通信地址:重庆市沙坪坝区沙正街174号,重庆大学A区 邮编:400044
电话:023-65111322;023-65111863 E-mail:xuebao@cqu.edu.cn
版权所有:土木与环境工程学报(中英文) ® 2026 版权所有