• Volume 49,Issue 1,2026 Table of Contents
    Select All
    Display Type: |
    • >Mechanical Engineering
    • Optimization design method for electric construction machinery powertrains considering manufacturing cost

      2026, 49(1):1-16. DOI: 10.11835/j.issn.1000-582X.2025.205

      Abstract (77) HTML (48) PDF 4.94 M (218) Comment (0) Favorites

      Abstract:To improve the operational performance of electric construction machinery, accelerate industry electrification, and reduce carbon emissions from non-road mobile equipment, a powertrain optimization design method considering manufacturing cost is proposed. The pure electric wheel loader is selected as the research object, and suitable components are first identified using the fuzzy TOPSIS method. Then, operating costs under customer demand conditions, power performance under loader turnaround conditions, and narrowly defined manufacturing costs are simultaneously optimized using an improved multi-objective Jellyfish search algorithm. Finally, the proposed method is verified on a Matlab/Simulink platform. Results show that the improved algorithm outperforms benchmark approaches. Motor efficiency increases by 0.214%, 0.190%, and 0.150% under different working conditions; the acceleration time from 0 to maximum speed is decreased by1.798 s, 2.231 s, and 1.006 s;and manufacturing cost is reduced by 3.129%, 5.043%, and 3.946%. Overall, both power performance and operational comfort are significantly enhanced.

      • 0+1
      • 1+1
      • 2+1
      • 3+1
      • 4+1
      • 5+1
      • 6+1
      • 7+1
    • Integrated green job-shop scheduling considering AGV charging

      2026, 49(1):17-31. DOI: 10.11835/j.issn.1000-582X.2024.217

      Abstract (93) HTML (52) PDF 2.10 M (192) Comment (0) Favorites

      Abstract:Automatic guided vehicles (AGVs) have become an important transport resources in modern job shops, yet their deployment introduces new scheduling challenges, such as AGV assignment, power constraints, and fleet size limitations. To address the green scheduling problem of job shops considering AGV charging requirements, this study develops a multi-objective optimization model that minimizes makespan and energy consumption while accounting for AGV power levels and charging behavior. An improved genetic algorithm is proposed to solve the model. It employs dual-segment chromosome encoding for job sequencing and AGV allocation, and local search strategies and dedicated genetic operators for each chromosome segment. A decoding mechanism considering AGV power and charging constraints is also designed. Through orthogonal simulation experiments using the FT06 benchmark case, the influence of AGV fleet size and battery capacity on scheduling performance are analyzed via range and variance methods. Simulation results demonstrate the effectiveness of the proposed model and algorithm.

      • 0+1
      • 1+1
      • 2+1
      • 3+1
      • 4+1
      • 5+1
      • 6+1
      • 7+1
    • Friction, wear and aging performance of fluoroether lip oil seals

      2026, 49(1):32-39. DOI: 10.11835/j.issn.1000-582X.2024.204

      Abstract (74) HTML (38) PDF 2.90 M (215) Comment (0) Favorites

      Abstract:Using a multi-purpose transmission friction test bench, variable-speed dry friction tests were conducted on lip-type oil seals composed of fluoroether rubber, with considering different interference levels and media-aging durations. The effects of aging time and interference on spindle torque, vibration, and frictional wear were systematically analyzed. Results show that, within the tested parameter range, spindle torque decreases with prolonged aging time, while vibration initially decreases and subsequently increases. Increasing interference leads to higher spindle torque and vibration. Moreover, longer aging time and lower interference correspond to reduced wear of the oil seal. Surface observations further indicate that extended aging time produces smoother frictional surfaces and more pronounced swelling.

      • 0+1
      • 1+1
      • 2+1
      • 3+1
      • 4+1
      • 5+1
      • 6+1
      • 7+1
      • 8+1
    • Mechanical properties and microstructural response of the microporous layer in PEMFCs

      2026, 49(1):40-50. DOI: 10.11835/j.issn.1000-582X.2024.229

      Abstract (79) HTML (36) PDF 4.09 M (213) Comment (0) Favorites

      Abstract:The microporous layer (MPL) of proton exchange membrane fuel cells (PEMFCs) plays an important role in the transport of water, gas, heat and charge. Mechanical deformation and microstructural damage can significantly impair these transport processes. In this study, the stress-strain relationship of the MPL was experimentally determined after material fabrication and microstructural characterization. A numerical reconstruction of the MPL was then developed based on the extracted microstructural parameters, and finite element simulations were conducted to evaluate the displacement-stress distributions of carbon particles and polytetrafluoroethylene (PTFE) under different mechanical strains. Results show that mechanical loading induces substantial strain within the MPL, with the highest stress occurring at the surface, where stress concentration is most likely to form. Stress was found to increase exponentially with applied strain. At 10% strain, the maximum stress on carbon particles and PTFE was about 31.385 MPa and 14.873 MPa, respectively; when strain increased to 40%, the corresponding stresses rose to 160.03 MPa and 96.165 MPa, accompanied by a pronounced intensification of stress concentration regions.

      • 0+1
      • 1+1
      • 2+1
      • 3+1
      • 4+1
      • 5+1
      • 6+1
      • 7+1
      • 8+1
      • 9+1
      • 10+1
      • 11+1
    • Simulation study of lattice flow fields in PEMFCs

      2026, 49(1):51-59. DOI: 10.11835/j.issn.1000-582X.2024.215

      Abstract (74) HTML (39) PDF 1.76 M (200) Comment (0) Favorites

      Abstract:The flow field structure of proton exchange membrane fuel cells (PEMFCs) plays a critical role in regulating reactant transport, heat dissipation, and electrochemical reactions. To address challenges commonly observed in conventional flow channels, such as non-uniform reactant distribution, insufficient liquid water management and limited output performance, three types of lattice flow fields were newly designed. Three-dimensional PEMFC models featuring both traditional parallel and lattice-type flow fields was established, and their output performance, oxygen transport resistance, oxygen molar concentration uniformity, oxygen distribution, and liquid water saturation were comparatively analyzed. Results show that, compared with the traditional parallel flow field, all three lattice designs exhibited improved performance, achieving a maximum increase of 24.74% in peak power density. The lattice flow fields also demonstrated significantly lower oxygen transport resistance, higher oxygen concentration uniformity, and enhanced internal oxygen distribution and liquid water management. These findings provides a promising direction for innovative PEMFC flow filed design.

      • 0+1
      • 1+1
      • 2+1
      • 3+1
      • 4+1
      • 5+1
      • 6+1
    • >Civil Engineering
    • Optimization of multi-stage bridge maintenance strategies based on sequential decision-making

      2026, 49(1):60-69. DOI: 10.11835/j.issn.1000-582X.2026.01.006

      Abstract (85) HTML (37) PDF 1.38 M (195) Comment (0) Favorites

      Abstract:To address the limitation of existing bridge maintenance optimization methods that fail to consider interactions between sequential decisions across the entire service life, this study proposes a multi-stage, two-level optimization framework grounded in sequential decision-making principles. The upper level model determines performance improvement goals for the maintenance sequence, while considering the influence of preceding decisions on subsequent maintenance policies. The lower-level model then identifies the optimal maintenance actions for each component at each stage, subject to the upper-level constraints. Case analysis shows that, while maintaining superior structural condition over the full life cycle, the proposed method reduces cumulative maintenance cost by 28.6% compared with the traditional strategies. Moreover, when the average deterioration rate of the performance condition index is below 1.425 per year, total life-cycle maintenance and rehabilitation cost can be further reduced by reducing the number of decision-making stages.

      • 0+1
      • 1+1
      • 2+1
      • 3+1
      • 4+1
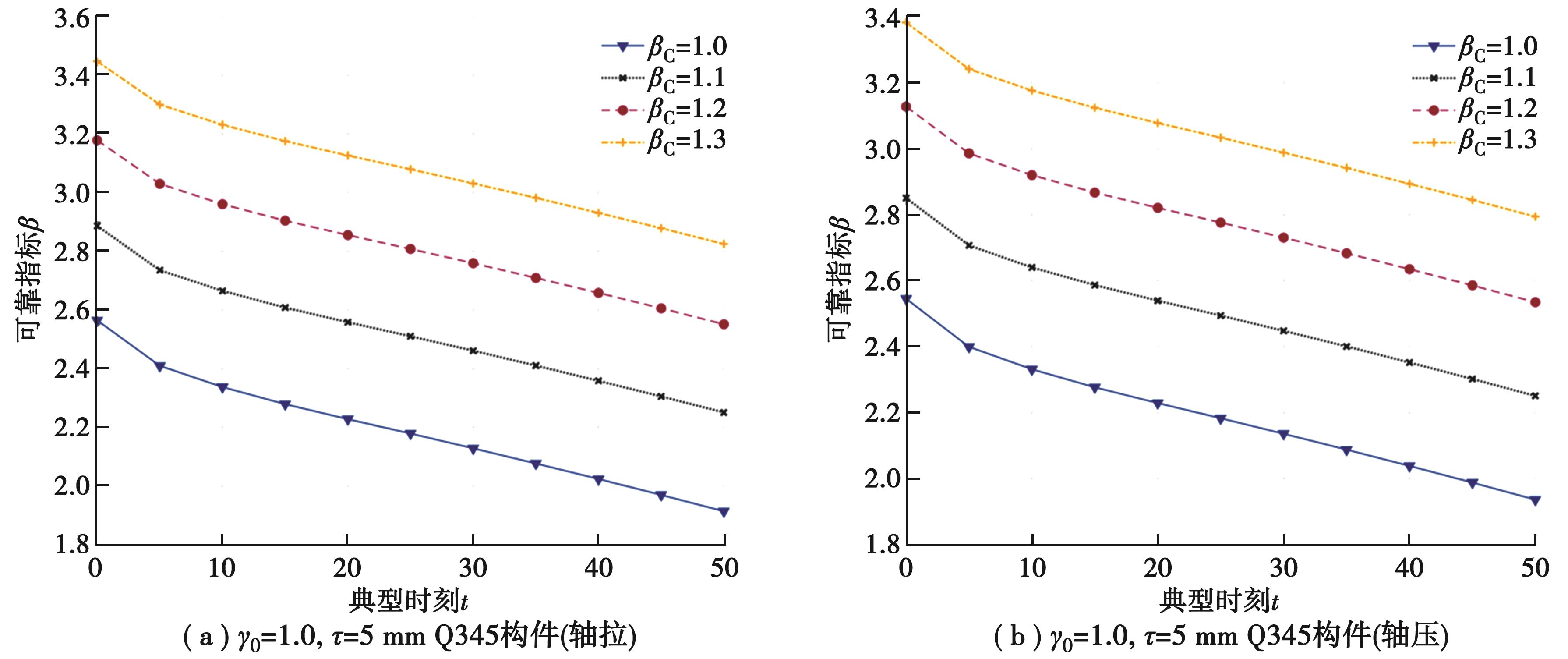
    • Time-dependent reliability analysis of service towers under wind load based on a standard formula

      2026, 49(1):70-81. DOI: 10.11835/j.issn.1000-582X.2024.052

      Abstract (80) HTML (25) PDF 2.41 M (595) Comment (0) Favorites

      Abstract:Conventional reliability assessments of transmission towers using standard calculation formulas usually neglect corrosion-induced performance degradation, and the recommended range of wind load effect ratios is typically subjective. To address these limitations, this study focuses on service towers and proposes a time-dependent reliability analysis method under wind load within the framework of the standard formula. First, a resistance degradation model considering corrosion effects is developed by integrating environmental conditions and material type into the corrosion rate. Second, the wind load effect ratio is used as a random variable and its statistical characteristics are obtained by distribution fitting using real tower monitoring data. Third, the equivalent normalization (JC) method is used to calculate the reliability index of the service tower based on the standard formula. Finally, the sensitivity of the reliability index to key parameters in the standard formula is quantitatively evaluated. Results show that the wind load effect ratio approximately obeys a generalized extreme value distribution and exhibits strong correlation with tower reliability. Moreover, member initial thickness, atmospheric corrosivity and wind load adjustment coefficients all significantly influence reliability evolution. Specifically, higher atmospheric corrosivity accelerates reliability degradation, while the influence of corrosion decreases as member initial thickness increases. Additionally, a higher wind load adjustment coefficient corresponds to a higher reliability index.

      • 0+1
      • 1+1
      • 2+1
      • 3+1
      • 4+1
      • 5+1
      • 6+1
      • 7+1
    • Research on distortional buckling performance of castellated beams

      2026, 49(1):82-93. DOI: 10.11835/j.issn.1000-582X.2026.01.008

      Abstract (62) HTML (33) PDF 4.28 M (199) Comment (0) Favorites

      Abstract:To investigate the distortional buckling performance of castellated beams, six castellated beam specimens were subjected to static load at the mid-span. The corresponding failure modes, load-vertical displacement responses, and web deformed shape curves of specimens were obtained. The results indicate that all six specimens failed in a distortional buckling mode. Specifically, the compressive flange of the entire specimens exhibited an S-shaped curve upon failure. Meanwhile, out-of-plane bulging deformation occurred in the web post section at the mid-span loading location. With the increase of castellated beam length, both the initial stiffness of the load-vertical displacement curve and the critical distortional buckling capacity reduced. Results of the distortional buckling strengths obtained from the experiments were further compared with the predications calculated using the modified method suggested by AS4100, AISC, and Nethercot and Trahair. The comparison results show that the predications of the AS4100 method and the Nethercot and Trahair approach are in good agreement with the test results.

      • 0+1
      • 1+1
      • 2+1
      • 3+1
      • 4+1
      • 5+1
      • 6+1
      • 7+1
    • Stability analysis of karst landslides based on cusp catastrophe theory

      2026, 49(1):94-105. DOI: 10.11835/j.issn.1000-582X.2026.01.009

      Abstract (80) HTML (31) PDF 1.95 M (198) Comment (0) Favorites

      Abstract:To investigate the stability evolution of mountainous slopes in karst regions, this study considers the deterioration of pipelines along the rear edge and sliding surface, as well as the weakening effects of water on structural planes. Taking planar sliding in karst mountains as the research object, two geological models and corresponding mechanical models are established, including unconnected and connected karst conduits. Based on cusp catastrophe theory, the stability coefficient (FOS) and critical stability coefficient (FOS*) of karst slopes under pipeline flow conditions are derived, and an energy-based criterion for abrupt instability is proposed. Results show that the displacement relationship between equilibrium and critical instability points can effectively determine the onset of slope failure. When conduits are unconnected, the presence of an additional stiffness coefficient k in the formulations of FOS and FOS* reveals that karst conduits influence slope stability. The stability coefficient is closely related to both k and pipeline deterioration coefficient m, showing their controlling roles in stability evolution. A case study of the Jiwei Mountain landslide verifies that the proposed energy criterion based on cusp catastrophe theory more accurately evaluates the stability of karst slopes with complex sliding surfaces, complementing the results of traditional limit equilibrium analysis.

      • 0+1
      • 1+1
      • 2+1
      • 3+1
      • 4+1
      • 5+1
    • Experimental study on the effect of calcium carbonate whiskers on the mechanical properties of aeolian sand concrete

      2026, 49(1):106-114. DOI: 10.11835/j.issn.1000-582X.2024.056

      Abstract (73) HTML (31) PDF 2.55 M (197) Comment (0) Favorites

      Abstract:To improve the utilization efficiency of aeolian sand, this study investigates the influence of varying calcium carbonate whisker volume fractions on the compressive and splitting tensile strengths of aeolian sand concrete. Scanning electron microscopy (SEM) and nuclear magnetic resonance (NMR) were employed to examine the interfacial bonding between whiskers and cement paste and to elucidate the strengthening mechanism. Based on the experimental results, a theoretical model of relationships among compressive strength, splitting tensile strength and curing age was established. The findings show that the incorporation of an appropriate amount of calcium carbonate whiskers significantly improves pore structure and mechanical performance. When the aeolian sand content is 60%, the optimal whisker volume fractions for compressive strength and splitting tensile strength are 0.15% and 0.20%, respectively. The proposed predictive model aligns well with the experimental data and effectively predicts strength development with age.

      • 0+1
      • 1+1
      • 2+1
      • 3+1
      • 4+1
      • 5+1
      • 6+1
      • 7+1

Current Issue


Volume , No.

Table of Contents

Archive

Volume

Issue

Most Read

Most Cited

Most Downloaded