目前我国城镇民用住房的结构形式中,钢筋混凝土(RC)框架结构形式仍占多数,然而,在2008年发生的汶川地震中,许多根据GB50011-2001版的抗震设计规范[1]设计得到的框架结构呈现“强梁弱柱”的破坏形态[2-3]。通过震害调查及数值分析表明[4-8],实际框架结构中现浇楼板的存在使得负弯矩作用的梁端不易出现塑性铰,结构的实际破坏形态呈现“强梁弱柱”状态。
关于现浇楼板对框架梁端抗弯能力的提高作用,目前的研究主要集中在现浇楼板内与梁肋平行的板筋上[9-16],而未对现浇楼板与框架梁柱整浇后的整体空间效应开展研究。对于板筋的参与作用,通过采用“有效翼缘宽度bf”的形式进行考虑较为简便、更方便应用于设计,但目前bf的取值方法仍处于研究阶段,尚未统一确定,在现有研究中,常见取6倍板厚范围内的板筋参与作用。文中除了考察与梁肋平行的板筋对框架梁端抗负弯矩能力产生的有利作用外,还考察现浇楼板的空间整体作用是否也对其产生有利影响;并考察有效翼缘宽度bf为6倍板厚是否全面。通过非线性有限元软件ABAQUS建立3个三维RC空间框架模型,进行非线性有限元数值分析,对比分析3个模型的结构变形、屈服机制、塑性铰开展状况及构件应力情况,初步明确现浇楼板对梁端抗负弯矩能力的有利影响不仅包括与梁肋平行的板筋参与作用,还包括与梁柱构件整浇后结构整体作用,为之后开展试验研究提供参考。
1 带楼板与不带楼板RC空间框架有限元模拟 1.1 有限元模拟方法算例验证为确定ABAQUS中的钢筋混凝土模拟方法的准确性,采用McNeice板[17]进行算例验证。McNeice板的几何尺寸及约束信息如图 1所示,板内配筋为单层双向钢筋、布置在离板面0.75倍厚度处,每向楼板配筋率均为0.85%。混凝土的弹性模量为28.6 GPa,泊松比为0.15,单轴受压应力情况如下:屈服应力为20.68 MPa、破坏应力为37.92 MPa,破坏时对应的塑性应变为1.5×10-3;钢筋弹性模量为200 GPa,屈服应力为345 MPa。采用与文献[5-6]相同的模拟方法进行McNeice板模拟,得到有限元与试验值的对比如图 2所示,可知,采用文中的模拟方法得到的模拟结果与试验结果吻合良好,因此采用该模拟方法建立RC空间框架模型进行弹塑性分析能够较真实反映结构的实际受力情况,分析结果可信。
|
图 1 McNeice板 |
|
图 2 中心荷载挠度曲线 |
为考察现浇楼板对框架梁端抗弯能力的加强作用,设计3个RC空间框架结构模型:模型1为按现行结构设计方法计算构件配筋的实际带现浇楼板RC空间框架;模型2为同样设计条件下、按现行结构设计方法的纯杆模型计算配筋得到的不带楼板RC空框架结构,楼板仅在内力计算时作为单、双向板传递荷载作用;模型3的RC空框架结构也采用纯杆模型进行设计,但考虑了楼板中6倍板厚(6hf)范围内、与梁肋平行的板筋参与作用,考虑方法为将该范围内的板筋等效到框架梁端矩形截面内。
3个模型均为2层、3×3跨,且符合实际设计要求,模型对应的轴网布置如图 3所示,侧向荷载按倒三角形荷载施加,F1:F2=1:2,施加方向图 4所示。取框架梁跨长4.0 m,层高3.0 m,截面尺寸200 mm×400 mm;板厚100 mm;柱截面尺寸为300 mm×300 mm。设计荷载按现行荷载规范[18]选取:楼面均布永久荷载3.5 kN/m2和均布活荷载2.0 kN/m2;墙载3.6 kN/m;2层柱顶施加905 kN的轴压力,使得模型底层中柱轴压比为0.9。各模型配筋情况如下:模型1板底配筋为双向8@150、板面配8@200钢筋。模型1、2的框架梁矩形截面内底部、顶部纵筋分别采用2ϕ14;模型3将楼板6hf范围内与梁肋平行的板筋等效到框架梁端的矩形截面内,底部、顶部纵筋分别为4ϕ14和2ϕ14。3个模型的柱内配筋均为4ϕ16,梁柱非加密区箍筋均为ϕ8@200,加密区箍筋为ϕ8@100。
|
图 3 轴网布置图 |
|
图 4 侧向荷载施加示意图 |
在ABAQUS中,为清楚考察框架结构中混凝土和钢筋在受力过程中的应力应变变化情况,将混凝土和钢筋作为不同单元来处理,即采用分离式的有限元模型进行模拟,模拟过程中假定钢筋和混凝土之间粘结良好、不出现相对滑移,混凝土与钢筋之间通过EMBEDDED进行连接:混凝土采用C40,通过八节点减缩积分实体单元C3D8R进行模拟,本构采用ABAQUS中的采用损伤塑性模型进行描述;受力筋采用HRB335、箍筋采用HPB300,均通过ABAQUS中的三维桁架线性单元T3D2进行模拟,本构采用双斜线模型。混凝土和钢筋的本构参数取值均根据现行《混凝土结构设计规范》[19]选取。根据模型的对称性,采用模型的1/2进行模拟,详细模拟方法见文献[5-6]。
2 模拟结果分析 2.1 结构变形及屈服机制给出3个模型达到1/50首层层间位移角时的模型变形情况(将变形放大5倍以便观察)如图 5所示。由图 5可直观看出,模型1的结构屈服形态与图 6(a)的柱铰机制一致,底层框架柱顶位置出现塑性铰、二层框架发生整体位移;而属于空框架的模型2和模型3表现出的结构屈服形态则与图 6(b)的梁铰机制一致,底层框架的梁端产生了塑性铰,二层框架没有发生整体位移现象,模型2与模型3的屈服形态基本类似。由此可见,在同等设计条件下,带现浇楼板的RC空间框架结构比空框架结构更难实现“强柱弱梁”;目前设计过程中采用纯杆模型计算结构内力,没有考虑楼板对框架梁端抗弯的有利影响,因而出现了震害中发现的“强梁弱柱”实际破坏形态与“强柱弱梁”设计准则之间的矛盾。因此,现浇楼板对结构的屈服机制影响不容忽视,当采用纯杆模型进行结构内力计算时应通过一定的方法考虑楼板作用,才能真实反映带楼板RC框架结构的受力情况。
|
图 5 结构变形图 |
|
图 6 框架结构屈服机制示意图 |
当结构超过1/50层间位移角(首层层间侧移为60 mm)时,结构裂缝进一步开展。给出模型达到约为1/30层间位移角(首层层间侧移为102 mm)时的混凝土受拉损伤情况如图 7所示,其中同为空框架的模型3与模型2的损伤情况类似,受拉损伤值越大说明结构受拉开裂越明显。从图 7(a)可以看出,与框架梁相连的楼板也有损伤,且越靠近框架梁梁端位置的楼板处损伤值越大,表明靠近框架梁端的楼板参与作用比远离框架梁端的楼板大。
|
图 7 混凝土受拉损伤分布图 |
给出3个模型达到1/50层间位移角时首层框架梁端负弯矩处受拉损伤值:模型1在图 1中A榀平面框架①-②跨处为0.975、②-③跨和③-④跨为0.888;模型2和模型3在三跨均为0.990。结合3个模型的受拉损伤情况,比较三者的受拉损伤值可知,现浇楼板的存在使得模型一的框架梁端受拉损伤值减小;而同为空框架的模型2和模型3的框架梁端受拉损伤值一样,由此可见,即使考虑了6倍板厚范围内的板筋参与作用,依然未能全面地考虑现浇楼板对框架梁端抗弯能力的加强作用,楼板与梁柱构件整浇后的结构整体效应亦对框架梁端的抗弯能力起了一定的加强作用。
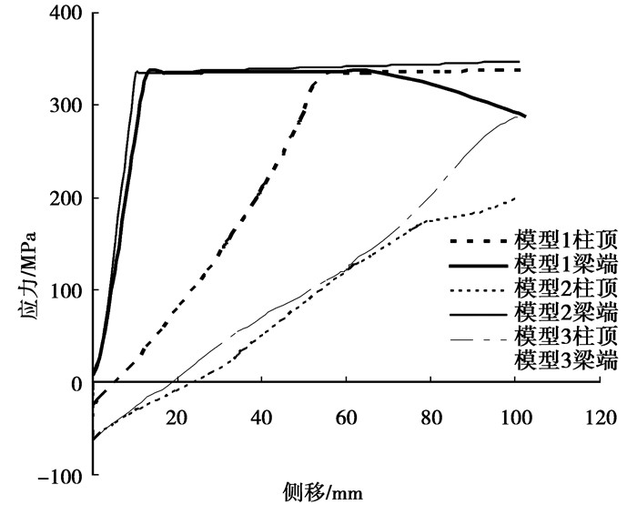
给出3个模型在A榀框架和B榀框架①-②跨的负弯矩作用处的梁端和柱顶钢筋应力对比如图 8和图 9所示,图中侧移为0时显示不等于零的梁柱钢筋应力值由竖向荷载(包括构件自重和设计荷载)产生。由图可知,同一侧移下,带楼板的模型1中梁柱应力差距比空框架的模型2、模型3小,当侧移超过60 mm时,模型1的梁钢筋应力减小,说明在超过1/50层间位移角后结构的内力重分布明显,塑性铰先在柱顶产生;而模型2、3无此情况发生,且柱顶应力始终小于梁端应力,因此在模型2、3中塑性铰先在梁端产生。由于现浇楼板的存在,带楼板框架结构与空框架之间的屈服机制出现了很大的差别。
|
图 8 A榀第一跨负弯矩处梁柱钢筋应力 |
|
图 9 B榀第一跨负弯矩处梁柱钢筋应力 |
另外,从图 8、图 9可知,在达到60 mm首层层间侧移之前模型3与模型1的梁端应力几乎完全相同;当侧移超过60 mm后,模型1的梁端钢筋应力减小,而由于没有楼板的存在,模型2的梁端应力未减小且缓慢增大。模型2与模型3的梁端应力相差不大,由于模型3梁内配筋考虑了6hf内的板筋参与作用,因此模型2的梁端应力比模型3稍早进入屈服阶段。相比于梁端钢筋应力类似的情况,模型2与模型3的柱顶应力情况相差较大,模型2中的柱顶应力始终小于模型3,且在首层层间侧移为102 mm时差别更大,由此可见,模型2的柱端更不容易出现塑性铰。通过考察模型2与模型3之间应力情况可知,模型2比模型1和模型3更易出现“强柱弱梁”。
2.3 板筋应力情况给出模型1中现浇楼板内、与梁肋平行的板筋在不同首层层间侧移(5、20、40、60、102 mm)下沿着楼板宽度方向的应力分布情况如图 10~图 13所示。从图可知,无论板面还是板底钢筋,其应力都随着侧移的增加而增大,并且从楼板宽度的分布上可看出板筋参与的数量随着侧移的增加也有所增加,因此有效翼缘宽度取值非某一固定值,而是会随着侧移值的增大而增大。当板面钢筋和板底钢筋在楼板宽度达到1 000 mm后应力随侧移增加而增加的幅度减小、曲线变平缓。由此可见,对于模型一的结构情况,在超过60 mm的侧移后,能参与梁端抗弯的有效翼缘宽度可取为1 000 mm,大于6倍板厚600 mm。因此,固定采用6hf进行估算现浇楼板的参与作用不完全精确。
|
图 10 A榀框架板面钢筋沿楼板宽度方向的应力分布 |
|
图 11 B榀框架板面钢筋沿楼板宽度方向的应力分布 |
|
图 12 A榀框架板底钢筋沿楼板宽度方向的应力分布 |
|
图 13 B榀框架板底钢筋沿楼板宽度方向的应力分布 |
通过对上述3个三维框架结构模型的仿真模拟结果在结构变形及屈服机制、塑性铰开展情况方面的比较和模型1在板筋应力情况上的分析表明,模型1代表的实际框架结构表现为“强梁弱柱”的屈服机制,较难出现梁端塑性铰,实现耗能目的;模型2代表的现有设计方法所采用的框架设计模型表现为“强柱弱梁”的屈服机制,较易出现梁端塑性铰,通过两者的比较可知,实际框架结构与现有设计方法采用的空框架力学模型在破坏形态上存在矛盾,在现实中表现为实际震害的“强梁弱柱”与“强柱弱梁”设计准则之间的矛盾。模型3代表的模型,通过6倍板厚的有效翼缘形式考虑部分板筋参与作用,通过与模型1的模拟结果比较表明,模型3并未能准确表达实际框架结构的受力情况,6倍板厚亦尚未能完全概括板筋框架梁端抗弯能力的参与作用。
由此可见,楼板的存在和结构整体效应对RC框架结构的屈服机制存在很大的影响。因此,可结合该有限元数值仿真模拟情况开展试验研究,进一步明确现浇楼板与框架梁柱整浇后的结构整体空间效应对RC框架结构屈服机制影响规律。
3 结论通过建立3个具有代表性的RC空间框架模型,进行非线性有限元仿真模拟,考察了现浇楼板对结构屈服机制和塑性铰在梁柱构件中出现顺序的影响,根据模拟数据和理论分析情况可得以下结论:
1) 带楼板RC空间框架结构的实际屈服机制与设计时采用纯杆模型计算得到的空框架模型不同,实际结构屈服机制呈现柱铰机制,而空框架呈现梁铰机制。
2) 考虑了6倍板厚范围内的板筋参与作用得到的设计模型未能全面概括带楼板结构的实际破坏特征。整浇楼板对梁端抗弯的贡献不止在于与梁肋平行的板筋参与作用,还在于与梁柱构件整浇后结构整体空间效应。由此可见,有必要开展试验研究,进一步明确结构整体效应对RC框架结构屈服机制影响规律,从而指导实际框架结构设计,更好地实现“强柱弱梁”破坏形态。
3) 由于随着侧移的增加,参与梁端抗弯的板筋随之增加,因此考虑楼板参与梁端抗弯作用的有效翼缘宽度会随侧移值的增大而增大,若将值取为6倍板厚等某一固定值不甚全面,建议结合结构整体效应、侧移等因素综合考虑。
| [1] | 中华人名共和国住房和城乡建设部. GB50011-2001建筑抗震设计规范[S]. 北京: 中国建筑工业出版社, 2008. |
| [2] |
王亚勇.
汶川地震建筑震害启示——抗震概念设计[J]. 建筑结构学报, 2008, 29(4): 20–25.
WANG Yayong. Lessons learnt from building damages in the Wenchuan earthquake——seismic concept design of buildings[J]. Journal of Building Structures, 2008, 29(4): 20–25. (in Chinese) |
| [3] |
苏幼坡, 张玉敏, 王绍杰, 等.
从汶川地震看提高建筑结构抗倒塌能力的必要性和可行性[J]. 土木工程学报, 2009, 42(5): 25–32.
SU Youpo, ZHANG Yumin, WANG Shaojie, et al. The necessity and feasibility of enhancing seismic design of structures based on the Wenchuan earthquake[J]. China Civil Engineering Journal, 2009, 42(5): 25–32. (in Chinese) |
| [4] |
杨红, 朱振华, 白绍良.
双向地震作用下我国"强柱弱梁"措施的有效性评估[J]. 土木工程学报, 2011, 44(1): 58–64.
YANG Hong, ZHU Zhenhua, BAI Shaoliang. An evaluation of the effectiveness of the Chinese strong column weak beam measure under bi-directional horizontal seismic excitations[J]. China Civil Engineering Journal, 2011, 44(1): 58–64. (in Chinese) |
| [5] |
王素裹, 韩小雷, 季静.
现浇楼板对RC框架结构破坏形式的影响分析[J]. 土木建筑与环境工程, 2009, 31(1): 66–71.
WANG Suguo, HAN Xiaolei, JI Jing. The effect of slabs on the failure mode of reinforced concrete frame structures[J]. Journal of Civil, Architectural & Environmental Engineering, 2009, 31(1): 66–71. (in Chinese) |
| [6] |
王素裹, 韩小雷, 季静, 等.
轴压比对RC框架实现"强柱弱梁"的影响研究[J]. 世界地震工程, 2010, 26(3): 96–101.
WANG Suguo, HAN Xiaolei, JI Jing, et al. The influence of axial compression ratios on the strong-column and weak-beam actualization of RC frames[J]. World Earthquake Engineering, 2010, 26(3): 96–101. (in Chinese) |
| [7] |
叶列平, 马千里, 缪志伟.
钢筋混凝土框架结构强柱弱梁设计方法的研究[J]. 工程力学, 2010, 27(12): 102–113.
YE Lieping, MA Qianli, MIAO Zhiwei. Study on weak beam -strong column design method of RC frame structures[J]. Engineering Mechanics, 2010, 27(12): 102–113. (in Chinese) |
| [8] |
陈明政, 黄音, 陈曦, 等.
非强柱弱梁钢筋混凝土框架试验及有限元分析[J]. 重庆大学学报:自然科学版, 2007, 30(6): 109–113.
CHEN Mingzhen, HUANG Yin, CHEN Xi. Test and finite analysis to non-strong column and weak beam concrete frames[J]. Journal of Chongqing University:Natural Science Edition, 2007, 30(6): 109–113. (in Chinese) |
| [9] | DURRANI A J, WIGHT J K. Earthquake resistance of reinforced concrete interior connections including a floor slab[J]. Structural Journal, 1987, 84(5): 400–406. |
| [10] | FRENCH C, BOROOJERDI A. Contribution of RC floor slabs in resisting lateral loads[J]. Journal of Structural Engineering, 1989, 115(1): 1–18. DOI:10.1061/(ASCE)0733-9445(1989)115:1(1) |
| [11] | SHAHROOZ B, MOEHLE J. Seismic response and design of setback buildings[J]. Journal of Structural Engineering, 1990, 116(5): 1423–1439. DOI:10.1061/(ASCE)0733-9445(1990)116:5(1423) |
| [12] | QI X, PANTAZOPOULOU S. Response of RC frames under lateral loads[J]. Journal of Structural Engineering, 1991, 117(4): 1167–1188. DOI:10.1061/(ASCE)0733-9445(1991)117:4(1167) |
| [13] |
吴勇, 雷汲川, 杨红, 等.
板筋参与梁端负弯矩承载力问题的探讨[J]. 重庆建筑大学学报, 2002, 24(3): 33–37.
WU Yong, LEI Jichuan, YANG Hong, et al. Discussion on negative flexural strength of beams including slabs[J]. Journal of Chongqing Jianzhu University, 2002, 24(3): 33–37. (in Chinese) |
| [14] | PANTAZOPOULOU S J, FRENCH C W. Slab participation in practical earthquake design of reinforced concrete frame[J]. ACI Structural Journal, 2001, 98(4): 479–489. |
| [15] | CANBOLAT B B, WIGHT J K. Experimental investigation on seismic behavior of eccentric reinforced concrete beam-column-slab connections[J]. Structural Journal, 2008, 105(2): 154–162. |
| [16] |
杨小卫, 王亚勇.
考虑板筋参与梁端承载力贡献的设计方法及抗震性能研究[J]. 建筑科学, 2011, 27(7): 11–16.
YANG Xiaowei, WANG Yayong. Study on design method and seismic performance in consideration of the contribution of rebar in slabs to the bearing capacity of beams[J]. Building Science, 2011, 27(7): 11–16. (in Chinese) |
| [17] | McNeice G M. Elastic-Plastic bending analysis of plates and slabs by the finite element method[D]. London:London University, 1967. http://article.sapub.org/10.5923.j.jce.20150506.06.html |
| [18] | 中华人民共和国建设部. GB50009-2001建筑结构荷载规范[S]. 北京: 中国建筑工业出版社, 2006. |
| [19] | 中华人名共和国住房和城乡建设部, 中华人民共和国国家质量监督检验检疫总局. GB50010-2010混凝土结构设计规范[S]. 北京: 中国建筑工业出版社, 2010. |
2013, Vol. 36

