2. 中南大学 能源科学与工程学院, 长沙 410083
2. School of Energy Science and Engineering, Central South University, Changsha 410083, China
钢铁工业的副产煤气(高炉煤气、焦炉煤气及混合煤气等)约占钢铁企业总能耗的12%,这些副产煤气都是良好的二次能源[1]以及有些钢铁集团长期有富余氧气,没有得到合理利用。当这些煤气通入到锅炉中进行燃烧,导致锅炉着火和燃烧不稳定,对锅炉的安全运行有着重要影响[2]。其主要原因是:煤气成分和流量波动较大,导致炉内温度、燃料着火及火焰传播速度不稳定。而某些钢铁集团长期有富余氧气,没有得到合理利用。为进一步改善低负荷稳定燃烧,改善锅炉变工况运行性能,笔者采用燃气锅炉进行富氧燃烧。国内外对富氧燃烧主要研究对象是燃煤锅炉,许多研究者主要采用锅炉富氧燃烧[3-4]及煤粉富氧试验[5],但对富氧燃气锅炉燃烧的理论研究和定量分析鲜有报道。笔者以某钢厂220t/h燃气锅炉为例,全面详细地分析富氧燃烧对锅炉性能的影响。
1 富氧燃烧的热力学模型富氧燃烧是通过提高助燃空气中的氧气比例强化燃烧,达到高效节能的目的[6]。
图 1给出了富氧燃烧的热力学模型,将炉膛分为3部分,其中Ⅱ区为富氧燃烧器区域。根据炉膛换热分段计算方法[7-9]及稳态工况下炉内换热的能量平衡方程,可导出
|
图 1 富氧燃烧的热力学模型 |
| $ \begin{array}{*{20}{c}} {\sum\limits_{i = 1}^3 {{\beta _i}\left[ {{B_{\rm{j}}}\left( {{Q_{\rm{r}}} + {Q_{\rm{k}}} + {Q_{\rm{1}}}} \right) + \left( {{V_{\rm{y}}} + 4{V_{{{\rm{o}}_2}}}} \right){C_{{\rm{pj}}}}\left( {{\theta _{i - 1}} - {\theta _i}} \right)} \right]} = }\\ {D\left[ {{c_{\rm{w}}}\left( {{t_{{\rm{sw}}}} - {t_{{\rm{jk}}}}} \right) + {r_1}} \right],} \end{array} $ | (1) |
式中:βi为燃料在i区段的燃尽度;Bj为每小时燃料消耗量;Qr为燃料低位发热量;Vy为不通纯氧时1 m3燃料产生的烟气容积;VO2为1 m3燃料相应温度所对应的纯氧量;Cpj为烟气在i区段的比热容;θi为烟气在i区段的出口温度;Qk为空气空气带入炉膛热量;Ql为燃料带入炉膛热量;D为饱和蒸汽流量;cw为水的比热容;tjk,tsw分别为水冷壁进口水温和饱和水温;r为水的汽化潜热。
3区段中T1,T3与T2之间存在着强烈的相关性,可以表示为T2函数,即T3=f3(T2),T1=f1(T2)[9-10];当式(1) 右边锅炉负荷D下降时,这使得炉内各区段出口烟温θi也会随之降低,这意味着锅炉负荷下降,将导致炉内燃烧不稳定;但是,锅炉负荷下降时,如能增加通入炉膛内富氧量,减少炉内烟气生成量,可减弱锅炉负荷下降对炉温的影响,提高燃烧器区段内的烟气温度,从而有利于燃气在低负荷燃烧的稳定性。
2 富氧燃烧对锅炉性能的影响 2.1 对烟温的影响 2.1.1 对炉膛出口烟温的影响图 2为燃用高炉煤气用热力计算标准方法[11-12]求得的富氧燃烧对某台220 t/h燃气锅炉燃料绝热燃烧温度、炉膛出口烟温与炉内吸热量。其中富氧燃烧对炉膛出口排烟温度T′的影响,可由式(2) 进行定性分析。而式(2) 是由热平衡方程[9]导出:
|
图 2 富氧燃烧对220t/h高炉煤气锅炉内绝热燃烧温度、炉膛出口烟温及炉内吸热量的影响 |
| $ \varphi {B_{\rm{j}}}\left[ {{Q_1} - \left( {{V_{\rm{y}}} + 4{V_{{{\rm{o}}_2}}}} \right){C_{{\rm{pj}}}}T'} \right] = F\psi \alpha {\sigma _0}T_{{\rm{hy}}}^4, $ | (2) |
式中:φ为保温系数;Bj为计算燃料消耗量;Cpj为平均比热容;Vy为不通纯氧时1 m3燃料产生的烟气容积;VO2为1 m3燃料相应温度所对应的纯氧量;Q1为有效放热量;T′为炉膛出口烟温;F为炉壁面积;ψ为炉膛水冷壁热有效系数;α为炉膛黑度;σ0为波尔兹曼常数;Thy为火焰的平均温度。
由式(1) 可知,燃料量和蒸汽流量不呈正比例变化,为研究方便,引入燃料量百分比的概念:正常燃烧方式下,锅炉额定负荷时所需的燃料量称为百分百燃料量,记为Bj100%。
由图 2(a)可知,燃料的绝热燃烧温度随着助燃剂中氧气浓度的增大而增大,当助燃剂中氧浓度提高到30%时,绝热燃烧温度升高了124 ℃左右;由图 2(b)可知,在燃料量减少时,随这助燃剂中氧气浓度的增加,炉膛排烟温度呈上升趋势,并且上升趋势减缓;当燃料比低于70%时,炉膛排烟温度随着富氧量的增加呈现下降的趋势。若燃料为高热值煤气,这种趋势越明显。
由式(2) 可知引起炉膛出口烟温变化有两方面原因:其一,气体燃料进行富氧燃烧时,炉内烟气成分发生变化,使得水蒸气和二氧化碳在烟气中的比例增大,辐射换热系数增大,炉内辐射吸收量及炉膛黑度α增大,其变化过程如图 2(e)所示。其二,随着富氧量VO2的增加,使得炉内总烟气量减少。由式(2) 可知,烟气量和炉膛黑度对炉膛出口烟温都有影响,是造成图 2(b)变化趋势的主要原因:当助燃剂中氧气比例为21%~25%时,炉膛黑度与烟气量对炉膛出口烟温影响相比,炉膛黑度影响大一些,此时炉膛出口烟温表现为增大。随着富氧含量的增加,烟气量对炉膛出口烟温的影响比炉膛黑度大一些,此时炉膛出口烟温表现为下降的趋势。
从图 2(c)可知,当通入富氧量一定时,随着燃料比的增大,炉膛出口烟温变化越明显。当燃料比下降时,可以通过调节助燃剂中氧气含量维持炉膛出口烟温不变,这意味着富氧燃烧可以拓宽维持额定汽温在一定的燃料量范围,从而能够节约一定的燃料量。
从图 2(d)可知,当炉膛通入不同燃料量时,随着助燃剂中氧气含量的增大,炉膛辐射吸热量逐渐增大,也使得锅炉蒸汽负荷也会有不同程度的增加。
2.1.2 对炉内平均烟温的影响假定在不同负荷下通入不同比例的富氧时,炉膛黑度及热有效系数保持不变,根据炉内换热的零维模型和能量平衡方程,可得出锅炉不同工况下炉内烟气的平均温度。
| $ {Q_{\rm{f}}} = {\alpha _0}\sigma \psi F\left( {\theta _{\rm{p}}^4 - \theta _{\rm{b}}^4} \right) = {B_{\rm{j}}}\left( {{Q_{\rm{r}}} + {Q_{\rm{k}}} + {Q_{\rm{1}}}} \right) - \left( {{V_{\rm{y}}} - 4{V_{{{\rm{o}}_2}}}} \right){C_{{\rm{pj}}}}\theta , $ | (3) |
式中:α0为炉膛黑度;σ=5.67×10-11 kW/(m2·K);ψ为热有效系数;F为炉墙总面积;θp为炉内平均温度;θb为水冷管壁面温度,其值等于管中工作压力下对应的水的饱和温度加上50 ℃;Bj为每小时燃料消耗量;Qr为燃料低位发热量;Vy为不通纯氧时1 m3燃料产生的烟气容积;VO2为1 m3燃料相应温度所对应的纯氧量;Cpj为烟气在i区段的比热容;θ为炉膛出口烟温。图 3为用式(2) 和炉膛零维传热计算对一台200 t/h燃气炉的计算结果,该图表明,当炉膛通入富氧后,炉内平均烟温上升有减缓的趋势,燃料比越小这种趋势越明显。在燃料量一定情况下,当通入不同比例的富氧时,使得炉内平均烟温上升70~110 ℃。
|
图 3 富氧燃烧对平均烟温的影响 |
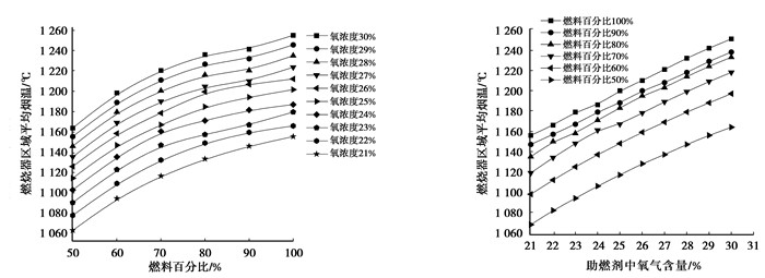
图 4为通过炉内一维换热模型进行分段计算[12],由图可知,在不同燃料比下,随着助燃剂中氧气浓度的增大,燃烧器处烟温增大。在燃料量一定的情况下,随着富氧量的增大,使得燃烧器处烟温上升约100 ℃。可见,通过富氧燃烧可以提高锅炉低负荷稳定燃烧。
|
图 4 富氧燃烧对燃烧器处烟温的影响 |
根据着火热理论,只要入炉燃气从外界吸收的热量大于或等于其着火所需的热量,就能稳定着火燃烧[13-14]。笔者对焦炉煤气的着火及稳定燃烧作近似的定量分析,当通入富氧时,由于燃气着火温度Tm及特定温度下焦炉煤气比热Cm变化不大,可假设燃气着火温度Tm及焦炉煤气比热Cm不变。可用下式表示:
| $ {Q_{{\rm{zh}}}} = \left( {{V^0} - 4{V_{{{\rm{o}}_2}}}} \right)\alpha C\left( {{T_{{\rm{zh}}}} - {T^0}} \right) + {C_{\rm{m}}}\left( {{T_{{\rm{zh}}}} - {T_{\rm{m}}}} \right), $ | (4) |
式中:V0为不同纯氧时1 m3气体燃料所对应的理论空气量;VO2为1 m3燃料所对应的纯氧量;C为空气比热;α为燃烧器过量空气系数(α=1.05);T0为空气进入炉膛的温度;Cm为焦炉煤气比热;Tm为焦炉煤气进入炉膛的温度;Qzh为1 m3燃料着火所需要的着火热。
图 5是由式(4) 求得,由图可知,随着助燃剂中氧气含量的增大,燃料着火所需的着火热逐渐降低且下降趋势逐渐减缓。可见,随着富氧量的增大,气体燃料着火热的降低,其对着火更加有利。
|
图 5 富氧燃烧对着火热的影响 |
气体燃料燃烧火焰稳定性主要指着火后不出现脱火和回火现象。如果火焰传播速度与气流速度相等,火焰就能保持稳定。而锅炉燃烧器出口气流一般已超过脱火极限,因此,若要在一定程度上保持火焰燃烧稳定性,就需提高火焰传播速度[15-16]。
层流时火焰传播速度,称为正常火焰传播速度,按热力理论可导出近似计算公式[12, 17]为
| $ W = \frac{{\sqrt {2\lambda Q{W_{{\rm{hf}}}}\left( {{T_{\rm{r}}} - {T_{{\rm{zh}}}}} \right)} }}{{{\rho _0}{C_{\rm{p}}}\left( {{T_{\rm{r}}} - {T_0}} \right)}}, $ | (5) |
式中:Q为单位质量的可燃混合物的发热量;λ、ρ0、Cp分别为导热系数、初始密度、平均比热;Whf为化学反应速度;T0为初始温度;Tzh为经预热和感应期达到的温度;Tr为最终达到的绝热燃烧温度。
紊流火焰的传播速率与层流火焰呈正比例关系,其经验公式如下:
| $ W' = 0.18W{d^{0.26}}{{\mathop{\rm Re}\nolimits} ^{0.24}}, $ | (6) |
式中:d为燃烧器直径;Re为雷诺数。
图 6为以焦炉煤气为锅炉燃料计算层流火焰传播速度,由图 6可知,随着助燃剂中氧气含量的增大,火焰传播速度也增大。也就是说,富氧燃烧提高了火焰燃烧的稳定性。采用曲线拟合的方法得到如下函数式:
|
图 6 富氧燃烧对火焰传播速度的影响 |
| $ W = 0.71246 + 0.068\varphi \left( {{{\rm{O}}_2}} \right) - 0.00376\varphi \left( {{{\rm{O}}_2}} \right), $ | (7) |
式中:φ(O2)为助燃剂中氧气体积分数。
2.2.3 对烟气在炉内滞留时间的影响在额定不同燃料量Bjn,向炉膛内通入不同富氧时炉膛任一截面处烟气的平均上升速度Wn可用下式描述:
| $ {W_{\rm{n}}} = \frac{{{\alpha _{\rm{n}}}{B_{{\rm{jn}}}}\left( {{V_{{\rm{yn}}}} - 4{V_{{{\rm{o}}_2}}}} \right)}}{{3600{F_{\rm{y}}}}}\frac{{{T_{{\rm{gn}}}} + 273}}{{273}}, $ | (8) |
式中:αn为燃料量为Bjn时的过量空气系数;Vyn为1 m3气体燃料在不同富氧情况下完全燃烧产生的理论烟气量;VO2为在对应温度下1 m3燃料的通入的富氧量;Fy为炉膛横截面积;Tgn为额定燃料时炉膛任一断面上烟气的平均温度;温度采用炉内一维计算的数值。由于烟气在炉内任一断面上烟气的平均温度不用,烟气在炉内的停留时间τ可用下式描述:
| $ \tau = \int_0^s {\frac{{{\rm{d}}y}}{{{W_{\rm{n}}}}}} , $ | (9) |
式中:s为燃料在着火点至炉膛出口的轨迹的长度,其值利用炉膛在不同高度下进行分段计算。温度采用炉内一维计算的数值。
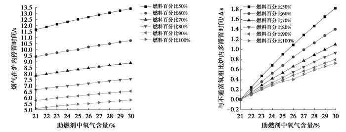
由图 7(a)可知,在相同的燃料比下,随着助燃剂中氧气含量的增加,烟气在炉内停留时间逐渐增大;在同一富氧含量下,燃料比越小,其烟气在炉内的停留时间越长。图 7(b)表示为当燃料比一定时,与不通富氧相比,烟气在炉内的停留时间随助燃剂中氧气含量增加的变化。由图可知,随着富氧含量的增大,烟气在炉内的停留时间也增大,当燃料比越低时,烟气在炉内的停留时间变化越明显。
|
图 7 富氧燃烧对烟气在炉内停留时间的影响 |
气体燃料的锅炉热效率主要取决于排烟热损失和化学不完全燃烧损失[18-19]。图 8为在某一燃气锅炉测得的富氧对锅炉热效率的影响。图 8表明:同一燃料量下,随着富氧量的增加,锅炉热效率增大,其原因是:当炉膛通入富氧时,助燃剂中O2浓度提高,生成的烟气量减少,这样使得烟气在炉内的停留时间延长,导致炉内辐射传热量提高,锅炉化学不完全燃烧损失及排烟热损失都减小,也使得在改善锅炉整体性能的同时,锅炉效率得以极大提高。
|
图 8 不同富氧量对锅炉热效率的影响 |
1) 富氧量的增加,烟气成分发生变化,炉内辐射吸热量增大,燃烧器处烟温增加,使得富氧燃烧能较好地改善锅炉低燃料量稳燃能力。
2) 富氧量的增加,使得燃料的燃烧稳定性提高,烟气在炉内的停留时间延长及锅炉热效率提高。
| [1] |
王春波, 魏建国, 盛金贵, 等.
300MW煤粉/高炉煤气混燃锅炉燃烧特性数值模拟[J]. 中国电机工程学报, 2012, 32(14): 14–19.
WANG Chunbo, WEI Jianguo, SHENG Jingui, et al. Numerical simulation of combustion characteristics of a 300 MW Blast Furnace Gas/Pulverized coal combined combustion Boiler[J]. Proceedings of the CSEE, 2012, 32(14): 14–19. (in Chinese) |
| [2] |
朱宇翔, 秦晓东, 陆方.
全燃高炉煤气锅炉燃烧稳定性影响因素分析[J]. 工业锅炉, 2007(5): 15–17.
ZHU Yuxian, QING Xiaodong, LU Fa. Analysis of the influential factors to the combustion stability of boiler of pure firing Blaster Furnace Gas[J]. Research and Industrial Boiler, 2007(5): 15–17. (in Chinese) |
| [3] |
米翠丽, 阎维平, 李皓宇.
富氧燃烧方式下烟气对受热面传热特性影响的数值研究[J]. 电站系统工程, 2009, 25(4): 23–26.
MI Cuili, YAN Weiping, LI Haoyu. Numerical study on heat transfer characteristics of boiler heating surface under oxyfuel combustion[J]. Power System Engineering, 2009, 25(4): 23–26. (in Chinese) |
| [4] |
杨飞, 张杨, 李晓曦, 等.
电厂天然气锅炉富氧燃烧数值模拟[J]. 北京交通大学学报, 2012, 36(6): 92–96.
YANG Fei, ZH ANG Yang, LI Xiaoxi, et al. Study on oxygen-enriched for gas boiler in power plants by numerical simulation[J]. Journal of Beijing Jiaotong University, 2012, 36(6): 92–96. (in Chinese) |
| [5] |
唐强, 王丽朋, 李建雄, 等.
O2/CO2气氛下煤粉燃烧热重分析及动力学特性[J]. 重庆大学学报, 2009, 32(12): 1140–1145.
TANG Qiang, WANG Lipeng, LI Jianxiong, et al. Thermogravimetry analysis and kinetic characteristics of pulverized coal in O2/CO2atmosphere[J]. Journal of Chongqing University, 2009, 32(12): 1140–1145. (in Chinese) |
| [6] |
胡周海, 冯良, 张冬霞, 等.
富氧燃烧及其热力学特性[J]. 工业炉, 2009, 31(3): 9–14.
HU Zhouhai, FENG Liang, ZHANG Dongxia, et al. Oxygen-enhanced combustion and its thermodynamic properties[J]. Industrial Furnace, 2009, 31(3): 9–14. (in Chinese) |
| [7] |
周怀春, 韩才元.
四角切圆锅炉燃烧过程稳定性动态分析模拟研究:-Ⅰ.模型的建立[J]. 中国电机工程学报, 1994, 14(2): 20–24.
ZHOU Huaichun, HAN Caiyuan. Simulation study on dynamie analysis of stability of tangential combustion Process Part Ⅰ Establishment of model[J]. Proceedings of The CSEE, 1994, 14(2): 20–24. (in Chinese) |
| [8] |
周怀春, 韩才元.
四角切圆锅炉燃烧过程稳定性动态分析模拟研究:-Ⅱ.模型的建立[J]. 中国电机工程学报, 1994, 14(2): 25–30.
ZHOU Huaichun, HAN Caiyuan. Simulation study on dynamie analysis of stability of tangential combustion Process Part Ⅱ results and analysis[J]. Proceedings of The CSEE, 1994, 14(2): 25–30. (in Chinese) |
| [9] |
陈冬林, 郑楚光.
准恒温燃烧及其燃煤锅炉性能的影响[J]. 华中科技大学学报:自然科学版, 2012, 30(1): 96–99.
CHEN Donglin, ZHENG Chuguang. Quasi-constant temperature combustion & its effects on performances of coal-fired boiler[J]. Journal of Huazhong University of Science & Technology:Nature Science Edition, 2012, 30(1): 96–99. (in Chinese) |
| [10] | Chen D L, Liu L, Zheng, C G, et al. Quasi-constant temperature combustion for improving the overall performance of a coal-fired boiler[J]. Combustion and Flame, 2003, 134(1/2): 81–92. |
| [11] | 车得福, 庄正宁, 李军, 等. 锅炉[M]. 西安: 西安交通大学出版社, 2011. |
| [12] | 宋贵良. 锅炉计算手册[M]. 沈阳: 辽宁科学技术出版社, 1999. |
| [13] | Yan W P, Yu X N. Unsteady heating of coal particles before ignition[J]. Heat Transfer Engineering, 1999, 20(4): 45–51. DOI:10.1080/014576399271286 |
| [14] |
陈冬林, 郑楚光.
卫燃带对着火和燃烧稳定性影响的分析模型[J]. 华北电力大学学报, 2002, 29(3): 52–55.
CHEN Donglin, ZHENG Chuguang. Analyzing model for effect of heat-insulating layer on stability of ignition and combustion[J]. Journal of North China Electric Power University, 2002, 29(3): 52–55. (in Chinese) |
| [15] | Wu K K, Chang Y K, Chen C H, et al. High-efficiency combustion of natural gas with 21-30% oxygen-enriched air[J]. Fuel, 2010, 89(9): 2455–2466. DOI:10.1016/j.fuel.2010.02.002 |
| [16] |
郑远平, 钱壬章.
钝体稳定煤粉火焰的一维数学模型研究[J]. 华中理工大学学报, 1991, 19(1): 145–148.
ZHENG Yuanping, QIAN Renzhang. An experimental study on a one-dimensional model for pulverized coal flame stabilization by a bluff-body[J]. Journal of Huazhong University of Science & Technology, 1991, 19(1): 145–148. (in Chinese) |
| [17] | 赵钦新, 惠世恩. 燃油燃气锅炉[M]. 西安: 西安交通大学出版社, 2000. |
| [18] | Yuan H R, Lu T, Kobayashi N, et al. The influence of oxygen concentration and equivalence ratio on Pyrolysis gas in oxygen-enriched pyrolysis by theoretical calculation[J]. AASRI Procedia, 2012, 3: 427–434. DOI:10.1016/j.aasri.2012.11.067 |
| [19] |
阎维平, 米翠丽.
300 MW富氧燃烧电站锅炉的经济性分析[J]. 动力工程学报, 2010, 30(3): 184–191.
YAN Weiping, MI Cuili. Economic analysis of a300MW utility boiler with Oxygen-enriched combustion[J]. Journal of Chinese Society of Power Engineering, 2010, 30(3): 184–191. (in Chinese) |
2014, Vol. 37

