b. 兰州交通大学 铁道车辆热工教育部重点实验室, 兰州 730070
b. Key Laboratory of Railway Vehicle Thermal Engineering, Ministry of Education, Lanzhou Jiaotong University, Lanzhou 730070, China
青藏铁路通过地区“低气压、缺氧、日温差大、强紫外线”的气候特点,使得对于青藏线空调列车室内热环境的研究更受关注。文献[1]从人体热舒适、高原反应、空气品质等方面分析了高原气候对车室内空气品质的影响;文献[2]采用非稳定传热理论分析了青藏线空调列车在运行中围护结构的热传递过程和传热量,为调节列车空调制冷系统的运行及提高车内环境参数的控制精度提供了更可靠的依据;文献[3]以青藏铁路沿线部分地区气象参数和环境条件为基础,计算得到了弥散供氧方式下列车在不同地区的空调新风量调节值。文献[4]研究了低压增氧环境中高原列车内乘客的热舒适性;文献[5]比较分析了2种海拔高度下高原列车内的速度场和温度场分布情况。文献[6]数值分析了25G型硬座列车运行在平原地区3条线路上时外界环境对车内冷负荷的影响动态变化规律。文献[7]研究了不同海拔高度乘客乘坐青藏线空调列车到达拉萨后的不适状况,统计得到了由于海拔高度变化引起的高原反应的发生率。文献[8]对青藏线空调列车运行过程中以及到达拉萨后不同时间段乘客的生理变化进行了追踪调查,获得了由于人体组织缺氧引起的高原反应发生率以及其他生理体征随时间的变化情况。但目前的国内外文献中关于青藏线空调列车在运行过程中车外环境条件对车内流场、温度场影响的详细信息还未见报道。文中采用Realizable k-ε模型对25T型空调列车运行中的车内流场和温度场进行了数值分析,获得了列车室内流场、温度场的沿线变化特征。
1 物理模型和数学模型 1.1 物理模型对青藏线空调列车25T型硬座车体进行合理简化,得到图 1所示物理模型。车内净尺寸为:长×宽×高=25 500 mm×3 100 mm×2 500 mm,车窗尺寸为:长×宽=1 050 mm×1 050 mm,乘客用长×宽×高=300 mm×350 mm×500 mm的长方体代替。车室两侧1 950 mm高度处各设1排行李架(宽500 mm)。采用车顶孔板送风,每个矩形送风口尺寸为:长×宽=50 mm×50 mm,每行10个送风口,共64行。车门回风并经走廊及制氧机室顶部回风口排出。车内设备布置及送回风前后关于中截面对称,所以,为减少计算量,设车长一半处中截面为对称面,取一半车长作为研究对象。
|
图 1 车体物理模型 |
计算中,忽略各壁面间的热辐射,车内空气为透明介质,不参与辐射换热[9],流动为湍流, 时均值为稳态,密度的变化采用Boussinesq假设。不考虑漏风影响,车内气密性良好。采用Realizable k-ε模型和标准壁面函数法进行模拟。描述流动与传热的控制方程的通用形式为
| $\frac{\partial }{{\partial x}}\left( {\rho u\mathit{\Phi }} \right) + \frac{\partial }{{\partial y}}\left( {\rho v\mathit{\Phi }} \right) + \frac{\partial }{{\partial z}}\left( {\rho w\mathit{\Phi }} \right) = \frac{\partial }{{\partial x}}\left( {\mathit{\Gamma }\frac{{\partial \mathit{\Phi }}}{{\partial x}}} \right) + \frac{\partial }{{\partial y}}\left( {\mathit{\Gamma }\frac{{\partial \mathit{\Phi }}}{{\partial y}}} \right) + \frac{\partial }{{\partial z}}\left( {\mathit{\Gamma }\frac{{\partial \mathit{\Phi }}}{{\partial z}}} \right) + {S_\Phi },$ | (1) |
式中,Φ为通用变量,分别表示u, v, w, T, k, ε。方程中各系数列于表 1。
| 表 1 控制方程中各系数确定 |
湍流动能剪力项:
湍流动能浮升力产生项:Pk=
其中,热膨胀系数β=1/(Tref+273.15),参考温度取车内设定温度值。
表 1中各系数取值[10]:cμ=0.09,σk=1.0,σε=1.2,c2=1.9;
c1=max{0.43, η/(5+η)},η=Sk/ε,S=(2Si, jSi, j)1/2,Si, j=(∂ui/∂xj+∂uj/∂xi)/2。
1.3 边界条件1) 入口边界:以矩形送风口出口为计算区域的流动入口边界,u=v=0, w=-1.0 m/s,温度T根据不同站点取不同的值。k=0.002, ε=0.000 8。
2) 出口边界:以车室端门为计算区域的出口边界,设为压力出口P=Pout,∂k/∂x=0, ∂ε/∂x=0。
3) 壁面边界:车顶、地板、两侧壁面均设为定热流边界条件,行李架、座椅表面、车室端门和中截面(对称面)均视为绝热边界。气固交界面的空气流动取速度无滑移条件,即u=v=w=0。
4) 热源边界:人体散热是影响车内热环境的主要因素,车内按98人定员,每人散热量取116.3 W。将人体散热量按面热源处理均匀分布在座椅表面。
2 数值求解方法 2.1 网格划分在三维直角坐标系下采用六面体结构网格划分计算区域,网格数目为255×62×50,网格最小体积为1.249 982×10-4 m3,最小正交网格质量为1,网格最大纵横比为1.732,可判定网格质量优良。计算区域网格如图 2所示。
|
图 2 计算区域网格 |
采用有限体积法对控制方程进行离散;应用SIMPLE算法求解速度/压力耦合问题[11];梯度项方程采用Green-Gauss Cell Based格式离散;动量方程、能量方程、湍流动能方程、湍流动能耗散率方程及辐射模型方程均采用二阶迎风格式离散。
2.3 模拟工况及收敛准则青藏线各站点所在地区气象参数差异大,列车运行过程中,车内热环境因此被影响的程度不同。如果让列车尽量在白天行驶,就能充分利用太阳辐射热,以利于系统节约供热量。文中选取夏季在白天运行时间较长的T265次(格尔木开往拉萨方向)空调列车为研究对象,途经6个主要站点的室外气象参数与不同的送风温度和送风速度组合,形成计算工况。各工况下相关参数如表 2所示。
计算中,同时满足以下条件,认为计算已收敛:
1) 连续性方程及动量方程残差设为10-3;
2) 能量方程和辐射模型求解残差设为10-6;
3) 监视位置气流参数不再波动;
4) 进出口流体质量守恒。
| 表 2 T265次列车途经站点时刻及车外环境参数 |
前期研究了送风参数对青藏线空调列车室内流场、温度场、污染物浓度场的影响(另文阐述)。综合考虑各送风参数组合下的室内气流速度分布、温度均匀性等指标,发现采取维持送风速度为1.0 m/s和送风温度随车外气象参数变化而变化的送风模式对于确保车室内舒适性是有利的。送风温度具体取值为:列车行经五道梁、沱沱河和安多地区时取21 ℃;行经那曲和当雄时取20 ℃;行经拉萨时取23 ℃。限于篇幅,文中只给出在上述送风条件下列车行经各站点时车室内Z=0.1 m和Z=1.2 m高度上给定位置处温度场和流场的沿线分布特性。
3.1 车内温度场沿线变化图 3为列车运行至各站点时X=0.2 m断面不同高度上的温度变化曲线。Z=0.1 m高度对应乘客的脚踝部高度,接近地板,温度受送风气流参数影响很小,所以,列车行经各站点时沿车体长度方向温度变化波动较小。那曲和当雄站对应的温度分布规律很接近,平均温差在1 ℃左右,其温度绝对值要高于其他几个站点的温度值,在24 ℃左右波动。其余几个站点对应的温度分布也较集中,沿车长方向温差最大为1.5 ℃左右,温度基本上在23 ℃左右波动。那曲和当雄站对应的温度之所以要高于其他站点的情况,是因为列车行至这两站点时接受的太阳辐射强度较大,使得西侧车壁附近的温度较高。Z=1.2 m高度处,与乘客坐在座椅上头部的位置高度相当。受人体散热、座椅和乘客形体的影响,温度沿车长方向呈现出了有规律的波动,而且,列车运行至各站点时这种规律性表现出了较好的一致性。
|
图 3 纵断面上温度变化曲线(X=0.2 m) |
图 4为列车运行至各站点时X=2.9 m断面不同高度上的温度变化曲线。在Z=0.1 m高度处,列车行经各站点时沿车体长度方向温度变化波动不是很大,波幅大多都在0.5 ℃左右。列车运行至安多时车室内温度明显要低于其他站点的平均水平;列车运行至五道梁和沱沱河地区时车室内温度最高,且两者的变化趋势很接近。列车运行至其余几个站点时的温度沿车长方向变化趋势接近,且温度的绝对值稍低于前2个站点的情况。这是因为列车行经五道梁和沱沱河地区时接受的车外太阳辐射强度较大,使得东侧车壁附近的温度较高。而列车行经安多地区时接受的太阳辐射量最少,室内温度自然就低。该工况下车室内的温度在23~24 ℃之间变化,在舒适性标准要求的22~26 ℃之间。
|
图 4 纵断面上温度变化曲线(X=2.9 m) |
在Z=1.2 m高度处,列车运行至各站点时沿车体长度方向温度变化与X=0.2 m断面处表现出了相似的特征。近似周期性的温度波动是人体散热、座椅和乘客形体影响综合作用的结果。在每两个座椅之间温度最低的站点仍是安多,其他站点时的温度水平相当,而且在乘客的头部局部区域有热感。
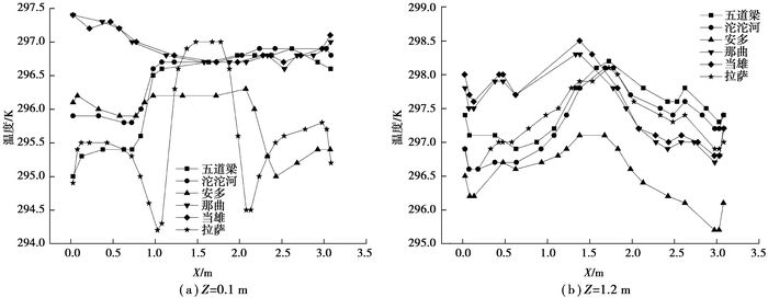
图 5为列车运行至各站点时Y=0.3 m断面不同高度上的温度变化曲线。列车行经当雄站和那曲站时,在Z=0.1 m高度处的车室内温度值要比其他站点时的值高,且温度变化平稳,波动较小,平均温度为24.0 ℃。列车行至其余站点时室内温度波动明显。行经五道梁和沱沱河地区时车体西侧接受的太阳辐射强度较小,故温度沿车体宽度方向自西向东发生了陡增的变化趋势。温度变化幅度最大的是列车行经拉萨站时的情况。由于车至拉萨时已经是晚间19:00之后了,车体两侧均无太阳辐射影响,此时,乘客的散热是室内空气温度变化的主要因素,所以,在车室的过道有温度集中升高的区域。显然,列车行经拉萨站时室内0.1 m高度处的温度水平已经低于舒适性要求值了。而其他站点时的情况基本上都能满足舒适性要求。
|
图 5 横断面上温度变化曲线(Y=0.3 m) |
在Z=1.2 m高度处的水平面上,列车行至各站点时沿车体宽度方向温度表现出了较为近似的变化趋势,就是接近车体两侧壁附近温度较低,而过道处的温度较高。但整体温度在23.0~24.0 ℃之间变化,满足舒适性要求。
图 6为列车运行至各站点时Y=12.4 m断面不同高度上的温度变化曲线。列车行经当雄站和那曲站时,在Z=0.1 m高度处的车室内温度值要比其他站点时的值高,且温度变化平稳,波动较小,平均温度为24.0 ℃。列车行经五道梁和沱沱河地区时车体西侧接受的太阳辐射强度较小,故温度沿车体宽度方向自西侧向东侧发生了逐渐上升的变化趋势,两站点对应的温度变化趋势很接近。列车行至安多和拉萨地区时室内温度波动明显,而且,车内温度的整体水平偏低。温度变化幅度最大的是列车行经拉萨站时的情况,与端门附近Y=0.3 m断面时的温度分布表现出了相似的特征,即在过道处也出现了温度的峰值,但列车中部截面处的温度波动更复杂,图 6(a)中多个温度极值点正说明了这一点。显然,各工况下该断面上温度平均值均在22.0 ℃以上,能满足舒适性要求。
在Z=1.2 m高度处的水平面上的温度分布与Z=0.1 m高度处水平面上的温度分布有所不同。列车行经那曲和当雄站点时由于车体西侧接受的太阳辐射强度较大,故在过道西侧区域温度高于其他站点。列车行经五道梁和沱沱河站点时由于车体东侧接受的太阳辐射强度较大,故在过道东侧区域温度又高于其他站点。总之,列车行至各站点时沿车体宽度方向温度变化表现出了较为近似的变化趋势,就是接近车体两侧壁附近温度较高,而过道处的温度较低。但整体温度在23.0~27.0 ℃之间变化。对于坐在西侧座位上的乘客当列车行经那曲和当雄时稍微有些热感,而其余位置的乘客均能接受室内温度。
|
图 6 横断面上温度变化曲线(Y=12.4 m) |
图 7为列车运行至各站点时X=0.2 m断面不同高度上的速度变化曲线。可以看出,列车行至各站点时在Z=0.1 m高度处,自端门向车体中间部位气流速度表现出了较为一致的变化趋势,即逐渐降低,并存在间歇性波动。这是因为靠近端门处的气流受回风诱导快速离开原来的位置,其速度值较大,最大速度达到了0.4 m/s左右,位于这一位置的乘客会有吹风感。在Z=1.2 m高度沿车室长度方向气流速度基本在0.05~0.3 m/s之间波动,旅客头部附近没有明显吹风感,满足舒适性要求。
|
图 7 纵断面上速度变化曲线(X=0.2 m) |
图 8为列车运行至各站点时X=2.9 m断面不同高度上的速度变化曲线。与图 7的变化趋势比较相似。总体上来看,车外气象参数对车室内气流速度沿车长方向的影响是很微弱的。
|
图 8 纵断面上速度变化曲线(X=2.9 m) |
图 9为列车运行至各站点时Y=12.4 m断面不同高度上的速度变化曲线。列车运行至各站点时在Z=0.1 m高度上的流速差异较大。安多站和拉萨站速度呈现出由下降到平缓再到上升的趋势,而其余4个站点的速度呈现出先上升再下降的趋势。当雄站在中间区域平均流速最大,为0.14 m/s;拉萨站在中间区域平均流速最小,为0.03 m/s。列车运行至各站点时在Z=1.2 m高度上的流速变化相似,呈现脉动变化趋势。当雄站的平均流速最大,为0.2 m/s,拉萨站的平均流速最小,为0.14 m/s,满足舒适性要求,乘客不会产生吹冷风感。
|
图 9 横断面上速度变化曲线(Y=12.4 m) |
如何实现前述各站点间空调系统运行工况的转换是确保乘客舒适性沿线“连续”的前提。目前的送风口是关于车室纵向对称轴线对称设置的,而座椅在同一排有三人座和二人座,这就使得个人的风量分配不均匀,需要在送风口处设置特定的导流装置,尽可能使送风气流沿单位车宽方向均匀分配以稀释局部区域污染物的积累。列车运行过程中,车内O2浓度和CO2浓度可用专门的感应装置来探测。考虑乘客大部分时间处于坐在座椅上的状态,CO2浓度感应器和O2浓度感应器应安设在距地板1.2~1.7 m高度处。感应器探测到的CO2浓度若超过了车内允许值,则将此信号反馈给废排风阀门控制开关以加大排气量。同时,车内O2浓度会降低,若O2浓度低于人体正常呼吸所需体积分数,则O2浓度感应器也将此信号传输给制供氧系统以补充O2。新风量与车内O2浓度、CO2浓度的关系及具体实施方案参见文献[3]。
在舒适性方面,主要考虑车内温度和气流速度2个因素。通过计算结果可知,车室局部区域乘客有热感。有时为了稀释车内CO2浓度需要增加送风量使得车内气流速度偏高,使得乘客稍有吹风感。但大量的问卷调查表明:乘客对吹风感的忍受力要大于对热感的忍受力。乘客长时间的静坐难免产生烦躁情绪,加上沿线气压不断变化,存在热感的区域一般气流不顺畅从而导致污染物积累严重(已另文讨论),因此,热感也会引发其他不适反应。
为实现空调运行工况的转换,应在空调运行控制系统中增加车外环境温度、海拔高度与空调动作关系程序功能。根据车外综合气象条件将空调系统设定为不同的运行档位。当车外测温装置和海拔监测装置将这两参数信号传输给空调系统控制模块,该模块就会发出指令实现空调换挡运行,同时启动或停止特定功能(比如增大送风量、送风加热或冷却等)以适应新的运营环境的需要。文中讨论的各工况的送风速度不变,只改变送风温度。这样,只要对送风加热和冷却装置进行有效控制,就可以适时地完成对送风参数的调节,从而顺利实现各工况间的转换。需要说明的是,青藏线空调列车空调系统与制供氧系统、废排风系统等是同时运作的,要实现这些系统之间的协作关系又不影响车内舒适性和空气品质是有一定技术难度的。
5 结论1) 在青藏线这样特殊的气候环境中运行的列车,要保证车室内的舒适性,必须采取送风参数随车外气象参数变化而变化的送风模式。
2) Z=0.1 m高度处温度受送风气流参数影响小,列车行经各站点时沿车体长度方向温度变化波动较小;在Z=1.2 m高度处近似周期性的温度波动是人体散热、座椅和乘客形体影响综合作用的结果。列车行经安多站时每2个座椅之间的温度最低,行经其他站点时的温度水平相当,而且在乘客的头部局部区域有热感。
3) 列车行至各站点时沿车体宽度方向温度变化表现出了较为近似的变化趋势,就是接近车体两侧壁附近温度较高,而过道处的温度较低。但整体温度在23.0~27.0 ℃之间变化。对于坐在西侧座位上的乘客当列车行经那曲和当雄时稍微有些热感,而其余位置的乘客均能接受室内温度。
4) 列车行至各站点时在Z=0.1 m高度处,自端门向车体中间部位气流速度表现出了较为一致的变化趋势,即逐渐降低,同时有间歇性波动。在Z=1.2 m高度沿车室长度方向气流速度基本在0.05~0.3 m/s之间波动,旅客头部附近没有明显吹风感,满足舒适性要求。
5) 靠近端门处,不同高度处沿车宽度方向的气流组织形式很相近,就是在过道区域均出现了速度的峰值,而靠近两侧壁附近的气流速度较小;在车室中截面处Z=0.1 m高度上的流速差异较大,但在Z=1.2 m高度上的流速变化相似,呈现脉动变化趋势。
6) 改善车室内空气品质和提高舒适性,是一个多措施共同作用的过程,需要综合考虑车内外环境参数变化、车体传热过程、节能目标等因素。对于青藏线空调列车来说,多变的车外气候现象决定了对车内外热环境的研究是长期的系统工程, 而获取真实有效的基础数据是相关研究得以进一步深入的前提。
| [1] |
王东, 胡松涛, 张瑜.
青藏高原气候对旅客列车室内环境品质的影响[J]. 暖通空调, 2005, 35(5): 23–26.
WANG Dong, HU Songtao, ZHANG Yu. Influence of Qinghai-Tibet plateau climate on environment quality in passenger trains[J]. HV&AC, 2005, 35(5): 23–26. (in Chinese) |
| [2] |
王烨, 王良璧, 林志敏, 等.
青藏铁路空调列车车体围护结构非稳定传热分析[J]. 中国铁道科学, 2009, 30(4): 81–85.
WANG Ye, WANG Liangbi, LIN Zhimin, et al. Analysis on the unsteady heat transfer of the compartment enclosure of the air-conditioned train in Qinghai-Tibet railway[J]. China Railway Science, 2009, 30(4): 81–85. (in Chinese) |
| [3] |
王烨.
青藏线环境条件对列车空调新风量的影响[J]. 安全与环境学报, 2009, 9(2): 81–83.
WANG Ye. Influence of environmental condition of Qingzang railway on the fresh air reguirement of train air-conditioning[J]. Journal of Safety and Environment, 2009, 9(2): 81–83. (in Chinese) |
| [4] |
陈宁, 廖胜明, 饶政华.
高原低气压增氧旅客列车车厢温度场及热舒适的CFD评价[J]. 中国铁道科学, 2012, 33(4): 126–132.
CHEN Ning, LIAO Shengming, RAO Zhenghua. CFD evaluation on hte temperature field and thermal comfort of coach in low atmospheric pressure passenger trains with oxygenation at high altitudes[J]. China Railway Science, 2012, 33(4): 126–132. (in Chinese) |
| [5] |
陈宁, 廖胜明, 饶政华.
青藏高原低气压旅客列车车厢速度场及温度场的数值模拟研究[J]. 铁道学报, 2013, 35(10): 18–23.
CHEN Ning, LIAO Shengming, RAO Zhenghua. CFD prediction velocity and temperature distribution in hypobaric passenger car on Tibetan plateau[J]. Journal of the China Railway Society, 2013, 35(10): 18–23. DOI:10.3969/j.issn.1001-8360.2013.10.003 (in Chinese) |
| [6] | Liu W W, Deng Q H, Huang W J, et al. Variation in cooling load of a moving air-conditioned train compartment under the effects of ambient conditions and body thermal storage[J]. Applied Thermal Engineering, 2011, 31(6/7): 1150–1162. |
| [7] | Wu T Y, Ding S Q, Zhang S L. Altitude illness in Qinghai-Tibet Railroad passengers[J]. High Altitude Medicine &Biology, 2010, 11(3): 189–198. |
| [8] | Luo Y J, Chen Y, Zhou Q Q, et al. A survey of acute mountain sickness and vital signs in subjects ascending to Lhasa via the Qinghai-Tibet train[J]. Scientific Research and Essays, 2011, 6(13): 2539–2645. |
| [9] |
吴俊云, 童灵, 陈芝久.
空调客车室内三维紊流流动与传热数值研究[J]. 上海交通大学学报, 1999, 33(3): 331–334.
WU Jun yun, TONG Ling, CHEN Zhijiu. Numerical research on3-d turbulence flow&heat transfer in air conditioning bus passenger compartment[J]. Journal of Shanghai Jiaotong University, 1999, 33(3): 331–334. (in Chinese) |
| [10] | 陶文铨. 数值传热学[M]. 西安: 西安交通大学出版社, 2001. |
| [11] | Patankar S V. Numerical heat transfer and fluid flow[M]. New York: Taylor & Francis, 1980. |
2014, Vol. 37

