煤层瓦斯含量不仅是瓦斯灾害治理、煤层瓦斯资源勘探开发不可或缺的基础参数, 还是瓦斯突出危险性区域预测、区域防突措施效果检验的主要指标[1]。因此, 煤层瓦斯含量的准确性测定变得尤为重要。在采用GB/T 23250—2009《煤层瓦斯含量井下直接测定方法》测定煤层瓦斯含量过程中, 钻孔取芯导致煤样温度升高, 煤芯瓦斯将随着温度的升高而加快放散, 进而导致取芯过程煤芯损失瓦斯量过大且无法准确推算, 造成瓦斯含量测值偏低[2]。
众多学者在常温高温(20 ℃及以上)煤体瓦斯解吸规律的研究已取得了一定的成果。在恒温条件下, 秦跃平等[3]、He等[4]、Dai等[5]、陈向军等[6]从煤样粒度、煤层瓦斯压力、煤阶、含水率等影响因素下的煤的瓦斯自然解吸规律进行了大量的深入研究。王兆丰[7]通过改变泥浆温度等因素, 模拟测试不同煤阶的煤芯在泥浆介质中的瓦斯解吸过程。Chen等[8]、Liu等[9]、李志强等[10]、聂百胜等[11]、刘彦伟等[12]对不同环境温度煤的瓦斯解吸规律研究表明:随着温度升高, 煤体瓦斯解吸速度越快, 相同解吸时间下的瓦斯解吸量越大。由此不难想象, 温度越低, 煤的瓦斯放散速度会越小, 相同解吸时间下的瓦斯损失量也应该越小[13-15]。遗憾的是, 对于低温环境煤的瓦斯放散特性研究非常少[16]。
基于此, 笔者提出在钻孔取芯过程中采用人造低温(0 ℃以下)的方法(即冷冻取芯技术), 将取芯管中煤样冷冻, 抑制取芯过程中瓦斯解吸, 进而达到降低取芯过程煤样的瓦斯损失量的目的。但是, 人造低温环境对煤的瓦斯解吸抑制效果如何, 目前尚未见诸报端。
采用自制高低温吸附/解吸装置, 开展低温环境(-10, -20, -30 ℃)煤的瓦斯吸附/解吸特性试验研究, 同时与常温(20 ℃)煤的瓦斯解吸规律对比, 分析低温环境对煤的瓦斯解吸抑制效果。
1 煤的瓦斯吸附/解吸试验系统及过程 1.1 试验装置系统为了对不同温度环境下煤的瓦斯吸附/解吸规律进行测试研究, 搭建了高低温瓦斯吸附/解吸实验平台, 如图 1所示, 主要由以下5部分组成:
|
图 1 高低温瓦斯吸附/解吸装置示意图 |
1) 高低温变频控制系统(图 2)。温度范围:-50~100 ℃, 温度偏差:≤±1 ℃, 温度波动度:±0.5 ℃。
|
图 2 高低温变频控制系统 |
2) 吸附平衡单元。由精密压力传感器、压力15 MPa和纯度99.9%的瓦斯贮气瓶、充气罐、多功能煤样罐(图 3)和阀门组成;其中多功能煤样罐能够实现注水对瓦斯解吸影响和测试瓦斯吸附/解吸过程中煤体温度变化。
|
图 3 多功能煤样罐 |
3) 真空脱气单元。该单元由电阻真空计(1~1×105 Pa)、真空泵(极限真空度6.8×10-2 Pa)、真空管、真空规管和玻璃三通阀组成。
4) 解吸测量控制单元。该单元由压力调控阀、瓦斯解吸测定仪组成;压力调控阀范围0~16 MPa, 调压刻度0.005 MPa/格;瓦斯解吸测定仪由带刻度解吸量筒组成, 量管内径50 mm, 高500 mm, 体积1 000 mL, 最小精度为4 mL。
5) 数据实时采集系统(图 4)。传感器将测试数据传递到数据采集系统, 和计算机连接, 实现试验数据实时采集。
|
图 4 数据采集系统 |
煤样取自焦作九里山矿16041工作面二1煤层, 属无烟煤, 新鲜煤样密封保存后送实验室, 工业分析依照GB/T212-2008《煤的工业分析方法》测试, 测得结果为:煤样水分Mad为2.56%, 灰分Aad为16.55%, 挥发分Vad为8.88%, 煤样密度1.62 g/cm3。
1.3 试验过程试验分为以下5个过程:1) 制作粒度60~80目煤样, 烘干(含水率为0);2) 抽真空, 直至煤样罐中真空度低于10 Pa;3) 将煤样罐置于低温变频箱体中(如图 1), 根据实验需要将低温变频控制系统调至某一恒定温度(-30, -20, -10, 20 ℃);4) 按照(MT/T752-1997)《煤的甲烷吸附量测定方进行煤的瓦斯吸附量测试。5) 在不同温度和瓦斯吸附平衡压力下测试煤的瓦斯解吸规律。
2 煤的瓦斯吸附/解吸试验结果与分析 2.1 瓦斯吸附试验结果与分析不同环境温度下, 对8个不同压力下的瓦斯吸附量进行测试, 并依次增加测试压力, 记录每次吸附平衡时的压力, 计算其累计吸附量如图 5所示。
|
图 5 不同充气平衡后吸附量与温度关系 |
根据试验结果(图 5)绘制不同温度、不同压力下的瓦斯吸附曲线(图 6)。从图 6可以看出, 温度对煤的瓦斯吸附曲线影响明显, 温度越低, 煤的瓦斯吸附量越大。例如, 在瓦斯压力2 MPa时, -10 ℃和-20 ℃时的瓦斯吸附量为38.1 cm3/(g·r)和40.7 cm3/(g·r), 与20℃时吸附量27.5 cm3/(g·r)相比, 分别增大了38.5%和48%。当温度一定时, 煤对瓦斯的吸附能力随瓦斯压力升高而增大, 当瓦斯压力升到一定值时, 煤的吸附能力趋于饱和, 而后吸附量不再随瓦斯压力的增大而增加。当瓦斯压力一定时, 随着温度的升高, 煤的瓦斯吸附量呈下降趋势, 这是因为温度对脱附起活化作用, 温度越高, 脱附能力越高, 煤吸附瓦斯的能力越低, 游离气越多。
|
图 6 不同温度下的煤的瓦斯吸附等温线 |
根据不同温度(-30, -20, -10, 20 ℃)、不同吸附平衡压力(0.5, 0.74, 1.5 MPa)煤的瓦斯解吸量实验数据, 绘制煤的瓦斯解吸规律散点图, 如图 7所示。低温环境下煤的瓦斯解吸规律与常温(20 ℃)下类似:瓦斯解吸量随时间增大, 而后趋于稳定。但是, 相同吸附平衡压力下, 温度对煤的解吸量影响明显, 即:随温度的降低, 煤的瓦斯吸附量有增大的趋势。例如, 在瓦斯压力0.5 MPa, 3 600 s内常温(20 ℃)煤的瓦斯解吸量为7.83 cm3/(g·r), 而在低温环境, -20 ℃时煤的瓦斯解吸量为3.31 cm3/(g·r), -30 ℃时煤的瓦斯解吸量仅1.48 cm3/(g·r)。这表明低温对煤的瓦斯解吸抑制效果十分明显。
|
图 7 煤瓦斯解吸测试结果散点图 |
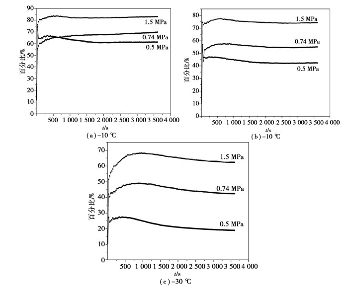
在相同吸附平衡压力下, 随温度的降低, 煤的瓦斯吸附量有增大的趋势, 而随着温度的降低, 煤的瓦斯解吸量却有减小的趋势, 即降低温度抑制了瓦斯解吸。为了对比分析低温环境瓦斯解吸抑制效果, 从图 6中选择了0.5, 0.74, 1.5 MPa时不同温度下煤的瓦斯吸附量, 如表 1所示。以0.5, 0.74, 1.5 MPa时煤的瓦斯不同时刻解吸量与其吸附量做比值, 对比分析不同温度下瓦斯释放率(如图 8), 其表达式为
| $ 瓦斯释放率 = \frac{{q\left( {T, p, t} \right)}}{{Q\left( {T, p} \right)}} \times 100\% , $ | (1) |
| 表 1 不同吸附平衡压力下瓦斯吸附量 |
|
图 8 不同吸附平衡压力和不同温度下瓦斯释放率 |
式中:q(T, p, t)为环境温度T、吸附平衡压力p条件下t时刻的瓦斯累计解吸量, cm3/(g·r);Q(T, p)为环境温度T条件下, 吸附平衡压力p时的吸附量, cm3/(g·r)。
从图 8可以看出, 不同吸附平衡压力下, 有限时间内煤的瓦斯解吸量与其吸附量的比值(即瓦斯释放率)在初始阶段随时间迅速增大, 而后缓慢增大。但在低温环境下瓦斯释放率比常温(20 ℃)时小得多, 如在0.74 MPa时, 600 s时常温(20 ℃)环境瓦斯释放率为27.65%, 而-10, -20 ℃时瓦斯释放率为13.72%、11.01%, 至-30 ℃时瓦斯释放率仅为8.52%;3 600 s时, 常温(20 ℃)环境瓦斯释放率为41.95%, 而-10, -20 ℃时为瓦斯释放率为22.22%, 16.03%, 至-30 ℃时瓦斯释放率仅为11.35%。
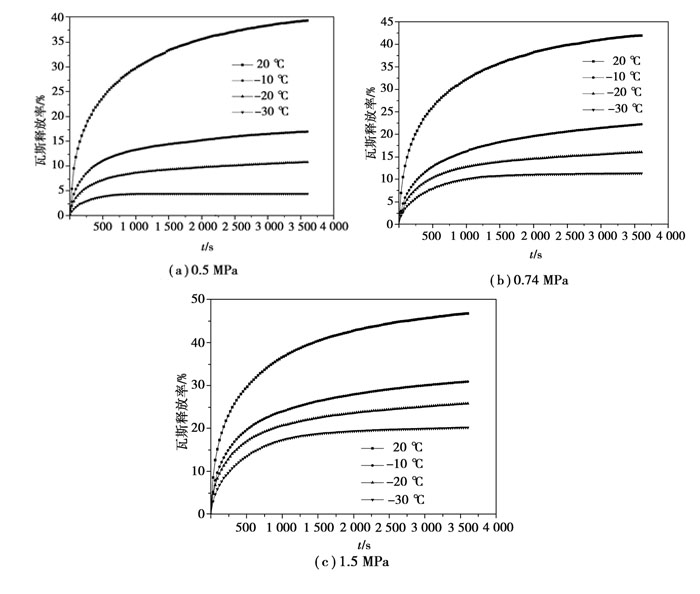
相同瓦斯吸附平衡压力下, 将低温环境T下煤的瓦斯解吸量与同时刻常温T′(20 ℃)煤的瓦斯解吸量做比, 即低温环境瓦斯抑制效应百分比, 其表达式为
| $ 瓦斯抑制效应 = \frac{{q\left( {T, p, t} \right)}}{{q'\left( {T', p, t} \right)}} \times 100\% , $ | (2) |
式中, q(T, p, t)为低温T、吸附平衡压力p条件下t时刻的瓦斯累计解吸量, cm3/(g·r);q′(T′, p, t)为常温T′、吸附平衡压力p条件下t时刻的瓦斯累计解吸量, cm3/(g·r)。
低温环境瓦斯抑制效应比值关系如图 9所示。从图 9可以看出, 降低温度, 可以抑制煤的瓦斯解吸, 温度越低, 抑制解吸效果越明显。如在煤样瓦斯解吸过程中, 瓦斯压力0.5 MPa, -20 ℃和-30 ℃时煤样瓦斯解吸量约为20 ℃时解吸量的42.3%~46.9%和18.8%~27.2%;在瓦斯压力1.5 MPa, -20 ℃和-30 ℃时煤的瓦斯解吸量约为20 ℃解吸量的74.1%~77.2%和51.2%~68.1%。
|
图 9 低温环境瓦斯解吸抑制效应 |
从图 10可以看出, 虽然低温环境对煤样瓦斯解吸能起到抑制作用, 温度越低, 抑制效果越明显。但是, 瓦斯压力增大, 将会消弱低温环境对煤的瓦斯解吸抑制效果。与20 ℃时煤的瓦斯解吸量对比, 不同低温环境(-10, -20, -30 ℃)煤的瓦斯解吸抑制效应随着不同瓦斯压力(0.5, 0.74, 1.5 MPa)增大, 瓦斯解吸抑制效果减弱的程度也不同, 温度越低, 瓦斯压力影响越明显。例如, 在瓦斯压力分别为0.5, 0.74, 1.5 MPa下, 3 600 s时-20 ℃煤的瓦斯解吸量分别约为20 ℃时的42.3%、54.9%和74.2%;而-30 ℃煤的瓦斯解吸量分别约为20 ℃时的18.8%、42.2%和62.2%。
|
图 10 压力对低温环境瓦斯解吸抑制效应影响(与20 ℃对比) |
采用自制高低温吸附/解吸装置, 在不同瓦斯压力下, 对低温环境煤的瓦斯解吸抑制效应开展了试验研究, 试验结果表明:
1) 相同吸附平衡压力, 相同时间内, 低温环境煤的瓦斯解吸量小于常温环境煤的瓦斯解吸量, 温度越低, 瓦斯解吸量越小。
2) 与常温煤的瓦斯解吸规律相比, 降低温度可以抑制煤的瓦斯解吸, 温度越低, 抑制解吸效果越明显。
3) 随着瓦斯压力增大, 不同低温环境煤的瓦斯解吸抑制效应减弱的程度也不同, 温度越低, 瓦斯压力影响越明显。
低温环境煤的瓦斯解吸抑制效应研究将为井下冷冻取芯技术的研发和应用提供理论依据。
| [1] |
王兆丰, 刘军.
我国煤矿瓦斯抽放存在的问题及对策探讨[J]. 煤矿安全, 2005, 36(3): 29–32.
WANG Zhaofeng, LIU Jun. Probe into the problems of methane drainage in Chinese coal mines and its counter measures[J]. Safety in Coal Mines, 2005, 36(3): 29–32. (in Chinese) |
| [2] |
陈向军, 王兆丰, 王林.
取样过程中损失瓦斯量推算模型研究[J]. 煤矿安全, 2013, 44(9): 31–37.
CHEN Xiangjun, WANG Zhaofeng, WANG Lin. Research on gas loss quantity prediction model in sampling process[J]. Safety in Coal Mines, 2013, 44(9): 31–37. (in Chinese) |
| [3] |
秦跃平, 王健, 罗维, 等.
定压动态瓦斯解吸规律实验[J]. 辽宁工程技术大学学报:自然科学版, 2012, 31(5): 581–585.
QIN Yueping, WANG Jian, LUO Wei, et al. Experiment of dynamic gas desorption under constant pressure[J]. Journal of Liaoning Technical University:Natural Science, 2012, 31(5): 581–585. (in Chinese) |
| [4] | He M C, Wang C G, Feng J L, et al. Experimental investigations on gas desorption and transport in stressed coal under isothermal conditions[J]. International Journal of Coal Geology, 2010, 83(4): 377–386. DOI:10.1016/j.coal.2010.05.003 |
| [5] | Dai L C, Lu D Y, Liu Z. Experimental study on gas pressure effects on gas desorption characteristic of coal seam[J]. Applied Mechanics and Materials, 2013, 318: 367–370. DOI:10.4028/www.scientific.net/AMM.318 |
| [6] |
陈向军, 程远平, 何涛, 等.
注水对煤的瓦斯扩散特性影响[J]. 采矿与安全工程学报, 2013, 30(3): 443–448.
CHEN Xiangjun, CHENG Yuanping, HE Tao, et al. Water injection impact on gas diffusion characteristic of coal[J]. Journal of Mining & Safety Engineering, 2013, 30(3): 443–448. (in Chinese) |
| [7] | 王兆丰. 空气、水和泥浆介质中煤的瓦斯解吸规律与应用研究[D]. 徐州: 中国矿业大学, 2001. http://d.wanfangdata.com.cn/Thesis/Y392148 |
| [8] | Chen X J, Wang Z F, Yang H M, et al. Research on the gas desorption law of the consumingly destruct coal[J]. Journal of Coal Science, 2008, 14(2): 263–266. DOI:10.1007/s12404-008-0056-7 |
| [9] | Liu J K, Wang C X, He X Q, et al. Infrared measurement of temperature field in coal gas desorption[J]. International Journal of Mining Science and Technology, 2014, 24(1): 57–61. DOI:10.1016/j.ijmst.2013.12.010 |
| [10] |
李志强, 段振伟, 景国勋.
不同温度下煤粒瓦斯扩散特性试验研究与数值模拟[J]. 中国安全科学学报, 2012, 22(4): 38–42.
LI Zhiqiang, DUAN Zhenwei, JING Guoxun. Experimental study on gas diffusion characteristics from coal at different temperatures and their numerical simulation[J]. China Safety Science Journal, 2012, 22(4): 38–42. (in Chinese) |
| [11] |
聂百胜, 杨涛, 李祥春, 等.
煤粒瓦斯解吸扩散规律实验[J]. 中国矿业大学学报, 2013, 42(6): 975–980.
NIE Baisheng, YANG Tao, LI Xiangchun, et al. Research on diffusion of methane in coal particles[J]. Journal of China University of Mining and Technology, 2013, 42(6): 975–980. (in Chinese) |
| [12] |
刘彦伟, 魏建平, 何志刚, 等.
温度对煤粒瓦斯扩散动态过程的影响规律与机理[J]. 煤炭学报, 2013, 38(s1): 100–105.
LIU Yanwei, WEI Jianping, HE Zhigang, et al. Influence rules and mechanisms of temperature on dynamic process of gas diffusion from coal particles[J]. Journal of China Coal Society, 2013, 38(s1): 100–105. (in Chinese) |
| [13] |
曾社教, 马东民, 王鹏刚.
温度变化对煤层气解吸效果的影响[J]. 西安科技大学学报, 2009, 29(4): 449–453.
ZENG Shejiao, MA Dongmin, WANG Penggang. Effect of temperature changing on desorption of coalbed methane[J]. Journal of Xi'an University of Science and Technology, 2009, 29(4): 449–453. (in Chinese) |
| [14] |
马东民, 张遂安, 王鹏刚, 等.
煤层气解吸的温度效应[J]. 煤田地质与勘探, 2011, 39(1): 20–24.
MA Dongmin, ZHANG Suian, WANG Penggang, et al. Mechanism of coalbed methane desorption at different temperatures[J]. Coal Geology & Exploration, 2011, 39(1): 20–24. (in Chinese) |
| [15] |
杨新乐, 张永利, 李成全, 等.
考虑温度影响下煤层气解吸渗流规律试验研究[J]. 岩土工程学报, 2008, 30(12): 1811–1814.
YANG Xinle, ZHANG Yongli, LI Chengquan, et al. Experimental study of desorption and seepage rules of coal-bed gas considering temperature conditions[J]. Chinese Journal of Geotechnical Engineering, 2008, 30(12): 1811–1814. DOI:10.3321/j.issn:1000-4548.2008.12.007 (in Chinese) |
| [16] |
王轶波, 李红涛, 齐黎明.
低温条件下煤体瓦斯解吸规律研究[J]. 中国煤炭, 2011, 37(5): 103–107.
WANG Yibo, LI Hongtao, QI Liming. Study on gas desorption law of coal mass at low temperatures[J]. China Coal, 2011, 37(5): 103–107. (in Chinese) |
2014, Vol. 37


