进入21世纪以来,气候趋势的急剧变化使人们越来越关注与之息息相关的可再生能源问题。而风能作为目前技术相对成熟、商业化程度较高的一种可再生能源在中国发展迅猛。在2011年,中国总装机容量已位居世界第一,达到6万兆瓦。在风力发电机组的设计制造中,功率曲线作为一项综合反映风电机组经济性的重要指标获得了机组制造商及用户的极大关注。准确绘制功率曲线对于了解机组运行状况、保障机组运行安全、优化控制策略都有极高的意义。
由于多种复杂因素的影响,存在实测功率曲线与理论功率曲线不一致的现象,针对这些复杂因素国内外均进行了一系列的研究,大多针对环境条件如空气密度、湍流强度、叶片污染、风电场尾流、偏航误差等对功率曲线的不同影响进行分析[1-2]。实测功率曲线是由实测功率与机舱实测风速拟合得到,由于叶片的扰动作用,因此需要对机舱实测风速进行修正。丹麦理工大学RISØ实验室的Babak Diznabi基于NORDTANK风电机组专门研究了机舱周围的流动关系,分析了不同高度、机舱顶不同位置上的速度分布,验证了IEC标准中所推荐的风速仪位置[3]。Khaled Ameur等也研究了叶轮旋转与机舱外形对于机舱实测风速与来流风速间的复杂关系,且对比了不同湍流模型下的仿真结果与实验结果[4]。以上分析采用叶轮制动盘理论代替实际叶片外形,且机组功率、外形尺寸均较小。而在IEC61400-12-2标准中提供的机舱实测风速修正数据,机舱实测风速也较测风塔实测风速偏大[5]。
而风电行业近年来已从陆上风电向海上风电发展,机舱实测风速与来流风速在单机功率更大,风轮直径百米以上机组的关系更加复杂。为了更加准确地了解机组实际功率曲线,将采用实际机舱与叶片外形进行有关旋转风轮、机舱对机舱周围流场分布的3D计算流体力学(CFD)分析,获得机舱测量风速与来流风速的关系用以真实反映机组实际功率曲线,了解机组实际运行情况。
1 机组外流场CFD模型以5 MW风力发电机组为研究对象。
1.1 几何模型简化为了计算的准确性,几何模型采用了完整的整机模型,叶片为LM73.5 m叶片。由于CFD仿真的局限性,决定对原始散热装置及气象站等的几何模型进行等效简化。
对于较为复杂的散热板位置,有两类散热板类型,一类为圆孔板空气冷却器,一类为翅片管空气冷却器。分析这两类散热板给计算带来许多麻烦和不确定性,因此必须等效简化模型。对于圆孔板空气冷却器通过多次试验及数值分析,其可以等效为开口面积与孔板风口有效通过面积相等的简单开口,这样可以确保入流的动量流量和质量流量与实际一致[6]。
即对于圆孔板空气冷却器
| ${S_{圆孔板等效开口面积}} = {S_{圆孔板通流面积}} = 0.78\;{{\rm{m}}^2}, $ |
则圆孔板等效开口面积占整个散热板面积比率为0.78÷2.63=0.29≈30%,对于气体流过翅片管空气冷却器时所产生的阻力由气体流经翅片所产生的摩擦阻力和流经管束所产生的局部阻力2部分组成[7]。同时,由于流动通道的当量直径很小,对于气体流动,标准状态下迎面风速一般在0.43~0.71 m/s之间,使得通常处于低Re数800~1 600区域[8]。因此在对于其简化时,考虑了2部分在低Re数下不同的阻力系数。通过查阅文献及多个实验结果得到光管管束与翅片各自Re数与空气阻力系数的关系[9],最后讨论得出等效开口面积计算公式为
| ${S_{翅管板等效开口面积}} = {S_{散热板面积}}-\left( {{S_{翅片阻流面积}} + {S_{管束阻流面积}} \times \alpha } \right), $ |
式中α为翅片与管束空气阻力系数比
| ${S_{翅管板等效开口面积}} = 2.63-\left( {.088 + 0.88/2 \times 1/2} \right) = 1.53\;{{\rm{m}}^2}, $ |
翅片管散热板等效开口面积占整个散热板面积比率为1.53÷2.63=0.58≈60%。
简化后散热装置及气象站模型如图 1所示。
|
图 1 简化后模型 Figure 1 The simple fied model |
将简化后整机模型导入到HyperMesh 12.0进行网格划分。
建立虚拟风洞尺寸为500 m×350 m×350 m。为了模拟叶轮旋转情况,需要使用滑移网格,即将整个风洞分为3部分,第一部分为包含旋转叶轮的圆柱形滑移网格区域,第二部分为与第一部分直径相同的包含机舱及散热装置的圆柱形网格区域,第三部分为剩下区域。第一部分与第二部分的网格密度较大,第三部分网格较为稀疏。最终约160×104个网格,31×104个节点, 如图 2所示。
|
图 2 流场分析网格示意图 Figure 2 Meshing structure of flow domain |
在处理T型阻流板附近网格时为了便于网格分布,将T型阻流板由曲面改为具有一定厚度的薄片。
1.3 材料模型计及气流的紊流特性,计算采用经典湍流模型K-epsilon (2eqn)模型,近壁面采用标准壁面方程。假设进出风口的湍流系数与湍流粘度比均为0.1%,空气密度设为1.225 kg/m3,粘性系数为1.7894e-05 N·s/m2。
2 各边界及初始条件设置考虑风电机组的工况在额定风速10.5 m/s,风轮额定转速11.34 rpm时的带与不带T型阻流板流场分布情况,因此设置速度入口,大小为10.5 m/s,方向由X负方向指向X正方向;计算域四周边界条件与入口条件相同;出口边界为压力出口,大小为0 Pa;重合面采用内表面(interface)边界条件;叶轮几何边界条件与动网格均设置为动壁面(Moving Wall)边界条件。其余边界条件均设置为壁面。
由于需要考虑叶片的旋转作用,计算采用非定常流场计算(Transient),选择固定时间步长0.1 s。
3 计算结果及分析 3.1 仿真结果及分析计算基于Ansys/Fluent软件,计算得到带T型阻流板机组外部流场的速度云图如图 3所示。叶片附近由于叶片旋转及扰流导致风速大小与来流有较大差别;机舱中段附近风速大小基本与来流一致;散热器顶端不同高度风速大小有较大差别。同时由于叶片旋转,机舱附近流场风向较之来流风向有较大改变。
|
图 3 带T型阻流板机组外部流场速度云图 Figure 3 Velocity of flow field with T-spoilers |
由机舱顶位置3个风速仪位置设置监测点,按其布置方向(-1.25~1.25 m)分别设置为风速仪1、风速仪2、风速仪3。分别对比带T型阻流板与不带T型阻流板对风速仪位置风速影响,得到如图 4、5、6所示结果。
|
图 4 风速仪1位置不同叶片结构风速对比 Figure 4 Velocity comparison of differen leaf structure in Anemometer position-1 |
|
图 5 风速仪2位置不同叶片结构风速对比 Figure 5 Velocity comparison of differen leaf structure in Anemometer position-2 |
|
图 6 风速仪3位置不同叶片结构风速对比 Figure 6 Velocity comparison of differen leaf structure in Anemometer position-3 |
容易看到,带T型阻流板与不带T型阻流板相比,风速仪位置平均风速均有5%左右的提高;带T型阻流板与来流风速相比,风速仪位置平均风速有9%左右提高。
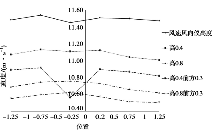
图 7为距现有风速风向仪位置提高0.4 m,0.8 m及提高0.4 m前移0.3 m,提高0.8 m前移0.3 m,4种情况下,沿风速风向仪布置方向(-1.25~1.25 m)范围内各点平均风速。容易发现,当升高0.8 m前移0.3 m时各点位置平均风速与来流风速误差在2%以内。
|
图 7 带阻流板各水平位置平均风速 Figure 7 Mean velocity of each horizontel position with T-spoliers |
由机舱顶3个风向仪位置设置监测点,由其布置方向(-1.25~1.25 m)分别为风向仪1、风向仪2、风向仪3。分别对比带T型阻流板与不带T型阻流板对风向仪位置风向影响得到如下图 8、9、10。
|
图 8 风向仪1位置不同叶片结构风向对比 Figure 8 Wind direction comporison of different leaf structure in anemoscope position-1 |
|
图 9 风向仪2位置不同叶片结构风向对比 Figure 9 Wind direction comporison of different leaf structure in anemoscope position-2 |
| 表 1 带阻流板各水平位置风向变化幅度偏差 Table 1 The change of the magnitude wind direction in each horizontal position |
|
图 10 风向仪3位置不同叶片结构风向对比 Figure 10 Wind direction comporison of different leaf structure in anemoscope position-3 |
同上监测点设置相同,带阻流板情况下,各组3个监测点间风向变化幅度偏差计算采用同一组3个监测点的风向变化幅度减去3个监测点风向变化幅度的平均值,结果如下:
容易发现,当升高0.8 m前移0.3 m时各点位置风向变化幅度偏差与原风向仪位置相比减少1°左右,风向一致性明显提高。
3.2 仿真结果与实测结果对比验证为了验证仿真的可靠性,采用同样的方法,将来流风速调整为9、8、6.5、5、4 m/s,转速对应调整为11.34、11.05、8.98、8.25、8.25 r/min,作为新工况进行计算。
将实测数据与仿真结果数据进行曲线拟合,得到图 11所示结果。由拟合曲线可知,来流风速从3~8 m/s,风速越大,风速仪测速比来流风速提高越多。实测数据得到测风塔监测到的不同风速与对应机舱风速仪风速的平均比值为0.893;仿真各不同来流风速结果与对应风速仪位置平均风速的平均比值为0.887。
|
图 11 仿真风速结果与实测风速结果对比 Figure 11 The comparison of simulation results and measured results |
可以看出仿真风速结果与实测结果变化趋势具有一致性,仿真结果具有可靠性。
4 结论根据流场分析结果,带T型阻流板叶片对于机舱顶部风速仪,风向仪测量精度产生较大影响。建议将风速风向仪位置相对于原位置向前移动0.3 m升高1 m,使其位于仿真结果10.25~10.75 m/s的风速范围,相对于来流风速偏差-2.38%~2.38%,范围内平均风速应较接近额定风速10.5 m/s,风向一致性得到提高。由此得到的机组实际功率曲线将会更加准确。
| [1] |
王明军, 高原生.
风电机组实际运行功率曲线影响因素分析[J]. 风能, 2013, 4: 74–79.
WANG Mingjun, GAO Yuansheng. An analysis of influence factors on wind turbine's actual power curve[J]. Wind Energy, 2013, 4: 74–79. (in Chinese) |
| [2] | Adaramola M S, Krogstad P A. Experimental investigation of wake effects on wind turbine performance[J]. Renewable Energy, 2011, 98(1): 963–971. |
| [3] | Diznab B.Investigation of the flow relation to nacelle anemometry[D].Copenhagen: Technical University of Denmark, 2009. |
| [4] | Ameur K, Masson C, Eecen P J. 2D and 3D numerical simulation of the wind-rotor/nacelle interaction in an Atmospheric boundary layer[J]. Journal of Wind Engineering and Industrial Aerodynamics, 2011, 99: 833–844. DOI:10.1016/j.jweia.2011.06.002 |
| [5] | International Electrotechnical Commission.Power performance of electricity producing wind turbines based on nacelle anemometry[S].IEC 61400-12-2. 2009. |
| [6] | Nielsen P V. Description of supply openings in numerical models for room air distribution[J]. ASHRAE Transactions, 1992, 98(1): 963–971. |
| [7] | 滕兆武. 车辆制冷与空气调节[M]. 北京: 中国铁道出版社, 1981. |
| [8] |
罗来勤, 王启杰, 杨小琼, 等.
低Re数流动条件下翅片管束换热及阻力特性的研究[J]. 西安交通大学学报, 1992, 26(4): 95–102.
LUO Laiqin, WANG Qijie, YANG Xiaoqiong, et al. Heat transfer and flow resistance characteristics of finned tube banks at low Re numbers[J]. Journal of Xi'An Jiao Tong University, 1992, 26(4): 95–102. (in Chinese) |
| [9] |
陈坚.
几种翅片管单管管外放热及气流阻力的试验研究[J]. 石油化工设备, 1989, 18(2): 5–8.
CHEN Jian. The experimental research on heat transfer and airflow resistance of several finned single finned tube[J]. Petrochemical equipent, 1989, 18(2): 5–8. (in Chinese) |
| [10] | 王福军. 计算流体动力学分析--CFD软件原理与应用[M]. 北京: 清华大学出版社, 2004. |
| [11] | Smith B, Link H, Randall G, McCoy T.Applicability of nacelle anemometer measurements for use in turbine power performance tests: AWEA WINDPOWER 2002, Oregon June 2-5, 2002[C].Portland: IEEE, 2002, 5. |
| [12] | Smaïli A, Masson C. On the rotor effects upon nacelle anemometry for wind turbines[J]. Wind Engineering, 2004, 28: 695–714. DOI:10.1260/0309524043729958 |
| [13] |
刘永前, 高小力, 韩爽, 等.
基于修正风速的风电场等效功率特性模型研究[J]. 华北电力大学学报, 2014, 41(3): 49–54.
LIU Yongqian, GAO Xiaoli, HAN Shuang, et al. Study on equivalent power characteristic model of a wind farm based on corrected wind speed[J]. Journal of North China Electric Power University, 2014, 41(3): 49–54. (in Chinese) |
2015, Vol. 38

