2. 重庆大学 复杂煤气层瓦斯抽采国家地方联合工程实验室, 重庆 400044
2. National and Local Joint Engineering Laboratory of Gas Drainage in Complex Coal Seam, Chongqing University, Chongqing 400044, P. R. China
中国《能源发展十二五规划(2013)》明确指出要加大煤层气和页岩气勘探开发力度,页岩气分布在不同埋深地层,不同温度、地应力、孔隙特征等影响着页岩气的渗流、运移。文献[1, 2, 3, 4]认为页岩气藏微裂隙分为有机质纳米孔、基质岩块孔和微裂缝等,页岩气渗流呈现出多尺度特征。李武广等[5]认为页岩的吸附能力与页岩的有机碳含量和有机成熟度密切相关,升温可以提高页岩气的解吸时间、解吸速度。汪吉林等[6]分析了有效应力、气体滑脱效应等因素对页岩绝对渗透率的影响,基质收缩逆效应与滑脱效应并存。Zelenev等[7]和郭为等[8]认为温度影响页岩的吸附量以及解吸量,温度升高,页岩的吸附量减少,解吸作用增强,温度使页岩强度降低。上述研究结果表明,温度的升高对页岩的孔隙结构与吸附解吸能力等因素均有一定的影响。然而,热流固耦合作用下热应力对页岩结构影响规律、流体运动速度对页岩渗透性的贡献大小,目前未见相关报道。
笔者从甲烷内摩擦力对动能的影响、页岩热应力及热膨胀导致应变、解吸引起基质收缩三个方面分析温度场作用下页岩气渗流规律。开展页岩等温渗流实验,揭示页岩渗流特性随温度变化的规律。
1 温度对页岩渗透特性影响分析页岩为多孔介质,其渗流规律符合达西渗流,渗流速度与试件尺寸、孔隙压力、渗透系数相关,渗透系数的物理意义是介质对某种特定流体的渗透能力,影响渗透系数的因素很多,主要取决于页岩颗粒的形状、大小、孔隙和裂隙的大小、开启程度和连通性及甲烷的粘滞性[9, 10]。此外,温度升高,热应力作用将对甲烷性质、页岩结构以及吸附解吸产生一定影响,进而改变页岩的渗流特性。因此,温度对页岩渗流特性的影响有:
1)甲烷内摩擦力随温度的升高而增大,使得甲烷的流速降低。随温度升高气体分子运动加剧,分子自由振动速率增加,动量增加,而气体的粘度与流层之间分子的动量交换成正比,所以,随着温度升高甲烷粘度增加[11]。
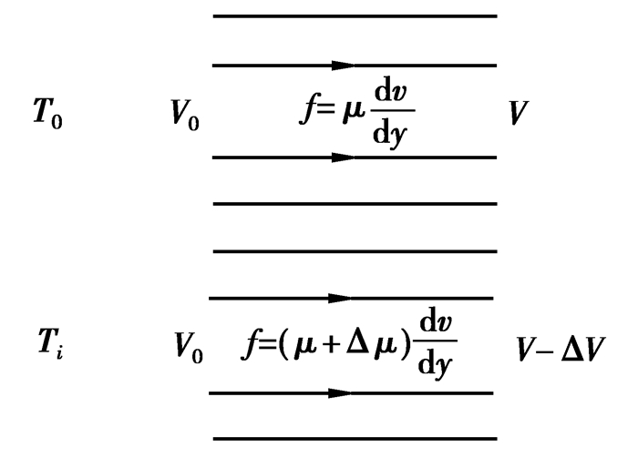
在不考虑流体粘度时,由伯努利方程可知,流体的速度与压力势能和位势能相关,由于粘性的存在,流体在运动过程中克服内摩擦力做功消耗机械能,流体的速度降低。在页岩试件内部流体的任一物理位置,温度升高前后,其压力势能和位势能都不改变,温度的升高使得粘度增大,由牛顿内摩擦定律可知,粘度与内摩擦力成正比,即该点内摩擦力增大,甲烷的内摩擦力亦增大,从而使甲烷流动速度降低,如图 1所示。
|
图1 内摩擦力降速示意图 Fig. 1 The friction reducing fluid velocity |
温度对渗流通道内甲烷的影响:温度升高使甲烷内摩擦力增加,则降低运动速度,从而减小了甲烷渗流速度。
2)页岩内部产生热应力,使得作用在页岩矿物基质的有效应力增加。页岩的主要成分为粘土矿物和有机质,由于粘土矿物本身及其与有机质之间的热膨胀系数存在一定差异,加之,矿物基质之间的相互约束,导致热膨胀系数高的矿物受到压缩,热膨胀系数低的矿物受到拉伸[12],此时,受约束的膨胀在页岩内部形成热应力,使得作用在页岩上的有效应力增加。
在不考虑热应力时,页岩的有效应力为全应力与孔隙压力之差,
| ${\sigma _i} = \frac{{{\sigma _z} + 2{\sigma _x}}}{3} - \frac{{{P_1} + {P_n}}}{2}$ | (1) |
式中:σi为有效应力; $ \frac{{{\sigma _z} + 2{\sigma _x}}}{3}$为全应力; $ \frac{{{P_1} + {P_n}}}{2}$为孔隙压力;σx为围压,σz为轴压。页岩内部差异性膨胀产生的热应力,加载温度时有效应力计算公式需加上热应力σT,即有效应力公式为
| ${\sigma _i} = \frac{{{\sigma _z} + 2{\sigma _x}}}{3} - \frac{{{P_1} + {P_n}}}{2} + {\sigma _T}$ | (2) |
式中:热应力 $ {\sigma _T} = \lambda \Delta T,\lambda = \frac{{{a_T}E}}{{1 - 2\gamma }}$,λ为热应力系数,aT为体膨胀系数,E为平均弹性模量,γ为泊松比,ΔT为温度变化[13]。
当全应力和孔隙压力一定、页岩温度升高时,aT、E、γ也会变化,但热应力系数λ始终为正值,故热应力会随温度升高而增大,及有效应力随温度的升高而增大。这使得页岩密实度越来越大,微裂隙及微裂隙之间的渗透通道被压缩,渗透通道的压缩量会随温度的升高变得越来越小。加之,页岩基质受热膨胀,基质间裂隙宽度变小,裂隙呈现闭合趋势,甲烷渗透量降低。
温度对页岩骨架应变的影响,体现在由不同矿物组分基质膨胀系数差异性产生的热应力,即增大了有效应力,压缩骨架使渗流通道减小以及基质热膨胀使基质间裂隙宽度变小的双重作用。
3)在流体和固体交界面,固体与流体发生吸附解吸作用,温度升高,页岩基质对甲烷的解吸作用增强:解吸量增加,使单位时间内甲烷的流动量增加,提升了渗流速度;基质解吸后产生收缩效应,改变了页岩的内部结构,渗流通道呈变大的趋势,提高了渗流速度。
甲烷直径为0.414 nm,页岩气物理吸附为单分子层或多分子层,吸附层厚度为纳米级别[14, 15]。根据汪吉林等[6]的研究,龙马溪页岩基质孔径范围为2.030~77.698 nm,微裂隙宽度低者为10 μm左右,高者可超过100 μm。而且崔景伟等[16]认为在低渗透沉积物中内扩散是主要的运移方式,与基质孔隙相比裂隙孔隙是主要的扩散通道,因为基质孔隙多数是不连通的。
页岩也属于低渗透性物质,为验证其裂隙的连通性,采用SEM电镜扫描测试手段,得到页岩表面放大后的孔隙特征,如图 2所示,页岩介质致密,基质孔隙连通性很差,其渗流的主要通道为连通的裂隙空间。
|
图2 SEM电镜扫描 Fig. 2 Scanning electron microscope |
页岩的主要渗流通道为裂隙通道,温度升高后,页岩气解吸量增加导致吸附层厚度降低,裂隙宽度增大。从数量级上分析,吸附层厚度远远小于裂隙宽度,所以解吸作用的增加对渗透率的影响很小。
2 页岩温度甲烷压力加载实验 2.1 试样制备中国页岩气藏分布广泛,以四川盆地、鄂尔多斯盆地、准格尔盆地的页岩气藏为典型代表,本实验选取四川盆地重庆酉阳下志留统龙马溪组富含有机质的黑色页岩,试样委托重庆地质矿产研究院页岩气所检测TOC和R0,实验测得总有机碳含量TOC为7.88%,热成熟度R0为2.85%,在页岩气藏产生最有利条件范围(TOC≥2%,3%≥R0≥1%)内[17]。页岩试件的制备参照《煤的高压等温吸附试验方法》,利用200吨成型机压缩制备Φ100 mm×200 mm的型岩试件,选取80 t压力(计算压强为100 MPa)稳定保压30 min,然后放入烤箱,温度调至80 ℃烘24 h,冷却后用保鲜袋密封保存。图 3所示为页岩型岩试件图。
|
图3 页岩型岩试件 Fig. 3 Shale rock specimen |
实验采用重庆大学煤矿灾害动力学与控制国家重点实验室自主研发的CO2驱替CH4实验装备,轴向最大加载载荷800 kN,围压最大15 MPa,孔隙压力最大15 MPa,温度最高100 ℃,流量计精度0.000 1 L/min,引伸计精度0.001 mm。图 4所示为CO2驱替CH4实验装备与示意图。
|
注:1—升降机;2—三轴压力室;3—轴压传感器;4—伺服液压泵;5—恒温油域;6—活动工作台; 7—油域加热管;8—进油阀;9—排油阀;10—油域循环泵;11—吊绳;12—轴向位移传感器;13—轴向液压缸; 14—球型压头;15—进气阀;16—出气阀;17—排空阀;18—围压进排油阀;19—伺服阀;20—控制台 图4 CO2驱替CH4实验装备与装置连接示意图 Fig. 4 The experiment equipment and device schematic of CO2 displacement CH4 |
实验以温度和页岩气压力为变量,采用Φ100 mm×200 mm页岩试件,研究在30、40、50、60 ℃4个温度水平时,不同甲烷压力下页岩气的渗流变化规律,页岩气压力选取0.4、0.6、0.8、1.0、1.2、1.4 MPa,根据酉阳页岩赋存地质条件,轴压和围压选取定值,分别为3 MPa和2 MPa。实验步骤:
1)为保证试件气密性,安装前用704硅橡胶在页岩试件侧面均匀涂抹,硅橡胶干后,放置支撑轴上,套上热缩管,收缩后用金属箍固定,引伸计置于试件中部;
2)拧紧三轴压力室螺栓,充油排空后,将三轴室放入油浴缸;
3)调节定值轴压为24 kN(3 MPa)、围压2 MPa,抽真空,通甲烷吸附8 h,每个温度对应一个气压,流速稳定后,记录流量和形变。
3 实验结果与分析 3.1 甲烷内摩擦力变化分析理想气体状态方程适合描述低气压和低温度的气体,在真实气体直接引用会出现偏差,引进一个修正因子Z,修正气体状态方程为
| $\frac{p}{\rho } = \frac{{RTZ}}{M},$ | (3) |
式中:Z是关于温度和压力的函数,由对比温度Tr(实验温度与临界温度Tc的比值)和对比压力Pr(实验压力与临界压力Pc的比值)确定,查表甲烷Tc=190.58 K、Pc=4.604 MPa,利用Lee等[18]提出的经验公式μ=kexp(XρY)计算甲烷的粘度如表 1。
| 表1 不同温度甲烷的粘度μ Table 1 The viscosity of the methane at different temperatures |
从表 1可以看出,相同压力条件下,甲烷粘度与温度呈线性关系,随温度的升高而增大,温度由30 ℃升至60 ℃,则粘度由1.13×10-5 mPa·s增大到1.22×10-5 mPa·s,粘度约增大7.8%。甲烷内摩擦力与粘度成正比,故甲烷内摩擦力是降低渗流速度的主要因素。
3.2 热应力下骨架应变变化规律由上述分析可知,温度对页岩渗流通道存在双重作用,即热应力对骨架的压缩和基质热膨胀对渗流通道的减小。实验中甲烷的流动是沿轴向方向的,试件径向变形反映出甲烷渗流通道改变,实验时径向变形先减小后增大,如图 5所示,随着温度的升高,页岩热应力增大,即有效应力增加,页岩骨架受到有效应力的压缩,在50 ℃以前,宏观表现为有效应力的压缩作用,径向直径变小,且页岩的密实度越来越高,压缩作用越来越小,越难以压缩。在50 ℃以后,基质的膨胀体现出来,使页岩试件直径增大。
|
图5 温度与径向变形关系 Fig. 5 The relationship of temperature and radial deformation |
由达西定律计算页岩渗透率
| $K = \frac{{2q\mu L{p_n}}}{{A\left( {p_1^2 - p_n^2} \right)}},$ | (4) |
式中:K为渗透率,μm2;μ为气体粘度,mPa·s;q为气体流量,L/min;A为试件截面积,cm2;L为试件长度,cm;p1为出口端压力,MPa;pn为入口端压力,MPa。
实验得到温度条件下甲烷渗流速度,如表 2所示,计算出页岩渗透率与温度的关系图,如图 6所示。
| 表2 不同温度条件下甲烷渗流速度q Table 2 Methane seepage velocity at different temperature |
|
图6 温度与渗透率关系图 Fig. 6 The relationship of temperature and permeability |
当围压、轴压保持恒定,页岩渗透率随温度的增加而减小,说明温度升高时,热应力压缩作用和基质膨胀作用使得渗流通道减小,因此,温度对页岩渗流通道的压缩是减小渗透率的主要因素。
3.3 渗透速度与温度的关系分析得出热流固耦合作用下甲烷内摩擦力、热应力及热膨胀、基质收缩效应共同作用,降低了页岩的渗流速度,温度升高内摩擦力的减速作用、热应力和热膨胀对渗流通道的压缩作用,都使得单位时间渗流量减小,而孔隙与裂隙双重结构介质的基质收缩效应对渗流特性的影响很小。
4 结 论通过热流固耦合作用对页岩渗透特性影响规律分析,并佐以实验研究验证,探讨了页岩渗透特性随温度的变化规律,得出的主要结论如下。
1)针对温度对页岩渗透速度的影响,提出三方面五因素的分析方法。温度升高,甲烷内摩擦力的减速作用加大,降低了渗流速度;温度升高,热应力压缩页岩骨架、基质热膨胀使基质间裂隙宽度变小,降低了甲烷渗流速度;温度升高,甲烷解吸量增加,使单位时间内甲烷的流动量增加,提高了渗流速度;基质解吸后产生收缩效应,通道呈变大的趋势,提高了渗流速度。
2)以等温渗流实验验证,温度对甲烷、页岩固体的作用大于温度对吸附解吸的作用:甲烷的渗流速度随温度升高而减小。
| [1] | Loucks R G, Reed R M, Jarvie D M, et al. Morphology, genesis and distribution of nano-scale pores in siliceous mudstones of the Mississippian Barnett Shale[J]. Journal of Sedimentary Research, 2009, 79(12): 848-861.( 1) |
| [2] | Javadpour F, Fisher D, Unsworth M. Nanoscale gas flow in shale gas sediments[J]. Journal of Crystallization Process and Technology, 2007, 46(10): 16-21.( 1) |
| [3] | 王阳,朱炎铭,陈尚斌,等.湘西北下寒武统牛蹄塘组页岩气形成条件分析[J].中国矿业大学学报,2013,42(4):586-594. WANG Yang, ZHU Yanming, CHEN Shangbin, et al. Formation conditions of shale gas in lower Canbrian Niutitang Formation, northwestern Hunan [J]. Journal of China University & Technology,2013,42(4):586-594. (in Chinese)( 1) |
| [4] | 魏明强,段永刚,方全堂,等.页岩气藏孔渗结构特征和渗流机理研究现状[J].油气评价与开采,2011,1(4):73-77 WEI Mingqiang, DUAN Yonggang, FANG Quantang,et al. Current research situation of porosity & permeability characteristics and seepage mechanism of shale gas reservoir[J]. Reservoir Evaluation and Development,2011,1(4):73-77. (in Chinese)( 1) |
| [5] | 李武广,杨胜来,陈峰,等.温度对页岩吸附解吸的敏感性研究[J].矿物岩石,2012,32(2):115-120. LI Wuguang, YANG Shenglai, CHEN Feng, et al. The sensitivity study of shale gas adsorption and desorption with rising reservoir temperature[J]. Mineral Petrol, 2012,32(2):115-120. (in Chinese)( 1) |
| [6] | 汪吉林,刘桂建,王维忠,等.川东南龙马溪组页岩孔裂隙及渗透性特征[J].煤炭学报,2013,38(5):773-777. WANG Jilin,LIU Guijian,WANG Weizhong, et al. Characteristics of pore-fissure and permeability of shale in the Longmaxi Formation in southeastern Sichuan Basin [J]. Journal of China Coal Society, 2013,38(5):773-777. (in Chinese)( 2) |
| [7] | Zelenev A S,Zhou H,Ellena L, et al. Microemulsion-assisted fluid recovery and improved permeability to gas in shale formations[C]//SPE International Symposium and Exhibition on Formation Damage Control, February 10-12, 2010, Lafayette, Louisiana, USA. [S.l.]: Society of Petroleum Engineers, 2010.( 1) |
| [8] | 郭为,熊伟,高树生,等.页岩气等温吸附/解吸特征[J].中南大学学报,2013,44(7): 2836-2840. GUO Wei, XIONG Wei, GAO Shusheng, et al. Isothermal adsorption/desorption characteristics of shale gas[J]. Journal of Central South University, 2013,44(7):2836-2840. (in Chinese)( 1) |
| [9] | 殷宗泽. 土工原理[M]. 北京: 中国水利水电出版社,2007:147-155. YIN Zongze. Principles of geotechnique[M]. Beijing: China Water & Power Press, 2007: 147-155. (in Chinese)( 1) |
| [10] | 李道伦,卢德唐,王磊,等.有效渗透率与绝对渗透率的差异性分析[J].油气井测试, 2013,22(1):1-3. LI Daolun,LU Detang,WANG Lei, et al. Difference analysis between effective permeability and absolute permeability[J]. Well Testing, 2013, 22(1): 1-3. (in Chinese)( 1) |
| [11] | 毛根海,邵卫云,张燕. 应用流体力学[M]. 北京: 高等教育出版社,2006: 9-15. MAO Genghai, SHAO Weiyun, ZHANG Yan. Applied hydromechanics[M]. Beijing: Higher Education Press, 2006: 9-15. (in Chinese)( 1) |
| [12] | 李维特,黄保海,毕仲波.热应力理论及应用[M].北京: 中国电力出版社,2004:59-67. LI Weite, HUANG Baohai, BI Zhongbo. Thermal stress and its application[M]. Beijing: China Electricity Power Press, 2004: 59-67. (in Chinese)( 1) |
| [13] | 郝振良,马捷,王明育.热应力作用下有效压力对多孔介质渗透系数的影响[J].水动力学研究与进展,2003,18(6):792-796. HAO Zhenliang,MA Jie,WANG Mingyu. Influence of effective stress on the coefficient of permeability of porous medium under thermal stress[J]. Journal of Hydrodynamics, 2003,18(6): 792-796. (in Chinese)( 1) |
| [14] | 刘峰. 多孔介质热流固耦合的有限元分析[D].唐山: 河北理工大学,2010. LIU Feng. Finite element analysis of porous media on thermal fluid-structural interation[D]. Tangshan: Hebei Polytechnic University, 2010. (in Chinese)( 1) |
| [15] | 陈晓立. 从等温线吸附分支计算固体中间隙孔径及吸附层厚度[J]. 中国纺织大学学报, 1997, 23(2): 88-93. CHEN Xiaoli. Calculations of mesopore radii and adsorbed layer thickness from the adsorption branch of a nitrogen sorption isotherm[J]. Journal of China Textile University, 1997, 23(2):88-93. (in Chinese)( 1) |
| [16] | 崔景伟,邹才能,朱如凯,等.页岩孔隙研究新进展[J].地球科学进展, 2012,27(12):1319-1325. CUI Jingwei,ZOU Caineng,ZHU Rukai,et al. New advances in shale porosity research[J]. Advances in Earth Science, 2012,27(12):1319-1325. (in Chinese)( 1) |
| [17] | 张卫东,郭敏,姜在兴.页岩气评价指标与方法[J].天然气地球科学, 2011,22(6):1093-1099. ZHANG Weidong,GUO Min,JIANG Zaixing. Parameters and method for shale gas reservoir evaluation[J]. Natural Gas Geoscience, 2011,22(6):1093-1099. (in Chinese)( 1) |
| [18] | 孔祥言.高等渗流力学[M]. 合肥: 中国科技大学出版社,1999:334-349. KONG Xiangyan. Advanced mechanics of fluids in porous media[M]. Hefei: University of Science and Technology of China Press, 1999: 334-349. (in Chinese)( 1) |
2016, Vol. 39


1)