2. 湖南科技大学 煤矿安全开采技术湖南省重点实验室, 湖南 湘潭 411201;
3. 重庆南桐矿业有限责任公司, 重庆 400802;
4. 重庆大学 煤矿灾害动力学与控制国家重点实验室, 重庆 400044
2. Hunan Key Laboratory of Safe Mining Techniques of Coal Mines, Hunan Unviersity of Science and Technology, Xiangtan 411201, Hunan, P. R. China;
3. Nantong Mining Corporation Ltd., Chongqing 400802, P. R. China;
4. State Key Laboratory of Coal Mine Disaster Dynamics and Control, Chongqing University, Chongqing 400044, P. R. China
开采保护层和预抽煤层瓦斯是防治煤与瓦斯突出的区域性措施[1]。国内多数突出矿井无保护层可采,且随煤矿开采深度的增加,地应力和瓦斯压力增大,矿井突出危险性越来越大;同时,即使原作为保护层开采的煤层也逐步向突出煤层过渡,且保护层开采中也还存在未能保护到的区域;因此,预抽煤层瓦斯已成为防治煤与瓦斯突出的主要区域性措施。煤层的透气性是影响煤层瓦斯预抽效果的决定性因素,而国内95%的高瓦斯和煤与瓦斯突出矿井的煤层透气性系数为0.04~0.004 m2/(MPa2·d),远小于可抽采的0.1 m2/(MPa2·d)的要求,瓦斯预抽效果差,采用卸压增透技术[2, 3]已成为主要增透方法。国内外低透煤层的常用卸压增透技术有水力挤出、水力冲孔、水力割缝和深孔控制预裂爆破[4, 5, 6],但这些方法存在钻孔施工工程量大、有效影响范围小和抽采时间长等问题。近年来,水力压裂卸压增透技术被许多矿井采用,其具有增大煤层透气性、降低地应力及卸压范围大等特点[7, 8, 9, 10]。笔者针对南桐矿务局东林煤矿2606四段备采工作面的煤巷条带区域瓦斯治理难题,在理论研究和工程实践的基础上,提出并试验了穿层钻孔煤巷条带水力压裂防突新技术,为提高低透煤层的透气性系数和煤巷条带瓦斯抽采率,消除其突出危险性提供了一种有效的技术途径。
1 穿层钻孔煤巷条带水力压裂防突技术原理穿层钻孔煤巷条带水力压裂防突技术是通过对煤岩体结构改造、瓦斯驱赶和瓦斯增渗抽采3个方面实现增加煤体透气性,消除煤与瓦斯突出的目的。首先,借助井下巷道形成的卸压空间,将岩层段作为安全屏障,施工穿层钻孔对煤巷条带进行水力压裂。水力压裂过程中,高压水优先进入煤体中的弱割理,并发生起裂、扩展和延伸,形成主水压裂缝;同时,压力水沿主水压裂缝向两侧原生裂隙内渗透,在原生裂隙的尖端产生拉应力,当拉应力大于尖端次级弱面粘聚力和相应切线方向的原始应力之和时,尖端次级弱面起裂、扩展和延伸,并在次一级尖端弱面继续发生上一级弱面所经历的扩展延伸过程[8, 9, 10]。原生裂隙的张开和扩展,增加了原生裂隙弱面的空间体积和沟通了原生裂隙的连通网络,进而实现了以水压裂缝扩展为主的煤体结构改造,煤体的透气性提高。其次,煤体压裂过程中,高压水沿水压裂缝进入煤体的割理—微裂隙—孔隙组成的通道系统,在压力水渗流的前端,孔隙水克服运移通道壁的阻力前移,引起水渗流前端一定范围内的游离瓦斯被压缩,瓦斯压力升高,局部的瓦斯压力升高又产生瓦斯运移,即出现驱赶瓦斯现象[11],致使煤体中的瓦斯含量重新分布,形成以压裂钻孔为中心的瓦斯含量降低区、富集区和正常区;同时,高压水的滤失使煤体的含水饱和度增加,增大了煤体的塑性和内聚力,进一步降低了突出危险性。最后,基于压裂钻孔周围煤层瓦斯含量分布特点施工抽采钻孔,通过排水降压与负压抽采,使煤体瓦斯从基质表面解吸,并沿着微裂隙、张开的原生裂隙网络和水压主裂缝快速扩散渗流到钻孔中,达到消除煤与瓦斯突出危险性的目的。
2 穿层钻孔煤巷条带水力压裂钻孔布置及应力分析穿层钻孔煤巷条带水力压裂技术的钻孔布置方式如图 1所示。该技术的特点在于:首先在底板抽采巷中向预掘煤巷处施工若干穿层钻孔,并对其进行间隔水力压裂,压裂钻孔的间距可根据单孔水力压裂的影响半径来确定;然后结合水力压裂的瓦斯驱赶效应和《防治煤与瓦斯突出规定》中的预抽煤巷条带煤层瓦斯区域防突措施要求来确定抽采孔的布置位置,即急倾斜、倾斜煤层瓦斯抽采孔控制巷道上帮轮廓线外至少20 m,下帮至少10 m,而其他煤层为巷道轮廓线外至少15 m;最后将压裂孔和抽采孔进行联网抽采瓦斯,以消除煤巷条带的突出危险性。
|
图1 穿层钻孔煤巷条带水力压裂钻孔布置 Fig. 1 Crossing boreholes layout of road way strip for hydtaulic fracturing |
对于倾斜煤层,穿层钻孔煤巷条带水力压裂的水压裂缝起裂方位一般沿钻孔径向方向,结合弹性力学[12, 13, 14]可知,在地应力和压裂孔内水压综合作用下的钻孔周边应力场为
| $\left\{ \begin{array}{l} {\sigma _\theta } = \frac{1}{2}\left( {{\sigma _1} + {\sigma _3}} \right)\left( {1 + \frac{{{R^2}}}{{{r^2}}}} \right) - \frac{{P{R^2}}}{{{r^2}}} - \frac{1}{2}\left( {{\sigma _1} - {\sigma _3}} \right)\left( {1 + \frac{{3{R^4}}}{{{r^4}}}} \right)\cos 2\theta ,\\ {\sigma _r} = \frac{1}{2}\left( {{\sigma _1} + {\sigma _3}} \right)\left( {1 + \frac{{{R^2}}}{{{r^2}}}} \right) + \frac{{P{R^2}}}{{{r^2}}} + \frac{1}{2}\left( {{\sigma _1} - {\sigma _3}} \right)\left( {1 - \frac{{4{R^2}}}{r} + \frac{{3{R^4}}}{{{r^4}}}} \right)\cos 2\theta , \end{array} \right.$ | (1) |
式中:σθ和σr分别为切向和径向应力;σ1和σ3分别为水平方向的最大和最小水平主应力;R为钻孔半径;r为距钻孔中心的距离;θ为目标的方向角;P为水压力。
由式(1)可得钻孔壁处的切向应力σθ为
| ${\sigma _\theta } = {\sigma _1} + {\sigma _3} - P - 2\left( {{\sigma _1} - {\sigma _3}} \right)\cos 2\theta .$ | (2) |
由拉应力准则可知,当切向拉应力σθ大于煤体抗拉强度σt时,压裂钻孔的孔壁起裂,即目标煤层的起裂压力为
| $P > {\sigma _1} + {\sigma _3} - 2\left( {{\sigma _1} - {\sigma _3}} \right)\cos 2\theta + {\sigma _t}.$ | (3) |
文献[15]研究了南桐矿区的地应力与埋深的关系,该研究结果对南桐矿区的工程实践具有良好的指导作用。
| ${\sigma _1} = 2.704 + 0.018H$ | (4) |
| ${\sigma _3} = 4.006 + 0.01127H$ | (5) |
| ${\sigma _v} = 2.027 + 0.03371H$ | (6) |
式中:H为埋深;σv为垂直应力。
3 穿层钻孔煤巷条带水力压裂现场试验及效果分析 3.1 试验区概况南桐矿务局东林煤矿为煤与瓦斯突出矿井,2606四段备采工作面主采6号煤层,埋深370~510 m,倾角20°,煤厚0.8 m,煤体结构类型以Ⅱ、Ⅲ类为主,坚固性系数为0.4,煤层瓦斯压力2.54 MPa,瓦斯含量为16.4 m3/t,煤层透气性系数低。
为准备出回采工作面,矿井原有的煤巷掘进防突措施为底板穿层钻孔预抽煤巷条带瓦斯,但由于6号煤层透气性低,导致穿层钻孔布孔密集、瓦斯抽采率低和工人劳动强度高,影响了东林煤矿的采掘接替。因此,采用2606四段备采工作面底板抽采巷施工穿层钻孔进行煤巷条带水力压裂增透抽采瓦斯方法来掩护煤巷掘进。
3.2 试验设备及压裂参数试验设备以实现井下操作为目的,由压裂泵、水箱、高压管路等集成配套组成,如图 2所示。
|
图2 试验设备 Fig. 2 Experimental equipment |
压裂设备选用BYW1100/50型压裂泵组,该设备额定压力为70 MPa,额定流量为66 m3/h,可多个档位操作,满足压裂要求。压裂泵通过高压管与钻孔内压裂管连接,压裂管采用外径32 mm,壁厚8 mm的优质无缝钢管。为保证水力压裂过程中压力和流量参数的准确读取,在压裂泵组和管路上配备了耐高压抗震压力表和流量计。
结合试验条件,压裂钻孔终孔位置处的预掘煤巷埋深为510 m,煤体抗拉强度为1.1 MPa,由式(3)~(6)初步求得压裂目标区煤体起裂水压力为18.47 MPa。考虑到煤体的瓦斯压力及管道摩阻等因素,压力泵组及管路上的压力表压力值大于煤体实际所受压力,将压裂泵的最大压力设置为30 MPa。若压裂过程中水压稳定一定时间后突然下降,随后持续加压无明显升高,表明煤体已被压裂,此时可停止压裂[16]。
3.3 试验过程现场试验的工艺流程如下:先施工压裂孔,安装调试压裂设备,接着封孔,连接压裂管路至压裂孔,压裂作业,最后施工抽采孔并联网抽采瓦斯。在2606四段工作面底板抽采巷中施工3个压裂钻孔,钻孔均终孔于工作面预掘煤巷位置;为保证钻孔封孔质量,采用水泥砂浆封孔,封孔长度接近于煤层底板,现场试验的压裂孔布置方式如图 3所示。
|
图3 钻孔布置示意图 Fig. 3 Distribution of boreholes |
穿层钻孔煤巷条带水力压裂的过程如下:
1)压裂3号孔,压力表压力为22~26 MPa,当注入水量为422 m3时,从距离66 m处的2号压裂孔中泻出煤水混合物,测得其出水量为0.288 m3/h;出水前后瓦斯浓度分别为2%和95%;此外,3号压裂孔终孔位置下方20 m处的下水平瓦斯预抽孔浓度由14%增加到86%。
2)压裂1号孔,压力表压力为19~24 MPa,当注入水量为404 m3时,从距离80 m处的2号压裂孔中泻出煤水混合物,2号压裂孔的瓦斯浓度增大为92%。
3)压裂2号孔,由于该孔压裂前已与1号、3号钻孔形成了部分连通,压裂过程中的压力表压力较1号和3号钻孔的低,为17~18 MPa,压裂时3号压裂孔泄水量明显增加,大量煤屑从3号孔流出,此时1号、2号压裂孔的瓦斯浓度达到99%。
3.4 试验效果分析由前述水力压裂结果可知,建立的目标煤层起裂压力计算模型符合技术增透卸压要求;同时,压裂中的钻孔瓦斯浓度增加现象体现了水力压裂的驱赶瓦斯效应[11],水力压裂走向方向的瓦斯驱赶影响半径为66~80 m,倾向方向的瓦斯驱赶影响半径可达20 m。因此,结合瓦斯驱赶效应和区域防突措施的要求,将抽采孔均匀布置在压裂钻孔两侧,且钻孔倾向的终孔位置距煤巷的层面距离为15 m(见图 3)。压裂后进行钻孔排水,测定了压裂孔与抽采孔的抽采浓度和抽采纯量,并将其与割缝孔、普通抽采孔的瓦斯抽采情况进行对比分析其压裂效果。
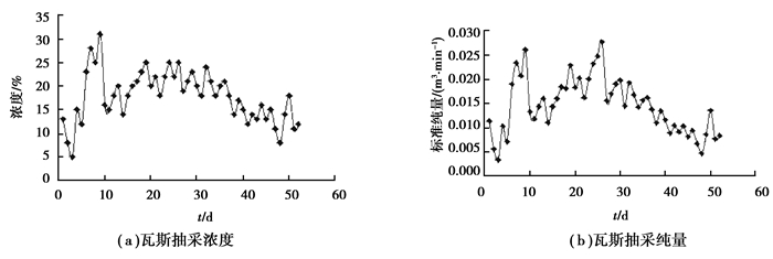
3.4.1 压裂孔与抽采孔的瓦斯抽采情况及分析图 4为1~3号压裂孔前58天的瓦斯抽采浓度及纯量变化曲线。
|
图4 压裂钻孔瓦斯抽采浓度及纯量变化曲线 Fig. 4 Variation curves of gas extraction concentrtation and purity from fracturing boreholes |
由图 4可知,水力压裂钻孔的瓦斯抽采浓度和抽采纯量曲线呈现“高—低—高”的特点,这与煤层气井压裂的“双峰型”产气特征类似[17],反映了水力压裂对煤体改造的双重作用。压裂钻孔瓦斯抽采第1~16天,瓦斯抽采浓度和抽采纯量保持平稳,平均瓦斯抽采浓度和纯量分别为87%和0.1 m3/min。这是由于水力压裂在压裂钻孔附近形成了大量高导流能力的水压裂缝,且瓦斯的压降幅度也较大,因此压裂钻孔附近区域首先有大量的瓦斯解吸并快速运移产出,形成压裂后的第一个产气高峰;瓦斯抽采的第16~22天,压裂孔的抽采浓度和纯量均有所降低,且现场观察发现抽采水量增加明显,这是由于压裂钻孔附近水压裂缝处的瓦斯气体已大部分运移产出,而压裂过程中的高压水滤失增加了煤体的含水饱和度,导致煤基质块的渗透性降低,瓦斯运移产出困难,出现瓦斯产气低谷期;瓦斯抽采的第22~58天,压裂孔内的瓦斯抽采浓度及纯量又开始增加,出现第二个产气高峰期,这是由于在进一步的排水降压作用下,压裂钻孔较远处的瓦斯运移产出通道开始增加,煤基质块的含水饱和度逐渐降低,大范围煤基质块渗透性将提高;同时,在抽采负压作用下,煤体中的瓦斯压力不断降低,瓦斯含量减少,煤基质将发生收缩使煤体裂隙增加,煤体渗透性增大,大范围内的煤体瓦斯运移至压裂裂缝[18, 19, 20, 21, 22]。 图 5为1~8号抽采孔前54天的平均瓦斯抽采浓度及纯量变化曲线。
|
图5 瓦斯抽采孔平均浓度及纯量变化曲线 Fig. 5 Variation curves of gas extraction concentration and purity from drainage boreholes |
由图 5可知,抽采钻孔的瓦斯抽采浓度和抽采纯量曲线呈现“高—低”的特点。瓦斯抽采前25天的平均瓦斯抽采浓度和抽采纯量较大,分别为20%和0.016 m3/min;这是由于水力压裂倾向方向的瓦斯驱赶影响半径可达20 m,进而导致影响半径附近区域形成了瓦斯含量富集区[11, 22],当瓦斯抽采孔布置在这些区域时,在高瓦斯压力梯度的作用下,大量的瓦斯渗流到抽采孔中,出现瓦斯抽采量峰值;瓦斯抽采的第25天后,瓦斯抽采浓度和纯量出现衰减,但由于仍处于增透影响区,其衰减相对较小;此外,抽采孔中未发现压裂孔抽采时水量明显增加的现象,说明抽采孔瓦斯运移产出的主导因素是压裂的增透作用。
3.4.2 压裂孔、割缝孔与普通穿层孔的瓦斯抽采情况对比为研究穿层钻孔煤巷条带水力压裂效果,对比了水力压裂孔、水力割缝孔和普通穿层孔9周内3种瓦斯抽采条件下的抽采纯量,如图 6所示。
|
图6 瓦斯抽采纯量对比曲线 Fig. 6 Comparision curves of pure gas extraction amount |
由图 6可知,相比于水力割缝孔和普通穿层孔平均瓦斯纯量的0.005 m3/min和0.000 78 m3/min,压裂孔的平均瓦斯抽采纯量为0.104 18 m3/min,分别提高了20倍和133倍;而抽采孔的平均瓦斯抽采纯量为0.013 m3/min,分别提高了2.6倍和16倍,水力压裂增透效果明显。
3.4.3 煤巷的残余瓦斯含量情况3个水力压裂钻孔抽采一年半,其瓦斯抽采浓度稳定在80%~98%,平均抽采纯量为0.096 m3/min,累计抽采纯量瓦斯2.152×105 m3;同时,沿预掘煤巷走向均匀布置了7个残余瓦斯含量测定钻孔以考察水力压裂增透抽采瓦斯后预掘煤巷处的突出危险性,测定结果为3.45~5.86 m3/t,低于《防治煤与瓦斯突出规定》的临界值8 m3/t[1],达到了区域防治煤与瓦斯突出的目的。
4 结 论1)穿层钻孔煤巷条带水力压裂防突技术从煤岩体结构改造、瓦斯驱赶和瓦斯增渗抽采3个方面实现增加煤层透气性和消除煤与瓦斯突出。基于压裂孔的应力场、瓦斯驱赶效应和区域防突要求确定的目标煤层起裂压力计算模型及抽采孔布置方式符合技术增透卸压要求。
2)压裂钻孔的瓦斯抽采浓度和抽采纯量曲线呈现“高—低—高”特点,体现了压裂改造的双重作用,压裂后应及时返排压裂液以减少压裂液滤失使产气高峰前移。
3)穿层钻孔煤巷条带水力压裂防突技术现场实施表明,水力压裂增透效果明显,相比于水力割缝孔和普通穿层孔,压裂孔的平均瓦斯抽采纯量分别提高了20倍和133倍;抽采孔的平均瓦斯抽采纯量分别提高了2.6倍和16倍,预掘煤巷处的残余瓦斯含量降到8 m3/t以下,达到了区域防突的目的。
4)针对低渗煤层煤巷条带区域瓦斯治理难题,提出的穿层钻孔煤巷条带水力压裂防突技术可增加煤体的透气性,消除煤与瓦斯突出的危险性,对于技术的完善还需要做进一步的研究。
| [1] | 国家煤矿安全监察局.防治煤与瓦斯突出规定[M].北京:煤炭工业出版社,2009. State Administration of Coal Mine Safety. Regulations of prevention for coal and gas outburst[M]. Beijing: China Coal Industry Publishing House, 2009. (in Chinese)( 2) |
| [2] | Huang B X, Liu C Y, Fu J H, et al. Hydraulic fracturing after water pressure control blasting for increased fracturing[J]. International Journal of Rock Mechanics & Mining Sciences, 2011(30): 976-983.( 1) |
| [3] | 赵阳升,杨栋,胡耀青,等.低渗透煤储层煤层气开采有效技术途径的研究[J].煤炭学报,2001,26(5):455-458. (in Chinese) ZHAO Yangsheng, YANG Dong, HU Yaoqing, et al. Study on the effective technology way for mining methane in low permeability coal seam[J]. Journal of China Coal Society, 2001, 26(5): 455-458. (in Chinese)( 1) |
| [4] | 刘明举,孔留安,郝富昌,等.水力冲孔技术在严重突出煤层中的应用[J].煤炭学报,2005,30(4):451-454. LIU Mingju, KONG Liuan, HAO Fuchang, et al. Application of hydraulic flushing technology in severe outburst coal[J]. Journal of China Coal Society, 2005, 30(4): 451-454. (in Chinese)( 1) |
| [5] | 李晓红,卢义玉,赵瑜,等.高压脉冲水射流提高松软煤层透气性的研究[J].煤炭学报,2008,33(12):1386-1390. LI Xiaohong, LU Yiyu, ZHAO Yu, et al. Study on improving the permeability of soft coal seam with high pressure pulsed water jet[J]. Journal of China Coal Society, 2008, 33(12): 1386-1390. (in Chinese)( 1) |
| [6] | 刘泽功,蔡峰,肖应祺.煤层深孔预裂爆破卸压增透效果数值模拟分析[J].安徽理工大学学报,2008,28(4):17-20. LIU Zegong, CAI Feng, XIAO Yingqi. Numerical simulation and analysis of effect of stress release and permeability improvement in coal seams by deep-hole presplitting explosion[J]. Journal of Anhui University of Science and Technology, 2008, 28(4): 17-20. (in Chinese)( 1) |
| [7] | 孙炳兴,王兆丰,伍厚荣.水力压裂增透技术在瓦斯抽采中的应用[J]. 煤炭科学技术, 2010, 38(11): 78-81. SUN Bingxing, WANG Zhaofeng, WU Hourong. Hydraulic pressurized cracking and permeability improvement technology applied to gas drainage[J]. Coal Science and Technology, 2010, 38(11): 78-81. (in Chinese)( 1) |
| [8] | 吕有厂.水力压裂技术在高瓦斯低透气性矿井中的应用[J].重庆大学学报,2010,33(7):104-106. LYU Youchang. Application the hydraulic fracturing technology in high pressure and low permeability mine[J]. Journal of Chongqing University, 2010, 33(7): 104-106. (in Chinese)( 2) |
| [9] | 郭启文.煤矿井下水力压裂增透抽采机理及应用研究[J].煤炭科学技术,2011,39(12):60-64. GUO Qiwen. Study on mechanism and application of hydraulic fracturing and permeability improvement gas drainage in underground mine[J]. Coal Science and Technology, 2011, 39(12): 60-64. (in Chinese)( 2) |
| [10] | Xu Y P, Zhai C, Hao L S, et al. The pressure relief and permeability increase mechanism of crossing-layers directional hydraulic fracturing and its application[J]. Procedia Engineering, 2011(6): 1184-1193.( 2) |
| [11] | 黄炳香,程庆迎,陈树亮,等.突出煤层深孔水力致裂驱赶与浅孔抽采消突研究[J].中国矿业大学学报,2013,42(5):701-711. HUANG Bingxiang, CHENG Qingying, CHEN Shuliang, et al. Study of coal seam outburst mitigation by deep hole hydro-fracturing and shallow hole methane drainage[J]. Journal of China University of Mining & Technology, 2013, 42(5): 701-711. (in Chinese)( 3) |
| [12] | 白新华,吴财芳,耿仪,等.高突低渗煤层立体网状穿层 压裂防突技术试验研究[J].煤炭学报,2013,38(2):245-250. BAI Xinhua, WU Caifang, GENG Yi, et al. Experimental study of space mesh hydraulic fracturing by drilling through strata for outburst prevention in severe-outburst and low-permeability coal seam[J]. Journal of China Coal Society, 2013, 38(2): 245-250.(in Chinese)( 1) |
| [13] | 覃道雄,朱红青,张民波,等.煤层水力压裂增透技术研究与应用[J].煤炭科学技术,2013,41(5):79-85. QIN Daoxiong, ZHU Hongqing, ZHANG Minbo, et al. Application and research on seam hydraulic fracture permeability improvement technology[J]. Coal Science and Technology, 2013, 41(5): 79-85. (in Chinese)( 1) |
| [14] | Yang T H, Zhu W C, Yu Q L. The role of pore pressure during hydraulic fracturing and implications for groundwater outbursts in mining and tunneling[J]. Hydrogeology Journal, 2011(19): 995-1008.( 1) |
| [15] | 姚宝魁,孙广忠,尹代勋. 矿山岩体工程地质力学研究[M].北京:中国科学技术出版社,1993. YAO Baokui, SUN Guangzhong, YIN Daixun. Geomechanics of mine rock mass engineering[M]. Beijing: China Science and Technology Press, 1993. (in Chinese)( 1) |
| [16] | 袁志刚,王宏图,胡国忠,等.穿层钻孔水力压裂数值模拟及工程应用[J].煤炭学报,2012,37(S1):109-114. YUAN Zhigang, WANG Hongtu, HU Guozhong, et al. Numerical simulation of hydraulic fracturing of crossing borehole and its engineering application[J]. Journal of China Coal Society, 2012, 37(S1): 109-114. (in Chinese)( 1) |
| [17] | 陶树,汤达祯.沁南煤层气井产能影响因素分析及开发建议[J].煤炭学报,2011,36(2):194-198. TAO Shu, TANG Dazhen. Analysis on influence factors of coalbed methane wells productivity and development proposals in southern Qinshui Basin[J]. Journal of China Coal Society, 2011, 36(2): 194-198. (in Chinese)( 1) |
| [18] | 傅雪海,李大华,秦勇,等.煤基质收缩对渗透率影响的实验研究[J].中国矿业大学学报,2002,31(2):129 -131. FU Xuehai, LI Dahua, QIN Yong, et al. Experimental research of influence of coal matrix shrinkage on permeability[J]. Journal of China University of Mining & Technology, 2002, 31(2): 129-131. (in Chinese)( 1) |
| [19] | Reucroft P J, Patel H. Gas-induced swelling in coal[J]. Fuel, 1986, 65(6): 816-820.( 1) |
| [20] | 郭红玉,苏现波.煤层注水抑制瓦斯涌出机理研究[J].煤炭学报,2010,35(6):923-931. GUO Hongyu, SU Xianbo. Research on the mechanism of gas emission inhibition in water flooding coal seam[J]. Journal of China Coal Society, 2010, 35(6): 923-931. (in Chinese)( 1) |
| [21] | Levine J R. Model study of the influence of matrix shrinkage on absolute permeability of coalbed reservoirs[J]. Geological Society Publication, 1996(199): 197-212.( 1) |
| [22] | 李全贵,翟成,林柏泉,等.低透气性煤层水力压裂增透技术应用[J].煤炭工程,2012(1):31-36. LI Quangui, ZHAI Cheng, LIN Baiquan, et al. Application of hydraulic fracturing and permeability improvement technology to low permeability seam[J]. Coal Engineering, 2012(1):31-36. (in Chinese)( 2) |
2016, Vol. 39


2)