2. 重庆大学, 自动化学院, 重庆 400044
2. College of Automation, Chongqing University, Chongqing 400044, P. R. China
面对日益增加的能量损耗以及严重的环境污染,节能减排已成为中国的基本国策,改变现有的以煤、石油为主的化石燃料加热方式,使用清洁能源刻不容缓。微波[1]是一种清洁能源,可以通过使用电能的方式产生,可用于众多工业热处理领域。相较于传统加热方式,微波能在众多工业领域显露出卓越的节能省时特性,受到越来越多的研究人员与企业的重视。然而工业物料作为大功率微波源负载,是典型的复杂时变非均匀媒质,其性状往往千差万别,且其对微波的吸收能力随时间改变,使温度发生非线性剧烈变化,出现热失控现象,对生产造成危险。因此对加热负载温度的准确预测是保证大功率微波源加热过程可靠性、安全性,并用于实际工业加热过程的重要研究课题之一。
目前,已经有许多学者尝试建立微波加热模型来预测媒质温度分布[2-17]。Marra等[18]通过求解Maxwell方程建立了食品加热过程的非线性耦合热传方程,描述了微波加热过程中的多物理场效应,对温度预测有一定的指导意义。Farag等[19]通过Lambert定律来描述微波加热过程中的媒质温度分布,进而预测媒质的温度变化。然而此类“白盒”模型构建方法需要基于多物理场耦合的分析,了解微波加热过程中媒质内部电磁场分布,否则很难通过直接理论推导的方法来建立系统的热动力学模型。因此一些研究者开始基于过程数据来探索温度预测模型。Yuan等[20]基于微波辐射去离子水升温过程的系统输入输出数据,通过最小二乘法建立了系统的预测模型。该方法克服了微波加热过程理论建模的复杂度高、先验知识依赖度高、部分媒质参数未知的,然而该模型只能应用于特定的目标产品及应用环境,在一次单独的实验过程中获取的模型参数不能直接应用于不同介质或者同一介质在不同的应用环境。因此,为了提高模型在不同应用环境的适应能力,模型应具有自学习能力。近年来,神经网络作为一种“黑盒”模型,已经证明在未知系统辨识领域的可行性,而且由其自学习能力,能够自主学习未知过程。一些学者已经对微波加热过程的参数,例如干燥时间、含水率、多孔性等变量利用神经网络进行预测研究。陈诚[2]等基于粒子群算法优化BP神经网络,预测微波加热负载的温度变化。王伟[3]等提出一种基于ANFIS的分段温度预测模型,建立基于K均值聚类的温度划分机制,采用不同结构的ANFIS预测微波加热介质不同阶段的温度。然而上述模型都未充分提取过程参数的深度特征。范志刚[4]等将改进的BP神经网络和专家系统相结合,实现对高炉焦比的在线预报,而BP网络容易陷入局部最优,使预测精度受到一定程度影响。此外,以上模型仅考虑了媒质的单点温度变化,忽视了空间温度场的分布情况,对微波加热过程热点及热均匀性研究较少。
针对已有研究的不足,提出一种基于布谷鸟搜索优化BP神经网络的温度预测模型,基于泛函连接神经网络提取实验过程数据的深度特征,建立了以“数据驱动”为手段预测微波加热工业物料温度的模型并与遗传算法[5]优化神经网络模型的预测结果进行对比,证明了研究提出的温度预测模型的准确性与实时性,且进一步模拟了媒质的一维温度场分布情况。
1 预测模型总体框架在微波加热过程中,媒质温度是时间和空间的函数。基于Lambert定律,若只考虑一维情况,表面的入射功率为标准值,则在特定负载深度时功率耗散在入射方向上呈指数衰减。所以假设横向电磁波微波仅沿z轴垂直入射长度为L2的媒质,电场Ex沿x轴方向,磁场Hy沿y轴方向。受Akkari[21]等的启发,采用一种空间离散化的方法,将加热媒质在Oz方向上等分为m个微元体 (即m层),z=Lz/m为每份微元体的高度,Lz表示媒质在z轴方向上的总高度z=0表示媒质的上表面,z=Lz表示媒质的下表面。如图 1所示。
|
图 1 微波 Figure 1 Microwave |
基于以上假设,针对媒质在一维温度分布情形下,建立基于布谷鸟搜索优化BP神经网络 (CS-BPNN) 的微波加热过程温度预测模型。针对液固态媒质为研究对象,以加热时间,加热功率以及媒质在z轴方向上的位置坐标作为神经网络的输入,负载温度作为神经网络的输出。基于泛函连接神经网络提取样本数据的深度特征,划分样本数据产生训练集与测试集。利用布谷鸟搜索算法优化BP神经网络初始权值和阈值,最终将训练好的神经网络用于温度预测。基于上述思想,构建预测模型总体框架,如图 2所示。
|
图 2 CS-BP微波加热温度预测框架 Figure 2 Temperature prediction framework of CS-BP microwave heating |
选取的加热过程数据具有不同的范围,需要做标准化处理。此外,为了建立准确的微波加热负载温度预测模型,还必须考虑与媒质温度非线性相关的热、电、磁等特性,比如热扩散系数、磁导率、电容率、电导率等,然而在微波加热实验中这些参数往往难以获取,也很难确定不同参数之间的精确关系。为了帮助提取更有用的信息,挖掘微波加热更深层次的模式,需要利用已有的时间、功率以及位置坐标特征集构造出新的特征,并加到现有的特征集中。
2.1 数据标准化处理由于时间、功率、温度以及位置坐标具有不同的量纲,将导致神经网络训练时间长,收敛速度慢。为了消除指标之间的量纲和取值范围差异的影响,首先进行标准化处理。笔者对温度和时间训练数据采用一种常见的线性转换算法,在进行温度预测时,再将训练集保留下来的xmin和xmax作为测试集的归一化标准。由于功率和位置坐标数据结构较为单一,若采用上述算法,将导致归一化后的数据有大量0存在,影响神经网络的训练。故对功率和位置坐标按照一定比例缩放,使之落入[0,1]的范围。其具体转换公式如 (1) 所示
| $ \begin{align} &{{{\bar{x}}}_{\text{d}}}={{x}_{\text{d}}}/10, \\ &{{{\bar{x}}}_{\text{p}}}={{x}_{\text{p}}}/1000, \\ &{{{\bar{x}}}_{\text{t}}}={{x}_{\text{t}}}-{{x}_{\text{t }\!\!\_\!\!\text{ min}}}/{{x}_{\text{t }\!\!\_\!\!\text{ max}}}-{{x}_{\text{t }\!\!\_\!\!\text{ min}}}, \\ &{{{\bar{y}}}_{\text{t}}}={{y}_{\text{t}}}-{{y}_{\text{t }\!\!\_\!\!\text{ min}}}/{{y}_{\text{t }\!\!\_\!\!\text{ max}}}-{{y}_{\text{t }\!\!\_\!\!\text{ min}}}, \\ \end{align} $ | (1) |
其中,
为了丰富微波加热过程的特征,可将现有特征映射到新的空间,构造新的属性。提出一种基于泛函连接神经网络的特征构造方法[22],利用泛函扩展单元将输入模式映射到另一个模式空间。泛函连接神经网络 (FLANN) 最早由Pao[16]提出,该网络在处理函数逼近和模式分类问题上,其收敛速度和计算量都优于一般的神经网络。Patra等[14]发现由FLANN对输入模式空间泛函扩展所产生的超平面使其具有更好的多元函数逼近能力和分类能力。FLANN已经在系统识别、非线性系统控制和降噪等领域中取得广泛应用[6]。Majhi[17]等基于三角泛函连接神经网络来预测股票价格,利用最小均方误差和递归最小二乘算法训练模型参数,最终取得较好结果。Bakar[23]等基于布谷鸟搜索算法优化泛函连接神经网络用于预测某地区每天的温度和相对湿度。
FLANN具有单层的网络结构,其神经元函数由若干个特定的基函数线性组合而成。图 3为泛函网络的网络结构,BN={φ}i=1N为FLANN扩展神经元的基函数,W=[wj1, wj2...wjN]为连接输出的权值矩阵,X=[x1, x2…xn]T为输入向量,y=[y1, y2…ym]T为输出向量,输入与输出的关系如下所示
|
图 3 泛函连接神经网络结构 Figure 3 Functional link neural network architecture |
| $ {{S}_{j}}=\sum\limits_{i=1}^{N}{{{w}_{ij}}\boldsymbol{{{\varphi }}_{i}}\left( \boldsymbol{X} \right)}, $ | (2) |
| $ {{y}_{j}}=\rho \left( {{S}_{j}} \right), $ | (3) |
其中,ρ为输出的激活函数。可将 (2) 式表示为S=φwT,则权值矩阵存在的条件是φ矩阵可逆,即上面的矩阵等式是线性无关的,故需要选择合适的正交多项式作为泛函扩展的基函数,其中包括勒让德、切比雪夫、高斯函数和三角函数多项式。而Sanger等[15]发现相对于其它基函数,采用三角函数,其函数逼近能力更强且计算速度快。所以利用三角函数作为泛函扩展的基函数以构造更多的特征。由于微波加热过程数据为时间、功率和位置坐标,故考虑输入变量为X=[x1, x2, x3], 经过泛函扩展后如式 (4) 所示
| $ \boldsymbol{\varphi} =\left[{{x}_{1}}, \cos \left( \text{ }\!\!\pi\!\!\text{ }{{x}_{1}} \right), \sin \left( \text{ }\!\!\pi\!\!\text{ }{{x}_{1}} \right), {{x}_{2}}, \cos \left( \text{ }\!\!\pi\!\!\text{ }{{x}_{2}} \right), \sin \left( \text{ }\!\!\pi\!\!\text{ }{{x}_{2}} \right), {{x}_{3}}, \cos \left( \text{ }\!\!\pi\!\!\text{ }{{x}_{3}} \right), \sin \left( \text{ }\!\!\pi\!\!\text{ }{{x}_{3}} \right) \right], $ | (4) |
通过式 (4) 将三维的输入特征映射到新的空间,构成一个九维的输入变量,微波加热过程特征更加丰富 (如图 3)。
2.4 特征提取结果基于实验数据,将时间、功率以及位置坐标作为3个特征值,经归一化处理和泛函扩展后,得到的九维输入特征变量如图 4所示。
|
图 4 不同负载特征提取结果 Figure 4 Feature extraction results of different load |
图中x1代表位置坐标,x2代表加热功率,x3代表加热时间,x4=sin (π×x1),x5=cos (π×x1),x6=sin (π×x2),x7=cos (π×x2),x8=sin (π×x3),x9=sin (π×x3)。分别代表3个原始特征的三角变换,最终组合在一起构造出新的特性。
3 基于CS-BPNN的微波工业加热温度预测模型 3.1 BP神经网络BP神经网络[8-9]是一种按误差反传算法的多层前馈网络,包括输入层、输出层和隐含层。它的训练包括前向传播和误差反向传播2个过程。输入信号经过隐含层到输出层,计算实际输出和预测输出之间的误差,将误差值沿网络反向船舶并修正连接权值,重复上述过程,直到全局误差达到满意为止,学习结束。
采用一类3层BP神经网络输入层为经过式 (4) 扩展后的特征值,输出层为温度。通过经验公式和误差比较选择出合适的隐含层神经元个数。最终将神经网络输出做反归一化处理,得到预测温度。
BP神经网络最初训练时,其各层连接权值和阈值的初始化会使得网络收敛速度慢,且容易导致局部最优情况,温度预测效果不理想。为此采用布谷鸟搜索算法优化BP神经网络的初始权值和阈值,以提高预测精度,缩短训练时间。
3.2 布谷鸟搜索算法布谷鸟搜索算法[10-11]受布谷鸟繁殖方式和自然界Le′vy飞行的启发,经过对布谷鸟寻巢孵蛋行为的抽象演变而来。可使用3个理想化的规则:第一,每只布谷鸟一次只产一个卵,且将其随机放置在任意巢中;第二,在条件优异的宿主巢中将会产生下一代布谷鸟;第三,寄生巢穴的数量是一定的,宿主鸟发现布谷鸟蛋的概率是Pa∈[0,1]巢里的每个蛋代表个解,每个布谷鸟蛋代表一个新解,其目的就是利用新解或者潜在的更优解去取代巢中较差的解。基于此,布谷鸟算法位置更新公式为
| $ x_{ij}^{m+1}=x_{ij}^{m}+\alpha \times Le'vy\left( \lambda \right), $ | (5) |
其中xijm+1和xijm表示第i个鸟巢在第m和m+1代时第j维的位置,α为路径长度。式 (5) 本质上是一种随机行走方程。由式 (5) 可知,布谷鸟的下一个位置仅取决于当前位置xijm和转移频率α。Le′vy(λ) 为Le′vy飞行随机搜索的跳跃路径,其概率密度函数为
| $ Le'vy\left( \lambda \right)\to u={{t}^{-\lambda }}, \left( 1 < \lambda \le 3 \right), $ | (6) |
Le′vy飞行算法[12-13]是一种随机步长算法,其步长符合重尾概率分布,经过大量的学习步长后,随机步长起始点的距离逐渐趋于稳定分布。
3.3 CS-BPNN温度预测步骤布谷鸟搜索算法优化BP神经网络的温度预测模型主要分为3个部分:BP网络结构的确定、布谷鸟搜索算法、BP网络的预测。其具体步骤如下:
步骤一:首先构建一个3层BP神经网络,确定各层数目。
步骤二:在[-3,3]范围内随机产生25个鸟巢位置
| $ n={{n}_{1}}\times {{n}_{2}}+{{n}_{2}}+{{n}_{2}}\times {{n}_{3}}+{{n}_{3}}, $ | (7) |
其中n1代表输入层数目,n2代表隐层数目,n3代表输出层数目。设置好相关算法参数后,进行网络优化训练。以误差评价指标作为适应度函数,根据适应度函数,得到当前最优的鸟巢位置xb0。
步骤三:保留上一代最优的鸟巢位置xb0,按照莱维飞行算法更新鸟巢的位置
步骤四:随机产生K值和Pa进行比较:如果K<Pa,则以随机步长更新鸟巢的位置;如果K>Pa,则保留原来鸟巢的位置。与原鸟巢位置进行比较:如果未更新,则沿用原来的鸟巢;如果更新,则保留新的鸟巢。最后得到更新后n个鸟巢位置
步骤五:找到xt+1中最优的一个鸟巢位置。如果达到最大迭代次数,则停止搜索,并找到最终位置。否则,回到步骤二继续优化。
步骤六:根据最佳的鸟巢位置对应到BP神经网络的初始权值和阈值。将经处理后的测试样本作为神经网络的输入,输出层经反归一化处理后得到预测温度。
4 实验仿真及结果分析 4.1 实验环境及数据获取研究采用一类微波加热液固态媒质实际过程来验证上述CS-BPNN温度预测模型。首先简述一套1 KW微波加热系统 (如图 5),然后基于实验数据训练网络模型,并通过测试数据进行模型验证。
|
图 5 微波加热系统 Figure 5 Microwave heating system |
图为1 kW微波加热系统装置,其中:①水负载;②微波谐振腔,它是实现微波多模谐振的密闭吕制腔体,媒质放置于微波谐振腔中可实现加热目的,谐振腔内部三路光纤测温仪通过同加热媒质接触,实时测量接触位置的温度;③双定向耦合器,用于入射和反射功率测量;④三端口环形器,可吸收少量的反射微波;⑤磁控管微波源,由磁控管、高压电源和电源转换器组成,用于产生微波功率,其内部还安装有西门子S7-200PLC,用于和计算机通讯;⑥计算机,用于设置微波功率,可调范围为440 W到1 000 W,并将实验过程相关数据储存在指定文件。
基于上述实验平台,在相同实验条件下进行多次实验,以获取海量过程数据。对于液体材料,在加热过程中温度差异导致的未知涡流致使数学模型难以准确的描述长时间微波加热过程。因此使用CS-BPNN预测该加热过程。将1 L去离子水在600 W、700 W、800 W和900 W微波功率的辐射下进行加热。通过三根光纤传感器置于媒质的不同水平面位置进行温度测量,测量位置如图 6所示。
|
图 6 光纤传感器测量位置示意图 Figure 6 Diagram of the optical fiber sensor |
受实验条件所限,仅能获取媒质的3层温度数据。其中,T1代表上层媒质温度 (z=2 cm)T2代表中间层媒质温度 (z=6 cm),T3代表底层媒质温度 (z=10 cm)。为保证实验的安全性,当上表层温度上升至50 ℃时,实验终止。采样周期td=1 s。周围环境温度Ta=25 ℃。保持相同的实验条件,在600 W、700 W、800 W和900 W微波辐射条件下,去离子水的温升特性如图 7所示。
|
图 7 不同微波功率去离子水温升特性曲线 Figure 7 Deionized water temperature rise curve of different microwave power |
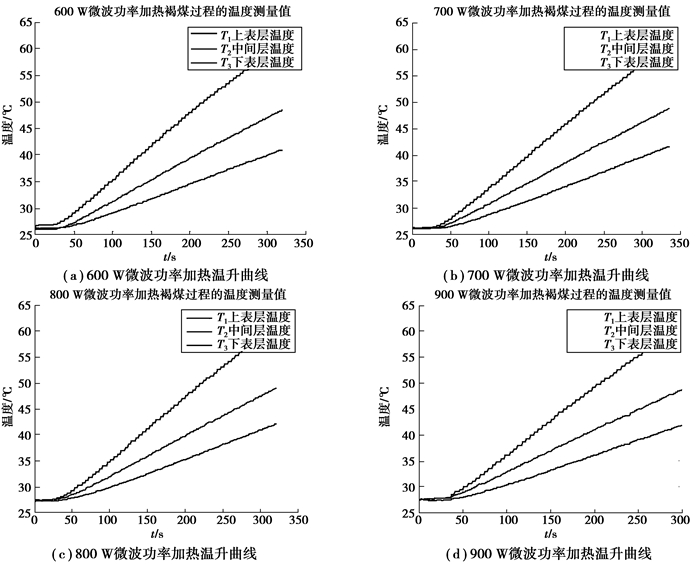
同时也展开了微波褐煤干燥过程的应用研究。在微波干燥过程中,一般可分为3个阶段:迅速温升过程、恒温干燥过程以及热失控过程。干燥媒质吸收的热量同媒质介电特性存在正相关性,随着褐煤温度升高,介电特性的快速变化可能将导致局部过热现象的产生。为了避免局部热失控现象的发生,需要准确预测褐煤的温度分布情况。基于上述液态媒质的实验方法,将三路光纤传感器置于不同媒质层,保持相同实验条件,分别在600 W、700 W、800 W、900 W微波功率下进行加热实验,为保证实验的安全性,干燥过程终止于第3个阶段之前。褐煤的温升特性如图 8所示。
|
图 8 不同微波功率褐煤温升特性曲线 Figure 8 Lignite temperature rise curve of different microwave power |
由去离子水和褐煤的微波加热温升特性可以看出,测量温度从上层媒质至下层媒质依次降低,说明媒质上层吸收的微波较多,然后逐层递减,符合图 1中微波传播模型的假设。此外,二者的温升曲线呈现非线性的波纹状,这是由于电磁波与媒质的相互作用导致的一种非稳定热现象。实验采集的过程数据量级如表 1所示。
| 表 1 实验数据统计 Table 1 Experimental data statistics |
为了证明提出的温度预测模型的优越性,将布谷鸟搜索优化BP神经网络模型分别与遗传算法优化BP神经网络 (GA-BPNN) 模型、BP神经网络 (BPNN) 模型进行比较,以归一化均方误差 (NMSE) 作为预测性能指标来评价各预测模型的性能。仿真在MATLAB2013a环境中运行。由于智能优化算法和BP神经网络的随机性,将对每种模型进行50次实验,求取每次实验的NMSE,再求得其平均值作为最后的性能评价指标。NMSE的表达如下所示
| $ \text{NMSE=}\frac{\sum\limits_{i=1}^{n}{{{\left( {{a}_{i}}-{{f}_{i}} \right)}^{2}}}}{\sum\limits_{i=1}^{n}{{{\left( {{a}_{i}}-\bar{a} \right)}^{2}}}}, $ | (8) |
其中,ai为每一时刻的实际温度,为了进一步比较不同模型性能的提升程度,采用一种比例误差衰减 (per)[22]a为实际温度的平均值,fi为预测温度。比例误差衰减 (per) 对CS-BPNN模型和GA-BPNN模型进行比较其表达式如下:
| $ \text{per=1}-\left( \frac{\text{NMS}{{\text{E}}_{\text{GBP}}}}{\text{NMS}{{\text{E}}_{\text{BP}}}} \right), $ | (9) |
其中,NMSEBP为BP神经网络模型的归一化均方误差,NMSEGBP为改进的BP网络模型 (CS-BPNN模型、GA-BPNN模型) 归一化均方误差。
以去离子水为加热对象,首先将数据划分为训练样本和测试样本,其中训练样本为10 000组,测试样本为20组。将提取特征后的数据分别输入到BPNN模型、GA-BPNN模型和CS-BPNN模型用于训练和测试。BP神经网络的隐含层节点数目通过经验公式和迭代实验确定为23个,所以网络结构为9-23-1,总共的权值阈值数目为254。其中BPNN训练算法采用共轭梯度下降法,学习率为0.01,目标最小误差为0.000 1,最大迭代次数为1 000。CS-BPNN的参数设置如下:Pa=0.25,鸟巢数=25,最大迭代次数为,在搜索过程中达到最大迭代次数则停止搜索。GA-BPNN的参数设置如下:种群规模=10,交叉频率=0.3,变异频率=0.1,最大迭代次数为20。CS-BPNN和GA-BPNN模型的神经网络参数设置和BPNN模型一致。最终得到的各模型预测误差如图 9所示。
|
图 9 不同模型的去离子水温度预测结果 Figure 9 Temperature prediction results of deionized water with different models |
以褐煤作为加热对象,网络结构为9-20-1,训练权值和阈值数目为221。此时训练样本为3 200组,测试样本为600组,将提取特征后的数据分别输入到BPNN模型、GA-BPNN模型和CS-BPNN模型用于训练和测试。各网络参数设置同上,最终得到各模型的预测误差如图 10所示。
|
图 10 不同模型的褐煤温度预测结果 Figure 10 Temperature prediction results of lignite with different models |
测试误差表明,针对液固态媒质,实际温度值与CS-BPNN预测值之间的误差在[-0.4, 0.4]范围以内,相对于其它2种模型,预测精度得以提高。此外,在相同条件下,每种模型进行50次实验,计算每次的NMSE,并将平均值作为最终的NMSE计算结果。以BPNN模型作为基准模型,求得的NMSE作为式 (9) 的NMSEBP,以CS-BPNN模型和GA-BPNN模型的作为式 (9) 的NMSEGBP,得到2个模型的per。不同模型的预测性能对比如表 2所示。可以看出NMSEBP>NMSEGA-BP>NMSECS-BP以及perGA-BP<perCS-BP,说明提出的CS-BPNN温度预测模型要优于GA-BPNN模型。
| 表 2 不同预测模型的性能比较 Table 2 Performance comparison of different prediction models |
综上,在所有预测模型中,CS-BPNN模型具有更好的泛化能力,预测性能最佳表明布谷鸟搜索算法优化BP神经网络可以获得更优好的神经网络初始权值和阈值。将CS-BPNN应用于微波加热和干燥过程中,负载特性得以预测,弥补了基于负载机理建模的局限性。此外,虽然主要是针对温度的预测,但是应用范围可以扩展例如含水率、质量、干燥速率等均可作为CS-BPNN的输出值进行预测。
4.3 基于CS-BPNN模型的全局温度预测由于微波加热过程存在局部过热现象,媒质温度分布具有不均匀性,使得微波加热过程中负载温度场建模的研究极为重要。所以基于CS-BPNN温度预测模型针对媒质的一维温度分布情形,模拟在600 W微波源功率辐射下,去离子水和褐煤的三维温度场分布。将z轴方向媒质分为10层 (m=10),使用CS-BPNN模型预测计算每一层在不同采样时刻的温度值,得到“时间-空间-媒质温度”的一维模型。其中,去离子水温度预测时间为500 s,褐煤温度预测时间为300 s。不同负载的温度场分布预测如图 11和图 12所示。
|
图 11 600 W微波功率加热去离子水温度分布预测 Figure 11 600 W power microwave heating deionized water temperature distribution prediction |
|
图 12 600 W微波功率加热褐煤温度分布预测 Figure 12 600 W power microwave heating lignite temperature distribution prediction |
从上图可以看出,温度从上表面微元体 (m=1) 至最下层微元体 (m=10) 依次降低,这是因为受Lambert定律微波功率衰减关系的影响。随时间增加,每层微元体温度呈非线性上升,这是由于尽管电场强度不变,但媒质各项热力学参数和介电特性均同温度相关,导致媒质吸收微波的能力实时变化。
6 小结由于工业物料作为大功率微波源负载,是典型的复杂时变非均匀媒质,其温度会发生非线性剧烈变化,容易出现热失控现象,传统方法难以建立精确的温度预测模型。为了获得理想的预测结果,本文以微波工业加热过程中多维、海量参数为研究对象,基于泛函连接神经网络提取过程数据的深度特征,采用布谷鸟搜索算法优化BP神经网络,建立了以“数据驱动”为手段的微波加热温度预测模型。实验证明,CS-BPNN模型较GA-BPNN和BPNN模型更为优化,可高效、准确地进行微波加热温度预测。此外,基于CS-BPNN模型预测了微波加热媒质的温度场分布,为防止热点、热失控等局部过热现象的产生提供了一种有效手段。在接下来的工作中,将基于该温度预测模型,设计实时有效的控制策略,实现微波加热媒质温度的精确控制,为保证微波加热过程中负载良好品质,保障微波工业应用的安全高效提供一种切实有效的解决方案。
| [1] | Yuan Y P. Thermodynamics model based temperature tracking control in microwave heating[J]. Journal of Thermal Science and Technology, 2016, 11(1): 1–10. |
| [2] |
陈诚, 周新志, 雷印杰.
基于PSO-BP神经网络的微波加热温度预测研究[J]. 微型机与应用, 2015, 34(5): 68–72.
CHEN Chen, ZHOU Xinzhi, LEI Yinjie. Research on microwave heating based on BP neural network optimized by the particle swarm optimization algorithm[J]. Technique and Method, 2015, 34(5): 68–72. (in Chinese) |
| [3] |
王伟. ANFIS微波加热过程分段温度预测模型[J].智能系统学报, 2016, 11(1):61-69. WANG Wei, ZHOU Xinzhi. Temperature-sectioned prediction model for microwave heating process based on adaptive network-based fuzzy inference system[J]. Transactions on Intelligent Systems, 2016, 11(1):61-69.(in Chinese) http://www.cqvip.com/QK/92035A/201601/668366924.html |
| [4] |
范志刚, 邱贵宝.
基于BP神经网络的高炉焦比预测方法[J]. 重庆大学学报 (自然科学版), 2002, 25(6): 85–88.
FAN Zhigang, QIU Guibao. Blast furnace coke ratio prediction based on BP neural network[J]. Journal of Chongqing University (Natural Science Edition), 2002, 25(6): 85–88. (in Chinese) |
| [5] |
周杰.
BP神经网络和遗传算法用于曲轴填充性能的优化设计[J]. 重庆大学学报, 2012, 35(5): 53–56.
ZHOU Jie. BP neural network and genetic algorithm for the filling properties optimization of crankshaft[J]. Journal of Chongqing University, 2012, 35(5): 53–56. (in Chinese) |
| [6] | Yang Y L, Jyh Y C, Lin C T. Identification and prediction of dynamic systems using an interactively recurrent self-evolving fuzzy neural network[J]. IEEE, 2013: 38–40. |
| [7] | Steele N C, Tabor J H. On parity problems and the functional-link artificial neural network[J]. Priory Street: Coventry Universit, 1994. |
| [8] |
付志红.
采用BP神经网络的基波高精度检测方法[J]. 重庆大学学报, 2011, 34(12): 61–66.
FU Zhihong. A high precision detecting method for fundamental using BP neural network[J]. Journal of Chongqing University, 2011, 34(12): 61–66. (in Chinese) |
| [9] |
杨忠平.
改进BP算法在城市土壤环境质量评价模型的应用[J]. 重庆大学学报, 2010, 33(2): 98–109.
YANG Zhongping. Environmental quality assessment model of urban soils based on improved BP algorithm[J]. Journal of Chongqing University, 2010, 33(2): 98–109. (in Chinese) |
| [10] | Yang X S. Metaheuristic optimization: nature-inspired algorithms and applications[M]. Teddington: National Physical Laboratory, 2013. |
| [11] |
郑洪清.
一种自适应步长布谷鸟搜索算法[J]. 计算机工程与应用, 2013, 49(10): 68–71.
ZHEN Hongqing. Self-adaptive step cuckoo search algorithm[J]. Computer Engineering and Applications, 2013, 49(10): 68–71. (in Chinese) |
| [12] | Yang X S, Deb S. Cuckoo search via Levy flight[J]. Proceeding of World Congress on Nature & BiologicallyInspired Computing, 2009(30): 210–214. |
| [13] | Viacheslav V. Saenko. The influence of the finite velocity on spatial distribution of particles in the frame of Levy walk model[J]. Physica A: Statistical Mechanics and its Applications, 2016, 444. |
| [14] | Patra J C, Pal R N. A functional link artificial neural network for adaptive channel equalization[J]. Signal Processing, 1995, 43(2): 181–195. DOI:10.1016/0165-1684(94)00152-P |
| [15] | Sanger T D. A tree-structured adaptive network for function approximation in high-dimensional spaces[J]. IEEE Transactions on Neural Networks, 1991, 2(2): 285–293. DOI:10.1109/72.80339 |
| [16] | Pao Y H, Phillips S M, Sobajic D J. Neural net computing and intelligent control systems[J]. International Journal of Control, 1992, 56(2): 263–289. DOI:10.1080/00207179208934315 |
| [17] | Majhi R, Panda G, Sahoo G. Development and performance evaluation of FLANN based model for forecasting of stock markets[J]. Expert Systems with Applications, 2009, 36(3): 6800–6808. DOI:10.1016/j.eswa.2008.08.008 |
| [18] | Marra F, Bonis M V D, Ruocco G. Combined microwaves and convection heating: A conjugate approach[J]. Journal of Food Engineering, 2010, 97(1): 31–39. DOI:10.1016/j.jfoodeng.2009.09.012 |
| [19] | Farag S, Sobhy A, Akyel C, et al. Temperature profile prediction within selected materials heated by microwaves at 2.45GHz[J]. Applied Thermal Engineering, 2012, 36(1): 360–369. |
| [20] | Yuan Y, Liang S, Zhong J, et al. Black box system identification dedicated to a microwave heating process[C]//Control and Decision Conference. IEEE, 2015. |
| [21] | Akkari E, Chevallier S, Boillereaux L. A 2D non-linear "grey-box" model dedicated to microwave thawing: Theoretical and experimental investigation[J]. Computers & Chemical Engineering, 2005, 30(2): 321–328. |
| [22] | Hung W M, Hong W C. Application of SVR with improved ant colony optimization algorithms in exchange rate forecasting[J]. Control & Cybernetics, 2009, 38(3): 863–891. |
| [23] | Bakar S Z B A, Ghazali R B, et al. Implementation of modified cuckoo search algorithm on functional link neural network for temperature and relative humidity prediction[J]. Lecture Notes in Electrical Engineering, 2014, 285: 151–158. DOI:10.1007/978-981-4585-18-7 |
2017, Vol. 40

