电磁超材料是一种具有超常物理特性的人工复合材料, 因其结构尺寸小于外界激励电磁波的波长, 拥有自然媒质所不具有的电磁特性。通过改变其结构单元的形状、尺寸以及排列方式, 调节、控制其对电磁波响应的强度和频率范围, 从而实现预期的电磁特性。随着对超材料研究的不断深入, 研究人员在负折射材料[1-2]、完美吸收[3]、电磁隐身[4]、宽带超材料吸波体[5-9]、天线及微波器件小型化[10-11]等领域取得很多重大研究成果。
2008年Landy等[3]首先提出了由电谐振器、电介质基板和金属微带线构成的三层“完美”超材料吸波体。随后, 研究人员对超材料深入研究, 设计出极化不敏感[12]和宽入射角[13]的超材料吸波体。虽然这些吸波体具有极强的吸波能力, 但吸波频带较窄, 因此研究方向向多波段和宽频带吸收体的趋势发展。Hoa等[9]采用多层堆积法(金字塔模型), 通过产生许多个连续的吸收点, 进而达到宽频吸收的要求; Xiong等[7]采用叠层堆积法, 通过反射相消达到宽频带的目的, 但加工复杂且成本较高。
笔者提出了一种基于双层电阻膜的超宽带超材料吸波体, 其结构单元由圆环电阻膜片在介质基板上双层叠加而成, 各层圆环电阻膜大小相同、电阻膜片表面阻值相同。通过对介质基板厚度、电阻膜的电阻值与宽度的调节, 实现超宽带吸波。所设计的超材料吸波体的优点是厚度适中、结构简单、易于实现宽带吸波, 且成本低、易于加工。仿真结果表明, 该超材料吸波体吸收率大于90%的相对带宽为55.35%, 其频带范围11.5~20.3 GHz, 覆盖了整个Ku波段, 且对垂直入射的电磁波具有极化不敏感和宽入射角稳定性的特性。
1 结构设计吸波体选用双层叠加结构, 将2个相同的单层电阻膜结构叠加在一起以拓展吸收频带, 实现超宽带强吸收。
该吸波体的单元结构如图 1(a)所示, 电阻膜片由一个同心的圆环组成, 膜材料为导电墨水, 单元周期为a =16 mm, 外圆环半径r =7.75 mm, 环宽w =3.0 mm, 其介电常数ε =3.4, 电导率σ =100 s/m, 厚度d =0.1 mm。吸波体单元侧视图如图 1(b)所示, 在电阻膜所在层除圆环电阻膜以外的部分填充介电常数为ε =3.5的介质材料(聚乳酸)。图 1(b)中从上自下, 依次为电阻膜层、介质层、电阻膜层、介质层、金属层。介质层的高度为h =1.2 mm, 采用与电阻膜层所填充的相同的介质材料。金属层的厚度t =0.017 mm, 电导率δ =5.8×107 s/m。底层金属铜膜的作用是作为反射界面, 将投射到其上的电磁波反射回材料内部, 使反射波和入射波相位相反, 达到消波的目的, 并实现零透射。
|
图 1 超材料吸波体结构示意图 Fig. 1 Structural sketch of metamaterial absorber |
超材料吸波体的吸收率可以通过公式A (w) =1- |s11| 2 - |s21| 2 (其中s11为反射系数, 反射率R (w) =|s11|2, s21为透射系数)计算。因吸波体的衬底为金属铜, 所以透射系数s21 =0, 因此该吸波体的吸收率公式简化为A (w) =1-| s11| 2。
2 分析结果采用CST(computers imulation technology)频域有限元求解器对图 1中的超材料吸波体进行仿真, X-Y平面设置为周期性边界条件单元结构, 在电磁波垂直入射条件下得到仿真计算的反射系数s11 , 再根据反射率、吸收率公式得到反射率R (w)、吸收率A (w)的曲线, 结果如图 2所示。
|
图 2 超材料吸波体在垂直入射下的吸收率和反射率 Fig. 2 Absorption andreflection of metamaterial absorberatver ticalincidence |
从图 2可以得出, 在电磁波垂直入射的情况下, 吸收率A (w)大于90%的带宽为8.8 GHz, 即反射系数s11小于-10 dB的频带范围为11.5~20.3 GHz, 相对带宽为55.35%, 频带超宽, 完全覆盖了Ku波段。
图 3(a)~(c)分别表示在谐振频率为14.2 GHz时下层圆环电阻膜、上层圆环电阻膜、底板铜片的表面电流分布; (d) ~(f)分别表示在谐振频率为19.3 GHz时下层圆环电阻膜、上层圆环电阻膜、底板铜片的表面电流分布。从图中可以看到, 在两个谐振峰频率处, 谐振电流主要集中在电阻膜的表面。因此吸波体对入射波的吸收主要来自电阻膜片的电阻损耗。
|
图 3 表面电流分布图 Fig. 3 Surf acecurrent distribution |
对双层金属圆环结构及单层、双层圆环电阻膜结构的吸波体进行模拟仿真, 得到图 4所示的结果。在11~20 GHz频率范围内, 金属圆环结构吸波体呈现出窄频带强吸收特性, 这是源于电磁谐振吸收[12-14]; 单层圆环电阻膜结构在该范围内吸收率未达到90%, 但吸收比较稳定, 这主要是由于电路谐振吸收[15-18]的特性。双层圆环电阻膜结构的吸收带宽、吸收能力比其他结构明显有很大幅度的提升。由此可知, 该双层电阻膜不仅拓展了吸收带宽, 还使得吸收能力进一步增强, 也说明该双层电阻膜结构对频带的吸收具有叠加效应。
|
图 4 双层金属圆环结构及单/双层电阻膜的吸收率比较 Fig. 4 Absorption comparison ofdouble-layer metalring structure andsingle/double-layerresistive film |
对图 1所示的吸波体, 在不同极化角度下垂直入射电磁波, 得到图 5所示的吸收率曲线。当极化角从0°以15°的大小逐渐增加到90°时, 该结构保持了稳定的电磁吸收, 吸波体的吸波性能没有任何改变, 这得益于所设计的圆环为中心对称结构。所以可以得出该吸波体具有极化不敏感的特性。
|
图 5 不同极化角度下入射电磁波的吸收率曲线 Fig. 5 Absorption curves of incidentalel ectromagnetic waves at different polarization angles |
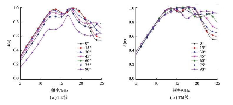
为了进一步了解图 1所示的超材料吸波体对不同模式下的斜入射电磁波的吸收响应特性, 分别在横电波(TE)和横磁波(TM)模式下, 对入射角度θ 取不同的值进行电磁吸收特性模拟仿真, 结果如图 6所示。
|
图 6 不同斜入射角下电磁波的吸收率曲线 Fig. 6 Absorptioncurves of electromagnetic waves at different obliqueincident angles |
TE模式的入射波随着斜入射角θ由0°逐渐增大到60°, 吸收率大于90%的吸收频带逐渐缩短; 在θ =30°时, 反射系数s11小于-10 dB的吸收频带仍然较宽, 覆盖了整个Ku波段, 相对带宽为43.1%;θ增大到40°时, 低频吸收幅值显著降低, 低于90%, 高频的吸收频带显著缩小, 其相对带宽为9%;θ =60°时, 吸收幅值均低于90%。
TM模式的入射电磁波随着入射角度θ由0°逐渐增大到50°, 吸收幅值大于90%的频带宽度逐渐缩短, 当θ =50°时, 反射系数s11小于-10 dB的吸收频带仍较宽, 覆盖了整个Ku波段, 相对带宽为44.3%;而当θ =60°时, 相对带宽为25.7%, 但吸收率明显下降、吸收频带显著缩短。
综上所述, 该超材料吸波体对斜入射的TE和TM波在Ku波段具有宽角度吸收特性。
进一步研究基板的介电常数、厚度与电阻膜的电阻值、宽度等因素对超材料吸波体吸收率的影响, 所得结果如图 7所示。由图 7(a)可以看出, 吸收频段随介电常数ε增大而左移, 频点的吸收率随介电常数ε增加略有衰减。由图 7(b)可以看出, 当介电常数为3.5时, 损耗角正切tanδ增大对该吸波体的吸收频带无影响, 仅对两个谐振峰13.47 GHz和18.34 GHz处的吸收损耗有影响, 其随损耗角正切tanδ增大而减小。由图 7(c)可知随着介质基板厚度h逐渐增大, 该吸波体的吸收损耗逐渐增大, 整个吸收频带向左移, 且吸收率大于90%的工作带宽先拓宽后缩小。从图 7(d)可以看出, 随着电阻膜电阻Rs增大, 在11.5~20.3 GHz范围内的吸收损耗逐渐增大, 并且Rs在100~150 Ω范围内, 吸收率大于90%的吸收频率范围基本保持不变, 带宽达到最宽。由图 7(e)可以看出随着电阻膜宽度w 增大, 在Ku波段的吸收损耗和大于90%的吸收带宽均先增加后减小。
|
图 7 各种因素对超材料吸波体吸收率的影响 Fig. 7 Influences of various factors on absorption of metamaterial absorber |
以上分析说明可以通过改变介质基板的厚度和电阻膜的电阻、宽度来调节所设计的吸波体的吸收损耗和工作带宽, 使其达到最优的范围。
将所设计的超材料吸波体与其他结构的宽频带吸波体进行对比, 如表 1所示。传统的金属复合结构[7-9]和传统的电阻膜结构[15-16], 虽然都可以实现强吸收宽频带, 但是前者层数多, 对加工要求高; 后者结构的总体厚度大, 这对实际应用不利。而文献[17]采取金属与电阻膜结构复合, 虽集合二者优点, 达到了超薄、超宽带, 但是加工成本高且复杂, 对实际应用也不利。本研究中提出的吸波体结构仅在传统单层电阻膜结构基础上增加了层数, 减小了总体厚度, 易于实现超宽带, 并且对工艺要求低, 加工简单, 成本低。
| 表 1 与其他宽带超材料吸波体的比较 Table 1 Comparisons with other wideband metamaterial absorbers |
笔者设计了一种宽频带、极化不敏感和宽入射角的双层圆环电阻膜结构的超材料吸波体。通过仿真得到的吸收率表明, 其吸收率大于90%的相对带宽为55.35%, 频带范围11.5 ~20.3 GHz, 覆盖了整个Ku波段。从仿真得到不同极化角和不同入射角的结果表明该吸波体具有极化不敏感和宽入射角特性。分别对双层金属圆环结构吸波体、单层圆环电阻膜吸波体、双层圆环电阻膜吸波体基板的介电常数、厚度与电阻膜的电阻值、宽度进行数值模拟, 结果表明:双层圆环电阻膜结构的吸波体对频带的吸收具有叠加效应, 实现了强吸收频带; 所设计的超材料吸波体实现超宽带吸收主要原因是电阻膜和介质基板的损耗; 电阻膜的电阻以及电阻膜结构、介质基板、金属背板三者之间构成的电路谐振达到了最优值, 使得此时电路谐振最强, 其表面阻抗在很宽的频带内与自由空间阻抗相匹配。本研究中设计的基于双层电阻膜的超材料吸波体可以为新型吸波体的制备提供理论指导。
| [1] |
Wang S, Garet F, Blary K, et al. Experimental verification of negative refraction for a wedge-type negative index metamaterial operating atterahertz[J]. Applied Physics Letters, 2010, 97(18): 181902. DOI:10.1063/1.3511540 |
| [2] |
Ozbay E, Aydin K, Ozkan G, et al. Experimental demons tration of negative refraction and subwavelength imagingbylefth ande dcomposite metamaterials[J]. MRS Proceedings, 2006, 919: 0919-J03-06. |
| [3] |
Landy N I, Sajuyigbe S, Mock J J, et al. Perfect metamaterial absorber[J]. Physical Review Letters, 2008, 100(20): 207402. DOI:10.1103/PhysRevLett.100.207402 |
| [4] |
Liu Y, Li Z Y, Zhang W Z. Study on stealthy characteristics of electromagnetic metamaterials[J]. Key Engineering Materials, 2012, 531/532: 276-279. DOI:10.4028/www.scientific.net/KEM.531-532.276 |
| [5] |
Sood D, Tripathi C C. Acompact ultrathin ultra-wideband metamaterial microwaveabsorber[J]. Journal of Microwaves, Optoelectronics and Electromagnetic Applications, 2017, 16(2): 514-528. DOI:10.1590/2179-10742017v16i2797 |
| [6] |
Ramya S, Srinivasa Rao I. A compact ultra-thin ultra-wideband microwave metamaterial absorber[J]. Microwave and Optical Technology Letters, 2017, 59(8): 1837-1845. DOI:10.1002/mop.30636 |
| [7] |
Xiong H, Hong J S, Luo C M, et al. An ultrathin and broadband metamaterial absorber using multi-layer structures[J]. Journal of Applied Physics, 2013, 114(6): 064109. DOI:10.1063/1.4818318 |
| [8] |
Chaurasiya D, Ghosh S, Bhavttacjaryya Setal. Dual-band polarization-insensitive metamaterial absorber with band width enhancement at Ku-band for EMI/EMC application[C] ∥2014 IEEE International Microwave and RF Conference, December14-16, 2015, Bangalore, India. IEEE, 2015: 96-99. https://ieeexplore.ieee.org/document/7038979
|
| [9] |
Hoa N T Q, Lam H P, Tung P D. Wide-angle and polarization-independent broadband microwave metamaterial absorber[J]. Microwaveand Optical Technology Letters, 2017, 59(5): 1157-1161. DOI:10.1002/mop.30490 |
| [10] |
Sharma R, Singh H. Lefthanded metamaterial an tennadesign for GSM1.8 GHzapplications[C]∥2015 2nd International Conference on Recent Advances in Engineering & Computational Sciences, December 21-23, 2015, Chandigarh, India. IEEE, 2015: 1-5. https://www.researchgate.net/publication/304239313_Left_Handed_Metamaterial_antenna_design_for_GSM_18_GHz_applications
|
| [11] |
Mahamuni CV. Performanc enhancement of microstrip patch antenna using metamaterial cover[C] ∥2016 International Conferenceon Global Trendsin Signal Processing, Information Computing and Communication, December 22-24, 2016, Jalgoon, India. IEEE, 2017: 382-388. https://www.researchgate.net/publication/317918942_Performance_enhancement_of_microstrip_patch_antenna_using_metamaterial_cover
|
| [12] |
Ayop O, Rahim M K A, Murad N A, et al. Dual-resonantpol arization-independent and wide-angle metamaterial absorber in X-band frequency[J]. Applied Physics A, 2016, 122(4): 374. DOI:10.1007/s00339-016-9902-4 |
| [13] |
Yoo M, Kim H K, Lim S. Angular- and polarization-insensitive metamaterial absorber using subwavelength unit cellin multilayer technology[J]. IEEE Antennas and Wireless Propagation Letters, 2016, 15: 414-417. DOI:10.1109/LAWP.2015.2448720 |
| [14] |
Bhattacharyya S, Ghosh S, Chaurasiya D, et al. Bandwidth-enhanced dual-band dual-layer polarization-independent ultrathin metamaterial absorber[J]. Applied Physics A, 2015, 118(1): 207-215. DOI:10.1007/s00339-014-8908-z |
| [15] |
Costa F, Monorchio A, Manara G. Analysis and design of ultra thin electromagnetic absorbers comprising resistively loaded high impedance surfaces[J]. IEEE Transactions on Antennas and Propagation, 2010, 58(5): 1551-1558. DOI:10.1109/TAP.2010.2044329 |
| [16] |
Zhang H B, Zhou P H, Lu H P, et al. Resistance selection of high impedance surface absorbers for perfect and broadband absorption[J]. IEEE Transactions on Antennas and Propagation, 2013, 61(2): 976-979. DOI:10.1109/TAP.2012.2226225 |
| [17] |
顾超, 屈绍波, 裴志斌, 等. 基于电阻膜的宽频带超材料吸波体的设计[J]. 物理学报, 2011, 60(8): 662-666. GU Chao, QU Shaobo, PEI Zhibin. Designofa wide-band metamaterial absorber based on resistance films[J]. Acta Physica Sinica, 2011, 60(8): 662-666. (in Chinese) |
| [18] |
程用志, 聂彦, 龚荣洲, 等. 基于电阻膜与分形频率选择表面的超薄宽频带超材料吸波体的设计[J]. 物理学报, 2013, 62(4): 124-129. CHENG Yongzhi, NIE Yan, GONG Rongzhou, et al. Design of an ultrathin and wideband metamaterial absorber based on resistance film and fractal frequency selective surface[J]. Acta Physica Sinica, 2013, 62(4): 124-129. (in Chinese) |
2020, Vol. 43


