• 2025年第4期文章目次
    全 选
    显示方式: |
    • >高等教育改革与发展
    • DeepSeek对教育范式的变革与影响

      2025, 34(4):1-12. DOI: 10.11835/j.issn.1005-2909.2025.04.001

      摘要 (569) HTML (208) PDF 1.02 M (1176) 评论 (0) 收藏

      摘要:生成式人工智能(GAI)技术正在重新定义教育领域的教学与学习方式。自OpenAI发布ChatGPT以来,GAI技术快速发展,应用场景逐渐从文本生成扩展到更复杂的推理与创作。中国深度求索公司推出的DeepSeek模型进一步推动了这一技术在教育中的应用。DeepSeek通过优化推理流程、提高计算效率、提供个性化学习路径,突破了传统教育模式的局限,促进了教育理念的转型。从知识传授向能力培养、从标准化教育向个性化教育转变,DeepSeek不仅推动了教学内容和方法的创新,还促进了教育公平和个性化教学的实现。然而,随着技术的快速发展,教育领域面临诸多风险,包括知识准确性、隐性偏见、数据隐私和学生自主学习能力等问题。探讨了DeepSeek在教育变革中的潜力与挑战,分析其在推动教育理念和教学模式重塑过程中的优势与风险,并提出相应的应对策略。最后,强调教育机构、教师和技术供应商的合作,确保AI技术在推动教育数字化转型的同时,保持人文关怀与教育目标的完整性,以培养具备创新能力、批判性思维和社会责任感的未来公民。

      • 0+1
      • 1+1
    • 高校推进智慧教育改革过程中的问题与举措

      2025, 34(4):13-19. DOI: 10.11835/j.issn.1005-2909.2025.04.002

      摘要 (322) HTML (143) PDF 1.14 M (396) 评论 (0) 收藏

      摘要:智慧教育作为教育信息化发展的高级阶段,正成为全球教育变革的重要方向。在分析我国教育信息化水平和智慧教育发展现状的基础上,阐述了我国高校在推进智慧教育改革过程中面临的问题与挑战,包括软硬件融合程度较低、平台资源共享效率较低、教师信息化培训体系有待完善、教育数据安全法律法规制度有待健全等。为推动智慧教育的高质量发展,提出了以下五个方面的举措:建立智慧教育软硬件融合国家标准,提升设备利用率;构建智慧教育资源共建共享机制,降低平台资源重复率;开展智慧教育方法和理论研究,推动智慧教学模式创新;完善教师能力发展体系,健全智慧教育保障机制;制定教育数据安全防护规范,建立全流程监管体系,防范智慧教育风险。

      • 0+1
      • 1+1
    • “数字共同体”助推河南省高校“双一流”建设新探索

      2025, 34(4):20-27. DOI: 10.11835/j.issn.1005-2909.2025.04.003

      摘要 (294) HTML (135) PDF 545.19 K (368) 评论 (0) 收藏

      摘要:“创新驱动、科教兴省、人才强省”战略推动河南省高等教育现代化建设科学布局、质量并举、成效显著,但还有很大的发展空间。文章以教育数字化转型为契机,探索河南省高校“双一流”建设新模式,研究认为,河南省高等教育要自主创新,形塑时代新人,首先要植根本土,彰显河南特色;其次要面向未来,以“数字+教育”为创新理念,以科技赋能教育高质量发展为价值内涵,充分利用现代数字技术与智慧教育融合产出,打造颇具地方特色的河南省高等教育“数字共同体”,助力河南省高校新一轮国家“双一流”建设、省“双一流”建设,拟定具有时代意义的科教创新与教育新质生产力可持续发展战略。

    • >工程教育研究与评价
    • “AI+论著查询”模式在土木工程施工教学中的应用探索

      2025, 34(4):28-36. DOI: 10.11835/j.issn.1005-2909.2025.04.004

      摘要 (307) HTML (223) PDF 4.36 M (1267) 评论 (0) 收藏

      摘要:人工智能(AI)的快速发展,推动了教学理念与方法的革新。为探索AI在土木工程专业教学中的应用,在土木工程施工课程中提出了“AI+论著查询”模式,要求学生采用该模式完成作业。学生共完成五次作业,每次作业后接受相应的课堂指导,每次任务难度逐步提高。通过作业批改、学生评价和访谈结果发现,“AI+论著查询”模式有助于学生提升学习效率,强化概念理解,同时也可以改变学生学习方法和习惯。然而,AI在专业术语使用和逻辑严谨性方面仍存在不足,需通过论著查询和教师引导予以弥补。此外,学生学习主动性和理解能力的差异影响着模式的运行效果。综合教学成效表明,在教师有针对性地引导下,“AI+论著查询”模式可有效提升教学质量。

      • 0+1
      • 1+1
      • 2+1
      • 3+1
      • 4+1
      • 5+1
      • 6+1
      • 7+1
      • 8+1
    • 学生交往对高校项目式学习的影响——基于社会网络分析的视角

      2025, 34(4):37-48. DOI: 10.11835/j.issn.1005-2909.2025.04.005

      摘要 (282) HTML (115) PDF 1.36 M (511) 评论 (0) 收藏

      摘要:项目式学习作为一类项目驱动、“干中学”的群体性学习方式,已经在诸多高校推广应用。为探索项目式学习形成机理,从学生交往的中观视角,建立大学生日常交往、传统课堂学习和项目式学习三类整体网络。通过社会网络分析发现,传统课堂学习网络和项目式学习网络主要以行政班级划分,日常交往网络突破了行政班级界限。三类网络具备一定的结构相似性,但日常交往网络集聚度和中心性更高,传统课堂学习网络和项目式学习网络中高中心性成员重叠更普遍,且大部分为学业优秀学生。日常交往网络小圈子现象较明显,传统课堂学习和项目式学习网络中大部分节点能形成互相交往网络。回归结果显示,日常交往网络和传统课堂学习网络对项目式学习均有显著的正向影响。为促进项目式学习的形成,提出了鼓励学生在日常学习生活中加大沟通交往、在项目式学习团队中同时配置学业优秀学生和日常交往活跃分子、调动更多学业优秀学生成为团队核心、适当在团队成员中设置一定数量异性的建议。

      • 0+1
      • 1+1
      • 2+1
      • 3+1
    • 教学与科研的互馈:建筑学青年教师融入设计教学的路径思考

      2025, 34(4):49-57. DOI: 10.11835/j.issn.1005-2909.2025.04.006

      摘要 (235) HTML (82) PDF 2.50 M (441) 评论 (0) 收藏

      摘要:青年教师是高校科研与教学的核心力量之一。面对当前以科研为主导的评价机制,青年教师如何快速适应并融入专业教学过程中,已成为目前国内工科高校教师队伍建设的紧迫问题之一。面对当代人才培养模式、教学方式的转型,文章以建筑学专业设计教学为切入点,分析当下青年教师所面临的困境与挑战。继而,基于教学与科研互馈观点,以青年教师的视角构建科研与设计教学共融路径:(1)基于建筑本体的设计创新能力培养;(2)基于前沿性课题的知识体系构建;(3)基于“理论、实践、教学”共融的课程教案设计;(4)基于“传帮带”模式的教学团队建设等,旨在促进青年教师以建筑学本体为基础,强化科研与教学相融贯,使自身更好地融入设计教学。

      • 0+1
      • 1+1
      • 2+1
      • 3+1
      • 4+1
      • 5+1
      • 6+1
    • 沉浸式虚拟现实技术在高校建筑学科课程中的应用

      2025, 34(4):58-67. DOI: 10.11835/j.issn.1005-2909.2025.04.007

      摘要 (291) HTML (201) PDF 1.88 M (633) 评论 (0) 收藏

      摘要:沉浸式虚拟现实(Immersive Virtual Reality,IVR)技术为建筑教学场景和新兴设计科学所涉及的实证研究提供了新的可能性。在学科转型与技术发展的背景下,通过分析国内外建筑学院开设的IVR相关课程,将利用VR的完整课程体系分为体验、基础、应用、进阶四方面,该体系呈现技术难度由低向高的金字塔式结构,高阶成果在低阶课程中进行应用。其在建筑教学中的应用可以分为设计教学及非设计教学两类。对设计教学而言,VR可以促进学生从第一视角检查空间关系及体验,理解空间设计问题。在非设计教学中,利用IVR技术将教学方式转向交互式教学,能以更低的获取成本、更清晰的学习过程帮助学生建立直观认知,并使学习者在安全、易达的环境中进行实践操作。但是,IVR技术尚不能让学生在评估测试中取得更好的表现。最终以清华大学城市人因实验室全景仿真实验室的设计与实现为例,应用研究成果并结合需求提出当前实验室发展面临的问题,即对于IVR引发建筑教学方式与教学内容的双重变革,教学内容的改变是目前国内院校尚需着力探索的方向。

      • 0+1
      • 1+1
      • 2+1
      • 3+1
      • 4+1
      • 5+1
      • 6+1
      • 7+1
    • >新工科探索与实践
    • 基于工程教育认证的新工科人才培养模式探索

      2025, 34(4):68-76. DOI: 10.11835/j.issn.1005-2909.2025.04.008

      摘要 (218) HTML (114) PDF 599.34 K (402) 评论 (0) 收藏

      摘要:新工科作为立足于工程教育基础之上的教育质量革命,在理论研究和高校实践方面取得了系列成果,但还存在教育模式差异化不明显,优势不集中不突出;交叉融合不够深入,学科延伸拓展有待提升;转型升级常规化,缺乏跨越性与突破性举措等问题。立足于国内外科技发展趋势与工程教育实践,有必要从注重特色化,明确以成果为导向的培养目标机制;增强融合性,构建全面一体的体系标准与制度方案;关键性突破,从考核评价、工程实践两方面入手改进,以期新工科建设能够更自觉响应国家转型需要和经济社会发展需求。

    • 地方应用型高校“土木+新质生产力”特色人才培养模式构建——以东莞理工学院土木工程专业为例

      2025, 34(4):77-85. DOI: 10.11835/j.issn.1005-2909.2025.04.009

      摘要 (308) HTML (150) PDF 1.63 M (462) 评论 (0) 收藏

      摘要:针对土木类专业人才培养面临的学生学习兴趣低、专业自信不足、职业理想缺失、人才培养同质化严重、缺乏建筑业“四化”人才培养师资等问题,东莞理工学院从专业课程思政、特色能力培养、教师团队赋能三个方面改革创新,构建了地方应用型高校“土木+新质生产力”特色人才培养模式。通过三“链”协同、三“融”聚力、三“范”并举,构建立体化专业课程思政育人体系,增强学生的专业自信和学习兴趣,激发了其职业理想;通过创设应急管理奋楫创新班、开设模块化选修课程群、构建“课—校—省—国”学科竞赛体系、推行科产教融合等举措,促进学生掌握智慧防灾应急、建筑工业化/数字化/绿色化/可持续运维等方面的专业知识技能;通过“内培外引、专兼结合”双轮驱动,打造高水平“土木+新质生产力”师资队伍。

      • 0+1
      • 1+1
      • 2+1
      • 3+1
      • 4+1
      • 5+1
      • 6+1
    • 智能建造专业建设与课程体系构建研究

      2025, 34(4):86-93. DOI: 10.11835/j.issn.1005-2909.2025.04.010

      摘要 (352) HTML (258) PDF 878.60 K (368) 评论 (0) 收藏

      摘要:智能建造专业是面向国家战略需求和工程建设行业转型升级,以土木工程专业为基础,融合信息与计算科学、机械设计与自动化、控制科学与工程等专业而形成的“新工科”专业,具有显著的学科交叉特点。文章分析了智能建造专业的发展背景和当前智能建造本科专业建设与人才培养现状,以石家庄铁道大学智能建造本科专业建设情况为例,从培养目标、课程体系、实践创新三个方面重点论述了智能建造专业知识体系与实践创新模式的人才培养方案构建,以期为同类型高校智能建造专业建设与后续相关研究提供参考。

      • 0+1
      • 1+1
      • 2+1
    • >教学学术研究与实践
    • 建环专业“三部六级、螺旋递进”课程体系的构建与实践

      2025, 34(4):94-103. DOI: 10.11835/j.issn.1005-2909.2025.04.011

      摘要 (168) HTML (152) PDF 1.28 M (287) 评论 (0) 收藏

      摘要:“碳达峰、碳中和”背景下,对建筑、能源领域的人才培养有了新的使命和要求,而课程体系为人才培养提供了实现目标的路径和工具。以产学研用一体化平台为基础,以强化实践教学对课程知识的反馈作用为核心机制,构建一个三部六级、螺旋递进双向互动的本科课程体系是当务之急。文章探索了专业课程研究方向、集中实践活动形式、理论课程等,实践表明,该课程体系的构建模式推动了教学研究与改革。课程体系主动适应行业发展、校企深度融合对接地方需求的建设路径有效,综合考量系统性、层次性、创新性三个指标点,进行课程教学体系结构的设计和优化的方法切合应用型本科学校的课程体系设计需求。

      • 0+1
      • 1+1
      • 2+1
      • 3+1
    • 城市类型与城市史课程知识体系的构建

      2025, 34(4):104-111. DOI: 10.11835/j.issn.1005-2909.2025.04.012

      摘要 (174) HTML (186) PDF 831.90 K (325) 评论 (0) 收藏

      摘要:城市规划专业的城市史课程知识点时空跨度大且条目纷杂。通过教学实践及学生反馈发现,仅依靠现行教材以编年史为主线的教学结构,不足以使学生对古今中外的知识形成系统性认识,也难以使学生立体地把握城市史的发展脉络,将城市史知识与当下城市设计实践有效融合。为解决这些问题,提出构建城市史课程的知识体系。参考《中国建筑史》教材以编年史为经、以建筑功能类型为纬的结构框架,在城市史教学中加入以城市类型为轴的横向框架,对不同时代、不同地域的城市进行分类及比较,并进一步分析中外经典城市研究中的各种城市类型的特征及适宜的融入形式,包括城市的时代类型、形态类型、地理类型、人口规模类型和职能类型,形成综合多种分类方法、各取其长的“城市类型知识体系”。城市的时代类型是知识体系构建的基础;城市的形态类型及地理类型适宜作为知识体系的主轴;城市的人口规模类型适宜放入绪论部分;城市的职能类型适宜与具体的城市实例教学结合。将此知识体系应用于城市史课程教学实践,取得了初步效果。

      • 0+1
      • 1+1
      • 2+1
      • 3+1
    • 智慧教育视域下的风景园林实验教学体系重构——以规划设计类课程为例

      2025, 34(4):112-119. DOI: 10.11835/j.issn.1005-2909.2025.04.013

      摘要 (318) HTML (172) PDF 1.88 M (383) 评论 (0) 收藏

      摘要:在智慧教育深化发展的时代背景下,风景园林专业教育教学面临系统性重构需求。本研究以湖北工业大学规划设计类实验课程为例,针对传统教学模式中技术融合薄弱、学习体验单一等问题,通过实地调研与案例分析,依托智慧教育理念与技术生态(如虚拟仿真、数据驱动决策),从教学目标、内容结构、教学方法、评价机制四个维度,重构“教-学-评”动态闭环的实验教学体系。结果表明:该体系通过深度整合智慧教育资源,不仅提升了学生对复杂设计技术的掌握效率,构建了沉浸式、个性化的学习路径,同时实现了教学管理的精细化。本研究为智慧教育在风景园林实践教学中的落地提供了系统化解决方案,也为新工科人才培养模式转型提供了实证参考。

      • 0+1
      • 1+1
      • 2+1
      • 3+1
      • 4+1
      • 5+1
    • 流体输配管网虚实互动教学方式设计

      2025, 34(4):120-130. DOI: 10.11835/j.issn.1005-2909.2025.04.014

      摘要 (193) HTML (175) PDF 1.79 M (271) 评论 (0) 收藏

      摘要:作为建筑环境与设备工程专业的专业核心课程之一,流体输配管网课程是工科学生学习和掌握各种流体输配过程基本知识和基本设计方法的技术基础课。以大连理工大学持续深化本科教学改革和内涵建设,全面提升人才培养质量为契机,综合流体输配管网课程改进成效和教学方法的不足,对课程资源平台进行改革。结合首批国家级一流课程建设经验,以学生为中心,倡导“面向任务边做边学,基础知识讨论中学,工程案例分析中学”,提出虚实结合的互动教学方式,构建复杂流体网络实体平台,同时定制对应的模拟仿真平台,建立虚实结合的仿真、调节和数据采集互动平台。线上教学完成数据模型和部分仿真模块的定制;线下结合工程实验台,完成自建平台及调节的虚实过程,构建算法、软件仿真、工程试验一体的教学平台。激发学生主动学习的兴趣,调动学习的主观能动性,发展创新思维,培养创新与实践能力。践行科研反哺教学理念,将科研成果有效转化为教学内容,从实际工程和科研问题中精准提炼课程要点,显著提升了课程内容的广度与深度。这不仅有助于学生构建全面的管网系统概念,还融入了一定的复杂度,既充满挑战性,又有效锻炼了学生的自学能力和团队合作能力。虚实结合的教学设计模式,推动现代信息技术与教育教学的深度融合,持续优化教学质量监控与保障体系的改革,进一步完善实践教学体系的建设。

      • 0+1
      • 1+1
      • 2+1
      • 3+1
      • 4+1
      • 5+1
      • 6+1
      • 7+1
      • 8+1
      • 9+1
      • 10+1
      • 11+1
      • 12+1
      • 13+1
      • 14+1
      • 15+1
      • 16+1
      • 17+1
      • 18+1
      • 19+1
      • 20+1
      • 21+1
      • 22+1
      • 23+1
      • 24+1
      • 25+1
      • 26+1
      • 27+1
      • 28+1
      • 29+1
    • 显像城市——联合毕业设计之西仓城市更新教学实践

      2025, 34(4):131-142. DOI: 10.11835/j.issn.1005-2909.2025.04.015

      摘要 (175) HTML (155) PDF 3.83 M (288) 评论 (0) 收藏

      摘要:在城市建设从增量开发转向存量更新的背景下,建筑学教育亟需建构面向城市更新的教学范式。以名城四校联合毕业设计的一组成果为研究样本,解析其基于图像学算法的“显像城市”概念与方法体系,建构“城市认知-显像模型建构-更新策略生成”三级递进分析框架。研究聚焦西仓街区,通过多源数据融合建构显像城市模型,提出“文化基因解码-业态活力重塑-居住空间适应”三位一体的地域性延续策略,并在操作层面采用正片叠底算法实现设计介入的评估,有效激活西仓街区的空间活力。研究进一步提出,数字信息时代建筑教育需突破传统职业导向桎梏,建构理性分析与感性认知相融合的培养模式,强调新时期建筑师作为城市更新的在地行动者,应从真实的生活视角理解城市日常性,通过设计介入来调和城市空间的复杂性与矛盾性。因此,需要修正传统的以培养职业建筑师为目标的教学理念,从单一技能训练转向跨领域跨学科的综合素质培育。研究为建筑学科应对城市更新转型提供了方法论创新,对重构建筑师职业角色定位与教学体系转型具有启示意义。

      • 0+1
      • 1+1
      • 2+1
      • 3+1
      • 4+1
      • 5+1
      • 6+1
      • 7+1
      • 8+1
      • 9+1
      • 10+1
      • 11+1
      • 12+1
      • 13+1
      • 14+1
      • 15+1
      • 16+1
      • 17+1
      • 18+1
      • 19+1
      • 20+1
      • 21+1
      • 22+1
      • 23+1
      • 24+1
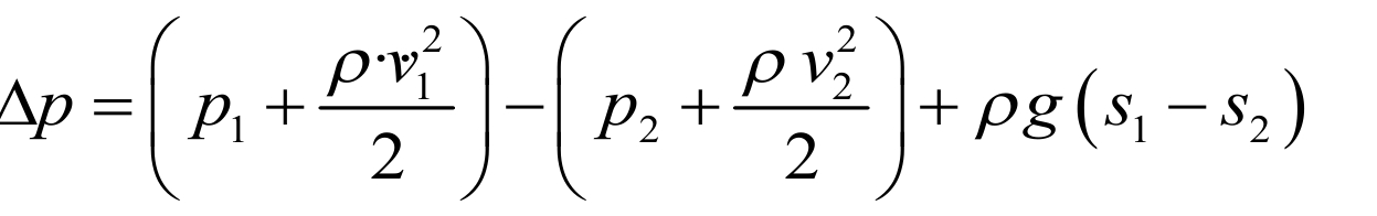
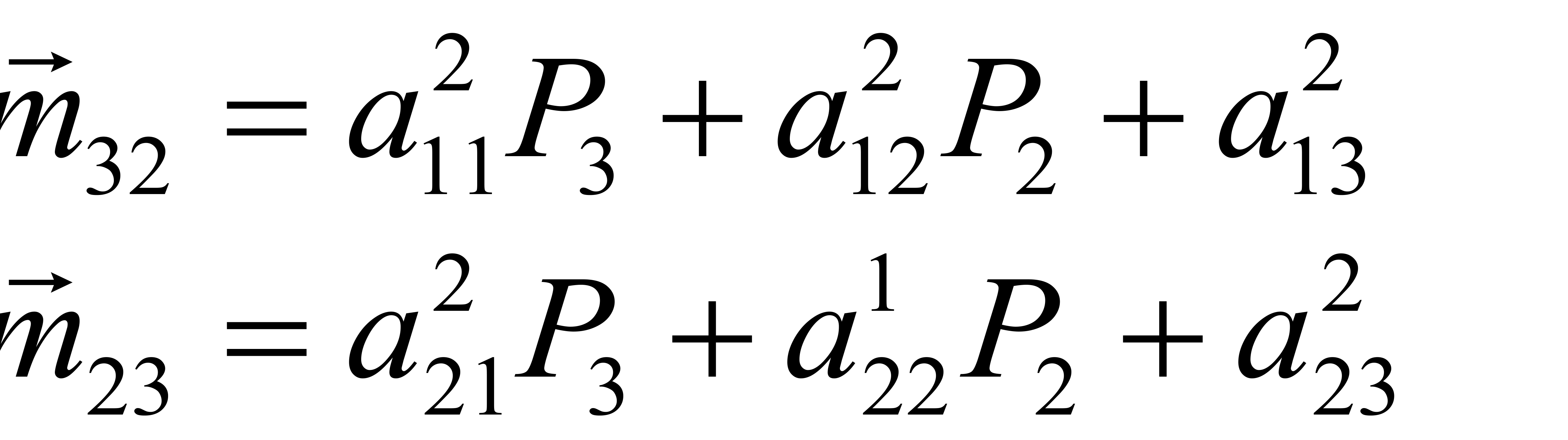
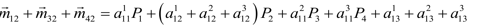
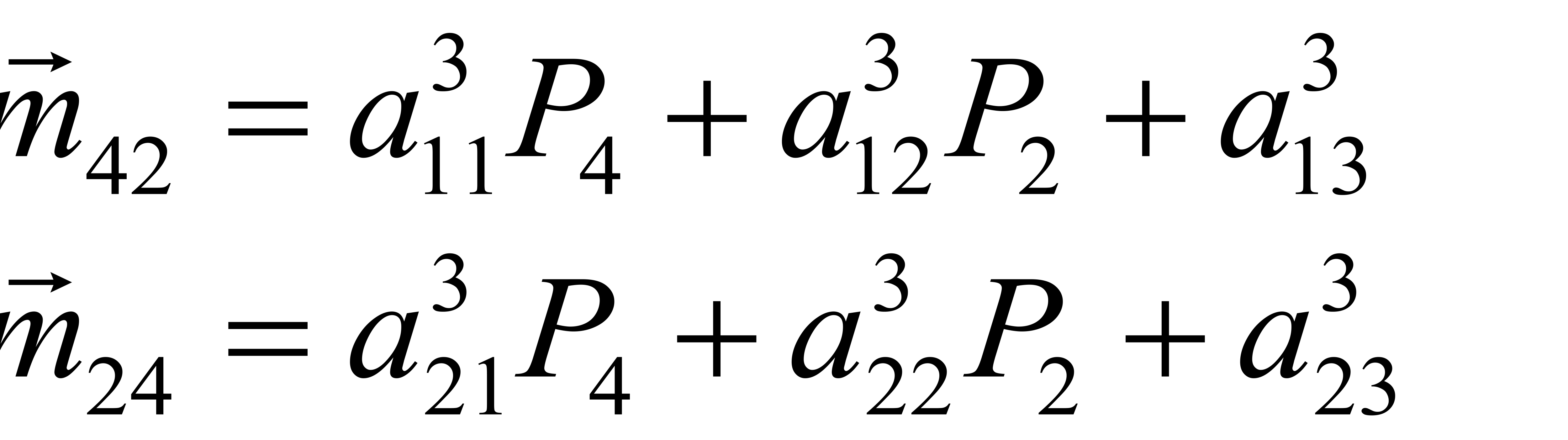
    • 基于试题难度的测试成绩计算方法——以建筑结构设计课程为例

      2025, 34(4):143-158. DOI: 10.11835/j.issn.1005-2909.2025.04.016

      摘要 (208) HTML (266) PDF 7.50 M (540) 评论 (0) 收藏

      摘要:测试成绩作为教学效果评价的重要指标,其终极目标是能合理反映被试者的能力水平,但传统意义上的卷面得分并不能完全反映被试者测试得分和能力水平之间的关系。为此,提出根据试题难易程度,对卷面分数进行调整的测试成绩计算方法,并以土木工程专业课建筑结构设计为例,分析其具体应用。结果表明:试题客观难度系数取值对卷面高分段影响小,对低分段影响大;分数变化率最大绝对值在卷面最低分和最高分之间,偏向最低分一侧。当卷面分数越接近最高分或最低分时,其受影响程度越小。即当客观难度系数取0时,分数变化率在-55.4%~-15.0%之间;取0.5时,变化率在-11.7%~-3.9%之间;取0.7时,变化率在-5.7%~2.5%之间。客观难度系数越小,计算出的分数与实际卷面分数偏差就越大,分数分布越分散。不同教学班的试卷难度系数差别越大,教学班单独计算和多班合并计算分数差异就越大。当客观难度系数取0.5时,教学班单独计算和多班合并计算分数偏差在-10%~+3%以内;取0.7时,偏差在-4%~+3%以内。因此,考虑试题难度的测试成绩计算方法能合理反映分数和被测试者能力水平间的关系,客观难度系数建议取值在0.5~0.7之间。同一门土木工程专业课程,若存在多个教学班时,当客观难度系数不大于0.6时,建议多班合并计算;大于0.6时,各教学班可单独计算。

      • 0+1
      • 1+1
      • 2+1
      • 3+1
      • 4+1
      • 5+1
      • 6+1
      • 7+1
    • 智能建造背景下结构设计原理教学创新与实践

      2025, 34(4):159-166. DOI: 10.11835/j.issn.1005-2909.2025.04.017

      摘要 (228) HTML (112) PDF 1.20 M (305) 评论 (0) 收藏

      摘要:随着传统建造技术与现代信息科学的逐渐融合,建筑业正逐步向可视化、工业化和信息化的智能建造转型。开展新工科专业建设和教育教学改革已成为高等学校的重要发展方向。土木工程传统专业课程结构设计原理的现有教学方式单一,空间结构解析平面化,结构解析过程数字化、信息化、智能化程度不足,信息及软件资源利用不充分。在系统分析工程建造技术发展历程及智能建造技术主要发展趋势的基础上,以浙江大学为例,结合新工科专业建设的技术标准,从课程设置、教学方法、教学平台和案例分析等角度,提出结构设计原理课程的教学新模式,探索智能建造专业的创新教育路径,以期为高校智能建造专业建设提供参考和借鉴。

      • 0+1
      • 1+1
      • 2+1
      • 3+1
      • 4+1
      • 5+1
      • 6+1
    • 面向国际化的土建类人才培养体系构建研究以沈阳工业大学建筑与土木工程学院为例

      2025, 34(4):167-173. DOI: 10.11835/j.issn.1005-2909.2025.04.018

      摘要 (264) HTML (111) PDF 1017.19 K (408) 评论 (0) 收藏

      摘要:从全球形势着眼,结合沈阳工业大学建筑与土木工程学院办学特色,提出以“引进-输出-共建”为特征,基于全面提升学生国际化创新能力的“1-2-3-6”模式,即“1个目标、2个层面、3个能力、6项保障”。“1个目标”是以培养国际化创新型人才为目标;“2个层面”即支撑目标的两个层面:国际化条件和国际化素养;“3个技能”:国际化意识、国际化能力、国际化视野;“6项保障”即从培养机制、师资、平台到实战等方面采取的六项保障措施。通过对土建类国际化人才培养体系的建构及研究,不断积累、总结适合本科院校发展的国际化办学途径,以期为高校国际化发展提供借鉴。

      • 0+1
      • 1+1
      • 2+1
      • 3+1
      • 4+1
      • 5+1
    • >高校管理与思政教育
    • 生成式人工智能赋能高校思政课情境教学的机制与路径

      2025, 34(4):174-180. DOI: 10.11835/j.issn.1005-2909.2025.04.019

      摘要 (801) HTML (272) PDF 534.89 K (339) 评论 (0) 收藏

      摘要:生成式人工智能为高校思政课教学改革创新带来重大机遇。高校思政课情境教学植根于情境认知理论,强调学习的情境性、具身性与交互性,对提升教学亲和力、促进学生深度思考与情感共鸣具有重要价值。生成式人工智能通过优化教学情境创设、增强人机交互体验、推动教学模式变革及助力学习共同体建设四方面机制赋能高校思政课情境教学,有力重塑了思政课的教学场景、体验环境、交互情境。为了更好地利用生成式人工智能赋能高校思政课情境教学,需要优化教学情境,推动教学场域深度重构;重视人机交互,增强学生理解认同效果;构建智慧情境,提高教学模式育人实效;助力共进共创,建设协作型学习共同体。

    • 基于战略目标定位的地方高校高质量发展路径研究——以西安建筑科技大学为例

      2025, 34(4):181-186. DOI: 10.11835/j.issn.1005-2909.2025.04.020

      摘要 (205) HTML (83) PDF 547.95 K (371) 评论 (0) 收藏

      摘要:地方高校是我国高等教育体系的重要组成部分。科学合理制定发展目标定位,对于地方高校高质量发展意义重大,发展定位既要考虑宏观政策环境,又要考虑微观条件和客观基础。瞄准目标定位,以特色学科专业链群建设为核心,以拔尖创新人才培养为突破口,以服务地方为出发点,以国际化办学为支撑,以文化建设为引领,细化分解战略目标,落实行动方案计划,推进地方高校高质量发展。

    • 学生视角下路桥专业课程思政认同感及满意度分析

      2025, 34(4):187-195. DOI: 10.11835/j.issn.1005-2909.2025.04.021

      摘要 (220) HTML (124) PDF 1.45 M (292) 评论 (0) 收藏

      摘要:从学生视角分析道路桥梁与渡河工程专业课程思政教学的认同感、影响因素、影响程度及满意度,为提升课程思政教学效果提供一定的理论支持。自制调查问卷并获取有效问卷215份,利用描述性统计、独立样本t检验、相关性系数及线性回归模型对调查数据进行深入分析。描述性统计分析结果表明,43.27%的调查对象能理解课程思政具体含义,影响程度的均分为3.111,满意度评价均分为3.805。独立样本t检验结果表明,性别、是否担任过学生干部、课程分类对课程思政影响程度及教学效果评价无统计学意义。相关性分析及线性回归结果显示,思政元素的内容与运用、教师教学组织与设计是课程思政教学对学生产生正向积极影响的主要因素(P<0.05)。调查对象认为,影响教学效果的主要因素是思政内容的选择与运用,时政、国家文化和职业相关的内容是学生期望的主要思政元素,而名言警句及短视频是学生期望的主要思政元素呈现形式。

      • 0+1
      • 1+1
    • 地下工程施工课程思政改革探索

      2025, 34(4):196-203. DOI: 10.11835/j.issn.1005-2909.2025.04.022

      摘要 (195) HTML (116) PDF 714.29 K (358) 评论 (0) 收藏

      摘要:基于当代教学背景,以地下工程施工课程教学为例,强调了教学方式和方法对教学效果的影响,提出将思政元素融入专业课程中的必要性。通过具体案例阐述了如何将思政教育理念、目的、手段和技巧全面融入教学活动中,以及如何将理论知识的传授与价值观念的引导相结合。同时,指出了当前工科类课程面临的一些问题,如教学方式相对传统、教学内容单一等,并提出了相应的改进措施。通过研究和优化思政教学模式,实现多方资源协同育人,从而提高教学质量和学生思想素质,并促进专业思政课程发展的效果。

      • 0+1
    • 土力学与地基基础课程思政元素的挖掘与运用

      2025, 34(4):204-211. DOI: 10.11835/j.issn.1005-2909.2025.04.023

      摘要 (316) HTML (119) PDF 1.36 M (387) 评论 (0) 收藏

      摘要:土力学与地基基础作为一门典型的土木工程专业基础课程,蕴含着丰富的思政元素,深入挖掘该课程中的思政元素,有助于实现全员育人、全程育人、全方位育人。结合《高等学校课程思政建设指导纲要》,将课程中的一级思政元素归纳为家国情怀、传统文化和科学创新三方面。通过名人故事和典型工程案例,展示了相关思政元素在土力学与地基基础课程中的具体体现。围绕土的抗剪强度理论、试验及工程应用等,设计了融入思政元素的专业课程教学方法,实现了专业知识与思政教育的有机融合。这种教学模式不仅提高了教学效果,而且培养了学生的爱国情怀、科学精神和创新精神,为学生的全面发展奠定了坚实基础。

      • 0+1
      • 1+1

当期目录


年第卷第

文章目录

过刊浏览

年份

刊期

浏览排行

引用排行

下载排行